Интеграл по поверхности первого рода
Содержание
1) Интеграл по
поверхности первого рода
2) Специальные
векторные поля
3) Теорема
Стокса
4) Потенциальное
поле
Литература
векторное потенциальное поле интеграл
Интеграл
по поверхности первого рода
Физические
задачи приводящие к поверхностному интегралу могут быть двух типов:
1)
не связана с
направлением нормали к поверхности
Например,
задачи об отыскании массы или заряда распределенных по поверхности:
2)
- зависит от
направления нормали
-задача
об отыскании потока жидкости в направлении нормали.
Дано:
-непрерывная функция на
-поверхность:
1)
Разобьем поверхность на n
частей
2)
Возьмем точку 
3)
Вычислим
-плотность
4)
-масса
Следовательно
,
где
D- проекция
на плоскость XOY
Пример.
,
Пример.
Определить массу, распределенную на поверхности
, плотностью
Решение.
Специальные
векторные поля.
1
Дивергенция.
2
Соленоидальные
поля. Свойства.
3
1.
Определение дивергенции
Теорема
Остроградского -Гаусса
Пример.
Найти
поток вектора
направленный
в отрицательную сторону оси Ох, через часть параболоида
отсекаемый плоскостью
Решение:
Ответ.
Свойства
соленоидальных полей.
Определение.
Векторное поле , для всех точек которого
называется соленоидальным в области
. Соленоидальное поле
свободно от источников.
Свойства
соленоидальных полей.
1.
Если
соленоидальное поле задано в односвязной области, то поток вектора через любую
замкнутую поверхность этой области равно нулю.
Пусть
- соленоидальное поле в
односвязной области. Тогда поток вектора
через любую поверхность
натянутую на заданный контур Г, не
зависит от вида этой поверхности, а зависит лишь от контура.
применим теорему
Остроградского-Гаусса.

2.
Свойства
векторной трубки.
Определение.
Векторной линией называется линия в каждой точке которой направление
касательной к ней совпадает с направлением поля
.
векторной линии
.
Возьмем
в поле
замкнутый
контур
и проведем
через его точки векторные линии
Любая
другая векторная линия проходящая через точки контура
проходит либо внутри трубки либо вне трубки.
В
случае потока жидкости , векторная трубка -это часть пространства, которую
заполняет при своем перемещении объем жидкости.
Интенсивностью
векторной трубки называется поток поля через поперечное
сечение этой трубки.
3.
Если
поле соленоидальное в односвязной области
, то интенсивность векторной трубки постоянна
вдоль всей трубки.
Доказательство:
- боковая поверхность,
векторные линии перпендикулярны
. Следовательно
(нормаль к
есть нормаль поля
т.е.
)
и
имеют противоположные направления.
.
Поток
через любое поперечное
одно и тоже если
соленоидальное.
Доказательство:
По
свойству 3 интенсивность трубки одинакова , хотя поперечное сечение в точке М
равно нулю, в т М
. Это
невозможно т.к.
непрерывен
в любой точке.

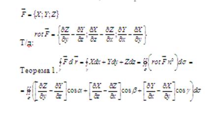
Теорема
Стокса.
Вихрь.
Ротор.
Циркуляция.
1.
Теорема Стокса
.
С
понятием циркуляции тесно связано понятие ротора или вихря. Локальной
характеристикой поля
связанной
с завихренностью является ротор.
Плоское
поле.
S
площадь внутри
поле скоростей текущей
жидкости
В
поле
поместим колесо с
лопастями, вдоль
.
Частицы жидкости, действуя на эти лопасти создадут вращательный момент,
суммарное действие которых приведут колесо во вращение вокруг своей оси.
Вращательное действие поля скоростей жидкости
будет в любой точке М характеризовать
на касательной
к окружности
, т.е. скалярное произведение
. Суммирование
вращательных действии
жидкости по всему контуру колесика приведут к понятию циркуляции вектора
=
Будет
определять угловую скорость вращения колеса, а знак циркуляции покажет в какую
сторону вращается колесико относительно выбранного направления.
Циркуляция
любого поля
определяет
его вращательную способность вокруг данного направления и характеризует
завихренность поля
в
этом направлении.
Чем
меньше
тем больше
циркуляция, больше завихренность.
. Максимум вихря, если

- плотность циркуляции
в точке
.
Если
пространственное поле,
то можно говорить о завихренности в направлении
.

- завихренности в направлении
.
Определение:
в точке
называется вектор, проекция которого
на каждое направление
равна
пределу отношения циркуляции векторного поля по контуру
в плоской области
, перпендикулярной этому направлению
, к величине площади S
этой области, когда
, а
область
стягивается в
точке
т. е.,
- контур лежащий в плоскости
перпендикулярной к вектору
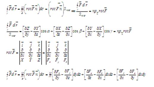
Теорема
Стокса.
-поверхностно-односвязная
область.
- кусочно-
гладкий контур в
,
-кусочно-гладкая поверхность
натянутая на
.
Следовательно
циркуляция вектора
вдоль
равна потоку
- вихря
через
в направлении
Теорема
2.
В
частности
.
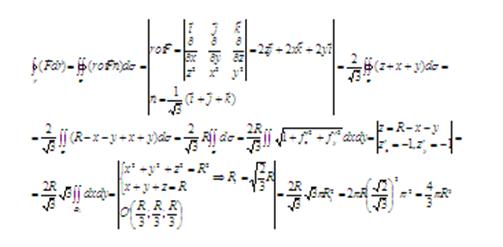
Пример.
Найти циркуляцию
по
сечению сферы
плоскостью
.
Решение.
Потенциальное
поле.
Свойства.
Потенциал
поля.
Восстановление
потенциала U(M)
по
Потенциальное
поле.
Определение.
Векторное поле
называется
потенциальным в области
,
если существует скалярное поле
является полем градиента этого скалярного поля
.
;
.
Поле
-называется потенциалом
поля
.
Свойства:
1) Если
потенциальное
поле
определяется
однозначно с точностью до
.
.
2)
Если
-потенциальное ,
т.е. 
не зависит от пути интегрирования, а
только от начала и конца пути.
3)
Чтобы поле
было
потенциальным, необходимо чтобы
был полным дифференциалом некоторой функции
Если
-потенциальное, то для
вычисления криволинейного интеграла
достаточно найти разность
4)
не зависит от пути
интегрирования,
Для
того чтобы поле было потенциальным, необходимо чтобы оно было безвихревым.
Нахождение
потенциала
векторного
поля

Пример.
1)
потенциальное
ли поле?
2)
Найти
1)
2)

Пример.
Потенциал поля скоростей текущей жидкости
. Вычислить количество жидкости, протекающей за
единицу времени через отрезок прямой от О(0;0) до А(1;1).


Доказательство:
=
.
В
потенциальном поле циркуляция по замкнутому контуру равна нулю.
1. Поток
.
Для
поля замкнутого поток равен нулю.
Пример.
Вычислить поток и циркуляцию
вдоль замкнутого контура
Поток
Циркуляция
II
способ. Поток в плоском поле
Поток
Циркуляция
В
плоском поле
Литература.
1.
Ильин
В.А. , Садовничий В.А., Сендов Б.Х. Математический анализ. 1-2 том. Изд.
МГУ,1989г.
2.
Виноградова
И.А. , Олексич С.Н., Садовничий В.А. Задачи и упражнения по математическому анализу.
Часть 1,2 Изд. МГУ. Серия классический университетский учебник 250 летию МГУ
2005г.
3.
Шилов
Г.Е. Математический анализ. Часть 1,2. Москва. Изд.Лань. 2002г.-880стр.
4.
Лунгу
К.Н. Сборник задач по математике. Часть 1,2. Москва. Айрис пресс 2005г.
Размещено
на