Построение сети цифровой связи ОТС
Содержание
Введение
1. Анализ принципов
построения сети цифровой связи ОТС
1.1 Принципы
организации цифровой ОТС
1.2 Структурные схемы
организации сетей ОТС
1.3 Система
резервирования и обеспечения готовности сети
2
Анализ
структуры цифрового построения комплекса «Обь-128Ц»
2.1 Назначение
комплекса
2.2 Состав комплекса
2.3 Конвертер ССПС-128
2.4 Коммутационная станция NЕАХ7400
3. Принципы построения цифровых групповых каналов
4. Разработка схемы организации цифрового канала
5. Разработка программного обеспечения комплекса
«Обь -128Ц»
5.1 Функции настройки и контроля
конвертера ССПС-128
5.2 Программирование станции NEAX 7400
6. Разработка алгоритмов программирования диспетчерских и
промежуточных пунктов
6.1 Организация управления системой
6.2 Терминал управления
6.3 Программирование цифровых пультов
7. Оценка экономической эффективности
8. Обоснование мероприятий по охране труда
8.1 Освещение производственных помещений
8.2 Расчет естественного освещения
8.3 Расчет искусственного освещения
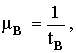
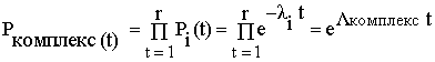
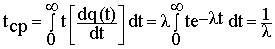
9. Надежность
9.1 Основные понятия надежности
9.2 Расчет вероятности безотказной работы комплекса «Обь –
128Ц»
10
Средства
электрооборудования комплекса «Обь -128Ц»
10.1
Основные
требования по электропитанию
10.2
Расчет
гарантированного питания
Заключение
Список использованных источников
Список
используемых сокращений
АРМ - автоматизированное рабочее
место
ВОЛС -
волоконно-оптическая связь
ДНЦ -
поездной диспетчер
ДСП -
дежурный по станции
МЖС -
межстанционная связь
ОЦК -
основной цифровой канал
ОТС - оперативно-технологическая связь
ОбТС - общетехнологическая связь
ОКС - общий канал сигнализации в цифровых
системах связи
ПЦК - первичный цифровой канал
ПГС - перегонная связь
ПД - передача данных
ПУ-4Д - переходное устройство, обеспечивающее
сопряжение 4-проводных и 2-проводных линий диспетчерской связи
ПР-1600 - приемник частоты 1600 Г
ПРС - поездная радиосвязь
ПЦИ - плезиохронная цифровая иерархия
С2/11 - двухчастотный сигнал избирательного
вызова, формируемый из одиннадцати тональных часто
С2/7 - двухчастотный сигнал избирательного
вызова, формируемый из семи тональных часто
СЛ - соединительная линия
СПД - сеть передачи данных
СПД-ОТН - сеть передачи данных
оперативно-технологического назначения
СЦИ - синхронная цифровая иерархи
ТЧ - канал тональной частоты
ТТС - тактовая сетевая синхронизация
ТУ-ТС - система телесигнализации и телеуправления
тяговыми
подстанциями (или другими объектами)
УУГ - устройство управления голосом
2В+D - цифровой сигнал, содержащий два канала 64 кбит/с и
один канал 16 кбит/с
ISDN - цифровая
сеть интегрального обслуживания
IP - протокол
межсетевого взаимодействия
RS-232
- тип цифрового интерфейса
PDH -
система передачи плезиохронной иерархии
SDH -
система передачи синхронной иерархии
STM-1,
STM-4, STM-16 - типы систем передачи синхронной иерархии
HDLC -
вид протокола
Fа/Fв - сигнал управления включением стационарной
радиостанции поездной радиосвязи РС-46 в режим передачи
Fв/Fа - сигнал управления включением
стационарной радиостанции поездной радиосвязи РС-46 в режим приема
Введение
Для
организации каналов оперативно-технологической связи с применением систем
цифровой передачи и коммутации используются специализированные коммутационные
станции.
На примере аппаратуры
« Обь-128Ц » рассматривается вопрос построения избирательной телефонной связи
между диспетчером и абонентами, расположенными вдоль железнодорожной
магистрали.
Настройка
канала связи предполагает задание параметров портов включения абонентов,
которые различаются местоположением и уровнем административной ответственности.
Назначение
параметров определяет задачу оптимизации их конфигурирования в процессе
пуско-наладочных работ. Свойства портов абонента пропорционально отличаются по
номиналам доступа к видам связи.
С целью
оптимизации процедуры доступа к отдельным категориям абонентов предлагается
ввести их индексацию (перечень) вне структуры заданного программного
обеспечения.
Список
абонентов по условной иерархической схеме позволит обеспечить их рациональный
поиск в базе данных сети.
Управление
и конфигурирование системы выполняется оператором при помощи унифицированных
команд, состоящих из списка адаптированных параметров.
Выдача
команд в систему и отображение результатов соответствуют терминальной программе
распорядительной станции, не нарушая процесса работы канала связи.
При помощи
специализированных программ MATWORX и TERM разрабатывается методический пакет
учебного центра цифровой оперативно-технологической связи, который имитирует
реальные технологические процессы управления движением на транспорте.
Данное
методическое обеспечение расширяет возможности приобретения знаний, навыков и
опыта при обслуживании систем связи в условиях изменения рынка труда и экономии
финансовых ресурсов на его обновление.
1. Анализ принципов построения
сети цифровой связи ОТС
1.1
Организация цифровой ОТС
Принципы организации
должны отвечать следующим требованиям:
- обеспечение
взаимодействия с аналоговой сетью ОТС;
- локальность,
обеспечивающая доступ в сеть ограниченному кругу абонентов;
- возможность организации
диспетчерских связей в соответствии с принятой структурой управления
эксплуатационной работой железнодорожного транспорта;
- резервирование
диспетчерских связей;
- использование отечественных
аппаратных средств и программного обеспечения.
Создание цифровой сети
ОТС должно осуществляться одновременно с цифровизацией первичной сети ОТС. Сеть
ОТС должна быть построена на первичном цифровом потоке 2,048 Мбит/с, который
формируется на отдельных волокнах волоконно-оптической линии с помощью
аппаратных средств, входящих в состав коммутатора, или выделяется из цифровой
первичной сети [2].
Половина каналов одного
потока 2,048 Мбит/с предназначается для организации групповых каналов ОТС,
остальные ОЦК 64 кбит/с данного потока и трех других ПЦК могут быть
использованы для подтягивания диспетчерских кругов в центр управления,
организации низовой сети ПД, а также для включения АТСЦ малых станций в
ближайший узел. Структура каналов ОЦК первого цифрового потока 2,048 Мбит/с должна
обеспечить режим групповых каналов для организации всех видов диспетчерских
связей.
Периферийное оборудование
на начальном этапе остается аналоговым. Для резервирования основных видов ОТС и
организации ПГС, МЖС используется кабель с медными жилами.
Для централизованного
управления сетью и технической эксплуатацией на распорядительной станции в
центре управления предусматривается отдельный пульт оператора, а для местной
диагностики повреждений на каждой станции отдельный пульт.
На цифровой сети ОТС
должна применяться система принудительной синхронизации, при которой в роли
ведущей станции выступает распорядительная станция. Исполнительные станции выделяют
сигналы синхронизации из цифрового потока, приходящего со стороны
распорядительной станции. Распорядительная станция синхронизируется от STM-1 в пункте выделения первичного
цифрового потока, предназначенного для резервирования сети ОТС. При отсутствии
этой возможности предусматривается режим автономной работы сети ОТС с
синхронизацией от генератора распорядительной станции.
Определенным недостатком
описанной системы ОТС является организация групповых каналов, закрепленных за
каждым видом диспетчерской связи, и низкое использование пропускной способности
волоконно-оптической линии связи создает предпосылки для построения
интегральной сети для всех видов связи [1].
1.2 Структурные
схемы организации сетей ОТС
Иерархическое построение системы ОТС (рисунок 1.1)
предусматривает наличие трехуровневой структуры коммуникаций, и предполагает
включение в ее состав части уже существующих и вновь строящихся систем передачи
информации. Существующая схема построения системы ОТС на базе комплекса «Обь –
128Ц» представлена (лист 1 графического материала).
Уровень 1. В качестве каналов магистральной коммутации
предлагается использовать строящуюся сеть SDH. В опорных центрах
устанавливаются коммутаторы SDH SMS-150C соединенные между собой магистральными волоконно-оптическими
линиями связи с пропускной способностью 155 Мбит/с. Эти коммутаторы
предоставляют доступ в высокоскоростную сеть по потокам 2048 кбит/с следующим
уровням системы (рисунок 1.2).
Уровень 2. Главной задачей этого уровня является
обеспечение создания группового канала и подключение к нему ряда абонентов
различных типов. При этом обеспечивается совместимость интерфейсов с уже
существующим аналоговым оборудованием. На этом уровне используются конвертеры
ССПС-128 (рисунок 1.3).
Уровень 3. Является уровнем коммутационного оборудования,
где используются цифровые станции NEAX 7400. В его задачу входит
обеспечение функционирования пультов и других абонентов ОТС, а также их взаимодействие
с уровнем 2. Кроме того, на этом же уровне организуется межстанционная связь
(МЖС) и, возможно общетехнологическая связь дороги (рисунок 1.3).
Логическая структура сети (рисунок 1.3) образована двумя
кольцами: конвертеров ССПС-128 соединенных каналами ISDN PRI и станций NEАХ 7400 соединенных
каналами ОКС№7 между собой. При этом ССПС-128 и NEАХ 7400 соединяются
на одной станции. Отдельные кольца объединяются между собой как показано на
(рисунке 1.4), с использованием мостового конвертера.
Мостовой конвертер выполняет следующие функции:
-
поддерживает
транзитный поток верхнего уровня;
-
осуществляет
соединение группового канала с контроллером нижнего уровня через один поток Е1,
при этом с верхнего уровня на нижний может быть скоммутировано 30 групповых
каналов [4].
Рисунок 1.1

Рисунок 1.2
Рисунок 1.3
1.3 Система резервирования и
обеспечения готовности сети
Система резервирования
комплекса обеспечивается следующими
показателями:
-
кольцевая
структура сети (рисунок 1.5);
-
взаимное
резервирование колец конвертеров и коммутируемых
станций при их полной
независимости в нормальном режиме работы для всех видов коммутируемой связи и
связи между объектами и групповым каналом (рисунок 1.6);
-
резервирование
по каналам тональной частоты (рисунок 1.7);
-
использование
двойных параллельных колец с различной средой
передачи (рисунок 1.8);
-
автоматическое
шунтирование потоков Е1 при отключении конвертера (рисунок 1.9);
-
полуавтоматические
средства резервирования – когда групповой канал имеет более, чем одну точку
включения в систему в резервном режиме (рисунок 1.10);
-
двустороннее
подключение ПГС (рисунок 1.11)
[4].




Рисунок
1.6
2. Анализ структуры
цифрового построения «Обь-128Ц»
2.1
Назначение
комплекса
Комплекс предназначен
для организации оперативно-технологической связи (ОТС) для российских железных
дорог в цифровых и цифро-аналоговых сетях.
Комплекс рассчитан для
работы в качестве:
- распорядительной
станции отделенческой оперативно-технологической проводной связи;
- симплексной поездной
радиосвязи;
- исполнительной станции
отделенческой проводной связи, являющейся одновременно коммутатором станционной
распорядительной, стрелочной связи и громкоговорящей парковой связи.
Предусмотрена
возможность использования аппаратуры комплекса одновременно в режиме
распорядительной и исполнительной станций.
В системе отделенческой
оперативно-технологической связи аппаратура рассчитана для работы в цифровых и
цифро-аналоговых сетях.
В аналоговой части сети
для работы аппаратуры могут быть использованы телефонные каналы любых систем
передачи и физические кабельные линии.
В цифровой сети для
организации отделенческой ОТС должны использоваться два первичных цифровых
канала (ПЦК) 2048 Кбит/с, организованной по волоконно-оптическому кабелю
(ВОЛС). Возможно построение системы по симметричному кабелю с медными жилами либо
с помощью отдельной системы передач.
Комплекс рассчитан для
применения в сети оперативно-технологической связи железных дорог России при
организации следующих видов оперативно-технологической связи и передачи данных.
Отделенческой оперативно-технологической
проводной связи:
- ПДС – поездной диспетчерской;
- МЖС – поездной
межстанционной;
- ЛПС – линейно-путевой;
- ПС – постанционной;
- ОПС – дежурного по охраняемому
переезду;
- ЭДС – энергодиспетчерской;
- СДС – служебной диспетчерской
электромехаников СЦБ и связи;
- ПГС – перегонной;
- МДС – маневровой диспетчерской;
- ВДС – вагонной диспетчерской;
- БДС – билетной диспетчерской;
- Связи с агентами СФТО;
- ОВД – органов внутренних
дел на транспорте.
- ДГП – дорожной распорядительной
связи.
Станционной оперативно-технологической
проводной связи:
- СРТС – станционной
распорядительной телефонной связи;
- СТР – стрелочной
связи;
- ДПС – двусторонней
парковой связи;
- ПРС - поездной радиосвязи.
Комплекс предназначен
для организации связи совещаний, в части обеспечения каналов связи и
формирования сигналов управления в цифровой сети, а также для передачи данных
от линейных предприятий, систем ТЧ -ТС и других служб в цифровой сети.
Комплекс предназначен для
организации всех видов отделенческой избирательной телефонной и радиопроводной
связи, а также станционной телефонной оперативно - технологической связи.
Комплекс может
использоваться также для организации цифровых каналов в сетях передачи данных
оперативно-технологического (СПД-ОТН) и общетехнологического (СПД-ОбТН)
назначения [4].
2.2 Состав комплекса
Состав комплекса «Обь – 128Ц» приведен в таблице 2.1
Лицевая панель комплекса представлена (лист 2 графического
материала).
Таблица 2.1 – Состав комплекса «Обь – 128Ц»
|
Изделие
|
Описание
|
|
Шкаф ОТС
|
стойка-шкаф 19” с щитом распределения питания
|
|
Мультиплексор SDH
SMS-150C
|
резервированная система SDH
скорость передачи в оптическом канале 155 Мбит/с
скорость передачи дистрибутарных каналов 2048 кбит/с
интерфейс дистрибутарных каналов G.703
система служебной связи
система сервисных каналов
|
|
Конвертер
ССПС128
|
образование группового канала
взаимодействие с цифровой коммутационной станцией
(соединяется с ней потоком Е1)
выделение каналов Е1
интерфейсы ТЧ (ИС-4), ИС-2, ДСУ, МЖС, ПГС
система служебной связи
интерфейс сетевого и локального программирования
УУГ для обеспечения управления от диспетчера или к
диспетчеру от абонента
|
|
Коммутационная станция NEAX7400
NEC M100MX
|
коммутационное оборудование
оборудование для подключения цифровых пультов
телефонных аппаратов ЦБ с тональным и импульсным
набором
система резервирования в потоке Е1
интерфейс сетевого и локального программирования
|
|
Кроссовое оборудование «Krone»
|
не требует пайки
комплектуется модулями защиты
|
|
Изделие
|
Описание
|
|
Источник бесперебойного питания IMV VICTRON 19'' NetPro
|
блок гарантированного питания
дополнительный батарейный блок
емкость - не менее 6 часов работы комплекса при
пропадании питания
|
|
Цифровые пульты
|
DTP-16D,
DTP-32D,
DTP-32D
и консоль DCU-60
- функции управления голосом и громкоговорящей связи
оборудуются вынесенным динамиком и микрофоном
- пульт диспетчера подключается к педали и модулю
ПГС конвертора
|
|
|
|
2.3
Конвертер ССПС-128
2.3.1
Конвертер ССПС-128 может использоваться как
-
контроллер
групповых каналов,
-
управляющее
устройство, взаимодействующее с цифровой системой передачи,
-
коммутационное и
каналообразующее оборудование с выделенным ПЦК, ОЦК, каналов передачи данных,
-
устройство
управления голосом для обеспечения управления от диспетчера или к диспетчеру от
абонента при выходе его в групповой канал,
-
обеспечивает
выход абонентов коммутационной станции в групповой канал,
-
включает
оборудование для подключений:
-
четырех
проводных каналов ТЧ,
-
двухпроводных
окончаний для организации аналоговых ответвлений от цифровой сети по физическим
линиям,
-
двухпроводных
окончаний для организации связи по физическим линиям перегонной связи,
-
двухпроводных
окончаний для подключения линий МЖС,
-
радиостанций,
-
регистраторов
переговоров.
2.3.2 Конструкция конвертера
представляет собой металлический корпус с установленными в нем блоками питания
типа
- 1ВМ АТ 230W;
- NАL25-7605
- NАL25-7617
и платой М23.
В конвертере предусмотрены места для установки
плат DSР16, ЕХРЗОО, РСМ7 и плат линейных комплектов. Платы
устанавливаются в разъемы для установки печатных плат (ХSLOТ 0-7) платы М23 по
направляющим и крепятся винтами.
На лицевой панели конвертера (лист 2 графического
материала) установлены выключатель питания «Сеть», светодиод индикации
включения питания, светодиоды «РАБОЧИЙ РЕЖИМ», «ОБМЕН RS-232», «АВАРИЯ» и разъемы
«ОТЛАДОЧНЫЙ RS-232» и «ПОЛЬЗОВАТЕЛЬ RS-232».
На задней панели конвертера установлены светодиод
индикации подключения заглушки, разъем под заглушку, разъем подключения питания
и разъем для подключения клавиатуры.
Структурная схема конвертера приведена на
(рисунке 2.1), а также (лист 3 графического материала).
Рисунок 2.1
2.4 Коммутационная станция NЕАХ7400
Коммутационная станция поставляется в виде корпуса с
установленным блоком питания PZ-PW121 и системной платой BWB. В корпусе предусмотрены гнезда
(слоты) для установки электронных плат. На системной плате находятся разъемы
для подключения электронных плат, разъемы LTC0-3 для подключения инсталляционных кабелей (выводятся
на кросс) и разъемы для подключения кабелей блока питания.
Структурная
схема станции представлена (лист 4 графического материала).
В коммутационной станции NЕАХ 7400 комплекса
«ОБЬ-128Ц» используются следующие виды электронных плат:
- платы управления;
- процессорные платы;
- линейные платы.
В системе ОТС
используются следующие модели цифровых
пультов:
-
DTP-8D;
-
DTP-16D;
-
DTP-32D;
-
и консоль DCU-60.
Модели цифровых пультов и
пультов вместе с консолью представлены на (рисунке 2.2). Отдельно консоль
использоваться не может, только вместе с пультами. В общем случае,
использование моделей цифровых пультов показано в таблице 2.2 Значения
функциональных клавиш программируется в зависимости от пользователя (диспетчер,
ДСП). Микрофон можно включать вручную
определенной функциональной клавишей или при помощи педали. Педали обязательно
подключаются к пультам диспетчеров и ДСП.
Таблица 2.2 – Использование цифровых пультов
|
Абонент
|
Модель
|
|
Диспетчер
|
DTP-16D
DTP-16D+ DCU-60
DTP-32D
DTP-32D+ DCU-60
|
|
ДСП
|
DTP-16D
DTP-32D
|
|
ДС
|
DTP-8D
|
|
Другие абоненты
|
DTP-8D
DTP-16D
DTP-32D
|
DTP-16D DTP-32D
DTP-8D
DTP-32D+DCU-60
Рисунок 2.1
3. Принципы
построения групповых цифровых каналов
Групповой канал цифровой
технологической связи организуется с использованием цифровых систем передачи и
коммутации.
В качестве системы
передачи применяются синхронные мультиплексоры уровней STM-1 и STM-4,
работающие по волоконно-оптической линии связи.
Коммутационные станции
распорядительного и исполнительного назначения реализуют технологию подключения
абонентов к групповому каналу. Процесс приема и передачи речи со стороны
абонента управляется в соответствии со стандартами сетевой сигнализации.
В групповом канале принят
диспетчерский принцип управления, состоящий в наличии диспетчерского пункта и
подчиненных ему промежуточных пунктов абонентов. Диспетчер имеет приоритет в
процессе переговоров с абонентами, который заключается в возможности перебоя
говорящего. Промежуточные пункты вызываются по способу избирательного вызова
[3].
Наличие функций передачи
и коммутации в групповом канале послужило основой для кольцевой технологии его
построения. Различают кольца верхнего и нижнего уровней.
Основные принципы работы
группового канала:
- гарантия приема абонентом
сообщений от диспетчера;
- минимизация прохождения
шумов, помех и эха в групповой канал;
- совместимость со всеми
видами аналогового оборудования (включая ПУ4Д и УС 2/4);
- широкое использование
цифровых аппаратов;
- возможность применения
обычных аналоговых телефонных аппаратов;
- возможность
полнодуплексной работы для цифровых аппаратов и пультов (в некоторых случаях и
аналоговых аппаратов);
- коммутация линий
перегонной связи (ПГС) непосредственно в групповой канал;
- возможность применение усилителей
приема и передачи;
- широкое применение
устройств управления голосом (УУГ);
- широкое применение
педалей и тангент.
Для каждого вида диспетчерской связи и поездной радиосвязи
используется основной цифровой канал (ОЦК) 64 кбит/с, работающий в режиме
распределенной конференц - связи.
Подключение
коммутационных устройств исполнительных станций к каналу диспетчерской связи
осуществляется с помощью цифровых сумматоров, обеспечивающих возможность
объединения необходимого количества абонентов без ухудшения качества связи.
В условиях линейной
топологии размещения абонентов для каждой диспетчерской связи при таком
построении системы требуется один канал ОЦК, к которому с помощью цифровых
сумматоров может быть подключено до 200 – 250 абонентов диспетчерского участка.
При наличии на каждом
участке не более 12 – 15 диспетчерских кругов различных служб для организации
всех диспетчерских связей на каждом направлении достаточно, как правило, одного
первичного цифрового канала ПЦК 2,048 Мбит/с, содержащего 32 канала ОЦК, и
одного канала ПЦК для организации кольцевого резервирования (без учета
необходимости транзита каналов ОЦК диспетчерских кругов, находящихся на других
участках.
Применение других
способов построения диспетчерских связей, например, с использованием
централизованной конференц – связи на распорядительной станции, потребовало бы
для системы оперативно – технологической связи в несколько десятков раз
большего количества каналов ПЦК как для основного, так и для резервного трактов
кольца [7].
4. Разработка
схемы организации цифрового группового канала
Прямая связь (Hot Line) – пара абонентов (номеров) жестко связанных друг с
другом, т.е. имеющие возможность вызывать только друг друга одним нажатием
кнопки, либо поднятием трубки, для аналоговых аппаратов. Реализуется при помощи
функций Hot Line и Station
Speed-Calling.
На (рисунке 4.1)
представлена структурная схема организации прямой связи между абонентами одной
станции.
Hot Line для цифрового аппарата
– виртуальный номер, для которого активирована функция Hot Line (СМ1203), номер
заведен на именную кнопку (СМ9000). В пару к нему запрограммирован (СМ52yy) другой виртуальный (или аналоговый)
номер – напрямую, либо через ссылку на ячейку памяти (СМ720). Нажав на эту
кнопку станция сразу посылает вызов на запрограммированного абонента. Обратный
вызов обычно принимается на эту же кнопку, либо (при нехватке ячеек Hot Line)
на M-line вызывающего аппарата.
Hot Line для аналогового
аппарата – назначить использование аппаратом функции Hot Line (СМ1203). В пару к
нему запрограммирован (СМ52yy)
виртуальный (аналоговый) номер – напрямую, либо через ссылку на ячейку памяти
(СМ720). При поднятии трубки станция сразу посылает вызов на
запрограммированного абонента.
Диспетчер всегда
подключен к групповому каналу. Первый и необходимый шаг – регистрация. Кнопка
регистрации всегда крайняя левая в верхнем ряду основного поля клавиатуры
цифрового терминала она же является и M-Line (его физический номер,
используются номера 68хх) для диспетчера. Для регистрации используется функция
Hot Line. При нажатии кнопки регистрации в ССПС посылается код регистрации
группового канала. Когда групповой канал активирован (на дисплее высветился
счетчик отсчета времени), диспетчер, нажав требуемую кнопку на терминале или
консоли, посылает по групповому каналу вызов (либо код с комбинацией двух
частот – для промпунктов, либо код с номером абонента – для абонентов NEC). При
удачном прохождении вызова диспетчер слышит КПВ. Соответствующей кнопкой
диспетчер может послать групповой вызов (циркуляр). Для удобства можно в
настройках ССПС установить следующую функцию - на кнопку регистрации, если
диспетчер вышел из группового канала, каждые 40 секунд посылается вызов
(приглашение зарегистрироваться) [4].
На (рисунке 4.2)
приведена структурная схема организации группового канала диспетчерских и
промежуточных пунктов.
Применяемые в схеме
пункты ППСЦ предназначены для подключения к групповому каналу различных видов
аналоговой оперативно- технологической связи, а также оптимизированы для
совместной работы с линейными комплектами цифровой сети. Пункты ППСЦ
настраиваются на принимаемые вызывные комбинации аппаратным способом с помощью
механических перемычек.
При
вызове абонентов, переключенных на цифровую связь, подается сигнал контроля посылки
вызова – одночастотная посылка. Если контроль посылки вызова – двойной сигнал, это
значит, что вызываемый абонент уже подключен к групповому каналу и диспетчер может
вести с ним переговоры. Для циркулярного вызова, диспетчер нажимает клавишу [Циркуляр].
При этом подается многочастотный сигнал. Для сброса группового канала, диспетчер
нажимает клавишу [Сброс ГК]. При этом происходит отключение диспетчера и всех абонентов
от группового канала. После сброса, диспетчеру необходимо подключиться к групповому
каналу. Для вызова диспетчера, дежурный по станции нажимает на клавишу группового
канала соответствующего диспетчера. Подается короткий тональный сигнал контроля
подключения к групповому каналу [8].
На
(листе 5 графического материала) показаны две схемы организации группового
канала.
Рисунок 4.1
Рисунок 4.2
5. Разработка
программного обеспечения комплекса «Обь -128Ц»
5.1
Функции настройки и контроля конвертера ССПС-128
В качестве управляющей
используется программа Теrт13.ехе, которая обеспечивает связь ПК и конвертера. Она позволяет установить
следующие виды соединений:
- с конвертером
непосредственно;
- с любым конвертером в
сети конвертеров;
- с конвертером через
модем;
- с конвертером через
модем и сеть конвертеров.
Программа позволяет
восстановить настройки из файла в память конвертера, сохранить тарификационные
буферы (журналы событий). Имеется режим непосредственного управления
мониторинга конвертера. Кроме того, имеется возможность обновления программного
обеспечения конвертера.
Работа в программе Теrт13.ехе организована следующим образом:
На экране появляется
меню, текущий пункт которого подсвечен. Перемещение по пунктам меню
осуществляется клавишами
«» - вверх,
«» - вниз,
Home - в начало меню,
End - в конец меню,
В строке с названием
пункта меню (подменю) указываются «Горячие» клавиши, позволяющие обратиться к
данному подменю из произвольных мест программы.
Выход в
определенный пункт меню осуществляется клавишей «ENTER».
Терминал управления
предназначен для управления сетью конвертеров. Включает в себя:
- персональный компьютер;
- программное обеспечение
управления, инсталлированное на персональном компьютере;
- кабель RS -232 для подключения к конвертеру.
Терминал управления
выполняет следующие функции:
-
соединение с
любым конвертером сети;
-
контроль за
сетью конвертеров в реальном режиме времени;
-
сбор и анализ
аварийных сообщений;
-
настройку
параметров конвертеров;
-
загрузку и
сохранение конфигураций конвертеров;
-
удаленное
тестирование оборудования конвертеров;
-
смену
программного обеспечения конвертеров сети.
Для
подключения управляющего терминала необходимо установить соединительный кабель
между конвертером и персональным компьютером (ПК) ( рисунок 5.1)
Включить
питание конвертера, при этом должен светиться светодиод «РАБОЧИЙ РЕЖИМ».
Для запуска
управляющей программы Term13 необходимо в режиме DOS добавить в файл config.sys одну строку: devise=с:\itsd\тdrv.ехе тicdev 0x3f8 4 115200, при этом в рабочей
директории ПК должны находиться файлы:
-
mdrv.ехе;
-
term7.ехе;
-
тоnitor.ехе.
Желательно,
чтобы СОМ-порт ПК был совместим с UART-16550. [4]
Для
установления соединения необходимо в режиме DOS запустить программу Теrт13.ехе. При этом на экране
монитора должно появиться окно «Главное Меню», представленное (рисунок 5.2), а
светодиод «ОБМЕН RS-232» должен мигать.
Из окна «структура
процессов» доступ к функциям управления конвертора возможен через «главное
меню» (клавиша [F10]) или «горячие
клавиши».
Назначение
пунктов меню:
-
Терминал
- вызов режима взаимодействия с встроенным монитором конвертера;
-
Тарификация
- вызов меню управления тарификационными буферами;
-
Настройки
- вызов меню управления настройками;
-
Драйвер
устройства - задается имя устройства (драйвер коммуникационного порта через
который будет установлена связь с конвертером);
-
DОS - вызов команды или
исполняемого файла DОS
без выхода из программы (с возвратом);
-
Стандартный
терминал - режим «Обычного» терминала. При установленном соединении должны
появляться цифры 9 с периодом около
2 сек. При
соединении через модем набрать Аtdpnnnnnnn, где nnnnnnn-телефонный номер удаленного модема;
Рисунок 5.2
-
Разъединить
модем - разъединить ранее установленное соединение через модем;
-
Удаленное
ISDN соединение -
устанавливает соединение с другим конвертером в сети конвертеров;
-
Удаленное
ISDN соединение В -
устанавливает транзитную связь не только с конвертером, но и с NЕАХ-ом и другими
цифровыми системами;
-
Разъединить
ISDN - разъединяет ранее
установленное соединение;
Войти в пункт
«Терминал» в Главном Меню. В зависимости от конфигурации конвертера (количества
и типа, установленных в нем плат) вид экранного окна может изменяться. В
качестве примера приведен вид экрана, представленный на (рисунке 5.3)
Для
проведения общих настроек ОТС должны быть проделаны следующие операции:
-
на
клавиатуре ПК нажать «Горячую» ( клавишу [F10]). После этого должно появиться
меню «Настройки ISDN», изображенное на (рисунке 5.4)
Описание
пунктов меню «Настройки ISDN» и их назначение приведено в таблице 5.1;
Рисунок 5.3
Рисунок 5.4
- выбрать в меню «Настройки ISDN» пункт «Настройки ОТС».
На экране должно появиться меню представленное на (рисунке 5.5) Описание пунктов меню «Настройки ОТС» и их назначение приведены в таблице 5.2;
- в меню
«Настройки ОТС» выбрать пункт «Порты Тангенты». На экране должно появиться
меню, представленное на (рисунке 5.6)
- в меню
«Настройки ОТC»
выбрать пункт «Набор от ПГС». На экране должно появиться меню, представленное
на (рисунке 5.7)
Рисунок 5.5
Рисунок
5.6
Рисунок 5.7
Таблица 5.1 - Назначение
пунктов меню «Настройки ISDN»
|
Пункт
меню
|
Назначение
|
Рекомендуемые
значения
|
Примечания
|
|
Длина
номера (min)
|
Минимальная
длина номера, отправляемая в SETUPE без выдержки времени и/или получении информации об
окончании номера
|
32
|
Исходящая
связь (для ОТС)
|
|
Длина
номера (mах)
|
-
|
32
|
Исходящая
связь (для ОТС)
|
|
Ожидать
конца набора
|
Ожидать
ли информационного элемента (конец набора)
|
Нет
|
Входящая
связь (для ОТС)
|
|
Передача Соnnected number
|
-
|
Нет
|
Исходящая
связь (для ОТС)
|
|
Передача
Calling number «АОН»
|
-
|
Да
|
|
|
Прием
Calling number «АОН»
|
-
|
Да
|
|
|
Вusy - tопе
|
-
|
Нет
|
Исходящая
связь (для ОТС)
|
|
Аring - tопе
|
-
|
Нет
|
Исходящая
связь (для ОТС)
|
|
ОТС
«F4»
|
-
|
ОТС
- Главная
|
|
Действие
тангенты распространяется на все включения абонента в групповые каналы. Данной
настройкой задается режим использования тангенты.
Таблица
5.2 - Назначение пунктов меню «Настройки ОТС»
|
Пункт меню
|
Варианты
|
Назначение
|
Рекомендуемое значение
|
|
Отключать передачу при DTMF
|
Нет
|
-
|
После первой (3)
|
|
После первой
|
|
|
|
После второй
|
|
|
|
После первой (3)
|
|
|
|
Время отключения передачи[мс]
|
От О до 5100мс
|
-
|
280
|
|
Ждать очередного DTMF [мс]
|
отО до 5100 мс
|
Максимальная пауза в наборе от диспетчера ЗООмс-набор
вручную затруднен
|
5100
|
|
Порты тангенты
|
-
|
См. ниже
|
подменю
|
|
Группа ДСП
|
00-63
|
Направление вызова от ПГС
|
ОО(NЕС)
|
В таблице 5.2
показана привязка номеров абонентов коммутационной станции NEAX 7400 к портам
конвертера, которые имеют детектор замыкания шлейфа (ДСУ, ПГС). Это позволяет
абоненту использовать кнопку тангенты (педаль), подключенную к конвертеру.
Ниже
приведено описание информации, представленной на экране:
- 6800 -
номер абонента в NЕС (четыре знака);
- 398 - порт
в конвертере (три знака);
- Управление
на станции - режим (выбирается из меню)
Для настройки
групповых каналов в меню «Настройки ISDN» выбрать пункт «Настройки групповых каналов».
При этом на экране должно появиться меню, представленное на (рисунке 5.8).
Данная
команда позволяет произвести настройку одного группового канала. Для этого
необходимо выбрать нужную строку и нажать клавишу «ЕNTER». При этом на экране
должно появиться меню «Настройки групповых каналов», представленное на (рисунке
5.9).
Рисунок 5.8
Рисунок 5.9
Выбрать пункт «Полный код
участка службы». На экране должно появиться меню, представленное на (рисунке
5.10).
Рисунок 5.10
Таблица 5.3 – Описание пунктов меню
«Настройки групповых каналов»
|
Пункт меню
|
Пояснения
|
Пример
|
|
Полный код участка службы
|
DОКККМММNNNNLLL.
02-направление
1-в сторону уменьшения
номеров
О-в
сторону увеличения
номеров
ККК-Код ГК (цепи)
МММNNNN - Полный номер
диспетчера
LLL -Код Конечной Станции
Круга
|
направление-02
Круг - 800
ДНЦ-4636803
Последняя станция
круга-463
Результат
02-800-4636803-463
|
|
Группа Аналоговых линий
|
Группа Аналоговых линий,
включающая в себя ответвления ГК полупостоянно
входящие в канал. После Группа внесения номера группы и/или
включения линии в состав группы линия автоматически
подключится к каналу
(ДСУ,
ИС2-8, ИС4).
|
13
|
|
Пункт
меню
|
Пояснения
|
Пример
|
|
Тип
|
ДС - регистрация
ДС - автомат
ПС – автоматическая
ПС - регистрация
ПРС
Выделенная
|
ДС - регистрация
|
|
Автовызов диспетчера
|
Нет, вызов диспетчера не
посылается
Есть, вызов диспетчера посылается
|
Нет
|
|
Циркуляр без
КПС
|
КПС
ЦВ
Иное – не использовать
|
-
|
|
Абоненты
|
Количество абонентов ЦВ
|
16
|
|
Рестарт
|
Все - перезапуск ГК в данной точке и последующих
Аналоговые
Все кроме диспетчера
|
Все
|
цифровой
связь канал диспетчерский
С клавиатуры произвести изменения в меню «Полный код
участка службы» и нажать клавишу «ENTER».
Описание
пунктов меню «Настройки групповых каналов» с пояснениями и примерами приведено
в таблице 5.3
Каждый порт в
конверторе имеет трехзначный десятичный номер, указанный в таблице 5.4
Код
взаимнооднозначно определяет номер порта.
На аналоговых
платах порты нумеруются подряд, например:
- ПГС - 360,
361, ...,367;
- Порт - СО,
С1, ...,С7.
Для настройки
групповых линий необходимо проделать следующие операции: набрать на клавиатуре
«Alt+N». При этом на экране
должно появиться следующее меню, приведенное на (рисунке 5.11)
Пункты меню
«Системные Настройки» и их описание приведены в таблице 5.5
Приведем
более подробное описание пункта «Настройки Цифровых плат» меню «Системные
Настройки».
Установить
курсор на строку «Настройки Цифровых плат» и нажать клавишу «ENTER». При этом на экране
должно появиться меню, представленное на (рисунке 5.12)
Выбрать
нужную строку, установить на нее курсор и нажать клавишу «ENTER». При этом на экране
должно появиться меню, представленное на (рисунке 5.13)
Рисунок 5.11
Рисунок 5.12
Рисунок 5.13
Таблица 5.5 –
Описание пунктов меню «Системные Настройки»
|
Пункт меню
|
Описание
|
Значения
|
|
Исходящие
внешние
группы ГЛ
|
Позволяет создать /
изменить / просмотреть
группы внешних линий.
Данные группы задают
маршруты исходящей связи
и пучки аналоговых
ответвлений ГК, а также их
параметры
|
Для ОТС принято:
00-NЕС
01 - назад
02 - вперед
07- в NЕС с
префиксом
10-СДС
11 - ЭДС
13-ПДС
14-ПС
18-ПРС
|
|
Входящие
внутренние
группы ТА
|
Для ОТС используется только в тестовых режимах
|
-
|
|
Предел
длительности
разговоров
|
Устанавливает
максимальную
продолжительность для
местных, внешних, междугородних разговоров
|
Для ОТС не используется
|
|
Усиления сигнала
|
Позволяет регулировать
громкость разговора для ТА,
для внешних аналоговых и
цифровых линий при
местной и внешней
аналоговой и цифровой связи, а также при организации
конференции
|
-
|
|
Настройки цифровых плат
|
Позволяет выбрать нужную
цифровую плату,
просмотреть и заменить
настройки
|
-
|
|
Скорость СОМ1
|
Позволяет настроить
СОМ - порт на требуемую
скорость обмена
|
115200 (по умолчанию)
|
|
Операции с флэш-памятью
|
Позволяет сохранить
настройки станции при сбоях
ОЗУ
|
-
|
|
Пункт меню
|
Описание
|
Значения
|
|
Цифра
активизации
DISA
|
Определяет цифру, которую
необходимо набрать для
активизации DISA при
переходе от импульсного
набора к тональному
|
-
|
|
Ночной режим
|
В ОТC не
используется
|
-
|
|
Дневной режим
|
В ОТC не
используется
|
-
|
|
Настройки
внешней
входящей
(Аlt+Е)
|
В ОТC не
используется
|
-
|
|
Настройки
Автоответчика
(Аlt+А)
|
В ОТC не
используется
|
-
|
|
Настройки R2/R15(Аlt+R)
|
Используется для программирования работы
станции в качестве Конвертера
|
-
|
|
Настройки АОН(п)
|
Позволяет программировать
параметры АОНа для двухпроводных линий и R1,5
|
-
|
|
Настройки времен
Контроля (Аlt+Т)
|
Устанавливает ограничения длительности разговоров
(транзитных). В ОТС используется пункт меню
«Продолжительность разговора», который задает
продолжительность
коммутируемых соединений
МЖС, ПГС-ДСП, Место
работ (ПГС) и других не
групповых соединений
|
По умолчанию 12 часов. Выдается
в формате: ЧЧ:ММ:СС:МСК
|
|
Запреты
функции для
ТА (Аlt+В)
|
Позволяет
запретить/разрешить местному абоненту
пользоваться
дополнительными видами
обслуживания
|
-
|
|
Пункт меню
|
Описание
|
Значения
|
|
|
Прочие Настройки (А11+Р)
|
Служат для задания параметров, не нашедших отражение в
других подменю
|
-
|
|
|
Установить настройки по умолчанию
|
Устанавливает настройки, записанные в теле программы
|
Пункт не использовать
|
|
|
|
|
|
|
|
|
|
В подпункте
«Физическая сигнализация» имеется возможность управлять платой РСМ7 (в целях
тестирования системы , когда необходимо включить или выключить; произвести
внешний, внутренний или релейный заворот; дать рестарт; вывести из
обслуживания. В подпункте «Тип сигнализации» для ОТС всегда должно быть
значение «ISDN», подпункт «Линейная сигнализация» для ОТС практически не
используется.
Рассмотрим
более подробно подпункт «Физическая сигнализация». При нажатии клавиши «ENTER», на экране должно
появиться меню, представленное на (рисунке 5.14)
Рисунок 5.14
Конвертер
может иметь внутренний или внешний источник синхронизации. В качестве источника
внешней синхронизации может использоваться плата РСМ7. При этом должны
соблюдаться следующие условия:
- плата должна
получать устойчивый 2-х Мбит внешний синхросигнал;
-
плата
должна иметь приоритет больше 0;
при наличии нескольких
плат приоритет должен быть наивысшим;
- при
наличии двух плат с одинаковым приоритетом выбирается плата, имеющая меньший
номер разъема для установки печатных плат (SLOT);
- при наличии плат с 0-ым
приоритетом или при неустойчивой работе с 2-х Мбит потоком конвертер использует
внутренний источник синхронизации.
На (рисунке
5.15) представлено окно меню по выбору приоритета.
Рисунок 5.15
Выбрать пункт
меню «Исходящие внешние группы ГЛ», при этом на экране должно появиться меню,
представленное на (рисунке 5.16 Обязательно должны быть запрограммированы
пункты «Основная» группа (линии, выход на которые осуществляется набором «О») и
«Междугородняя» группа (линии, достаточные для междугородней связи).
Рисунок 5.16
Остальные
линии программируются по необходимости. В этом случае необходимо выбрать
курсором нужную группу и нажать клавишу«ENTER». На экране должно
появиться окно «Введите номер Группы от 00 до 62». С клавиатуры введите номер
группы и нажмите клавишу«ENTER». После этого на экране должно появиться меню
«Параметры группы», представленное на (рисунке 5.17)
Рисунок 5.17
Таблица 5.6 – Описание
пунктов меню «Параметры группы»
|
Пункт меню
|
Назначение
|
Значение по умолчанию
|
|
Запрет
|
Отображает наличие/ отсутствие выхода на
данную группу линий
|
Нет
|
|
Состав
|
Отображает линии, входящие в данную
группу
|
Подменю
|
|
Специальный Порядок
|
Отображает наличие/отсутствие
специального порядка поиска
свободной линии в группе
|
Нет
|
|
Принцип Поиска
|
Отображает принцип поиска свободной линии в группе
|
Следующий
|
|
Направление Поиска
|
Определяет в каком
направлении будет осуществляться поиск
|
Прямое
|
|
Пункт
меню
|
Назначение
|
Значение по умолчанию
|
|
Применение
Приоритетов
|
Указывает
как можно
использовать
приоритеты
местных
ТА и внешних линий
|
Доступ и Поиск
|
|
Ограничения
Доступа
|
Позволяет
обойти матрицу
запретов
и быстро реконфигурировать систему
|
Да
|
|
Пункт меню
|
Назначение
|
Значение
по умолчанию
|
|
Применять
Префикс Линии
|
Определяет
набирать ли префикс линии, если выход на
станцию
осуществляется в составе группы
|
По умолчанию
|
|
Набор
Номера
|
Определяет
правила набора номера при обращении линии из группы
|
-
; 8 → М
|
|
Условные
переходы
|
Показывает
используются ли
условные
переходы в случае
выхода
по линии из группы
|
Да
|
|
Переписать
из…..
|
Позволяет
скопировать
параметры,
заданные для
другой
группы линий, если эти
параметры
совпадают
|
-
|
|
ОК
|
Сохраняет
запрограммированный
состав группы
|
-
|
|
Отмена
|
Отменяет
заданные в меню«Параметры группы» исправления
|
-
|
Далее следует
выбрать пункт «Состав» и нажать клавишу «ENTER». При этом экран должен
иметь вид, приведенный на (рисунке 5.18)
В данном окне
имеется возможность просмотреть все ГЛ и включить нужные. Знак «+» означает,
что данные линии включены. Клавиша «ENTER» позволяет включать/исключать линии в группу.
Кроме того,
имеется возможность произвести изменения всех групп линий. Экран при этом
должен иметь вид, представленный на (рисунке 5.19).
Рисунок 5.18
Рисунок 5.19
Рисунок 5.20
После завершения всех процедур необходимо
подтвердить проведенные изменения, ответив «Да» на запрос «Сохранить
изменения?». Окно экрана должно иметь вид, представленный на (рисунке 5.21).
Рисунок 5.21
Для проведения настроек DSР в меню «Системные
Настройки» выбрать пункт «Настройки DSР». Этот пункт позволяет настроить спецпроцессоры
обработки сигналов, входящих в состав станции. При этом на экране должно
появиться меню, представленное на (рисунке 5.22).
Рисунок 5.22
Меню
«Настройки DSР» позволяет выбрать одну из программ работы DSР. Для проведения
настроек какого-либо DSР необходимо установить курсор на нужную строку и
нажать клавишу «ENTER». Для программы DTMF вид экрана представлен на (рисунке 5.23).
Рисунок 5.23
Параметры
«Шумовой порог мощности» и «Нижний предел мощности максимума» отвечают за
чувствительность приемников, а параметры «Ножницы в паре по мощности» и «Третий
пик от минимакса» отвечают за помехоустойчивость. Данное меню представлено на
(рисунке 5.24) Эти параметры задаются либо в собственных единицах DSP, либо в дБ.
Программируется это с помощью параметра «Формат». Параметры «Линии» позволяют
настроить DSР на различные группы каналов. Для ОТC линии 0,1 обслуживают
слоты 0,2, а линии 2,3 -слоты 4,6. Для DSP не равным 0 по умолчанию
устанавливаются линии 0,1 , для DSР не равным 1 по умолчанию устанавливаются линии
2,3.
Для программы
\/АD экран должен иметь вид,
представленный на (рисунке 5.25). В данном меню наиболее важным является
параметр «Порог детектирования речи (УУГ)».
По умолчанию
этот параметр устанавливается равным 1000 ед. DSР, что приблизительно
равно минус 41,З дБ. Данный параметр является общим для всей станции. Параметр
«линии» для программы VAD должен быть установлен 4,5.
Рисунок 5.24
Рисунок 5.25
5.2
Программирование станции NEAX 7400
Основные понятия системы программирования:
- абонент. Внутренний
абонент системы характеризуется уникальным номером (1, 2-х, 3-х, 4-х, или 5-значным).
Основные параметры, описывающие свойства станции, определяются в командах 12,
13. К таким параметрам относятся:
а) вид абонентского
окончания - аналоговый телефон, цифровой пульт, аналоговый модем, линия «прямой
вызов», виртуальная линия;
б) тип
абонентской линии - пульсовая, тоновая или смешанная;
- ограничения
- определяются для дневного и ночного режима однозначным номером (от 1 до 8).
Этот номер влияет на возможность доступа абонента (отдельно для входящих и
выходящих вызовов) к конкретной линии;
- класс обслуживания
- определяет основные функции, доступные данному абоненту. Имеется 3 класса
обслуживания каждый из которых имеет 16 подклассов. Каждый из 3-х классов имеет
свой, строго определенный набор функций;
- группа
абонентов - абоненты могут разбиваться на группы с различным правом доступа к линиям
и функциям системы. По умолчанию, все станции находятся в группе 0;
- абонентская
линия может быть аналоговой или цифровой. Это определяется в команде 10, которая
отражает соответствие физических и логических объектов системы;
- линии. Внешнии
линии подходящие к системе. Основные параметры определяются в команде 30;
- группа линий
(направление). Линии объединяются в группы. По умолчанию, все линии находятся в
нулевой группе;
- - номер группы абонентов.
Если абоненты находятся в разных группах, данный параметр
определяет, какой группе абонентов доступна данная линия;
- доступ по
линии для дневного и ночного режима. Параметр определяет характер прихода
входящего вызова по данной линии. В системе NЕАХ7400 существуют
следующие варианты обслуживания входящего вызова:
а) вызов
приходит на все цифровые пульты, на которые выведены соответствующие линии.
Осуществить соединение с внешним абонентом возможно с любого такого цифрового
пульта. При этом собственно звонок и/или идентификацию вызова возможно запретить
для любой линии любого цифрового пульта. Если на пульт линия не выведена, то
соединение с внешним абонентом не возможно. Заметим, что при таком методе
организации, приход вызова на аналоговую станцию осуществляется только через
функцию ТRF;
б) вызов
приходит на конкретное абонентское окончание (DIТ);
в) вызов
приходит на консоль оператора;
г) режим DID - от внешнего абонента требуется
тональный донабор внутристанционного номера;
- абонент доступа.
Для режима DIТ, данный параметр определяет конкретного абонента, на которого
приходит вызов для дневного и ночного режимов;
- абонент
занят или не отвечает (дневной и ночной режим). Параметр определяет реакцию
вызова в режиме DIТ, если абонент, на которую направлен вызов, занята или не отвечает:
звонок, автоматическое "присоединение", переадресация на оператора;
- идентификационный номер
линии. Определяет уникальный номер, позволяющий получить доступ к данной линии;
- группа линий
(Направление). Описываются физические параметры, методы доступа для каждой входящей
в группу линии;
- тип группы
линий. СО, ТIЕ
линии;
- тип набора
по линии. Параметр определяет посылку сигнала в пульсе или в тоне;
- направление
вызова. Определяет группу входящих вызовов, группу исходящих вызовов, группу
вызовов в обоих направлениях;
- сигнализация
при входящем и исходящем вызовах;
- временные
характеристики при наборе в тоне и пульсе;
- частота
звонка при входящем вызове;
- ограничения
доступа к линии при входящих и исходящих вызовах;
- классы обслуживания.
В системе имеется 16 классов обслуживания. Каждый класс характеризуется возможностью
или невозможностью абонентом данного класса инициировать определенную функцию
системы. При этом сами функции делятся на три группы (А, В, С). Таким образом,
доступные абоненту функции системы определяются тремя цифрами от 0 до 15;
- класс
ограничений. Для каждого абонента определяется класс ограничений для дневного и
ночного режимов. Класс используется для ограничения доступа к группам линий,
включая набор определенных цифр. Всего имеется 7 классов (от 1 до 7), однако
для СО-линий можно использовать лишь пять классов ограничений. Для каждой
группы линий и каждого класса ограничений указывается, доступна ли данная
группа для абонента данного класса или нет (отдельно для организации исходящих
и приема входящих вызовов). При попытке организовать исходящий выход по неразрешенной
линии, дается сигнал отбоя, а на LCD дисплее высвечивается RST;
- функции системы.
Функциональные возможности системы можно разделить на ряд уровней;
- собственно станционные
функции. Имеется большое количество параметров системы программирования, которые
определяют функционирование системы NЕАХ7400 в целом. Например, посылка
предупреждающего тона при вхождении в чужой разговор, реакция системы на
вторичное нажатие клавиши Flash при организации переадресации вызова на аналоговом
телефоне, использование стандартного процессора или процессора приложений при организации
удаленного доступа к системе и многое другое. Данные параметры описываются в
команде 08;
- функции,
доступные абоненту. Доступное абоненту множество функций определяется его
классом обслуживания (команды 12, 15);
- нумерационный
план. Определяется множество функций, которые могут быть инициированы набором
кода доступа. Имеется возможность, формально разрешив абоненту какую-либо
функцию, фактически лишить его возможности ее инициировать, удалив
соответствующий код доступа из нумерационного плана;
- цифровой
пульт. Под клавиши цифрового пульта могут быть запрограммированы определенные,
доступные абоненту, функции. В целом, эти функции аналогичны функциям,
инициируемым набором кода доступа, хотя имеются и исключения (некоторые функции
доступны только с цифрового пульта и наоборот).
При
программировании станции с помощью программы MATWorx, после запуска программы
необходимо выбрать меню «МОС» из меню «Function» (рисунок 5.26).
После
загрузки появиться окно (рисунок 5.27). После появления на дисплее строки
«СОММАND =», нажать F9 (система готова к работе).
Функции
клавиш управления приведены в таблице 5.7
Рисунок 5.26
Таблица
5.7 – Функции клавиш управления
|
Клавиша
|
Функция клавиши
|
|
A
|
Символ *
|
|
B
|
Символ #
|
|
C
|
Используется для удаления текущих значений (в
цепочке ССС)
|
|
D
|
Символ, непосредственно используемый в некоторых
командах
|
|
E
|
Символ, непосредственно используемый в некоторых
командах
|
|
F
|
Символ, непосредственно используемый в некоторых
командах
|
|
ST
|
Выход на начало режима программирования (система
готова к вводу номера команды)
|
|
СЕ
|
Выход на уровень текущей команды (система готова к
вводу операнда 1 текущей команды)
|
|
S
|
Листание вперед по операнду 1
|
|
-
|
Листание назад по операнду 1
|
|
,
|
Разделитель
|
|
<-
|
Забой
|
|
DE
|
Чтение номера команды или операнда 1
|
|
EXE
|
Запись операнда 2 в память
|
Структура
команд имеет следующий вид:
ХY > Операнд 1: Операнд
2
где X - номер основной команды
Y - расширение команды
(основные команды расширения не имеют)
Операнд 1 - некоторая
ячейка
Операнд 2 - значение
ячейки
Рисунок 5.27
Для примера
рассмотрим подключение к коммутационной станции ДСП.
Под линейные
клавиши цифрового пульта прописываются виртуальные номера, которые используется
для подключения к групповому каналу, для вызовов абонентов, для МЖС и ПГС.
Остальные линейные клавиши могут являться клавишами "станционного
скоростного набора".
Общие
установки:
10 > 002:
Р6100 - присвоение номера на физическом порту;
93 > 6100:
6100 - обозначение "моя линия";
1224 >
6803: 0 - используется пульт DТР - 32, 24 линейных клавиши и 8 непрограммируемых клавиш
"станционный скоростной набор";
1222 >
6803: 0 - для всех цифровых пультов;
1201 >
6803: 22 - класс ограничений 22 для ДСП, разрешено подключение к групповому
каналу и МЖС;
120 >
6803: 31 - тенант 31 для клавиши "моя линия" ДСП;
1309 >
6803: 0 - уровень затуханий в голосовом канале;
Виртуальные
номера:
11 > 001:
6101 - виртуальный номер для подключения к групповому каналу;
11 > 006:
6106 - виртуальный номер для вызова абонент;
11 > 007:
6330 - виртуальный номер для МЖС
11 > 008:
6331 - виртуальный номер для МЖС;
11 > 009:
6198 - виртуальный номер для ПГС;
11 > 010:
6199 - виртуальный номер для ПГС;
1201 >
6101: 33 - класс ограничений 33 для всех виртуальных номеров, МЖС, ПГС пульта
ДСП;
1201 >
6199: 33 кроме клавиши "моя линия";
1204 >
6101: 30 - тенант 30 для всех виртуальных номеров, МЖС, ПГС пульта ДСП;
1204 >
6199: 30 кроме клавиши "моя линия";
Линейные
клавиши:
9000 >
6100,01: 6101 - линейная клавиша 01-виртуальный номер 6101;
9000 >
6100,06: 6106 - линейная клавиша 06-виртуальный номер 6106;
9000 >
6100,07: 6330 - линейная клавиша 07-виртуальный номер
6330, МЖС;
9000 >
6100,08: 6331 - линейная клавиша 08-виртуальный номер
6331, МЖС;
9000 >
6100,09: 6198 - линейная клавиша 09-виртуальный номер 6198, ПГС;
9000 >
6100,10: 6199 - линейная клавиша 10-виртуальный номер 6198, ПГС;
9000 >
6100,11: F1111 - линейная клавиша 11, 11-я ячейка функции "станционный
скоростной набор", вызов абонента;
9000 >
6100,24: 6100 - линейная клавиша 24 - "моя линия";
Значение
линейных клавиш подключения к групповому каналу:
1203 >
6101: 04 - номер 6101 - "прямой вызов";
5201 > 0:
6101 - вызывающая сторона - виртуальный номер 6106;
5201 > 1:
С01 - вызываемая сторона-значение ячейки 06 функции "системный скоростной
набор";
720 > 101:
03,2053536103353 значение ячейки 01, код
подключения к
групповому каналу;
Значение
линейных клавиш вызова абонентов:
1203 >
6106: 04 - номер 6106 - "прямой вызов";
5206 > 0:
6106 - вызывающая сторона - виртуальный номер 6106;
5206 >1:
С06 - вызываемая сторона - значение ячейки 06 "системный скоростной
набор";
720 > 106:
АО,7003 - значение ячейки 06 - вызываемый абонент той же станции;
73 > 6100:
200103 - область памяти для функции "станционный скоростной набор", 3
десятка ячеек, начиная со 2 сотни;
740 >
2011: А4,3536120 - значение ячейки 11, вызываемый абонент- виртуальный номер
другой станции;
Значение
линейных клавиш МЖС:
1203 >
6330: 04 - номер 6330 -"прямой вызов";
5230 >
0:6330 - вызывающая сторона - виртуальный номер 6330;
5230 > 1:
СЗО - вызываемая сторона-значение ячейки 30 "системный скоростной
набор";
720 > 130:
А1,3546331 - значение ячейки 30, вызываемый абонент - виртуальный номер 6331
соседней станции;
1203 >
6331: 04 - номер 6331 - "прямой вызов";
5231 > 0:
6331 - вызывающая сторона - виртуальный номер 6330;
5231 > 1:
С31 - вызываемая сторона-значение ячейки 31 "системный скоростной
набор";
720 > 131:
А1,3526330 - значение ячейки 30, вызываемый абонент виртуальный номер 6330
соседней станции;
Значение
линейных клавиш ПГС:
1203 >
6198: 04 - номер 6198 - "прямой вызов";
1203 >
6199: 04 - номер 6199 - "прямой вызов";
Значение
функциональных клавиш:
9000 >
6100,90: F1020
- клавиша "расcоединение";
9000 >
6100,92: F1100
- функциональная клавиша 92 - ячейка 00 функции "станционный скоростной
набор", кнопка подключения вызова по ПГС к требуемому групповому каналу;
740 >
2000: В,ВВВВ - значение ячейки 00;
9000 >
6100,94: F1017
- функциональная клавиша 94 - включение микрофона;
9000 >
6100,95: F1016
- функциональная клавиша 95 - включение динамика.
6. Разработка
алгоритмов программирования диспетчерских и промежуточных пунктов
6.1
Организация управления системой
В системе ОТС
используется сетевое управление коммутационными станциями при помощи терминала
управления. Общая схема организации центра управления и контроля в системе
управления ОТС показана на (рисунке 6.1)
Рисунок 6.1
Сетевое
управление возможно при подключении терминала управления через внешний модем и
производится путем коммутируемого соединения со встроенным модемом центральных
процессоров каждой станции сети.
Возможно
локальное управление на отдельной коммутационной станции сети. Локальное
управление осуществляется при подключении
терминала управления непосредственно напрямую к RS-порту центрального
процессора.
Комплекс поставляется с
полностью готовыми к работе программными средствами. При организации нового
центра управления, модернизации комплекса, при смене программного обеспечения
комплекса и при смене программного обеспечения управления комплексом необходимо
учитывать все требования, предъявляемые техническим руководством данного
комплекса.
6.2 Терминал
управления
При этом в состав
терминала управления входят:
- персональный компьютер;
- внешний модем ZyXEL U-1496Е;
- программы обеспечения управления,
инсталлированные на персональном компьютере;
- кабель RS-232 для подключения ПК к модему;
- кабель (1-парный) для
подключения модема к аналоговому порту кросса.
Выполняются следующие
функции:
- соединение с любой
коммутационной станцией NEAX 7400 сети;
- сбор и анализ аварийных
сообщений;
- настройка параметров
коммутационных станций NEAX 7400;
- загрузка и сохранение
конфигураций коммутационных станций NEAX 7400.
Подключение терминала
управления представлено (рисунок 6.2)
При
обслуживании системы может применяться две схемы подключения терминала
управления:
- основной
вариант подключения - подключения через модем. Используется для удаленного
доступа к коммутационным станциям сети. Внешний модем подключается к порту
аналоговых абонентских линий на кроссе и к СОМ порту персонального компьютера;
-
дополнительный вариант подключения - прямое подключение, является локальным и
используется для управления одной коммутационной станцией. Персональный компьютер
через СОМ-порт при помощи специальных кабелей (МАТ СА-Т (2м, 9рin), МАТ СА-Р (4м, 25рin), МАТ СА-R (2м, 25pin)) подключается к порту RSО или RS1 центрального процессора
(плата РN-14СР14).
В процессе
соединения с коммутационной станцией сети в режиме программы MATWorX необходимо сделать
первоначальную конфигурацию по настройке соединения с каждой коммутационной
станцией сети. Такая процедура выполняется один раз, затем в процессе
эксплуатации для соединения с каждой коммутационной станцией сети достаточно
вызвать из меню название нужной станции.
При настройке
соединения с одной из станций сети необходимо войти в меню «Аррlication» -
«Configuration Wizard» (рисунок 6.3), а
в меню
«Configuration Wizard» нажать «Next» (рисунок 6.4)
Рисунок 3.28
В появившемся
меню выбрать «Modem connect» (модемное соединение) и нажать «Next» (рисунок 6.5), затем нажать
«Locate» (рисунок 6.6). После
идентификации модема (рисунок 6.7) нажать «Уеs».
Рисунок 6.5
Рисунок 6.6
Рисунок 6.7
В следующем
меню нажать «Next» (рисунок 6.8), далее вводим название станции, название станции
сети желательно присваивать латинскими буквами и указывать номер станции,
например: «426-Vostok» (рисунок 6.9)
Рисунок 6.8
Рисунок 6.9
Далее выбрать
функцию «Nо»,и
нажать «Next» (рисунок 6.10), в следующем меню необходимо выбрать «Advansed» (рисунок 6.11). Затем
вписать номер станции в сети и номер модема «6999», для нашего случая «4626999»
(рисунок 6.12).
Рисунок 6.10
Рисунок 6.11
Рисунок 6.12
Выбрать
пульсовый набор (рисунок 6.13). Далее операцию «Nо» и нажать «Next» (рисунок 6.14)
Рисунок 6.13
Рисунок 6.14
В следующем
меню нажать «Test Connection» (рисунок 6.15). Если все шаги были выполнены правильно,
появится надпись «А test connection was finished normally» (рисунок 6.16),
пометьте строку «Maintine PBX and connection state» и нажмите «Finish» для сохранения
конфигурации настройки
Рисунок 6.15
Рисунок 6.16
6.3.1
Программирование
цифровых пультов
В качестве ПО управления
коммутационной станцией используется программа MATWorX. Терминал управления поставляется с установленной
программой, которая обычно находится на диске «С» в директории «MATWorX». В этой же директории хранятся
файлы с конфигурациями станций, вида itsd ххх.ofd. Схема организации программного обеспечения
представлена на ( листе 6 графического материала).
Входим в меню «РВХ» - «Соnnect», выбираем из списка нужную станцию
сети и нажимаем «Ок». Если соединение
произошло нормально, то в правом верхнем углу появится знак подтверждения.
После запуска
программы необходимо выбрать меню «МОС» из меню «Function» (рисунок 6.17). После
загрузки появиться окно (рисунок 6.18). После нажать клавишу [F9], появится на дисплее
строка «СОММАND=»,
Для программирования
пультов. прежде всего необходимо прописать порты на которых будут цифровые
пульты. Входим в режим программы номер 11. СМ11 – программа присваивания
виртуальных номеров станции:
11 > 023: 6050 23
порту мы присвоили виртуальный номер 6050;
11 > 024: 6051 24
порту мы присвоили виртуальный номер 6051;
11 > 025: 6052 25
порту мы присвоили виртуальный номер 6052;
11 > 026: 6053 26
порту мы присвоили виртуальный номер 6053;
11 > 027: 6054 27
порту мы присвоили виртуальный номер 6054;
11 > 028: 6055 28
порту мы присвоили виртуальный номер 6055;
11 > 029: 6056 29
порту мы присвоили виртуальный номер 6056;
11 > 032: 6057 32
порту мы присвоили виртуальный номер 6057;
11 > 033: 6058 33
порту мы присвоили виртуальный номер 6058.
Далее нажимаем F2.
Появляется надпись – ОК.
Рисунок 6.17
Рисунок 6.18
Далее необходимо
прописать пульты. Входим в режим программы номер 10. СМ10 - программа
присвоения номера на физическом порту:
10 > 023: F6100;
10 > 024: F6500;
10 > 025: F6803.
Входим в
программу номер 93. СМ93 – программа обозначения "моя линия";
производим активизирование номера, указанного в программе СМ10 следующим
образом:
93 > 6100:
6100;
93 > 6500:
6500;
93 > 6803:
6803.
Далее входим
в программу номер 1224. СМ1224 – программа использования пультов, в зависимости
от назначения и от количества клавиш:
1224 >
6100: 0 - используется пульт DТР-32, 24 линейных клавиши и 8 непрограммируемых клавиш
"станционный скоростной набор";
1224 >
6500: 0;
1224 >
6803: 0
Входим в
программу номер 1222. СМ1222 – программа использования всех цифровых пультов:
1222 >
6100: 1 - для всех цифровых пультов;
1222 >
6500: 1;
1222 >
6803: 1.
Входим в
программу номер 1201. СМ1201 – программа присваивания ограничения номеру:
1201 >
6100: 22 - класс ограничений 22 для ДСП, разрешено подключение к групповому
каналу и МЖС;
1201 >
6500: 22 - класс ограничений 22 для ДСП, разрешено подключение к групповому
каналу и МЖС;
1201 >
6803: 44 - класс ограничений 44 для диспетчера, разрешена регистрация.
Входим в
программу номер 1204. СМ1204 – программа распределения номеров по тенантам
(группам):
1204 >
6050: 30 - виртуальному номеру 6050 присвоен тенант 30 – кнопка связи с
диспетчером;
1204 >
6051: 30 - виртуальному номеру 6051 присвоен тенант 30 – кнопка связи с
диспетчером;
1204>6803:
30 - номеру 6803 присвоен тенант 30 – диспетчера.
Далее
переходим к программе номер 52ХХ. СМ 52ХХ - программа назначения пары Hot Line
(прямых абонентов). Назначается для двух номеров: от кого и куда пойдёт вызов
для каждого номера пары:
Операнд 0 –
откуда идёт вызов (с номера 6050);
Операнд 1 –
куда идёт вызов (на номер 6051).
5250 > 0:
6050;
5254 > 1:
6056;
5251 > 0:
6051;
5256 > 0:
6056;
5251 > 1:
6050;
5253 > 1:
6052;
5256 > 1:
6054;
5252 > 1:
6053;
5253 > 0:
6053;
5252 > 0:
6052;
5254 > 0:
6054;
5250 > 1:
6051;
5255 > 0:
6803;
5258 > 0:
6055;
5255 > 1:
6057;
5258 > 1:
6057;
5257 > 0:
6057;
5257 > 1:
6055.
Далее нажимаем F8.
Появляется надпись – ОК.
Переходим к
программе номер 9000. СМ 9000 - программа назначения многофункциональных кнопок
цифрового пульта:
9000 >
6100,12: 6051; - под кнопку 12 абонента 6100 прописан виртуальный номер 6051;
9000 >
6100,18: 6056; - под кнопку 18 абонента 6100 прописан виртуальный номер 6056;
9000 >
6100,17: 6052; - под кнопку 17 абонента 6100 прописан виртуальный номер 6052;
9000 >
6500,11: 6050; - под кнопку 11 абонента 6500 прописан виртуальный номер 6050;
9000 >
6500,17: 6051; - под кнопку 12 абонента 6100 прописан виртуальный номер 6053;
9000 >
6500,18: 6057; - под кнопку 18 абонента 6500 прописан виртуальный номер 6057;
9000 >
6803,17: 6054; - под кнопку 17 абонента 6803 прописан виртуальный номер 6054;
9000 >
6803,18: 6055; - под кнопку 18 абонента 6803 прописан виртуальный номер 6055;
9000 >
6803,17: 6054; - под кнопку 17 абонента 6803 прописан виртуальный номер 6054;
9000 >
6803,01: 6803; - под кнопку 01 абонента 6803 прописан М – Line;
9000 >
6803,90: F1020; - под кнопку 90 абонента 6803 прописана функция Release,
рассоединение;
9000 >
6803,94: F1017; - под кнопку 94 абонента 6803 прописана функция (Speaker)
- включение микрофона;
9000 >
6803,95: F1016; - под кнопку 95 абонента 6803 прописана функция (Answer)
- включение динамика;
9000 >
6803,96: ССС; - удалена на всех пультах, кроме диспетчерских.
9000 >
6100,90: F1020; - под кнопку 90 абонента 6100 прописана функция Release,
рассоединение;
9000 >
6100,94: F1017 ; - под кнопку 94 абонента 6100 прописана функция (Speaker)
- включение микрофона;
9000 >
6100,95: F1016; - под кнопку 95 абонента 6100 прописана функция (Answer)
- включение динамика;
9000 >
6500,90: F1020; - под кнопку 90 абонента 6500 прописана функция Release,
рассоединение;
9000 >
6500,94: F1017; - под кнопку 94 абонента 6500 прописана функция (Speaker)
- включение микрофона;
9000 >
6500,95: F1016; - под кнопку 95 абонента 6500 прописана функция (Answer)
- включение динамика;
Подключение абонентов к
групповому каналу и вызов диспетчера программируется при помощи функции Hot
Line. Под кнопку цифрового терминала прописан виртуальный номер (в
нумерационном плане для этой цели отведены номера 6101-6169). Следует помнить,
что виртуальные порты (СМ11) для номеров 6001-6069 и 6101-6169 используются
одни и те же, а изменяется вторая цифра номера. Однократным нажатием посылается
прописанный в соответствующей ячейке памяти (СМ720>xxx>код) код на ССПС,
который в свою очередь открывает доступ в групповой канал. Обычные абоненты ОТС
должны иметь класс ограничений (СМ1201) на М-line равный 55 (разрешен доступ в
групповой канал), а все виртуальные номера – 33 (принадлежность к ОТС). После
установления связи с групповым каналом (включается счетчик времени на дисплее
цифрового терминала) требуется вызвать диспетчера голосом. Выйти из группового
канала можно, отжав клавишу ANS, либо положив трубку. Следует отметить, что при
работе с групповым каналом необходимо пользоваться педалью, либо отключать
каждый раз микрофон (клавиша SPKR) вручную (в новых моделях цифр пультов
микрофон отключится сам после небольшой задержки), если педаль отсутствует. В
противном случае групповой канал будет засоряться посторонними шумами и
возможно возникновение заиканий.
Для программирования
пульта ДСП с номером 6100 для подключения к групповому каналу переходим к
программе номер 71. СМ71 – программа проверки отведения области памяти функции
Hot Line
71 > 65: 100100;
– проверка отведения области памяти функции Hot line;
9000 >
6100,01: 6101 – под
кнопку 01 абонента 6100 прописан виртуальный номер 6101;
5251 > 0: 6101 – номеру 6101 присвоена ячейка
Hot Line 01;
5259 > 1: С09 - из
ячейки Hot Line 01 вызов пересылается на ячейку памяти 109,
720 > 101:
03,8024636101463 - в ячейке памяти 109 прописан код выхода в групповой канал,
где 03,8004636101463:
03, – означает войти в групповой канал
как абонент в сторону увеличения номеров станций в круге
800 – означает номер
группового канала (круга), его офис код,
4636101 – номер станции
откуда идёт вызов и номер абонента, который вызывает диспетчера,
463 – повтор номера
станции вызывающей диспетчера.
1201 > 6101: 33 -
виртуальному номеру 6101 присвоен класс ограничения 33,
1204 > 6101: 30 -
виртуальному номеру 6101 присвоен тенант 30 – кнопка связи с диспетчером;
1203 > 6101: 04 -
виртуальный номер 6101 назначен как Hot Line
Для программирования
пульта с номером 6500 для подключения к групповому каналу переходим к программе
номер 71. СМ71 – программа проверки отведения области памяти функции Hot Line:
71 > 65: 100100;
- проверка назначения области памяти, отведенной Hot Line,
9000 >
6500,01: 6102 – под
кнопку 01 абонента 6500 прописан виртуальный номер 6102;
5201 > 0: 6102 – номеру 6102 присвоена ячейка
Hot Line 02;
5201 > 1: С02 - из
ячейки Hot Line 02 вызов пересылается на ячейку памяти 102;
720 > 102:
03,8004636102463 - в ячейке памяти 102 прописан код выхода в групповой канал,
где 03,8004636102463:
03, – означает войти в групповой канал
как абонент в сторону увеличения номеров станций в круге
800 – означает номер
группового канала (круга), его офис код,
4636102 – номер станции
откуда идёт вызов и номер абонента, который вызывает диспетчера,
463 – повтор номера
станции вызывающей диспетчера.
1201 > 6102: 33 -
виртуальному номеру 6102 присвоен класс ограничения 33,
1204 > 6101: 30 -
виртуальному номеру 6101 присвоен тенант 30 – кнопка связи с диспетчером;
1203 > 6102: 04 -
виртуальный номер 6102 назначен как Hot Line.
Для программирования
пульта диспетчера с номером 6803 для подключения к групповому каналу переходим
к программе номер 71.
71 > 65: 100100 -
проверка назначения области памяти, отведенной Hot Line,
9000 > 6803,01: 6803 -
под кнопку 01 номера 6803 прописан M - Line,
1203 > 6803: 04 -
М-Line 6803 назначен как Hot Line,
5203 > 0: 6803 -
номеру 6803 присвоена ячейка Hot Line 03,
5203 > 1: С03 - из
ячейки Hot Line 03 вызов пересылается на ячейку памяти 103,
720 > 103:
00,8024636803463 - в ячейке памяти 103 прописан код формирования группового
канала,
1201 > 6803: 44 -
номеру 6803 присвоен класс ограничения
44 – диспетчер,
1204 > 6803: 30 - номеру
6803 присвоен тенант 30 – диспетчера.
Далее нажимаем F8.
Появляется надпись – ОК.
7.
Оценка экономической эффективности
В
соответствии с концепцией информатизации, а также концепцией создания цифровой
сети связи, в настоящее время идет массовое внедрение цифровых систем передачи
и распределения информации, а также изменяется среда передачи с медных кабелей
на волоконно-оптические. Внедряемая сеть строится на синхронной цифровой
иерархии. Мультиплексорное оборудование и системы управления сетью поставляются
фирмой "ЭЗАН". Причем одновременно с цифровизацией первичной и
общетехнологической сети связи осуществляется создание цифровой
оперативно-технологической связи. На начальном этапе периферийное оборудование
остается аналоговым, хотя и заменяется более современным. Впоследствии
предусмотрена замена аналогового оборудования цифровым и использование
возможностей цифровых сетей интегрального обслуживания.
Вместе с тем
подавляющее большинство инженерно-технических работников служб и дистанций
информатизации и связи имеет опыт работы и теоретическую подготовку только по
обслуживанию и эксплуатации аналоговых систем передачи и распределения
информации.
Соответственно
особо актуальной является задача организации повышения квалификации и
переподготовки абсолютного большинства инженерно-технических работников,
работающих в области связи, занятых обслуживанием и эксплуатацией
магистральных, дорожных и отделенческих сетей общетехнологической и
оперативно-технологической связи.
В настоящее
время на Дальнем Востоке ощущается недостаток в таких обучающих центрах,
поэтому задача решается выборочной посылкой отдельных работников РЦС на учебу в
Московский центр обучения при РАПС. Решить проблему массовой переподготовки,
таким образом практически нереально, поскольку это связано с большими затратами.
Поэтому
возникает необходимость в проведении исследований, связанных с созданием и
организацией учебно-научного центра подготовки и переподготовки кадров по
направлению «Цифровые системы и сети технологической связи» на Дальнем Востоке
Целью
создания центра является подготовка и переподготовка кадров, осуществляющих
эксплуатацию и обслуживание оперативно-технологической связи в лице работников
РЦС, а также
пользователей
оперативно-технологической связи в лице работников службы движения.
Себестоимость
является важнейшим показателем деятельности любого хозяйствующего субъекта. Она
показывает, во что обходится предприятию создание услуг данного объема.
Существуют
прямые и косвенные расходы. Прямые расходы - это расходы, которые в момент их
возникновения можно непосредственно отнести на вид продукции, услуг на основе
первичных документов (накладных, нарядов и т.д.). Косвенные расходы не могут
быть отнесены в момент возникновения прямо на вид продукции, услуг, и, чтобы
попасть в себестоимость, они должны быть предварительно собраны на определенном
счете и затем расчетным путем включены в себестоимость изделия, работы, услуги.
Еще есть
расходы зависящие и независящие. Зависящие, которые изменяются прямо
пропорционально объему работы. Расходы, мало зависящие от объема работы,
принято условно относить к независящим.
Смета затрат
на производство включает определение расходов по каждой статье или элементу
затрат. Целью определения эксплуатационных затрат является расчет их
необходимой величины для обеспечения нормальной производственной и коммерческой
деятельности. Затраты на проектирование учебного центра цифровой ОТС
определяются путем составления сметы.
Сметная
стоимость цифровой оперативно-технологической связи учебного центра включает в
себя следующие затраты:
- стоимость
волоконно-оптического кабеля;
- затраты на
приобретение оборудования;
- монтаж и
настройка оборудования.
Кроме
перечисленных расходов, связанных непосредственно с процессом проектирования,
сметой предусматриваются также накладные расходы.
Прямые затраты
непосредственно связаны с процессом производства и определяются прямым счетом
на основании единичных расценок и объемов работ, предусмотренных проектом.
Накладные
расходы, в отличии от затрат прямых, связаны с организацией и управлением
строительным производством и определяются косвенным путем по нормам ( в
процентах), установленным по отношению к сметной стоимости прямых затрат (на
строительные работы) или к основной заработной плате производственных рабочих
(на работы по монтажу оборудования).
Сметно –
финансовый расчет представлен в таблице 7.1
Таблица 7.1 - Сметно-финансовый
расчет
|
Наименование оборудования
|
Единицы
измерения
|
Количество
|
Стоимость, руб
|
|
|
|
Eдиничная
|
Общая
|
|
Раздел А - затраты на оборудование
станции «Обь-128Ц»
|
|
Коммутационная станция NЕАХ7400
|
|
Шкаф ТК-43U
|
шт.
|
2
|
15924,86
|
31849,72
|
|
Плата 1РIМ ОТС
|
шт.
|
2
|
110837,51
|
246304,48
|
|
Модуль цифровой РN -ЗОDТС,
РN-SСОО
|
шт.
|
8
|
50713,80
|
405710,4
|
|
Модуль цифровой РN -ЗОDТС,
РN-SС-01
|
шт.
|
4
|
46939,01
|
187756,04
|
|
Наименование оборудования
|
Единицы
измерения
|
Количество
|
Стоимость, руб
|
|
|
|
Eдиничная
|
Общая
|
|
Модуль цифровой РN -4DLCQ
|
шт.
|
2
|
4539,08
|
9078,16
|
|
Модуль цифровой РN -8LСАА
|
шт.
|
4
|
8790,62
|
35162,48
|
|
Терминал цифровой
Dterm-32 для ОТС и ОбТС с розеткой
|
шт.
|
4
|
10486,32
|
41945,28
|
|
Конвертер ССПС-128
|
|
Модуль РСМ7
ИКМ-30
|
шт.
|
6
|
27603,09
|
165618,54
|
|
Базовый блок для ОТС и ОбТС
|
шт.
|
2
|
103457,52
|
206915,04
|
|
Модуль ИС-4
(8 каналов)
|
шт.
|
2
|
15261,32
|
30522,64
|
|
Модуль ИС2-8
(8 каналов)
|
шт
|
2
|
24152,70
|
48305,4
|
|
Модуль ПГС
(8 каналов)
|
шт
|
2
|
15261,32
|
30522,64
|
|
Панель сигнализации с блоком питания
|
шт
|
2
|
3981,21
|
7962,42
|
|
Щит распределения
питания
|
шт
|
2
|
5308,29
|
10616,58
|
|
Оборудование кроссовое на 150 пар
|
шт
|
2
|
10085,74
|
20171,48
|
|
Блок гарантированного питания
IMV VICTRON 19"
Netpro
|
шт
|
2
|
42466,29
|
84932,58
|
|
Блок батарейный дополнительный IMV VICTRON 19"
Netpro
|
шт
|
2
|
18048,17
|
36096,34
|
|
|
|
|
|
|
|
|
|
По
результатам сметно-финансового расчёта получили, что общая стоимость
проектируемого учебного центра оперативно-технологической связи составляет 1889920
рублей.
Годовые эксплуатационные
расходы рассчитываются по элементам затрат и включают:
-
расходы на оплату
труда эксплуатационного штата;
-
отчисления на
социальные нужды;
-
амортизационные
отчисления на полное восстановление;
-
затраты на
электроэнергию;
-
прочие расходы.
Нам нужно организовать
курсы повышения квалификации в течении 8 дней с учетом времени равным 6 часов в
день. Для проведения курсов из числа преподавателей вуза выделяется один
работник с кандидатской степенью.
Нам требуется рассчитать
фонд оплаты труда преподавателя курсов за год.
курсы проводятся 3 раза в
год с оплатой 200 рублей за час. Так как мы знаем время проведения курсов в год
и оплату за час, то мы можем рассчитать фонд оплаты труда работника вуза за год
по формуле
, руб,
где
- фонд оплаты труда
преподавателя курсов, руб;
tо - общее время проведения курсов за
год, час;
ЧТСпр - оплата труда ,
руб/час.
Подставив численные
значения в формулу, находим фонд оплаты труда преподавателя повышения курсов
квалификации.
руб.
Отчисления на
социальные нужды принимаются в размере 26% от
фонда оплаты
труда
,руб,
где ЭСН - отчисления на социальные нужды;
Эфот - фонд оплаты труда преподавателя
повышения курсов.
Подставив численные
значения в формулу, находим отчисления на социальные нужды
руб.
Затраты на электроэнергию
определяются по формуле
ЭW =
, руб, (7.1)
где nI – количество единиц оборудования
определенного типа;
Wi – мощность,
потребляемая за час работы единицей оборудования, кВт;
t i – время действия
оборудования в часах за год;
- коэффициент полезного действия,
равный 0,8;
m – тариф
энергопотребления для предприятий, 1,79 руб. за 1 кВт.
Мощность потребляемая
комплексом «Обь -128Ц» представлена в таблице 7.2
Таблица 7.2 - Данные
потребляемой мощности комплекса «Обь -128Ц»
|
Наименование
оборудования
|
Потребляемая мощность оборудования, Вт
|
Кол-во станций
|
Общая потребляемая мощность, Вт
|
|
Конвертор ССПС - 128
|
250
|
2
|
500
|
|
Коммутационная станция NEAX 7400
|
400
|
2
|
800
|
|
Мультиплексор
SMS150 C
|
105
|
2
|
210
|
|
Итого
|
1510
|
Подставив полученные
численные значения в формулу (7.1), находим затраты на электроэнергию за год
руб.
Амортизационные
отчисления на полное восстановление производственных фондов определяются по
формуле
, руб,
где ОФ - стоимость
основных фондов, т.е. объемы капитальных вложений переходящих в
производственные фонды на баланс предприятия. По среднестатистическим данным
97% капитальных вложений переходят в производственные фонды;
g - средняя норма
амортизационных отчислений на устройства,
g = 14 %.
Подставив численные
значения в формулу, находим значение амортизационных отчислений
руб/год.
Прочие
расходы (ЭПР) определяются на основе рассчитанных ранее затрат на оплату
труда, отчислений на социальные нужды и амортизацию основных фондов, а также
установленной доли прочих расходов к перечисленным ранее элементам затрат. Эта
доля принимается в размере 1%. Прочие расходы (ЭПР) определяются по формуле
, руб,
где
- численное значение прочих
расходов;
- фонд оплаты труда преподавателя курсов;
- отчисления на социальные нужды;
- амортизационные
отчисления;
ЭW – затраты на
электроэнергию.
Подставив численные
значения в формулу, находим значение прочих расходов
руб.
Находим сумму
эксплуатационных затрат по всем показателям по формуле
, руб,
где
- численное значение прочих
расходов;
- фонд оплаты труда преподавателя курсов;
- отчисления на социальные нужды;
- амортизационные
отчисления;
ЗW - затраты на
электроэнергию.
Подставив численные
значения в формулу, находим значение суммы прямых эксплуатационных расходов
руб.
Все
результаты расчетов сводятся в таблицу 7.3
Таблица 7.3 - Показатели
эксплуатационных расходов
|
№ строки
|
Показатели
|
Сумма
|
|
1
|
Годовой ФОТ, ЭФОТ,руб
|
9600
|
|
2
|
Отчисления на соц. нужды 26 % от ФОТ, ЭСН,руб
|
2496
|
|
3
|
Расходы на электроэнергию, ЭW,руб
|
714
|
|
4
|
Амортизационные отчисления (7 % от кап. вложений,
переходящих в основные фонды), ЭАМруб
|
237604
|
|
5
|
Прочие расходы 1% от (Σ1-4), ЭПР,руб
|
2504
|
|
6
|
Итого,ΣЭ,руб
|
252918
|
|
7
|
Эксплуатационные расходы без амортизации ,Σ(стр1+2+3+5+7),руб
|
15314
|
Рассчитаем налог на
имущество, так как он входит в статьи затрат.
Расчет налога на
имущество представлен в таблице 7.4
Таблица 7.4 - Расчет
налога на имущество
|
№п/п
|
Показатели
|
Год
|
|
|
1-й
|
2-й
|
3-й
|
4-й
|
5-й
|
6-й
|
7-й
|
|
11
|
Капитальные вложения переходящие в
ОФ,руб
|
16971772
|
-
|
-
|
-
|
-
|
-
|
-
|
|
32
|
Амортизационные отчисления за год,
Эам = ОФ ∙0,14,руб
|
-
|
237604
|
237604
|
237604
|
237604
|
237604
|
237604
|
|
33
|
Фактическая (остаточная) стоимость
ОФ-∑Эам
(стр.1 – стр.2),руб
|
-
|
1459568
|
1221964
|
984360
|
746756
|
509152
|
271548
|
|
44
|
Налог на имущество
(стр.5 ∙ 0,02),руб
|
33943
|
29191
|
24439
|
19687
|
14935
|
10183
|
5431
|
Одновременно на курсах
повышения квалификации будет обучаться четыре группы из 12 человек. Как мы
ранее решили, курсы проводятся три раза в год. На основе этого нам нужно
определить общую стоимость курсов по формуле
СК = С/с ·
(1+R) , руб, (7.2)
где С/с - себестоимость курсов;
R – рентабельность 50% (0,5).
Определим себестоимость
курсов по формуле
, руб, (7.3)
где N – количество групп;
Эн – накладные расходы
Зная численное значение
прямых (эксплуатационных) расходов мы можем рассчитать накладные
(общехозяйственные) расходы. Они как правило составляют 30% от прямых расходов
ЭН =
, руб. (7.4)
Подставив полученные
численные значения в формулу (7.4),находим накладные (общехозяйственные)
расходы.
ЭН =
руб.
Подставив полученные
численные значения в формулу (7.3), находим себестоимость курсов за год
руб.
Подставив полученные
численные значения в формулу (7.2), находим стоимость курсов за год
СК = 8094 ·
(1+0,5) =12140 руб.
Если экономическим
эффектом от реализации проекта является получение прибыли от оказания услуг, то
необходимо её рассчитать.
Формула прибыли имеет вид
,руб,
где
доходы от реализации услуг, руб.;
эксплуатационные расходы, руб.
В нашем случае
рассматривается получение прибыли от проведения курсов повышения квалификации с
учетом эксплуатационных расходов и затрат на обучение персонала из числа преподавателей,
направляемых на 8-ми дневные курсы повышения квалификации.
Д К = N К · СК, руб, (7.5)
где NК - численность состава курсов за
год;
СК - общая стоимость
обучения за 1 год.
Подставив полученные
численные значения в формулу (7.5),находим доходы за год проведения курсов
Д К= 48·12140
= 582720 руб.
Рассчитаем расходы ,затраченные на
проведение курсов
РК = N К · С/с, руб.
Подставив полученные численные
значения, находим расходы за год проведения курсов
РК = 48 ·
8094 = 388512 руб.
Рассчитаем получаемую
прибыль
П = 582720 –
388512 = 194208 руб.
Результаты налогов на
прибыль приведены в таблице 8.5
Таблица 7.5 - Расчет
налога на прибыль
|
№п/п
|
Показатели
|
Год
|
|
|
1-й
|
2-й
|
3-й
|
4-й
|
5-й
|
6-й
|
7-й
|
|
11
|
Доходы,руб
|
-
|
582720
|
582720
|
582720
|
582720
|
582720
|
582720
|
|
32
|
Расходы,руб
|
-
|
388512
|
388512
|
388512
|
388512
|
388512
|
388512
|
|
33
|
Прибыль,руб
|
-
|
194208
|
194208
|
194208
|
194208
|
194208
|
194208
|
|
34
|
Налог на имущество,
руб
|
-
|
29191
|
24439
|
19687
|
14935
|
10183
|
5431
|
|
55
|
Налогооблагаемая прибыль,руб
(стр3 –стр4)
|
-
|
165017
|
169769
|
174521
|
179273
|
184025
|
188777
|
|
56
|
Налог на прибыль,руб
(24% от стр5)
|
-
|
39604
|
40744
|
41885
|
43026
|
44166
|
45306
|
Рассчитаем экономию
которую мы получим за обучение персонала из числа преподавателей на курсах
повышения квалификации за год по формуле
ЭФ =N ПР ·(СО + СПР + СКОМ + СЖ ),руб, (7.6)
где СО -
стоимость обучения, ΣО=10000 руб за одного преподавателя;
СПР -
стоимость проезда, ΣПР= 20000 руб;
СКОМ -
командировочные расходы, ΣКОМ=100 руб;
СЖ - стоимость
проживания, ΣЖ=1500 руб за сутки;
N ПР – состав
преподавателей, 4человека.
Подставив полученные
численные значения в формулу (8.6), находим фактическую экономию один год
ЭФ = 4·( 10000 + 20000 + 800 +12000) =171200 руб.
Точное значение срока окупаемости
может быть рассчитано по следующей формуле
,год , (7.7)
где t1 – последний год, в котором ЧДД
имеет отрицательное значение
(
);
t2 – год, в котором значение ЧДД стал
положительным (
).
Результаты
дисконтирования представлены в таблице 7.6
ЧДД за первый год будет
отрицательным, т. к. результатов ещё нет, а затраты равны капитальным вложениям
Таблица 7.6 - Результаты
дисконтирования
|
№ п/п
|
Показатели
|
Год
|
|
|
1-й
|
2-й
|
3-й
|
4-й
|
5-й
|
6-й
|
7-й
|
|
Затраты
|
|
1
|
Капитальные затраты, руб
|
1889920
|
-
|
-
|
-
|
-
|
|
1889920
|
|
2
|
Эксплуатационные расходы без амортизации (ЭН·NК)-ЭАМ,
руб
|
-
|
150908
|
150908
|
150908
|
150908
|
150908
|
150908
|
|
3
|
Налог на прибыль, руб
|
-
|
39604
|
40744
|
41885
|
43026
|
44166
|
45306
|
|
4
|
Налог на имущество, руб
|
-
|
29191
|
24439
|
19687
|
14935
|
10183
|
5431
|
|
5
|
Итого затрат,руб
|
1889920
|
219703
|
216091
|
192793
|
208869
|
205257
|
201645
|
|
Результаты
|
|
6
|
Доходы от обучения, руб
|
-
|
582720
|
582720
|
582720
|
582720
|
582720
|
582720
|
|
7
|
Экономия,руб
|
-
|
171200
|
171200
|
171200
|
171200
|
171200
|
171200
|
|
8
|
Итого по результатам, руб
|
-
|
753920
|
753920
|
753920
|
753920
|
753920
|
753920
|
|
9
|
Коэффициент дисконтирования
|
1
|
0,8929
|
0,7972
|
0,7118
|
0,6355
|
0,5674
|
0,5066
|
|
10
|
Дисконтированные результаты
(стр8·стр9),руб
|
-
|
673175
|
601025
|
536640
|
479116
|
427774
|
381935
|
|
11
|
Дисконтированные затраты
(стр5 стр9),руб
|
1889920
|
196173
|
172268
|
137230
|
132736
|
116463
|
102153
|
|
12
|
Разность дисконтированных результатов
и затрат
(стр10 -стр11),руб
|
-1889920
|
477002
|
428757
|
399410
|
362653
|
311311
|
279782
|
|
13
|
Чистый дисконтированный доход,руб
|
-1889920
|
-1412918
|
-984161
|
-584751
|
-222098
|
89213
|
368995
|
Годом окончания
возмещения затрат (год окупаемости проекта) является год, в котором
отрицательный чистый дисконтированный доход (ОЧДД) перейдет в положительный
чистый дисконтированный доход (ПЧДД).
Подставив численные
значения в формулу (7.7) находим срок окупаемости проекта
года.
Реальный срок окупаемости
может быть меньше за счет того, что во время учебного периода можно
организовать платные курсы для студентов ДВГУПС.
8. Обоснование
мероприятий по охране труда
8.1
Освещение производственных помещений
Осветительные установки создают необходимые
условия освещения, которые обеспечивают зрительное восприятие (видение), дающее
около 90 % информации, получаемой человеком из окружающего мира. Без
современных средств освещения невозможна работа ни одного предприятия, особенно
важную роль свет играет для работников шахт, рудников, предприятий в безоконных
зданиях, метрополитена, многих взрывоопасных и пожароопасных производств. Без
искусственного света не может обойтись ни один современный город, невозможно
строительство, а также работа транспорта в темное время суток [10].
Рациональное освещение помещений и рабочих мест -
один из важнейших элементов благоприятных условий труда. При правильном
освещении повышается производительность труда, улучшаются условия безопасности,
снижается утомляемость. При недостаточном освещении рабочий плохо видит
окружающие предметы и плохо ориентируется в производственной обстановке.
Успешное выполнение рабочих операций требует от него дополнительных усилий и
большого зрительного напряжения. Неправильное и недостаточное освещение может
привести к созданию опасных ситуаций. При освещении производственных помещений используют
естественное освещение, создаваемое прямыми солнечными лучами и рассеянным
светом небосвода и меняющемся в зависимости от географической широты, времени
года и суток, степени облачности и так далее; искусственное освещение,
создаваемое электрическими источниками света.
Конструктивно
естественное освещение подразделяют на:
- боковое -
осуществляемое через световые проемы в наружных стенах;
- верхнее -
осуществляемое через аэрационные и зенитные фонари, проемы в кровле и
перекрытиях;
- комбинированное -
сочетание верхнего и бокового освещения.
Искусственное освещение
по конструктивному исполнению может быть двух видов – общее и комбинированное.
Систему общего освещения применяют в помещениях, где по всей площади
выполняются однотипные работы (литейные, сварочные).
Различают общее
равномерное освещение (световой поток распределяется равномерно по всей площади
без учета расположения рабочих мест) и общее локализованное освещение (с учетом
расположения рабочих мест).
При выполнении точных
зрительных работ в местах, где оборудование создает глубокие, резкие тени,
наряду с общим освещением применяют местное. Совокупность местного и общего
освещения называют комбинированным освещением.
8.2 Расчет естественного освещения
Задачей расчета
естественного освещения помещения является определение размеров, формы и
расположения световых проемов, при которых обеспечиваются светотехнические
условия не ниже нормативных.
Нам требуется рассчитать
площадь световых проёмов в аудитории № 405, расположенной на четвертом этаже
ДВГУПС. Данное помещение имеет ширину В=5м, длину L=8м и
высоту H= 4м
Требуемая площадь световых проемов при
боковом освещении, обеспечивающая нормативное значение коэффициента
естественной освещенности (КЕО)
,м2 определяется по формуле
, (8.1)
где
- нормированное значение КЕО;
- коэффициент запаса,
= 1,4;
- световая характеристика окна,
;
- площадь пола помещений;
- коэффициент, учитывающий повышение КЕО при
боковом освещении благодаря свету, отраженному от поверхностей помещения и
подстилающего слоя, прилегающего к зданию;
;
- общий коэффициент светопропускания.
Все необходимые для
расчета численные значения возьмём из таблиц руководящего материала (СНиП
23-05-95)
Общий коэффициент
светопропускания определяется по формуле
, (8.2)
где
- коэффициент светопропускания
материала,
;
- коэффициент, учитывающий потери света в
переплетах светового проёма,
;
- коэффициент, учитывающий потери света в
несущих конструкциях,
,
- коэффициент, учитывающий потери света в
солнцезащитных устройствах,
.
Подставив численные значения
в формулу (8.2), находим общий коэффициент светопропускания.
.
Определяем нормированное
значение
по формуле
,
где
- нормированное значение КЕО,
= 2;
- коэффициент, учитывающий особенности
светового климата района,
=0,5
%.
Площадь пола определяется
по формуле
,
где L - длина аудитории, м;
B - ширина аудитории, м.
м2.
Теперь подставим
полученные значения в формулу (8.1)
м2.
Общая площадь световых проёмов аудитории
№ 405 должна быть не менее 1,5 м2. Зная требуемую площадь световых проёмов,
обеспечивающих нормативное значение КЕО, можно назначить размеры светопроемов,
которые должны быть увязаны с принятой системой разделки стен на панели и
унифицированными размерами переплетов окон и фонарей.
8.3 Расчет искусственного освещения
Искусственное освещение
предусматривается в помещениях, в которых недостаточно естественного света, или
для освещения в часы суток, когда естественная освещенность отсутствует.
Расчет искусственного
освещения выполняется при проектировании осветительных установок для
определения общей установленной мощности и мощности каждой лампы или числа всех
светильников.
Основной метод расчета –
по коэффициенту использования светового потока, которым определяется поток, необходимый
для создания заданной освещенности горизонтальной поверхности при общем
равномерном освещении с учетом света, отраженного стенами и потолком.
Расчет общего
равномерного искусственного освещения горизонтальной рабочей поверхности
выполняется методом коэффициента использования светового потока по формуле
, (8.3)
где
- нормативная освещенность,
лк;
- коэффициент запаса, учитывающий запыление
светильников и износ источников света в процессе эксплуатации,
;
- площадь помещения,
м2;
- поправочный коэффициент, учитывающий
неравномерности освещения,
;
- количество светильников, шт;
- количество ламп в светильнике,
шт;
- коэффициент затемнения рабочего места
работающим,
;
- коэффициент использования светового потока.
Коэффициент использования
светового потока определяется в зависимости от типа светильника (ОВЛ),
коэффициентов отражения стен и потолка помещения (0,7; 0,5) и индекса помещения
i, определяемого по формуле
(8.4)
где А - ширина помещения,
м;
В - длина помещения, м;
- высота подвеса светильников над рабочей
поверхностью,
м.
Подставляем численные
значения в формулу (8.4)
.
Пользуясь таблицами
руководящего материала (СНиП 23-05-95) определяем коэффициент использования
светового потока,
=0,33.
В расчете следует
определить необходимое количество светильников для обеспечения нормируемого
значения
. В этом
случае формула (8.3) примет вид
. (8.5)
При нахождении количества
светильников и типу источников света (ЛДЦ) определяется световой поток лампы
лм.
шт.
Схема расположения
светильников на плане помещения представлена на (рисунке 8.1).
Ориентировочно
устанавливается количество светильников по рекомендуемым расстояниям между
светильниками и строительными конструкциями. Светильники устанавливаются вдоль
длинной стороны помещения.
Расстояния между рядами
светильников
, м,
определяется из соотношения
, (8.6)
где
- наивыгоднейшее соотношение
и
,
;
- высота подвеса светильников над рабочей
поверхностью,
м.
м.
Расстояние между стенами и крайними рядами светильников d, м, ориентировочно
принимается равным
. (8.7)
Подставляем численные
значения в формулу (8.7)
м.
Таким образом, в помещении размещено
четыре ряда по три светильника, каждый светильник содержит две лампы. Схема
расположения светильников показана на (рисунке 8.1)
Рисунок 8.1
9. Надежность
9.1 Основные
понятия надежности
Надежностью называется
свойство объекта выполнять заданные функции, сохраняя во времени значения
установленных эксплуатационных показателей в заданных пределах, соответствующих
заданным режимам и условиям использования, технического обслуживания, ремонтов,
хранения и транспортирования [11].
Объекты аппаратуры
комплекса «Обь–128Ц» могут находиться в двух состояниях, а именно в
работоспособном или в неработоспособном.
Работоспособностью
называется состояние объекта, при котором он способен выполнять заданные
функции с параметрами, установленными требованиями технической документации.
Событие, заключающееся в
нарушении работоспособности, называется отказом.
Событие, состоящее в переходе
из основного работоспособного состояния во второстепенное, называют
повреждением (второстепенным отказом, дефектом).
По характеру
возникновения принято различать отказы на внезапные, состоящие в резком,
практически мгновенном изменении определяющего параметра, и отказы постепенные,
происходящие за счет медленного, постепенного изменения этого параметра [12].
Показатели надежности -
это количественные характеристики одного или нескольких свойств, составляющих
надежность элементов и системы.
Показатели надежности
должны удовлетворять следующим условиям:
- наилучшим образом
отражать эффект от нормальной работы системы и последствия ее надежности;
- поддаваться расчету с
учетом имеющихся исходных данных;
- сравнительно легко
определяться на основе статистики;
- быть простыми, иметь
ясный математический и физический смысл.
Одно из центральных
положений теории надежности состоит в том, что отказы рассматривают в ней как
случайные события. Интервал времени от момента включения элемента (системы) до
его первого отказа является случайной величиной, называемой как «время
безотказной работы». Интегральная функция распределения этой случайной
величины, представляющая собой (по определению) вероятность того, что время
безотказной работы будет менее t,
обозначается Q(t) и имеет смысл вероятности отказа на интервале 0…t. Вероятность противоположного
события – безотказной работы на этом интервале, равна
P(t) = 1 – Q(t),
где P(t) - вероятность безотказной работы;
Q(t) - вероятность отказа.
Мерой надежности
элементов и систем, является интенсивность отказов λ(t), представляющая собой условную
плотность вероятности отказа в момент t, при условии, что до этого момента отказов не было. Между функциями λ(t) и P(t) существует
взаимосвязь
,
где P(t) - вероятность безотказной работы;
λ(T) - интенсивность отказов.
В период нормальной
эксплуатации (после приработки, но еще до того, как наступил физический износ)
интенсивность отказов примерно постоянна λ(t) ≈ λ. В этом случае
Р(t) = е-λt.
Таким образом, постоянной
интенсивности отказов, характерной для периода нормальной эксплуатации,
соответствует экспоненциальное уменьшение вероятности безотказной работы с
течением времени.
Среднее время безотказной
работы (наработки на отказ) находят как математическое ожидание случайной
величины «время безотказной работы»
.
Следовательно, среднее
время безотказной работы в период нормальной эксплуатации обратно
пропорционально интенсивности отказов
.
Оценим надежность сложной
системы, состоящей из множества разнотипных элементов. Пусть Р1(t), Р2(t),…,
Рn(t) - вероятности безотказной работы каждого элемента на интервале времени 0…t, n – количество элементов в комплексе. Если отказы отдельных
элементов происходят независимо, а отказ хотя бы одного элемента ведет к отказу
всего комплекса (такой вид соединения элементов в теории надежности называется
последовательными), то вероятность безотказной работы комплекса в целом равна
произведению вероятностей безотказной работы отдельных его элементов
, (9.1)
где Λкомплекс =
λ i - интенсивность
отказов комплекса;
Среднее время безотказной
работы комплекса
.
К числу основных
характеристик надежности восстанавливаемых элементов и систем относится
коэффициент готовности. Коэффициент готовности КГ(t) - это вероятность
работоспособности комплекса в момент времени t
, (9.2)
где tВ - среднее время
восстановления элемента (системы), ч.
Коэффициент готовности
соответствует вероятности того, что элемент (система) будет работоспособен в
любой момент времени.
9.2 Расчет
вероятности безотказной работы комплекса «Обь -128Ц)
Средний сок службы до
списания (полный) любого комплекса должен быть не менее 20 лет, с условием
регламентируемой замены батарей аккумуляторных, входящих в состав комплекса, с
периодичностью один раз в десять лет.
Каждая из составных
частей комплекса (кроме кабелей и шкафа), должна иметь следующие показатели
надежности:
- средняя наработка на
отказ tср = 10000ч;
- средний срок службы до
списания (полный) - не менее 20 лет;
- принятая продолжительность
испытаний каждого объекта t =
2920 ч (выбираем исходя из того, что система эксплуатируется по 8 часов каждый
день);
- максимальная
продолжительность восстановлений tв = 100 мин;
- приемочное число
невосстановлений Св = 0 (невосстановления не допускаются).
Интенсивность отказов
комплекса Λком , будет равна
Λком
.
При экспоненциальном
законе распределения времени восстановления интенсивность восстановления µв
(9.3)
где μВ -
интенсивность восстановления;
tВ - среднее время восстановления
элемента, tВ=1,66 c.
Подставив численные
значения в формулу (9.3) находим интенсивность восстановления
с.
Вероятность безотказной
работы в течение заданного промежутка времени находим по формуле (9.1)
Ркомплекс(t) = eΛком·t
.
Подставив численные значения
в формулу (9.1) находим вероятность безотказной работы в течение заданного
промежутка времени
Ркомплекс(t) = e-0,29 =
0,75.
Вероятность отказа
комплекса Q(t) находим по формуле
Q(t) = 1- P(t).
Подставив численные
значения в формулу находим вероятность отказа комплекса
Q(t) = 1- 0,75 = 0,25.
Подставив полученные
численные значения в формулу (9.2) находим коэффициент готовности комплекса
К Г
.
Для обеспечения
надежности работы аппаратуры ОТС необходимо чтобы коэффициент готовности
составлял не менее 0,99. Это условие для комплекса «Обь -128Ц» выполняется.
Широкое внедрение
цифровых систем передачи для ОТС, с использованием волоконно-оптического кабеля
и возможность автоматического восстановления функционирования сети даже в
случае отказа ее элементов, обеспечивают высокую надежность функционирования
системы в целом.
10.
Средства электрооборудования комплекса «Обь -128Ц»
10.1
Основные требования по электропитанию
Основные требования по
электропитанию комплекса следующие:
- входное напряжение переменного
тока – 180 - 264В, 46 - 64Гц;
- потребляемая мощность
коммутационной станции NEAX 7400 при использовании:
а) 1PIM – 0,4 кB·A;
б) 2PIM – 0,8 кB·A;
в) 3PIM – 1,2 кB·A;
- потребляемая мощность
конвертером ССПС-128 - 0,25 кВ·А.
Коммутационная станция NEAX
7400 поставляется в виде корпуса с установленным блоком питания PZ-PW121.
Блок питания рассчитан на
работу при наличие в сети входного переменного напряжения 120 или 240 В, при
частоте 50 или 60 Гц и в свою очередь вырабатывает следующие выходные
напряжения:
- 27В при токе 4,4 А;
- 5В при токе 7,2 А;
- 48В при токе 38 мА;
- 90В при токе 80 мА.
В
коммутационной станции NEAX
7400 комплекса «ОБЬ-128Ц» используются следующие виды модулей (электронных плат):
-
платы управления;
-
процессорные платы;
-
линейные платы.
Конвертер представляет
собой металлический корпус, в который установлены блоки питания типа:
- IBM AT 230W;
- NAL25-7605;
- NAL25-7617.
Источник питания IBM AT 230W вырабатывает
вторичное напряжение:
- плюс 5В при токе 22А;
- плюс 12В при токе7А.
Источник питания NAL25-7605 вырабатывает вторичное
питание плюс 5V.
Источник питания NAL25-7617 вырабатывает вторичное питание
плюс 48V .
Источник бесперебойного
питания VICTRON 19'' NetPro являясь устройством типа ON-LINE, защищает
оборудование от всех форм помех по электропитанию, включая полный перебой
электропитания. Источник бесперебойного питания VICTRON 19'' NetPro
содержит два модуля батарейных блоков IMV VICTRON 19” NetPro, а также снабжен автоматическим
переключателем байпаса. Этот переключатель переключает нагрузку на питание от
сети если источник бесперебойного питания не способен обеспечивать питание
из-за перегрузки и перегрева.
Источник бесперебойного питания
переключится на нормальную работу, когда ликвидируется перегрузка или
температура упадет ниже уровня тревоги. Если перебой электропитания произойдет
во время работы на байпасе, то источник бесперебойного питания переключится на
питание от батарей, и, в свою очередь, когда батареи разрядятся, источник
бесперебойного питания перестанет снабжать нагрузку энергией.
Работа источника
бесперебойного питания NetPro 19” управляется с помощью кнопок и
жидкокристаллического дисплея на передней панели. Кроме того, о состоянии
источника бесперебойного питания сигнализируют четыре светодиода. Некоторые
функции источника бесперебойного питания могут быть запрограммированы через
коммуникационный порт RS - 232.
Источник бесперебойного
питания может использоваться как преобразователь частоты, так как у источника
входной частотный диапазон лежит в пределах 45-66Гц, то выходная частота может
устанавливаться в пределах 50-60Гц. Если источник бесперебойного питания
используется как преобразователь частоты, то функция перехода на байпас
блокирована.
Принципиальная
схема источника бесперебойного питания IMV
VICTRON 19'' NetPro
представлена на (рисунке 10.1)
Рисунок 10.1
Входной инвертор при
наличие в сети входного переменного напряжения порядка 220 - 240В в зависимости
от подключенной нагрузки вырабатывает следующие напряжения:
- при 100% нагрузке - 187
- 264В;
- при 60% нагрузке - 160
- 264В;
- при 30% нагрузке - 125
- 264В.
Технические данные
входного инвертора приведены в таблице 10.1
Таблица 10.1 -
Технические данные входного инвертора
|
Наименование
параметра
|
Значение
параметра
|
|
Входное
напряжение, В
|
220
- 240
|
|
Максимальное
переменное напряжение старта (при любой нагрузке),В
|
255
|
|
Минимальное переменное напряжение старта (при любой
нагрузке),В
|
187
|
|
Диапазон
входных частот, Гц
|
50
или 60 Гц ± 10%
|
|
Входной
ток , А
|
6.6
-10
|
Технические данные
выходного инвертора приведены в таблице 10.2
Таблица 10.2 -
Технические данные выходного инвертора
|
Наименование
параметра
|
Значение
параметра
|
|
Выходное
напряжение ( по выбору), В
|
220/230/240
|
|
Стабильность
выходного напряжения переменного тока
|
+1%
|
|
Гармонические
искажения
|
2%
|
|
Диапазон
выходных частот, Гц
|
50
или 60 Гц ± 0,15%
|
|
Нагрузка
выходных розеток, А
|
10
|
Модули батарейных блоков IMV VICTRON 19” NetPro,
содержат девять аккумуляторных батарей. Каждая аккумуляторная батарея имеет емкость
7 А·ч и не требует обслуживания, так как является герметичной. Срок службы
батарей лежит в пределах трёх или шести лет в зависимости от от рабочей
температуры и числа циклов разряда. Номинальное напряжение, вырабатываемое
аккумуляторными батареями составляет 108В. Поскольку «здоровье» батарей
критично для функционирования источника бесперебойного питания, регулярно
проводится быстрый автоматический тест батарей для проверки их безотказной
работы.
Источники
бесперебойного питания имеют множество параметров, из которых особенно
существенны следующие:
- выходная мощность, измеряемая в вольт-амперах. Она должна
быть не меньше, чем сумма мощностей, потребляемых устройствами, которые
питаются от данного источника бесперебойного питания. При этом следует
принимать во внимание не только среднюю потребляемую мощность, которая обычно
указывается в паспорте или на задней стенке устройства, а еще и пиковую при
включении;
- для любых классов источников
бесперебойного питания существенно качество инвертора, определяющее форму
выходного напряжения. В идеале она должна быть синусоидальной. Коэффициент
гармоник выходного напряжения у лучших моделей не превышает 3%.
Если источник бесперебойного питания питает устройство от
сети, напряжение в которой никогда не пропадает, это может привести к потере
работоспособности батарей. Hо
более совершенные модели имеют встроенные средства автоматического запуска
тестовых и профилактических процедур, при которых нагрузка на некоторое время
переключается на питание от батарей. Некоторые источники бесперебойного питания
выполняют эту процедуру по команде от модуля программной поддержки,
исполняемого на защищаемом компьютере. В этом случае источник бесперебойного
питания должен соединяться с компьютером специальным интерфейсным кабелем.
10.2
Расчет гарантированного питания
Для расчета
потребляемой аппаратурой мощности необходимо исходить из следующего:
- коммутационная
станция NEAX 7400 потребляет мощность 400 Вт;
- конвертор
ССПС – 128 потребляет 250 Вт;
- компьютер
потребляет 300 Вт;
- мультиплексор
SMS - 150C потребляет 105 Вт.
Потребляемая мощность аппаратурой
комплекса «Обь -128Ц» Ро , Вт, определяется по следующей формуле
РО = РN
+ РC + РK
+ РS , (10.1)
где РN
- мощность, потребляемая коммутационной станцией NEAX 7400;
РC
- мощность, потребляемая конвертером ССПС - 128;
РK
- мощность, потребляемая компьютером;
РS-
мощность, потребляемая мультиплексором SMS -150C.
Подставив численные значения в формулу
(10.1), находим мощность потребляемую аппаратурой комплекса
РО=400 + 250 + 300 + 105 = 1055 Вт.
Выходная мощность аккумуляторной батареи
РАК , Вт·ч, определяется по формуле
РАК = U∙С,
(10.2)
где U
- номинальное напряжение одного модуля батареи, U
=108 В;
С - номинальная емкость батареи, С = 7 А∙ч.
Подставив численные значения в формулу
(10.2), находим выходную мощность шести модулей батарей
РАК = 6∙108·7=4536 Вт·ч.
Теперь время гарантированного питания
ТГАР , ч, можно рассчитать по формуле
ТГАР = РАК / РО , (10.3)
где РАК - мощность двух модулей
аккумуляторных батарей;
РО - мощность потребляемая аппаратурой
комплекса «Обь -128Ц»
Подставив численные значения в формулу
(10.3), находим время гарантированного питания аппаратуры комплекса «Обь -128Ц»
ТГАР = 4536/1055 = 4,3 ч.
Исходя из полученного расчета следует,
что источник бесперебойного питания будет обеспечивать гарантированное питание
в течении приблизительно 5 часов.
Заключение
В результате данной
работы при помощи специализированных программ MATWORX и TERM разработан учебный методический пакет цифровой
оперативно-технологической связи на базе аппаратуры «Обь -128Ц».
В первом разделе
рассмотрен анализ принципов построения сети цифровой связи ОТС.
Далее рассмотрены
структурные схемы организации сетей ОТС, а также системы резервирования и
обеспечения готовности сети.
Во втором разделе
произведен анализ структуры цифрового построения комплекса «Обь – 128Ц».
Приведено обоснование комплекса «Обь – 128Ц», а также технические
характеристики и работа комплекса.
Разработаны функции
настройки, контроля и программирования конвертора ССПС – 128 и коммутационной
станции NEAX7400, входящие в состав комплекса.
В третьем разделе данного
проекта рассмотрены принципы построения цифровых групповых каналов.
В четвертом разделе
проекта разработаны схемы организации цифрового канала.
В пятом разделе
рассмотрена разработка программного обеспечения комплекса «Обь – 128Ц » с
приведением функций настройки и контроля конвертера ССПС – 128, а также
приведены способы программирования коммутационной станции NEAX 7400.
В шестом разделе
приведена разработка алгоритмов программирования диспетчерских и промежуточных
пунктов, а также организация управления системой при помощи терминала управления
с использованием цифровых пультов.
В седьмом разделе проекта
произведена оценка экономической эффективности организуемого учебного
методического пакета на базе комплекса «Обь – 128Ц ».
В восьмом разделе
разработаны мероприятия по охране труда и безопасности жизнедеятельности, а
также приведен расчет освещенности в аудитории учебного центра.
В девятом разделе данного
проекта приведен расчет надежности аппаратуры комплекса «Обь – 128Ц ».
Электропитание комплекса
«Обь -128Ц приведено в десятом разделе, в котором также рассчитано
гарантированное питание комплекса.
Список
использованных источников
1. Волков, В.М. Технологическая
телефонная связь на железнодорожном транспорте / В.М. Волков, А.П. Зорько, В.А.
Прокофьев; отв. ред. и сост. В.М. Волков. – М.: Транспорт, 1990. – 294 с.
2. Горелов Г.В. Телекоммуникационные
технологии на железнодорожном транспорте / Г.В. Горелов, В.А. Кудряшов, В.В.
Шмытинский и др.; отв. ред. и сост. Г.В. Горелов. – М.: УМК МПС России, 1999. –
576 с.
3. Руководящий технический материал
по проектированию цифровых и цифро-аналоговых сетей оперативно-технологической
связи. РМТ - 1 ОТС - Ц – 2000: Утв. Зам. Министра путей сообщения России, 2000.
– 50 с.
4. Инструкция по пользованию
конвертером ССПС-128 и коммутационной станцией NEAX7400 ICS M100MX. – Черниголовка.: – ЭЗАН. – 217 с.
5. Лебединский А.К. Системы
телефонной коммутации: учебник для техникумов и колледжей железнодорожного
транспорта / А.К. Лебединский, А.А. Павловский, Ю.В. Юркан. – М.: Маршрут,
2003. – 496 с.
6. Осипова, Н.Г. Руководство по
выполнению дипломного проектирования : метод. пособие / Н.Г. Осипова. – Хабаровск
: Изд-во ДВГУПС, 2007. – 100 с.
7. Блиндер, И.Д. Цифровая оперативно
– технологическая связь железнодорожного транспорта России : учебное
иллюстрированное пособие/ И.Д. Блиндер. – М.: Маршрут, 2005. – 55 с.
8. Шайтанов, К.Л. Системы оперативно
– технологической связи : метод. указания / К.Л. Шайтанов, Н.Г. Осипова. –
Хабаровск : Изд-во ДВГУПС, 2008. – 23 с.
9. Мамота, Б.А. Безопасность
жизнедеятельности. Примеры решения задач : учебное пособие. – В 2-х частях. –
Ч.2 / отв. ред. и сост. Б.А. Мамота. – Хабаровск : Изд-во ДВГУПС, 2002. – 84 с.
10. Тесленко, И.М. Освещение
производственных помещений: учебное пособие / И.М. Тесленко. – Хабаровск:
Изд-во ДВГУПС, 2001. – 80 с.
11. Дружинин Г.В. Теория надежности
радиоэлектронных систем в примерах и задачах / Г.В. Дружинин, С.В. Степанов,
В.Л. Шихматова, Г.А. Ярыгин. – М.: Энергия, 1976. – 448 с.
12. Линденбаум М.Д. Надежность
информационно-вычислительных систем: учебное пособие для студентов. –
Ростов-на-Дону: Ростовский государственный университет путей сообщения, 1996. -
64 с.
Размещено
на