Анализ ремонтно-оперативной радиосвязи на участке железной дороги Киев-Пассажирский – Киев-Московский

  • Вид работы:
    Другое
  • Предмет:
    Детали машин
  • Язык:
    Русский
    ,
    Формат файла:
    MS Word
    54,44 kb
  • Опубликовано:
    2010-05-26
Вы можете узнать стоимость помощи в написании студенческой работы.
Помощь в написании работы, которую точно примут!

Анализ ремонтно-оперативной радиосвязи на участке железной дороги Киев-Пассажирский – Киев-Московский

Анализ ремонтно-оперативной радиосвязи на участке железной дороги Киев-Пассажирский – Киев-Московский

 

Построение поездной радиосвязи

Поездная радиосвязь предназначена для служебных переговоров поездного и локомотивного диспетчеров, дежурных по станциям и других работников, связанных с движением поездов, с машинистами локомотивов, а также машинистов встречных локомотивов между собой. Пользуясь радиосвязью, диспетчер может более оперативно руководить движением поездов, передавать локомотивным бригадам указания об изменении скорости, уточнять местоположение поезда на перегоне, выяснять причины его задержки и проводить другие мероприятия по введению в график опаздывающих поездов. Дежурные по станции могут предупреждать машинистов о приеме поезда на боковой путь, времени отправления поезда со станции, возникновении аварийной обстановки, требующей экстренной остановки поезда, и передавать другие сообщения, способствующие повышению оперативности работы и безопасности движения поезда на станциях и прилегающих перегонах.

Поездной радиосвязью могут пользоваться локомотивный диспетчер и дежурные по депо, что позволяет заблаговременно выяснить состояние локомотива, необходимость его ремонта, оперативно организовать подмену локомотивных бригад, точнее планировать оборот локомотивов и сокращать их простой. Машинисты встречных поездов могут оповещать друг друга о состоянии вагонов поезда и грузов и предупреждать о возникновении опасной ситуации. Все это способствует увеличению пропускной и провозной способности железных дорог, росту оборота локомотивов и вагонов и повышению безопасности движения поездов.

В нашей стране подвижная радиосвязь в метровом и дециметровом диапазонах организована на следующих частотах: 33 – 46, 140 – 174 и 300 – 360 МГц, которые условно именуют 40, 150 и 330 МГц. В этих диапазонах уровни атмосферных и промышленных помех незначительны. Эти диапазоны наиболее целесообразны для организации связи в пределах ограниченных площадей. Метровый и дециметровый диапазоны имеют большую частотную емкость, которая в системе технологической радиотелефонной связи позволяет организовать разветвленную сеть с большим количеством самостоятельных каналов. Для железнодорожного транспорта, работающего в условиях интенсивных радиопомех, целесообразно использование более высокочастотных полос. Поэтому на железнодорожном транспорте нашей страны все виды технологической радиосвязи организуют в полосе частот 151 – 156 МГц.

В настоящее время на участке железной дороги Киев-Пассажирский – Киев-Московский эксплуатируются системы поездной радиосвязи с использованием радиостанций ЖР-3М. Локомотивные радиостанции РЛ смонтированы в кабине или машинном отделении локомотива, а пульты управления – в месте, удобном для пользования машинисту его помощнику. Стационарные радиостанции РСА, РСБ, РСВ, РСН размещены в служебных помещениях дежурных по станциям, а пульт управления – на столе ДСП. Стационарные радиостанции включают в канал поездной диспетчерской связи (ПДС) через блок переходных устройств БПУ и сопрягают его с устройствами приема тонального избирательного вызова ПТИВ. На распорядительной станции ДНЦ находятся вызывные и переговорные устройства.

Такая структура построения поездной радиосвязи сложилась исторически. Она обусловлена существовавшими на момент организации ремонтно-оперативной радиосвязи техническими средствами и действовавшей тогда технологией организации перевозочного процесса.

Анализ оборудования, применяемого в сети

При организации поездной радиосвязи на радиостанциях ЖР-3М у диспетчера устанавливают устройства, обеспечивающие посылку сигналов вызова машинистов и управления радиостанциями промежуточных пунктов при ведении переговоров; блок распорядительной поездной радиосвязи БРПС-62М (плату поездной радиосвязи ППРС), а на промежуточных железнодорожных станциях – шкафы радио проводной связи ШРПС-62М с пультами управления дежурного по станции. На локомотивах монтируют радиостанции ЖР-3М.Стационарные радиостанции к диспетчерской цепи подключаются радиопроводными переходными устройствами.

Поездная дуплексная радиосвязь ПРС-Д в аналоговом варианте находится в эксплуатации на ряде железных дорог. ПРС-Д работает в диапазоне 330 МГц. Аппаратура конструктивно выполнена в виде аналоговых распорядительных станций СР-1, установленных в диспетчерских пунктах, аналоговых стационарных радиостанций РС-2, расположенных на исполнительных станциях, и линейных распределителей РЛ, размещенных в узлах линейных каналов. Радиостанции и распределители соединены между собой физическими линиями и каналами тональной частоты. На некоторых дорогах прошла модернизация поездной дуплексной радиосвязи, в частности, распорядительные станции СР-1 заменены на СР-1М, стационарные радиостанции РС-1 – на РС-1М. это позволило улучшить технико-эксплуатационные характеристики ПРС-Д.

Модернизация может осуществляться по нескольким вариантам: во-первых, путем замены линейных аналоговых каналов цифровыми каналами оперативно-технологической связи; во-вторых, использованием в качестве аналоговых распорядительных станций цифровых коммутационных станций; в третьих, передачей сигналов взаимодействия и управления между распорядительными станциями и стационарными радиостанциями по общему каналу сигнализации. Обобщенная структурная схема организации круга ПРС-Д при использовании распорядительных станций СР-1М, стационарных радиостанций РС-1М и цифровых каналов оперативно-технологической связи ОТС приведена на рисунке (рис. 3).

В кольце верхнего уровня выделяется ОЦК для передачи информации к распорядительной станции. Канал ПРС-Д в кольце верхнего уровня выполнен групповым, т.е. подключение к нему осуществляется с помощью сумматоров. Кольца верхнего и нижнего уровней соединяются с помощью мостовых станций. На мостовой станции канал ПРС-Д кольца нижнего уровня подключен к каналу ПРС-Д кольца верхнего уровня через аналоговый линейный распределитель РЛ и сумматор. Другие кольца подключаются также с помощью сумматоров (на схеме не показаны).

Распорядительная станция СР-1М соединена с кольцом ПЦК верхнего уровня через четырехпроводный стык канала ТЧ линейного комплекта цифрового коммутатора ОТС. При этому сумматор обеспечивает передачу информации в обоих направлениях кольца ПЦК. К распорядительной станции СР-1М подключены пульты поездной диспетчерской радиосвязи (ДНЦ прс), локомотивного диспетчера (ТНЦ) и энергодиспетчера (ЭЧЦ). Пульт диспетчерской телефонной связи (ДНЦ пдс) подключен к цифровому коммутатору ОТС-Ц.

Каждая стационарная радиостанция РС-1м, кроме мостовой станции, подключена к кольцу ПЦК нижнего уровня через четырех проводные стыки ТЧ двух линейных комплектов цифрового коммутатора ОТС-Ц первичного мультиплексора (ПМ). Четырех проводные стыки обеспечивают двухстороннее выделение сигналов. Стационарные радиостанции РС-1М включаются в линейный канал шлейфом. К стационарным радиостанциям РС-1М подключены пульты поездной радиосвязи (ДСП прс).

При аварии, например, обрыве цифрового линейного тракта, все радиостанции, находящиеся за местом аварии, должны изменить на противоположные направления передачу сигналов в линиях передачи и приема. Это необходимо для включения в работу аппаратуры, находящейся за местом аварии, по обходному каналу. Происходит это следующим образом. По сигналу “Авария” с выхода цифрового коммутатора ОТС-Ц замыканием дополнительного контакта подключается обходной канал кольца ПЦК нижнего уровня. При свободности канала ПРС-Д с выхода линии передачи распорядительного направления на вход линии приема последней стационарной радиостанции РС-1МN поступает сигнал свободности канала связи (ССК). По этому сигналу стационарная радиостанция пере коммутирует линии передачи и приема, благодаря чему изменяется направление приема и передачи сигналов в линейных каналах. Аналогично пере коммутируются все стационарные радиостанции обходного канала.

Если на исполнительной станции отсутствует цифровой коммутатор ОТС-Ц, стационарная радиостанция РС-1М может быть подключена к кольцу ПЦК нижнего уровня через четырхпроводный стык ТЧ первичного мультиплексора ПМ.

Номинальные уровни сигналов четырех проводного стыка линейного комплекта ТЧ для подключения стационарной радиостанции РС-1М должны составлять – 13 дБ при передаче в сторону канала ТЧ, +4 дБ – при приеме.

Стационарная симплексная радиостанция РС-46МЦ Радиостанция РС-46МЦ

 

Назначение

Семейство стационарных симплексных радиостанций предназначено для работы в сетях поездной, ремонтно-оперативной и станционной радиосвязи в КВ и УКВ диапазонах.

Краткое описание

Радиостанции обеспечивают управление по линейному каналу связи со стороны распорядительной станции и со стороны пультов управления, которые могут находиться как непосредственно в месте установки радиостанции, так на расстоянии до 20 км по физическим линиям или с использованием каналов связи.

Электрические параметры и характеристики радиостанции обеспечивают совместную работу с эксплуатируемыми на сети железных дорог радиосредствами.

В диапазоне гектометровых волн радиостанция обеспечивает работу в режиме одночастотного симплекса на одной из двух частот 2,130 и 2,150 МГц. В диапазоне метровых волн радиостанция обеспечивает работу в режиме одно- и двухчастотного симплекса на любой из 171 рабочих частот в диапазоне от 151,725 до 156,000 МГц с разносом частот между соседними каналами 25 кГц.

Блок питания обеспечивает электропитание радиостанции от основного и резервного первичных источников. Переключение с основного источника на резервный и обратно происходит автоматически.

Технические характеристики

Наименование

Диапазон МВ

Диапазон ГМВ

Рабочий диапазон, МГц

151,725—156,000

2,130 и 2,150

Мощность передатчика номинальная (пониженная), Вт

8—10 (1, 3, 5, 7)

10—14 (–)

Вид модуляции

F3E

Шаг сетки рабочих частот, кГц

25

Чувствительность приемника, мкВ

0,5

5

Потребляемая мощность, Вт, не более


 – в режиме дежурного приема

25

 – в режиме передачи

70

Основной источник питания, В

220 (–33…+22)

Резервный источник питания

аккумуляторная батарея

Габариты, мм

298х256х249

Двухдиапазонная локомотивная радиостанция "Транспорт РВ-1.1М" предназначена для симплексных линейных и зоновых систем поездной радиосвязи на частоте 2,130 МГц или 2,150 МГц в гектометровом диапазоне (ГМВ), а также на любом из 6 каналов в любой из заранее установленных 8 групп частот метрового диапазона (МВ).

шкаф радиооборудования (ШРО)

1 шт;

блок питания возимый (БПВ)

2 шт;

пульт управления ПУ-Д

2 шт. или 1 шт;

громкоговоритель (ГГ)

2 шт. или 1 шт;

пульт управления ПУ-ЛП

2 шт;

антенно-согласующее устройство АнСУ-В

микротелефонная трубка

4 шт. или 2 шт;

1 шт;

коробка распределительная

2 шт. или 1 шт;

антенна диапазона МВ

1 шт;

блок питания локомотивный (БПЛ)

2 шт;



В зависимости от спецификации: БПВ или БПЛ; соединительные кабели ПУ-ГГ длиной 4 или 8 м.

Радиостанция обеспечивает связь машиниста локомотива с:

· дежурным по станции (ДСП);

· поездным диспетчером (ДНЦ);

· дежурными по переездам;

· дежурными по локомотивным депо;

· машинистами встречных и вслед идущих локомотивов;

· машинистами соединенных поездов;

· руководителями ремонтных работ;

· начальниками (бригадирами) пассажирских поездов;

· маневровыми диспетчерами;

· узловыми диспетчерами.

Возможна организация связи ДСП в пределах диспетчерского круга. Низкорасположенная грозозащищенная антенна АЛ/2 с коэффициентом усиления 4 дБ в диапазоне частот 151÷156 МГц предназначена для установки на металлические крыш. Грозозащищенная дискоконусная антенна (ШИ2.091.302-04) диапазона частот 151÷156 МГц; 307÷344 Мгц предназначена для установки на металлические или диэлектрические крыши.

Функциональные возможности:

· одновременная работа в двух диапазонах (с основного пульта ПУ-ЛП и с дополнительного пульта управления ПУ-Д);

· режим телеуправления и телесигнализации в двух диапазонах;

· прием индивидуального вызова по номеру поезда и локомотива, а также прием группового вызова;

· прием информации об условных, безусловных, зависимых и независимых точках пути;

· индикация приема сигнала "Остановка";

· переход радиостанции в режим "Прием" основного канала ГМВ из "Дежурного приема" при снятии микротелефонной трубки;

· служебная связь между кабинами локомотива;

· дублирование ответственной телекодовой информации синтезированным голосом;

· передача информации о проникновении в локомотив и сигналов пожарной тревоги;

· автоматическое резервирование блоков питания и автоматики в диапазоне ГМВ;

· автоматическая регулировка громкости по уровню шума, окружающего основной пульт.



«Узкие места» ремонтно-оперативной радиосвязи.

Сложившаяся технология организации взаимодействия участников перевозочного процесса и структура построения радиосвязи обусловили ряд проблем. Одна из них – наличие группового радиоканала (режим полупостоянного соединения), функционирующего по принципу «говорит один – остальные слушают», и избыточность регламентируемых переговоров на крупных железнодорожных узлах и грузонапряженных участках. Это ведет к информационной перегрузке каналов радиосвязи и персонала (в первую очередь дежурных по станциям и локомотивных бригад).

Проблема надежности локомотивных радиостанций на сегодня является одной из основных. Для ее решения в полном объеме предприятия-поставщики должны иметь технологический уровень, соответствующий требованиям ISO 9001 с преимущественным применением поверхностного монтажа. Однако такой технологией располагает только Ижевский радиозавод.

 Технологическая радиосвязь является важнейшим средством обеспечения безопасности и повышения производительности труда на железнодорожном транспорте. Вопросам модернизации, созданию и внедрению новых перспективных систем и радио технологий всегда уделялось повышенное внимание.

Однако каждый период времени имеет свои особенности, относится это и к вопросам развития подвижной железнодорожной радиосвязи. На сегодня важнейшими задачами являются обеспечение надежной работы и совершенствование технологии эксплуатации; расширение функциональных задач; создание принципиально новых систем и средств радиосвязи, обеспечивающих современные и перспективные технологии.

В числе других проблем следует назвать отсутствие избирательного вызова и возможности автоматической идентификации вызывающего или говорящего абонента, низкое качество связи и высокие затраты на содержание, нереальность внедрения систем удаленного мониторинга и администрирования. При существующей в Укрзализныце системе радиосвязи невозможно организовать каналы передачи данных, отвечающие требованиям систем и технологических процессов обеспечения безопасности, управления перевозочным процессом, содержания объектов инфраструктуры и подвижного состава.

Усугубляют положение значительный физический и моральный износ оборудования радиосвязи, слабое развитие антенно-мачтового хозяйства для перехода с 2 МГц на другие диапазоны, ограниченность выделенного радиочастотного ресурса и связанные с этим трудности при разработке новых информационно-управляющих систем. Отсутствие у Укрзализныци радиочастотных ресурсов для развития цифровых систем радиосвязи общепринятых в Европе и ряде других государств железнодорожных стандартов исключает возможность интеграции российских систем железнодорожной связи и автоматики с аналогичными системами других государств.

Технические предложения по модернизации метода построения сети и оборудования на базе современных технологий.

Увеличение объемов перевозок обусловливает необходимость повышения пропускной способности участков железных дорог. Экономически целесообразное и эффективное решение данной задачи возможно только при условии внедрения новых систем обеспечения безопасности движения и информационных технологий. А для этого в первую очередь необходимо иметь надежную, с достаточной пропускной способностью, безопасную транспортную (или телекоммуникационную) среду для связи объектов инфраструктуры с подвижным составом и подвижного состава между собой. В настоящее время в Укрзализныце предпринимаются усилия, направленные на построение систем обеспечения безопасности движения, управления движением с использованием радиочастотного диапазона 160 МГц.

Совершенно очевидно, что отсутствие цифровой сети радиосвязи Укрзализныци ограничивает развитие современных технологий организации эксплуатации железных дорог, систем автоматического управления движением и безопасности, препятствует повышению пропускной способности железных дорог.

На стальных магистралях Европы, в том числе высокоскоростных и скоростных, используется в основном стандарт GSM-R, адаптированный специально под задачи и нужды железнодорожного транспорта, как по передаче голоса, так и данных. На его основе создаются системы обеспечения безопасности и управления перевозочным процессом. Для внедрения этого стандарта во многих странах на государственном уровне выделены необходимые радиочастотные ресурсы (в частности, в Германии – полоса шириной 4 МГц в диапазоне 800 МГц). Серийным выпуском адаптированного под нужды железных дорог оборудования GSM-R занимается целый ряд компаний.

Стандарт TETRA на железных дорогах используется значительно меньше, в основном в странах азиатского региона. Опыт ОАО «РЖД» по строительству двух зон цифровой системы радиосвязи стандарта TETRA на участках Свердловской и Октябрьской железных дорог показал, что существующие системы TETRA не отвечают требованиям к цифровым системам радиосвязи. Это связано с отсутствием специализированных железнодорожных приложений и оборудования, что требует значительных доработок аппаратуры и программного обеспечения.

Однако технология TETRA представляет серьезные аргументы за принятие этого стандарта в качестве общепринятого для железнодорожной отрасли в Украине:

ü  TETRA использует частотный диапазон 450 MГц, что является достоинством как с организационной точки зрения (этот диапазон определен для технологической радиосвязи МПС), так и с технической - например большая зона охвата (до 50 км), благодаря чему затраты на инфраструктуру могут быть существенно снижены.

ü  Оборудование TETRA эффективно использует радиочастотный спектр. Так, в стандарте TETRA для работы 4 логических каналов используется полоса шириной 25 кГц, а в стандарте GSM для работы 8 логических каналов необходима полоса 200 кГц.

ü  Стандарт TETRA является открытым, что привлекает большое количество производителей оборудования, обеспечивает адекватный уровень цен и независимость заказчика от позиции конкретного поставщика. Открытость стандарта также позволяет производителям разрабатывать открытые программные интерфейсы (API) для реализации прикладных задач, необходимых конечному заказчику. Диапазон частных применений TETRA-систем в железнодорожной отрасли может быть действительно широким, например, можно реализовывать заказные терминалы с узкоспециализированными функциями, такими как вызов абонента по номеру поезда или вызов одной кнопкой ближайших к данному абоненту поездных терминалов, т. е. с теми функциями, которые необходимы в поездной радиосвязи.

ü  Особое внимание в стандарте TETRA уделено таким аспектам обеспечения безопасности связи, как разделение одной физической системы на виртуальные подсистемы для различных пользователей или задач, шифрование информации, аутентификация абонентов, защита от несанкционированного доступа. Идеология построения единой сети радиосвязи для различных пользователей (поездной, ремонтно-оперативной и станционной радиосвязи) позволяет не только значительно сократить стоимость системы, но и обеспечить в любой момент времени возможность взаимодействия с другими пользователями виртуальных сетей.

ü  Важным свойством TETRA-систем является также возможность установления соединения между абонентами системы вне зоны действия базовых станций и других элементов инфраструктуры, т. е. в режиме прямой связи (Direct Mode Operation, DMO), что особенно важно для ремонтно-оперативной железнодорожной радиосвязи, а также при аварийной работе в кризисных и чрезвычайных ситуациях. При этом станция может находиться в режиме "двойного наблюдения" (Dual Watch), одновременно готовая принять вызов как по транкинговому каналу, так и по каналу DMO. Благодаря режиму DMO радиостанция TETRA может работать в режиме ретрансляции, что является важным свойством для быстрого разворачивания оперативной связи при аварийных ситуациях. Для этого достаточно будет доставить в аварийный район мощную радиостанцию TETRA (стационарную, автомобильную или локомотивную), которая установит связь с ближайшей рабочей базовой станцией (на расстоянии до 50 км), после чего мобильные абоненты в аварийном районе смогут выходить в сеть через мощную радиостанцию, используя ее как ретранслятор.

ü  Время установления соединения в стандарте TETRA (не более 300 мс) соответствует нормам Укрзализныци на оперативно-технологическую связь. Кроме того, стандартом предусмотрен также режим открытого канала, когда для группы абонентов может быть выделен логический канал связи, и доступ в канал обеспечивается без установочной процедуры.

Таким образом, используя оборудование стандарта TETRA как базис, реализуется система, полностью отвечающая требованиям технологической радиосвязи Укрзализныци.

Департамент связи и вычислительной техники считает целесообразным принять в качестве основной для участков скоростного и высокоскоростного движения систему цифровой радиосвязи стандарта GSM-R. Для этого необходимо получение на первичной основе в соответствии с рекомендациями и решениями Международного союза железных дорог (МСЖД) полос радиочастот 876 – 880 МГц и 921 – 925 МГц для организации технологической ремонтно-оперативной радиосвязи и полосы частот для внедрения широкополосных подвижных систем.

Необходимо продолжить проработку возможности построения сетей технологической радиосвязи на базе публичных сетей подвижной связи стандарта GSM. Для этого предстоит пересмотреть технические требования к цифровой системе радиосвязи с учетом гармонизации их с требованиями МСЖД, а также совместно с коммерческими операторами стандарта GSM разработать технические решения по организации технологической радиосвязи с использованием инфраструктуры публичных сетей.

На участках железных дорог, где организация скоростного и высокоскоростного движения не планируется, целесообразно поэтапно перейти с аналоговых систем гектометрового диапазона на цифровые системы радиосвязи метрового (160 МГц) радиочастотного диапазона с одновременной организацией подвижной сети передачи данных.

Для организации «последних миль» к информационным системам и снижения инвестиционной нагрузки целесообразно использовать широкополосные системы беспроводного доступа, радиорелейную и подвижную радиосвязь, в том числе сторонних операторов.

Рассматриваемый комплекс мер позволит решить накопившиеся в технологической радиосвязи проблемы, открыв тем самым «зеленую улицу» для повышения безопасности движения и пропускной способности железных дорог, оптимизации себестоимости перевозок.

Возможно также создание транкинговой сети радиосвязи на основе использования современного цифрового оборудования. При этом транкинговая система радиосвязи должна обеспечивать: ремонтно-оперативную и станционную радиосвязь; резервирование поездной радиосвязи, организованной по системе "Транспорт"; пассажирскую радиотелефонную связь.

Одним из наиболее важных направлений использования спутниковых систем связи на железнодорожном транспорте является создание системы технологической и пассажирской связи с движущимся поездом. Она представляет собой альтернативу вариантам на базе транкинговых и сотовых систем связи.

Комплексность требований к оперативно-технологической радиосвязи заставляет оценивать базовые варианты, во-первых, по степени решения задач, поставленных перед служебной радиосвязью, и, во-вторых, по возможности организации пассажирской радиосвязи из движущегося поезда.

Выбранные базовые варианты организации системы оперативно-технологической радиосвязи сравнивались по качеству радиосвязи; ее надежности при связи с подвижным объектом (ПО) и в аварийных ситуациях; по возможности организации систем ПРС, СРС, пассажирской радиотелефонной связи с ПО; радиотелефонной связи на вокзалах; по возможности оперативного руководства с ПО; обеспечению сохранности особо ценных грузов; капитальным вложениям на строительство новых или модернизацию эксплуатируемых средств связи; эксплуатационным расходам; по времени строительства и развертывания оборудования средств связи.

Выводы: краткий технико-экономический анализ.

Одна из основных задач в области технологической радиосвязи – организация эксплуатации радиосредств. С одной стороны, эта задача решается в рамках создаваемых АСУ ЦСВТ и АСУ НИС, которые должны обеспечить информационную базу для работников департамента и служб дорог. С другой стороны, необходима соответствующая база данных по стационарным, возимым и носимым радиостанциям, учитывающая местоположение радио средств, текущие технический параметры, их соответствие установленным нормам; данные о работниках, обеспечивающих контроль радиостанций и другую информацию.

Наиболее просто эта информация может быть получена для стационарных радиостанций, входящих в линейные сети поездной или ремонтной радиосвязи, с использованием средств дистанционного контроля или систем мониторинга и администрирования, которые в настоящее время проектируются для железных дорог. Информация о состоянии стационарных радиостанций, проходящих проверку или ремонт в КИПах, должна формироваться в автоматическом или полуавтоматическом режимах.

В современных стационарных радиостанциях станционной радиосвязи, например РС23М, предусмотрен дистанционный контроль параметров по радиоканалу, что также позволяет обеспечивать мониторинг радиостанций в пределах станции или узла.

Значительно в более сложном положении находится контроль состояния (база данных) локомотивных радиостанций, что объясняется постоянно меняющимся их местоположением. При отказе какого-либо блока он оперативно заменяется на аналогичный в любом из КРП по маршруту следования. Кроме этого, на сети кое-где еще эксплуатируются устаревшие радиостанции комплекса ЖРУ, которые автоматически не контролируются. В этих условиях основным средством, обеспечивающим формирование информации о состоянии локомотивных радиостанций, должны стать модернизированные устройства СТОР-1М. Такие устройства уже используются для проведения предрейсового контроля локомотивных радиостанций РВ-1М и РВ-1.1М.

Важным элементом сетей технологической радиосвязи являются носимые радиостанции. На железных дорогах различными службами эксплуатируется более 80 тыс. экземпляров. В течение последних нескольких лет основными типами радиостанций являлись GP-300 и GP-340, поставляемые компанией “Моторола”. Они, безусловно, удовлетворяют достаточно жестким требованиям эксплуатации железнодорожного транспорта. Для них разработаны технологические процессы обслуживания, которые широко используются на дорогах.

Вместе с тем, в настоящее время, более доступна и возможно более надежна продукция российского производства. Это радиостанции “Радий 301”, “Альтавия”. По данным дорог они по своим эксплуатационным показателям не уступают радиостанциям, поставляемым компанией “Моторола”. По электрическим характеристикам радиостанции “Альтавия” превосходят параметры, определенные требованиями ГОСТ 12252-86 “Радиостанции сухопутной подвижной радиосвязи” для носимых радиостанций.

Известно, как остро стоит вопрос с обеспечением связью ремонтных подразделений на перегонах и при организации восстановительных работ. Одно из возможных решений этой проблемы основано на комплексном использовании средств перегонной связи и радиосвязи.

Постоянно возрастающие по сложности задачи обеспечения безопасности по сложности задачи обеспечения безопасности движения поездов, требования к организации канала взаимодействия с подвижными объектами для построения систем автоматического управления движением, в частности требования “Многоуровневой системы управления и обеспечения безопасности движения поездов”, определяют необходимость использования на железнодорожном транспорте цифровых радиостанций и систем радиосвязи. Выбор направлений развития технологической радиосвязи в этой области зависит от многих факторов, в том числе от имеющихся возможностей по частотному ресурсу, допустимых объемов финансирования по проекту и сроков его окупаемости, исходных эксплуатационно-технический требований систем управления по скоростям и объемам передаваемой информации и ряда других.

Для организации таких радиосетей разработана радиостанция передачи данных МОСТ, выполненная в двух вариантах: локомотивном и стационарном. Они применяются в системах управления маневровыми (МАЛС) и горочными (ГАЛС) локомотивами. Локомотивная радиостанция МОСТ входит в состав КЛУБ-У, используется для организации радиоканала в системе управления соединенными поездами ИСАВПР-РТ. Радиостанции обеспечивают передачу данных по скоростью 9,6 кбит/с и достоверностью на 1 бит передаваемой информации в зонах станций не хуже 10-3 – 10-4.

Другой, мало затратный, способ организации радиоканала передачи данных для систем управления основан на использовании существующих радиосистем и, в первую очередь, системы дуплексной поездной радиосвязи (ПРС-Д). Стоит задача возможности организации каналов связи не только ДНЦ – машинист, но и ДСП – машинист, что позволяет перевести основной канал поездной радиосвязи из диапазона КВ в ДМВ и значительно улучшить качество связи.

Требует решения переоборудования участков, оборудованных системой дуплексной поездной радиосвязи. Для этого проведено полное обследование состояния системы ПРС-Д .

В полном объеме комплексное решение технологических задач организации высоко надежной радиотелефонной связи в интересах всех служб, взаимодействия с сетями оперативно-технологической и общетехнологической связи, организации связи с ремонтными подразделениями, формирование цифровых каналов передачи данных и команд телеуправления возможно только при построении цифровой системы технологической радиосвязи. Анализ вариантов и принципов построения систем, результаты их испытаний на опытных полигонах железных дорог, определили перспективность построения цифровых линейных систем на основе стандартов TETRA и GSM-R.

Основным для отечественных систем радиосвязи определен стандарт TETRA. Системы этого стандарта должны, в первую очередь, применяться на наиболее грузо- и пассажиронапряженных участках. На участках, где осуществляется международное движение, и в районах, граничащих со станами Европы, целесообразно внедрять системы стандарта GSM-R, так как этот стандарт рекомендован Международным союзом железных дорог и используется на направлениях основных перевозок европейских стран.

Сроки реализации и окупаемости

Показатели оценивались в условных единицах от 0 до 1 исходя из следующих данных. Надежность радиосвязи с ПО в системах спутниковой, транкинговой и дуплексной поездной радиосвязи составляет 0,9. В системе ремонтно-оперативной радиосвязи (РОРС) надежность связи определяется как произведение надежностей связи (р1.р2.р3), отражающих соответственно сезонные, суточные и интерференционные замирания радиосигнала в канале связи. Таким образом, показатель надежности связи в канале РОРС составляет 0,73.

Надежность радиосвязи в аварийных ситуациях для спутниковой и транкинговой радиотелефонной систем связи полностью определяется эксплуатационной надежностью радиосвязи. Для канала дуплексной поездной радиосвязи она снижается до уровня 0,5 вследствие необходимости дополнительной ручной коммутации, а для канала РОРС определяется существующими нормами на качество связи.

Показатели качества определяются так же, как и в случае определения надежности радиосвязи с ПО. Показатели организации технологической связи (ПРС и СРС) на базе системы спутниковой связи объясняются сложностями в оснащении подвижных единиц мобильными радиостанциями и обеспечении непрерывности канала связи. Система транкинговой связи, а также РОРС позволяют избежать различные организационные и технические трудности при обеспечении железнодорожного транспорта каналами радиосвязи.

Возможность оперативного руководства объектами железнодорожного транспорта с подвижного объекта по каналам спутниковой и транкинговой радиотелефонной систем связи обусловлена существующими нормами качества каналов связи. Трудностей в организации такого вида связи нет. Каналы связи дуплексной поездной радиосвязи для этих целей не предназначены. В соответствии с назначением существующая РОРС не обеспечивает данный вид связи.

Организация пассажирской радиотелефонной связи из движущегося поезда по каналам спутниковой системы не имеет никаких ограничений. Транкинговая система обеспечивает данный вид связи только в зоне обслуживания. Системы дуплексной диспетчерской поездной радиосвязи и РОРС не предусматривают возможность автоматического выхода в междугородные и международные телефонные сети, поэтому показатели 7 и 8 (табл. 1) равны 0.

Организация пассажирской радиотелефонной связи на железнодорожных вокзалах на базе спутниковой системы не вызывает никаких технических и организационных проблем (стационарная земная станция не требует никакого дополнительного коммутационного оборудования), на базе же транкинговой системы она зависит от степени распространения данного вида связи на территории железнодорожных станций.

Показатели сохранности особо ценных грузов во время их транспортировки к месту назначения при организации системы охранной радиосигнализации посредством систем спутниковой, транкинговой радиотелефонной связи и РОРС определены качественными показателями надежности каналов связи, а с помощью каналов дуплексной поездной радиосвязи - функциональными возможностями системы.

Показатель капитальных вложений при организации оперативно-технологической и пассажирской радиосвязи на базе спутниковой системы определяется из расчета оснащения десяти фирменных поездов абонентскими мобильными станциями при условии аренды каналов существующих ССС с учетом данных, взятых из [3] и прайс-листов коммерческих предложений по аппаратуре и услугам международной системы спутниковой связи "ИНМАРСАТ" (0,4 млн. USD). На базе же транкинговой системы связи он определяется из ориентировочной стоимости ее строительства на заданной территории обслуживания согласно данным, полученным из прайс-листов коммерческих пред ложений по аппаратуре и услугам фирм НЕДА-ПЕЙДЖИНГ, North-West GSM, AEG, DELTA-TELECOM (2,3 млн. USD).

Показатель эксплуатационных расходов определялся на основе данных, приведенных в [3-5] и прайс-листах коммерческих предложений по аппаратуре и услугам международной системы спутниковой связи "ИНМАРСАТ", а также фирм НЕДА-ПЕЙДЖИНГ, North-West GSM, AEG, DELTA-TELECOM.

Показатель срока строительства и развертывания оборудования средств связи ССС определяется на основе данных, взятых из [3] и прайс-листов коммерческих предложений по аппаратуре и услугам международной системы спутниковой связи "ИНМАРСАТ" при условии аренды каналов, из расчета оборудования штабных вагонов десяти фирменных поездов (1 мес). Этот показатель для транкинговой системы связи определяется на основе данных, полученных из прайс-листов коммерческих предложений по аппаратуре и услугам фирм НЕДА-ПЕЙДЖИНГ, North-West GSM, DELTA-TELECOM (24 мес), а для систем ПРС и РОРС - согласно используемым на железнодорожном транспорте нормативам.

Результаты сравнительного анализа базовых вариантов систем радиосвязи приведены в табл. 1.

Показатели

Базовые варианты


Спутниковая система связи

Транкинговая система связи

РОРС

Надежность радиосвязи с ПО

0,9

0,9

0,73

Надежность радиосвязи в аварийных ситуациях

0,9

0,9

0,9

Качество радиосвязи

0,9

0,9

0,73

Возможность оперативного руководства с ПО

0,9

0,9

0,3

Возможность организации пассажирской радиотелефонной связи с ПО

1

1

0

Возможность организации радиотелефонной связи на вокзалах

1

0,9

0

Капитальные вложения

1

0,15

0,3

Эксплуатационные расходы

0,1

1

0,8

Срок строительства или развертывания оборудования связи

1

0,05

0,01


В соответствии с изложенными доводами описание любого базового варианта (стратегии) организации оперативно-технологической и пассажирской радиосвязи может быть составлено с помощью пяти укрупненных параметров. К ним относятся: Х1 - универсальность применения данной системы связи; Х2 - обеспечиваемость качества и надежности связи; Х3 - капитальные вложения; Х4 - эксплуатационные расходы; Х5 - срок строительства и резервирования данной системы связи.

Рассмотрим четыре основные стратегии организации оперативно-технологической и пассажирской радиосвязи, характеризуемые нормированными параметрами Zi (где i=1, 2, 3, 4). Нормировка выполняется по правилам:

Zi=Xi/Ximax - для параметров, возрастание численных значений которых приводит к повышению эффективности стратегии;

Zi=(Ximax-Xi)/Xi - для параметров, возрастание численных значений которых приводит к снижению эффективности стратегии.

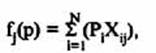
Таким образом, 0 Для оценки стратегий Sj(p) применена программа моделирования ASPID-3, которая вычисляет функции следующего вида:

где Pi - весовые коэффициенты;

В программе предусмотрена возможность задания предпочтений между весовыми коэффициентами. Эта процедура в рассматриваемой задаче осуществляется исходя из того, что в базовых вариантах организации систем наиболее важными звеньями являются качество связи и эксплуатационные расходы.

Полученные результаты позволяют сделать следующие выводы:

1. Транкинговые системы радиосвязи, занимающие первую позицию в матрице предпочтения базовых вариантов, могут быть использованы для организации служебной и пассажирской радиосвязи на железнодорожном транспорте при условии интеграции с системой подвижной радиосвязи автомобильного транспорта. Только в этом случае могут быть оправданы (с учетом последующей окупаемости) большие капитальные вложения в строительство базовых станций и коммутационного оборудования.

2. Спутниковые системы связи могут быть рекомендованы для организации: радиосвязи в аварийных ситуациях; пассажирской радиотелефонной связи в фирменных поездах, предназначенных для международного обмена; резерва каналов оперативно-технологической связи; в других экстренных случаях, требующих оперативного вмешательства со стороны руководства дороги. Высокие эксплуатационные расходы не позволяют использовать ССС в качестве основного средства управления движением поездов.

3. Попытки адаптации систем поездной диспетчерской и ремонтно-оперативной радиосвязи к требованиям пассажирской, а также служебной радиосвязи на перегонах в аварийных ситуациях не принесут успеха в силу их узконаправленных функциональных возможностей.


1. Камнев Е.Ф., Белов А.С. "Система спутниковой связи "Сириус-МПС", "Автоматика, телемеханика и связь", 1993, № 2.

2. Савонин В.Н., Моисеев С.В. "Транкинговые системы связи на железных дорогах", "Автоматика, телемеханика и связь", 1996, № 4.

3. Панов В.Н., Смычёк М.А. "Спутниковая связь из двущегося поезда."Автоматика, телемеханника и связь",1995, №3

4. В.Н. Худов. Оперативно-технологическая связь железных дорог: (Методы анализа и расчета телефон. тракта) 142 c. ил. 22 см. М.: Транспорт, 1979.

5. Н.Х. Дагаева, Ю.И. Клеванский. Радиосвязь на железнодорожном транспорте: [Учеб. для техникумов и техн. шк. ж.-д. трансп.] / Н. Х. Дагаева, Ю. И. Клеванский 311,[1] с. ил. 21 см М.: Транспорт, 1991

6. Руководящие указания по организации и расчету ремонтно-оперативной радиосвязи: ЦШР-20/53 : Утв. Гл. упр. сигнализации, связи и вычисл. техники М-ва путей сообщ. СССР 26.09.89 28 с. ил. 21 см М.: Транспорт, 1991

7. Ю.В. Ваванов. Технологическая железнодорожная радиосвязь/ Ю. В. Ваванов, 182 с. ил., М.: Транспорт, 1985

Похожие работы на - Анализ ремонтно-оперативной радиосвязи на участке железной дороги Киев-Пассажирский – Киев-Московский

 

Не нашли материал для своей работы?
Поможем написать уникальную работу
Без плагиата!
Без нейросетей!