Становление общественной активности студентов в педагогическом вузе
Контрольная работа№00
По предмету «Организация и технология отрасли»
(код-ТЕА)
Вопрос 1. Отрасль промышленности в экономике. Определение,
примеры.
Ответ: Отрасль в структуре экономике – это совокупность
предприятий, характеризующихся единством экономического назначения производимой
продукции, однородностью потребляемых материалов, общностью технологической
базы и технологических процессов, особым профессиональным составом кадров,
специфическими условиями труда. Пример: металлургическая отрасль промышленности,
машиностроительная, химическая, автомобильная, электронная.
Вопрос 2.По каким признакам отличаются отрасли промышленности?
Дать
определение промышленному комплексу. Примеры.
Ответ: Основными признаками, отличающими одну отрасль
промышленности от другой являются:
Ø
Экономическое назначение
производимой продукции;
Ø
Характер потребляемых материалов;
Ø
Техническая база производства;
Ø
Технологический процесс;
Ø
Профессиональный состав кадров.
Пример: Имеются два
промышленных комплексах машиностроительный и химический.
Различие между ними
следующие.
1.
У каждого из этих комплексов
разное назначение производимой продукции;
2.
Характер потребляемых материалов;
3.
У каждого из этих комплексов
налажена своя техническая база производства;
4.
На каждом комплексе свой технологический
процесс;
5.
Профессиональный состав кадров.
Промышленный комплекс – это совокупность определенных групп отраслей, для
которых характерен выпуск родственной продукции, или выполнение схожих работ
или услуг.
Пример: В
топливно-энергетический комплекс входят нефтяная, газовая, угольная, торфяная,
сланцевая отрасли, а также – тепло и электроэнергетика.
Вопрос 3. Предприятие. Привести характеристики предприятия,
примеры, основных и вспомогательных цехов на машиностроительном предприятии.
Ответ: Предприятие
- это обособленная специализированная единица, основанием которой является
профессионально организованный трудовой коллектив, способный с помощью
имеющихся в его распоряжении средств производства изготовить нужную
потребителям продукцию (выполнять работы, оказывать услуги) соответствующего
назначения, профиля и ассортимента.
Пример: Малое частное
предприятие по пошиву одежды, частная аптека, парикмахерская.
Характеристика предприятия. К
производственным предприятиям относят заводы, фабрики, комбинаты, шахты, порты,
карьеры и другие хозяйственные организации производственного назначения.
Предприятия различают по типам: большие и малые, государственные и частные,
обрабатывающие и добывающие и др. Однако независимо от размеров, формы
собственности и других различий любое предприятие действует в рамках
определенных правовых и экономических законов. Оно работает, как правило, на
условиях полного хозяйственного расчета, самоокупаемости и самофинансирования,
самостоятельно заключает договоры с потребителями продукции, в том числе
получает государственные заказы, а также заключает договоры и ведет расчеты с
поставщиками нужных производственных ресурсов, платит налоги, проводит
выполнение обязательных и добровольных взносов платежей в бюджет и другие
финансовые органы, соблюдает действующие стандарты, нормативы, законы.
Предприятие несет полную ответственность перед финансовыми органами за
своевременное перечисление налогов и других платежей, покрывает из собственного
дохода все убытки и потери. За счет выручки от реализации продукции (услуг) оно
производит оплату расходов на организацию и развитие производства, а также на
закуп сырья, материалов, оплату рабочей силы.
Для выполнения разнообразных обязанностей на крупных
предприятиях создаются структурные специальные подразделения-отделы, цехи. В
свою очередь производственные цеха (филиалы, участки, мастерские) разделены на
две группы: цехи основного производства и вспомогательные и обслуживающие цехи.
В цехах основного производства непосредственно изготавливают продукцию,
предназначенную для реализации, а задача вспомогательных цехов обеспечение
нормальной, бесперебойной работы цехов основного производства.
Пример: Машиностроительное предприятие. Продукция цеха
основного производства-кузова автомобиля, двигателя, дизельные пускатели,
топливный насос высокого давления и.т.д. К вспомогательным цехам относят:
ремонтные цеха, слесарные мастерские (по заточке и настройке инструментов), а
также служба главного энергетика, склады предприятия.
Вопрос 4. Привести, по крайней мере, 2 примера применения
научной организации труда на крупном автомобильном заводе
Ответ:
Вопрос 5. Производственный процесс. Сущность, содержание.
Определение производственного цикла.
Ответ:
Процесс
взаимодействия производственных факторов на предприятии, направленный на
превращение исходного сырья (материалов) в готовую продукцию, пригодную к
потреблению или к дальнейшей обработке, образует производственный процесс или производство.
Основными элементами производственного процесса являются труд
(деятельность людей), предметы и средства труда. Во многих производствах
используются природные процессы (биологические, химические).
Наиболее крупными частями производственного процесса являются основное,
вспомогательное и побочное производства.
К основным относятся те процессы, прямым результатом которых является
изготовление продукции, составляющей товарную продукцию данного предприятия, а
к вспомогательным - те, в ходе которых создаются полупродукты для
основного производства, а также выполняются работы, обеспечивающие нормальное
течение основных процессов. Побочное производство охватывает процессы
переработки отходов основного производства или их утилизации.
По течению во времени производственные процессы подразделяют на дискретные
(прерывные) и беспрерывные, вызванные непрерывностью технологического
процесса или потребностями общества.
По степени автоматизации выделяют процессы: ручные, механизированные
(выполняются рабочими с помощью машин), автоматизированные (выполняются
машинами под наблюдением рабочего) и автоматические (выполняются
машинами без участия рабочего по заранее разработанной программе).
Процесс основного, вспомогательного и побочного производства состоит из ряда
производственных стадий.
Стадия - это
технологически законченная часть производства, характеризующая изменение
предмета труда, переходящего из одного качественного состояния в другое.
Производственная стадия делится, в свою очередь, на ряд
производственных операций, представляющих собой первичное звено, элементарную,
простейшую составную часть процесса труда. Производственная операция
выполняется на отдельном рабочем месте, одним или группой рабочих, над одним и
тем же предметом труда, с помощью одних и тех же средств труда.
По назначению производственные операции делят на:
а) технологические (основные), в результате которых вносятся
качественные изменения в предметы труда, его состояние, внешний вид, форму и
свойства;
б) транспортные, изменяющие положение предмета труда в пространстве и
создающие условия для поточного производства;
в) обслуживающие, обеспечивающие нормальные условия для работы машин (их
чистка, смазка, уборка рабочего места);
г) контрольные, способствующие правильному выполнению технологических
операций, соблюдению заданных режимов (контроль и регулирование процесса).
Для нормальной организации производственного процесса необходимо соблюдать
следующие принципы:
1) принцип специализации - это закрепление за каждым цехом,
производственным участком, рабочим местом, технологически однородной группы
работ или строго определенной номенклатуры изделий;
2) принцип непрерывности процесса означает обеспечение движения предмета
труда с одного рабочего места на другое без задержек и остановок;
3) принцип пропорциональности подразумевает согласованность в
продолжительности и производительности всех взаимосвязанных подразделений
производства;
4) принцип параллельности предусматривает одновременное выполнение
отдельных операций и процессов;
5) принцип прямоточности означает, что предметы труда в процессе
обработки должны иметь наикратчайшие маршруты по всем стадиям и операциям
производственного процесса;
6) принцип ритмичности состоит в регулярности и устойчивости хода всего
процесса, что обеспечивает производство одинакового или равномерно
увеличивающегося количества продукции за равные промежутки времени;
7) принцип гибкости требует быстрой адаптации производственного процесса
к изменению организационно-технических условий, связанных с переходом на
изготовление новой продукции и др.
Организационные типы производства
Постоянство видов выпускаемой продукции, а также постоянство
структуры производственного процесса определяют типы производства: единичное,
серийное и массовое.
Единичное производство характеризуется наиболее резко выраженным
непостоянством структуры рабочего процесса, так как при этом типе производства
каждое последующее изделие создает новый технологический процесс, отличающийся
от прежнего по составу операций, по их продолжительности и последовательности,
в которой они выполняются. К данному типу производства можно отнести
изготовление нестандартного оборудования.
Отличительными особенностями единичного типа производства являются:
- многономенклатурность выпускаемой продукции;
- преобладание технологической специализации рабочих мест, участков, цехов;
- отсутствие постоянного закрепления за рабочими местами определенных изделий;
- использование универсального оборудования и размещение его по однотипным
группам;
- наличие высококвалифицированных рабочих-универсалов;
- большой объем ручных операций;
- большая длительность производственного цикла и др.
Серийное производство характеризуется постоянством
структуры рабочего процесса в период выпуска одной партии (серии) одинаковых
изделий. Структура процесса изменяется по составу операций, их продолжительности
и последовательности выполнения в связи с переходом на изготовление серии
нового вида продукции. Например, консервное производство.
В зависимости от продолжительности периода выпуска одной серии и размера партии
различают мелкосерийное, среднесерийное и крупносерийное производства.
Для серийного типа производства характерна относительно большая номенклатура
изделий, однако значительно меньшая, чем при единичном типе производства.
Основные особенности организации серийного производства:
- специализация рабочих мест по выполнению нескольких закрепленных операций;
- использование универсального и специального оборудования;
- незначительный объем ручных операций;
- наличие рабочих средней квалификации;
- незначительная длительность производственного цикла и др.
Массовое производство характеризуется наиболее резко
выраженным постоянством структуры рабочего процесса, повторением одних и тех же
операций на каждом рабочем месте в связи с изготовлением одного и того же вида
изделия. К данному типу производства можно отнести машиностроение.
Для массового производства характерны:
- ограниченная номенклатура изделий;
- предметная специализация рабочих мест;
- использование специального и специализированного оборудования;
- возможность механизации и автоматизации производственных процессов;
- наличие рабочих невысокой квалификации;
- минимальная длительность производственного цикла.
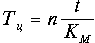
Важной количественной характеристикой типа производства является уровень
специализации рабочих мест, исчисляемый с помощью коэффициента закрепления
операций, который определяется как среднее количество
операций, приходящихся на
одно рабочее место за месяц:
,
где n - количество
предметов, обрабатываемых данной группой рабочих мест;
m - количество операций,
приходящихся на i-тый
предмет;
KM - количество рабочих мест.
Нормативный коэффициент закрепления рабочих мест для массового производства
составляет от 1 до 3, для крупносерийного - 4-10, среднесерийного - 11-20,
мелкосерийного - более 20, единичного - более 40.
Отдельно выделяют исследовательское производство, в котором изготавливаются
образцы или партии изделий для проведения исследовательских работ.
Производственный цикл
Время от начала производственного процесса до выхода готовой
продукции определяется как производственный цикл.
Производственный цикл состоит из времени производства и времени
перерывов.
Время производства включает продолжительность технологических операций (или
природных, естественных процессов) и продолжительность вспомогательных операций
(технологического обслуживания производства).
Продолжительность технологических операций - это время, в течение которого
происходят механические, химические, физические и другие воздействия на
предметы труда, в результате чего осуществляется изменение форм, размеров,
физико-химических свойств предметов труда. Продолжительность вспомогательных
операций - это время, затрачиваемое на межцеховые и внутрицеховые перемещения
предметов труда, контроль, упаковывание, маркирование и т.п.
Перерывы в работе подразделяют на регламентированные и нерегламентированные.
Регламентированные перерывы входят в состав каждого цикла, если они вызваны
ожиданием накопления партии изделий для передачи ее на следующую
технологическую операцию или временной остановкой в работе из-за разной
продолжительности смежных технологических операций.
Нерегламентированные перерывы связаны с простоем оборудования и рабочих по
непредусмотренным режимом работы организационно-техническим причинам (задержка
сырья, материалов, поломка оборудования) и поэтому в производственный цикл
включаются в виде поправочного коэффициента или вообще не учитываются.
Основной составляющей производственного цикла является продолжительность
технологических операций, которая составляет технологический цикл (Тц):
где n -
количество предметов в партии;
t - продолжительность
обработки одного предмета;
KM - количество рабочих мест, на которых
выполняется эта операция.
Предметы труда в процессе производства могут перемещаться последовательно,
параллельно и параллельно последовательно. Длительность цикла наименьшая при
параллельном движении предметов труда, наибольшая - при последовательном.
Длительность и состав производственного цикла рассчитывают аналитическим,
графическим или графоаналитическим способами. Для этого необходимо знать
составные части, на которые расчленяется процесс производства продукции,
последовательность, способ выполнения и нормативы его продолжительности, вид
движения предмета труда.
Методы организации производства
Существует два метода организации производства: поточное и не
поточное производство.
Не поточное производство используется преимущественно в единичном и
серийном производстве. Его признаки: рабочие места размещаются однотипными
технологическими группами без связи с последовательностью выполнения операций,
на них обрабатываются разные по конструкции и технологии изготовления предметы
труда, которые перемещаются в процессе обработки сложными маршрутами, создавая
большие перерывы между операциями.
В условиях единичного производства не поточный метод осуществляется в форме
единично-технологического, (обрабатываемые предметы труда не повторяются).
В серийном производстве не поточный метод принимает две формы:
1) партионно-технологический метод (предметы труда проходят обработку
партиями, которые периодически повторяются);
2) предметно-групповой метод (вся совокупность предметов труда
разделяется на технологически подобные группы).
Количество оборудования (N)
в непоточном производстве исчисляется для каждой технологически однотипной
группы станков:
где n -
количество предметов труда, обрабатываемых на данном оборудовании;
t - норма времени на
обработку предметов труда;
T - плановый фонд времени
работы единицы оборудования за год;
Kв.н. - коэффициент выполнения норм
времени.
Поточное производство обеспечивает строго согласованное выполнение всех
операций технологического процесса во времени и пространстве, оно
характеризуется следующими основными признаками:
- специализацией каждого рабочего места на выполнении определенной операции;
- согласованным и ритмичным выполнением всех операций на основе единого
расчетного темпа работы;
- размещением рабочих мест в строгом соответствии с последовательностью
технологического процесса;
- передачей обрабатываемого материала или изделий с операции на операцию с
минимальными перерывами с помощью транспортера (конвейера).
Основным структурным звеном поточного производства является поточная линия -
ряд взаимосвязанных рабочих мест, расположенных в порядке последовательности
выполнения технологического процесса и объединенный общей для всех нормой
производительности (ее определяет ведущая машина потока).
Поточный метод характерен для массового и крупносерийного производства.
Производственные потоки можно классифицировать по ряду признаков: а)по
числу линий - на однолинейные и много линейные;
б) по степени охвата производства - на участковые и сквозные;
в)по способу поддержания ритма - со свободным и регламентированным ритмами;
г)по степени специализации - многопредметные и одно-предметные;
д.) по степени непрерывности процесса - прерывные и непрерывные.
Для поточной линии рассчитываются основные ее параметры:
1) такт (ритм) поточной линии (r)
- промежуток времени между выпуском двух, следующих одно за другим готовых
изделий или партий готовых изделий:
|
|
 |
|
|
 |
где
Т - плановый фонд
времени работы линии за расчетный период, мин.;
П - объем производства продукции
за тот же период в натуральном измерении.
При ритмичном производстве за определенный промежуток времени вырабатывается
одно и то же равное количество продукта.
2) количество рабочих мест (
N)
исчисляется по каждой операции:
где tц - длительность рабочего.
Вопрос 6. Действуют
два завода: 1) – молочный завод, 2) – станкостроительный завод. Каждый завод
имеет оборотные средства К=200 млн.руб/год. Коэффициент рентабельности Р=0,2.
Скорость оборачиваемости оборотных средств С(1)=4мес., С(2)=12мес.
Воспользовавшись формулой для прибыли П=К*Р*12./С определить какова прибыль за
год на заводах.
Ответ: Прибыль на молочном заводе: П = 200 * 0,2 *
12/4 = 120млн. руб.
Прибыль на
станкостроительном заводе: П = 200 * 0,2 * 12/12 = 40млн.руб.
Вопрос
7. Организационно – техническая
подготовка производства. Стадии проектно-конструкторских работ. Отличительные
особенности технологической подготовки.
Ответ:
Уровень
научно-технической подготовки производства определяет эффективность
изготовления продукции основным производством, обуславливает возможность
ритмичности ее выпуска с заданными потребительскими свойствами.
Техническую подготовку
производства можно рассматривать с точки зрения производства какого-либо
продукта на базе уже существующего или с точки зрения организации нового
производства. Цель данной работы - рассмотреть техническую подготовку
производства как организацию нового производства, отдельного предприятия или
цеха. При написании данной работы я поставил перед собой следующие задачи:
Рассмотреть понятие
технической подготовки производства
и ее содержание;
На примере конкретного
предприятия рассмотреть техническую подготовку производства отдельного цеха по
производства конкретной продукции.
Решение экономических,
социальных и других задач предприятия непосредственно связано с быстрым
техническим прогрессом производства и использования его достижений во всех
областях хозяйственной деятельности. На предприятии он осуществляется тем
эффективней, чем совершеннее на нем техническая подготовка производства, под
которой понимается комплекс конструкторских, технологических и организационных
мероприятий, обеспечивающих разработку и освоение производства новых видов
продукции, а также совершенствование выпускаемых изделий. Запуск в производство
изделий, прошедших полную техническую подготовку, позволяет добиться высокой
рентабельности их выпуска уже через 1-2 года (см. рисунок 1)
Рисунок 1.
Производство изделий
без надлежащей технической подготовки (см. рисунок 1 ,кривая 2) удлиняет сроки
освоения (выхода на плановую рентабельность) в 2 - 2.5 раза.
В этом случае рентабельный период сокращается т.к. наступает моральное
старение продукции, падение спроса на нее и зачастую снижение цены на нее.
Основными задачами технической
подготовки производства на промышленном предприятии являются:
формирование прогрессивной технической политики, направленных на создание более
совершенных видов продукции и технологических процессов их изготовления; создание условий для высокопроизводительной, ритмичной и
рентабельной работы предприятия; последовательное
сокращение длительности технической подготовки производства, ее трудоемкости и
стоимости при одновременном повышении качества всех видов работ.
“техническая
подготовка производства - это комплекс нормативно-технических мероприятий,
регламентирующих конструкторскую, технологическую подготовку производства и
систему постановки продукции на производство”.
Эти мероприятия
обеспечивают полную готовность предприятия к производству изделий высокого
качества.
Техническая подготовка
производства по своему содержанию подразделяется на исследовательскую,
конструкторскую (проектирование изделий) и технологическую стадии. Назначение
первой стадии - проведение прикладных исследований, экспериментирование,
изучение возможностей использования новых конструктивных решений, материалов,
технологических процессов, прогнозирование спроса на продукцию и др.; вторая охватывает все необходимые виды работ по конструированию
(разработке проекта) новых изделий, изготовлению из опытных образцов,
совершенствованию выпускаемых изделий; третья стадия
имеет своей задачей разработку новых и совершенствование существующих
технологических процессов, технологической оснастки, средств и методов контроля
качества, нормативов трудовых и материальных затрат, совершенствование
организации производства в цехах и на производственных участках. В свою очередь
техническая подготовка составляет часть жизненного цикла изделия, включающего; научную и техническую подготовку, собственно производство и
эксплуатацию изделия.
Уровень технической
подготовки производства зависит от многих факторов. Их можно подразделить на
группы. Включающие технические, экономические, организационные и социальные аспекты.
Технические факторы -
разработка и внедрение типовых и стандартных технологических процессов,
использование стандартизированных и унифицированных средств технологического
оснащения; применение систем автоматизированного
проектирования технологической оснастки; применение
АСУП, станков с ЧПУ, прогрессивных режимов механической и технической обработки
деталей; использование прогрессивных технологических
приемов обработки; внедрение прогрессивных заготовок с
целью снижения трудоемкости на механическую обработку и материалоемкости
продукции, улучшение метрологического обеспечения;
применение средств активного и объективного технического контроля качества; автоматизация контроля за выполнением сетевых графиков
проектирования и производства средств технического оснащения.
Экономические факторы
- поэтапное опережающее финансирование работ технической подготовки
производства; предоставление льготных кредитов; создание фонда стимулирования освоения новой техники.
Организационные
факторы - развитие и углубление специализации производства;
аттестация качества технологических процессов и изготовленных средств
технологического оснащения, нестандартного оборудования по результатам качества
опытного образца или первой промышленной партии изделий основного производства,
улучшение организации вспомогательного производства;
совершенствование отношений между вспомогательным и основным производством; расширение внутризаводского, межзаводского,
внутриотраслевого кооперирования.
Социальные факторы -
повышение квалификации исполнителей; механизация и
автоматизация производственных и вспомогательных операций с целью улучшения
условий труда, развитие социальной сферы; улучшение
психологической атмосферы в коллективе. Техническая подготовка производства
может предусматривать техническое перевооружение, реконструкцию и расширение
отдельных производственных участков, а также модернизацию оборудования.
Осуществлением единой
технической политики на предприятии руководит главный инженер (первый
заместитель генерального директора объединения), опираясь на аппарат
технической подготовки производства. Организационные формы и структура ее
органов определяются принятой на предприятии, в производственном объединении
системой подготовки производства. На предприятиях различают три организационные
формы технической подготовки:
Ø
централизованную
Ø
децентрализованную
Ø
смешанную.
Выбор формы зависит от
масштаба и типа производства, характера изготовляемой продукции, частоты ее
обновления и других факторов. Для крупных предприятий, объединений массового и
крупносерийного производства характерна централизованная форма подготовки , при
которой вся работа осуществляется в аппарате заводоуправления. С этой целью
создаются отделы главного технолога, общезаводская лаборатория, отдел
планирования технической подготовки производства. На некоторых предприятиях
организуются два конструкторских отдела:
опытно-конструкторский, занимающийся разработкой новой продукции, и
серийно-конструкторский, имеющий задачей совершенствование выпускаемой
продукции.
На предприятиях единичного и
мелкосерийного производства применяется преимущественно децентрализованная или
смешанная форма подготовки производства: при первой
форме основная работа по технической подготовке ведется соответствующим бюро
производственных цехов; при второй - весь объем работ
распределяется между заводскими и цеховыми органами. В этом случае
конструкторская подготовка чаще всего осуществляется в отделе главного
конструктора, а технологическая - в цеховых бюро подготовки производства. На
небольших предприятиях вся техническая подготовка сосредотачивается в едином
техническом отделе.
Таким образом, мы видим, что процесс проведения
технической подготовки производства не является сам по себе просто установкой
оборудования, а представляет собой сложный комплекс взаимосвязанных
мероприятий. Фактически это коренная перестройка производства, начиная с
оборудования и заканчивая специализацией работников.
Проектно-конструкторские работы являются важным
звеном технической подготовки производства; они состоят из нескольких этапов.
Для разработки нового изделия составляют ТЕХНИЧЕСКОЕ
ЗАДАНИЕ НА ПРОЕКТИРОВАНИЕ. В основе технического задания лежат результаты
научно-исследовательских работ, научного прогнозирования, анализа достижений
отечественной и зарубежной техники, изучения патентной документации и исходных
требований заказчика.
Техническое задание состоит из нескольких разделов:
Ø
наименование и область применения;
Ø
краткая характеристика особенностей эксплуатации;
Ø
источники разработки;
Ø
технические требования.
После утверждения технического задания разработчики
подготавливают конструкторскую документацию на изделие:
Ø
техническое предложение;
Ø
эскизный проект;
Ø
технический проект;
Ø
рабочую документацию.
При эскизном проектирование рассматривают принципиальные
решения, прорабатывается конструктивная схема изделия и его основных элементов.
Техническое проектирование имеет целью детальную
разработку ограниченного числа вариантов, признанных перспективными. При этом
осуществляется конструктивная проработка основных, преимущественно новых по
техническому решению узлов.
В процессе рабочего проектирования разрабатывается одна,
принятая в качестве основной, конструкция изделия. Детально разрабатываются
чертежи всех элементов изделия, а также сборочные чертежи изделия в целом.
Различие между технологической подготовкой производства и
технической подготовкой производства заключается в том, что технологическая
подготовка – это совокупность взаимосвязанных научно – технических процессов,
обеспечивающих технологическую готовность предприятия в плановом порядке
выпускать продукцию установленного ГОСТами и техническими условиями качества, а
задача технической подготовки заключается в том, чтобы обеспечить:
Ø
установленный профиль и характеристику выпускаемых изделий;
Ø
заданный объем и календарный план выпуска продукции;
Ø
обоснованные затраты на производство не в ущерб качеству
продукции
Ø
соблюдение отраслевых и межотраслевых стандартов и нормативов.
Вопрос 8. Установка нового более качественного
оборудования на радиозаводе стоит. К=16млн. руб.; Срок окупаемости Т=8лет;
Прибыль, получаемая ежегодно от улучшения качества выпускаемых радиоприемников
П=3млн. руб. в год. Определить годовой эффект улучшения качества продукции по
формуле: Э=П - К/Т.
Ответ: Годовой эффект улучшения качества
продукции будет равен – единице (1)
Вопрос 9. Охарактеризовать понятие «сертификация» и
«стандартизация». Основные их цели и задачи.
Ответ: Стандартизация представляет собой отрасль
знаний, связанную с обобщением передовых достижений науки и техники и
закрепляющую эти достижения в законодательном порядке, что позволяет эффективно
применять их на любом предприятии.
Стандартизация проявляется чаще всего в виде стандартов,
технических условий или других нормативных документов. Стандарт может быть
представлен:
v
Документом, содержащим комплекс требований, которые следует
неукоснительно выполнять;
v
Основной единицей или физической константой;
v
Предметом для физического сравнения.
Цели стандартизации:
1. Ускорение
научно – технического прогресса;
2. Повышение
эффективности общественного производства и производительности общественного
труда;
3. Улучшение
качества продукции и обеспечение его оптимального уровня;
4. Совершенствование
организации управления и установление рациональной номенклатуры выпускаемой
продукции;
5. Развитие
специализации при проектировании и производстве продукции;
6. Рациональное
использование производственных фондов и экономия материальных и энергетических
ресурсов;
7. Обеспечение
безопасности труда, охрана здоровья и сохранение окружающей среды;
8. Создание
условий для широкого развития экспорта;
9. Развитие
международного экономического и технического сотрудничества.
Главная задача стандартизации - упорядочение
отношений, возникающих при решении повторяющихся вопросов в данной сфере
деятельности.
Главная задача сертификации заключается в охране
и защите потребителя от недоброкачественной продукции и услуг.
Сертификация основывается на следующих основных принципах:
1. Обеспечение
государственных интересов при оценке безопасности продукции и достоверности
информации о ее качестве;
2. Добровольности
либо обязательности;
3. Объективности;
4. Достоверности;
5. Исключения
дискриминации в сертификации продукции отечественных и зарубежных
изготовителей;
6. Предоставления
изготовителю права выбора органа по сертификации и испытательной лаборатории;
7. Установления
ответственности участников сертификации;
8. Правового
и технического обеспечения, а также многофункциональности использования
результатов сертификации изготовителем, торговлей, потребителям, органами
надзора, таможней, страховыми организациями, биржами, аукционами, арбитражем,
судом;
9. Открытости
информации о положительных результатах сертификации или о прекращении действия
сертификата;
10. Разнообразия форм и методов
проведения сертификации продукции с учетом специфики, характера производства и
потребления.
Организация сертификации включает в себя две стадии:
v
Обеспечение и реализация условий для создания и производства
продукции, подлежащей сертификации;
v
Организация и проведения сертификации продукции как подтверждение
ее соответствия требованиям нормативно – технической документации.
Ø
Уменьшение расстояния перемещения тележек с автоматическим
направлением движения (ТАНД);
Ø
Совершенствование погрузочных механизмов;
Ø
Сокращение маршрута пребывания на складе одной детали;
Ø
Повышение степени компьютеризации автоматизированных складских
комплексов (АСК).
Ответ: К количественной категории принадлежат:
Ø
Повышение степени компьютеризации автоматизированных складских
комплексов.
Ø
Совершенствование погрузочных механизмов.
К качественной категории
принадлежат:
Ø
Уменьшение расстояния перемещения тележек с автоматическим
направлением движения.
Ø
Сокращение маршрута пребывания на складе одной детали.