Внутренняя структура протона и новый способ получения энергии
ВНУТРЕННЯЯ
СТРУКТУРА ПРОТОНА И НОВЫЙ СПОСОБ ПОЛУЧЕНИЯ ЭНЕРГИИ
ВВЕДЕНИЕ
Протон был открыт в начале 20-х г.г. в экспериментах с альфа-частицами. В
опытах по рассеянию на протонах электронов и гамма-квантов были получены
достоверные доказательства существования некой внутренней структуры у этой
частицы. В 1970 г. в Стенфордском центре линейного ускорителя (СЛАК) удалось в
эксперименте получить прямое свидетельство того, что протон действительно
обладает внутренней структурой [1]. Однако, конкретная внутренняя структура
протона остается не раскрытой. Гипотеза кварков, как фундаментальной основы
элементарных частиц , также не привела к установлению конкретной внутренней
структуры протона. Как отмечается в [1]: “Кварковая модель была предложена
для объяснения многообразия адронов. Она ничего не говорит явным образом о
внутреннем строении какой-либо из этих частиц.” До сих пор отсутствует
понимание, на каких принципах строится механизм формирования структуры протона.
Из-за этого не находит объяснения природа его массы, равная 1836,1526675(39)
электронным массам. Масса протона определена экспериментально. Теории массы
протона и аналитического соотношения для расчета его массы нет. Из всех тяжелых
частиц протон является единственной устойчивой частицей. Протон является
основой всех сложных вещественных образований Вселенной. Мир своим
существованием обязан протону, однако уровень знаний о нем не соответствует его
роли в мироздании. Для того, чтобы распутать такой клубок проблем,
сопровождающих протон, необходимо раскрыть конкретную внутреннюю структуру и
создать теорию его внутренней структуры. Физика уже подошла вплотную к такому
рубежу, когда необходимо давать ответ на вопрос: “какова конкретная
внутренняя структура частиц и что для них Природа использовала в качестве
строительного материала?” Есть все основания полагать, что теория
внутренней структуры протона откроет доступ к новым способам получения энергии.
Освоение энергии протона может стать важнейшим фактором в решении
энергетической проблемы. Решению этой задачи посвящена эта статья.
1. ВНУТРЕННЯЯ СТРУКТУРА ПРОТОНА
В работах [2 –5] предприняты шаги в направлении создания теории внутренней
структуры элементарных частиц. Получено соотношение, отражающее закон
формирования структуры элементарной частицы:

(1)
где: n= 2,3,...; me - масса электрона и позитрона; j=1 для
нейтральных частиц; j=0 для частиц, имеющих заряд.
Из формулы видно, что закон структурогенеза вещества имеет бинарный
характер. Бинарность сохраняется на каждом шаге структуризации вещества.
Бинарность в законах структурогенеза отражает то, что в формировании
вещественных образований участвуют зарядово-сопряженные частицы. Формула
отражает динамику структурогенеза, по которой происходит формирование структуры
вещественных образований.
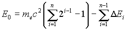
Соотношения для энергий описываются следующими математическими формулами [2
– 5]:
(2)
(3)
Формула (2) применима для определения энергии нейтральных частиц, формула
(3) применима для определения энергии заряженых частиц. Каждая из формул (2) и
(3) отображает определенный дискретный ряд энергетических уровней , которым
соответствует последовательность вещественных образований в динамике
структурогенеза. Формулы (2) и (3) показывают, что энергия, участвующая в
образовании вещества, разделяется на две составляющие. Первая составляющая
представляет собой суммарную энергию покоя вещественных образований,
участвующих в формировании новой частицы. Так, для нейтральных вещественных
образований, она имеет вид:
(4)
Вторая составляющая представлена слагаемыми, которые задают величину энергии
связи:
(5)
Соотношения (2) и (3) отражают дискретный характер внутренней энергии
элементарных частиц.
В [5] показано, что внутренняя структура протона представляет собой
фрактальную конструкцию.
Фрактал, выявленный в струтуре элементарных частиц, отражает
детерминированный процесс структурогенеза. Для фрактала протона характерно
чередование симметричных и асимметричных ветвей древовидной структуры.Открытие
конкретного вида фрактала, отражающего закономерность структурогенеза протона,
позволяет получить количественные характеристики элементарных частиц расчетным
путем. В [5] получены количественные характеристики фрактальных структур
элементарных частиц и найдено математическое описание фрактала протона.
Математическое соотношение для элементарной ячейки фрактала протона имеет вид:
На основе формулы для элементарной ячейки фрактала получено обобщенное
математическое соотношение, описывающее завершенные фрактальные конструкции
внутренней структуры элементарных частиц. Это математическое соотношение имеет
вид:
,
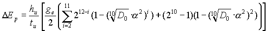
Из приведенного выше соотношения, при n =11, получаем
формулу, описывающую фрактал протона:
. (6)
Формула для фрактала водорода будет иметь вид:
.
Рассматривая закономерность структурогенеза протона, можно увидеть
проявление самоподобия в его внутренней структуре на различных шагах
структурогенеза.На каждом шаге формирования структуры частицы прослеживается
единый алгоритм формообразования, приводящий к своеобразной топологии протона.
Фрактал протона описывается следующей топологической формулой [2]:
Pp
=2(2(2(2(2(2(2(2(2(2+1)+1)+1)+1)+1)+1)+1)+1)+1)+1 (7)
Графическое изображение топологической формулы протона представляет собой
древовидную фрактальную конструкцию. Процесс формирования протона реализуется в
результате последовательных актов энергонасыщения вакуума [2,3,4]. Внутренняя
структура протона образуется системой последовательных вложений, основанной на
едином алгоритме. На каждом шаге структурогенеза протона фрактальная
субструктура повторяет фрактал предыдущего шага структуризации. Исследование
фрактала протона показывает, что внутренняя структура протона имеет ярко
выраженную квантованность и иерархию внутренего строения. В этой иерархии
каждая подсистема создана по одному и тому же образу: каждая большая часть
структуры в точности повторяет малую часть структуры. Таким образом,
проявляется пространственная упорядоченность при формировании внутренней
структуры протона. Согласно формулам (4), (6), (7) существует иерархический
дискретный ряд внутренних уровней энергии протона. Исходя из закона сохранения
энергии, видно, что для внутренней струтуры протона свойственна иерархия
характерных частот. В результате, наряду с пространственной упорядоченностью,
которая проявляется в фрактальной структуре протона, существует и временная
упорядоченность, которая проявляется в кратных характерных частотах
иерархических уровней подсистем внутренней структуры. Для внутренней струтуры
протона каждая часть высшего порядка строится посредством объединения двух
структур низшего порядка. Это приводит к особой сетке характерных внутренних
частот, построенной по принципу УДВОЕНИЯ периода. Это наглядно демонстрирует
топологическая формула протона (7). Если описывать динамику структурогенеза
протона и топологическую формулу протона на языке алгоритмов, то для этого
подходит рекурсивный алгоритм [9]. Рекурсия копирует малое в большом и большое
в малом, сохраняя единый принцип построения структуры протона. Формулы
структурогенеза элементарных частиц и топологическая формула протона позволили
получить теоретическим расчетом фундаментальную константу mp/me
, что указывает на экспериментальное подтверждение теории [5,7,8,10]. Кроме
того, эти формулы позволили выявить механизм , ответственный за устойчивость
протона, что открывает путь к новым способам получения энергии. Это будет
показано ниже.
2. ЭНЕРГИЯ ВАКУУМА И ЭНЕРГИЯ ПРОТОНА
В квантовой теории доказано, что минимально возможная энергия элементарного
осциллятора не может быть меньше 0,5hν [6]. Эти половинки при широком
диапазоне волн задают очень высокий уровень энергии вакуума. Это, так
называемая, нулевая энергия электромагнитных колебаний. Экспериментально
энергия вакуума наблюдается в эффекте Лэмба-Ризерфорда и в эффекте Казимира.
Плотность энергии вакуума определяется соотношением [6]:
,
где: h – постоянная Планка, a – коэффициент, ν – частота.
Отсюда следует, что энергия вакуума может быть очень большой. По словам
Р.Фейнмана и Дж.Уилера, энергетический потенциал вакуума настолько огромен, что
"в вакууме, заключенном в объеме обыкновенной электрической лампочки,
энергии такое большое количество, что ее хватило бы, чтобы вскипятить все океаны
на Земле". Однако, вследствие высокой симметрии вакуума,
непосредственный доступ к этой энергии весьма затруднителен. В результате,
находясь, по существу, среди океана энергии, человечество вынуждено
пользоваться только традиционными способами ее получения, основанными на
сжигании природных энергоносителей. Тем не менее, при нарушении симметрии
вакуума доступ к океану энергии возможен.
Современные способы получения энергии можно схематически представить так:
С + О2 →СО2 + 0,0046 MeV,
235U → 0,85 MeV/нуклон + ядерные отходы,
D + T → 4He + 17,6 MeV .
Если проанализировать эти способы получения энергии, то можно увидеть, что
конечным продуктом в цепи энергетических преобразований является вещество.
Причем, это конечное вещество становится, как правило, более опасным для
биосферы, чем исходный энергоноситель. Мир уже свыкся с мыслью, что для
получения энергии нужно воздействовать на вещество и на конечной стадии также
получать вещество. Это относится и к энергетике, основанной на сжигании
природного топлива, и к атомной энергетике, и к термоядерному синтезу. При этом
стоимость получаемой энергии остается высокой, а отходы являются очень опасными
для биосферы. Для таких способов получения энергии подходит формулировка:
"вещество в начале энергопреобразований - вещество в конце
энергопреобразований". Задача состоит в том, чтобы найти новые способы
получения энергии, свободные от недостаков традиционной схемы. Новая схема
энергопреобразований должна выглядеть так: "вещество в начале
энергопреобразований – энергия в конце". Тогда на конечной стадии
энергопреобразований не будет появляться опасное для биосферы вещество. Это
возможно лишь в случае, если в схеме энергопреобразований отсутствуют реакции
синтеза, а вместо них реализуются реакции деструктуризации вещества. Такое
возможно в среде энергонасыщенного вакуума, где происходит нарушение его
симметрии. В результате реализуется не прямой доступ к энергии вакуума, а
осуществляется обмен энергии вакуума на энергию, содержащуюся в веществе.
Преобразование вещества в энергию позволит значительно увеличить количество
получаемой энергии и сделать процесс получения энергии экологически чистым.
Новую схему энергопреобразований можно реализовать при наличии высокого уровня
энергии возбуждения вакуума и воздействием этой энергией на вещество. В
качестве “топлива” для этой цели идеально подходит протон.
Во второй половине 20-го века теоретическая физика пришла к выводу о
возможности распада протона [6,11]. Распад протона представляет собой очень
заманчивое явление для цели получения вакуумной энергии. Подтвердим это
конкретными расчетами. В [3,7,8,10] найдены физические константы hu,
tu, lu, α, π, относящиеся к вакууму. Эти
константы позволили получить математическим расчетом массу протона [5]. Формулы
для массы протона, с применением универсальных суперконстант вакуума hu,
tu, lu, α, π, непосредственно следуют из
соотношений (1) - (7), описывающих внутренюю структуру этой частицы, и имеют
вид:

(8)
Значение энергии связи, вычисленное по этой формуле, равно 107,74 Мэв (≈108
Мэв) и составляет около 11,5% от энергии покоя протона. Таким образом,
определена важнейшая характеристика протона, знание которой является ключевым
моментом для реализации нового способа получения энергии. Если протону сообщить
дополнительную энергию, такую, чтобы она превышала энергию связи (≈108
MeV), то он становится неустойчивым и распадается на легкие частицы, имеющие
очень малое время жизни. Такое возможно при определенном уровне энергонасыщения
вакуума в локальной зоне пространства, где находится протон. На этом основан
новый способ получения энергии.
Основной этап энергопреобразований в новом способе получения энергии можно
представить так:
p+ + 108 MeV → 938 MeV
Здесь вместо реакции синтеза вещества реализуется энергонасыщение протона,
что приводит к его деструктуризации. На рис.1 показана полная схема
энергопреобразований в новом способе получения энергии.
Расход электролита ≈ 1 грамм на 2500 кВт∙час.
Выделение О2 ≈ 0,7 литра на 2500 кВт∙час.
Рис.1. Схема энергопреобразований в новом способе
получения энергии.
Расчеты показывают, что энергия связи равная 107,74 Мэв, представляет собой
набор дискретных уровней энергии и содержит 10 составляющих:
107,74 Мэв =54,9+20,35+13,35+8,23+4,84+2,84+1,62+0,87+0,48+0,26 (Мэв) .
Соответственно, энергетическое воздействие на протон должно осуществляться
квантами энергии и должно соответствовать приведенной выше 10-ти шаговой сетке
энергетических уровней. Поскольку все элементарные частицы, на которые
распадается протон, являются неустойчивыми, то такая схема не приводит к
появлению остаточного вещества на конечной стадии энергопреобразований [12,
13]. Это делает способ экологически чистым. Другим достоинством нового способа
является беспрецедентно высокий энергетический выход. Как видно из формул для
массы протона и из соотношения (8), удельная энергия более чем в 1000 раз
превышает возможности атомной энергетики и в десятки раз превышает возможности
термоядерного синтеза, оставаясь при этом экологически чистым способом. В этом
способе осуществляется воздействие на ядра атомов водорода. Воздействие
осуществляется в локальной зоне пространства при энергонасыщении вакуума в
среде электропроводной жидкости. Способ позволяет получать тепловую и
электрическую энергию. Расчеты показывают, что энергетический выигрыш составляет
величину: К=4,8 – 8,6 . Расходным материалом является электролит. Расход
электролита составляет ≈ 1 грамм на 2500 кВт∙час
энергии. При использовании электролита на водной основе будет образовываться
остаточное вещество – кислород. Для генератора мощностью 100 кВт выделение О2
составляет очень незначительное количество ≈ 0,25 м3 в
год .
Изложенный выше подход может найти применение для утилизации различных
отходов производства в промышленности и энергетике. Воздействие на вещество с
целью его деструктуризации может стать универсальным и эффективным инструментом
обеспечения экологической безопасности производства и превращения отходов
производства в тепловую энергию. Это принципиально меняет взгляд на
существующие виды и классы энергоносителей и позволит рассматривать даже
опасные отходы как потенциальные энергоносители.
ЛИТЕРАТУРА
- М.Жакоб, П.Ландшофф.
Внутренняя структура протона. УФН, т. 133, вып. 3, 1981.
2. Н.В.Косинов Эманация вещества вакуумом и законы структурогенеза.
Физический вакуум и природа, N1, 1999.
- Н.В.Косинов Физический
вакуум и гравитация. Физический вакуум и природа, N4, 2000.
4. Н.В.Косинов. Беспроводная передача энергии. Идея. N2, 1994, с.221 –227.
- Н.В.Косинов. Происхождение
протона. Физический вакуум и природа, N3, 2000.
6. Я.Б.Зельдович. Теория вакуума, быть может, решает проблему космологии.
УФН, т. 133, вып. 3, 1981.
7. N. Kosinov. “Five Fundamental Constants of Vacuum, Lying in
the Base of all Physical Laws, Constants and
Formulas”. Physical Vacuum and Nature, N4, (2000).
8. N.V.Kosinov, Z.N.Kosinova. “Tie of Gravitational Constant G and Planck
Constant h”. 51st International Astronautical Congress 2-6 Oct.
2000/Rio de Janeiro, Brazil.
- А.В. Анисимов. Информатика.
Творчество. Рекурсия. К., Наукова думка, 1988.
10. Н.В. Косинов. “Пять универсальных физических констант, лежащих в основе
всех фундаментальных констант, законов и формул физики”. Шестая Международная
конференция “Современные проблемы естествознания”. Программа и тезисы.
С-Петербург, август, 2000 г.
12. Н.В.Косинов, В.И. Гарбарук. Вакуумное происхождение электрона.
Физический вакуум и природа, N1, 1999.