Индуцированный распад протона

  • Вид работы:
    Реферат
  • Предмет:
    История техники
  • Язык:
    Русский
    ,
    Формат файла:
    MS Word
    95,18 kb
  • Опубликовано:
    2009-01-12
Вы можете узнать стоимость помощи в написании студенческой работы.
Помощь в написании работы, которую точно примут!

Индуцированный распад протона

Индуцированный распад протона

Поляков Д.В.

Дано теоретическое обоснование новому физическому эффекту - индуцированному распаду протона. Индуцированный распад протона (ИРП) рассматривается как ядерная реакция нового вида, которая может происходить только при учете особенностей фрактального строения протона. Индуцированный распад протона открывает новые возможности для энергетики. На основе эффекта ИРП рассматривается новый способ получения энергии, который по удельной энергоэффективности почти на 2 порядка превосходит термоядерный синтез и на 5 порядков превосходит энергетические возможности химических реакций. Индуцированный распад протонов водорода, содержащихся в воде, делает воду неисчерпаемым и самым эффективным энергоносителем, способным заменить нефть, уголь, природный газ, уран.

1. Внутренняя структура протона.

Протон был открыт в начале 20-х г.г. прошлого века в экспериментах с альфа-частицами. В опытах по рассеянию на протонах электронов и гамма-квантов были получены доказательства существования внутренней структуры у этой частицы. В 1970 г. в Стенфордском центре линейного ускорителя удалось в эксперименте получить прямое свидетельство того, что протон действительно обладает внутренней структурой [1]. Однако, до сих пор отсутствует понимание, на каких принципах строится механизм формирования структуры протона. Из-за этого у протона остается много нераскрытых тайн. Непонятен механизм его происхождения, неизвестна причина его стабильности. Не находит объяснение природа его массы, равная 1836,1526675(39) электронным массам. Из всех тяжелых частиц протон является единственной стабильной частицей. Эта частица входит в состав ядер элементов и выступает основой всех сложных вещественных образований Вселенной. Мир своим существованием обязан протону. Есть все основания полагать, что раскрытие его внутренней структуры откроет доступ к новым очень эффективным способам получения энергии. Освоение энергии протона может стать важнейшим фактором в решении энергетической проблемы. Во второй половине прошлого века теоретическая физика пришла к выводу о возможности распада протона [2,3]. Распад протона представляет собой очень заманчивое явление для цели получения экологически чистой энергии.

Теория внутренней структуры протона изложена в [6,8,10] где показано, что структура протона представляет собой фрактальную конструкцию. На рис.1 показан фрактал протона, который содержит десять иерархических уровней самоподобной внутренней структуры.

Рис.1. Фрактал протона.

Фрактал, выявленный в струтуре протона, отражает детерминированный процесс его образования. Открытие фрактальной закономерности образования протона, позволило получить расчетным путем основные характеристики элементарных частиц, которые были известны лишь из эксперимента, в частности, фундаментальная безразмерная константа 1836,1526675(39). В [6,8,10] исследовались фрактальные структуры и найдено математическое описание фрактала протона.

Этапы и закономерность формирования структуры протона приведены на рис.2. Формирование полной структуры протона происходит за десять шагов структурообразования, что представлено "фрактальным треугольником" [10].

Рис.2. Десять этапов формирования структуры протона.

На рис.2 Рn - количество ветвей фрактала, адекватных зарядово-сопряженным вещественным образованиям. Фрактал протона имеет перекрывающиеся самоподобные структуры различного масштаба. Общая структура представляет собой переплетающийся узор, где завершающий фрагмент субструктуры низшего порядка является одновременно началом субструктуры более высокого порядка (рис.3). Невозможно отделить или изъять из общей структуры повторяющуюся самоподобную субструктуру, не разрушая при этом весь переплетающийся узор фрактала (рис.3). В этой особенности причина стабильности протона. Такая особенность фрактала протона имеет много общего с конфайнментом кварков в квантовой хромодинамике. По моему мнению, то, что в теории названо конфайнментом, обусловлено фрактальностью внутреннего строения протона. Протон имеет 10 самоподобных внутренних субструктур, повторяющих в масштабе первичную ячейку фрактала.

Рис.3. Фрагмент самоподобной внутреннней структуры протона.

Внутренняя структура протона образуется системой последовательных вложений, основанной на едином алгоритме. На каждом структурном уровне фрактальная субструктура повторяет фрактал предыдущего уровня. Исследование фрактала протона показывает, что внутренняя структура протона имеет квантованность, пространственную упорядоченность и иерархию внутренего строения. Для внутренней струтуры протона свойственна определенная иерархия характерных частот. Таким образом, наряду с пространственной упорядоченностью, которая проявляется в фрактальной структуре протона, существует и фрактальная зависимость характерных частот.

Фрактальная теория внутреннего строения протона не противоречит кварковой модели. Как конфайнмент в кварковой модели, так и невозможность отделить субструктуру фрактала протона от общего фрактала протона в фрактальной модели хорошо согласуется с теорией асимптотической свободы кварков.

Фрактал протона позволил получить теоретическим расчетом фундаментальную константу протона mp/me =1836,1526, что указывает на экспериментальное подтверждение теории внутренней структуры протона [6,8,10]. Раскрытие закономерности внутренней структуры протона дает ключ к пониманию причины его исключительной стабильности и открывает доступ к новым способам получения энергии.

2. Теоретическое обоснование индуцированного распада протона.

Теория внутренней структуры протона указывает на то, что возможен процесс индуцированного его распада с выделением огромной энергии. Ниже приведено теоретическое обоснование возможности индуцированного распада протона и дано обоснование физическим явлениям, происходящим при распаде частицы. Получены условия, при которых протон теряет устойчивость.

Формула, описывающая фрактал протона, имеет вид [6,8,10]:

Pp =2(2(2(2(2(2(2(2(2(2+1)+1)+1)+1)+1)+1)+1)+1)+1)+1 (1)

Из фрактала протона и из фрактальной формулы следует соотношение, отображающее дискретный ряд внутренних уровней энергии протона [6]:  

 (2)

где: me - масса электрона, c - скорость света.

Эта энергия разделяется на две составляющие. Первая составляющая представляет собой суммарную энергию покоя вещественных образований, участвующих в формировании структуры протона. Вторая составляющая представлена слагаемыми, которые задают величину энергии, определяющую стабильность протона:  

 (3)

Фрактальный закон формирования внутренней структуры протона позволил открыть новую безразмерную физическую константу (P), относящуюся к внутренней структуре протона [6,11,13]. Эту константу я назвал константой фрактальной структуры протона. Это новая константа, которая не была известна в физике, она отражает степень устойчивости этой частицы.

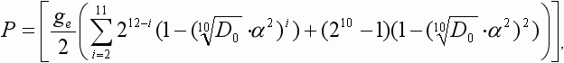
Формула для вычисления константы фрактальной структуры протона P имеет вид [8,10,13]:

где: ge - g-фактор электрона, D0 - большое число [7,9,13], a - постоянная Зоммерфельда. Значение константы фрактальной структуры протона равно: P = 210,8473325(39).

Для протона выполняется следующее соотношение:  

где: mр - масса протона, me - масса электрона.

Константа фрактальной структуры протона P представляет собой десятикомпонентный дискретный ряд:

Десятикомпонентному дискретному ряду константы фрактальной структуры протона P соответствует десятикомпонентный дискретный ряд внутренней энергии протона. Эта энергия определяет степень устойчивости протона. Таким образом, теория внутренней структуры протона раскрывает механизм его строения и причину высокой стабильности протона. Раскрытие механизма, ответственного за стабильность протона, позволяет реализовать его индуцированный распад, что открывает путь к совершенно новым способам получения энергии.

2.2. Индуцированный распад протона.

Из уравнений (1) - (3) следует, что возможен процесс обратный структурогенезу протона. Это значит, что возможна деструктуризация частицы в случае, если внешнее энергетическое воздействие превысит внутреннюю энергию, определяющую стабильность протона. Необходимым условием, приводящим к индуцированному распаду протона (ИРП), является сообщение протону энергии, которая должна превышать определенную пороговую величину [8]. Достаточным условием является учет особенностей фрактала протона.

Из формул (2) и (3) следует, что в формировании структуры протона принимают участие зарядово-сопряженные вещественные образования. В формировании структуры протона реализован рекурсивный алгоритм [8, 10]. ИРП также подчиняется рекурсивному алгоритму [4]. Из уравнений следует, что при деструктуризации частицы будут появляться зарядово-сопряженные частицы в результате распада промежуточных вещественных образований.

Рис. 4. Перевернутый фрактальный треугольник, отражающий динамику ИРП.

Распад протона происходит за десять шагов и реализуется по фрактальному алгоритму. Как следует из фрактальной структуры протона его деструктуризация приводит к появлению зарядово-сопряженных промежуточных частиц. Все промежуточные вещественные образования, значение массы которых находится в промежутке между массой электрона и массой протона неустойчивы и имеют конечное время жизни. Протон проходит процесс деструктуризации путем десятишаговой цепочки превращений, порождая промежуточные вещественные образования, пока не появятся зарядово-сопряженные частицы минимальной структурной сложности, после чего происходит превращение вещества в энергию [6,8,12].

В формулу (2) входит слагаемое E2, которое представляет собой энергию, определяющую стабильность протона. Формула для определения энергии E2 имеет вид [6, 10,14]:

Значение энергии E2, вычисленное по этой формуле, равнo 107,7427553(65) МэВ и составляет около 11,5% от энергии покоя протона [6,8,11]. Исследования показывают, что энергия E2 представляет собой набор дискретных уровней и содержит 10 составляющих:

 

Реализация фрактального алгоритма энергетического воздействия на протон является достаточным условием для нарушения устойчивости протона. Это важнейшее условие, за которым скрывается причина исключительной стабильности протона. Если протону сообщить дополнительную энергию (~108 MэВ), то он становится потенциально нестабильным а при реализации фрактального алгоритма, распадается на легкие частицы, имеющие очень малое время жизни, в результате чего происходит превращение вещества в энергию. Отметим следующую особенность индуцированного распада протона, связанную с его фрактальным строением. Прямое сообщение протону дополнитнльной энергии 107,74 МэВ, например, путем его ускорения, не приведет к его распаду, поскольку дополнительная энергия должна быть структурирована в соответствии с фрактальным законом внутреннего строения протона. Отметим, что энергия 107,74 МэВ не является столь уж высокой. На ускорителях достигают значительно больших уровней энергии. Причина, по которой не наблюдают распад протона, состоит в том, что не выполняется условие фрактальной зависимости уровней энергии. По этой причине в ускорителях не удается "преодолеть конфайнмент".

Список литературы

Для подготовки данной работы были использованы материалы с сайта http://www.statya.ru/

Похожие работы на - Индуцированный распад протона

 

Не нашли материал для своей работы?
Поможем написать уникальную работу
Без плагиата!
Без нейросетей!