Расчет коэффициентов активности. Личный опыт

  • Вид работы:
    Доклад
  • Предмет:
    История техники
  • Язык:
    Русский
    ,
    Формат файла:
    MS Word
    11,74 kb
  • Опубликовано:
    2009-01-12
Вы можете узнать стоимость помощи в написании студенческой работы.
Помощь в написании работы, которую точно примут!

Расчет коэффициентов активности. Личный опыт

Расчет коэффициентов активности. Личный опыт.

Не так давно я вплотную столкнулся с расчетами коэффициента активности растворов электролитов. Нельзя сказать, что раньше я никогда не производил таких расчетов, однако сейчас у меня возникли некоторые вопросы, связанные с расчетами в области высоких концентраций.

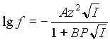
Известно, что до ионной силы 0,01М коэффициент активности (f) хорошо описывается расширенной формулой Дебая-Хюккеля:

(1)

где z - заряд иона;

I - ионная сила раствора;

P - параметр Килланда, зависящий от размера иона;

A = 0,509 при 250С ;

B = 0,328 при 250С .

Ионная сила раствора равна

(2)

где Ci - концентрация ионов одного вида в исследуемом растворе.

Для области большей ионной силы, самой распространенной является следующая формула:

.

(3)

Эта формула предполагает увеличение коэффициента активности после некоего значения ионной силы.

Большинство исследователей предпочитают в своих работах не упоминать об условиях, при которых следует от формулы (1) переходить к формуле (3). В связи с этим я предпринял собственные исследования, благо в моем распоряжении была программа IonCalc ( Программу можно получить здесь.).

Поскольку я располагал справочными данными ("Краткий химический справочник" В.А.Рабиновича и З.Я.Хавина, изд. "Химия",1977г.) об экспериментально полученных значениях коэффициента активности, то работа состояла в сопоставлении этих данных с расчет ными. Расчеты я производил по формуле (1), так как применение формулы (3) только усугубляло расхождение между экспериментальными и расчетными данными.

f срm+n = fMm + fAn , где

 

fM и fA - коэффициенты активности катиона и аниона:

m и n - стехиометрические коэффициенты исследуемой соли MmAn.

Если распоряжаться этой формулой, то можно легко рассчитать средний коэффициент активности и сравнить его с экспериментальным.

Проведенные мной расчеты представлены в таблице, которая содержит сведения об относительной разнице в процентах между экспериментальными и расчетными данными. Относительная погрешность представлена в двух видах: среднеарифметическая величина погрешности (первое число) и максимальная погрешность в серии расчетов (второе число).


Таблица 1.*)

I, M

0,1

0,2

0,3

0,4

0,6

0,8

MA 1)

1,8/2,8

3,6/5,9

-

7,2/10

-

MA2 2)

-

-

2,8/5

-

5,8/7,5

-

M2A 3)

-

-

3,8/5,5

-

5,9/11

-

MSO4 4)

-

-

-

-

-

LaCl3

-

-

-

-

16

-

H3PO4

-

-

-

-

16

-

1) AgNO3 , HCl, HNO3 , KBr, KCl, KOH, NaCl, NaOH, NH4Cl, NaCH3COO, NaNO3 , KNO3 .

2) BaCl2 , CaCl2 , FeCl2 , MgBr2 , MgCl2 , Ca(NO3)2 , Co(NO3)2 , Cu(NO3)2.

3) K2CrO4, K2SO4, Na2CrO4, (NH4)2SO4, Na2SO4, Na2CO3, K2CO3 .

4) ZnSO4, MgSO4, MnSO4, Cu SO4 .

Расчеты показывают, что для ионной силы в 0,3М максимальная погрешность составляет 5-6%.

Необъясненным остается тот факт, что коэффициент активности сульфатов двухзарядных металлов очень высок в сравнении с экспериментальными данными. Также высок средний коэффициент активности серной кислоты. Он составляет 0,266 для раствора с ионной силой 0,3 М, в то время как расчеты предоставляют величину 0,517.

Похожие работы на - Расчет коэффициентов активности. Личный опыт

 

Не нашли материал для своей работы?
Поможем написать уникальную работу
Без плагиата!
Без нейросетей!