Повышение эффективности деятельности ООО 'Стройпластик' на основе формирования инновационной стратегии
Оглавление
инновационный стратегия предприятие производство
Введение
. Теоретические основы процесса формирования стратеги
предприятия
.1 Сущность и виды стратегии предприятия
.2 Особенности инновационной стратегии развития предприятия
.3 Инновационная стратегия как фактор повышения экономической
эффективности предприятия
. Оценка результатов производственно-хозяйственной
деятельности ООО «Стройпластик»
.1 Внутренняя характеристика предприятия
.2 Анализ внешней среды ООО «Стройпластик»
.3 Анализ инновационной деятельности ООО «Стройпластик»
. Предложение по разработке инновационной стратегии ООО
«Стройпластик»
.1 Формирование инновационной стратегии организации, как
направление повышения эффективности деятельности ООО «Стройпластик»
.2 Экономическое обоснование эффективности производства
газосиликатных блоков на ООО «Стройпластик»
Заключение
Список использованных источников
Приложение 1 Классификация стратегий по типу развития
Приложение 2 Факторный анализ производственных фондов
Приложение 3 Факторный анализ рентабельности
Приложение 4
Результаты анализа внешней среды
Введение
Формирование стратегии развития предприятия - это одна из важнейших
управленческих функций, которая представляет собой сложный процесс выбора
основных целей организации и путей их достижения. Процесс формирования
стратегии предприятия всегда связан с проблемой выбора альтернативных решений.
Предприятие в современных рыночных условиях без наличия разработанной стратегии
не сможет достичь необходимого единства стратегических действий и решений, а,
следовательно, будет не в состоянии вести эффективную конкурентную борьбу.
Наличие четкой стратегии развития - одно из важнейших условий завоевания
организацией лидирующих позиций и эффективного ее функционирования.
При внешних и внутренних воздействиях предприятию необходимо
совершенствование его производства для повышения устойчивости от различных
факторов, влияющих на него. Поэтому большинство компаний воспринимают
инновационное развитие, как фактор успешной организации свой деятельности, завоевание
новых рынков и усиление конкурентоспособности.
В настоящее время в условиях постоянно растущей конкуренции, внимание к
разработке стратегий со стороны бизнеса стремительно возрастает. Инновационная
стратегия за счет внедрения нововведений позволит предприятию обеспечивать
устойчивое экономическое развитие, повышение конкурентоспособности производимой
им продукции и оказываемых услуг. Этим обусловлена актуальность и особая
значимость темы исследования.
Объектом исследования выступает ООО «Стройпластик». Основными видами
деятельности предприятия являются производство строительных материалов в городе
Вологда. Предметом исследования является процесс разработки и реализации
инновационной стратегии предприятия.
Целью данной работы является изучение теоретических основ формирования
стратегии предприятия и разработка на этой основе инновационной стратегии
организации.
Для достижения этой цели необходимо решить следующие задачи:
- Рассмотреть сущность и виды стратегии предприятия;
- изучить особенности формирования инновационной стратегии
развития предприятия;
- определить роль инновационной стратегии, в процессе повышения
экономической эффективности предприятия;
- оценить внутреннюю среду предприятия;
- провести анализ внешней среды организации;
- проанализировать инновационную деятельность предприятия;
- рассмотреть основные компоненты и этапы разработки
инновационной стратегии организации;
- дать экономическое обоснование эффективности производства
нового продукта предприятия.
Источниками информации для исследования послужили: базовая
учебно-справочная литература; результаты практических исследований
отечественных и зарубежных авторов; публикации в специализированных и
периодических изданиях, посвященные исследуемой тематике; баланс и устав
исследуемого предприятия; отчёт о его прибылях и убытках; нормативно-правовые
акты; статистические данные и прочие источники информации, так же системный
подход, экономико-статистический анализ, визуализация данных и другие методы
анализа и синтеза.
В соответствии с поставленными целью и задачами структура дипломной
работы включает: введение, основная часть (3 главы), заключение, список
использованных источников (71 наименование), 2 приложения.
1.
Теоретические основы процесса формирования стратегии предприятия
1.1 Сущность
и виды стратегий предприятия
В настоящее время перед любым предприятием стоит задача обеспечить
стабильное, вне зависимости от внешних условий (экономического роста,
стагнации, кризиса) развитие своего потенциала. Достижение поставленной цели
возможно лишь при стратегическом подходе к управлению своей деятельностью.
Процесс разработки стратегии является разновидностью подготовки и
принятия управленческих решений, то есть обдуманного вывода о необходимости
осуществить какие-то действия, связанные с достижением организацией своих целей
и преодолением стоящих перед ней проблем.
В
литературе по стратегическому планированию
<#"908350.files/image001.gif">
Рисунок 1.1 Классификация стратегий по типу развития
Эта классификация в настоящее время широко применяется в системе
стратегического менеджмента. Но современные условия требуют иного подхода. С
учетом различных типов развития фирм стратегии можно разделить на следующие
виды (приложение 1).
Стратегии роста, которые нацелены на расширение рыночной деятельности,
увеличения активов компании, росте объемов инвестирования. Во многих случаях
менеджмент компании сознательно выбирает стратегии роста, связанные с высоким
уровнем риска, так как никто не может гарантировать, что быстрое увеличение
товаров и услуг принесет ожидаемые прибыли в условиях острой конкуренции.
По мнению Ю. А. Маленкова [26], стратегии стабилизации, защиты и
выживания, направленные на сохранение рыночной ниши и доли рынка. В этих
условиях главная задача - поиск внутренних резервов и выгодных рыночных
возможностей с минимальными уровнями риска.
Стратегии сокращения, главная цель которых свести к минимуму затраты
компании на виды бизнеса, которые наносят ей убытки. В этих условиях прибыли
компании минимальны, рентабельность низкая, чаще всего она несет убытки. Задача
менеджеров заключается в радикальном изменении компании, ее полной
реорганизации, изменении видов деятельности. Если это не удается, то ставится
задача выйти с рынка с минимальными потерями при закрытии бизнеса.
С точки зрения А. С. Карпова [20], рост, стабилизация и сокращение фирмы
могут реализовываться различным образом посредством стратегий следующего
уровня.
Стратегия концентрации- рост объемов выпуска основной продукции или
услуг. Возможны варианты этой стратегии: горизонтальная концентрация на основе
приобретения или открытия компаний, производящих такую же продукцию,
концентрация на основе развития рынка - увеличение доли рынка, повышение
рыночного рейтинга компании, концентрация на основе развития продукта -
повышение его качества, увеличение семейства продуктов.
Стратегия интеграции (прямая и обратная)- рост контроля компании над
потребителями и поставщиками за счет приобретения или создания компаний,
находящихся в верхнем и нижнем звене технологической цепи производства и
сбыта[20]. Если приобретаются или создаются компании верхних звеньев, например,
потребляющие ее продукцию или услуги - это называется прямая интеграция. Если
приобретаются или создаются компании нижних звеньев технологической цепочки -
это стратегия обратной интеграции. Например, компания приобретает фирму,
поставляющую полуфабрикаты.
Стратегия диверсификации предусматривает производство товаров и услуг,
отличающихся от ее базовых. Различают связную и несвязную диверсификации [11].
Стратегия связной диверсификации означает производство новых товаров и услуг
прямо или косвенно аналогичных базовым. Несвязная диверсификация означает
производство товаров и услуг, совершенно не связанных с основой деятельностью
компании. Пример несвязной диверсификации: компания по производству
машиностроительного оборудования открывает производство пищевых продуктов. Если
компания расширяет свое производство в новые области, но ее товары и услуги
остаются близкими к базовым, говорят о концентрированной
диверсификации.(Всеобъемлющий менеджмент качества) - стратегия развития
компании на основе выдвижения качества продукции и услуг в качестве главной
цели и приоритетного критерия оценки эффективности развития [26]. Стратегия
повышения качества пронизывает всю компанию от руководства до рядовых
исполнителей. Каждое нововведение оценивается, прежде всего, с точки зрения его
влияния на рост качества продукции и услуг. Уровень качества контролируется
ежедневно. Главной задачей персонала компании в условиях TQM является переход к
нулевому уровню брака. В компании разрабатывается сложная система внутреннего
планирования, контроля и регулирования качества продукции на всех этапах ее
создания, от выбора поставщиков до поставок клиентам. Осуществляется
непрерывная подготовка персонала и периодически проводится аудит качества всей
компании и ее подразделений.
В. Н. Парахина [44] считает, что стратегия репозиционирования
основывается на изменении позиции продукта в сознании потребителей за счет
рекламы, изменения его некоторых свойств, цены. В результате продукт
перемещается из одного сегмента в другой. Эта стратегия отражает принцип
перехода на более высокие позиции в новом сегменте. Если продукт не может
добиться лидерства в своем сегменте, он может стать одним из лидирующих в новых
сегментах.
Кастомизация предусматривает увеличение ценности продукта за счет
привязки его к индивидуальным потребностям и характеристикам потребителей [20].
Кастомизация имеет разные формы. Так, она может осуществляться в виде
привлечение потребителей к участию в производстве продукта или услуги, путем индивидуального
подбора компонентов товара или услуги, привлечения к дизайну конечного
продукта.
Реинжениринг включает полное изменение проекта существующего бизнеса.
Ревизии и сомнению подвергаются все продукты и услуги, бизнес-процессы, функции
управления. Главная цель - создать новое более эффективные производство, сбыт и
систему управления [26]. В отличие от модернизации или инноваций, влияющих на
отдельные подсистемы компании, реинжиниринг коренным образом изменяет ее облик.
Следует отметить, что многие компании не могут получить эффект от его
использования, так как не рискуют идти на радикальные изменения, а частичный
реинжиниринг недостаточно эффективен. Но даже отдельные результаты являются
впечатляющими. Например, вместо 10-15 дней на поставку продукции с момента
получения заказа, многие компании после реинжиниринга сократили это время до 3
дней, резко уменьшили затраты [44]. После проведения успешного реинжиниринга
компании могут стать лидерами рынка.
Реструктуризация, по мнению А. С. Карпова [20], - изменение внутренней
структуры компании, прежде всего, за счет освобождения от малорентабельных и
непрофильных производств, устранения избыточных звеньев в управлении. В
результате реструктуризации, как правило, сокращается численность работников на
20-40%, часто приходят новые собственники и менеджеры, создается новая
структура, компании, более простая, экономичная и производительная.
Прекращение инвестиций(извлечение остаточных прибылей) - эта стратегия,
основанная на прекращении инвестиций в развитие компании и ее подразделений, из
компании извлекаются прибыли и ее готовят к продаже, реорганизации или
ликвидации. Такая стратегия применятся в условиях, когда трудно конкурировать и
компания теряет рыночную позицию, отсутствует возможность привлечения инвестиции.
Слияния - это стратегия, которая построена на объединении компаний, она
часто является единственным выходом для неэффективной компании избежать
банкротства[42]. Но нередко эта стратегия принимает форму поглощения или
захвата, когда одна компания с целью устранить конкурента приобретает его
контрольный пакет акций и лишает его самостоятельности. Проблема враждебных
поглощений стоит остро в глобальной экономике, когда сделки и финансовые
операции заключаются с резко возросшими скоростями в условиях электронных
средств коммуникаций. Слияние от поглощения отличает добровольный характер
решения обеих сторон. Поглощение с другой стороны считается неэтичным средством
конкурентной борьбы.
Банкротство - эта стратегия, применяемая компаниями, находящимися в сложном
финансовом положении, когда компания не может рассчитаться полностью по своим
долгам, ее осаждают кредиторы [42]. В этом случае в мировой практике признание
банкротства означает возможность через суд получить отсрочку выплаты долгов и
замораживание требование кредиторов на определенный период, иногда до 3-х лет,
что дает возможность компании получить передышку и повысить свою эффективность.
Примером этой стратегии может служить банкротство известной авиастроительной
компании Дуглас в 1966 г., которое компания вынуждена была применить вследствие
возникшего острого дефицита денежных средств, хотя она имела крупные заказы на
производство 409 самолетов.
В работе С. А. Агаркова [1], ликвидация - последняя стадия жизненного
цикла организации. При ликвидации компания полностью лишается активов,
прекращает деятельность, осуществляется выплата задолженности кредиторов.
Стратегия ликвидации имеет смысл для компаний в условиях, когда выгоднее
создать новое производство, чем вкладывать средства в реорганизацию убыточного.
В существующих подходах к классификации стратегий стратегии третьего
уровня (интеграция, диверсификация, реструктуризация и другие) относят к классу
стратегий роста, защиты, стабилизации. Но в действительности многие из
стратегий третьего уровня обладают многоцелевым характером. Они могут быть
использованы как для роста компании, так и для стратегий защиты или сокращения.
Наиболее универсальны стратегии диверсификации и реинжиниринга, которые могут
применяться в любых условиях.
Было бы неправильным считать, что всегда существует лишь один путь
решения стратегических проблем, путем выбора стратегий одного вида. И. Ансофф
[27] в принципах стратегического управления привел гипотезу многоэлементности,
отвергающую предположение о том, что один какой-то компонент управления,
(ключевые менеджеры, структура, культура или система) являются главным условием
успеха. Успех компании - результат взаимодействия и взаимодополнения нескольких
ключевых элементов (хотя при определенных условиях один или несколько компонентов
могут преобладать над другими).
Классификация стратегий также проводится по функциональным видам
деятельности фирмы[20].Продуктовая стратегия (товарно-рыночная,
производственная) определяет, какие продукты, в каких объемах будут
производиться и для каких рынков. Стратегия выбора и развития технологий
определяет выбор типов технологий, расчет потребностей в мощностях, уровень их
конкурентоспособности, пути их развития и совершенствования.
Ресурсная стратегия определяет, какие виды ресурсов будут применяться,
потребности в объемах ресурсов, альтернативные возможности их использования,
состав поставщиков и контроль качества поставляемых материалов и сырья, пути
экономии ресурсов и другие их технико-экономические характеристики.
Инновационная стратегия определяет инновационную политику организации,
какие инновации и в каких подразделениях компании будут разрабатываться и
осуществляться, сроки и затраты на их разработку и внедрение.
Логистическая стратегия определяет общую логистическую модель компании,
оптимальные маршруты поставки ее ресурсов и доставки товаров клиентам, наиболее
эффективные варианты складирования запасов и товаров, внутризаводских
перевозок.
Маркетинговая стратегия определяет принципы разработки и сбыта товаров и
услуг, ценовую политику, отношения с клиентами, поведение по отношению к
конкурентам, рекламу и продвижение товаров и другие характеристики,
обеспечивающие компании наиболее успешный сбыт и рост.
В своих трудах А. С. Карпов [20] утверждает, что стратегия продаж тесно
связана с маркетинговой стратегией, разрабатывается для сбытовых подразделений
компании, определяя для них объемы и графики продаж, цены, скидки,
послепродажное обслуживание и другие факторы, влияющие на сбыт.
Стратегия исследований и разработок определяет выбор ключевых направлений
разработки новых продуктов и услуг, стратегические альянсы по совместным
разработкам, целевые показатели новых продуктов и их жизненные циклы
[27].Финансовая стратегия определяет способы привлечения и объемы привлекаемых
финансовых ресурсов, соотношение между собственным и заемным капиталом,
основные показатели эффективности финансово-экономической деятельности,
принципы управления денежными потоками, расчеты с кредиторами и другие ключевые
финансовые характеристики.
Инвестиционная стратегия определяет источники инвестиционных ресурсов,
характер финансирования инвестиционных проектов, направления инвестирования,
распределение инвестиционных ресурсов между подразделениями компании,
показатели отдачи инвестиций, экономические результаты инвестиционных процессов
[57].Стратегия социальной ответственности определяет принципы поведения
компании и ее обязательства перед государством и обществом, клиентами,
персоналом компании, конкурентами, поставщиками.
Стратегия формирования и поддержания имиджа направлена на создание
позитивного образа компании в общественном сознании путем участия компании в
деятельности, направленной на социальный прогресс, поддержку малообеспеченных
слоев населения, производство товаров и услуг, отвечающих заявленным в рекламе
характеристикам.
Таким образом, можно заключить, что рассмотренные стратегии направлены на
развитие внутреннего потенциала компании, усиление ее факторов, обеспечивающих
рыночный успех.
С учетом темы дипломной работы в следующем параграфе мы детализируем инновационную
стратегию.
1.2 Особенности
инновационной стратегии развития предприятия
Стратегии развития предприятия и, в частности, инновационные стратегии
направлены на развитие и полное использование потенциала организации и
рассматриваются как реакция на изменение внешней среды.
Прежде чем раскрывать сущность инновационной стратегии, обратимся к
рассмотрению понятия «инновации».
Й. А. Шумпетер[67]ввел в экономический оборот понятие «инновации» и
показал значение предпринимателя с точки зрения экономического роста. Автор
провел разграничение между понятиями экономического роста и экономического
развития. С точки зрения ученого, экономический рост - это увеличение
производства и потребления одних и тех же товаров и услуг со временем, в то
время как экономическое развитие - это, прежде всего, появление чего-то нового,
неизвестного ранее. Именно под понятием экономическое развитие автор понимал
сущность инновации. Под главной движущей силой развития автор понимал
предпринимателя, а именно предпринимателя-новатора, творческую личность.
Мощный толчок к началу исследований в области инноваций и их роли в
экономическом развитии дали труды Н. Д. Кондратьева [71]. С его именем связано
открытие длинных волн экономической конъюнктуры. В настоящее время
экономическая наука определяет феномен больших циклов в целом как конъюнктурные
колебания продолжительностью 45-60 лет, проявляющиеся в динамике цен, выпуске
продукции и показателях различных отраслей и сфер народного хозяйства,
определяемых долгосрочным изменением тенденций спроса и предложения.
Циклы длинной волны экономического развития и технологического развития
находятся в причинно-следственной связи: каждый экономический спад и следующая
за ним депрессия вызывали инновационный процесс, востребовавший новые
технологии, что вызывало очередную волну технологического подъема.
Автор считал, что на протяжении, примерно,2-2,5 десятилетий перед началом
повышательной волны большого цикла наблюдается появление новых технических
изобретений, которые подталкивают изменение производственных отношений и начало
повышательной волны больших циклов. Выводы Н.Д.Кондратьева [71]легли в основу
теории инноваций, разработанной Й. А.Шумпетером.
По мнению B. Гpибoва [15], под инновацией понимается использование
новшеств в виде новых технологий, видов продукции и услуг, новых форм
организации производства и труда, обслуживания и управления.
Б.А. Райзберг [49]считает, что инновация - нововведение в области
техники, технологии, организации труда и управления, основанные на
использовании достижений науки и передового опыта, а также использование этих
новшеств в самых разных областях и сферах деятельности.
С точки зрения Е.Е. Румянцевой[1], инновация - это получение больших
экономических результатов за счет внедрения новшеств; суть прогрессивной стратегии
развития организации государства в противовес бюрократическому типу развития.
В экономической науке существует множество точек зрения на определение
категории «инноваций». При этом они имеют ряд схожих признаков которые выделяют
авторы [26;61]. Обобщив их, можно выделить:
- начальная новизна;
- способность осуществить кардинальные изменения;
- полезность и (или)социальная значимость;
- превосходство над уже имеющейся продукцией;
- большая добавленная стоимость;
- повышенная конкурентоспособность при прочих равных условиях с
заменяющей продукцией (услугой).
Таким образом, с нашей точки зрения, под инновациями следует понимать
качественные преобразования, вызывающие существенные сдвиги в функционировании
той или иной системы.
Инновационная стратегия - это одно из средств достижения целей
предприятия, отличающееся от других средств своей новизной, прежде всего для
данной компании и, возможно, для отрасли, рынка, потребителей [61].
Инновационная стратегия подчинена общей стратегии предприятия. Она задает цели
инновационной деятельности, выбор средств их достижения и источники привлечения
этих средств.
Инновационные стратегии создают особо сложные условия для проектного,
фирменного и корпоративного управления. По мнению Р. А. Фатхутдинова [64] к таким условиям относятся:
- повышение уровня неопределенности результатов, что развивает
такую специфическую функцию, как управление инновационными рисками;
- повышение инвестиционных рисков проектов. В портфеле
инновационных проектов преобладают среднесрочные и долгосрочные проекты, для
которых требуется более рисковые инвесторы. Перед управляющей системой
организации появляется качественно новый объект управления -
инновационно-инвестиционный проект;
- усиление потока изменений в организации в связи с
инновационной реструктуризацией. Потоки стратегических изменений следует
сочетать со стабильными текущими производственными процессами. Важно обеспечить
сочетание интересов и согласование решений научно-технического,
стратегического, финансового, производственного, и маркетингового менеджмента.
Все многообразие инновационных стратегий поведения предприятий можно
объединить в две большие группы [27]: стратегии активного инновационного
поведения и стратегия пассивного следования за рынком инноваций (рисунок 1.2).
Первый вид стратегий, часто называют технологическим. Он представляет
собой реагирование на происходящие и возможные изменения во внешней среде путем
проведения постоянных технологических инноваций. Пассивные, или маркетинговые,
инновационные стратегии представляют собой постоянные инновации в области
маркетинга. Предприятие может выбрать стратегию нововведений в области
дифференциации товара, выделяя все новые и новые его конкурентные преимущества.
Рисунок 1.2 Классификация инновационных стратегий
Существуют разновидности инновационных стратегий.. Гpибoв [15] считает,
что наступательная инновационная стратегия характеризуется высоким уровнем
риска и эффективностью. При наступательной стратегии необходима ориентация на
исследования (во многих случаях даже на фундаментальные) в сочетании с
применением новейших технологий. Этот вид стратегии требует высокой
квалификации при разработке нововведений, умения быстро реализовать новшества и
способности предвидеть рыночные потребности. Она характерна для крупных
объединений и компаний, когда в отрасли доминируют несколько компаний при
наличии слабого лидера. Но наступательная стратегия может быть реализована и
небольшими предприятиями (особенно инновационными организациями), если они
концентрируют усилия на одном или двух инновационных проектах.
Защитная (оборонительная) стратегия характеризуется невысоким уровнем
риска, достаточно высоким уровнем технических (технологических и
проектно-конструкторских) разработок и определенной завоеванной долей рынка.
При защитной стратегии предприятия отличаются высоким уровнем техники и
технологии производства, качеством выпускаемой продукции, относительно низкими
издержками производства и пытаются удержать свои рыночные позиции[68]. Такую
стратегию используют предприятия, которые получают значительную прибыль в
условиях конкуренции. Эти компании имеют более прочные позиции в области
маркетинга и производства по сравнению с научно-исследовательскими и
опытно-конструкторскими работами, инновационными разработками.
Промежуточная стратегия характеризуется использованием слабых сторон
конкурентов и сильных сторон предприятия, а также отсутствием (на первых
этапах) прямой конфронтации с конкурентами [8]. При промежуточной инновационной
стратегии предприятия (в основном небольшие) заполняют пробелы в специализации
других предприятий, включая доминирующих в своей отрасли. Анализ экономической
обстановки и внешней среды, проводимый при выборе стратегии, выявляет такие
пробелы (ниши) в наборе выпускаемых новшеств. Наличие таких ниш объясняется
определенной слабостью других предприятий (в том числе лидера), отсутствием их
возможностей или нежеланием заполнить имеющиеся пробелы. Такая стратегия часто
используется применительно к модификациям базовых моделей новшеств. Например,
разработка, освоение и рыночная реализация компьютеров для научных
исследований, для бортовых систем и игровых. Или рынок бытовых приборов,
созданных на базе их основных моделей, применяемых в других сферах (в оборонной
промышленности, здравоохранении).
Поглощающая стратегия(лицензирование) предполагает использование
инновационных разработок, выполненных другими организациями [15]. Инновации
настолько разнообразны по степени сложности и новизны, что даже крупные
объединения (компании), имеющие мощные подразделения по инновационным
разработкам (службы НИОКР), не могут осуществлять работы по всему спектру
эффективных нововведений. Поэтому многие из них инновационную политику проводят
не только на основе использования нововведений, полученных собственными силами,
но и с учетом возможностей использовать инновации, разработанные другими. Это
означает, что они применяют поглощающую инновационную стратегию наряду с другой
(например, с наступательной).
Имитационная стратегия характерна тем, что предприятия при этом
используют выпущенные на рынок новшества (продуктовые, технологические,
управленческие) других организаций с некоторыми усовершенствованиями и
модернизацией [27]. Эти предприятия обладают высокой культурой производства,
организационно-технологическим потенциалом, хорошо знают требования рынка, а
порой имеют достаточно сильные рыночные позиции. При этом за основу могут быть
приняты инновации, разработанные и освоенные как крупными предприятиями, так и
малыми инновационными организациями. Нередко такие предприятия-имитаторы
занимают лидирующее положение в своей отрасли и на соответствующих рынках,
обойдя первоначального лидера-новатора. При определенных условиях имитационная
стратегия становится очень прибыльной.
Разбойничья стратегия может быть использована в тех случаях, когда
принципиальные новшества оказывают влияние на технико-эксплуатационные
параметры изделий (например, повышение срока службы, их надежности),
выпускавшихся ранее [1]. Распространение принципиальных новшеств приводит к
уменьшению размеров рынка последних. Этой стратегией пользуются обычно малые
инновационные организации из другой области, но имеющие новые технологии,
принципиально новые технические решения по производству уже выпускаемых
изделий. Такую стратегию могут выбрать и предприятия из той же области со
слабыми до сих пор рыночными позициями, если у них на определенном этапе
появляются технологии прорыва. Разбойничья стратегия эффективна лишь на
начальных этапах распространения и реализации новшеств.
По мнению Б.А. Райзберг [49], инновационная стратегия предприятий может
быть направлена на создание совершенно нового рынка для реализации
принципиально нового продукта (технологии), привлечение специалистов
конкурирующих организаций и слияние (иногда поглощение, приобретение) с другими
организациями, обладающими высоким научно-техническим потенциалом и
инновационным духом. В практической инновационной деятельности имеет место
сочетание этих видов стратегии, поэтому важно определение пропорций, на основе
которых распределяются ресурсы между этими стратегиями.
Выбор инновационной стратегии зависит от многих факторов [27] (рисунок
1.3).
Рисунок 1.3 Факторы влияющие на выбор инновационной стратегии
Анализ ситуации, сложившейся на предприятии, является исходным моментом
процесса формирования инновационной стратегии. Разработка ее начинается с
формулирования общей цели и задач предприятия (корпорации, объединения) в
данной сфере деятельности.
После формулирования общей цели определяются конкретные цели,
достижимость которых зависит от их реалистичности в экономической обстановке,
складывающейся к моменту реализации стратегии.
Особое внимание должно уделяться анализу и оценке рыночного положения
предприятия. Анализируются политические, экономические, социальные,
научно-технические и экологические факторы[15]. При этом основной целью
прогнозирования является выяснение того, что организация могла бы предпринять
для использования благоприятных возможностей и как ответить на угрозы,
обусловленные будущими изменениями экономической обстановки.
На этапе обоснования и разработки инновационной стратегии предприятия
необходимо сформулировать основные проблемы и задачи его инновационного
развития на планируемую перспективу.
Таким образом, на наш взгляд, в общем виде инновационную стратегию
конкретного предприятия (стратегию инновационной деятельности) можно
представить как определенное логическое построение, на основе которого
предприятие решает основные задачи, стоящие перед ним в инновационной сфере
деятельности.
1.3 Инновационная
стратегия как фактор повышения экономической эффективности предприятия
Рассмотрим некоторые из определений понятия «эффективность», связанные с
функционированием промышленной организации и, в частности, анализом
деятельности компании и его подразделений.
В.П. Волков [9] пишет, что эффективность - это отношение достигнутых
предприятием результатов к затратам труда.
В своем труде Ю.Н. Лапыгин и Д.Ю. Лапыгин [24], а также Т.А.
Лачинина[43]выделяют следующие трактовки понятия «эффективность»: результат;
соответствие полученных и плановых результатов; разнообразие систем по
функционалу; показатель удовлетворительности работой; вероятность достижения
целевых показателей; соотношение реального и нормативного эффектов.
Эффективность - достаточно конкретный показатель, который крайне
определенно оценивает сопоставимые параметры применительно к выбранному
объекту. Выделяют различные подходы и концепции в определении понятия
«эффективность». С.Н. Яшин и Е.Н. Пузов [23] в своем труде выделяют следующие
показатели:
- эффективность в виде относительной величины (целевая или
ресурсная), которая включает в себя все виды рентабельности;
- эффективность, которая вычисляется по абсолютным показателям
(доходный метод), где используются расчетная точка безубыточности проекта,
методы дисконтированных денежных потоков, капитализации доходов, срока
окупаемости;
- эффективность, которая определяется доходными методами,
однако рассчитывается как относительный показатель - метод индекса доходности
(прибыльности) и рентабельности проекта, метод внутренней нормы доходности
(внутренняя норма доходности, рентабельности, окупаемости инвестиций);
- эффективность, в качестве индивидуального набора финансовых и
нефинансовых характеристик.
Эффективность производства представляет собой комплексное отражение
конечных результатов использования всех ресурсов производства за определенный
промежуток времени [15]. Эффективность производства характеризует повышение
производительности труда, наиболее полное использование производственных
мощностей, сырьевых и материальных ресурсов, достижение наибольших результатов
при наименьших затратах.
Отметим несколько основных очевидных фактов, касающихся эффективности
предприятия:
- эффективность предприятия определяется, в конечном счете,
финансовым результатом - прибылью или другим финансовым показателем (здесь и
далее мы будем понимать термин «прибыль» в этом расширенном смысле);
- в конкурентной среде эффективность предприятия имеет основное
значение только относительно конкурентов. Только если эффективность предприятия
находится на уровне конкурентов или выше, оно конкурентоспособно и может выжить
в конкурентной борьбе
- эффективность предприятия не может определяться достигнутым
результатом. Для определения эффективности важна как ближняя, так и дальняя
перспектива;
- все предприятия в конкурентной борьбе постоянно
усовершенствуют свою деятельность, повышают свою эффективность, получаемую
прибыль. И предприятие должно ориентироваться именно на постоянное повышение
прибыли, ее максимизацию, следя за конкурентами.
В.П. Волков [9] считает, что эффективность производства можно
классифицировать по отдельным признакам на следующие виды:
- по последствиям -экономическая, социальная и экологическая;
- по месту получения эффекта -локальная и народнохозяйственная;
- по степени увеличения (повторения) -первичная (одноразовый
эффект) и мультипликационная (многократно-повторяющаяся);
- по цели определения - абсолютная (характеризует общую
величину эффекта или в расчете на единицу затрат или ресурсов) и сравнительная
(при выборе оптимального варианта из нескольких вариантов хозяйственных или
других решений).
Все вместе взятые виды эффективности формируют общую интегральную
эффективность деятельности предприятия.
Достижение экономического или социального эффекта связано с
необходимостью осуществления текущих и единовременных затрат[24]. К текущим
относятся затраты, включаемые в себестоимость продукции. Единовременные затраты
- это авансированные средства на создание основных и прирост оборотных фондов в
форме капитальных вложений, которые дают отдачу только через некоторое время.
Под экономической эффективностью Я. С. Ядгоров[71] понимает достижение
производством наивысших результатов при наименьших затратах живого и
овеществленного труда или снижение совокупных затрат на единицу продукции.
В современных условиях важнейшим фактором повышения экономической
эффективности является формирование и реализация инновационной стратегии
организации. Она опирается на удовлетворение определенных общественных
потребностей, но вместе с тем повышение эффективности использования отдельных
ресурсов или повышение эффективности отдельных производственных подразделений,
либо повышение эффективности предприятия в целом в результате внедрения
новшества.
Пути повышения эффективности производства - комплекс конкретных
мероприятий по росту эффективности производства в заданных направлениях[43].
Основные пути повышения эффективности производства: снижение трудоемкости и
повышение производительности труда, снижение материалоемкости продукции и
рациональное использование природных ресурсов, снижение фондоемкости продукции
и активизация инвестиционной деятельности предприятий.
Одним из важных факторов интенсификации и повышения эффективности
производства предприятий является режим экономии. Ресурсосбережение должно
превратиться в решающий источник удовлетворения растущей потребности в топливе,
энергии, сырье и материалах.
По мнению Б.А. Райзберг [49], повышение эффективности производства
зависит от лучшего использования основных фондов. Необходимо интенсивнее
использовать созданный производственный потенциал, добиваться ритмичности
производства, максимальной загрузки оборудования, существенно повышать
сменность его работы и на этой основе увеличивать объем продукции с каждой
единицы оборудования, с каждого квадратного метра производственной площади.
Результатом организации интенсивного использования производственных мощностей
является ускорение темпов прироста продукции без дополнительных капитальных
вложений.
Важное место в повышении эффективности производства занимают
организационно-экономические факторы. Особо возрастает их роль с ростом
масштабов общественного производства с усложнением хозяйственных связей[9].
Требует дальнейшего развития и совершенствования производственная социальная
инфраструктура, оказывающая существенное влияние на уровень эффективности
производства. В управлении - это совершенствование самих форм и методов
управления, планирования, экономического стимулирования всего хозяйственного
механизма. В этой же группе факторов широко применяются многообразные рычаги
хозяйственного расчета и материального поощрения, материальной ответственности
и других хозрасчетных экономических стимулов. Особое место в интенсификации
экономики предприятия, снижении удельного расхода ресурсов принадлежит
повышению качества продукции. Эта задача должна стать предметом постоянного
внимания и контроля, главным фактором в оценке деятельности каждого трудового
коллектива.
Важным фактором повышения эффективности деятельности предприятия является
научно-технический прогресс. В современных условиях нужны революционные,
качественные изменения, переход к принципиально новым технологиям, технике
последующих поколений, коренное перевооружение всех отраслей народного
хозяйства на основе новейших достижений науки и техники. Коренные
преобразования в технике и технологии, мобилизация всех, не только технических,
но и организационных, экономических, социальных факторов создадут предпосылки
для значительного повышения производительности труда.
Обобщая выше сказанное, можно заключить, что определяющая роль инноваций
в деятельности предприятия в условиях современной экономики коренным образом
меняет их деятельность. Инновации становятся основой конкурентоспособности
предприятий, приводят к повышению эффективности, улучшению качества продукции и
услуг. Инновационное развитие обеспечивает не только экономический рост за счет
увеличения продаж, рыночной доли, повышение стоимости акций предприятий, но и
повышение его ценности, обеспечиваемое ростом доходов, снижением производственного,
коммерческого и финансового рисков, принятием верных управленческих решений по
вопросам инновационного развития.
В общем виде инновационную стратегию конкретного предприятия (стратегию
инновационной деятельности) можно представить как определенное логическое
построение, на основе которого предприятие решает основные задачи, стоящие
перед ним в инновационной сфере деятельности.
Инновационная стратегия организации, выступая в
современных условиях важнейшим фактором повышения экономической эффективности,
способствует обновлению машин и механизмов, используемых на предприятии,
повышению эффективности технологий, а так же поддержанию конкурентного уровня
продукции, выпускаемой на предприятии.
2. Оценка
результатов производственно-хозяйственной деятельности ООО «Стройпластик»
.1 Внутренняя
характеристика предприятия
Общество
с ограниченной ответственностью «Стройпластик» учреждено в соответствии с
федеральный закон от 08.02.1998 № 14-ФЗ (ред. от 03.07.2016) «Об обществах с
ограниченной ответственностью и
<#"908350.files/image004.gif">
Рисунок 3.1 Этапы разработки инновационной стратегии
Среди инновационных направлений можно выделить:
- инновационный продукт, направленный на создание новой
продукции, совершенствование качественных характеристик выпускаемых видов
продукции;
- технологические инновации, включающие освоение новых
технологий, модернизацию оборудования, реконструкцию производственных зданий;
- производственные инновации, ориентированные на расширение
производственных мощностей, диверсификацию производственной деятельности,
изменение структуры производства;
- экономические инновации, связанные с изменением методов и
способов планирования всех видов производственно-хозяйственной деятельности,
экономического стимулирования;
- инновации в области управления, нацеленные на улучшение
организационной структуры, стиля и методов принятия решений;
- информационные инновации, связанные с оптимизацией
информационных потоков в сфере инновационной деятельности, повышением
достоверности и оперативности получения информации, использованием новых
средств обработки документации;
- торгово-сбытовые инновации, направленные на целевые изменения
в торговой деятельности, в системе сбыта и снабжения;
- социальные инновации, решающие задачи улучшения условий
труда, психологического климата, социального обеспечения.
Основываясь на результатах анализа деятельности ООО «Стройпластик»,для
разработки и реализации продукции выбрана инновационная стратегия, которая
позволяет повысить эффективность организации. В рамках инновационной стратегии
разработан комплекс мероприятий.
. Внедрение установки для изготовления фундаментных бетонных
блоков.
Фундаментные блоки представляют собой часть фундамента, передающую
нагрузку на основание. Они обеспечивают легкий быстрый монтаж и менее
подвержены негативному влиянию внешних условий по сравнению с монолитным
фундаментом. Производство блоков ФБС может осуществляться на основе нескольким
материалов - силикатного бетона средней плотности, керамзитобетона или тяжелого
бетона.
Предприятие ООО «Стройпластик» в своей технологии производства ФБС блоков
использует следующие этапы.
Получение сырья. Доставка материалов осуществляется на поездах.
Поставщики поставляют такие материалы, как песок, цемент и щебень.
Процесс взвешивания сырья. На данном этапе производится взвешивание сырья
для соблюдения пропорций при изготовлении бетона. Щебень взвешивается на
весовом дозаторе, на нем же производится взвешивание песка, но перед
взвешиванием песок пропускают через пескосеялку. На весоизмерительном
устройстве измеряется количество цемента.
Изготовление бетона. Поле взвешивания сырья, оно при помощи транспортера
ленточного и в необходимых пропорциях поступает в бетоносмеситель. Перед тем,
как добавить воду, ее предварительно нагревают с помощью водонагревателя. В
бетоносмесителе все составляющие смешиваются до необходимой консистенции.
Доставка бетона на производство. Готовый бетон загружают и с помощью
бетоновоза доставляют на производство для изготовления ФБС блоков.
Подготовка к производству. На производстве готовый бетон выгружают из
бетоновоза в раздаточный бункер МСЖ. Раздаточный бункер предназначен для
передачи бетонной смеси удобоукладываемостью не более 8 см от бетоносмесителей
до бетоноукладчиков на формовочных постах. Бункер закрепляется на мостовом
кране.
Расфасовка по формам. На данном этапе с помощью раздаточного бункера
бетон разливают по металоформам. Поле этого с помощью вибратора выгоняется
воздух из бетона.
Необходимый набор прочности. Набор первоначальной прочности(достаточный
для складирования) происходит при естественной температуре не менее 24 часов
(без применения специальных добавок - ускорителей твердения - ХК, релаксола и
других). Время в данном случае зависит от свойств цемента и температуры
окружающего воздуха. Набор 100% прочности протекает в течение 28 суток при
положительной температуре.
В настоящее время, для изготовления фундаментных бетонных блоков, ООО
«Стройпластик» использует металоформы. Данные действия выполняются
последовательно в течение 10 минут с помощью двух человек. Для сокращения
времени производства, а также повышения производительности труда целесообразно
рассмотреть внедрение установки УПБ-ТМ для производства блоков ФБС с
утеплителем и разного типоразмера, назначения и применения.
В качестве исходного материала используется бетонная смесь, состав
которой определяется назначением бетонных блоков. Загрузка данной установки
производится с помощью фронтального погрузчика или краном, с применением
строительной бадьи для бетона. Установка УПБ-ТМ позволяет формовать бетонную
смесь вместе с материалом, который служит гидро- и теплоизоляцией. В утеплитель
монтируется дюбель-зонтик (парашют) и укладывается на дно формы, После этого
форма загружается бетонной смесью и формуется блок. Все операции
технологического цикла выполняются через центральный пульт управления одним
оператором. С помощью дозаторов, бетонная смесь поступит в формы. Убрав
излишки, заполненные формы подвергаются вибропрессованию. По завершению
установка выдает фундаментные блоки, которые в дальнейшем подвергнутся
естественной или механической сушке.
В процессе формовки, установка самостоятельно передвигается по рабочей
площадке линейно, укладывая блоки полосами. Установка самостоятельно
поворачивает на следующий ряд для продолжения процесса формовки. Блоки
находятся на площадке до достижения необходимой транспортной прочности в
зависимости от погодных условий (от 1-го до 3-х дней). Установка УПБ-ТМ комплектуется
формами разного типоразмера, что позволяет производить бетонные (стеновые,
фундаментные) блоки с утеплителем разного типоразмера, назначения и применения.
Преимущества установки УПБ-ТМ:
- минимальное время на наладку и подготовку к работе;
- точность дозирования сырья и компонентов;
- легкая замена изношенных механизмов;
- высокий уровень производительности;
- компактность (возможность устанавливать установку на площадке
небольшого размера);
- возможность производить фундаментный и стеновой блок,
обладающий свойствами гидро- и теплоизоляции.
Применение таких блоковпозволяет производить гидро- и теплоизоляцию на
этапе строительства, и потому не требует утепления стен и фундаментов.
Основными преимуществами автоматизации производства являются:
- повышенная пропускная способность и производительность;
- улучшение качества или повышение предсказуемости качества;
- повышенная надежность и прочность (последовательность и
согласованность) процессов или продукта;
- снижение прямых затрат человеческого труда и расходов.
Установка требует малых капитальных затрат на создание технологического
участка, позволяет максимально автоматизировать процесс и тем самым добиться
высокой производительности (таблица 3.1).
Таблица 3.1
Сравнение технических характеристик оборудования
|
Параметр
|
Установка
|
Металоформа и вибратор ИВ 116
|
|
Обслуживающий персонал, чел
|
1
|
2
|
|
Производительность установки, м3/ч
|
12
|
6
|
|
Объём бункера, м3
|
2,4
|
-
|
|
Мощность электродвигателя, кВт/ч
|
7,5
|
3,4
|
|
Габаритные размеры в рабочем положении,мм
|
2880 х 3640 х 2870
|
880 х 400 х 280
|
|
Общая масса (нетто),кг
|
6830
|
290
|
Производительность установки в 2 раза выше, чем производительность
процесса с использованием металоформ. Таким образом, требуется меньшее число
работников для изготовления фундаментных блоков на данном этапе производства.
Следовательно, можем предположить, что данное мероприятие повысит
эффективность деятельности предприятия.
. Совершенствование технологического процесса производства ЖБ
блоков.
Изучив технологический процесс предприятия, можно сделать вывод, что
помимо основного процесса производства блоков, их естественное высыхание
(приобретение прочности) занимает 28 дней. Для сокращения времени сушки
применяется «пропарка». Пропарочная камера существенно улучшает прочностные
характеристики и вдвое ускоряет процесс производство вибропресованных бетонных
изделий. Пропарочная камера представляет собой теплоизолированное строение или
помещение в котором поддерживается температура 50-70°С и относительная
влажность 90-100%. Объем пропарочной камеры должен соответствовать суточной
производительности вибропресса. Температура в пропарочной камере для
свежеотформованных бетонных изделий не должна превышать 70°С при максимальной
скорости нарастания температуры не более 25°С/час. Необходимая влажность в пропарочной
камере обеспечивается подачей горячего пара от парогенератора или с помощью
труб теплоснабжения, а также бочек с водой и тэнами.
Среди пропарочных камер выделяют подземные и наземные. Подземная
пропарочная камера представляет собой яму, вырытую в производственном
помещении, размеры которой соответствуют 12 часовому объему выпуска изделий.
Стены такой камеры должны быть выполнены из материала с низким коэффициентом
теплопроводности. Загрузка стеллажей со свежеотформованными изделиями
осуществляется с помощью кран-балки. После заполнения пропарочная камера
накрывается крышей. Крыша по периметру должна быть оборудована шторами из
теплостойкой резины для уменьшения потерь тепла и влажности в камере.
Недостатки подземной пропарочной камеры:
- большая трудоемкость при строительстве камеры и высокая
стоимость;
- для загрузки - выгрузки стеллажей с изделиями работник каждый
раз спускается в низ камеры.
К достоинствам можно отнести то, что подземный вариант - это,
единственный способ организовать пропарку изделий при ограниченных размерах
производственной площади. Наземная пропарочная камера проще в организации. Её
целесообразнее всего организовать из уже имеющегося помещения, либо изготовить
мобильную камеру с возможностью быстрого демонтажа и перевозки. Для этих целей
можно использовать сборно-щитовые утепленные панели или переоборудовать под
камеру Ж/Д контейнер. Наземную пропарочную камеру, возможно изготовить как
теплицу (парник). Собирается каркас и укрывается поликарбонатом или
полиэтиленовой пленкой, в него устанавливается вентилятор, бочка с водой и
тенами. При кипении воды в бочке вентилятор обеспечивает конвекцию пара.
Загрузка стеллажей со свежеотформованными изделиями осуществляется с помощью
погрузчика. На входе и выходе из камеры необходимо оборудовать шторы из
теплостойкой резины или пластика для уменьшения потерь тепла и влажности в
камере.
В дальнейшем при развитии производства можно построить стационарную
пропарочную камеру из шлакоблоков, производимых на вибропрессе. Для создания в
пропарочной камере необходимой температуры и влажности требуется
электропарогенератор. Парогенератор электродный марки ПГЭ (далее парогенератор)
предназначен для выработки насыщенного водяного пара (в зависимости от
исполнения с температурой от 115°С до 158 °С и производительностью до 300 кг
пара в час для технологических целей). Технические данные парогенератора
электродного ПАРГАРАНТ ПГЭ-300 представленные в таблице 3.2.
Данное мероприятие позволит существенно сократить набор прочности ЖБ
блоков (в 28 раз). За счет более быстрого процесса производства (48 часов)
сокращаются складские помещения, помещения для естественной сушки изделий.
Открывается возможность производства блоков нестандартной формы по
индивидуальным заказам, что может привлечь новых потребителей.
Таблица 3.2
Технические параметры ПАРГАРАНТ ПГЭ-300
|
Основные параметры
|
ПГЭ-300
|
|
Максимальная производительность по насыщенному пару, кг/ч,
|
300
|
|
Рабочее давление пара, МПа (кг/см2)
|
(1.0-5.5)
|
|
Потребительная мощность при максимальной
производительности, кВт, не более
|
56-225
|
|
Максимальный ток нагрузки, А
|
340
|
|
Номинальное напряжение питающей сети переменного тока
частотой 50 Гц, В
|
380
|
|
Емкость каждого котла, л не более
|
25
|
|
Регулирование мощности (плавное), %
|
25/100
|
|
Время выхода на номинальный режим мин., не более
|
6
|
|
Габаритные размеры, мм: длинна*ширина*высота
|
900*760*880
|
|
Масса (без упаковки/с упаковкой) не более, кг
|
220/260
|
|
Срок службы, год
|
30
|
Предложенное мероприятие будет способствовать повышению
конкурентоспособности организации за счет сокращения периода производства и
улучшения качества продукции. Не маловажным фактом является то, что при
внедрении данного оборудования появляется возможность сократить или
перепрофилировать складские помещения и производственные площади, которые
использовались для сушки фундаментных блоков естественным путем.
. Производство газосиликатных блоков.
Газосиликат- современный строительный материал. Он состоит из кварцевого
песка, цемента, негашеной извести и воды. Газосиликат изготавливается в
промышленных условиях при помощи автоклавов, в которых поддерживается
определенное давление и температура. При смешивании в автоклаве всех
компонентов с газообразователем- алюминиевой пудрой - происходит выделение
водорода. Он в несколько раз увеличивает исходный объем сырой смеси. А пузырьки
газа при застывании бетонной массы образуют в структуре материала большое
количество пор.
Изделия из ячеистого бетона используются практически во всех сферах
строительной промышленности. В современных условиях газосиликат- один из самых
востребованных строительных материалов. Газосиликат- это высококачественный,
экологичный строительный материал. Газосиликат прост в работе, легко поддаётся
обработке, дает возможность легко возводить стены сложной конфигурации. По
сравнению с другими материалам - пеноблоком, газосиликат выгоден из-за своей
высокой прочности, при меньшем показателе плотности, а значит и весе материала.
Что уменьшает давление на фундамент. Проектировщики при расчётах это учитывают,
а значит и стоимость фундамента будет значительно ниже, если строить дом из
газосиликата или кирпича.
Технические характеристики газосиликатных блоков определены нормами ГОСТ
России.
. Теплопроводность. Известно, что стена из одного слоя блоков
плотностью 400-500 кг/м3, толщиной 400 мм обладает параметром сопротивления
теплопередачи, равным 2,7-3,5 м2/Вт. Блоки с характеристикой
плотности от 500 кг/м3 используются при возведении стен в монолитном
либо малоэтажном строительстве, а блоки с меньшей плотностью - в качестве
материала для теплоизоляции перекрытий и кровли.
. Огнестойкость. Газосиликат относится к материалам не
подверженным возгоранию. В соответствии с ГОСТ 5742[13], он может
использоваться в качестве утеплителя строительных конструкций оборудования,
обеспечивая защиту поверхности до 400 градусов. При повышении температуры до
этой отметки, прочность блоков увеличивается на 85%. Согласно ГОСТ
30247.0-94[12] предел невозгораемости плит перекрытия и напольного покрытия из
газосиликата составляет 70 минут.
. Звукоизоляция. Возведение домов из такого бетона полностью
удовлетворяет требованиям СНиП 11-12-77 [55]«Защита от шума в строительстве.
Звукоизоляция ограждающих конструкций».
. Морозостойкость. Из-за пористой структуры он относится к
строительным материалам, выдерживающим попеременное воздействие минусовых и
плюсовых температур порядка 50 циклов. Способность сохранять свои физические
свойства при таких температурных перепадах, определяется маркой морозостойкости
бетона.
. Аккумуляция тепла. Бетон имеет способность накапливать тепло от
систем отопления, либо от солнечных лучей. При понижении температуры воздуха,
например, ночью, он отдает накопленное тепло внутрь помещения. Это свойство
позволяет экономить на отоплении зимой и на работе кондиционера летом.
. Микроклимат помещений определяется комфортной для человека
влажностью воздуха. Газосиликатный бетон обладает характеристикой накапливания
влаги из воздуха, которую потом отдает во внутренние помещения дома. Однако,при
повышенной влажности внутри этот материал впитывает излишки влаги и выводит
наружу. Поэтому применение газосиликатных блоков в строительстве жилых домов
позволяет добиться идеального режима влажности в помещении.
Немаловажно, что блоки не подвергаются гниению и коррозии, легко
сверлятся и фрезеруются, а также не вызывают сложностей при любой другой
обработке. Прочность газосиликатного бетона превышает прочность безавтоклавного
пенобетона в два раза при одинаковой плотности (таблица 3.3).
Таблица 3.3
Сравнение кладки из газосиликатных блоков и кирпича
|
Характеристика
|
Кирпич
|
Газосиликатные блоки
|
|
Толщина стен для обеспечения теплопроводности,
соответствующей требованиям строительных норм,мм
|
не менее 1500-1950
|
375-500
|
|
Расход кладочного раствора на 1 м2 кладки, м3
|
0,12
|
0,008
|
|
Вес 1 м2 стены, кг
|
2000-2730
|
190-250
|
|
Толщина фундамента для соответствующих стен,мм
|
не менее 1950
|
500
|
|
Коэффициент экологичности (дерево - 1)
|
8-10
|
2
|
|
Коэффициент теплопроводности, Вт/м 0С
|
0,45-0,7
|
0,12-0,14
|
|
Морозостойкость, цикл
|
35-50
|
25-35
|
|
Огнестойкость при толщине 175 мм.
|
3-4
|
5-6
|
Кладку лучше производить с применением специального клея, имеющего
улучшенные свойства по сравнению с обычным строительным раствором.
Различают два вида выпускаемых блоков - гладкие и гребневые (с пазом) для
облегчения укладки. Помимо блоков, из такого бетона выпускаются плиты
перекрытий и стеновые панели. Монтаж материала может производиться при
температуре до -50С с использованием морозостойкого клея.
Применение в строительстве газосиликата осуществляется для:
) малоэтажных жилых домов (до 3-х этажей);
) комбинированных стен в многоэтажных домах;
) утепления стен.
СНиП 11-3-79 [56]определяют, что толщина блока при строительстве жилых
зданий должна соответствовать необходимому уровню теплоизоляции для защиты стен
относительно конкретного климатического района, в котором ведется застройка.
При меньшей толщине следует выбирать дополнительные теплоизоляционные меры
(вентилируемый фасад, использование облицовочного кирпича).
Можно выделить следующие преимущества использования данного строительного
материала.
) Дом, построенный из ячеистого бетона, классифицируется, как
каменное строение, но этот материал относится к легким бетонам.
Микроклимат, который в нем создается, очень близок к климату деревянного дома.
В отличие от сооружений из обычного бетона или кирпича, ячеистый дом дышит за
счёт пор на самом блоке. А благодаря тому, что он обладает способностью
регулировать влажность воздуха в помещении, газосиликат исключает вероятность
появления на нем каких-либо грибковых образований и плесени.
) Газосиликатне разрушается грызунами, как деревянные дома.
Строительство дома из газобетона практически не несёт ущерб окружающей среде.
Чтобы построить деревянный дом площадью 90 м2нужно вырубить 0,1 га
соснового леса. Чтобы построить кирпичный дом, нужно выкопать около 95 тонн
глины и потратить десятки мегаватт энергии на обжиг сырья. В производстве
каркасного дома значительную долю занимают синтетические материалы. Для
строительства дома из газобетона площадью 100 м2достаточно 15 тонн
минерального сырья.
3) Газосиликатные
блоки <#"908350.files/image005.gif">,д.е. (3.1)
Где Е - норма дисконта;
- коэффициент дисконтирования;
Дt - доход полученный от проекта;
Иt - инвестиции в году;
T -
горизонт расчета.
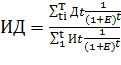
) индекс доходности дисконтированного инвестиционного проекта
(ИД), который представляет собой сумму приведенных эффектов к величине
капиталовложения и рассчитывается по формуле 3.2 [59]:


(3.2)
3) внутренняя норма доходности (ВНД)- норма дисконта, при которой
величина приведенных эффектов равна приведенным капиталовложениями,
рассчитывается по формуле (3.3) [59]:
)

, (3.3)
Для расчета показателей эффективности инвестиционного проекта составим
таблицу 3.5.
Таблица 3.5
Денежные потоки по годам реализации инвестиционного проекта
|
Показатель
|
Период реализации
|
|
1
|
2
|
3
|
4
|
5
|
6
|
7
|
|
Инвестиционная деятельность
|
|
|
|
|
|
|
|
|
Оборудование, тыс. руб.
|
-1055
|
|
|
|
|
|
|
|
Затраты на подготовку фундамента, тыс. руб.
|
-100
|
|
|
|
|
|
|
|
Денежные потоки от инвестиционной деятельности тыс. руб.
|
-1155
|
0
|
0
|
0
|
0
|
0
|
0
|
|
Операционная деятельность
|
|
|
|
|
|
|
|
|
Объем продаж, шт.
|
|
58320
|
58320
|
58320
|
58320
|
58320
|
58320
|
|
Цена реализации ед. продукции, руб.
|
|
100
|
100
|
100
|
100
|
100
|
100
|
|
Переменные затраты на ед. продукцию, руб.
|
|
37,8
|
37,8
|
37,8
|
37,8
|
37,8
|
37,8
|
|
Выручка от реализации, тыс. руб.
|
|
5832
|
5832
|
5832
|
5832
|
5832
|
|
Переменные затраты, тыс. руб.
|
|
996,3
|
996,3
|
996,3
|
996,3
|
996,3
|
996,3
|
|
Амортизация оборудования, тыс. руб.
|
|
145,8
|
583,2
|
583,2
|
583,2
|
583,2
|
583,2
|
|
Проценты за кредит, тыс. руб.
|
|
430,08
|
386,56
|
343,04
|
299,52
|
0
|
0
|
|
Прочие постоянные затраты, тыс. руб.
|
|
730
|
730
|
730
|
730
|
730
|
730
|
|
Налогооблагаемая прибыль, тыс. руб.
|
|
3529,82
|
3135,94
|
3179,46
|
3222,98
|
3522,5
|
3522,5
|
|
Налог на прибыль, тыс. руб.
|
|
242,49
|
215,43
|
218,42
|
221,41
|
241,99
|
241,99
|
|
Прибыль остающаяся в распоряжении предприятий,, тыс. руб.
|
|
3287,32
|
2920,5
|
2961,03
|
3001,56
|
3280,5
|
3280,5
|
|
Денежный поток от операционной деятельности, тыс. руб.
|
|
3141,52
|
2337,3
|
2377,83
|
2418,36
|
2697,3
|
2697,3
|
|
Денежный поток инвестиционного проекта, тыс. руб.
|
-1155
|
3141,52
|
2337,3
|
2377,83
|
2418,36
|
2697,3
|
2697,3
|
|
Кумулятивный денежный поток инвестиционного проекта, тыс.
руб.
|
-1155
|
1986,52
|
4323,82
|
6701,65
|
9120,01
|
11817,3
|
14514,6
|
|
Коэффициент дисконтирования
|
0,869
|
0,756
|
0,657
|
0,571
|
0,497
|
0,432
|
0,375
|
|
Дисконтированный денежный поток инвестиционного проекта,
тыс. руб.
|
-1004,3
|
2375,44
|
1536,81
|
1359,53
|
1202,35
|
1166,12
|
1014,01
|
|
Кумулятивный дисконтированный денежный поток
инвестиционного проекта, тыс. руб.
|
-1004,3
|
1502,09
|
2842,98
|
3831,69
|
4534,26
|
5108,95
|
5456,58
|
В результате проведенных расчетов определены следующие показатели
экономической эффективности проекта:
- ЧДД = 18318 тыс. руб.;
- ИД = 21,97;
- ВНД = 49,13% > 15%
По проведенным расчетам можно сделать вывод о том, что проект является
эффективным, так как:
- имеет положительное значение чистого дисконтированного
дохода, что доказывает его эффективность (при данной норме дисконта);
- индекс доходности его выше единицы, что свидетельствует о
том, что реализация данного проекта выгодна для предприятия;
- внутренняя норма доходности больше нормы дисконта, а значит,
инвестиции в реализацию нововведений, и может рассматриваться вопрос о принятии
и осуществлении проекта.
Рассчитаем годовой экономический эффект: 58320*100-58320*37,8 = 3627504
руб.
Найдем срок окупаемости: 1155000/3627504 = 0,32 (порядка 4 месяцев)
Таблица 3.6
Сравнительная таблица основных показателей по железобетонным изделиям
|
Показатель
|
В настоящее время
|
После внедрения
|
Абсолютные изменения
|
|
Выручка от реализации, тыс. руб.
|
141766
|
147598
|
5832
|
|
Себестоимость продукции, тыс. руб.
|
132004
|
134208,5
|
2204,5
|
|
Прибыль от реализации, тыс. руб.
|
9762
|
13389,5
|
3627,5
|
|
Амортизационная стоимость, тыс. руб.
|
72586,99
|
73641,99
|
1055
|
|
Численность персонала, чел.
|
84
|
86
|
2
|
По данным таблицы 3.6 можно сделать вывод, что после внедрения инноваций
возрастет выручка от реализации на 5832 тыс. руб., за счет роста себестоимости.
Прибыль от реализации после внедрения составит 13389,5 тыс. руб., что на 3627,5
тыс. руб. больше, чем до внедрения. Наблюдается рост амортизационной стоимости
на 1055 тыс. руб., а также увеличение численности персонала на 2 чел.
Экономический эффект от внедряемого нововведения составит 3627,5 тыс. руб.
Рассчитаем изменение основных показателей эффективности мероприятия. В
таблице 3.7 представлены результаты расчета основных показателей экономической
эффективности до и после внедрения нововведения на предприятие.
Таблица 3.7
Результаты реализации инновации
|
Показатели использования
|
До внедрения
|
После внедрения
|
Абсолютные изменения
|
|
Фондоотдача, руб./руб.
|
1,95
|
2
|
0,05
|
|
Фондорентабельность, %
|
13,45
|
18,18
|
4,73
|
|
Среднегодовая выработка, тыс. руб./чел.
|
1687,69
|
1716,26
|
28,57
|
|
Трудоемкость, чел., тыс. руб.
|
0,06
|
0,06
|
0
|
|
Рентабельность, %
|
6,89
|
9,07
|
2,19
|
По результатам проведенной работы можно сделать вывод о том, что после
реализации инновационного проекта фондоотдача возрастет на 0,05 руб./руб., а
фондорентабельность- на 4,73 п.п. Среднегодовая выработка возрастет на 28,57
руб./чел. При этом рентабельность предприятия увеличивается на 2,19 п.п.
Поэтому разработанное мероприятие, реализованное в рамках инноваций стратегии
организации, можно считать эффективным.
Обобщая вышесказанное, можно заключить, что комплекс предложенных
мероприятий, реализуемых в рамках инновационной стратегии, будет способствовать
увеличению основных показателей характеризующих деятельности организации,
повышению финансовой устойчивости, а также конкурентоспособности и в целом
эффективности деятельности предприятия.
Заключение
Проведенное исследование позволило сделать следующие выводы и обобщения.
. На основе анализа теоретических аспектов формирования стратегии
предприятия определено, что под стратегией понимается комплекс управленческих
решений, относящихся к действиям, которые обеспечивают ее успешное
функционирование в долгосрочной перспективе. Можно заключить, что рассмотренные
стратегии направлены на развитие внутреннего потенциала компании, усиление ее
факторов, обеспечивающих рыночный успех.
При этом в современных условиях важным аспектом развития предприятия
является формирование инновационной стратегия, которая отличается от других
своей новизной, прежде всего для данной компании и, возможно, для отрасли,
рынка, потребителей. Инновационная стратегия является определяющим фактором
повышения экономической эффективности современной организации.
. В ходе исследования установлено, что инновационная стратегия
конкретного предприятия - определенное логическое построение, на основе которого
предприятие решает основные задачи, стоящие перед ним в инновационной сфере
деятельности. Она задает цели инновационной деятельности, выбор средств их
достижения и источники привлечения этих средств. Существуют разновидности
инновационных стратегий(наступательная, защитная, промежуточная и другие).Выбор
инновационной стратегии зависит от рыночной позиции фирмы и динамики ее
изменения, производственного и технологического потенциала предприятия, вида
производимого на фирме товара, а также ряда внешних факторов. В связи с этим
анализ ситуации, сложившейся на предприятии, является исходным моментом
процесса формирования инновационной стратегии.
. В процессе анализа внутренней среды предприятия ООО «Стройпластик»
определенно, что основным видом его деятельности является производство бетона,
растворов и железобетонных изделий. Выявлено, что наиболее сильное влияние на
функционирование предприятия оказывает его производственная мощность и
организационная структура, а также кадровое и финансовое обеспечение. В целом
за период 2013-2015 гг. произошло снижение выручки от реализации на 33,6%, что
вызвано в основном снижением спроса на данную продукцию. При этом стоимость
основных производственных фондов с каждым годом возрастает, что свидетельствует
об обновлении основных средств производства. Численность персонала в 2015 г. по
сравнению с 2013 г. сократилась на 15,2%.Прибыль от реализации в 2015 г. по
сравнению с 2013 г. сократилась на 17328 тыс. руб. (на 99,25%),что связано со
снижением спроса на производимую продукцию.
Анализ основных производственных фондов показал, что среднегодовая
стоимость основных фондов к 2015 г. увеличилась на 29%. Фондоотдача в 2015 г.
по равнению с 2013 г. снизилась на 47,5% что свидетельствует о снижении
эффективности работы оборудования. Фондорентабельность с 103,2% (2013
г.)сократилась до 13,45% (2015 г.), что вызвано обновлением основных
производственных фондов и снижением выручки от продаж.
Среднесписочная численность на предприятии в 2015 году составила 84
человека. В 2015 г. по сравнению с 2014 г. среднегодовая выработка на
предприятии снизилась на 4,44%. Полная трудоемкость возросла в 2015 г. и
составила 1,18 ч. (130% к 2013 г.). Поэтому необходимо вводить коррективы в
работе персонала, чтобы устранить падение производительности труда.
За анализируемый период наблюдается снижение рентабельности предприятия
по всем показателям, что в целом характеризует снижение эффективности
деятельности предприятия. Наибольшим снижением отличается фондорентабельность
(на 89,75 п.п.).
. При изучении внешней среды предприятия были определены основные ее
элементы: конкуренты и поставщики, а также политические, экономические,
социальные и технологические факторы.
Основными конкурентами ООО «Стройпластик» являются: ОАО «ЗЖБИиК», АО
«Агростройконструкция», ООО «МеталлСтройМаркет». По результатам анализа
конкурентоспособности по степени использования основных видов ресурсов ООО
«Стройпластик» занимает последнее место среди конкурентов.
Среди политических факторов, оказавших влияние на функционирование организации,
можно выделить изменения в законодательстве, торговую политику в строительной
отрасли, ужесточение госконтроля. Рассматривая экономические факторы, можно
сделать вывод о том, что наиболее важными аспектами являются уровень
экономического развития страны, платежеспособность населения и изменение
инфляции. Среди социальных факторов важное значение имеет демографическая
ситуация в стране, уровень безработицы в 2015 г. составил 6,8%.Среди
технологических факторов можно выделить инновационную составляющую.
. Определенно, что в последние годы ООО «Стройпластик» предпринимало
попытки осуществления инновационной деятельности. Так на предприятии
проводились технические преобразования, что вызвано с изменением спроса на
производимую продукцию.
Посредством SWOT-анализа выявлены преимущества и недостатки, угрозы и
возможности развития рассматриваемого предприятия. Так, наиболее сильными
сторонами организации выступают: наличие проверенных и надежных поставщиков
материалов; наличие собственной производственной базы; хорошая репутация
предприятия, а также успешная кредитная история ООО «Стройпластик» в банках
региона. Среди слабых сторон организации необходимо выделить высокие издержки
производства, сокращающие чистую прибыль, получаемую предприятием, следствием чего
является сокращение средств направляемых на его развитие.
Перспективы развития предприятия определяются повышением уровня жизни
населения и ростом расходов на строительство и покупку жилья, а также
разработкой и внедрением новшеств в сфере производства строительных материалов.
Однако эффективное функционирование организации возможно только при учете ряда
проблем, связанных с падением спроса на продукцию, сокращением строительных
работ в данном регионе, длительным процессом производства, повышением уровня
инфляции и налоговых ставок, а также с высокой степенью контроля бизнеса со
стороны государства.
. Исходя из имеющихся резервов и выявленных трудностей развития
предприятия, в исследовании предложена для реализации инновационная стратегия,
в рамках которой разработан комплекс мероприятий, включающий: внедрение
установки для изготовления фундаментных бетонных блоков; совершенствование
технологического процесса производства ЖБ блоков; производство газосиликатных
блоков.
. Реализация инновационной стратегии и комплекса мероприятий будет
способствовать эффективному функционированию предприятия. Внедрение нового
продукта (газосиликатный блок) позволит достичь следующих показателей:
- рост выручки на 5,8 млн. руб. и фондорентабельности (4,73
п.п.);
- увеличение численности персонала на 2,4%;
- рост рентабельности в целом на 2,19 п.п.;
- увеличения на 3,6 млн. руб. прибыли от реализации
предприятия.
Разработанный комплекс мероприятий, реализуемых в рамках инновационной
стратегии предприятия, будет способствовать увеличению показателей его
деятельности, повышению финансовой устойчивости, конкурентоспособности и в
целом эффективности деятельности предприятия.
Список
использованных источников
1. Агарков, С. А. Инновационный менеджмент и
государственная инновационная политика: учебное пособие / С. А. Агарков, Е. С.
Кузнецова, Москва О. Грязнова. Москва: Академия Естествознания, 2011. 143 с.
. Александров, А. К. Конкурентоспособность
предприятия: учебное пособие / А. К. Александров. Москва: ИНФРА-М, 2013. 284 с.
. Амосов, А. О долгосрочной стратегии модернизации и
развития промышленности / А. Амосов // Экономист. 2012. № 9. С. 3-15.
. Антипов, А. А. Разработка и реализация стратегии
развития строительных организаций / А. А. Антипов // Экономический анализ:
теория и практика. 2007. № 3. С. 58-60.
. Арбатская, Е. А. Подходы к оценке
конкурентоспособности предприятия: учебно пособие / Е. А. Арбатская. Москва:
Проспект, 2012.121 с.
. Бурдей, К. Введение нового продукта на рынок. Этапы
и информационная поддержка [Электронный ресурс] / К. Бурдей, Н. Троян //
Управление экономическими системами: электрон. журнал. Режим доступа:
#"908350.files/image012.jpg">
Приложение 2
Факторный
анализ производственных фондов
1. Изменение доли производственных фондов за счет изменения
выручки:
= (0,64-0,58)5,75=0,345 руб/руб;
= (0,6-0,64)5,78=-0,231 руб/руб;
. Изменение фондоотдачи производственных фондов за счет изменения
фондоотдачи активной части:
= 0,64(5,75-9,79)=-2,586 руб/руб;
= 0,6(5,78-5,75)=0,018 руб/руб;
Фондоотдача активной части фондов непосредственно зависит от структуры
технологического оборудования, времени работы и средней часовой выработки.
Для расчета более полной факторной модели используем:
= (251*1*7,9*107,7)/2180,94=9,79;
= (251*1*7,9*88,15)/30410,24=5,75;
= (252*1*7,9*71,21)/24524,4=5,78.
Для расчета первого условного показателя фондоотдачи вместо среднегодовой
стоимости активной части ОПФ предыдущего берется фактическая, которая при
одинаковых ценах может измениться только за счет его структуры:
ФОусл1 (2014)=251*1*7,9*107,7/30410,24=7,022
ФОусл1 (2015)=251*1*7,9*88,15/24524,4=7,13
Разница расчетных показателей: ФОусл1-ФОо-покажет изменение уровня
фондоотдачи в результате изменения структуры оборудования.
г.: 7,022-9,79=-2,768
г.: 7,13 -5,78=1,35
Второй условный показатель показывает, какой была бы фондоотдача при фактической
структуре оборудования и фактическом количестве отработанных дней:
=(251*1*7,9*107,7)/ 30410,24=7,022
=(252*1*7,9*88,15)/ 24524,4=7,16
Разница показателей:
-
- изменение фондоотдачи является результатом целодневных
простоев оборудования.
г.: 7,022-7,022=0
г.: 7,16-7,13=0,03
Третий условный показатель фондоотдачи рассчитывается при фактической его
структуре, фактическом количестве отработанных дней, фактическом коэффициенте
сменности:
(251*1*7,9*107,7)/ 30410,24=7,022
=(252*1*7,9*88,15)/ 24524,4=7,16
Разница показателей:
-
- показывает изменение фондоотдачи за счет изменения
коэффициента сменности.
г.: 7,022-7,022=0
г.: 7,16-7,16=0
Рассчитаем четвертый условный показатель фондоотдачи:
(251*1*7,9*107,7)/ 30410,24=7,022
=(252*1*7,9*88,15)/ 24524,4=7,16
Разница показателей:
-
- показывает изменение уровня фондоотдачи активной части
основных фондов за счет изменения продолжительности смены.
г.: 7,022-7,022= 0
г.: 7,16-7,16 =0
-
- покажет изменение уровня фондоотдачи за счет изменения
среднечасовой выработки.
г.: 5,75-7,022=-1,272
г.: 5,78-7,16=-1,38
Приложение 3
Факторныйанализрентабельности
Для выявления факторов, повлиявших на снижение рентабельности
предприятия, проведем факторный анализ данного показателя. Исходной факторной
моделью является формула рентабельности продаж. Преобразовав ее в пятифакторную
модель, получим:
Rпр
2014=
(174790-155540)/174790*100 = 11,01%
Rпр
2015=
(141766-132004)/141766*100 = 6,89%
Для определения количественного влияния факторов используется способ
цепной подстановки. Методика расчета включает следующие шаги.
. Влияние изменения выручки от реализации.
∆Rпр2014=((174790-155484)/174790-(213561-155484)/213561)*100=-16,15
∆Rпр2015=((141766-155540)/141766-(174790-155540)/174790)*100=-20,73
. Влияние изменения себестоимости на Rпр:
∆Rпр 2014=
((174790-155540)/174790-(174790-155484)/174790)*100=-0,03
∆Rпр 2015=
((141766-132004)/141766-(141766-155540)/141766)*100=16,6
. Влияние изменения коммерческих расходов.
∆Rпр 2014=
((174790-155540)/174790-(174790-155540)/174790)*100=0
∆Rпр 2015=
((141766-132004)/141766-(141766-132004)/141766)*100=0
. Влияние изменения управленческих расходов на Rпр:
∆Rпр 2014=
((174790-155540)/174790-(174790-155540)/174790)*100=0
∆Rпр 2015=
((141766-132004)/141766-(141766-132004)/141766)*100=0
Определим совокупное влияние факторов на отклонение рентабельности продаж
отчетного периода от рентабельности прошлого периода.
= -16,15-0,03+0+0 = -16,18
= -20,73+16,6+0+0 = -4,13
Приложение 4
Результат
анализа внешней среды
Рисунок
4.1 Динамика ВВП России
Рисунок
4.2 Запасы основного капитала по текущей рыночной стоимости на начало года
Рисунок 4.3 Уровень безработицы в Вологодской области
Рисунок 4.4 Уровень инфляции в России
Рисунок 4.5 Численность населения России