Особенности развития мирового рынка автомобилей
Введение
Автомобильная промышленность, без сомнений,
играет весомую роль в жизни как простых потребителей, так и целых государств,
чьи экономики опираются на дополнительные вливания от реализации автомобильной
продукции. Вместе с тем ситуация, сложившаяся на данном рынке, бросает новые
вызовы производителям автомобилей. С одной стороны, наблюдается непрерывный
рост спроса, и, как следствие, объем производимой и реализуемой продукции. С
другой стороны, вопросы сокращения издержек, экологии и безопасности оказывают
значительное влияние на динамику развития автомобильной отрасли. В связи с этим
представляет интерес проследить основные тенденции, направление и темп развития
машиностроения, оперирующего в столь непростых условиях.
В данной работе исследуется мировой рынок
автомобилей. Показано ключевое значение автомобильной промышленности для
экономики государства, являясь как источником прибыли, так и развития
технического потенциала.
Безусловными лидерами в производстве и
реализации продукции являются Европейский Союз, Япония и Соединенные Штаты
Америки. Что касается Российской Федерации, то в сравнении с зарубежным
автомобилестроением наблюдается отставание по производительности труда и
технологической трудоемкости. Кроме того, большое количество заводов требует
технологического перевооружения, а иногда и полной реконструкции.
Стоит отметить, что в силу финансового кризиса
темпы производства в развитых странах сокращаются. В ситуации, когда основные
мировые рынки переживают застой, на первый план выходят развивающиеся страны:
Китай, Корея, Индия, Мексика и другие.
Значение автомобильной промышленности сложно
преувеличить. Она, являясь не только крупным потребителем трудовых,
материальных и финансовых ресурсов, но и одним из основных производителей
промышленной продукции, играет важную роль в развитии общественного
производства, мировой экономики в целом и отдельной страны в частности.
Объект исследования - мировое
автомобилестроение.
Предмет исследования - особенности развития
мирового рынка автомобилей.
Целью данной работы является исследование
текущего состояния автомобилестроения в мире. В ходе работы будут выполнены
следующие задачи:
Выяснить роль автомобильной отрасли в мировой
экономике;
Проанализировать перспективы развития
автомобилестроения;
Показать динамику экспорта автомобилей в
регионах мира;
Выявить лидеров по экспорту автомобилей за
последние 10 лет;
Исследовать статистически зависимость между
развитием автомобилестроения и уровнем жизни;
В рамках эконометрического исследования показана
статистически значимая связь между развитием автомобилестроения и уровнем жизни
населения. Уровень жизни является одним из ключевых показателей и играет важную
роль в развитии всех видов производства, в том числе автомобилестроения.
автомобиль рынок экспорт
1. Теоретические аспекты анализа развития
автомобилестроения: глобальный и региональный аспекты
.1 Роль автомобилестроения в экономике
На текущий момент автомобилестроение является
одной из ведущих отраслей машиностроения, оказывая существенное влияние не
только на развитие экономики в целом, но и на вектор НИОКР во многих сферах
производства, сопряженных с машиностроением.
Автомобилестроение является материальной основой
технического перевооружения экономики. В развитых странах эта отрасль является
ведущей для машиностроения. На это есть вполне логичные причины:
В реалиях современности количество единиц
техники, необходимой для удовлетворения хозяйственных нужд, растет;
Машиностроение находится в состоянии постоянного
развития, давая толчок к подъему в смежных отраслях. Внедряемые здесь инновации
перетекают в другие отрасли, что в результате положительно влияет на экономику
в целом;
Автомобильная промышленность состоит в числе
наиболее прибыльных для государства, принося в бюджет дополнительные вливания
за счет продаж на внутреннем и внешнем рынках, также способствуя росту
товарооборота;
Автомобильная промышленность относится к числу
стратегически значимых. Речь, в первую очередь, идет об оборонной
промышленности, использующей передовые разработки из области машиностроения для
увеличения военного потенциала.
На основе вышеперечисленного можно сделать
однозначный вывод о лидирующих позициях машиностроения в мировой экономике.
В автомобильной отрасли существует ряд
тенденций, по которым можно судить о важности ее роли и значимости связанных с
ней отраслей в экономиках промышленно развитых стран. Наблюдается новый подход
в техническом развитии автомобиля, организации и технологии его производства.
Вектор НИОКР в данной области направлен в сторону уменьшения расхода топлива и
снижения вредных выбросов, снижения массы, повышения безопасности, качества,
надежности и долговечности.
Около ста лет назад автомобильная промышленность
вызвала широкое производство товаров. Машиностроение, зародившись во Франции и
Германии, обрело современную форму лишь в США благодаря внедрению Генри Фордом
конвейера. Длительное время автомобилестроение было первым среди других
отраслей по уровню организации производственного процесса, за что было названо
«промышленностью промышленностей». Вместе с тем, данная отрасль первой
встретилась с большим возмущением покупателей (произошедшим в 60-е годы, когда
потребители посчитали американские автомобили небезопасными), а также с
повышением цен на нефть вследствие энергетического кризиса 70-х. Более того, контроль
со стороны государства со временем лишь рос, вводились новые стандарты: от
экологичности производства до вопросов антимонопольной политики.
Немаловажным фактором стало и то,
что автомобильная промышленность гарантирует высокий уровень занятости в странах
изготовления или продажи автомобилей. Страны, производящие автомобили,
гарантируют рабочие места также и другим странам, с которыми у них заключены
договора о сотрудничестве. Более того, немалая доля занятости приходится и на
смежные отрасли. В Америке, например, в сфере изготовления автомобилей, а также
на автотранспорте и в дорожном хозяйстве заняты 12,5 млн. человек, что
соответствует каждому шестому человеку, работающему в промышленности.
<#"908113.files/image001.jpg">
Рис. 1. Общее число произведенных
автомобилей в мире
Рис.2. Общее число произведенных автомобилей
В 2012 г. мировыми лидерами по производству
автомобилей являлись Китай, США, Япония и Германия. Южная Корея находились на
пятом месте, Россия - на одиннадцатом. В 2012 г. 22.9% от мирового объема
производства пришлось на Китай. В Японии в 2012 г. данный показатель составил
11.8% а в Германии - 6.7%. В США в 2012 г. произвели 12.3% от всех автомобилей,
а в России - всего 2.7%.
Рис.3. Топ стран производителей автомобилей
Рис.4. Топ стран производителей автомобилей
Стоит отметить динамику показателей производства
автомобилей по странам: в 2012 г. в Китае изготовили 22.9% автомобилей от их
общемирового производства; в 2011 г. данный показатель для Китая составлял
23.0%. Доля автомобилей, произведённых в Японии, выросла с 10.5% в 2011 г. до
11.8% от всех произведенных автомобилей в мире в 2012 г., Доля Германии на
рынке производства автомобилей упала с 7.9% в 2011 г. до 6.8% в 2012 г.
Количество автомобилей, произведённых в США, выросло с 10.8% в 2011 г. до 12.3%
в 2012 г. Вместе с этим число автомобилей, произведённых в США, увеличилось в
2012 г. на 19.4% г/г. За тот же период в Германии производство автомобилей
сократилось на 10.5% г/г. Наибольший рост производства наблюдался в Таиланде,
где число произведённых автомобилей увеличилось на 70.3% г/г.
В 2012 г. около 23.6% мировых продаж легковых
автомобилей пришлось на Китай. Второе место с 18.1% по продажам занимают США,
где в 2012 г. было продано около 14.76 млн. автомобилей. Примерно 6.6%
общемировых продаж в 2012 г. пришлось на Японию. Среди оставшейся семёрки
мировых лидеров продаж четыре места занимают страны Европы, в числе которых
Германия, Россия, Великобритания и Франция. Почти 15.3% общемировых продаж
автомобилей пришлось именно на эти четыре страны.
Рис.6. Топ стран по продажам
Рис.7. Топ стран по продажам
В 2012 г. резко возросли продажи автомобилей в
Японии, где по итогам года было продано на 27.5% больше автомобилей, чем годом
ранее. Этот факт связан с природной катастрофой в 2011 г., когда экономика
острова была поражена сильнейшими землетрясением и цунами. Рост продаж в США в
2012 г. составил 13.4% г/г, а продажи в Китае увеличились лишь на 4.3%. Стоит
отметить значительное снижение продаж автомобилей во Франции - на 13.2% г/г.
Подобное снижение продаж связано с кризисом в Еврозоне и с высоким уровнем
безработицы.
Основными игроками на рынке автомобильного
производства являются концерны Toyota, Volkswagen и General Motors. Замыкают
пятёрку лидеров Daimler и Ford. Выручка компании Toyota Motor в 2012 г.
составила около $272.76 млрд., продажи Volkswagen достигли отметки $254.03
млрд., а General Motors смогла выручить от продажи автомобилей в 2012 г.
примерно $152.25 млрд.
По итогам 2012 г. первые три места по
производству автомобилей поделили между собой три крупнейших мировых автоконцерна
- Volkswagen, GM и Toyota. При этом число автомобилей, произведённых Volkswagen
в 2012 г., выросло на 9.0% г/г, а General Motors и Toyota в 2012 г. произвели
на 2.9% и 3.7% автомобилей больше по сравнению с предыдущим годом. Наибольший
рост производства наблюдался на заводах компании Honda - 41.3% г/г.
Существенное падение продаж автомобилей во Франции в 2012 г. сопровождалось и
значительным падением числа произведённых автомобилей главным автомобильным
гигантом страны - PSA Peugeot в 2012 г. произвела на 16.5% меньше автомобилей,
чем годом ранее.
Отдельно выделим крупнейшие автоконцерны, а
именно: Toyota Motor, Volkswagen и General Motors.
Компания Toyota основана в 1937 г. в Японии,
занимается выпуском пассажирских, грузовых автомобили и автобусов под брендами
Toyota, Lexus, Scion, Daihatsu и Hino. В 2012 г. выручка компании составила
$272.76 млрд., а её рост год к году составил 18.7%. Чистая прибыль компании за
2012 г. увеличилась на 239.3% г/г и достигла отметки в $10.53 млрд. В 2012 г.
было продано около 7.44 млн. автомобилей под маркой Toyota. Данный показатель
превосходит результат 2011 г. на почти 3.7%. Toyota является одним из лидеров в
области применения гибридных технологий. В 1997 г. корпорация запустила
массовое производство модели Toyota Prius. Позже гибридные модификации
появились и у модели Camry, а также некоторых моделей Lexus. К 2030 г. компания
планирует перевести всю свою линейку автомобилей на гибридные технологии и
электродвигатели.
Вторым крупнейшим концерном является немецкая
компания Volkswagen Group. Как и Toyota, корпорация Volkswagen была основана в
1937 г. VW Group состоит примерно из 350 компаний, занимающихся производством
автомобилей и связанными с этим комплектующих. К Volkswagen относятся такие
бренды как Volkswagen, Audi, Seat, Skoda, Bentley, Bugatti, Lamborghini, Scania
AB, MAN AG, Porsche. Выручка концерна в 2012 г. увеличилась до $254.03 млрд.,
показав рост на 21.2% г/г. При этом чистая прибыль составила примерно $28.63
млрд., в то время как годом ранее данный показатель равнялся примерно $19.84
млрд., тем самым чистая прибыль выросла на 44.3% г/г. А вот продажи автомобилей
выросли в 2012 г. на 9.0%. За 2012 г. компания продала около 9.26 млн.
автомобилей.
Замыкает тройку крупнейших автопроизводителей
концерн General Motors. Компания начала свою работу намного раньше конкурентов
- еще в 1908 г. На данный момент корпорации принадлежат такие автомобильные
марки, как Cadillac, Chevrolet, GMC, Opel, Vauxhall. В 2012 г. компания продала
9.20 млн. автомобилей, что на 2.9% превышает соответствующий показатель за
предыдущий год.
Среди китайских производителей автомобилей
следует отметить FAW, Chery, Geely и Great Wall. Большинство автомобилей,
выпускаемых в Китае, производится по лицензии мировых брендов, например,
Volkswagen и GM. 10 заводов компании GM находятся в Азиатском регионе.
Volkswagen AG имеет 13 заводов по производству автомобилей и комплектующих к
ним в Азии. Вместе с этим, в последние годы заметны тенденции улучшения
качества китайской продукции. Свидетельством этому может служить повышение
спроса покупателей на автомобили из Поднебесной - в 2012 г. каждый четвёртый
автомобиль в мире был произведён в Китае.
.2 Особенности развития автомобилестроения в
России
РЫНОК ЛЕГКОВЫХ АВТОМОБИЛЕЙ
Оптовые продажи легковых автомобилей в
январе-декабре 2014 года сократились на 13,7%, по сравнению с январю-декабрю
2013 года и составляют 2 286,9 тыс. единиц. Сравнительный анализ структуры
рынка легковых автомобилей по их происхождению в 2014 и 2013 годах показывает
сокращение объемов продаж во всех сегментах рынка, кроме сегмента продаж
вторичных иномарок, объемы продаж которых в натуральном выражении выросли на
25%.
Продажи отечественных автомобилей в
январе-декабре 2014 года снизились на 13,8% до 431,7 тыс. ед., а их рыночная
доля осталась на уровне 18,9%. Продажи иномарок российской сборки составили 1
248,6 тыс. ед., а их доля расширилась с 51,3 до 54,7%. Совокупная доля продаж
автомобилей, собранных в России (отечественных и иномарок), увеличилась до
73,6% против 70,2% в январе-декабре 2013 года, при этом, общий объем продаж
сократился на 9,5 % до 1680,3 тыс.ед.
Рис.8 Структура российского рынка легковых
автомобилей
Продажи импортных новых иномарок сократились на
24,1% до 593,3 тыс. ед., а их доля на рынке снизилась с 29,5% в 2013 году до
25,9% по результатам 2014 года. Ввоз подержанных автомобилей не играет
какой-либо заметной роли на рынке, его доля в 2014 году составляет всего 0,6%;
(при выполнении расчета не учитываются поставки автомобилей в страны
Таможенного Союза - Белоруссию и Казахстан, по предварительной оценке, экспорт
из России новых легковых автомобилей в эти государства в январе-декабре 2014
года насчитывал 148,5 тыс.ед., против 102,4 тыс.ед. в январе-декабре 2013
года).
Примечание:
1. По данным Ассоциации европейского бизнеса,
общий объем дилерских продаж новых легковых и легких коммерческих автомобилей в
России в январе-декабре 2014 года составил 2491,404 тыс. ед., что на 10,3%
ниже, чем в январе-декабре 2013 года; при этом, рынок только легковых
автомобилей стал меньше на 10% (продажи легких коммерческих автомобилей в
январе-декабре 2014 года насчитывали 139,632 тыс. шт. против 164,956 ед. в 2013
году (-15,4% к АППГ).
. Импорт легковых автомобилей физическими
лицами, который не принимается в расчет рынка, насчитал в январе-декабре 2014
года 112,682 тыс. машин против 261,155 тыс. ед. годом ранее; из них на
подержанные машины пришлось 104,485 тыс.ед. и 201,605 тыс.ед. соответственно.
Рис.9 структура рынка автомобилей в денежном
выражении.
Как мы можем наблюдать из диаграмм и таблиц,
которые представлены выше, в 2014 году, по сравнению с 2013, доля иномарок
российского производства на рынке выросла с 48,6% до 56,8. Данная статистика
говорит нам о том, что инфраструктура российского автомобилестроения становится
все более привлекательной для производителей импортных машин. Кроме того, глядя
на эти показатели мы можем сделать вывод о том, что данная ситуация не повлияла
на долю отечественных автомобилей, как мне кажется, это очень положительная
тенденция.
РЫНОК ГРУЗОВЫХ АВТОМОБИЛЕЙ
Массовые продажи грузовиков, включая легкие
грузовики, в январе-декабре 2014 года упали на 26,8% в годовом исчислении до
211,433 тыс. ед. Упадок продаж зафиксирован во всех сегментах авторынка.
Отгрузки российских машин сократились на 21,8% до 110,131 тыс.ед., а их
рыночная доля выросла с 48,7% до 52,1%
Рис.10 Структура российского рынка грузовых
автомобилей по происхождению
Продажи иномарок, собранных в России,
уменьшились на 38,2% до 19,032 тыс. ед. при снижении их рыночной доли с 10,6%
до 9,0%. Общая доля продаж новых грузовиков (отечественных и иностранных,
произведенных в России) изменилась не на много и составила 61,1% в 2014 году.
Продажи новых грузовиков импортных марок уменьшился на 25,7% до 80,297 тыс.
ед., а их доля повысилась с 37,4% до 38,0%. Продажи импортированных подержанных
машин сократились в 4,85 раза до 1,973 тыс. ед., а их доля на рынке стала
меньше от 3,3% до 0,9%. Для справки: импорт грузовых автомобилей физическими
лицами, не принимаемый в расчет рынка, составил в январе-декабре 2014 года 2556
машин против 2785 ед. годом ранее; из них на выпущенные в данном году
автомобили пришлось 1483 ед. и 1786 ед. соответственно.
АВТОМОБИЛЬНАЯ ПРОМЫШЛЕННОСТЬ РОССИИ
Анализ деятельности предприятий
Рис.11 Динамика производства автомобильной
техники в % за 2013-2014 года.
В приведенной ниже таблице, мы можем наблюдать,
что в последнем месяце 2014 года по сравнению с ноябрем 2014 года мы видим рост
производства по грузовым и легковым автомобилям, автобусам и троллейбусам.
Таблица 1.
Динамика производства автомобильной техники
2013-2014 года.
ЛЕГКОВЫЕ АВТОМОБИЛИ
Производство легковых автомобилей за 12 месяцев
2014 года снизилась по сравнению с январем-декабрем 2013 года на 12,2%,
выпущено 1 692 505 шт. Выпуск отечественных легковых автомобилей в
январе-декабре 2014 года уменьшился на 21,6%, выпущено 416 181 шт. Уменьшено
производство автомобилей на ряде предприятий: Ульяновский автомобильный завод
выпустил 25 356 шт. (-7,0%), Супер-Авто - 883 шт. (-84,7%), на заводе «АвтоВАЗ»
производство автомобилей LАDА составило 317 997 шт. (-27,5%). ООО «ОАГ»
увеличило производство автомобилей LADA на 19,4%, произвели 69 187 шт. За 12 месяцев
2014 года на OOO «Лада Спорт» выпущено 2 643 автомобиля LADA Granta Sport (в
январе-декабре 2013 года - 523 шт.). Выпуск иномарок в январе-декабре 2014 года
уменьшился на 8,6%, выпущено 1 276 324 шт., в том числе предприятия, работающие
в режиме промышленной сборки, снизили выпуск на 7,1%, ывпустили 983 433 шт..
уменьшено производство автомобилей на следующих предприятиях: компания ИМС
выпустила 17 090 шт. (-22,8%), Форд Соллерс Елабуга - 19 712 шт. (-3,4%),
FORDMOTORCOMPANY - 27 281 шт. (-60,4%), АК Дервейс - 25 597 шт. (-48,5%),
GM-АВТОВАЗ - 45 777 шт. (-19,6%), ПСМА РУС - 45 203 шт. (-1,5%), предприятия
Приморского края (Соллерс-Буссан, Мазда Соллерс Мануфэкчуринг Рус) - 67 258 шт.
(-1,2%), ГК «Автотор» - 181 704 шт. (-25,2%), Фольксваген Груп Рус - 185 194
шт. (-1,5%), предприятия г. Санкт-Петербурга (Тойота Мотор, Дженерал Моторз
Авто, Ниссан Мэнуфэкчуринг Рус, Хендэ Мотор Мануфактуринг Рус) - 360 636 шт.
(-8,8%). ЗАО «Рено Россия» увеличило производство автомобилей на 5,3%, спустив
с конвеера 209 443 шт., с учетом контрактной сборки на АВТОВАЗе. ОАО
«Соллерс-Набережные Челны» за сентябрь-декабрь 2014 года выпустило 2 463
автомобиля Ford Eco Sport. Доля иномарок в общем выпуске легковых автомобилей в
России насчитывала в январе-декабре 2014 года 75,4% (в январе-декабре 2013 года
- 72,5%). Предприятия которые производят легковые автомобили в январе-декабре
2014 года реализовали 1 692 752 автомобиля, или 89,3% к уровню отгрузки за
январь-декабрь 2013 года.
ГРУЗОВЫЕ АВТОМОБИЛИ
Объем выпуска грузовых автомобилей, в том числе
легкие грузовики, за январь-декабрь 2014 года уменьшился на 25,9%, выпущено 150
194 шт. Выпуск российских грузовых автомобилей в январе-декабре стал ниже на
23,3%, выпущено 132 541 шт. Уменьшен выпуск грузовиков на предприятиях: КАМАЗ
выпустил 38 800 шт. (-9,5%), «ГAЗ» - 66 770 шт. (-30,2%), УАЗ - 17 520 шт.
(-26,7%), ПСА ВИС-Авто - 2 128 шт. (-49,9%), ЗТО Камея - 1 650 шт. (-32,1%),
Спектр-Авто - 1 380 шт. (-25,6%), Чайка-НН - 637 шт. (-18,9%), РИАТ - 643 шт.
(-5,2%), Бецема - 436 шт. (-27,1%).
Рост производства грузовиков за январь-декабрь
2014 года был замечен на предприятиях: завод «УРАЛ» выпустил 7 107 шт.
(+24,1%), Саранский завод автосамосвалов - 1 364 шт. (+4,8%), Брянский АЗ- 162
шт. (+7,3%).
Выпуск отечественных иномарок в январе декабре
2014 года стал меньше на 40,7% до 17 653 шт. уменьшили выпуск грузовых
автомобилей следующие предприятия: Форд Соллерс Елабуга - на 60,2%, выпустив 5
445 шт., Вольво Восток - на 53,3%, выпустив 1 874 шт., Мерседес-Бенц Тракс
Восток - на 42,5%, выпустив 1 499 шт., ФУЗО КАМАЗ Тракс Рус - на 33,2%,
выпустив 1 750 шт., Ивеко-АМТ - на 35,0%, выпустив 789 шт.. Рост производства
за январь-декабрь отмечен у производителей грузовиков иностранных марок: группа
компаний «Автотор» выпустила 2 763 шт. (в 2,3 раза), Соллерс-Исузу - 2 347 шт.
(в 2,3 раза). Доля иномарок в общем выпуске грузовых автомобилей в России
насчитывала в январе-декабре 2014 года 11,8% (в январе-декабре 2013 года -
14,7%). Предприятия-производители грузовых автомобилей в январе-декабре 2014
года реализовали 151 181 машину или 74,0% к уровню отгрузки за январь-декабрь
2013 года.
Рис.12Динамика производства автомобильной
техники в России, (в процентах)
Таблица 2.
Продажи новых легковых и легких коммерческих
автомобилей в России по маркам за периоды декабрь 2014/2013 и январь - декабрь
2014/2013 гг.
Таблица 3.
Продажи новых легковых и легких коммерческих
автомобилей в России в России по группам за периоды декабрь 2014/2013 и январь
- декабрь 2014/2013 гг.
Как мы можем видеть из данной таблицы доля
российских производителей (LADA, GAZLCV, UAZ, ZAZ, IZH) на рынке легковых и
легких коммерческих автомобилей составляет за январь- декабрь 2014 года
составляет 20,3%, в то время как в 2013 году доля отечественных производителей
составляла 21,4%. Данная статистика говорит о том, что доля отечественных
производителей на рынке снижается, это обусловлено множеством факторов, такими
как: низкая конкурентоспособность, устаревший модельный ряд, низкое качество
автомобтлей.
Многие эксперты утверждают, что это явления
временное так как, в конце 2014, в начале 2015 года отечественные производители
обновили модельный ряд, появились такие модели как ГАЗель NEXT, ГАЗон NEXT,
LADAVESTA, LADAX-RAY. По мнению производителей, данные модели способны
произвести фурор на рынке и исправить ситуацию.
По оценкам экспертов различных автомобильных
изданий и по словам инсайдеров все новые модели пользуются огромной
популярностью на рынке и продажи в начале 2015 года значительно превосходят
продажи предыдущих годов.
Таблица 4.
Экспортные поставки автомобильной техники

Рис. 13 Экспорт грузовых автомобилей по странам.
(кроме стран ТС) в 2014 г., (штук)
Как мы можем видеть из выше представленных
данных, российские автомобили (в том числе автомобили отечественной сборки)
пользуются большим спросом за рубежом, при том что автомобили, отправленные в
страны ТС, не учитываются в данной статистике.
Явным лидером в данном сегменте являются
автомобили марки “ГАЗ”.
Рис.14 Рейтинг
производителей грузовых автомобилей, включай легкие грузовики.
Как мы можем заметить из графика, которые
расположен выше, АЗ «ГАЗ»является явным лидером среди производителей в данном
сегменте грузовых и легких грузовых автомобилей. Но так же мы можем заметить,
что производство в 2014 году, сократилось по сравнению с 2013 годом, данная
тенденция характерна практически для всех крупных производителей.
Рис.15 Рейтинг производителей легковых
автомобилей.
Как мы можем видеть, согласно данному рейтингу
безоговорочным лидером среди производителей легковых автомоболие является
«АвтоВАЗ» (LADA) для данного завода так же характерна тенденция снижения
производительности в 2014 году по сравнению с 2013 годом.
Рис.16 Рейтинг производителей легких
коммерческих автомобилей.
Среди производителей
легких коммерческих автомобилей лидером так же является отечественная компания
АЗ «ГАЗ». В данном сегменте так же приоритетной является тенденция сокращения
производства среди крупных производимей.
.3 Перспективы развития автомобилестроения
Помимо экономических проблем интеграции, с которыми
сталкиваются автопроизводители, существуют иные проблемы, требующие срочного
решения. К ним относятся проблемы экологического характера и проблема
безопасности на дорогах.
Автотранспорт находится на лидирующих позициях
по объему загрязнения окружающей среды: каждый год около 17% парниковых газов в
атмосфере выделяется автомобилями. На данный момент все крупные производители
автомобильной продукции находятся в поисках более экологичных альтернатив. К
таким решениям относятся электродвигатели, гибридные установки, использующие в
своей основе два типа моторов - электродвигатель и двигатель внутреннего
сгорания. Помимо этого, ведётся постоянное усовершенствование и обычных ДВС. В
Евросоюзе, США и Китае уже разработана регламентация, согласно которой к 2020 г.
расход топлива у поставляемой компаниями продукции не должен превышать 4 литра
на 100 км., в то время как на данный момент этот показатель в среднем находится
на уровне 8-9 литров на 100 км. Помимо проблем экологического характера,
интерес к электродвигателям и аналогичным разработкам вызван также ростом цен
на нефть, используемой в производстве различных видов топлива. Главными
игроками рынка гибридных двигателей являются Toyota и Tesla Motors, которая
специализируется исключительно на электромобилях, спрос на которые растет из
года в год в свете вышеозначенных факторов. Так, выручка корпорации Tesla
Motors в 2012 г. увеличилась на 102.3% г/г, однако о выходе в точку
безубыточности речи пока не идет: при доходе в $413.36 млн. в 2012 г. и
себестоимости продукции в $383.19 млн., дополнительные $273.98 млн. были
потрачены на НИОКР. Аналогичная ситуация наблюдается практически каждый год.
Компания Toyota уже в 1997 г. начала серийный выпуск гибридной модели Prius и
до сих пор является одним из лидеров в области гибридных автомобилей.
Другой проблемой является борьба с ДТП.
Исследования в данном направлении ведутся крупнейшими компаниями уже многие
годы. Если в 1999 г. вероятность погибнуть в ДТП в России составляла 18.59%, то
в 2012 г. данный показатель упал до 13.74%. Последним шагом на пути снижения
уровня смертности до нуля станет создание “умного” автомобиля с автопилотом,
аналогичным самолетным. Подобные разработки ведут автоконцерны GM, Toyota и
Volkswagen. К 2020 г. GM планирует выпускать автомобили с автопилотом на
серийной основе.
К концу 2012 г. общемировые продажи автомобилей
с электродвигателями с момента начала их серийного производства составляли 190
тыс. шт., что составляет 0.02% от общего числа автомобилей на планете. Согласно
прогнозам, к 2020 г. число электромобилей увеличится до 20 млн. шт., а их доля
в общем числе автомобилей достигнет 2%. В 2012 г. продажи авто с
электродвигателями составили 113 тыс. шт., в то время как аналогичный
показатель в 2011 году равнялся всего лишь 45 тыс. шт., что эквивалентно росту
на 151.1%. Слабый спрос, а как следствие и распространение электромобилей на
мировом рынке, связан прежде всего с ограничениями, накладываемыми
энергоносителями, питающими двигатель. В большинстве случаев аккумуляторные
батареи, которыми оснащаются электромобили, позволяют преодолеть расстояние не
более 100 км. на одном заряде, после чего требуют продолжительной подзарядки.
Тем не менее, по мере развития технологий увеличивается как емкость
аккумуляторов, так и снижается расход энергии. Так, например, Tesla Model S
способна проехать на одном заряде аккумулятора около 480 км. на скорости до 90
км/ч. Для дальнейшего внедрения электромобилей и их повсеместного использования
потребуются не только существенные изменения в производственном процессе, но и
развитие инфраструктуры, а именно - создание обширных сетей станций подзарядки.
Ещё одним минусом автомобилей с электрическими
двигателями является их цена. На данный момент средняя стоимость автомобиля с
электрическим двигателем составляет $42,177, в то время как автомобиль,
работающий на бензине, в среднем стоит $19,170. Таким образом, на данный момент
электромобиль обходится почти на 120.0% дороже, чем его бензиновый аналог.
В США в 2012 г. было продано около 439 тыс. шт.
автомобилей с гибридными двигателями, в то время как продажи в 2011 г.
составляли примерно 250 тыс. гибридов, что равняется росту на 75.6%. На
гибридные автомобили пришлось примерно 10.7% от всех продаж в США в 2012 г.
Пока что данный сегмент автомобильной промышленности выглядит наиболее
перспективно, так как обеспечивает хорошее соотношение удобства, цены и
экологичности.
Раздел 3.
Исследование зависимости между развитием автомобилестроения и уровнем жизни
населения
Раздел посвящен исследованию зависимости между
развитием автомобилестроения и уровнем жизни населения. Уровень (качество)
жизни - обширная концепция, включающая в себя как объективные факторы
(например, обладание материальными ресурсами, здоровье, трудоустройство и
т.д.), так и наше субъективное представление о них. В рамках данной работы
акцент сделан на объективных факторах. Наша гипотеза заключается в том, что
между годовым объемом произведенных автомобилей и макроэкономическими
показателями, отражающими уровень жизни населения в конкретной стране, имеется
зависимость. С целью тестирования данной гипотезы будет проведен регрессионный
анализ, который позволит выявить статистическую значимость такой зависимости, а
также определить знак и абсолютную величину коэффициентов при соответствующих
показателях, что даст возможность сделать вывод о направлении и силе их
влияния.
3.1 Данные, используемые в исследовании
Набор переменных, способных отразить уровень
развития автомобилестроения в конкретной стране, невелик. Наш выбор пал на
количество произведенных в стране автомобилей за год, как пассажирских, так и
для коммерческих перевозок, по данным Международной организации производителей
автомобилей (International Organization of Motor Vehicle Manufacturers). Среди
причин такого выбора можно выделить непосредственную связь с объектом
исследования, доступность данных и прозрачную интерпретацию.
Для выбора объясняющих переменных, отражающих
уровень жизни населения, был использован отчет Комиссии по измерению
экономической активности и социального прогресса (CommissionontheMeasurementofEconomicPerformanceandSocialProgress)
за 2009 г., а также к работам Dowrick, Dunlop&Quiggin (2003),
Edwards&Tuljapurkar (2005), Cutler, Lleras-Muney&Vogl (2008), Deaton
(2008) и Stiglitz, Sen&Fitoussi (2009). В каждой из этих статей идет
обсуждение детерминантов качества жизни, в том числе и на макроуровне. После
анализа вышеперечисленной литературы и сопоставления результатов с доступными
данными, предоставляемыми Всемирным банком и Организацией экономического
сотрудничества и развития, были отобраны следующие переменные в качестве
объясняющих:
Валовый внутренний продукт (ВВП) на душу
населения. Бесспорно, является самым популярным и общепринятым показателем для
измерения экономической активности в определенный момент времени. Хотя
изначально ВВП и не предназначался для описания уровня жизни населения, в
соответствующей литературе данный показатель всегда выделялся как имеющий
непосредственное отношение к благосостоянию жителей конкретной страны. Несмотря
на все преимущества, ВВП имеет ряд недостатков. Основной проблемой является тот
факт, что ВВП измеряет производство количественно, но никак не затрагивает
распределение богатства и последствия производственных решений, проявляющиеся в
будущем. Из этого следует, что ВВП является лишь специализированным показателем
и не может рассматриваться в качестве индикатора общего благосостояния, поэтому
для проведения эмпирических исследований требуются дополнительные показатели. В
контексте данного исследования ВВП будет обладать двойственным эффектом. С одной
стороны, более высокий уровень ВВП означает развитость производства и должен
влечь за собой более высокий объем выпуска автомобилей. С другой стороны,
нельзя отрицать тот факт, что с точки зрения минимизации издержек размещение
производства имеет смысл в странах с дешевой рабочей силой, что может привести
к отрицательной зависимости между уровнем ВВП и объемом производства. В целом
ожидается, что влияние первого эффекта перевесит влияние второго, и коэффициент
при ВВП будет положительный, хотя возможно и небольшой по абсолютной величине.
Ожидаемая продолжительность жизни, уровень
детской смертности и расходы на здравоохранение на душу населения. Данные
показатели отвечают за аспект здоровья и развития медицины. Связь уровня жизни
со здоровьем вполне очевидна и четко зафиксирована в существующей литературе. В
контексте данного исследования ожидается, что между данными показателями и
количеством произведенных автомобилей установится положительная связь (кроме
уровня детской смертности, где зависимость должна быть отрицательной по
понятным причинам): в теории развитая медицина должна влечь за собой повышенную
производительность труда за счет снижения частоты заболеваний, времени
выздоровления и уровня смертности среди рабочих.
Процент рабочей силы, имеющий высшее образование
и затраты на НИОКР. Данные показатели отвечают за аспект образования и
технического развития. Автомобилестроение - высокотехнологичная область
промышленности, требующая как квалифицированной рабочей силы, так и применения
передовых исследовательских разработок. В контексте данного исследования
ожидаются положительные коэффициенты при данных показателях.
Процент городского населения. Данный показатель
отвечает за степень урбанизации, что в свою очередь непосредственным образом
влияет на уровень жизни. Городское население ассоциируется с более высоким
уровнем жизни по сравнению, например, с сельским, в то время как
урбанизированные страны ассоциируются с развитым производством, высоким уровнем
технологий и стандартами жизни по сравнению со странами с преобладанием
сельской местности. В контексте данного исследования ожидается положительный
коэффициент при данной переменной.
Уровень безработицы. Занятость и трудоустройство
- важный аспект при отражении качества жизни. Такой показатель, как уровень безработицы,
имеет много каналов влияния на уровень жизни, в том числе и через ВВП,
выражаясь в отклонении фактического уровня от потенциального. В контексте
данного исследования ожидается отрицательный коэффициент при данной переменной,
в том числе и за счет того, что развитое автомобилестроение предоставляет
дополнительные рабочие места.
Помимо вышеперечисленных переменных из общих
соображений в качестве контрольных переменных включены численность населения и
годовой объем продаж автомобилей.
Относительно функциональной формы данных в
работе, как и во многих схожих эмпирических исследованиях, можно пойти двумя
путями. Первый - взять временной ряд за некоторое количество лет по одной
стране. Второй - проводить исследование на кросс-секционных данных по нескольким
странам за один год. В первом случае имеем дело с ограничением на количество
наблюдений в виде небольшого числа лет, для которых будут доступны все
интересующие нас данные по выбранной стране. Во втором случае имеем дело с
ограничением на количество наблюдений в виде конечности числа существующих
стран, а также недоступности данных по многим из них. Важно понимать, что
недостаточное количество наблюдений повлечет за собой нерепрезентативность и
низкую достоверность результатов, поэтому в контексте данной работы был выбран
вариант с кросс-секционными данными, который давал размер выборки как минимум в
два раза выше в сравнении с временным рядом по одной стране.
В рамках данного исследования были собраны
кросс-секционные данные из вышеозначенных источников за 2013 г. как наиболее
свежие (для 2014 г. и последующих лет количество доступных наблюдений
значительно меньше). Собранные данные были очищены от пропущенных наблюдений и
выбросов. Из обширного набора доступной эконометрической литературы хорошо известно,
что к проблеме удаления выбросов стоит подходить с осторожностью в силу того,
что четкого критерия определения выбросов не существует. Нами были удалены лишь
самые очевидные из них, потенциально способные вызвать сильное смещение оценок,
а именно:
Годовой объем производства автомобилей менее
2000 шт (3 страны) и более 8000000 шт (2 страны);
Уровень детской смертности на 1000 человек более
40 (2 страны).
После очистки в итоговую выборку вошло 40 стран,
полный список которых представлен в таблице 5 в приложении. Итоговый список
переменных и их описание представлены в таблице 6.
Таблица 5.
Список стран, вошедших в итоговую выборку
|
Австралия
|
Марокко
|
|
Австрия
|
Нидерланды
|
|
Беларусь
|
Филиппины
|
|
Бельгия
|
Польша
|
Португалия
|
|
Канада
|
Румыния
|
|
Колумбия
|
Россия
|
|
Чехия
|
Сербия
|
|
Эквадор
|
Словакия
|
|
Египет
|
Словения
|
|
Финляндия
|
Южная
Африка
|
|
Франция
|
Республика
Корея
|
|
Германия
|
Испания
|
|
Венгрия
|
Швеция
|
|
Индонезия
|
Таиланд
|
|
Иран
|
Украина
|
|
Италия
|
Великобритания
|
|
Казахстан
|
Узбекистан
|
|
Малайзия
|
Венесуэла
|
|
Мексика
|
Вьетнам
|
Таблица 6.
Список используемых переменных
|
Переменная
|
Тип
|
Описание
|
Ожидаемый
знак
|
|
prod
|
объясняемая
|
Количество
произведенных автомобилей, шт
|
|
|
gdp
|
объясняющая
|
ВВП
на душу населения, долл
|
+
|
|
tert
|
объясняющая
|
Доля
рабочей силы, имеющая высшее образование, %
|
+
|
|
hcap
|
объясняющая
|
Расходы
на здравоохранение на душу населения, долл
|
+
|
|
mort
|
объясняющая
|
Уровень
детской смертности на 1000 человек, чел
|
-
|
|
unemp
|
объясняющая
|
Уровень
безработицы, %
|
-
|
|
lifeexp
|
объясняющая
|
Ожидаемая
продолжительность жизни, лет
|
+
|
|
urban
|
объясняющая
|
Доля
городского населения, %
|
+
|
|
rnd
|
объясняющая
|
+
|
|
pop
|
объясняющая
|
Численность
населения, чел
|
+
|
|
sales
|
объясняющая
|
Количество
реализованных автомобилей, шт
|
+
|
В таблице 7 представлена описательная статистика
итоговой выборки.
Таблица 7.
Описательная статистика по используемым
переменным
|
Переменная
|
Ср.
знач.
|
Станд.
отклон.
|
Минимум
|
Максимум
|
Медиана
|
|
prod
|
1070657
|
1467187
|
7703
|
5718222
|
457250
|
|
gdp
|
28903.76
|
12046.25
|
8614.08
|
46736.99
|
28160.52
|
|
pop
|
47400000
|
56000000
|
2059953
|
251000000
|
27600000
|
|
sales
|
906315.40
|
1198620
|
24000
|
5375513
|
353197
|
|
mort
|
6.93
|
6.05
|
2.10
|
24.40
|
3.85
|
|
unemp
|
8.29
|
3.18
|
3.10
|
16.50
|
7.40
|
|
urban
|
70.67
|
13.67
|
43.03
|
97.78
|
73.46
|
|
lifeexp
|
77.34
|
4.40
|
68.70
|
82.29
|
79.28
|
|
hcap
|
2550.90
|
1604.30
|
293.30
|
2272.49
|
|
rnd
|
1.58
|
1.10
|
0.08
|
4.15
|
1.39
|
|
tert
|
26.14
|
9.74
|
9
|
51
|
25
|
3.2 Методология
Для тестирования гипотезы о наличии зависимости
между количеством производимых автомобилей в год и уровнем жизни населения
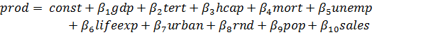
применим регрессионный анализ. Наша модель выглядит следующим образом:
Перед непосредственной оценкой методом
наименьших квадратов проверяем объясняющие переменные на предмет
мультиколлинеарности. Потенциальным источником мультиколлинеарности может
послужить зависимость между ВВП на душу населения и расходами на
здравоохранение на душу населения, а также попарные зависимости между ожидаемой
продолжительностью жизни, детской смертностью и расходами на здравоохранение на
душу населения. В таблице 8 представлены попарные корреляции объясняющих
переменных.
Таблица 8.
Попарные корреляции объясняющих переменных
|
gdp
|
pop
|
sales
|
size
|
mort
|
unemp
|
urban
|
lifeexp
|
hcap
|
|
gdp
|
1
|
|
|
|
|
|
|
|
|
|
pop
|
-0.34
|
1
|
|
|
|
|
|
|
|
|
sales
|
0.34
|
0.54
|
1
|
|
|
|
|
|
|
|
size
|
0.00
|
0.38
|
0.49
|
1
|
|
|
|
|
|
|
mort
|
-0.70
|
0.66
|
-0.06
|
0.15
|
1
|
|
|
|
|
|
unemp
|
-0.16
|
-0.20
|
-0.27
|
-0.23
|
-0.10
|
1
|
|
|
|
|
urban
|
0.61
|
-0.14
|
0.33
|
0.08
|
-0.53
|
-0.24
|
1
|
|
|
|
lifeexp
|
0.64
|
-0.41
|
0.22
|
-0.26
|
-0.67
|
0.15
|
1
|
|
|
hcap
|
0.69
|
-0.31
|
0.33
|
-0.04
|
-0.66
|
-0.11
|
0.61
|
0.68
|
1
|
Как и ожидалось, попарные корреляции переменных,
вызывавших опасение, оказались довольно высоки. Тем не менее, было принято
решение оставить все имеющиеся переменные в модели в силу того, что их отбор
производился на основе авторитетной литературы.
Оценки коэффициентов, полученные методом
наименьших квадратов, а также скорректированный коэффициент детерминации
представлены в таблице 9.
Таблица 9.
Оценки коэффициентов
|
Переменная
|
Коэффициент
|
|
gdp
|
37.4**
|
|
tert
|
19095.6**
|
|
healthcap
|
152.7*
|
|
mort
|
-7780.2**
|
|
unemp
|
-25271.7**
|
|
lifeexp
|
29553.4*
|
|
urban
|
17770.2**
|
|
rnd
|
317599.8**
|
|
pop
|
0.014**
|
|
sales
|
0.951***
|
|
Adjusted
R-squared: 0,6598
|
Примечание: *** - 1% уровень значимости, ** - 5%
уровень значимости, * - 10% уровень значимости.
Видим, что полученные оценки коэффициентов для
интересующих нас переменных в большинстве своем значимы на 5% уровне значимости
(кроме расходов на здравоохранение на душу населения и ожидаемой
продолжительности жизни, которые значимы на 10% уровне значимости). В силу
того, что в модели используется довольно большое количество объясняющих переменных
(10), вместо обычного коэффициента детерминации был посчитан скорректированный,
который дает штраф за включение дополнительных переменных в модель. Данный
показатель составил 0.6598, что является довольно высоким значением для
эмпирических исследований такого рода.
.3 Обсуждение полученных результатов
В результате проведенного регрессионного анализа
было получено доказательство статистически значимой связи между количеством
произведенных автомобилей и показателями, отвечающими за уровень жизни населения,
тем самым подтверждая ранее выдвинутую гипотезу. Знаки оценок коэффициентов
совпали с ожидаемыми, а значит согласуются с теоретическими соображениями.
Проинтерпретируем полученные результаты:
Увеличение ВВП на душу населения на 1 долл.
соответствует увеличению количества производимых автомобилей на 37.4 шт. в
среднем при прочих равных;
Увеличение доли рабочей силы, имеющей высшее
образование, на 1% соответствует увеличению количества производимых автомобилей
на 19095.6 шт. в среднем при прочих равных;
Увеличение расходов на здравоохранение на душу
населения на 1 долл. соответствует увеличению количества производимых
автомобилей на 152.7 шт. в среднем при прочих равных;
Увеличение уровня детской смертности на 1000
человек на 1 чел. соответствует уменьшению количества производимых автомобилей
на 7780.2 шт. в среднем при прочих равных;
Увеличение уровня безработицы на 1%
соответствует уменьшению количества производимых автомобилей на 25271.7 шт. в
среднем при прочих равных;
Увеличение ожидаемой продолжительности жизни на
1 год соответствует увеличению количества производимых автомобилей на 29553.4
шт. в среднем при прочих равных;
Увеличение доли городского населения на 1%
соответствует увеличению количества производимых автомобилей на 17770.2 шт. в
среднем при прочих равных;
Увеличение расходов на НИОКР в процентах от ВВП
на 1% соответствует увеличению количества производимых автомобилей на 317599.8
шт. в среднем при прочих равных.
На основе полученных результатов можно сделать
следующие выводы:
Инвестиции в науку и образование играют важную
роль в развитии автомобилестроения. Большое по абсолютной величине значение
коэффициента при расходах на НИОКР говорит о высокой отдаче вложений в данную
сферу.
Развитое автомобилестроение ассоциируется с
высокими значениями ВВП на душу населения как с показателем, отражающим
развитость производства в целом.
Страны с высокой степенью урбанизации
представляют собой более благоприятную среду для развития автомобилестроения.
Качество медицины и в частности инвестиции в
здравоохранение оказывают значимое влияние на автомобилестроение. Программы
модернизации данной сферы, направленные на увеличение продолжительности жизни
населения и снижение смертности, могут среди прочего дать толчок к развитию
автомобилестроения.
Заключение
Автомобильная промышленность является динамично
развивающейся отраслью. Своего пикового потенциала она достигает в
развивающихся странах, но и в развитых играет весьма важную роль. На данный
момент в 48 странах мира имеется 407 заводов для производства широкого спектра
автомобилей под самые различные задачи. Многие эксперты прогнозирует двукратный
рост объема производства в следующие 20-25 лет.
На основе данных, которые были представлены в
работе, мы можем сделать вывод о том, что автомобилестроение является ведущей
отраслью в экономиках многих государств. Безусловно, кризис 2008 - 2009 гг.
сильно пошатнул стабильность данной отрасли. Несмотря на это, согласно
представленным данным, автомобилестроение сумело вернуться на докризисные
показатели и превзойти их.
В настоящей работе мы исследовали зависимость
развития автомобилестроения от уровня жизни населения. В результате
проведенного регрессионного анализа подтвердилось наличие статистически
значимой связи между годовым объемом произведенных автомобилей и показателями,
отражающими уровень жизни населения. В частности, было выявлено, что развитые
сферы образования и здравоохранения, высокие расходы на НИОКР, высокая степень
урбанизации и низкий уровень безработицы создают благоприятную среду для
развития автомобилестроения. Полученные результаты могут быть использованы при
разработке и анализе государственных программ, направленных на модернизацию
сферы автомобилестроения, а также могут послужить отправной точкой для
углубленных исследований влияния детерминантов качества жизни на
автомобилестроение.