Прогнозирование цен на рынке жилой недвижимости регионов России
Содержание
Введение
Глава 1. Теоретические основы прогнозирования цен на
недвижимость
.1 Специфика ценообразования на рынке недвижимости
.2 Факторы влияния на стоимость недвижимости
.3 Модели оценки объектов недвижимости
Глава 2. Эконометрическое моделирование цен на недвижимость
.1 Интегрированная модель авторегрессии-скользящего среднего
.2 Многофакторная регрессионная модель
Глава 3. Построение моделей прогнозирования цены на
недвижимость в регионах
.1 Построение ARIMA-моделей
.1.1 Модель средней цены Белгородской области
.1.2 Модель средней цены Воронежской области
.1.3 Модель средней цены Тульской области
.2 Построение многофакторных регрессионных моделей стоимости
жилья
.2.1 Регрессионная модель Белгородской области
.2.2 Регрессионная модель Воронежской области
.2.3 Регрессионная модель Тульской области
.3 Выводы по моделям прогнозирования цен для регионов
Заключение
Список литературы
Введение
Улучшение эффективности государственного управления в сфере недвижимости
можно достичь за счет надежных оценок, которые показывают, как настоящее
состояние рынка, так и потенциально возможное. Цена объектов недвижимости
подвергается воздействию множества факторов, которые работают на разных уровнях
глубины исследования: например, факторами могут выступать характеристики
конкретного объекта недвижимости, региональные факторы, которые не связаны с
объектом напрямую, но влияют на ситуацию и тенденции на рынке недвижимости.
Немаловажную роль играет оценка недвижимости на уровне регионов, так как
в целом рынок в своей основе носит региональный характер и отражает
значительную область территориального управления. В таком разрезе речь может
идти о развитии рынка недвижимости с помощью жилищных программ, стимулировании
строительной деятельности и инвестиций, развитии доступности ипотечного
кредитования.
За счет проведения мероприятий в указанных направлениях, государство и
региональные институты управления могут успешно воздействовать на рынок
недвижимости на региональном уровне. Однако зачастую можно наблюдать недостаточную
эффективность проводимых программ в связи с недостаточной развитостью аналитики
в данной сфере, которая бы учитывала индивидуальные особенности и
характеристики регионов. При этом в итоге решающую роль в вопросах
планирования, деятельности и развития рынка недвижимости играет государство.
Ценовая ситуация, которая отражается в средних ценах на первичном и
вторичном рынках, является целевым объектом для оценки и прогнозирования в
рамках исследования рынка недвижимости. На основе средних цен в регионах происходит
установление цен на рынке недвижимости на уровне государства в целом. Данные
показатели учитываются при прогнозировании рыночной цены недвижимости, которая
важна при планировании социальной политики (расчет различных выплат, средств
бюджета на строительство жилых помещений и т.д.); осуществлении сравнения
регионов, что может помочь в устранении различий в развитии регионов; в
разработке субъектами рынка недвижимости вспомогательных техник выбора
стратегических действий для развития и совершенствования жилищной сферы; при
расчете налоговых поступлений в бюджеты разных уровней и т.д.
Безусловно, с целью улучшения эффективности проводимых на рынке
недвижимости мероприятий возникает также и необходимость в моделях оценки,
которые бы использовались при проведении исследований рынка недвижимости. Тем
не менее, в процессе изучения материалов по тематике прогнозирования
недвижимости было замечено, что в основном анализу подвергается воздействие
различных факторов на цены жилых объектов в рамках отдельных городов, в то
время как исследований воздействия социально-экономических показателей на
уровне регионов практически не проводится.
Вышесказанные аспекты отражают актуальность выбранного направления
исследования.
Теоретические основы функционирования рынка недвижимости, факторы, его
формирующие, элементы, структура и направления развития, вопросы управления и
регулирования рассматриваются в работах Е.И. Тарасевич, В.А. Горемыкин, А.Н.
Асаул, Д.Л. Волков и др.
Методология статистических и эконометрических исследований экономических
процессов, в том числе и в рамках сферы недвижимости, освещены в работах С.В.
Грибовского, С.А. Айвазяна, Т.А. Ратниковой, Т.А. Дуброва и др.
Моделирование и прогнозирование ситуации на региональных рынках
недвижимости, рассмотрение аспектов их функционирования проводилось в работах
А.С. Ореховой, Г.М. Стерника, К.Н. Золотухиной, Е.Б. Денисенко, Н.А. Ярушкиной,
О.А. Мамаевой и др.
Несмотря на широкий спектр работ, посвященных вопросам развития рынка
жилой недвижимости, особое внимание в рамках исследования на основе
экономико-математического моделирования уделяется решению отдельных вопросов
рассматриваемой проблемы. Вместе с тем, для получения адекватной модели цены
недвижимости на региональном уровне необходимо уделять внимание как общим
факторам, воздействующим на рынок, так и субъективным характеристикам регионов.
Существенная социально-экономическая важность стоимостной оценки,
исследования и анализа влияния на рынок жилой недвижимости на уровне регионов
определяют цель и задачи данного исследования.
Целью данного исследования выступает разработка математических моделей для
оценки и прогнозирования цены первичной недвижимости на региональном уровне.
Для достижения данной цели были поставлены следующие задачи:
. Изучить особенности функционирования региональных рынков жилой
недвижимости.
2. Изучить подходы и модели, применяемые для прогнозирования цен на
недвижимость.
. Выделить значимые факторы, отражающие процессы ценообразования
на рынках жилой недвижимости в регионах.
. Построить модели стоимостной оценки жилой недвижимости для
регионов, учитывающие как индивидуальные характеристики регионов, так и
общеэкономические показатели.
. Построить ретроспективный прогноз на основе построенных моделей.
. Оценить прогностическую способность построенных моделей.
Объектом исследования служит рынок жилой недвижимости регионов
России.
Предметом исследования является прогнозирование цен на жилую
недвижимость первичного рынка на региональном уровне.
Методы исследования включали: теоретические методы (анализ, синтез,
сравнение, обобщение, моделирование), эмпирические (измерение, наблюдение,
сравнение), статистические, математические.
Информационной базой исследования служат открытые данные Федеральной
службы государственной статистики в период с 1998 по 2015 гг.
В качестве инструментов для работы с данными и построения моделей
использовались следующие статистические пакеты: IBM SPSS Statistics 22, EViews
7, Statistica 10.
Глава 1.
Теоретические основы прогнозирования цен на недвижимость
.1
Специфика ценообразования на рынке недвижимости
Рынок недвижимости можно рассматривать как систему, обеспечивающую
поддержку и контроль отношений в рамках процессов аренды, купли и продажи,
формируемые спросом и предложением.
Рынок недвижимости подразделяется на следующие подкатегории:
· Жилая недвижимость;
· Коммерческая недвижимость, приносящая доход собственнику
(торговые, складские, офисные помещения и т.д.);
· Рынок земельных участков.
Кроме того, выделяют первичный и вторичный рынки недвижимости.
К первичному рынку относятся новые помещения, только что построенные.
Операции по продаже осуществляют застройщики и инвесторы, выделяющие средства
на строительные работы.
Вторичный рынок составляют объекты недвижимости, бывшие в использовании
по основному назначению.
Рынок первичного использования показывает объем созданной недвижимости,
объем вторичного рынка характеризуется следующими факторами:
· Обеспеченность населения;
· Мобильность трудовых ресурсов;
· Прибыльность инвестиционных объектов;
· Бытовые события (смена места жительства, свадьба, развод и
т.д.).
Перемены и трансформации устройства вторичного рынка в регионах
происходят весьма редко и, как правило, являются следствием преобразований в
составе населения (прирост населения, миграционные процессы и т.д.) или в связи
с переменами регионального экономического положения (остановка деятельности
предприятий, изменения экологической ситуации). В связи с этим наибольшей
важностью для экономики обладают тенденции именно первичного рынка: через его
увеличение проявляется расширение фонда недвижимости и достигается равновесие
на рынке. Мероприятия, проводимые государством в области недвижимости, способны
воздействовать на масштаб и структуру рынка недвижимости (например,
стимулирование аренды за счет повышения налога на имущество).
Переход к рыночной экономике превратил объекты недвижимости в товар, к
которому могут быть применены операции купли-продажи, следовательно, возникает
необходимость в понятии стоимости. При этом система цен недвижимости имеет свои
особенности. Цена объекта складывается из ряда взаимосвязанных факторов,
которые учитываются экспертами-оценщиками. К таковым факторам относятся:
· Индивидуальные факторы объекта недвижимости;
· Особенности внешней среды рынка;
· Фактор спроса и предложения;
· Факторы пользователя объекта недвижимости;
· Фактор целевого назначения объекта.
Степень влияния каждого из факторов зависит от конкретной ситуации, тем
не менее необходимо учитывать весь спектр при проведении оценки объекта
недвижимости.
Фактор спроса и предложения оказывает наибольшее влияние на рыночную
стоимость, как и для любого другого товара на рынке. Спрос характеризуется
качеством объектов, которые по установившейся рыночной стоимости в данный
момент времени могут и готовы купить заинтересованные лица. Предложение
выражается числом объектов, которое представлено на рынке в текущий момент по
некоторой цене. Уровень цен на рынке формируется из соотношения спроса и
предложения.
Рынок жилой недвижимости характеризуется высокой стоимостью объектов
недвижимости и низкой эластичностью предложения по цене: при сдвигах в ценах на
жилые объекты объем предложения практически не изменяется. Такое поведение
связано с длительностью стадии строительства. В связи с этим присутствует
непрерывная связь между переменами в спросе и предложении. В случае роста
спроса на жилые объекты, реакция (рост) предложения происходит только через 1-2
года; при падении спроса строительные работы не прекращаются, так как
понесенные затраты весьма высоки. Такая связь между спросом и предложением
влечет за собой рассмотрение стоимости как главный фактор, регулирующий и
уравновешивающий спрос и предложение на рынке. Отсюда возникает опасность
возникновения ситуации, при которой рыночная стоимость объекта будет превышать
справедливую рыночную цену. В том случае, если государство не осуществляет
корректирующей политики для сглаживания такового положения, это может повлечь
за собой увеличение амплитуды экономических циклов. В условиях экономического
ослабления правительство должно проводить мероприятия для стимуляции интереса к
приобретению жилья.
В то же время, за периодом расцвета рынка жилья может последовать
ситуация "перегрева", когда существенный рост объемов инвестиций в
строительство станет нерентабельным на фоне ухудшения экономического положения
и несоответствия объемов спроса изначально предполагаемому уровню. Поэтому
меры, предпринимаемые государством, должны быть максимально продуманными в
случае, если потребуется влияние на дестабилизирующие процессы в сфере
недвижимости и строительства. Данный вопрос становится также немаловажным с
ростом распространения ипотечного кредитования, поскольку в условиях
экономического упадка наблюдается рост безработицы и падение доходов населения,
что влечет за собой затруднения с исполнением кредитных обязательств со стороны
заемщиков.
Преимущественно цены зависят от возможностей инвесторов. Спрос на рынке
недвижимости в большей степени подвержен изменениям, нежели предложение, так
как падение или рост денежной массы занимают меньшее время, чем строительство
новых объектов, которые формируют измененный объем предложения.
Можно выделить ряд факторов, которые учитываются при покупке
недвижимости:
· Полезность. Объект недвижимости представляет собой некоторую ценность для
заинтересованного в нем лица. Владение объектом может быть полезно для ведения
коммерческой деятельности, для удовлетворения социальных или индивидуальных
потребностей.
· Взаимозаменяемость. Возможность выбора или замещения,
присутствие на рынке объектов с точно такими же характеристиками влияет на
ценность для покупателя.
· Ожидания. Данный фактор отражает изменения ценности объекта
со временем - ценность объекта, который может приносить доход, характеризуется
объемом денежного потока, предполагаемого от владения им или перепродажи.
Объекты недвижимости находятся в свободном гражданском обороте и могут
выступать в качестве объектов сделок различного рода, откуда возникает
необходимость в определении их стоимости, т.е. оценки денежного эквивалента
конкретного объекта в отдельный момент времени.
Рынок недвижимости представляет собой совокупность процессов,
обеспечивающих создание, передачу, использование и финансирование недвижимого
имущества. Среди факторов, влияющих на развитие рынка, можно выделить
следующие:
· Текущий или потенциальный экономический подъем;
· Финансовые ресурсы для приобретения прав на недвижимость;
зависят от экономического состояния отдельного региона (производственное
развитие, кризис, застой и т.д.), наличие рабочих мест;
· Связь экономических перспектив района и цен на недвижимость;
в некоторых регионах могут наблюдаться застойные явления в связи с упадком или
изменением территориального положения промышленных объектов, что влечет за
собой дисбаланс на рынке недвижимости.
Также на рынок недвижимости оказывают воздействие особенности
государственного регулирования, общая экономическая ситуация,
микроэкономическое положение, состояние социальной сферы и экологическая
обстановка в регионе.
На уровни цен на первичном и вторичных рынках оказывают воздействие:
· Макроэкономические показатели (курсы валют, цены на нефть, акции и т.д.);
· Уровень жизни;
· Себестоимость строительства;
· Доступность ипотечного кредитования, субсидирования;
· Политика местных властей в области недвижимости и
строительства.
· Платежеспособность населения.
Оценка стоимости представляет собой трудоемкий процесс формирования
денежного эквивалента объекта недвижимого имущества. Данная процедура
предполагает высокую квалификацию оценивающего лица, владение необходимыми
навыками, инструментами, знаниями правовой сферы, а также информированность
относительно ситуации на рынке, в особенности в рассматриваемом сегменте.
Необходимость в оценке объектов недвижимости возникает при:
· Процедурах покупки, продажи или сдачи в аренду;
· Планировании инвестиционных проектов и привлечении
инвесторов;
· Страховании недвижимости;
· Налогообложении объектов недвижимости;
· Исполнении юридических предписаний (права наследования,
приговор, решение имущественных споров и т.д.);
· Кредитовании под залог объектов недвижимости;
· Иные операции над недвижимым имуществом.
.2 Факторы
влияния на стоимость недвижимости
В зависимости от этапа процесса оценки объектов, выделяются различные
факторы, которые лежат в основе изменений цен на недвижимость. Данные факторы
можно распределить по трем уровням.
Первый уровень - глобальный, представляет собой результат влияния следующих
групп факторов:
. Политических;
2. Экономических;
. Социальных;
. Географических/экологических.
К данному уровню относятся факторы, которые не имеют прямого отношения к
объекту оценки (не являются его характеристиками), представляют собой внешние
рычаги влияния, но оказывают воздействие на процессы рынка недвижимости и, как
следствие, на рассматриваемый объект.
К социальным факторам данного уровня относятся:
· Структура населения;
· Демографические показатели;
· Плотность заселения;
· Уровень развития культуры и образования.
К экономическим факторам данного уровня относятся:
· Уровень качества жизни населения;
· Предложение и спрос рынков;
· Строительные инвестиции;
· Налоги на недвижимость;
· Развитие строительства.
К географическим/экологическим факторам данного уровня относятся:
· Расположение;
· Экология;
· Природные ресурсы.
Местоположение играет важную роль, поскольку некоторые ЗОНЫ могут быть
ограничены в использовании с связи с условиями охраны окружающей среды, а
возможная сейсмическая опасность должна учитываться при проектировании построек
и планировании затрат на их возведение.
К политическим факторам данного уровня относятся:
· Ипотечное и налоговое законодательство;
· Кредитная политика;
· Политическая стабильность.
Второй уровень - факторы локального уровня в рамках города или района,
имеют прямое отношение к объекту недвижимости. Характерные группы факторов:
. Условия финансирования;
2. Местоположение объекта;
. Физические особенности недвижимого имущества.
К факторам местоположения данного уровня относятся:
· Транспортная доступность;
· Окружение;
· Наличие социально-культурных объектов;
· Расположение относительно плана города (района).
Развитая система общественного транспорта, а также наличие стоянок для
автомобилей повышает стоимость объектов недвижимости.
К физическим факторам данного уровня относятся:
· Комфортность объекта;
· Функциональная пригодность;
· Уровень развития коммунальных услуг;
· Качество строительства и эксплуатации;
· Физические свойства объекта.
Характеристики состояния объекта играют важную роль в ценообразовании,
также как доступность и качество предоставления коммунальных услуг.
К условиям финансирования относятся:
· Условия кредитования;
· Процентные ставки;
· Условия предоставления средств.
Третий уровень - факторы, характеризующие объект недвижимости.
Архитектурно-строительные факторы отражают объемно-планировочные показатели -
соответствие климатическим требованиям, требованиям планировки, освещенности,
внешнего вида и т.д. Цели, для которых планируется использование объекта,
накладывают требования к его планировке и размещению, поэтому необходимо
проверять соответствие характеристик предполагаемой функции объекта
недвижимости.
К финансово-эксплуатационным факторам относятся:
· Затраты на строительство;
· Затраты на эксплуатацию;
· Доходы.
Влияние данных показателей необходимо учитывать в зависимости от уровня
детализации оценки, поскольку оказываемое воздействие может осуществляться на
отдельных этапах.
.3 Модели
оценки объектов недвижимости
Изучение литературы показало, что индивидуальной оценке стоимости
отдельного объекта или массовой оценке ряда объектов посвящено достаточно много
исследований, выработаны подходы и методы анализа, составлены эффективные
модели. Тем не менее, прогнозированию и моделированию ценообразования на рынке
недвижимости на уровне регионов уделяется весьма мало внимания. Далее
рассмотрим подходы к моделированию и построению моделей прогнозирования, которые
применяются для региональных рынков.
. Модели на основе анализа трендов. Применимы в условиях стабильного
развития рынка недвижимости.
.1. Модели, использующие тренды, построенные по данным цен на объекты
недвижимости, которые интерполируются функциями различной степени сложности.
При данном подходе не учитываются внутренние рычаги изменений цен, в связи с
чем такой подход не гарантирует высокую степень точности в прогнозах. Высокая
степень полинома влечет за собой неустойчивость прогноза и большие ошибки по
сравнению с моделями более простой структуры. Применение кусочного тренда
снижает объем выборки на каждом промежутке, что сказывается на точности
приближения и качестве прогноза. Такой метод рационально использовать только в
том случае, если существуют периоды времени, в течение которых наблюдается
некоторая закономерность при изменениях цен, а также при применении методов
компонентного разложения временного ряда для последующего анализа сезонной
составляющей.
1.2. Авторегрессионные модели, в основе которых лежат связи между
текущими значениями рассматриваемого временного ряда и значениями этого же ряда
в некоторые предшествующие моменты времени. Также считается, что характер
изменения стоимости не меняется., наблюдается равновесие спроса и предложения,
характерное для саморегулирующегося баланса на рынке. Прогнозы на основе
авторегрессии можно рассматривать в рамках стабильных процессов (модели
применимы только для стационарных рядов), когда можно предполагать, что в
прогнозный период не возникнет значительных событий, изменения цен будут
происходить с сохранением прошлых тенденций. Возникновение внезапных кризисных
ситуаций влечет за собой нарушения установившихся механизмов изменения цен, и
требует в таком случае исследования скрытых рычагов, управляющих динамикой цен.
2. Модели на основе статистического подобия процессов. В основе лежит
предположение, что экономическая система циклична. Использование данного
подхода эффективно как во время, так и после кризиса. Тем не менее, минусом
такого рода моделей является невозможность учета особенностей отдельных
регионов (географическое расположение, экологические условия и т.д.), которые
напрямую влияют на формирование цен рынка недвижимости.
3. Модели кластерного и факторного анализа.
3.1. При использовании кластерного анализа модель формируется за счет
последовательных или параллельных сечений исходной выборки данных (группировка,
стратификация) по ценоопределяющим факторам, которые в большей степени
коррелируют с ценами объектов, и вычисления коэффициентов модели на основе
сравнения средних значений усеченной и исходной выборок. Происходит
формирование групп объектов (кластеров) на основе общего сходства некоторых
признаков отдельных объектов. Для каждого кластера вычисляется средняя цена,
которая при определенных условиях может быть установлена в качестве рыночной
для элементов этой группы. Модели данной категории также не предоставляют
возможности определить факторы, воздействующие на механизм ценообразования в
сфере недвижимости.
3.2. Модель факторного анализа формируется за счет перехода от
наблюдаемых показателей к обобщающим факторам, применимым в дальнейшем в
корреляционно-регрессионном анализе. В первую очередь факторный анализ работает
как первичная обработка и анализ данных для дальнейшей оценки и не предполагает
функционирование как самодостаточный метод прогнозирование.
.3. Использование факторного и кластерного анализа
"сжимает" собранные в ходе наблюдения данные, поскольку из всего
объема информации выделяются средние или факторные данные, что снижает объем
случайных отклонений от "истинных" данных. Таким образом можно весьма
эффективно определить закономерности рынка недвижимости и на их основании
построить более надежные модели оценки.
4. Нейросетевое моделирование. Для построения нейронной сети размер
выборки, на которой проводится "обучение" сети, должна быть довольно
большого объема и иметь одну моду. Также для каждого отдельного региона
необходимо проводить "переобучение" сети или построение новой. Тем не
менее, нейросетевые модели в области недвижимости показывают слабые
прогностические способности [15].
5. Пространственно-параметрическое моделирование. Подход
предполагает, что большая часть цены определяется некоторым рядом значимых
показателей, для которых осуществляется проверка статической значимости их
средних значений. Применять метод целесообразно для развитых рынков, так как
для слаборазвитых и неоднородных рынков результаты неэффективны.
. Экспертная оценка. Основана на знаниях и опыте оценщика,
надежность такого прогноза зависит от квалификации эксперта. Отсюда вытекает и
недостаток - прогноз носит субъективный характер.
Изучение методов, используемых при оценке и прогнозировании процессов на
рынке недвижимости показало, что наиболее распространенным методом является
эконометрический подход.
Глава 2.
Эконометрическое моделирование цен на недвижимость
В рамках данной работы производится построение моделей двух видов -
интегрированная модель авторегрессии - скользящего среднего и многофакторная
модель регрессии, в связи с чем в данной главе рассматриваются принципы и
эконометрические основы построения и анализа данных моделей прогнозирования.
.1
Интегрированная модель авторегрессии-скользящего среднего
Внутренняя структура динамического ряда, зависимость уровня yt от
предыдущих его значений yt-1, yt-2, ..., yt-p описывается
авторегрессионной функцией:
где р - порядок авторегрессии;
ap
- коэффициент авторегрессии.
Процесс авторегрессии порядка р функционально связан с автокорреляционной
функцией
где p = 1,2,...m - лаг автокорреляции (сдвигание yt на p значений
назад);
r0=1
В модели ARIMA уровень динамического ряда yt определяется как взвешенная
сумма предыдущих его значений и значений остатков et - текущих и предыдущих.
Она объединяет модель авторегрессии порядка р и модель скользящей средней
остатков порядка q. Тренд включается в ARIMA с помощью оператора конечных
разностей ряда yt. Для фильтрации линейного тренда используют разницы первого
порядка, для фильтрации параболического тренда - разницы второго порядка и т.д.
Разница d должна быть стационарной.
Вид модели ARIMA, адекватность ее реальному процессу и прогнозные
свойства зависят от порядка авторегрессии р и порядка скользящей средней q. В
стандартной методике ARIMA идентификация сводится к визуальному анализу
автокоррелограмм и основывается на принципе экономии, по которому (p + q)
<= 2.
Модель ARIMA порядка (р, d, q) достаточно гибкая и описывает широкий
спектр несезонных процессов. При наличии сезонных колебаний в модели
учитывается их периодичность с лагом s (для квартальных данных s = 4, для
помесячных s = 12), и аналогичного смысла параметрами (P, D, Q)s. Порядок
мультипликативной модели ARIMA составляет (p, d, q)(P, D, Q)s.
Самые простые виды моделей ARIMA:
· (1,0,0) - авторегрессионная функция;
· (0,1,0) - скользящая средняя;
· (1,0,1) - комбинированная модель авторегрессии и скользящей
средней;
· (0,1,1) - экспоненциальная средняя;
· (1,1,1) - нестационарный процесс с линейным трендом;
· (0,1,1)×(0,1,1) -
мультипликативная модель
сезонного процесса.
Сезонные данные имеют четкую структуру, которая повторяется каждый год. В
месячных данных с годовой сезонной структурой значения для тех же месяцев в
разные годы должны коррелировать между собой, т.е коррелировать между собой
должны не только отдельные наблюдения в течение одного и того же года, но и
наблюдения с периодом, кратным целому году. Коэффициенты автокорреляции и
частичной автокорреляции подобных данных будут ненулевыми при небольших
интервалах опоздания (внутренние взаимосвязи). Интерпретация коэффициентов
автокорреляции и частичной автокорреляции при сезонных интервалах будет такой
же, как и для коэффициентов автокорреляции и частичной автокорреляции при малых
интервалах.
Сезонные модели ARIMA включают в себя обычные авторегрессионные члены и
члены скользящего среднего, которые отвечают за корреляции при низких
интервалах, а также авторегрессионные члены и члены скользящего среднего,
которые отвечают за автокорреляции и частичные автокорреляции при сезонных
интервалах. В случае нестационарных сезонных рядов для достижения полноты
описания часто необходимо дополнительно учесть в модели сезонные разницы.
Модели ARIMA устанавливаются (выбираются) путем анализа исследуемого ряда
и сравнения структуры его функций выборочной автокорреляции и частичной
автокорреляции с известной теоретической структурой процессов ARIMA. Однако
этой процедуре присуща определенная доля субъективизма и возможно, что две (или
более) моделей будут достаточно точно отвечать имеющейся структуре функций
выборочной автокорреляции и частичной автокорреляции. Более того, после оценки
и проверки может оказаться, что обе модели вполне адекватно описывают данные.
Если модели содержат одинаковое количество параметров, тогда преимущество следует
отдать модели с наименьшей среднеквадратичной ошибкой s2. Если
количество параметров в моделях разное, то по принципу экономии рекомендуется
более простая модель. Однако модели с большим количеством параметров могут
иметь существенно меньшую среднеквадратичную ошибку.
Учитывая все вышесказанное, было разработано несколько подходов к выбору
модели, которые учитывают как качества модели, так и количество ее параметров.
Информационный критерий Акаике или AIC, позволяет выбрать наилучшую модель из
группы моделей-претендентов. Согласно этому критерию, выбирается модель,
которая минимизирует выражение
где

-
остаточная сумма квадратов, деленная на количество наблюдений; n - количество
наблюдений; r - общее количество слагаемых (включительно с постоянным
слагаемым) в модели ARIMA.
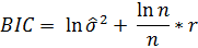
Согласно
с Байесовским информационным критерием или ВIС, выбирается та модель, которая
минимизирует следующее выражение
Второе
слагаемое в формулах АІС и ВIС - это "штрафной фактор", который
учитывает привлечение к модели дополнительных параметров. Критерий ВIС налагает
более ограничений на количество параметров сравнительно с критерием АІС. Потому
минимизация критерия ВIС при выборе модели всегда дает количество параметров,
не превышающее количество, установленное согласно с критерием АІС. Часто оба
критерия дают одинаковый результат. Критерии АІС и ВIС следует рассматривать
как дополнительные процедуры, призванные помочь при окончательном выборе
модели. Они не в состоянии полностью заменить внимательное изучение поведения
выборочных коэффициентов автокорреляции и частичной автокорреляции.
.2
Многофакторная регрессионная модель
Функцией или уравнением регрессии называется "функция, позволяющая
по средней величине одного признака определить среднюю величину другого
признака, корреляционно связанного с первым" [12]. Такая функция позволяет
математически интерпретировать взаимосвязь между параметрами. Регрессионный
анализ также применяется для построения прогноза некоторого фактора на основе
уравнения регрессии (в случае если между зависимой и некоторым набором
независимых переменных имеется линейная связь).
При выведение уравнения регрессии предполагается, что исследуется связь
среднего уровня некоторой случайной величины y от ряда переменных xj (j = 1, 2,.., k), которые представляют собой неслучайные величины.
Также предполагается, что зависимая переменная имеет нормальное распределение с
условным математическим ожиданием и постоянством дисперсии, которая не зависит
от аргументов. Общий вид модели линейной регрессии:

,
где
φj - некоторая функция от заданных параметров, а ε - случайная величина с нулевым математическим
ожиданием и дисперсией σ2.
В
дальнейшем будет рассматриваться множественный регрессионный анализ, т.е. будет
изучаться зависимость целевой переменной от нескольких параметров.
Чтобы
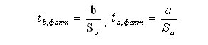
оценить значимость того или иного коэффициента линейной регрессии, используется
t-критерий Стьюдента.
1) Для проверки значимости выдвигается гипотеза H0 о статистической
незначимости коэффициента уравнения регрессии;
2) Производится вычисление значение t-критерия фактического (tфакт)
и с помощью таблицы t-распределения
Стьюдента определяется табличное (критическое) значение t-критерия (tтабл);
) Далее необходимо проверить условие | tфакт | ≤ tтабл. Если
условие выполняется, то нулевая гипотеза H0 подтверждается, коэффициент уравнения
регрессии статистически незначим (коэффициент недостоверен, равен нулю). Если |
tфакт | > tтабл, то гипотеза H0 опровергается, статистическая значимость
коэффициента признается.
Формулы для вычисления величин tb,факт, ta,факт:
где Sa и Sb - стандартные ошибки коэффициентов регрессии, которые
вычисляются по формулам:
где
ŷi - вычисленные значения зависимой переменной, yi - фактические значения
объясняемой переменной, n - объем выборки, xi - фактические значения
предикатора, 
-
средняя величина фактических значений предикаторов.
Проверка
автокорреляции
Для
тестирования автокорреляции первого порядка элементов исследуемой
последовательности используется статистический критерий, известный как критерий
Дарбина-Уотсона (или DW-критерий).
Критерий назван в честь Джеффри Уотсона и Джеймса
Дарбина. Вычисляется критерий Дарбина-Уотсона по следующей формуле:
где
- коэффициент автокорреляции первого порядка.
Принято считать, что в модели регрессии
ошибки распределены как
,
где
специфицировано, как белый шум
,
,
а
, где
.
В случае наличия положительной автокорреляции
стремится к нулю, при ее отсутствии
;, а при отрицательной - критерий
стремится к 4:
Применение критерия Дарбина-Уотсона на практике
реализуется при сопоставлении величины DW с тобличными значениями dL и dU для заданного числа наблюдений n,
числа независимых переменных модели k и уровня значимости α.
1. Если DW < dL, то гипотеза о независимости случайных отклонений отвергается
(равносильно наличию положительная автокорреляция);
2. Если DW > dU, то гипотеза не отвергается;
. Если dL < DW < dU, то
оснований для принятия решений недостаточно.
В тех случаях, когда DW превышает 2, с dL и dU необходимо сравнивать выражение (4 -
DW), а не сам коэффициент DW.
Проверка на наличие
гетероскедастичности
Один из статистических критериев для проверки наличия
гетероскедастичности (то есть непостоянной дисперсии) случайных ошибок модели
линейной регрессии - Критерий Бройша-Пагана. Применяется, если есть основания
полагать, что дисперсия ошибок
может зависеть от некоторой совокупности наблюдаемых
переменных:
, где
.
Проверяемая гипотеза сформулирована следующим образом:
остатки гомоскедастичны;
Альтернативная гипотеза:
неверна (остатки гетероскедастичны).
Процедуру вычисления статистики можно описать
следующими шагами.
1) Начальная модель
оценивается стандартным методом наименьших квадратов
(МНК), определяются остатки
.
2) Предположив гомоскедастичность модели, дисперсия ее
ошибки вычисляется как
.
) Вычисляются стандартизированные остатки
.
4) Производится построение дополнительной регрессия
квадратов стандартизированных ошибок на начальные значения предикторов:
.
)
,
где
- коэффициент детерминации построенной на предыдущем этапе
регрессии.
Если статистика критерия имеет распределение
хи-квадрат с
степенями свободы, то гипотеза о гомоскедастичности остатков
подтверждается.
Проверка качества модели
Проверка адекватности модели или, другими словами, тестирование
значимости объясняющей переменной X проводится по критерию Фишера. Другими словами, проверяется, значимо ли
влияние предикатора X влияет на значение объясняемой переменной Y.
Используя суммы квадратов отклонений, вычислим F-критерий Фишера по
формуле:
При учете степеней свободы расчетная формула для вычисления критерия
Фишера выглядит следующим образом:
где m, (n-m-1) - число степеней свободы числителя и знаменателя
зависимости соответственно; n - количество наблюдений; m - количество
предикторов.
Тестирование значимости переменной X по критерию Фишера состоит из
следующих этапов:
. Формулируем нулевую гипотезу H: β1=0;
2. Принимаем вероятность ошибки (уровень значимости) α
(5%);
3. Производим вычисления F-отношения;
. Из таблицы F-распределения Фишера определяем величину
F-критическое при заданном уровне значимости (или ошибки) и по степеням свободы
f1 и f2;
. Если Fфакт < Fтабл то гипотезу о незначимости предикатора
отклоняем с 5%-ным риском ошибиться, где Fтабл - значение F при 5%-ном риске
ошибки.
Значение Fтабл определяют по специальным таблицам в зависимости от
степеней свободы f1 и f2:
f1=(n-m-1), f2=(n-1).
Если неравенство Fфакт > Fтабл справедливо, то можно сделать
заключение об адекватности построенной модели, следовательно линейная связь
между предикатором и объясняемой переменной допустима.
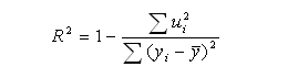
Итоговое оценочное значение качества модели отражается в коэффициент
детерминации R². Если регрессия является парной, коэффициент детерминации
будет совпадать с квадратом коэффициента корреляции:
где u²i
- разница между исходным значением Y и предсказанным значением с помощью
построенной модели.
Коэффициент детерминации определяет долю разброса объясняемой переменной,
которая определяется регрессией Y на X; дробное отношение определяет
составляющую часть разброса объясняемой переменной, которая не определяется
регрессией.
Для общего случая корректным является соотношение 0≤ R² ≤1. Чем ближе коэффициент
детерминации к единице, тем сильнее линейная связь между X и Y. Чем связь
слабее, тем R² ближе к нулю.
Средняя ошибка аппроксимации - еще одно средство оценки уравнения
регрессии является.
Фактические значения результативного признака отличаются от
теоретических, вычисленных по уравнению регрессии, т.е. y и yx. Чем меньше эта
разность, тем теснее теоретические значения к эмпирическим данным, качество модели
лучше.
Средняя ошибка аппроксимации рассчитывается по следующей формуле:
Для качественно построенных моделей, величина этого показателя не должно
превышать 10%.
Глава 3.
Построение моделей прогнозирования цены на недвижимость в регионах
В данной главе рассматривается построение моделей прогнозирования средней
цены на первичном рынке жилой недвижимости для ряда регионов. Для исследования
было отобрано 3 крупнейших по численности населения субъекта Центрального федерального
округа:
· Белгородская область;
· Воронежская область;
· Тульская область.
Для прогнозирования используются два вида моделей:
· Модель авторегрессии ARIMA;
· Многофакторная регрессия.
.1
Построение ARIMA-моделей
Далее речь пойдет о применение модели авторегрессии, а именно - модель
проинтегрированного скользящего среднего ARIMA. Модель данного типа является довольно гибкой, а
также позволяет давать весьма точные прогнозы за счет учета предыдущих
элементов и прогнозных ошибок временного ряда. Необходимо отметить, что
применение такой модели возможно как для стационарных, так и нестационарных
рядов. Кроме того, проверка адекватности ARIMA модели весьма проста.
Построение моделей производится на основе данных средней цены 1 кв.м.
общей площади на первичном рынке жилья регионов из открытого источника
Федеральной службы государственной статистики. Для каждого из регионов строится
отдельная модель. Временной промежуток - с 2000 по 2014 гг. Данные представлены
поквартальными значениями показателя цены.
3.1.1
Модель средней цены Белгородской области
В первую очередь необходимо проверить временной ряд на стационарность и
сезонность.
Стационарность проверяется за счет тестирования уравнения на единичный
корень - тест Дики-Фуллера. Результат теста представлен на Рисунке 1. Расчеты
показали, что нулевая гипотеза о наличии единичного корня не отвергается (Prob > 0,05), отсюда можно сделать
вывод о том, что ряд не является стационарным.
Рисунок
1 - Тест Дики-Фуллера для исходного ряда
Далее для построения модели необходимо провести взятие первых разностей,
чтобы привести временной ряд к стационарному виду. Для нового ряда также
проведем тест Дики-Фуллера (Рисунок 2). В результате нулевая гипотеза о наличии
единичного корня отвергается (Prob
< 0,05), значит, теперь временной ряд стационарен.
Рисунок
2 - Тест Дики-Фуллера для первой разности
Также стоит отметить, что с учетом взятия первых разностей, параметр
порядка разности d в дальнейшем
построении модели ARIMA будет равен
1.
Далее необходимо провести проверку временного ряда на сезонность. Для
этого будем использовать периодограмму (Рисунок 3). С учетом периодичности
данных временного ряда, возникает предположение о наличии сезонной составляющей
по кварталам. В таком случае на периодограмме наблюдался бы пик при частоте
0,25. Отсутствие такого пика говорит о том, что сезонности по кварталам во
временном ряде нет.
Рисунок
3 - Периодограмма временного ряда по частоте
После проведения исследования временного ряда перейдем к
непосредственному построению модели. Определим параметры модели ARIMA (p, d, q):
· d - порядок интегрирования (как было сказано ранее, в данном
случае равен 1);
· p - порядок авторегрессии;
· q - порядок скользящего среднего.
Для определения последних двух параметров воспользуемся структурой
автокорреляционной и частной автокорреляционной функций (Рисунок 4).
Автокорреляционная функция используется для параметра q: его значение соответствует прямому или осциллирующему
убыванию значений функции, начиная с q-го лага. Параметр p
определяется аналогичным образом на основе частной автокорреляционной функции.
Рисунок
4 - Автокорреляционная и частная автокорреляционная функции
Исходя из поведения автокорреляционной и частной автокореляционной
функций, оптимальные значения порядков авторегрессии и скользящего среднего
равны 1 и 0 соответственно. Также удостоверимся в верном подборе при помощи
информационных критериев Акаике и Шварца. В Таблице 1 представлены значения
данных критериев для ряда моделей.
Таблица
1 - Информационные критерии моделей ARIMA
|
Модель
|
AIC
|
SC
|
|
ARIMA (1,1,0)
|
16,91
|
16,99
|
|
ARIMA (1,1,1)
|
16,92
|
17,02
|
|
ARIMA (0,1,1)
|
16,99
|
17,06
|
|
ARIMA (2,1,1)
|
16,94
|
17,04
|
|
ARIMA (2,1,2)
|
17,09
|
17,99
|
|
ARIMA (1,1,2)
|
16,93
|
17,04
|
Информационные критерии также указывают на верный выбор параметров,
модель ARIMA (1, 1, 0) имеет наименьшее из всех
значение данных критериев. После того, как были выбраны параметры модели,
строим непосредственно саму модель с помощью метода максимального правдоподобия.
Результаты расчета приведены на Рисунке 5, все коэффициенты модели значимы.
Рисунок
5 - Модель ARIMA (1, 1, 0)
R-квадрат
= 0,97
Далее необходимо проверить модель на адекватность. Адекватность модели
определяется анализом остатков. Для того, чтобы модель можно было считать
адекватной, необходимо, чтобы остатки:
· Были случайны;
· Имели нормальное распределение;
· Были независимы.
Для проверки случайности воспользуемся тестом Льюинга-Бокса. Наблюдаемое
значение статистики:
Критическое значение:
Исходя из произведенных расчетов нет оснований отвергать гипотезу о
случайности остатков: критическое значение для данного числа степеней свободы и
уровня значимости выше наблюдаемого значения статистики.
Для того, чтобы сделать вывод о случайности остатков, также необходимо
произвести проверку на стационарность. Для этого применим тест Дикки-Фуллера.
Результат теста (Рисунок 6) подтверждает гипотезу о стационарности остатков (Prob < 0,05).
Рисунок
6 - Тест Дикки-Фуллера для ряда остатков
График нормальности остатков (Рисунок 7) говорит о том, что распределение
близко к нормальному, так как точки на графики группируются вдоль прямой линии
на графике.
Рисунок
7 - График нормального распределения остатков
Независимость остатков друг от друга проверим с помощью
автокорреляционной функции (Рисунок 8). Практически отсутствует автокорреляция
остатков, в связи с чем можно сделать вывод о том, что условие независимости
остатков выполняется.
Рисунок
8 - Функция автокорреляции остатков
В результате произведенных тестов остатков можно сделать вывод об адекватности
модели и перейти к построению прогноза. Был произведен ретроспективный прогноз
для средней цены 1 кв.м. жилой площади первичного рынка Белгородской области на
1-4 кварталы 2015 г. Результат представлен в Таблице 2.
Таблица
2 - Прогноз средней стоимости 1 кв.м. жилой площади первичного рынка
Белгородской области
|
Прогнозное значение
|
Фактическое значение
|
Относительная ошибка
прогноза
|
|
1 квартал 2015 г.
|
54842
|
53377
|
2,74
|
6,59
|
|
2 квартал 2015 г.
|
55034
|
52148
|
5,53
|
|
|
3 квартал 2015 г.
|
55200
|
51102
|
8,02
|
|
|
4 квартал 2015 г.
|
55344
|
50275
|
10,08
|
|
Как видно из графика (Рисунок 9), модель весьма точно описывает динамику
исходного ценового ряда. Тем не менее, стоит отметить, что ретроспективный
прогноз показывает заметное отклонение от фактических данных в связи с тем, что
она не учитывает внешних факторов, например, кризис или состояние рынка, а 2015
г. показал довольно резкое снижение цены, в то время как модель уловила
тенденцию к росту прошлых периодов. В данном случае можно сделать вывод о том,
что ARIMA-модель наиболее эффективна для
построения краткосрочных прогнозов на ближайшие 1-2 периода.
Рисунок
9 - График фактических и прогнозных значений по модели ARIMA
.1.2
Модель средней цены Воронежской области
Построения проводим тем же образом, что описано в параграфе выше.
Проверяем временной ряд на стационарность и сезонность.
Выполним тест Дики-Фуллера. Результат теста представлен на Рисунке 10.
Расчеты показали, что нулевая гипотеза о наличии единичного корня не
отвергается (Prob > 0,05), отсюда можно сделать
вывод о том, что ряд не является стационарным.
Рисунок
10 - Тест Дики-Фуллера для исходного ряда
Возьмем первую разность и проведем тест Дики-Фуллера повторно (Рисунок
11). В результате нулевая гипотеза о наличии единичного корня отвергается (Prob < 0,05), значит, теперь временной
ряд стационарен.
Рисунок
11 - Тест Дики-Фуллера для первой разности
Также стоит отметить, что с учетом взятия первых разностей, параметр
порядка разности d в дальнейшем
построении модели ARIMA будет равен
1.
Для проверки временного ряда на сезонность используем периодограмму
(Рисунок 12). С учетом периодичности данных временного ряда, возникает
предположение о наличии сезонной составляющей по кварталам. В таком случае на
периодограмме наблюдался бы пик при частоте 0,25. Отсутствие такого пика
говорит о том, что сезонности по кварталам во временном ряде нет.
Рисунок
12 - Периодограмма временного ряда по частоте
Определим параметры модели ARIMA
(p, d, q). Воспользуемся
структурой автокорреляционной и частной автокорреляционной функций (Рисунок
13). Исходя из поведения автокорреляционной и частной автокореляционной
функций, оптимальные значения порядков авторегрессии и скользящего среднего
равны 1 и 0 соответственно.
Рисунок
13 - Автокорреляционная и частная автокорреляционная функции
Также удостоверимся в верном подборе при помощи информационных критериев
Акаике и Шварца. В Таблице 3 представлены значения данных критериев для ряда
моделей.
Таблица
3 - Информационные критерии моделей ARIMA
|
Модель
|
AIC
|
SC
|
|
ARIMA (1,1,0)
|
16,17
|
16,24
|
|
ARIMA (1,1,1)
|
16,18
|
16,29
|
|
ARIMA (0,1,1)
|
16,23
|
16,30
|
|
ARIMA (2,1,1)
|
16,21
|
16,31
|
|
ARIMA (2,1,2)
|
16,36
|
16,47
|
|
ARIMA (1,1,2)
|
16,19
|
16,30
|
Информационные критерии также указывают на верный выбор параметров,
модель ARIMA (1, 1, 0) имеет наименьшее из всех
значение данных критериев. После того, как были выбраны параметры модели,
строим непосредственно саму модель с помощью метода максимального
правдоподобия. Результаты расчета приведены на Рисунке 14, все коэффициенты
модели значимы.
Рисунок
14 - Модель ARIMA (1, 1, 0)
R-квадрат
= 0,99
Далее необходимо проверить модель на адекватность. Для проверки
случайности воспользуемся тестом Льюинга-Бокса. Наблюдаемое значение
статистики:
Критическое значение:
Исходя из произведенных расчетов нет оснований отвергать гипотезу о
случайности остатков: критическое значение для данного числа степеней свободы и
уровня значимости выше наблюдаемого значения статистики.
Для того, чтобы сделать вывод о случайности остатков, также необходимо
произвести проверку на стационарность. Для этого применим тест Дикки-Фуллера.
Результат теста (Рисунок 15) подтверждает гипотезу о стационарности остатков (Prob < 0,05).
Рисунок
15 - Тест Дикки-Фуллера для ряда остатков
График нормальности остатков (Рисунок 16) говорит о том, что
распределение близко к нормальному, так как точки на графики группируются вдоль
прямой линии на графике.
Рисунок
16 - График нормального распределения остатков
Независимость остатков друг от друга проверим с помощью
автокорреляционной функции (Рисунок 17). Практически отсутствует автокорреляция
остатков, в связи с чем можно сделать вывод о том, что условие независимости
остатков выполняется.
Рисунок
17 - Функция автокорреляции остатков
В результате произведенных тестов остатков можно сделать вывод об
адекватности модели и перейти к построению прогноза. Был произведен
ретроспективный прогноз для средней цены 1 кв.м. жилой площади первичного рынка
Белгородской области на 1-4 кварталы 2015 г. Результат представлен в Таблице 4.
Таблица
4 - Прогноз средней стоимости 1 кв.м. жилой площади первичного рынка
Белгородской области
|
Прогнозное значение
|
Фактическое значение
|
Относительная ошибка
прогноза
|
Средняя относительная
ошибка прогноза
|
|
1 квартал 2015 г.
|
45522
|
44458
|
2,34
|
5,48
|
|
2 квартал 2015 г.
|
46243
|
43681
|
5,54
|
|
|
3 квартал 2015 г.
|
46935
|
43632
|
7,04
|
|
|
4 квартал 2015 г.
|
47611
|
44263
|
7,03
|
|
Как видно из графика (Рисунок 19), модель весьма точно описывает динамику
исходного ценового ряда. Тем не менее, стоит отметить, что ретроспективный
прогноз показывает заметное отклонение от фактических данных в связи с тем, что
она не учитывает внешних факторов, например, кризис или состояние рынка, а 2015
г. показал довольно резкое снижение цены, в то время как модель уловила
тенденцию к росту прошлых периодов.
Рисунок
19 - График фактических и прогнозных значений по модели ARIMA
.1.3
Модель средней цены Тульской области
Проверяем временной ряд на стационарность и сезонность.
Выполним тест Дики-Фуллера. Результат теста представлен на Рисунке 20.
Расчеты показали, что нулевая гипотеза о наличии единичного корня не
отвергается (Prob > 0,05), отсюда можно сделать
вывод о том, что ряд не является стационарным.
Рисунок
20 - Тест Дики-Фуллера
Возьмем первую разность и проведем тест Дики-Фуллера повторно (Рисунок
21). В результате нулевая гипотеза о наличии единичного корня отвергается (Prob < 0,05), значит, теперь временной
ряд стационарен.
Рисунок
21 - Тест Дики-Фуллера для первой разности
Также стоит отметить, что с учетом взятия первых разностей, параметр
порядка разности d в дальнейшем
построении модели ARIMA будет равен
1.
Для проверки временного ряда на сезонность используем периодограмму
(Рисунок 22). С учетом периодичности данных временного ряда, возникает
предположение о наличии сезонной составляющей по кварталам. В таком случае на
периодограмме наблюдался бы пик при частоте 0,25. Отсутствие такого пика
говорит о том, что сезонности по кварталам во временном ряде нет.
Рисунок
22 - Периодограмма временного ряда по частоте
Определим параметры модели ARIMA
(p, d, q). Воспользуемся
структурой автокорреляционной и частной автокорреляционной функций (Рисунок
23). Исходя из поведения автокорреляционной и частной автокореляционной
функций, оптимальные значения порядков авторегрессии и скользящего среднего
равны 5 и 10.
Рисунок
23 - Автокорреляционная и частная автокорреляционная функции
Также удостоверимся в верном подборе при помощи информационных критериев
Акаике и Шварца. В Таблице 5представлены значения данных критериев для ряда
моделей.
Таблица
5 - Информационные критерии моделей ARIMA
|
Модель
|
AIC
|
SC
|
|
ARIMA (1,1,0)
|
17,38
|
17,45
|
|
ARIMA (1,1,1)
|
17,37
|
17,48
|
|
ARIMA (0,1,1)
|
17,37
|
17,44
|
|
ARIMA (2,1,1)
|
17,39
|
17,50
|
|
ARIMA (2,1,2)
|
17,39
|
17,50
|
|
ARIMA (1,1,2)
|
17,39
|
16,49
|
|
ARIMA (5,1,10)
|
16,86
|
16,97
|
Информационные критерии также указывают на верный выбор параметров,
модель ARIMA (5, 1, 10) имеет наименьшее из всех
значение данных критериев. После того, как были выбраны параметры модели,
строим непосредственно саму модель с помощью метода максимального
правдоподобия. Результаты расчета приведены на Рисунок 24, все коэффициенты
модели значимы.
Рисунок
24 - Модель ARIMA (5, 1, 10)
R-квадрат
= 0,98
Далее необходимо проверить модель на адекватность. Адекватность модели
определяется анализом остатков. Для того, чтобы модель можно было считать
адекватной, необходимо, чтобы остатки:
· Были случайны;
· Имели нормальное распределение;
· Были независимы.
Для проверки случайности воспользуемся тестом Льюинга-Бокса. Наблюдаемое
значение статистики:
Критическое значение:
Исходя из произведенных расчетов нет оснований отвергать гипотезу о
случайности остатков: критическое значение для данного числа степеней свободы и
уровня значимости выше наблюдаемого значения статистики.
Для того, чтобы сделать вывод о случайности остатков, также необходимо
произвести проверку на стационарность. Для этого применим тест Дикки-Фуллера.
Результат теста (Рисунок 25) подтверждает гипотезу о стационарности остатков (Prob < 0,05).
Рисунок
25 - Тест Дикки-Фуллера для ряда остатков
Гистограмма остатков (Рисунок 26) говорит о том, что в целом
распределение близко к нормальному.
Рисунок
26 - Гистограмма остатков
Независимость остатков друг от друга проверим с помощью автокорреляционной
функции (Рисунок 27). Практически отсутствует автокорреляция остатков, в связи
с чем можно сделать вывод о том, что условие независимости остатков
выполняется.
Рисунок
27 - Коррелограмма остатков
В результате произведенных тестов остатков можно сделать вывод об
адекватности модели и перейти к построению прогноза. Был произведен
ретроспективный прогноз для средней цены 1 кв.м. жилой площади первичного рынка
Тульской области на 1-4 кварталы 2015 г. Результат представлен в Таблице 6.
Таблица
6 - Прогноз средней стоимости 1 кв.м. жилой площади первичного рынка Тульской
области
|
Прогнозное значение
|
Фактическое значение
|
Относительная ошибка
прогноза
|
Средняя относительная
ошибка прогноза
|
|
1 квартал 2015 г.
|
49770,74
|
48749
|
2,10
|
6,21
|
|
2 квартал 2015 г.
|
50533,98
|
48157
|
4,94
|
|
|
3 квартал 2015 г.
|
51287,09
|
47840
|
7,21
|
|
|
4 квартал 2015 г.
|
52031,96
|
47032
|
10,63
|
|
Как видно из графика (Рисунок 29), модель весьма точно описывает динамику
исходного ценового ряда.
Рисунок
29 - График фактических и прогнозных значений по модели ARIMA
.2
Построение многофакторных регрессионных моделей стоимости жилья
недвижимость жилье ценообразование региональный
В данном разделе рассматривается построение эконометрических моделей.
Исследование проводится на основе данных 1998-2014 годов для каждого из
отобранных для исследования субъектов ЦФО. Производится оценка регрессионного
уравнения, где в роли зависимой переменной выступает средняя цена 1 кв.м. общей
площади квартир на первичном рынке жилья, а в качестве независимых переменных
используется ряд социально-экономических показателей как региона, так и страны
в целом.
На основе анализ литературы и различных источников были выделены
показатели, которые предположительно имеют наибольшее влияние на рынок жилья на
региональном уровне. В Таблице 7 представлен перечень используемых для
построения модели переменных, их обозначение и описание. Все показатели
относятся к количественной шкале.
Таблица
7 - Исследуемые параметры
|
Обозначение фактора
|
Описание фактора
|
Единицы измерения
|
|
Price_1
|
Средняя цена 1 кв.м. общей
площади на первичном рынке жилья
|
Рубль
|
|
Inflation
|
Уровень инфляции
|
В процентах относительно
предыдущего периода
|
|
Unemployment
|
Уровень безработицы
|
Процент
|
|
Pop_inc
|
Естественный прирост, убыль
(-) на 1000 человек населения
|
Человек
|
|
Income
|
Среднедушевые денежные
доходы (в месяц)
|
Рубль
|
|
House
|
Ввод в действие жилых домов
|
Тыс. м 2 общей площади
|
|
Investments
|
Инвестиции в основной
капитал (в фактически действовавших ценах)
|
Млн. рублей
|
|
Vrp
|
Валовой региональный
продукт на душу населения
|
Рубль
|
Все данные для моделей собраны на основе открытого источника, а именно -
Федеральной службы государственной статистики. В силу недостаточной
детализированности открытых к доступу данных, построение моделей производится
на ежегодных данных перечисленных показателей.
.2.1
Регрессионная модель Белгородской области
Прежде чем переходить к построению модели, необходимо провести анализ
парных корреляций. Для этого воспользуемся коэффициентом корреляции Пирсона,
так как все независимые параметры относятся к количественной шкале. Коэффициент
корреляции больший 0.75 будем считать высоким. Корреляционная матрица
представлена на Рисунке 30.
Рисунок
30 - Парные корреляции факторов
Наиболее высокая корреляция наблюдается между инвестициями в основной
капитал и естественным приростом. Такое поведение можно объяснить тем, что
данные параметры показывают тенденцию к увеличению, то есть присутствует
временная зависимость. Убрать зависимость можно избавившись от тренда.
Процедура избавления от тренда представляет собой построение линейной регрессии
с независимой переменной, которая отражает время и выражена номером наблюдения.
Избавившись от временной компоненты, мы исключаем тренд. Новый переменные,
выражающие инвестиции и прирост без тренда, обозначены как Investments_n и Pop_inc_n.
Также высокая корреляция присутствует между среднедушевыми денежными
доходами и вводом в действие жилых домов. Здесь также наблюдается тенденция к
увеличению, делаем вывод о наличии временной зависимости и проводим операцию
избавления от тренда, описанную выше. Новые переменный, выражающие ввод в
действие жилых домов и среднедушевые доходы без тренда, обозначены как House_n и Income_n соответственно.
Далее вновь построим корреляционную матрицу. Как видно из Рисунка 31, все
корреляции ниже 0.75, следовательно, данные переменные можно использовать для
регрессионной модели.
Рисунок
31 - Парные корреляции факторов после избавления от трендов
Для отбора факторов для построения модели будем использовать метод
прямого отбора. При данном подходе в первую очередь включается та переменная,
которая имеет наибольшую корреляцию с зависимой переменной. Показатели
корреляции средней цены 1 кв.м. и независимых переменных представлены в Таблице
8.
Таблица
8 - Корреляция средней цены и факторов
|
Price_1
|
|
Pop_inc_n
|
-0,532
|
|
Income_n
|
-0,784
|
|
Inflation
|
0,187
|
|
Unemployment
|
0,099
|
|
House_n
|
0,159
|
|
Investments_n
|
0,134
|
|
Vrp
|
0,824
|
Наибольшая связь с зависимой переменной наблюдается у валового
регионального продукта. Данную переменную проверяем на включение в уравнение
регрессии в первую очередь. Пусть модель включает в себя только одну
независимую переменную Vrp.
Рассчитаем оценки зависимой переменной Price_1. Результаты расчетов представлены в Таблице 9.
Таблица
9 - Расчеты модели с независимой переменной Vrp
|
№
|
Vrp (X)
|
Price_1 (Y)
|
Pred_pr (Ŷ)
|
Yср
|
(Ŷ - Yср)^2
|
(Y - Ŷ)^2
|
|
1
|
12956,00
|
3422,7
|
6670,69541
|
26437,33
|
390720052,3
|
10549474,18
|
|
2
|
22611,00
|
4568,6
|
7946,79590
|
26437,33
|
341900047,1
|
11412207,54
|
|
3
|
29637,00
|
5172,4
|
8875,42169
|
26437,33
|
308420809,4
|
13712369,64
|
|
4
|
35341,00
|
6346
|
9629,31886
|
26437,33
|
282509416,4
|
10780182,74
|
|
5
|
43771,00
|
9033
|
10743,51121
|
26437,33
|
246296114,4
|
2925848,6
|
|
6
|
50271,00
|
11532
|
11602,61563
|
26437,33
|
220068907,5
|
4986,5672
|
|
7
|
12956,00
|
13733
|
14954,18022
|
26437,33
|
131862850,5
|
1491281,13
|
|
…
|
…
|
…
|
…
|
…
|
…
|
…
|
|
17
|
400633,00
|
54621
|
57909,92985
|
26437,33
|
990524208,1
|
10817059,56
|
|
|
|
|
Сумма
|
5134514073
|
448891861,6
|
Далее на основе предыдущих вычислений рассчитаем значение F-критерия для Vrp.
При уровне значимости α = 0,05, степенях свободы f1 = 1 и f2
= 15 табличное критическое значение F-критерия Фишера Fкрит= 4,54.
Наблюдаемое значение F-критерия
выше критического табличного, соответственно можно сделать вывод о
необходимости учета фактора прироста населения в регрессионном уравнении.
Аналогичным образом произведем расчеты для остальных независимых
параметров. Результаты вычисления представлены в Таблице.
Таблица
10 - F-критерий для факторов
|
Фактор
|
Freal
|
Fкрит
|
|
Vrp
|
171,5
|
4,54
|
|
Income_n
|
23,903
|
4,54
|
|
Pop_inc_n
|
5,923
|
4,54
|
|
Inflation
|
0,546
|
4,54
|
|
House_n
|
4,54
|
|
Investments_n
|
0,150
|
4,54
|
|
Unemployment
|
0,078
|
4,54
|
На основе прямого отбора были исключены следующие независимые переменные:
Inflation, House_n, Investments_n, Unemployment
(значение F-критерия меньше критического).
Результат построение модели представлен на Рисунке 32. R-квадрат данной модели равен 0,96.
Рисунок
32 - Коэффициенты модели
Далее проверим модель на логарифмическую зависимость - в качестве
зависимой переменной будет выступать натуральный логарифм цены (Рисунок 33).
Качество модели несколько улучшилось, R-квадрат равен 0,97.
Рисунок
33 - Коэффициенты модели с логарифмической зависимостью
Автокорреляция в данной модели присутствует, данный вывод был сделан на
основе статистики Дарбина-Уотсона, которая рассчитывается статистическим
пакетом SPSS автоматически. Значение критерия DW = 0,418, что меньше табличного dL, следовательно, можно сделать вывод
о наличии автокорреляции. Для корректировки введем дополнительную переменную
лагового значения зависимой переменной (ln_pr_lag). Также улучшилось качество модели -
R-квадрат принял значение 0,98.
Проведем проверку модели на гетероскедастичность с помощью критерия
Бройша-Пагана. Число степеней свободы 4, критерий Бройша-Пагана равен 15,33.
Сравнивая величину критерия с табличным значением распределения χ2
делаем вывод об
отсутствии гетероскедастичности.
В результате всех проведенных тестов можно сделать вывод о том, что была
получена адекватная модель прогнозирования средней стоимости 1 кв.м. общей
площади на первичном рынке жилья Белгородской области. Общий вид модели
представлен ниже.
Ln_pr = 5,185 + 0,155*pop_inc_n -
0,002*income_n + 3,002E-6*vrp + 0,511*ln_pr_lag
Далее выполним ретроспективный прогноз для средней цены 1 кв.м. жилой
площади первичного рынка Белгородской области на 2011-2014 гг. Результат
представлен в Таблице 11.
Таблица
11 - Прогноз средней стоимости 1 кв.м. жилой площади первичного рынка Тульской
области
|
Прогнозное значение
|
Фактическое значение
|
Относительная ошибка
прогноза
|
Средняя относительная
ошибка прогноза
|
|
2011 г.
|
47054,81
|
40383
|
16,5
|
7,5
|
|
2012 г.
|
47386,07
|
48877
|
3,1
|
|
|
2013 г.
|
50222,55
|
52931
|
5,1
|
|
|
2014 г.
|
51722,13
|
54621
|
5,3
|
|
Для оценки модели был произведен расчет средней ошибки аппроксимации,
которая составила 7,5%, что говорит о хорошем качестве прогнозирующей
способности модели. Из графика (Рисунок 35) видно, что наиболее точный прогноз
модель дает в "спокойные" периоды. Что касается кризисного промежутка
2008-2009 гг., то влияние экономического дисбаланса сказывается на первичном
рынке недвижимости Белгородской области с запозданием - заметна существенная
разница в фактических значениях и прогнозных только через 2-3 года. Тем не
менее, после посткризисной ситуации прогноз дает эффективные оценки - прогноз
"выравнивается" к 2012 г.
Рисунок
35 - График фактических и прогнозных цен
В результате построения было выявлено, что из всего перечня выделенных
изначально факторов влияние на средние цены Белгородской области оказывают
только естественный прирост населения, ВРП и среднедушевые доходы населения.
Положительный коэффициент при приросте населения говорит о том, что с
увеличением численности населения средние цены неизменно растут. Рост ВРП также
ведет к увеличению цен на объекты недвижимости.
Наличие лага зависимой переменной говорит о влиянии цены предыдущего
периода на цены текущего, причем наблюдаемая зависимость положительная.
.2.2
Регрессионная модель Воронежской области
Построение модели будем вести аналогичным образом, описанном в разделе
выше. Выполним анализ парных корреляций. Корреляционная матрица представлена на
Рисунке 36.
Рисунок
36 - Парные корреляции факторов
Высокая корреляция наблюдается между валовым региональным продуктом
(ВРП), среднедушевым доходом, инвестициями в основной капитал. После избавления
от тренда корреляционная зависимость так же наблюдалась. В связи с этим из
дальнейшего исследования были исключены факторы, отвечающие за инвестиции и
ВРП, для исключения дальнейшей мультиколлинеарности.
Также высокая корреляция присутствует между среднедушевыми доходами и
вводом в действие жилых домов. Здесь наблюдается тенденция к увеличению, делаем
вывод о наличии временной зависимости и проводим операцию избавления от тренда.
Новые переменный, выражающие ввод в действие жилых домов и среднедушевые доходы
без тренда, обозначены как House_n и Income_n
соответственно.
Новая корреляционная матрица представлена на Рисунке 37, все корреляции
ниже 0.75, следовательно, данные переменные можно использовать для регрессионной
модели.
Рисунок
37 - Парные корреляции факторов после избавления от корреляций
Проведем отбор факторов. Показатели корреляции средней цены 1 кв.м. и
независимых переменных представлены в Таблице 12.
Таблица
12 - Корреляция средней цены и факторов
|
Price_1
|
|
Pop_inc
|
0,911
|
|
Unemployment
|
-0,842
|
|
Inflation
|
-0,539
|
|
House_n
|
0,061
|
|
Income_n
|
0,027
|
Рассчитаем F-критерий для
каждого из независимых факторов. Результаты расчетов представлены в Таблице 13.
При уровне значимости α = 0,05, степенях свободы f1 = 1 и f2
= 15 табличное критическое значение F-критерия Фишера Fкрит= 4,54.
Таблица
13 - F-критерий для факторов
|
Фактор
|
Freal
|
Fкрит
|
|
Pop_inc
|
73,50
|
4,54
|
|
Unemployment
|
36,676
|
4,54
|
|
Inflation
|
6,142
|
4,54
|
|
House_n
|
0,056
|
4,54
|
|
Income_n
|
0,011
|
4,54
|
На основе прямого отбора были исключены следующие независимые переменные:
House_n, Income_n (значение F-критерия меньше критического). Результат построение модели
представлен на Рисунке 38. R-квадрат
данной модели равен 0,96.
Рисунок
38 - Коэффициенты модели
Улучшения качества при логарифмировании цены не выявлено.
Значение критерия DW =
0,807, что меньше табличного dL,
следовательно, можно сделать вывод о наличии автокорреляции. Введем лаговую переменную
зависимого фактора цены (price_lag). Качество модели улучшилось -
коэффициент детерминации достиг 0,99.
Проведем проверку модели на гетероскедастичность с помощью критерия
Бройша-Пагана. Число степеней свободы 4, критерий Бройша-Пагана равен 8,2. Сравнивая
величину критерия с табличным значением распределения χ2
делаем вывод об
отсутствии гетероскедастичности.
В результате всех проведенных тестов можно сделать вывод о том, что была
получена адекватная модель прогнозирования средней стоимости 1 кв.м. общей
площади на первичном рынке жилья Воронежской области. Общий вид модели представлен ниже.
_1 = 15985,5 - 77,8*pop_inc + 115,8*inflation -
1736,4*unemployment + 0,9*price_lag
Далее выполним ретроспективный прогноз для средней цены 1 кв.м. жилой
площади первичного рынка Воронежской области на 2011-2014 гг. Результат
представлен в Таблице 39.
Рисунок
39 - Прогноз средней стоимости 1 кв.м. жилой площади первичного рынка
Воронежской области
|
Прогнозное значение
|
Фактическое значение
|
Относительная ошибка прогноза
|
Средняя относительная
ошибка прогноза
|
|
2011 г.
|
36573
|
35134
|
4,1
|
4,4
|
|
2012 г.
|
38040
|
40241
|
5,5
|
|
|
2013 г.
|
43852
|
41773
|
5,0
|
|
|
2014 г.
|
46096
|
44741
|
3,0
|
|
Средняя ошибка аппроксимации составила 4,4%, что говорит о высоком
качестве прогнозирующей способности модели. Из графика (Рисунок 40) видно, что
наибольшее несоответствие фактических и прогнозных значений наблюдается в
посткризисный период, аналогично модели, построенной выше для Белгородской
области. Тем не менее, в данном случае в силу использования иных показателей по
сравнению с предыдущей моделью, прогноз получается более точный.
Рисунок
40 - График фактических и прогнозных цен для Воронежской области
В результате построения было выявлено, что из всего перечня выделенных
изначально факторов влияние на средние цены Белгородской области оказывают
только естественный прирост населения, инфляция и уровень безработицы.
С ростом уровня инфляции наблюдается рост цен, что является закономерным
процессом. Рост безработицы стимулирует падение цен, так как вместе с ростом
числа безработных падают и платежеспособность населения.
Наличие лага зависимой переменной говорит о влиянии цены предыдущего
периода на цены текущего, причем наблюдаемая зависимость положительная.
3.2.3 Регрессионная
модель Тульской области
Выполним анализ парных корреляций. Корреляционная матрица представлена на
Рисунке 41.
Рисунок
41 - Парные корреляции факторов
Высокая корреляция наблюдается между валовым региональным продуктом
(ВРП), среднедушевым доходом, инвестициями в основной капитал. Было произведено
избавления от тренда в переменных инвестиций и ВРП, фактор доходов был исключен
из дальнейшего исследования на основании сохранения высокой корреляции.
Новая корреляционная матрица представлена на Рисунке 42, данные
переменные можно использовать для регрессионной модели.
Рисунок
42 - Парные корреляции факторов после избавления от корреляций
Проведем отбор факторов. Показатели корреляции средней цены 1 кв.м. и
независимых переменных представлены в Таблице 14.
Таблица
14 - Корреляция средней цены и факторов
|
Price_1
|
|
Pop_inc
|
0,854
|
|
House
|
0,818
|
|
Unemployment
|
-0,619
|
|
Vrp_n
|
-0,558
|
|
Inflation
|
0,073
|
|
Investments_n
|
0,020
|
Рассчитаем F-критерий для
каждого из независимых факторов. Результаты расчетов представлены в Таблице 15.
При уровне значимости α = 0,05, степенях свободы f1 = 1 и f2
= 15 табличное критическое значение F-критерия Фишера Fкрит= 4,54.
Таблица
15 - F-критерий для факторов
|
Фактор
|
Freal
|
Fкрит
|
|
Pop_inc
|
40,447
|
4,54
|
|
House
|
30,370
|
4,54
|
|
Unemployment
|
9,307
|
4,54
|
|
Vrp_n
|
6,786
|
4,54
|
|
Inflation
|
0,080
|
4,54
|
|
Investments_n
|
0,006
|
4,54
|
На основе прямого отбора были исключены следующие независимые переменные:
Inflation, Investments_n (значение F-критерия
меньше критического). Результат построение модели представлен на Рисунке 43. R-квадрат данной модели равен 0,95.
Рисунок
43 - Коэффициенты модели
Улучшения качества модели при логарифмировании цены не выявлено.
Автокорреляция в данной модели отсутствует, значение критерия DW = 0,73, что меньше табличного dL, следовательно, можно сделать вывод
об наличии автокорреляции. Введем лаговую переменную зависимого фактора. За
счет введения лаговой переменной удалось также улучшить качество модели,
значение коэффициента детерминации достигло 0,98.
Проведем проверку модели на гетероскедастичность с помощью критерия
Бройша-Пагана. Число степеней свободы 5, критерий Бройша-Пагана равен 14,6.
Сравнивая величину критерия с табличным значением распределения χ2
делаем вывод об
отсутствии гетероскедастичности.
В результате всех проведенных тестов можно сделать вывод о том, что была
получена адекватная модель прогнозирования средней стоимости 1 кв.м. общей
площади на первичном рынке жилья Тульской области. Общий вид модели представлен
ниже.
Price_1
= -2005,3 - 859,8*pop_inc - 1074,1*unemployment + 12,7*house + 0,068*vrp_n + 0,968*lag
Далее выполним ретроспективный прогноз для средней цены 1 кв.м. жилой
площади первичного рынка Тульской области на 2011-2014 гг. Результат
представлен в Таблице 44.
Рисунок
44 - Прогноз средней стоимости 1 кв.м. жилой площади первичного рынка Тульской
области
|
Прогнозное значение
|
Фактическое значение
|
Относительная ошибка
прогноза
|
Средняя относительная
ошибка прогноза
|
|
2011 г.
|
40219
|
42152
|
4,6
|
2,7
|
|
2012 г.
|
42283
|
41795
|
1,2
|
|
|
2013 г.
|
45386
|
44597
|
1,8
|
|
|
2014 г.
|
50646
|
48995
|
3,4
|
|
Средняя ошибка аппроксимации составила 2,7%, что говорит о высоком
качестве прогнозирующей способности модели. Из графика (Рисунок 45) видно, что
в данном случае наибольшее несоответствие фактических и прогнозных значений
наблюдается как раз в кризисный период 2008-2010 гг., такое поведение можно
объяснить выбором факторов, которые показывают моментальную реакцию на
кризисный дисбаланс.
Рисунок
45 - График фактических и прогнозных цен
В результате построения было выявлено, что из всего перечня выделенных
изначально факторов влияние на средние цены Тульской области оказывают только
естественный прирост населения, уровень безработицы, ВРП и ввод в действие
жилых домов.
Положительное влияние на рост цен оказывают ВРП и ввод в действие жилых
домов. Рост безработицы стимулирует падение цен, так как вместе с ростом числа
безработных падают и платежеспособность населения. Прирост населения также
отрицательно сказывается на ценах.
Наличие лага зависимой переменной говорит о влиянии цены предыдущего
периода на цены текущего, причем наблюдаемая зависимость положительная.
.3 Выводы
по моделям прогнозирования цен для регионов
В Таблице 16 представлена результирующая сводка по качеству построенных
моделей для субъектов ЦФО - Белгородская, Воронежская и Тульская области.
Таблица
16 - Результаты построения моделей прогнозирования
|
ARIMA-модель
|
Регрессия
|
|
R-квадрат
|
Средняя относительная
ошибка
|
R-квадрат
|
Средняя относительная
ошибка
|
|
Белгородская обл.
|
0,97
|
6,6
|
0,98
|
7,5
|
|
Воронежская обл.
|
0,99
|
5,5
|
0,99
|
4,4
|
|
Тульская обл.
|
0,98
|
6,2
|
0,98
|
2,7
|
Все построенные модели показали хорошие прогностические способности, тем
не менее, использование каждого из подходов должно соответствовать целями и
периодом построения прогноза.
Ретроспективные прогнозы ARIMA
моделей для Белгородской, Воронежской и Тульской областей показали, что в
долгосрочной перспективе наблюдаются заметные отклонения от фактических данных.
Это можно объяснить тем, что модели не учитывают внешних факторов, например,
кризис или состояние рынка, а 2015 г. показал довольно резкое снижение цены, в
то время как модель "уловила" тенденцию к росту прошлых периодов. В
данном случае можно сделать вывод о том, что ARIMA-модель наиболее эффективна для построения
краткосрочных прогнозов на ближайшие 1-2 периода. Тем не менее, средняя
относительная ошибка прогноза не превышает 7% для всех моделей, что говорит о
хорошей точности прогноза.
Что касается многофакторных регрессионных моделей, то данный подход в
большей степени пригоден для долгосрочного прогнозирования, поскольку данные
модели включают внешние факторы и позволяют учитывать специфику отдельных
регионов. Построение такого рода моделей является более затратным и трудоемким
процессом, поскольку для этого необходимы данные по независимым переменным,
которые, свою очередь, зачастую также необходимо прогнозировать, но за счет
многофакторности достигается большая степень точности при прогнозировании.
Средняя относительная ошибка рассмотренных регрессионных моделей не превышает
8%. Стоит также отметить, что для каждого отдельного региона значимыми
оказались различные факторы, что доказывает наличие индивидуальных
специфических особенностей у каждого из регионов и подчеркивает необходимость
их учета.
Заключение
Ценообразование является одним из ключевых элементов экономики любого уровня, выполняя одновременно регулирующую и индикативную роли. Воздействие процессов ценообразования на социально-экономическую ситуацию в стране и в регионе неоспоримо. С другой стороны, цены на товары и услуги формируются под воздействием множества факторов, имеющих не только экономические и политические, но в значительной степени и психологические истоки. Поэтому анализ и прогнозирование развития отдельных регионов и страны в целом невозможны без исследования динамики цен.
Методы экономико-математического моделирования позволяют не только оценить и спрогнозировать экономическую ситуацию, но также выявить факторы, влияющие на динамику цен, и подобрать инструменты для ее регулирования. Однако в последнее время под влиянием мировой интеграции и всеобщей глобализации происходит усложнение экономических процессов, использование стандартных методов моделирования и прогнозирования экономических процессов, в том числе в области ценообразования,
становятся недостаточным. В связи с этим возникает необходимость применения специфических моделей анализа и прогнозирования,
позволяющих более глубоко изучить ценовые процессы и учитывающих их особенности на разных уровнях.
В рамках данной работы были исследованы и рассмотрены факторы, влияющие
на развитие рынка жилой недвижимости в регионах России. Кроме того, был дан
обзор основных подходов, применяемых при прогнозировании цен на недвижимость.
Практическая часть работы была посвящена построению прогностических
моделей средней цены объектов жилой недвижимости на первичном рынке трех
крупнейших по численности населения субъектов ЦФО РФ - Белгородская,
Воронежская и Тульская области. Для каждого из регионов была построена
отдельная модель и построен ретроспективный прогноз. Использовалось два подхода
- построение интегрированной модели авторегрессии-скользящего среднего (ARIMA) и многофакторная регрессионная
модель.
В результате средняя относительная ошибка всех рассмотренных моделей не
превышает 8%, что говорит о хорошей прогностической способности моделей. Тем не
менее, был сделан вывод о том, что модели авторегрессии подходят в первую
очередь для краткосрочного прогнозирования (на 1-2 периода), регрессионные
модели могут применяется для более дальних прогнозов, но требуют наличия информации
по определяющим факторам.
Список
литературы
1. Азнабаев А.М., Математическая модель массовой оценки
рынка жилой недвижимости // Автореф. дис. на соиск. ученой степ. канд. экон.
наук. - Уфа: 2012. - 25 с.
2. Айвазян С.А. Методы эконометрики: учебник. - М.:
Магистр: ИНФРА-М, 2010.
. Асаул А.Н., Гордеев Д.А., Ушакова Е.И. Развитие
рынка жилой недвижимости как самоорганизующейся системы / под ред. засл.
строителя РФ, д-ра экон. наук, проф. А.Н. Асаула. - СПб. : ГАСУ, 2008. - 334 с.
. Бабешко Л.О. Основы эконометрического моделирования:
Учеб. Пособие. - М.: КомКнига, 2006.
. Балабанов И.Т. Операции с недвижимостью в России. -
М.: Финансы и статистика. - 1996. - 122 с.
. Бокс Дж., Дженкинс Г. "Анализ временных рядов.
Прогноз и управление" - М.: Мир, 1994 г.
. Вербик Марно Путеводитель по современной
эконометрике. - М.: Научная книга, 2008.
. Владимирова Л.П. Прогнозирование и планирование в
условиях рынка: учеб. пособие. М.: Изд. дом "Дашков и К", 2000. 308
с.
9. Герасименко В.В. Ценообразование: Учеб пособие.- М.:ИНФА-М, 2005.-(серия "Учебники экономического факультета МГУ им. М.В. Ломоносова), 430 с.
10. Глущенко К.П. Ценовые взаимодействия российских региональных рынков// Пространственная экономика. -2007. -№1.
-С. 48-60.
11. Грибовский С.В. Оценка стоимости недвижимости: Учебное
пособие. М.: Маросейка, 2009. - 432 с.
12. Грибовский С.В., Иванова Е.Н., Львов Д.С., Медведева
О.Е. Оценка стоимости недвижимости. - М.: ИНТЕРРЕКЛАМА, 2003. - 704 с.
. Грибовский С.В., Сивец С.А. Математические методы
оценки стоимости недвижимого имущества - М.: Финансы и статистика, 2008. - 368
с.
. Дуброва Т.А. Статистические методы прогнозирования.
- М.: ЮНИТИ-ДАНА, 2003.
. Заводова Т.С. Экономико-математическое моделирование
ценообразования и доступности жилья на региональном рынке // Автореферат
диссертации на соискание ученой степени канд. экон. наук. - M, 2009. - 20 c.
. Канторович Г.Г. Анализ временных рядов//
Экономический журнал ВШЭ. - 2002. №3. - с. 379-401.
. Магнус Я.Р. Эконометрика: Начальный курс: Учебное
пособие/ Я.Р. Магнус, П.К. Катышев, А.А. Пересецкий. - М.: Дело, 2005. - 503с.
. Мамаева О.А. Статистический анализ и прогнозирование
развития рынка жилой недвижимости городского округа Самара // Автореферат
диссертации на соискание ученой степени канд. экон. наук. - Самара, 2009 - 26
с.
. "Методологические рекомендации по наблюдению за
уровнем и динамикой цен на рынке жилья", утверждены Приказом Росстата №7
от 20.01.2009г.
. Методология и другие материалы по рейтингу регионов
по качеству жизни в PDF-формате / http://vid1.rian.ru/ig/ratings/life_2012.pdf.
. Микерин Г.И., Гребенников В.Г., Нейман Е.И.
Методологические основы оценки стоимости имущества. М.: Интерреклама, 2003.
. Мингазова Л.М. Методика оценки региональной
привлекательности вложений в недвижимость // Новое слово в науке и практике:
гипотезы и апробация результатов исследований: Сб. материалов II-й Междунар.
науч.-практ. конф. - Новосибирск, 2012. - С. 127 - 133.
. Мирзоян Н.В., Управление и оценка недвижимости. /
Московская финансово-промышленная академия. - М., 2007. - 251 с.
. Обзор центра макроэкономических исследований
Сбербанка России. 09.12.2008. Цены на недвижимость в России и в мире: текущая
динамика и перспективы. Режим доступа: http://www.sberbank.ru/
com-mon/img/uploaded/files/pdf/press_center/Review_4.pdf
25. Обзор центра макроэкономических исследований
Сбербанка России. Сентябрь 2010. Рынок жилья: выход из кризиса. Режим доступа:
http://www.sberbank.ru/common/img/uploaded/files/pdf/press_center/
Review_september_2010_home.pdf
26. Практикум по эконометрике: Учеб. пособие / Под ред.
И.И. Елисеевой. - М.: Финансы и статистика, 2001.
. Ронова Г.Н., Осоргин А.Н. Оценка недвижимости:
Учебно- методический комплекс. - М.: Изд. центр ЕАОИ. 2008. - 356 с.
Борисенок Н.К. Статистическое исследование рынка жилья
Российской Федерации // Автореф. дис. на соиск. ученой степ.канд. экон. наук. -
М., 2013. - 27 с.
. Стерник Г.М. Методика прогнозирования цен на жилье в
зависимости от типа рынка. - Журнал "Имущественные отношения в РФ",
2011 № 1, стр. 43-47.
29. Стерник Г.М. Рынок жилья России в 2001 году. Анализ и
прогноз. - РГР, декабрь 2001.
. Стерник Г.М. Технология анализа рынка недвижимости.
Методические рекомендации Российской гильдии риэлторов по анализу рынка
недвижимости. - М.: 2005. - 200 с.
. Стерник Г.М. Цены предложения на рынке жилья городов
России: анализ и прогноз. СтерниксКонсалтинг, 2007. - 180 с.
. Стерник Г.М., Краснопольская А.Н. Негармоническое
разложение ценовой динамики рынка жилья Москвы. Москва 2006. Режим доступа:
http://realtymarket.ru/metodi-eskie-materiali/Sternik-G.M.-Krasnopolskaya-A.N.-NEGARMONI-ESKOE-RAZLOJENIE-CENOVOI-DINAMIKI-RINKA-JILYA-MOSKVI.html.
. Стерник Г.М., Стерник С.Г. Анализ рынка недвижимости
для профессионалов. М., 2009. - 606 с.
. Стерник Г.М. Ценообразование на рынке жилья России.
. Федеральная служба государственной статистики РФ
[Электронный ресурс]. URL: http://www.gks.ru (Дата обращения: 23.04.2016)
. Экономико-математические методы и прикладные модели:
Учеб. пособие для вузов / В.В. Федосеев, А.Н. Гармаш, Д.М. Дайитбегов и др.;
Под ред В.В. Федосеева. - М.: ЮНИТИ, 2002.