Характеристик марковской и немарковской моделей
Содержание работы
Введение
.
Обзор литературы
.
Постановка задачи
.
Описание немарковской СМО с двумя типами заявок с помощью марковской модели с
соответствующими параметрами
.1
Вероятность потери заявки q
.2
Средняя длина очереди
.
Построение математической модели СМО с двумя типами заявок в виде трехмерного
марковского процесса
.
Построение имитационной модели СМО с двумя типами заявок
.1
Основной алгоритм
.2
Алгоритм нахождения вероятности потери заявки
.3
Алгоритм нахождения средней длины очереди
.
Расчет значений асимптотических характеристик для системы M|G|2|2 с измененными
параметрами
.1
Марковская модель СМО с соответствующими параметрами
.1.1
Вероятность потери заявки q
.1.2
Средняя длина очереди
.2
Математическая модель СМО в виде трехмерного марковского процесса
.3
Имитационная модель
.
Статистическая обработка и сравнение полученных результатов
Заключение
Список
использованных источников
Введение
Теория массового обслуживания (ТМО) - наука,
сочетающая в себе методы теории вероятностей и математической статистики. ТМО
определяет оптимальную структуру систем массового обслуживания (СМО) и процесса
обслуживания путем изучения входящих и исходящих потоков требований, длины
очереди и длительности обслуживания на приборах.
ТМО наука сравнительно молодая, появилась она в
начале двадцатого века, однако к нашему времени обрела небывалую популярность.
Важность теории массового обслуживания для современного общества объясняется
повсеместным применением систем массового обслуживания: кассиры, банкоматы,
справочные центры, лифты и т. д. ТМО получила широкое распространение в таких
областях как торговля, производство, транспорт, здравоохранение, телекоммуникации
и т.д. Грамотная организация обслуживания, например, в супермаркете, позволяет
снизить недовольство среди клиентов и тем самым повысить доходность торговой
точки. На данный момент все больше и больше предприятий обращаются к методам
ТМО.
В зависимости от характера входящего потока
требований и распределения времени обслуживания все системы массового
обслуживания можно разделить на два типа: марковские и немарковские. У
марковских систем время обслуживания распределено экспоненциально, а входящий поток
заявок пуассоновский. Если эти два требования не выполнены, то систему можно
считать немарковской. Пуассоновским называют поток событий, обладающий
свойством отсутствия последействия и ординарностью.
Марковские СМО очень хорошо изучены, им
посвящено немалое количество научных трудов, поэтому проанализировать, а затем
оптимизировать подобную систему массового обслуживания не составит труда.
Совсем по-другому дела обстоят с немарковскими СМО. Для таких систем не
существует стандартного набора формул для расчета основных асимптотических
характеристик, поэтому процесс оптимизации немарковских СМО занимает длительное
время и в обязательном порядке требует применения имитационного моделирования.
В моей работе я буду рассматривать немарковскую
систему массового обслуживания с двумя типами заявок. Рассматриваемая СМО
обладает пуассоновским входящим потоком требований, но время обслуживания для
двух типов заявок распределено экспоненциально с различными параметрами,
поэтому формулы для марковских СМО к такой системе в ее первоначальном виде не
применимы.
Системы с несколькими типами заявок довольно
часто встречаются в реальной жизни. Например, в поликлинике врач может
выписывать пациенту справку или же проводить осмотр. Очевидно, что перед нами
два типа заявок. Причем два вида пациентов приходят с различной частотой и
время, необходимое для осмотра или выписки справки, также различное.
Как было сказано ранее, исследование
немарковских систем массового обслуживания невозможно без имитационного
моделирования, поэтому часть моей работы будет посвящена написанию программы
для моделирования рассматриваемой СМО и расчета ее основных характеристик.
Но главной целью моего исследования является не
обычное моделирование немарковской СМО, а выяснение возможности описания такой
СМО с помощью марковской модели. Описав таким образом немарковскую систему, я
рассчитаю для нее среднюю длину очереди и вероятность потери заявки, используя
соответствующие стандартные формулы. В результате проделанной работы я получу
два набора основных асимптотических характеристик для немарковской СМО. На
основании совпадения или несовпадения значений в этих наборах можно будет
судить об адекватности рассматриваемой марковской модели.
Рассчитать точные значения основных
асимптотических характеристик немарковской системы можно не только с помощью
имитационного моделирования, но и построив математическую модель СМО с двумя
типами заявок в виде трехмерного марковского процесса. Построение такой модели
занимает длительное время, однако полученные значения асимптотических
характеристик позволяют не только проверить адекватность вышеназванной
марковской модели, но и правильность программы, моделирующей немарковскую СМО.
Если по итогам проделанной работы можно будет
сделать вывод о том, что немарковские системы можно описывать с помощью
марковских моделей, то процесс их оптимизации возможно будет значительно
облегчить использованием стандартных формул для марковских СМО. Рассмотренный
пример с поликлиникой далеко не единственный, СМО с двумя типами заявок можно
встретить и во многих других областях, например в производстве или банковском
деле. Поэтому данное исследование, несомненно, принесет практическую пользу.
марковский асимптотический
немарковский заявка
1. Обзор литературы
Научные статьи позволили мне наиболее близко
ознакомиться с областями применения СМО с несколькими типами заявок.
«Математическая модель потоков покупателей
двухпродуктовой торговой компании в виде системы массового обслуживания с
повторными обращениями к блокам» - первая работа, о которой мне хотелось бы
рассказать. Как понятно из названия, данная статья связана с работой магазина.
Главной задачей для Л. А. Жидковой и С. П. Моисеевой, авторов этого
исследования, было выявление вероятности возвращения клиентов в магазин, а
также определение условий проведения акций для обеспечения максимальной прибыли
рассматриваемой торговой компании. Л. А. Жидкова и С. П. Моисеева представили
магазин в виде системы массового обслуживания с двумя типами заявок,
неограниченным числом обслуживающих приборов и с повторным обращением. Под
двумя типами заявок подразумевалось два типа товаров, которые могли приобретать
покупатели: продовольственные и непродовольственные.
На вход получившейся СМО поступал простейший
пуассоновский поток сдвоенных требований с параметром λ.
Таким
образом, в систему одновременно поступали две заявки с разным временем
обслуживания, распределенным по экспоненциальному закону с параметрами
и
,
соответственно. После поступления в систему заявки разных типов распределялись
по двум блокам обслуживания, каждый из которых содержал неограниченное
количество обслуживающих приборов. Обслуженная заявка с определенной
вероятность могла вернуться в систему или же покинуть ее.
В качестве рекламной акции для привлечения
клиентов авторы работы предложили прилагать к покупкам бесплатные подарки. С.
П. Моисеева и Л. А. Жидкова определили влияние стоимости бонусного подарка на
вероятность возвращения клиентов в магазин, а также рассчитали оптимальную
стоимость подарка для получения максимальной прибыли.
Другая заинтересовавшая меня статья
«Многорежимная сеть массового обслуживания со случайным временем пребывания
различных типов отрицательных заявок» принадлежит авторству О. В. Якубовича и
Ю. Е. Дудовской. Авторы отмечают, что появление СМО с отрицательными заявками
обусловлено современными реалиями. Отрицательные заявки не требуют обслуживания
и при поступлении в обслуживающий узел системы уменьшают длину непустой очереди
на одну заявку. В качестве отрицательных заявок можно представить, например,
компьютерные вирусы, которые уничтожают информацию, то есть положительные
заявки.
В рассматриваемой О. В. Якубовичем и Ю. Е.
Дудовской системе массового обслуживания на вход поступает
число
независимых пуассоновских потоков требований с различными параметрами
интенсивности для
типов
отрицательных и положительных заявок. После поступления в систему отрицательная
заявка находится в ней некоторое время, а затем покидает СМО, при этом уменьшая
на единицу длину очереди положительных заявок соответствующего типа или же не
производя никакого воздействия на систему, если очередь пуста.
Авторы исследовали систему с отрицательными
заявками и аналитически вывели формулу для нахождения стационарного
распределения вероятностей состояний СМО.
Анализ научных работ показал, что системы
массового обслуживания с несколькими типами заявок широко применяются в
различных аспектах реальной жизни, однако статей по данной теме сравнительно
немного. Итак, малое количество научных трудов, посвященных системам массового
обслуживания с несколькими типами заявок, и широкое применение таких СМО только
подтверждает актуальность моего исследования.
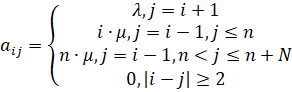
2. Постановка задачи
В своей работе я буду рассматривать немарковскую
систему массового обслуживания с двумя типами заявок M|G|n|N.
Данная система имеет пуассоновский входящий
поток требований, n обслуживающих приборов и конечную очередь (N мест). Функция
распределения времени обслуживания для СМО с двумя типами заявок вычисляется по
формуле полной вероятности:
где
время
обслуживания,
заявки первого и
второго типа соответственно.
Таким образом, функция распределения времени
обслуживания рассматриваемой СМО имеет следующий вид:
Интенсивность общего входящего потока
равна
сумме интенсивностей входящих потоков для заявок первого и второго типов:
.
Интенсивность обслуживания для заявок разных типов различна:
для
заявок первого типа и
для заявок второго
типа.
В качестве примера рассмотрим СМО с выбранными
значениями основных параметров:
Таким образом, получим систему M|G|2|2 со
следующей функцией распределения времени обслуживания:
Для полученной системы необходимо рассчитать
вероятность потери заявки и среднюю длину очереди. Сделать это можно тремя
способами, два из которых сведены к построению математической модели СМО, а
третий представляет собой построение модели имитационной.
Первый способ заключается в описании
рассматриваемой немарковской системы с помощью марковской модели СМО. Для этого
необходимо математически преобразовать параметры немарковской СМО
соответствующим образом и впоследствии воспользоваться стандартными формулами
для расчета ее основных асимптотических характеристик.
Второй способ расчета асимптотических
характеристик состоит в построении математической модели СМО с двумя типами
заявок в виде трехмерного марковского процесса.
Третий способ - разработка имитационной модели
немарковской СМО. Я напишу компьютерную программу, чтобы смоделировать систему
M|G|2|2 и получить для нее статистические оценки вероятности потери заявки и
средней длины очереди.
Основная задача данной работы - сравнение
полученных результатов. На основании совпадения или несовпадения значений
асимптотических характеристик рассматриваемой немарковской СМО, рассчитанных
тремя различными способами, можно будет сделать вывод о допустимости описания
немарковской системы с помощью марковской модели СМО.
. Описание немарковской СМО с двумя типами
заявок с помощью марковской модели с соответствующими параметрами
Как было сказано ранее, для использования
стандартных формул для расчета вероятности потери заявки и средней длины
очереди можно попробовать описать немарковскую систему с помощью марковской
модели СМО. Для этого рассмотрим марковскую СМО с соответствующими параметрами.
Представим
как сумму
интенсивностей входящих потоков
, а
как
,
где
среднее
время обслуживания для немарковской модели СМО. Таким образом, получаем
марковскую модель СМО M|M|2|2 с интенсивностью входящего потока
и
математическим ожиданием времени обслуживания
как
у немарковской модели.
Для получившейся марковской модели можно
использовать стандартные формулы.
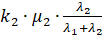
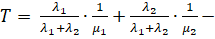
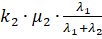
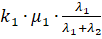
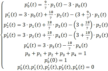
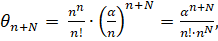
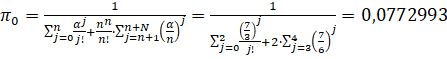
.1 Вероятность потери заявки q
где

.2 Средняя длина очереди
где
компоненты
стационарного распределения
Средняя длина очереди для рассматриваемой СМО
находится по следующей формуле:
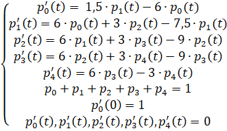
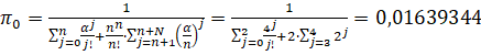
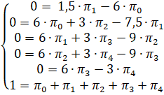
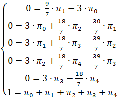
Для нахождения компонент стационарного
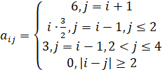
распределения воспользуемся уравнениями Колмогорова:
где
Вероятности перехода системы из состояния
в
состояние
:
Вероятности перехода для рассматриваемой СМО:
Система уравнений Колмогорова для рассматриваемой
СМО:
От уравнений Колмогорова переходим к системе
линейных уравнений:
Решив данную систему, получаем значения
компонент стационарного распределения:
Используя полученные значения, можем рассчитать
среднюю длину очереди:
. Построение математической модели СМО с двумя
типами заявок в виде трехмерного марковского процесса
Марковский процесс - это случайный процесс,
удовлетворяющий марковскому свойству, т. е. для любого момента времени
вероятностные
характеристики такого процесса в будущем зависят только от его состояния в
данный момент
и не зависят от
того, как процесс в это состояние пришел.
Представим рассматриваемую СМО с двумя типами
заявок в виде трехмерного марковского процесса:
где
-
число приборов, обслуживающих заявки первого типа
- число приборов,
обслуживающих заявки второго типа
, где n - общее
число обслуживающих приборов
- число требований
в очереди
Рассмотрим всевозможные переходы между
состояниями такого процесса и соответствующие интенсивности.
Для
возможные
переходы:
интенсивность
перехода =
интенсивность
перехода =
интенсивность
перехода =
интенсивность
перехода =
Для
возможные
переходы:
интенсивность
перехода =
интенсивность
перехода =
интенсивность
перехода =
Для
возможные
переходы:
интенсивность
перехода =
интенсивность
перехода =
интенсивность
перехода =
интенсивность
перехода =
интенсивность
перехода =
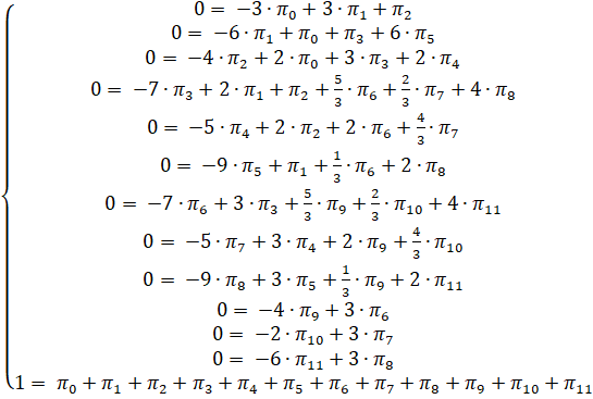
Выпишем возможные переходы между состояниями и
их интенсивности для системы M|G|2|2:

Зная интенсивности переходов, можем составить
систему уравнений Колмогорова для рассматриваемой СМО.
Перейдем от уравнений Колмогорова к системе
линейных уравнений, которая позволит нам найти компоненты стационарного
распределения и впоследствии рассчитать среднюю длину очереди и вероятность
потери заявки для системы M|G|2|2.
Решив систему, получим следующие значения
компонент стационарного распределения:
Используя полученные значения, можем рассчитать
среднюю длину очереди
и вероятность
потери заявки
.
. Построение имитационной модели СМО с двумя типами
заявок
В качестве среды для имитационного моделирования
мною был выбран открытый онлайн-сервис SageMathCloud, включающий такие области
науки как алгебра, геометрия, статистика, теория вероятностей. SageMath
представляет собой бесплатную альтернативу известным математическим программным
пакетам: MATLAB, Maple, Matematica. Многие функции для математических
вычислений уже встроены в SageMath и не требуют написания для них отдельного
кода, что позволяет значительно ускорить процесс моделирования системы массового
обслуживания. SageMathCloud предлагает пользователю открытый исходный код,
удобный интерфейс, доступ к коду с любого компьютера, подключенного к сети
Интернет, а также возможность дополнить расчеты 2D или 3D графикой.
Выбранное программное обеспечение базируется на
языке программирования Python, который обладает простым и понятным синтаксисом,
а также богатым набором функций. Python - это высокоуровневый язык
программирования, позволяющий создавать легко читаемый, гибкий и лаконичный
код, идеально подходящий для сложных математических расчетов и имитационного
моделирования.
Моя задача заключается в реализации имитационной
модели немарковской системы M|G|2|2 с двумя типами заявок. Создание данной
модели предполагает реализацию трех алгоритмов:
основной алгоритм или алгоритм обслуживания
заявок;
алгоритм нахождения вероятности потери заявки;
алгоритм нахождения средней длины очереди.
В качестве входных данных программы выступают
основные параметры СМО (
,
,
,
,
),
а выходных - ее основные асимптотические характеристики (средняя длина очереди
и вероятность потери заявки).
Рассмотрим более детально каждый из алгоритмов,
составляющих имитационную модель рассматриваемой системы.
.1 Основной алгоритм
Данный алгоритм описывает функционирование
модели в целом: поступление заявок в систему, их обслуживание, перемещение в
очередь или потерю.
Заявки поступают в систему в промежуток времени
от 0 до 1000 часов с интенсивностью
.
Входящий поток заявок генерируется случайным образом с использованием экспоненциального
распределения. Если на момент поступления заявки в системе есть свободные
приборы, то заявка сразу поступает на обслуживание, которое проходит с
интенсивностью
или
в
зависимости от типа заявки. Если же на момент прихода требования все приборы
заняты, то заявка либо переходит в очередь (если в ней есть свободные места),
либо теряется (если мест в очереди нет). Когда заявка переходит в очередь,
программа запоминает ее тип и соответствующую интенсивность обслуживания. В
промежуток времени между приходами заявок приборы могут освободиться. В этом
случае программа проверяет очередь на наличие в ней заявок. Если очередь не
пуста, то требования поступают на обслуживание, а количество заявок в очереди
уменьшается.
Для построения оценок асимптотических
характеристик программа 100 раз повторяет данный алгоритм для промежутка
времени от 0 до 1000 часов.
Для большей наглядности представим описанный
выше алгоритм в виде блок-схемы.
Рис. 1. Блок-схема основного алгоритма
имитационной модели
.2 Алгоритм нахождения вероятности потери заявки
Как было сказано ранее, программа 100 раз
выполняет основной алгоритм для промежутка времени от 0 до 1000 часов. Значение
вероятности потери заявки будет представлять собой среднее от выборки из 100
значений.
В программе имеется счетчик заявок, поступивших
в систему, и счетчик потерянных заявок. Отношение потерянных требований к
поступившим и есть вероятность потери заявки.
Представим блок-схему данного алгоритма.
Рис. 2. Блок-схема алгоритма нахождения
вероятности потери заявки
5.3 Алгоритм нахождения средней длины очереди
После выполнения основного алгоритма для промежутка
времени от 0 до 1000 часов программа запоминает число заявок, находившихся в
очереди на момент поступления в систему последнего требования.
Поскольку программа выполняется 100 раз для
обозначенного временного интервала, то мы получаем выборку из 100 значений, а
средняя длина очереди - это среднее от получившейся выборки.
Представим блок-схему данного алгоритма.
Рис. 3. Блок-схема алгоритма нахождения средней
длины очереди
Программа выводит следующие значения основных
асимптотических характеристик.
Вероятность потери заявки: 0,295787029305172
Средняя длина очереди: 0,830000000000000
. Расчет значений асимптотических характеристик
для системы M|G|2|2 с измененными параметрами
Для этой цели рассмотрим аналогичную СМО со
следующими параметрами:
. Поскольку
алгоритмы построения имитационной и математических моделей были ранее описаны в
этой работе, то для системы с новыми параметрами будут представлены только
конкретные расчеты без углубления в теорию.
.1 Марковская модель СМО с соответствующими
параметрами
.1.1 Вероятность потери заявки q
.1.2 Средняя длина очереди
Вероятности перехода для рассматриваемой СМО:
Система уравнений Колмогорова:
Система линейных уравнений:
Значения компонент стационарного распределения:
Средняя длина очереди:
.2 Математическая модель СМО в виде трехмерного
марковского процесса
Выпишем возможные переходы между состояниями и
их интенсивности для системы M|G|2|2 с новыми параметрами:
Система уравнений Колмогорова:
Система линейных уравнений:
Значения компонент стационарного распределения:
0,0301430568657523

Используя полученные значения, можем рассчитать
среднюю длину очереди
и вероятность
потери заявки
.
.3 Имитационная модель
Вероятность потери заявки: 0,526894371766937
Средняя длина очереди: 1,32000000000000
7. Статистическая обработка и сравнение
полученных результатов
Для немарковской СМО M|G|2|2 с двумя различными
наборами параметров тремя способами были рассчитаны такие асимптотические
характеристики как вероятность потери заявки и средняя длина очереди.
Результаты вычислений представлены в таблицах.
Таблица 1 - Значения асимптотических
характеристик для системы M|G|2|2 с параметрами
|
Марковская
модель СМО
|
Математическая
модель СМО в виде трехмерного марковского процесса
|
Имитационная
модель СМО
|
|
Вероятность
потери заявки
|
0,28641299
|
0,29479168324904035
|
0,295787029305172
|
|
Средняя
длина очереди
|
0,8183227961350352
|
0,8209937063454386
|
0,830000000000000
|
Таблица 2 - Значения асимптотических
характеристик для системы M|G|2|2 с параметрами
|
Марковская
модель СМО
|
Математическая
модель СМО в виде трехмерного марковского процесса
|
Имитационная
модель СМО
|
|
Вероятность
потери заявки
|
0,52459008
|
0,52627695155053
|
0,526894371766937
|
|
Средняя
длина очереди
|
1,3114754098360655
|
1,
307974128904745
|
1,32000000000000
|
Проведем статистическую обработку результатов,
полученных с помощью имитационного моделирования. Вероятность потери заявки и
средняя длина очереди являются средними значениями для выборок, которые получает
программа, выполняя алгоритм 100 раз. Оценим доверительный интервал данных
выборок.
Поскольку объем выборок достаточно большой, то
выборочное среднее имеет нормальное распределение. Таким образом, будем
рассчитывать для выборок нормальный доверительный интервал. Величина
попадает
в доверительный интервал, если выполняется следующее неравенство:
где
выборочное
среднее,
стандартное
отклонение,
размер выборки.
Значение параметра t определяется из равенства
надежность)
по таблице значений функции Лапласа. Значение надежности примем равное 0,95.
Для расчета доверительных интервалов полученных
выборок я воспользовалась встроенными функциями программного обеспечения
Microsoft Excel.
Границы доверительных интервалов представлены в
таблицах
Таблица 3 - Доверительные интервалы для системы
M|G|2|2 с параметрами
|
Нижняя
граница доверительного интервала
|
Верхняя
граница доверительного интервала
|
|
Вероятность
потери заявки
|
0,29170567224904035
|
0,298873040305172
|
|
Средняя
длина очереди
|
0,651707903
|
1,008292097
|
Таблица 4 - Доверительные интервалы для системы
M|G|2|2 с параметрами
|
Нижняя
граница доверительного интервала
|
Верхняя
граница доверительного интервала
|
|
Вероятность
потери заявки
|
0,523103163766937
|
0,530685579766937
|
|
Средняя
длина очереди
|
1,156299002
|
1,483700998
|
Для системы M|G|2|2 с параметрами
значение
средней длины очереди для марковской модели попало в доверительный интервал для
выборки, полученной по средствам имитационного моделирования. Значение
вероятности потери заявки в доверительный интервал не попало, однако оказалось
очень близко как к результату имитационного моделирования (разница с нижней
границей доверительного интервала составила 0,00529268224904035), так и к
результату для математической модели в виде трехмерного марковского процесса (разница
между значениями составила 0,00837869324904035).
Для системы M|G|2|2 с параметрами
значения
асимптотических характеристик для трех моделей получились практически
одинаковыми. Результаты для марковской модели попали в доверительный интервал
выборки, которую сгенерировала программа.
Заключение
В ходе данной работы была рассмотрена
немарковская система M|G|2|2 с двумя типами заявок. Основная цель исследования
состояла в проверке допустимости описания подобной системы с помощью марковской
модели. Для рассматриваемой СМО тремя различными способами были найдены
значения основных асимптотических характеристик. Первый метод заключался в
описании системы с помощью марковской модели, второй состоял в построении
математической модели СМО в виде трехмерного марковского процесса, третий метод
представлял из себя создание имитационной модели СМО. Последующее сравнение
полученных результатов показало, что с помощью первого способа можно получить
значения асимптотических характеристик системы, очень близкие к абсолютным.
Таким образом, можно судить о корректности описания немарковской системы с
помощью марковской модели СМО. Данный метод позволит значительно упростить и
ускорить процесс оптимизации немарковских систем массового обслуживания. А
поскольку именно такие системы чаще всего встречаются в реальности, то
результаты данной работы могут быть применимы в любой сфере деятельности,
связанной с обслуживанием заявок.
Список использованных источников
[1]
Жидкова Л. А., Моисеева С. П. Математическая модель потоков покупателей
двухпродуктовой торговой компании в виде системы массового обслуживания с
повторными обращениями к блокам // Известия Томского политехнического
университета [Известия ТПУ]. 2013. Т. 322, № 6: Экономика. Философия,
социология и культурология. История. С. 5-9.
[2]
Ивченко Г. И., Каштанов В. А., Коваленко И. Н. Теория массового обслуживания.
Москва: Издательство «Высшая школа», 1982.
[3]
Карташевский В. Г. Основы теории массового обслуживания. Учебник для вузов. М.:
Горячая линия - Телеком, 2013.
[4]
Якубович О. В., Дудовская Ю. Е. Многорежимная сеть массового обслуживания со
случайным временем пребывания различных типов отрицательных заявок // Проблемы
физики, математики и техники [ПФМТ]. 2012. № 4(13). С. 74-77
[5]
Sage Tutorial in Russian. Выпуск 7.6 URL: #"907676.files/image133.gif"> =
j + 1 #увеличиваем число пришедших заявок на 1= 0 #флаг для работы с заявками,
одна заявка - один приборk in range(0, 2): #рассматриваем приборы device[k]
< time and f==0: #если значение в ячейке к-го прибора меньше времени прихода
заявкиqueue > 0: #если число занятых мест в очереди больше 0[k] = device[k]
+ q[0] #к значению в ячейке к-го прибора прибавляем экспоненциально
распределенную с параметром
величину[0]=q[1][1]=0=
queue - 1 #уменьшаем количество занятых мест в очередиqueue == 0 and f == 0:
#если очередь свободна и мы еще не послали пришедшую заявку ни на один прибор=
0l > 2/3:[k] = time + random.expovariate(3) #в ячейку к-го прибора заносим
сумму времени прихода заявки и экспоненциально распределенную с параметром
величину:[k]
= time + random.expovariate(1)= 1 #обозначаем, что пришедшую заявку мы послали
на обслуживаниеf == 0 and queue < N: #если мы не послали заявку на
обслуживание и в очереди есть места= queue + 1 #отправляем заявку в
очередьq[0]==0: l > 2/3: #определяем тип заявки[0] = random.expovariate(3)
#обслуживание, соответствующее типу заявки:[0] = random.expovariate(1)q[1]==0:l
> 2/3:[1] = random.expovariate(3):[1] = random.expovariate(1)f == 0 and
queue == N: #если мы не послали заявку на обслуживание и в очереди нет мест=
lost + 1 #увеличиваем счетчик потерянных заявок на 1 = 0 #переменная для
подсчета свободных приборов на момент времени 1000k in range(0,2):
#рассматриваем все приборыdevice[k]<1000: #если прибор
свободен=A+1#увеличиваем значение параметра А на 1A == 0:= Aq + queueA!=0 and
queue >=A := Aq + queue - A:= Aq= average + (lost / j) #складываем
вероятности потери заявки в выборках 1-100 "Вероятность потери
заявки:" / 100 "Средняя длина очереди:"/ 100