Описание модели работы страховой компании в марковской среде
Содержание
Введение
. Классическая модель
Крамера-Лундберга с гамма-распределением величин исков
.1 Описание модели
.2 Дифференциальные уравнения
высокого порядка для вероятностей неразорения в случае гамма-распределения
величин исков
. Модель работы страховой
компании на марковской цепи
.1 Описание модели
.2 Система
интегро-дифференциальных уравнений для вероятностей неразорения. Теорема
существования и единственности решений
. Дифференциальные и
интегро-дифференциальные уравнения для вероятностей неразорения страховой
компании в случае гамма-распределения страховых исков
. Охрана труда
Заключение
Литература
Введение
Одним из важнейших показателей стабильности
любого бизнеса все еще остается вероятность неразорения страховой компании,
которая работает или не работает на финансовом рынке. Нахождению оценки
вероятности неразорения страхових компаний был посвящен ряд статей, например и
монографиях.
Динамика капитала
страховой
компании описывается уравнением [7]
где
-
начальный капитал;
- порядковый номер
переключения состояния среды;
- число
переключений состояний среды к моменту
;
- число страховых
случаев за время
при их
интенсивности
;
- интенсивности
страховых случаев в состоянии
и после
-ого
переключения соответственно;
- интенсивности
поступления взносов в состоянии
и после
-ого
переключения соответственно;
-
-ый
момент изменения состояния цепи,
;
-
размер
-ого
иска после
-ого переключения.
В работе [8] получена система
интегро-дифференциальных уравнений для вероятностей небанкротства страховой
компании:
Система уравнений (2) решается при граничных условиях:
Обзор результатов работ по разрешимости задачи
приводится во второй главе дипломной работы.
В первой главе приведен обзор работы [9],
который описывает модель Крамера-Лундберга, то есть случай, когда переходов из
состояния в состояние не будет, а размеры исков имеют гамма-распределение с
параметрами
и плотностью:
Тогда вероятность неразорения страховой компании
описывается следующим уравнением:
В главе 3 в рамках описанной в главе 2 задачи
исследуется случай, когда величины страховых исков имеют закон
гамма-распределения с параметрами, зависящими от состояния среды. Показано, что
в этом случае вектор
удовлетворяет
векторному дифференциальному уравнению высокого порядка:
1. Классическая модель Крамера-Лундберга без
марковской цепи
.1 Описание модели
Рассмотрим страховую компанию с начальным
капиталом
, которая получает
страховые взносы
, где
-
независимые одинаково распределенные случайные величины, равные величинам
страховых выплат клиентам. Если величины
имеют
функцию распределения
, а число выплат за
временной промежуток
описывается
пуассоновским процессом
с интенсивностью
исков
,
тогда балансовое уравнение для вероятности неразорения такой страховой компании
будет иметь вид [1]:
.2 Дифференциальные уравнения высшего порядка
для вероятностей неразорения
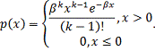
Определим закон гамма-распределения исков с
параметрами
. Его плотность:
Пусть размеры исков описывает
гамма-распределение с параметрами
,
тогда вероятность неразорения страховой компании, капитал которой
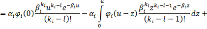
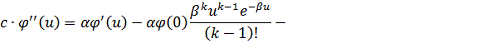
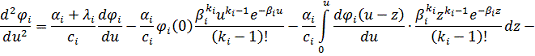
эволюционирует по модели Крамера-Лундберга, описывается уравнением:
Доказательство:
Поскольку размеры исков имеют
гамма-распределение с параметрами
,
то вероятность неразорения будем находить из уравнения:
В дальнейшем нам придется дифференцировать
равенство (1.3). Покажем, что операция взятия производной будет закономерна
вплоть до порядка
.
Действительно, при выводе формулы (1.1) показано, что функция
имеет
первую производную. Сделаем замену переменных в интеграле правой части (1.3),
положив
, тогда
правая часть уравнения (1.3) очевидно равна
Откуда видно, что правая часть полученного
выражения, а значит, и правая часть (1.3) дифференцируема по
,
то есть у функции
существует вторая
производная. Повторяя в дальнейшем приведенное рассуждение для уравнения
следующего порядка, убедимся в том, что функция
имеет
третью производную и т.д.
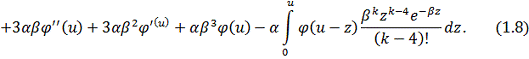
Следовательно, дифференцируя (1.3) по
,
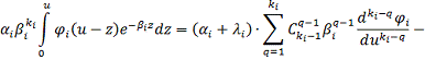
получим следующее интегро-дифференциальное уравнение:
Взяв по частям интеграл и подставив затем
полученное его значение в (1.4), будем иметь:
Выражая теперь значение второго интеграла из
(1.3) и подставив его в (1.5), получим:
Далее снова продифференцировав по
теперь
уже уравнение (1.6), и проделав затем все те же действия, получим:

Как можно было заметить из приведенных выше
уравнений, коэффициенты при производных являются коэффициентами из треугольника
Паскаля.
Снова дифференцирую (1.10) по
,
получим:
Взяв по частям интеграл в (1.11), будем иметь:
Подставив полученное его значение в (1.11),
получим:
Выразив
из
(1.10) и подставив его в (1.13), мы окончательно будем иметь:
Что и требовалось доказать.
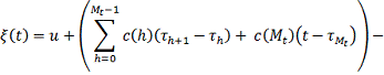
2. Модель работы страховой компании на
марковской цепи
.1 Описание модели
Будем рассматривать такую модель работы
страховой компании в марковской среде с
состояниями
{
},
где динамика капитала описывается следующим образом:
где
-
начальный капитал;
- порядковый номер
переключения состояния среды;
- число
переключений состояний среды к моменту
;
- число страховых
случаев за время
при их
интенсивности
;
- интенсивности
страховых случаев в состоянии
и после
-ого
переключения соответственно;
- интенсивности
поступления взносов в состоянии
и после
-ого
переключения соответственно;
-
-ый
момент изменения состояния цепи,
;
-
размер
-ого
иска после
-ого переключения.
Обозначим через
функцию
распределения величины иска, поступающего в страховую компанию, находящуюся в
-ом состоянии среды.
Введем матрицу перехода Марковской цепи
.Предполагается,
что переход из состояния
происходит под
воздействием событий одно-родного пуассоновского потока с интенсивностью
.
При этом при воздейст-вии событий потока переход возможен в одно из состояний
.
Здесь
-
условная вероятность того, что цепь перейдет из состояния
в
состояние
при условии, что
какой-нибудь переход точно произойдет. Так как переходы происходят под
воздействием событий потока и только из состояния
в
состояние
, то
В силу формулы
вероятность осуществления перехода из состояния
в
какое-нибудь состояние за время
под воздействием
пуассоновского потока с интенсивностью
равна
.
.2 Система интегро-дифференциальных уравнений
для вероятностей неразорения. Теорема существования и единственности решения
Рассмотрим вероятность
неразорения
из
-ого
начального состояния цепи и вероятность того, что банкротство не происходит при
начальном капитале
и начальном
состоянии
.
Получим интегральные уравнения для вероятностей
неразорения без предположения дифференцируемости функции
.
Теорема 2.1
Вектор-функция
удовлетворяет
системе интегральных уравнений:
Из теоремы 2.1 вытекает следующее утверждение.
Вектор-функция
-
непрерывно-дифференцируема на
и удовлетворяет
системе интегрo-дифференциальных уравнений:
Рассмотрим теорему существования и
единственности решения системы интегральных уравнений (2.2), удовлетворяющих
условию на бесконечности
Эта теорема доказана в [8] методом
последовательных приближений.
В работе был рассмотрен следующий метод
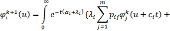
последовательных приближений для нахождения функций
которые
дают решения задачи (2.2), (2.4)
где
-
некоторые непрерывные и неубывающие на
начальные
функции такие, что
.
Теорема 2.3. [7]
Пусть существует постоянная
такая,
что
Тогда:) Система (2.1), (2.4) имеет решение
с монотонно неубывающими компонентами
такими,
что
;) Для
любого начального приближения
такого, что
, соответствующая
последовательность приближений (2.5) поточечно сходится к решению
.
3. Дифференциальные и интегро-дифференциальные
уравнения для вероятностей неразорения страховой компании в случае
гамма-распределения страховых исков
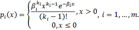
В этом разделе предполагается, что закон
распределения величин исков страховой компании, находящейся в -ом состоянии
среды, имеет
с плотностью:
Здесь
-
натуральные числа
.
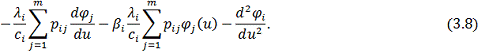
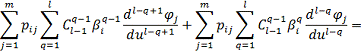
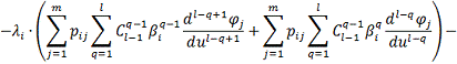
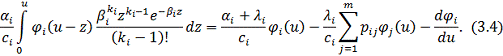
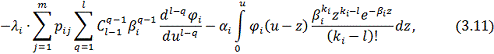
Тогда уравнение (2.3) перепишется в таком виде:
В дальнейшем мы будем дифференцировать равенство
(3.1). Покажем, что операция взятия производной будет закономерна вплоть до
порядка
.
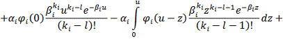
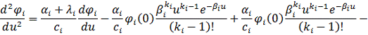
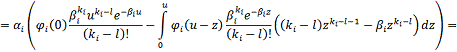
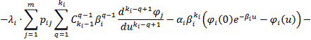
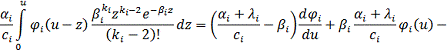
Продифференцируем (3.1) по
:
Посчитаем интеграл, взяв его по частям:
Выразим из (3.1) второй интеграл:
Подставим (3.3),(3.4) в (3.2):
Раскроем скобки и приведем подобные:
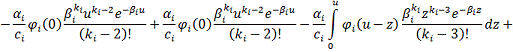
Проделаем то же действие еще раз,
продифференцируем (3.5) по
:
Посчитаем интеграл, взяв его по частям:
Выразим из (3.5) второй интеграл:
Подставим (3.7), (3.8) в (3.6):
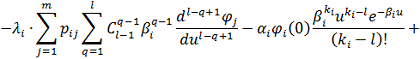
Раскроем скобки и приведем подобные:
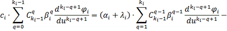
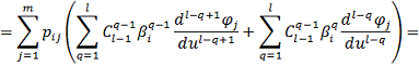
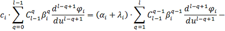
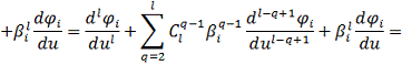
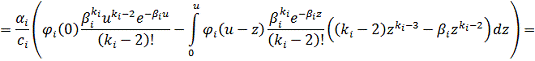
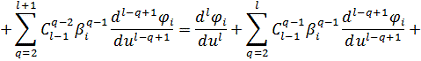
Проделав эти же действия еще раз, получим:
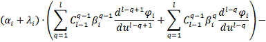
Таким образом, выразим результат
-ого
дифференцирования:
где
.
Докажем эту формулу методом математической
индукции. Из формул
(3.8) - (3.10) следует, что эта формула (3.11)
справедлива для
Для того, чтобы
доказать, что формула верна для любых
,
найдем
производную:
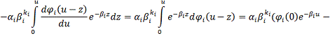
Посчитаем интеграл, взяв его по частям:
Выразим второй интеграл из (3.11):
Подставим (3.13),(3.14) в (3.12):
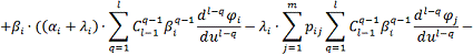
Раскроем скобки и приведем подобные:
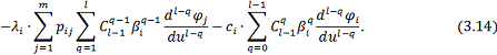
Вычислим суммы:
Подставим (3.14), (3.15), (3.16) в (3.13):
Мы получили формулу (3.11), если в нее вместо
подставить
,
что и требовалось доказать.
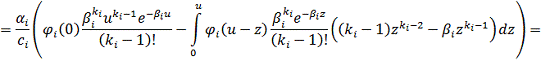
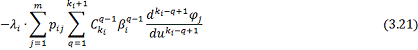
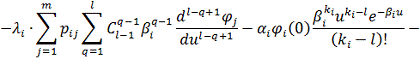
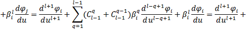
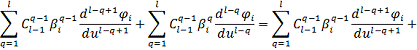
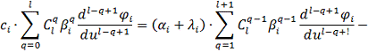
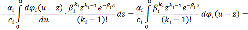
Найдем
производную:
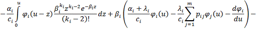
Продифференцируем (3.17):
Вычислим интеграл:
Выразим интеграл из (3.17)
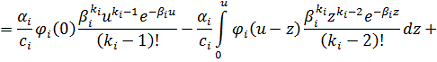
Подставим (3.19), (3.20) в (3.18)
Раскроем скобки и приведем подобные:
Воспользуемся формулами (3.14), (3.15), (3.16):
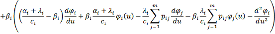
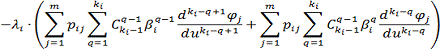
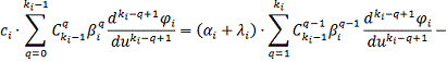
Уравнение (3.21) представимо в векторном виде:
где
- квадратная
матрица
.
Предположим, что
.
Пусть
такая,
что
при
чем
.
Тогда матричный коэффициент
может быть
вырожденным. Такие уравнения исследовали в [6], [10], [11] в более сложной
ситуации бесконечномерного пространства.
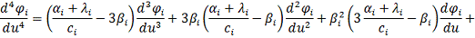
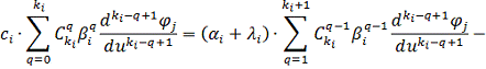
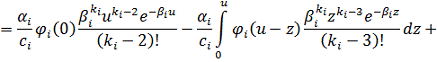
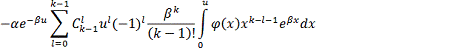
Путем явного дифференцирования уравнения (3.11)
при
можно
уравнение (3.22) свести к явному уравнению:
Проверим условия теоремы существования и
единственности решения. Для этого нам нужно доказать, что существует такая
константа
, что
Потребуем более сильное условие:
Тогда
4. Охрана труда
Охрана труда - это система законодательно-правовых
актов, социально-экономических, организационно-технических,
санитарно-гигиенических, лечебно-профилактических мероприятий и средств,
обеспечивающих сохранение здоровья и работоспособности человека в процессе
труда.
Опасный производственный фактор - это
производственный фактор, воздействие которого на работающего в определенных
условиях может привести к травме или резкому ухудшению здоровья.
Вредный производственный фактор - это
производственный фактор, воздействие которого на работающего в определенных
условиях может привести к заболеванию или снижению трудоспособности.
Техника безопасности - это система
организационных мероприятий и технических средств, предотвращающих воздействие
на работающего опасных производственных факторов.
Производственная санитария - это система
организационных мероприятий и технических средств, предотвращающих воздействие
на работающего вредных производственных факторов.
Безопасность труда - это состояние условий
труда, при которых исключено воздействие на работающего ОВПФ (опасных и вредных
производственных факторов).
Гигиена труда - это раздел профилактической
медицины, изучающий влияние на организм человека трудового процесса и факторов
производственной среды с целью обоснования нормативов и средств профилактики
профессиональных заболеваний.
Источники опасных и вредных факторов:
- монитор (мягкое рентгеновское излучение);
- мышь (синдром мышки - начинает
болеть запястье);
- клавиатура (из-за работы с
клавиатурой приходится находиться в сидячем положении, чтобы набирать текст);
- системный блок (может служить
источником механических повреждений);
- сканеры, принтеры (являются
источником шума).
Требования к освещению:
- категория зрительных работ пользователей ПК -
"Высокой точности";
- искусственное освещение должно быть
совмещенным (общее равномерное + настольные лампы, 300-500 лк);
- люминесцентные лампы на мониторе
< 500 лк.
Требования к шуму:
- до 40 дБ - при выполнении работ, связанных с
разработкой концепций, программ, творческой работой;
- до 50 дБ - на рабочем месте
руководителя, выполняющего умственную работу;
- до 55 дБ - при выполнении
высококвалифицированной умственной работы, требующей сосредоточения;
- до 65 дБ - при выполнении работы по
инструкции.
Работа на электронно-вычислительных машинах.
Требования, по работе с электронно-вычислительным
оборудованием конкретизируются к каждому этапу работы: перед началом работы, во
время работы, после окончания работы и в аварийных ситуациях. Требования
безопасности труда перед началом работы касаются проверки:
- наличия и надежности защитного заземления
металлических корпусов блоков;
- исправности электрических шнуров,
вилок, и розеток (разболтанность соединений);
- исправности выключателей и других
органов управления вычислительной техникой;
- состояния защитного экрана дисплея
на запыленность и наличие посторонних наслоений.
При обнаружении каких-либо неисправностей или
отклонений вычислительную технику не рекомендуется включать. Следует немедленно
сообщить об этом в соответствующие службы предприятия или учреждения.
Требования безопасности труда при работе
указывают на необходимость выполнять общие требования по электробезопасности и
пожарной безопасности, а именно:
- включать и выключать вычислительную технику
только выключателями, запрет проводить отключения путем извлечения вилки из розетки;
- запрет оператору снимать защитные
кожухи оборудовании и работать без них;
- запрет перемещать и переносить блоки
вычислительной техники, которые находятся под напряжением;
- запрет проводить заправку принтеров
и ксероксов во время работы;
- самостоятельно разбирать и
производить ремонт вычислительной техники (кроме специалистов по техническому
обслуживанию);
- вычислительную технику использовать
в строгом соответствии с эксплуатационной документацией на нее.
Требования безопасности труда после окончания
работы включают в себя следующее: выключить электрооборудование, для этого
необходимо выключить тумблер, а затем (обязательно) вытащить розетку; убрать
свое рабочее место.
Требования безопасности в аварийных ситуациях:
При обнаружении пожара, оператор вычислительной
техники должен:
- немедленно вызвать пожарную часть по телефону
101;
- сообщить руководителю предприятия
или отдела;
- принять меры для эвакуации людей из
помещений.
- при поражении электрическим током
или других травм, применять безопасные методы освобождения пострадавшего от
действия тока, или иного действия, и сообщить руководителю предприятия или
отдела.
Организация рабочего места.
На одно рабочее место, оснащенное ПК, должно
приходиться не менее 6 м2 и 20 м3; на рабочее место без
ЭВМ должно приходиться не менее 4.5 м2 и 15 м3.
Нормы расположения рабочих мест:
- рабочие места должны располагаться на расстоянии
не менее 1 м от стены (монитор на расстоянии не менее чем 1 м от стены) и не
меньше 1 м до окон;
- расстояние между боковыми
поверхностями мониторов должно быть не менее 1.2 м;
- расстояние между рядами должно быть
не менее 1 м;
- расстояние между экраном одного
монитора и тыльной стороной другого должно быть не менее 2,5 м;
- при необходимости высокой
концентрации рабочих мест можно делать перегородки;
- рекомендуемые размеры рабочего стола
для компьютера: высота - 725 мм, ширина от 600 до 1400 мм, глубина от 800 до
1000 мм; стол должен быть оборудован подставкой для ног; углубление для ног
должно быть не менее 400 мм;
- рабочее сиденье должно быть
подъемно-поворотным, регулируемым по высоте, по углу наклона спинки, по углу
наклона подлокотников; - расстояние от глаз до монитора зависит от длины его
диагонали: 14-15" - до 700 мм, 17" - 700-800 мм, 19" - 800-900 мм,
21" - 900-1000 мм.
Нормативно-правовая база в отрясли:
1. Конституция Украины - основной закон,
гарантирующий право граждан на безопасные условия труда.
2. Закон Украины «Об охране труда».
. Закон Украины «Про забезпечення
санітарного та епідеміологічного благополуччя населення».
. «Державні санітарні правила і норми
роботи з візуальними дисплейними терміналами електронно-обчислювальних машин
ДСанПІН 3.3.2.007-98».
дифференциальный уравнение страховой
крамер
Заключение
Приведено описание модели работы страховой
компании в марковской среде, результат работ по векторным
интегро-дифференциальным уравнениям для вероятностей неразорения. Показано, что
в случае гамма-распределения величин страховых исков вероятность неразорения
удовлетворяет обыкновенному векторному дифференциальному уравнению высокого
порядка.
Список литературы
1. Мельников А.В.
Риск-менеджмент: стохастический анализ рисков в экономике финансов и
страхования - 2-е изд., перераб. и доп. - М.: Анкил, 2003 - с.
. Бондарев Б.В.
Математические модели страхования. - Донецк: АПЕКС, 2002. - 116 с.
. Бондарев Б.В.
Математическая теория страхования. - Донецк: Юго-Восток, 2010. - 216 с.
. Вентцель Е.С., Овчаров Л.А.
Теория случайных процессов и ее инженерные приложения. - М.: Высшая школа,
2000. - 383 с.
. Гончар М.С. Фодовий ринок і
економічний ріст. - К.: Обереги, 2001. - 826с.
. Власенко Л.А. Эволюционные
модели с неявными и вырожденными дифференциальными уравнениями. -
Днепропетровск: Системные технологии, 2006. - 273 с.
. Норкин Б.В. Система
интегро-дифференциальных уравнений для вероятностей банкротства процесса риска
в марковской среде//Теорія оптимальних рішень. - 2002. - №1. - с. 21-29.
. Норкин Б.В. Метод
последовательных приближений для вычисления вероятности банкротства процесса
риска в марковской среде// Кибернетика и системный анализ. - 2004. - №6. -
с.149-161.
. Бондарев Б.В., Жмыхова Т.В.
Вероятность неразорения страховой компании для модели Крамера-Лундберга и
гамма-распределенных выплат //Прикл.статист.Актуарная и фин. Математика. - №1.
- 2005, - С.54-70
. Власенко Л.А., Руткас А.Г.
Теоремы единственности и апроксимации для одного вырожденного
операторно-дифференциального уравнения// Математические заметки. - 1996. - 60,
Вып.4. - С. 597-600.
. Власенко Л.А., Пивень А.Л.,
Руткас А.Г. Признаки корректности задачи Коши для дифференциально-операторных
уравнений произвольного порядка// Укр. мат. журнал. - 2004. - Т. 56,N 11. - С.-
1484-1500.