Экспортный потенциал России

  • Вид работы:
    Дипломная (ВКР)
  • Предмет:
    Эктеория
  • Язык:
    Русский
    ,
    Формат файла:
    MS Word
    838,19 Кб
  • Опубликовано:
    2016-10-18
Вы можете узнать стоимость помощи в написании студенческой работы.
Помощь в написании работы, которую точно примут!

Экспортный потенциал России

Введение

В условиях глобализации, расширения экономической интеграции и внешнеэкономических связей во всем мире, как для России, так и для других государств, динамичное развитие торговли является существенным условием экономического роста и повышения благосостояния населения.

Исторически сложилось, что именно экспорт товаров и услуг, в частности природных ресурсов, остается неотъемлемой и важной составляющей, определяющей характер всей российской экономики. Однако в настоящий момент, в силу нестабильности мировой конъюнктуры, падения платежеспособного спроса и высокой волатильности цен, становится еще более острой давно назревшая проблема высокой сырьевой зависимости и необходимости диверсификации экспорта, что позволило бы сбалансировать и повысить эффективность функционирования экономики. В связи с этим возникает необходимость определения экспортного потенциала России на современном этапе, поэтому исследования в этой области не утрачивают своей актуальности.

Целью данной работы является исследование экспортного потенциала российской экономики с последующим выявлением наиболее перспективных отраслей и направлений для диверсификации экспорта.

Для достижения этой цели были поставлены следующие задачи:

определение понятия экспорта и экспортного потенциала, их влияния на развитие экономики;

изучение и раскрытие теоретических основ формирования экспорта, содержащихся в трудах ученых различных экономических школ;

анализ применяемых методик для исследования экспортного потенциала;

ознакомление со структурой внешнеэкономической деятельности России, ее характерными особенностями и динамикой;

выявление сравнительных преимуществ российского экспорта и возможностей для расширения экспорта

построение гравитационной модели российского экспорта с интерпретацией полученных результатов.

Достаточно большое количество работ посвящено вопросу экспортного потенциала, однако в них рассматриваются преимущественно аспекты, касающиеся лишь отдельных предприятий, отраслей или регионов. Но необходимо отметить, что отличительной особенностью данного исследования является акцент на макроэкономические показатели и составляющие.

Настоящее исследование основывается на литературе отечественных и зарубежных авторов, соответствующих экспертных докладах и базах данных. Весомую роль в нем играют статистические данные, представленные Конференцией ООН по торговле и развитию (UNCTAD), а также Международного валютного фонда, Всемирного банка и Федеральной службой государственной статистики, послужившие материалом для проведения эмпирического анализа.

Работа состоит из двух глав, включающих в себя теоретический и практический материал, а ее структура полностью обусловлена задачами, обозначенными выше.

1. Теоретические основы экспорта и анализа экспортного потенциала

.1 Общие аспекты анализа

В условиях вовлеченности в систему мирового хозяйства ориентация на внешние рынки сбыта продукции является одним из основных направлений деятельности большинства государств с рыночной системой, а увеличение доли экспорта остается важным фактором укрепления и развития национальных экономик.

Значимость стимулирования экспорта аргументировалась в работах представителей различных экономических школ. Так, например, ранние меркантилисты, включая Т. Мена, А. Монкретьена и прочих, полагали, что внешняя торговля вместе с экспортом приводит к увеличению богатства экспортирующей страны, а А. Смит и Д. Рикардо считали, что внешняя торговля позволяет каждой стране реализовать излишки конкурентоспособного производства и таким образом придать дополнительную стоимость экспортируемым товарам [13].

Экспорт приводит к экономическому росту посредством стимулирования совокупного спроса и совокупного предложения. Стимулирование совокупного спроса реализуется непосредственно через рост чистого экспорта, так и опосредованно через увеличение заработной платы работников, прибыли фирм, действующих в экспортоориентированных отраслях. Экспортная деятельность как для отдельного предприятия, так и для всего государства означает:

возможность повышения эффективности использования природных ресурсов;

использование преимуществ международного разделения труда;

снижение уровня безработицы;

усиление конкурентоспособности отраслей и реализация существующих конкурентных преимуществ;

приток валютных поступлений и возможность пополнения бюджета;

улучшение платежного баланса за счет достижения положительного сальдо баланса;

возможность экономического роста, повышения уровня и качества жизни населения. [7]

Хотя для полной и качественной реализации этих возможностей, важным является не только достижение высоких темпов роста экспорта и его разнообразие, но и изменение структуры экспортной корзины в пользу товаров, чье воздействие на экономический рост существеннее. Как показывает мировой опыт, наиболее устойчивыми во всех отношениях являются именно страны с большей долей товаров с высокой добавленной стоимостью и диверсифицированной структурой экспорта [20].

Данные обстоятельства нашли подтверждение в многочисленных эмпирических исследованиях. Например, экономисты А. Гуэрсон, Д. Паркс, М. Торрадо в ряде своих работ подчеркивают зависимость ВВП от специализации экспорта и качественных составляющих [28]. Д. Сакс и Э. Ворнер демонстрируют прямую зависимость между низким экономическим ростом и сырьевой экспортной специализации страны [34], тогда как на Д. Хаммельс и П. Клиноу отмечают, что более развитыми странами экспортируется не больший объем благ, а больший их набор [31]. Этим обосновывается необходимость проведения странами тщательного анализа и оценки их экспортного потенциала.

Экономическая категория «экспортный потенциал» вошла в России в оборот сравнительно недавно, и на сегодняшний день нет устоявшегося определения, равно как и общепринятых способов его оценки. Некоторые авторы трактуют экспортный потенциал как способность государства, фирмы, предприятия производить и поставлять на внешние рынки конкурентоспособную продукцию и услуги. [2] Другие авторы определяют его как потенциальную способность, возможность данной страны экспортировать имеющиеся у нее или производимые ресурсы, продукты. [17]

Наиболее же полное определение предложено Ю.А. Савиновым и А.Ю. Мигуновым. Согласно нему, экспортный потенциал - это способность национальной экономики, ее секторов, отраслей, предприятий и компаний производить конкурентоспособные на мировом рынке товары и услуги путем использования сравнительных национальный преимуществ, так и новых конкурентных преимуществ, основанных на достижениях науки и научно-технического прогресса [19].

Таким образом, экспортный потенциал является целым комплексом, включающим природные ресурсы, капитал, транспортно-коммуникационные ресурсы, технологии и трудовые ресурсы, и тесно связан с понятием конкурентоспособности и перспективами дальнейшего развития.

В целом для прогнозирования и эмпирической оценки специалистами могут применяться различные методы экономического, статистического и эконометрического анализа, включая в том числе сравнительный и факторный анализ. Но как уже было отмечено, традиционная, всеми используемая методология отсутствует, и зачастую исследователи ограничиваются приведением динамики экспорта и предсказанием трансформации его содержания, поскольку сталкиваются с тем, что экспортный потенциал является латентной, непосредственно не наблюдаемой величиной [22], требующей наряду с выявлением тенденций в торговле, разработки целой системы показателей, уравновешивающих и дополняющих друг друга. В рамках нее необходим анализ состояния как внутреннего, так и внешнего рынка, включающий в себя и количественные, и качественные аспекты.

В качестве распространенных индикаторов, по которым исследуется экспортный потенциал страны можно выделить:

уровень, объем и характер производства, тенденции его развития;

динамика экспорта;

реальные и объективные возможности экспорта, возможности его расширения;

эффективность существующих связей с контрагентами;

конкурентоспособность вывозимой продукции и востребованность на внешнем рынке;

занимаемая доля рынка по каждому виду продукции;

емкость внутреннего и внешнего рынка.

Более наглядно в структурированном виде все показатели представлены на схеме в Приложении 1.

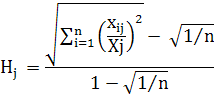
Для сопоставления данных по странам при расчете степени концентрации экспорта традиционно используется модифицированный индекс Херфиндаля-Хиршмана, рассчитываемый по формуле:


где:

 значение экспорта для страны j и продукта i,

количество экспортируемых продуктов страной j.

Значения индекса, близкие к 1 указывает на то, что экспорт страны в значительной степени сконцентрирован на нескольких продуктах. Напротив, значения, близкие к 0, отражают более равномерное распределение по ряду продуктов.

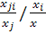
Для количественной оценки применяется также индекс диверсификации экспорта:


где:

 доля продукта i в общем количестве экспорта страны j,

 доля продукта i в общемировом экспорте.

Данный индекс принимает значения от 0 до 1, при чем значения, также близкие к 1, свидетельствуют о том, что структура экспорта страны отклонена от мировой, то есть, слабо диверсифицирована.

Вместе с тем, на начальном этапе, важно понимать, каким образом происходит наполнение экспортной корзины государства и чем определяется его экспортная специализация, для чего целесообразно рассмотреть теоретические подходы формирования экспорта отдельных товаров, разработанные учеными (в том числе упомянутыми выше) в более ранние периоды развития экономической мысли.

Так, во второй половине XVIII века А. Смитом была предложена модель абсолютных преимуществ и, согласно ней, страна поставляет на экспорт те товары, в производстве которых имеет абсолютное преимущество, то есть производит их с наименьшими издержками, а импортирует товары, в производстве которых преимущество принадлежит торговым партнерам данной страны.

Более того, в модели предполагается, что труд является единственным фактором производства, соответственно, абсолютное преимущество в издержках означает, что одной стране требуется меньше времени на производство некоторого товара, нежели другой стране. Вместе с тем, А. Смитом принимается за аксиому, что все трудовые ресурсы задействованы в производстве товаров, то есть имеет место полная занятость; в торговле участвуют только две страны, обмениваясь только двумя товарами; издержки производства остаются постоянными в течение всего времени; цена одного товара выражена в количестве труда, затраченного на производство другого; транспортные расходы, связанные с перевозкой товаров отсутствуют, а внешняя торговля свободна ничем не ограничена и не регламентирована.

Но, несмотря на наличие ряда сильных сторон теории абсолютных преимуществ, она не дает ответа на вопрос, почему происходит торговля между странами даже при отсутствии у них как таковых абсолютных преимуществ.

Позднее Д. Рикардо, исходя во многом из тех же допущений и предпосылок, развивает теорию А. Смита и основывает модель сравнительных преимуществ. Для этого он вводит понятие альтернативной цены- рабочего времени, необходимого для производства единицы одного товара на внутреннем рынке, выраженного через рабочее время, необходимое для производства единицы другого товара.

Таким образом, первая страна может с меньшими издержками по сравнению со второй страной производить товар 1, а значит, согласно Д. Рикардо, будет специализироваться на его экспорте.

Теория носит абстрактный характер, вновь не учитывая в себе, например, транспортные издержки, способные стать серьезным препятствием на пути торговли, а также исходя из наличия только одного фактора производства -труда, и так далее. Тем не менее, продолжительное время она оставалась ведущей теорией, оказывающей сильное влияние на науку.

Существенно позднее ученые, опираясь на модель сравнительных преимуществ, стали объяснять международную торговлю посредством различия в обеспеченности факторами производства: вводятся понятия фактороинтенсивности и факторонасыщенности и становится известна теорема Хекшера-Олина.

Согласно ней, «каждая страна экспортирует те фактороинтенсивные товары, для производства которых она обладает относительно избыточными факторами производства, и импортирует те товары, для производства которых она испытывает относительный недостаток факторов производства».

Однако остается неочевидным, как именно в реальной экономике определять товарные категории, более выгодные для экспорта с точки зрения экономического роста и положительных эффектов. В связи с этим в настоящий момент на первый план выходят работы, где предлагается оценка экспортного потенциала страны и выявление перспективных товаров с учетом уже имеющейся экспортной базы.

1.2 Дискретное пространство экспорта и сравнительные преимущества в оценке экспортного потенциала


Примечательной стала методика, основывающаяся на работах профессора Гарвардского университета Р. Хаусманна [29, 30]. Отталкиваясь от модели сравнительных преимуществ и положительной зависимости уровня экономического развития от экспорта определенных товаров, Р. Хаусманн и его коллеги впервые внедряют идею дискретного пространства экспорта. В соответствии с данной теорией, в экономиках стран существуют неоднородные по степени привлекательности, с точки зрения экспорта, товары, а также попарные связи между этими товарами, характеризующиеся различной удаленностью друг от друга, и обуславливающие структуру потенциального экспорта.

Первым этапом в методике является расчет индекса Баласса по формуле:

RCA=  

где:

 - объем экспорта товара i страной j;

- объем общего экспорта страны j;

 - объем экспорта товара i всеми странами;

Индекс, во многом благодаря простоте своей интерпретации, широко применяется и показывает долю экспорта некоторого товара в общем объеме экспорта страны по отношению к объему мирового экспорта. В случае, если индекс принимает значение большее или равное 1, то страна имеет выявленное сравнительное преимущество в экспорте товара i.

Далее проводится расчёт вероятности добавления в экспорт некоторого товара, при существующем экспорте другого товара, и отдельно для каждого товара расчет индекса PRODY по формуле:

 

где:

ВВП страны j на душу населения.

Данный индекс показывает, какого уровня развития можно достичь, экспортируя товар i, исходя из опыта других стран. Чем больше развитых стран экспортируют данный товар, тем более высокое значение принимает индекс.

Затем рассчитывается расстояние от текущего экспорта до товаров, которые могут быть туда включены, за счет выявления вероятности специализации на одном товаре при условии существующей специализации на другом. Чем это расстояние больше, тем труднее и с меньшей вероятностью страна будет осваивать экспорт.

Экспорт страны в целом характеризуется по формуле:


Чем выше EXPY, тем выгоднее для страны экспорт текущих товаров.

Описанная методика приводилась в нескольких русскоязычных исследованиях, среди которых можно выделить статьи Н. Волчковой и К. Козлова, а также Е. Артемьевой и других, где была применена для определения экспортного потенциала отдельного региона.

Однако с критикой данного метода выступил экономист А. Гнидченко, внеся предложения по его совершенствованию, но в целом оценивая метод как вполне адекватный.

Так, исходя из собственных эмпирических разработок А. Гнидченко было отмечено, что в ряде случаев (например, в силу сырьевой спецификации экспорта) индекс Балассы может занизить существенность остальных товарных групп, в связи с чем необходимо добавление к первоначальному анализу новых индексов. Также, коэффициент PRODY, напротив, способен завысить значимость благ, которые преобладают в структуре экспорта стран с высоким уровнем ВВП на душу населения, о чем свидетельствует пример Катара и экспортируемой им нефти. [8, 9]

Для данного исследования принципиальное значение имеет неоспоримое обоснование Хаусманна, что страна обладает экспортным потенциалом и перемещается по своей продуктовой корзине, начиная производство лишь тех товаров, которые близки к уже производящимся [30], а большими возможностями для развития располагают сектора экономики, использующие схожие ресурсы с теми, в которых экономика имеет превосходство [5]. Именно это делает уместным и адекватным проведение анализа экспортного потенциала страны посредством выявления сравнительных преимуществ в существующей экспортной базе с включением дополнительных критериев для более разносторонней оценки.

Одним из таковых может выступать, например, индекс Лафея, при расчете которого учитываются одновременно и потоки импорта товаров:

 

где:

 экспорт страной товара i,

импорт страной товара i,

 экспорт страной всех прочих товаров, кроме i (j =1 до n, j ≠ i),

 импорт страной всех прочих товаров, кроме i (j =1 до n, j ≠ i). [32]

Отражая разность между торговым балансом страны в определенном секторе и в совокупности, индекс Лафея с положительным знаком говорит о наличии сравнительного преимущества, тогда как его отрицательное значение - о сравнительных отставаниях. Особенностью индекса является существование ограничений в принимаемых значениях от 50 до -50, что облегчает его интерпретацию, исключается влияние конъюнктурных факторов.

При этом могут быть использованы авторский Индекс лидерства (LI) и Относительный индекс лидерства (RLI), определяющие товарные группы, в экспорте которых страна занимает существенные позиции:


где:

 товар;

 страна;

среднее арифметическое значение LI для страны c.

Как утверждает разработчик индекса, пороговое значение простого индекса лидерства устанавливаются для каждой страны частным образом, для относительного индекса, как в случае с индексом Балассы, оно равно 1, но нивелируются недостатки изначального индекса Балассы. Также приводится обоснованная формулировка вывода прироста индекса лидерства за счет прироста экспорта. [9]

В ряде статей приводятся индексы, рассчитываемые на основе соответствующих ценовых показателей, например, индекс потенциальных сравнительных преимуществ (PCA Index), в совокупности с примерами их успешного применения для предсказания направлений дальнейшего расширения торговли [1], однако зачастую расчет весьма затруднен из-за ограниченных статистических данных по ценам и их плохой сопоставимости, в связи с чем не рассматриваем их детально, акцентируя внимание на иных факторах.

Таким образом, ориентируясь на комплекс показателей, можно оценить экспортный потенциал территории и выявить перспективные товарные направления для диверсификации.

1.3 Гравитационные модели в оценке экспортного потенциала

Вместе с тем открытым остается вопрос экспортного потенциала за счет географического расширения потоков торговли, поэтому немаловажно выявление детерминант, обуславливающих наличие торговых потоков между странами и их объем и развитие. В качестве эмпирического инструмента для моделирования и последующей оценки потенциалов торговли между странами или торговыми блоками может применяться гравитационная модель.

Одной из первых в данном направлении является работа Я. Тинбергена, опубликованная в 1962 году, основывающаяся на его выводах, что объём торговли между странами прямо пропорционально зависит от размера их экономик и обратно пропорционально от расстояния между ними.

Утверждалось, что размер ВНП показывает общий объем спроса в этой стране, и хорошо демонстрирует товарное разнообразие в этой стране. Стране с более диверсифицированной промышленностью необходимо будет меньший импорт, чем стране с менее диверсифицированной промышленностью, с другой стороны, страна с диверсифицированным производством имеет возможность экспортировать более широкий ассортимент продукции. Расстояние между странами, отрицательно коррелирует с экспортом, так как, большая удаленность стран друг от друга означает высокий уровень издержек. Исходя из этого базовая гравитационная модель приобрела следующий вид:

 

где:

 - объем экспорта из страны i в страну j;

 - объем ВНП страны i;

 - объем ВНП страны j;

 - расстояние между странами i и j. [35]

Изначальная модель была сильно упрощена и не всегда согласовывалась с эмпирической базой, тем не менее, так или иначе обосновывала существование торговых потоков. Как следствие, она получила свое признание и широкое распространение, хотя неоднократно дорабатывалась и в анализ добавлялись различные дополнительные детерминанты и фиктивные переменные, менялись способы оценки регрессии.

Одним из первых добавленных регрессоров стало количество населения в стране, также характеризующее размер экономики, в статье Г. Линнермана [33]. Далее в работах включались переменные, отражающие валютный курс стран, транспортную инфраструктуру, исторические и культурные различия и прочие.

Позднее известность получило исследование Дж. Андерсона и Э. Уинкопа, в котором гравитационная модель использовалась для изучения эффекта от границы между США и Канадой на торговлю каждой страны. Именно в данной работе была введена идея так называемого «многостороннего сопротивления» [24], ставшая наиболее значительным вкладом авторов в развитие гравитационных моделей.

Разработанные модели не остались без внимания и нашли применение в исследованиях, посвящённых исследованию внешней торговли России. В их числе можно отметить, статью А. Каукина «Особенности эмпирических оценок гравитационной модели внешней торговли России», где были рассмотрены оценки пространственной гравитационной модели с добавлением в модель различных индивидуальных эффектов [12]. Также можно выделить статью А. Каукина и Г. Идрисова «Гравитационная модель внешней торговли России: случай большой по площади страны с протяженной границей», где обосновано существенное влияние расположения пунктов пропуска таможенной границы на объемы торговли и даны рекомендации к их эмпирической оценке в моделях [11].

В настоящий момент гравитационные модели начали широко применяться в русскоязычных исследованиях для оценки интеграционных эффектов на перспективы торговли, как например в статье А. Могилата и В. Сальникова, анализировавших потенциал взаимной торговли между странами Единого экономического пространства [15], либо же статье К. Пелевиной и И. Троекуровой, рассматривавших частичные гравитационные модели для блока БРИКС и спрогнозировавших значительный рост товарооборота [16], и так далее.

Особо необходимо отметить англоязычную работу А. Векстрома, нацеленную на анализ российского экспорта с помощью гравитационных уравнений. На основе выборки с 31 наиболее важным торговым партнеров с 1996 по 2010 год обособленно оценивались показатели для нефтяного и не нефтяного экспорта с построением следующей регрессии:

 

где:

 ВВП России и страны j соответственно в год t;

 - население России и страны j соответственно в год t;

- расстояние между Россией и страной j;

 -изменения обменной ставки рубля на валюту страны j в год t;

дамми-переменная для общей границы;

 - дамми-переменная для стран, где говорят на славянском языке;

 - дамми-переменная для стран, бывших участниц Советского союза;

 - оцениваемые параметры. [37]

Так, результаты приведенных работ учтены далее в оценке экспортного потенциала в отношении его географической структуры.

2. Анализ экспортного потенциала Российской Федерации

2.1 Общемировые тренды в развитии торговли


За основу взяты статистические материалы, опубликованные Конференция ООН по торговле и развитию (ЮНКТАД) и считающиеся наиболее репрезентативными источниками по внешней торговле стран. В работе используются преимущественно данные по Стандартной международной торговой классификации (SITC rev.3, 4), главным классификационным признаком которой является степень обработки товаров.

В данной части проводится краткий обзор общемировых трендов в развитии торговли, в частности экспорта, что является немаловажной составляющей в анализе экспортного потенциала российской экономики.

Так, объем мировой торговли по итогам 2014 года составил более 36 трлн долларов США, однако до недавнего времени стабильная экономика с динамичным развитием быстрорастущих рынков вошла в повторную стадию спада. [36]

Хотя не остается незамеченным рост китайской экономики, окончательно вытеснившей с 2009 года США и Германию в качестве первых стран-экспортеров и удвоившей за этот период объёмы своих поставок на внешний рынок.

В настоящий момент Китай, по итогам 2014 года, возглавляет список 15 крупнейших экспортеров, в который входит в свою очередь Россия, а замыкает его Мексика, что представлено в Приложении 2. Их общий среднегодовой темп роста составил 99,93%, что на 4,5% выше прочих стран вне списка, а доля в общемировом экспорте составляет более 61%. В связи с этим можно утверждать, что торговля стран-лидеров обуславливает специфику современной международной торговли.

При этом наиболее востребованными товарными группами, торгуемыми на мировом рынке, являются минеральное топливо, а именно нефть, нефтепродукты и аналогичные материалы, а также товары из раздела «Машины и транспортное оборудование», что показано в Таблице 1 ниже.

Таблица 1. Структура мирового экспорта в 2014 г., топ-5

Код

Товарная группа

Значение, млрд. долл. США

33

2 111

77

Электрические машины, аппараты и приборы, не включенные в другие категории, и их электрические детали

1 494

78

Автомобили

1 372

76

Аппаратура и оборудование электросвязи, звукозаписи и звуковоспроизведения

783

74

Неспециальные машины и оборудование для промышленности

694


Прочие

11 840


Важно, что их продажи связаны с высокой волатильностью цен и объемов в зависимости от циклов развития экономики и непосредственным влиянием на рост всех прочих отраслей.

Однако, как показано в Приложении 3, ведущие страны по объему ВВП на душу населения, то есть мировые центры благосостояния, не сконцентрированы на поставках одной конкретной товарной группы, за исключением Катара, и отличаются высокими значениями диверсификации своего экспорта, что подтверждает теоретические заключения, представленные в 1 главе работы.

Вместе с тем, другим важным аспектом является то, что наряду с процессом либерализации международной торговли происходит рост регионализма с увеличивающимся числом региональных торговых соглашений. В результате складывается качественно иная расстановка сил, воздействующих на регулирование международной торговли и ее развитие. [10] На сегодняшний день насчитывается 233 действующих соглашений по свободной торговле, наиболее масштабным из которых является, например, НАФТА, 19 торговых союзов, 14 частичных соглашений по конкретным сферам (Partial scope agreement) и 28 односторонних преференциальных соглашений (Unilalteral preference scheme), существенно влияющих на существование тарифных барьеров и иных мер. [25]

 

2.2 Товарная структура экспортного потенциала


В данной части, опираясь на теоретические материалы, приведенные ранее, проведем исследование экспортного потенциала российской экономики.

До 1986 года в СССР, преемницей которого стала Российская Федерация, внешнеэкономическая деятельность полностью контролировалась Министерством Внешней Торговли, и лишь после 1986 года ряду предприятий было позволено выходить на международные рынки, обозначилась некоторая либерализация этой деятельности [38].

Государственная политика автаркии и строгого контроля оставляла торговле незначительную роль: в 1985 году общий объем экспорта и импорта составил 186 млрд. долл., и на них приходилось лишь по 4% от всего ВНП.

Основными контрагентами являлись коммунистические страны, в частности страны Восточной Европы, на долю которых приходится 67 % торгового оборота. На промышленно развитые страны приходилось 22 % всего оборота, а страны третьего мира -11% [38].

Важнейшими статьями экспорта были нефть и нефтепродукты, природный газ, металлы, древесина, сельхозпродукции и промышленные товары, в первую очередь машины, оружие и военная техника. Хотя экспорт различного топлива, несмотря на высокий рост (с 15,6 % в 1970 году до 46,5 % в 1987 году [20]), не превышал 50% от всей структуры экспортируемых товаров.

При этом все же, по словам В.В. Погребняка, «ключевой функцией экспорта было поддержание структурно-технологического равновесия через размен относительно дешевых и низкокачественных топливно-сырьевых ресурсов на качественное инвестиционное оборудование и потребительские товары» [4].

На современном этапе динамика экспорта Российской Федерации повторяет тенденции общемирового экспорта, что показано на Рис. 1.

Рис. 1 Динамика объема мирового экспорта и экспорта Российской Федерации за 1996-2014 гг., тыс. долл.

Основываясь на благоприятной на тот момент конъюнктуре на мировых рынках, экспорт в стоимостном выражении увеличился за рассматриваемый период в 6 раз со среднегодовым темпом прироста, равным 12,44%. Хотя также наблюдался большой спад экспорта в период кризиса 2008 года, преодолеть который удалось в 2011 году, после чего темп прироста вновь замедлился до 1,5% в 2012 году и 0,48% в 2013 году, опустившись по итогам 2014 года до - 5,58%. Анализируя структуру экспорта в динамике видно, что спад произошел главным образом за счет раздела 33 Нефть, нефтепродукты и аналогичные материалы, но не его физических объёмов, а экспортных цен.

Вместе с тем, поскольку в целом значения экспорта представлены в текущих ценах, более репрезентативной может быть доля российского экспорта в общемировом. Так, эта доля увеличивалась с небольшими колебаниями, принимая значения, равные 1,66% в 1996 году до 2,80% в 2013 году и 2,63% в 2014 году.

Экспортная квота, определяющая значимость экспорта для хозяйства страны, колеблется от 23% в 1996 году до 27% в 2014 году, достигая своего наиболее высокого уровня - 40% в 2000 году. Безусловно, прирост экспорта вносил весомый вклад в прирост ВВП страны, что видно на Рис.2, где приведена их динамика в совокупности с импортом.

Рис.2 Динамика объема ВВП в соотношении с объемом экспорта и импорта Российской Федерации за 1996-2014 гг., долл.

Между тем, небезосновательна эмпирическая проверка гипотезы о том, что динамика экспорта за период с 1996 по 2014 год повторяет изменения в мировых ценах на нефть. С этой целью построим график, где левая шкала будет служить для обозначения объема общего российского экспорта в стоимостном выражении, а правая - для обозначения цен на сырую нефть за 1 тонну (по данным [23]).

Полученный Рис. 3 подтверждает данную гипотезу, показывая их высокую, но нежелательную корреляцию, вызывающую перекос в экономике и сильную чувствительность к колебаниям на неустойчивом рынке топлива, о чем говорилось в первой части настоящего исследования.

Рис.3 Динамика объема экспорта Российской Федерации в соотношении с ценами на сырую нефть за тонну за 2000-2014 гг., долл.

В российских кругах широко распространено мнение об острой необходимости избавления от данной зависимости, однако доля как минерального топлива, включая нефть, так и всего сырья в общем объеме экспорта страны расширяется с каждым годом, что можно видеть на Рис.4.

Рис.4 Структура экспорта Российской Федерации за 1996-2014 гг.

В 2014 году структура экспорта, представленная в Таблице 2, вновь характеризуется высоким удельным весом непродовольственного сырья и топлива. Промышленные товары, классифицированные главным образом по виду материала, занимают только 10,6% от общего объема, затем следуют химические вещества и аналогичная продукция, машины и транспортное оборудование.

Таблица 2. Структура экспорта Российской Федерации в 2014 г.

Наименование товарной группы

Значение, долл. США

Доля, %

Пищевые продукты и живые животные

15 036 620 874

3,02%

Напитки и табак

1 301 420 791

0,26%

Сырье непродовольственное, кроме топлива

15 888 360 423

3,19%

Минеральное топливо, смазочные масла и аналогичные материалы

346 119 240 289

69,53%

Животные и растительные масла, жиры и воски

2 101 577 648

0,42%

Химические вещества и аналогичная продукция, не включенные в другиекатегории

23 517 135 187

4,72%

Промышленные товары, классифицированные главным образомпо виду материала

52 752 811 002

10,60%

Машины и транспортное оборудование

20 107 111 047

4,04%

Различные готовые изделия

6 237 525 539

Товары и операции, не включенные в другие категории МСТК

14 771 726 047

2,97%

Всего

497 833 528 848

100,00%


Так, например, даже в сравнении с развивающимися странами -членами группы БРИКС, Российская экономика имеет крайне низкую степень диверсификации и самую большую концентрацию экспорта, что отображено на Рис.5 и в Приложении 2. Близка к России по данным показателям Бразилия, однако и она, как и другие страны, имеет в своей экспортной корзине значительно больший вес переработанных, несырьевых составляющих, которые способны дать высокий доход странам и являются основой для устойчивого роста.

Рис.5 Структура экспорта стран БРИКС в 2014 г.

Укрупним значения внешней торговли России в 2014 году, исходя из ее технологического состава с целью выявления преимуществ в структуре российского экспорта и применим индексы торговли, включив в оценку объемы общемирового экспорта, что показано в Таблице 3. Как известно, пороговые значения для RCA и RLI, равные или больше 1, и положительные значения для LFI, говорят о наличии сравнительного преимущества в экспорте того или иного товара.

Таблица 3. Технологическая структура торговли Российской Федерации в 2014 г. в соотношении с индексами преимуществ

Товары

Доля в структуре экспорта, %

Доля в структуре импорта, %

Среднее значение для экспорта




RCA

LFI

RLI

Материалоемкие

76,16%

15,93%

0,97

0,41

1,58

Капиталоемкие

10,86%

14,10%

0,77

-0,03

1,24

Трудоемкие

1,56%

9,66%

0,11

-0,18

0,13

Низкотехнологичные

4,28%

9,58%

0,79

-0,11

1,44

Высокотехнологичные

4,36%

46,76%

0,19

-0,33

0,25


Как и ожидалось, в состав благ, обладающих сравнительным преимуществом, по всем трем рассчитанным индексам, вошли лишь материалоемкие товары (к ним отнесены с/x, руды, удобрения, нефть), поставки которых составляют основу всего экспорта России и в большой степени обеспечивают мировой рынок. Вместе с тем, наиболее наглядным является Рис.6 ниже, отражающий «облако точек» преимуществ товарных групп экспорта, исходя из значений индекса RCA по оси абсцисс и RLI по оси ординат.

Рис. 6 Соотношение индексов RCA и RLI для товарных групп РФ на уровне 3 знаков в 2014 г.

При этом наиболее весомыми к общему объему мирового экспорта по данной группе являются поставки угля, кокса и брикетов, нефти, нефтепродуктов и аналогичных материалов, газа (природного и искусственного), а также удобрений.

По объему экспортируемой нефти и нефтепродуктов Российская Федерация по итогам 2014 года занимает 1 место в мире (14,59% от всех мировых поставок), обходя США, Катар и ОАЭ, однако, как показано на Рис.6 основой данных поставок является менее ценные сырые нефтяные масла, и сырая нефть, полученная из битуминозных минералов. В случае же модернизации перерабатывающего производства и его расширения, можно определить нефтяные масла и нефтепродукты (кроме сырых) как одно из потенциальных направлений для дальнейшего развития более высокодоходного экспорта.

Рис. 7 Структура экспортируемой нефти Российской Федерацией в 2014 г., кг.

Далее в целях выявления экспортного потенциала остановимся на расчёте описанных индексов RCA, LFI и RLI для товарных групп по классификации SITC (rev.3) на уровне 3 знаков для их детального анализа. Выдержки из результатов расчета для 2014 года приводятся в Приложении 4 и применены ниже.

Основываясь на предпосылке модифицированной модели Хаусманна о том, что больший потенциал к развитию имеют товары, которые уже в некотором объеме экспортируются страной, или схожие с уже производящимися и обладающими преимуществами в торговле, сдвинем стандартные пороговые значения индексов, до значений, близких к 0,5 и выше, в случае с индексами RCA и RLI, и до значений от 0 и выше, в случае с индексом LFI, обратив особое внимание на первые два индекса.

Примечательно, что результаты оценок достаточно схожи друг с другом, ни один из товаров в общей массе с индексом Баласса ниже 0,5 не имеет значений по Индексу лидерства выше 0,1 и высокого относительного индекса лидерства, и наоборот.

Так, ориентируясь на комплекс показателей, из рассмотренного перечня в 254 товарных групп (на уровне 3 знаков) удается выделить 87 перспективных, значения которых хотя бы по одному из индексов соответствуют указанным параметрам. Ряд из них, согласно стандартным критериям, уже массово экспортируются на мировой рынок, другие же являются «недооценёнными», - то есть потенциалом для расширения экспорта.

В качестве потенциальных направлений экспорта, анализ показал возможность развития и расширения номенклатуры внутри следующих товарных категорий:

рыба (не морские млекопитающие), ракообразные, моллюски и водные беспозвоночные, заготовки из них;

зерновые и продукты из них;

сахар, изделия из сахара и меда и кофе, чай, какао, пряности и продукты из них;

корма для животных;

прочие различные пищевые продукты и препараты;

табак и табачные изделия, безалкогольная продукция;

все категории сырья (главным образом, кожевенное, бумажная масса и макулатура и прочее);

растительные масла и жиры, сырые, рафинированные или фракционированные;

изделия из пробки и дерева (кроме мебели), бумага;

продукция из нерудных ископаемых, не включенная в другие категории;

прочее транспортное оборудования;

оружие и боеприпасы, ювелирные изделия, печатная продукции.

Как видно, в данном перечне не оказалось ни одного из товаров 8 группы, (различных готовых изделий, согласно классификации SITC на уровне 3 знаков), за исключением оружия и боеприпасов, ювелирных изделий, печатной продукции, либо же наукоемких изделий, но большинство вошедших товаров вновь характеризуются достаточно низкой степенью обработки. Хотя, необходимо особо выделить энергогенераторные машины и оборудование (например, генераторные установки и их детали, поршневые двигатели внутреннего сгорания, роторные электроэнергетические установки и тому подобное), а также прочее транспортное оборудование (например, железнодорожные транспортные средства, летательные аппараты и связанное с ними оборудование, суда, катера и лодки), как самые доходные по добавленной стоимости и высокотехнологичные из приведенного списка, а значит, более перспективные. Однако экспорт будет напрямую зависеть от дальнейшей модернизации и инновационного насыщения производства.

Как результат, исходя из приведенного перечня, требуется переоценка проводимой экономической политики и мер регулирования внешней торговли. В частности, с целью повышения результативности экспорта и его конкурентоспособности необходимо последовательное применение тарифной политики, приоритетное стимулирование направлений по которым экспортный потенциал не вполне реализован, но есть перспективы к его развитию, так, чтобы ресурсы не оставались заперты в малоэффективных отраслях экономики.

2.3 Построение гравитационной модели экспорта


Существенное значение в анализе торговли и прогнозировании экспортного потенциала имеет географическое распределение, то есть структура экспорта по отдельным партнерам. основных торговых партнеров могут служить важными ориентирами. В связи с этим для определения возможностей расширения экспортных поставок необходимо определение параметров, влияющих на размер экспорта, и служащих ориентиром в выявлении перспектив дальнейшего развития.

С этой целью применяется эконометрический анализ, включающий построение регрессионной (гравитационной) модели российского экспорта, на основе далее представленных переменных.

2.3.1 Описание данных

Объём экспорта

Использованы данные по общему объему экспорта (trade_value), экспорту третьей группы товаров (oil), то есть Минерального топлива, смазочных масел и аналогичных материалов, и прочего экспорта (nonoil), опубликованные UNCTAD [39], согласно классификации SITC rev.3. В выборку включены данные с 2004 по 2013 год с каждым торговым партнером, в том случае, если потоки экспорта постоянны за весь период наблюдения, в соответствии с требованиями к анализу панельных данных. Как следствие, анализировалось 144 партнера по экспорту.

ВВП

Использованы статистические данные, представленные информационной базой Всемирного банка [41]. В анализ включены данные по ВВП (, ля России и каждому из 144 партнеров по экспорту, соответствующие году наблюдения.

Население

Также использованы статистические данные, представленные информационной базой Всемирного банка [41]. В анализ включены данные по количеству населения (, ля России и каждому партнеру по экспорту, соответствующие году наблюдения.

Расстояние

Расстояние является одним из наиболее трудно определяемых параметров, поскольку существуют как морские, так и железнодорожные, авиаперевозки грузов, используемые индивидуально для каждого типа товара. Вместе с тем, большая протяженность границы страны обусловливает наличие различных пропускных пунктов, разбросанных по всей территории, и, зачастую, торговля не всегда осуществляется непосредственно между столицами государств. Исходя из данных предпосылок, определялось средневзвешенное расстояние между экономически значимым субъектом на территории России и столицей рассматриваемых стран, что использовано далее в модели.

Граница

Фиктивная переменная, где анализировалось наличие общей географической границы (Border) между Россией и страной-партнером. В случае, если имеется общая граница, переменная принимает значение равное 1, 0 - в противном случае. К числу граничащих партнеров отнесено 11 стран: Норвегия, Финляндия, Эстония, Латвия, Литва, Польша, Белоруссия, Украина, Азербайджан, Казахстан, Монголия. КНДР, Японии и США, не вошли в перечень ввиду небольшой протяженности границ и отсутствия соответствующих выгод.

Союзы и экономические соглашения

Фиктивная переменная, отражающая одновременное участие России и страны партнера (Union) в следующих экономических блоках и торговых союзах: БРИКС, ЕврАзЭС, СНГ, ШОС. В случае, если партнер, наряду с Россией, входит в одно из перечисленных объединений, переменная принимает значение равное 1, 0 - в противном случае.

Реальный эффективный обменный курс

Для каждого наблюдаемого года использовалось усредненные значения, публикуемые в статистических базах Международного валютного фонда, индекса эффективного обменного курса рубля, рассчитываемого на основе индекса потребительских цен. [39]

Вид, который принимают обозначенные переменные представлен в их описательной статистике в Таблице 4.

Таблица 4. Описательная статистика переменных для российского экспорта

Variable

Obs

Mean

Std. Dev.

Min

Max

tradevalue

1440

3335,411

35449,05

1,00e-06

1326317

oil

1440

1387,487

4642,926

0

66607,21

nonoil

1440

1029,513

2444,713

1,00e-06

24930,2

gdprus

1440

1061103

382608,6

591016,7

1660846

gdppart

1440

1,78e+11

6,79e+11

131,1064

9,49e+12

poprus

1440

1,43e+08

407713,7

1,43e+08

1,44e+08

poppart

1440

4,46e+07

1,52e+08

52058

distance

1440

4220,938

3464,98

80

13658

rer

1440

94,10867

11,25215

72,52

108,3908

border

1440

0,0868056

0,2816477

0

1

union

1440

0,1027778

0,3037739

0

1


2.3.2 Построение регрессионной модели

Для наиболее эффективного анализа экспорта используются панельные данные, когда каждая единица наблюдения, в данном случае, - каждый торговый партнер, отслеживается определенное количество времени. Поскольку обычная панельная модель подразумевает, что среди наблюдаемых единиц нет индивидуальных отличий, использованы две другие модели для более разносторонней оценки: модель со случайными эффектами на основе обобщенного метода наименьших квадратов (GLS) и модель с детерминированными (фиксированными) эффектами.

В модели с фиксированными эффектами предполагается, что индивидуальные конкретные эффекты коррелирует с отдельными переменными, поэтому некоторые переменные могут быть опущены. В модели со случайными эффектами индивидуальный специфический эффект не коррелирует с индивидуальными переменными, в связи с чем с течением времени происходят изменения в пределах одной группы, которые переменные не всегда могут объяснить. [18]

Таким образом, обособленно проанализированы модели общего экспорта, экспорта минерального топлива и прочего экспорта, где за основу взята регрессия:

        (2.1)

где:

, - ВВП России и партнера соответственно в год t;

,  - население России и партнера соответственно в год t;

 - расстояние между Россией и партнером;

 - дамми-переменная по наличию общей границы;

 - дамии-переменная для экономических союзов с партером;

 - индекс реального эффективного обменного курса рубля в год t;

- - оцениваемые параметры;

константа.

Включение фиктивных (дамми) переменных позволило уточнить модель, выявив новые переменные, оказывающие влияние на регрессанта. Хотя, не исключается существование других регрессоров, как например политических условий, инфраструктурных факторов, однако не все могут быть добавлены в связи с трудной наблюдаемостью.

2.3.2.1 Модель для общего экспорта

В Таблице 6 представлены данные по корреляции между переменными для общего экспорта. Необходимо отметить явную сильную отрицательную корреляцию между экспортом и расстоянием до партнера, что полностью соответствует теоретическим гипотезам. В то же время наблюдается зависимость реального курса и ВВП России, отрицательная зависимость ВВП и размера населения.

Таблица 5. Корреляция между переменными для общего экспорта


В Таблице 6 оценена регрессия с фиксированными эффектами для общего экспорта. О значимости регрессии в целом свидетельствует R-sq, также отраженный в таблице.

Таблица 6. Модель с фиксированными эффектами для общего экспорта


Поскольку ряд коэффициентов, а именно для границы и расстояния является не вариабелен во времени, он в модели опускается. Оставшиеся коэффициенты, за исключением ВВП России, и константы, идут с положительным знаком, то есть оказывают положительное влияние на экспорт. Однако с другой стороны, коэффициенты при населении партнера и экономическом союзе p>0,05, их можно рассматривать как незначимые.

Далее в Таблице 7 оценена регрессия со случайными эффектами для общего экспорта. О значимости регрессии в целом свидетельствует R-sq, также отраженный в таблице. В данном случае о значимости регрессии в целом свидетельствует высокое значение статистики Вальда, то есть Wald chi2(8), равное 595,54.

Таблица 7. Модель со случайными эффектами для общего экспорта


Знаки при полученных коэффициентах соответствуют первой построенной модели, однако теперь удается оценить влияние расстояния. Как показано в таблице, расстояние между странами оказывает отрицательное влияние на потоки экспорта, что соответствует теории. Но, вместе с тем, судя по знаку, негативно сказывается и наличие общей границы, однако коэффициент при данной переменной, ровно как при населении стран и константе, не значим на 5% уровне.

2.3.2.2 Модель для экспорта топлива

Корреляция между переменными для экспорта топлива, отраженная в Таблице 8, почти соответствует общему экспорту.

Таблица 8. Корреляция между переменными для экспорта топлива


Рассматривая модель с фиксированными эффектами для экспорта топлива, показанную в Таблице 9, необходимо отметить, что R-sq несколько ниже общего экспорта, что указывает на более плохое качество регрессии.

Таблица 9. Модель с фиксированными эффектами для экспорта топлива


Хотя все знаки сохраняются аналогичными с общим экспортом, значения коэффициентов при ВВП России и партнера, а также при экономическом союзе p>0,05, соответственно могут являться незначимыми, и характер их влияния трудно оценить.

Анализ модели со случайными эффектами для экспорта топлива в Таблице 10, показывает, что статистика Вальда также снизилась почти в двое по сравнению с общим экспортом.

Таблица 10. Модель со случайными эффектами для экспорта топлива


В отличие от аналогичной модели с общим экспортом наблюдается изменение знаков на противоположные при населении партнера и общей границе. Получившийся положительный знак при общей границе в большей степени соответствует теоретическим гипотезам, хотя вновь коэффициент не значим на 5% уровне, также как при экономическом союзе.

Однако важно, что выражение corr(u_i,X)= 0(assumed), помещенное в таблице, отражает существенную гипотезу, лежащую в основе модели. Таким образом, регрессоры некоррелированными с ненаблюдаемыми случайными эффектами, тогда как в противном случае вышло бы, что оценки модели несостоятельны.

2.3.2.3 Модель для прочего экспорта

Аналогичные результаты с общим и топливным экспортом дает анализ корреляция между переменными для прочего экспорта, представленный в Таблице 11.

Таблица 11. Корреляция между переменными для прочего экспорта


Построенная модель с фиксированными эффектами для прочего экспорта в Таблице 12 демонстрирует увеличение значения R-sq в сравнении со значениями для экспорта топлива.

Таблица 12. Модель с фиксированными эффектами для прочего экспорта


Вместе с тем, параметры границы и расстояния вновь исключены из модели, тогда как трудно расценивать влияние коэффициентов при населении России, а также константе, из-за их незначимости.

При рассмотрении модели со случайными эффектами для прочего экспорта в Таблице 13, видно, что все знаки при коэффициентах соответствуют аналогичной модели для общего экспорта, а также оцененным (не опущенным) параметрам модели с фиксированными эффектами. Полученные стандартные ошибки в большинстве случаев значительно ниже, чем в модели с фиксированными эффектами, но коэффициенты при населении стран, общей границе и константе не существенные на 5% уровне значимости.

Таблица 13. Модель со случайными эффектами для прочего экспорта


Таким образом, были обособленно оценены модели для различных типов российского экспорта на основании 1440 наблюдений и выборки из 144 стран с использованием методов с фиксированными и случайными эффектами, применяемыми для панельных данных.

Наблюдается отрицательные знаки коэффициентов при ВВП России, ее населении, и расстояния до партнера, а также общей границы и некой константы, но не всегда удается определить характер влияния в точности из-за статистической незначимости коэффициентов.

Более примечательным в проведенном анализе является однозначно положительное влияние индекса реального эффективного обменного курса рубля на увеличение экспорта. Данный вывод не согласуется с теоретическими макроэкономическими моделями и означает для России, что обесценивание валюты не приводит к росту экспорта, как сырьевого, так и несырьевого.

Также что касается увеличения несырьевого экспорта наиболее велика вероятность расширения поставок в страны-партнеры, а в целом очевидно, что существуют перспективы развития экспорта в страны, с увеличивающимся размером ВВП и количеством населения, менее удаленными от территории России (что отвечает теоретическим гипотезам), но не обязательно граничащими с ней, на что следует обратить особое внимание при планировании внешней торговли.

Заключение


В представленной работе, в соответствии с ее целью, был комплексно проанализирован экспортный потенциал российской экономики с последующим выявлением наиболее перспективных отраслей и направлений для диверсификации экспорта. Для достижения данной цели были поставлены и выполнены обозначенные ранее задачи.

В первой главе работы были исследована значимость стимулирования экспорта для государства и обосновывалась необходимость проведения странами тщательного анализа и оценки их экспортного потенциала, после чего дано понятие экономической категории «экспортный потенциал» и определены ее составляющие.

При этом было выявлено, что экспортный потенциал является комплексным показателем, а для его прогнозирования и эмпирической оценки специалисты применяют различные методы экономического, статистического и эконометрического анализа, наиболее детально из которых рассмотрен метод дискретного пространства продуктов Хаусманна, а также гравитационные модели экспорта. Полученные результаты были использованы далее при рассмотрении экспортного потенциала российской экономики.

Во второй главе была дана как ретроспективная оценка, так и показана динамика экспорта на современном этапе в соотношении с мировым экспортом. Раскрыты факторы, определяющие значения объема экспорта, оценен вклад отдельных составляющих экспорта в ВВП и оценена текущая структура экспорта. Основываясь на проведенном анализе, были выявлены товарные категории, имеющие сравнительные преимущества для российской экономики в настоящий момент времени, а также обозначены потенциальные направления товарные и географические направления для расширения и последующей диверсификации экспорта.

Список использованной литературы

экспортный регрессионный экономика

1.       Айдарцян Н.В., Мариев О.С., Набережнева Е.П., Савин И.В. Определение основных направлений диферсификации отраслевой структуры экспорта России в условиях внешнеторговой либерализации на основе оценки выявленных и потенциальных сравнительных преимуществ // Вестник УРФУ. Серия экономика и управление. 2013. № 5. С. 90-102.

.        Артемьева Е.А., Баландина М.С., Воробьев П.В., Кадочников С.М., Коновалова М.А., Никитина О.В., Останин И.В. Корзина роста: потенциальные экспортные отрасли Свердловской области // Журнал Новой экономической ассоциации, №6, с. 62-81. 2010

.        Архипов А. И., Багудина Е. Г., Большаков А. К. Экономический словарь - 2-е изд., перераб. и доп. - Москва: Проспект, 2010. - 672 с.

.        Белоусов А.Р., Погребняк Е.В. Экспортный потенциал России: проблемы формирования и перспективы развития. - М., 1999.

.        Волчкова Н. А. Новая география торговли России //Экономический вестник о вопросах переходной экономики Beyond Transition. - 2007. - №. 16. - С. 23.

.        Волчкова Н. А., Козлов К. Анализ структуры экспортной корзины и потенциальных направлений развития экспорта //Вопросы экономики. - 2010. - №. 3. - С. 4-23.

.        Гаврилов Н. А., Беляков И. М. Государственная поддержка промышленного экспорта в России// Вопросы экономики. - 2007. - № 3. - С. 108-119.

.        Гнидченко А. А. Новый метод оценки структуры и базы экспортного потенциала. - Доклад на Конференции молодых ученых Второго Российского экономического конгресса, г. Суздаль. 2013.

.        Гнидченко А. А. Совершенствование методов оценки структуры и базы экспортного потенциала за счет диверсификации экспорта // Журнал Новой экономической ассоциации, №1 (21), с. 83-109 - 2014.

.        Исаченко, Т. М. Торговая политика Европейского Союза [Текст] / Т. М. Исаченко; Гос. ун-т - Высшая школа экономики. - М.: Изд. дом Гос. ун-та - Высшей школы экономики, 2010. - 395, [1] с.

.        Каукин А. С, Идрисов Г.И. Гравитационная модель внешней торговли России: случай большой по площади страны с протяженной границей //Экономическая политика. - 2013. - №. 4. - С. 133-145.

.        Каукин А. С. Особенности эмпирических оценок гравитационной модели внешней торговли России // Российский внешнеэкономический вестник. - 2013. - Т. 2013. - №. 4.

.        Киреев А.П. Международная экономика. В 2-х ч. - Ч. I. Международная микроэкономика: движение товаров и факторов производства. Учебное пособие для вузов. - М.: Международные отношения, 1997. 416 с.

.        Международная стандартная торговая классификация. Четвертый пересмотренный вариант // Организация Объединенных Наций. 2008.

15.     Могилат А. Н., Сальников В. А. Оценка потенциала взаимной торговли стран Единого экономического пространства при помощи гравитационной модели торговли между регионами России // Журнал Новой экономической ассоциации. - 2015. - С. 80.

.        Пелевина К. А., Троекурова И. С. Гравитационные модели внешней торговли стран БРИКС //Известия Саратовского университета. Новая серия. Серия Экономика. Управление. Право. - 2014. - Т. 14. - №. 1-2.

.        Райзберг Б.А., Лозовский Л.Ш., Стародубцева Е.Б.. Современный экономический словарь. - 2-е изд., испр. М.: ИНФРА-М., 1999. 479 с.

.        Ратникова Т. А. Анализ панельных данных в пакете STATA //Методические указания к компьютерному практикуму по курсу «Эконометрический анализ панельных данных». М.: ГУ ВШЭ. - 2005. - Т. 7.

.        Савинов Ю.А., Мигунов А.Ю. Государственная финансовая поддержка экспорта в России // Российский внешнеэкономический вестник. 2008. № 5 сс. 30-37, № 6 сс. 46-55.

.        Сельцовский B.Л. Диверсификация необходимое направление развития российского экспорта // Российский внешнеэкономический вестник. 2009. № 1.С. 30-42

.        Судо М.М., Казанкова Э.Р. Экономические отношения в нефтяной промышленности развитых капиталистических и развивающихся стран. М., 1986. 56 с

.        Ультан С. И., Роговская Н. Ю. Методологические основы формирования и исследования экспортного потенциала отрасли (на примере отрасли цветной металлургии) //Вестник Омского университета. Серия «Экономика». - 2012. - №. 1.

.        Внешняя торговля. [Электронный ресурс] / Федеральная служба государственной статистики. Дата обновления: 04.03.2014. URL: http://www.gks.ru/wps/wcm/connect/rosstat_main/rosstat/ru/statistics/ftrade/# (дата обращения: 10.05.2016)

24.     Anderson J. E., Van Wincoop E. Gravity with gravitas: a solution to the border puzzle. - National bureau of economic research, 2001. - №. w8079.

.        Bown C. P., Crowley M. A. The empirical landscape of trade policy //World Bank Policy Research Working Paper. - 2016. - №. 7620.

.        Export Potential Assessment of Nepal // International Trade Centre (ITC) and Trade and Export Promotion Centre (TEPC). 2007.

.        Finger J. M., Kreinin M. E. A Measure of Export Similarity and Its Possible Uses //The Economic Journal. - 1979. - Т. 89. - №. 356. - С. 905-912.

.        Guerson A., Parks J., Torrado M. Export Structure and Growth: A Detailed Analysis for Argentina // World Bank Policy Research Working Paper Series. 2007. No. 4237

.        Hausmann R., Hwang I., Rodrik D. What you Export Matters. / Center for International Development at Harvard University. 2005.

.        Hausmann R., Klinger B. / The Structure of the Product Space and the Evolution of Comparative Advantage. Center for International Development at Harvard University. 2007

.        Hummels D., Klenow P. The Variety and Quality of a Nation’s Exports // American Economic Review. 2005. № 95(3).

.        Lafay G. The measurement of revealed comparative advantages //International trade modelling. - Springer US, 1992. - С. 209-234.

.        Linnemann H. An econometric study of international trade flows. - Amsterdam : North-Holland Publishing Company, 1966. - Т. 234.

.        Sachs J. D., Warner A. Natural Resources Abundance and Economic Growth. //Harvard Institute for International Development, Harvard University. 1997.

.        Tinbergen J. Shaping the world economy: suggestions for an international economic policy. - 1962. - №. HD82 T54.

.        Trade and development report, 2015 // the United Nations Conference on Trade and Development. 2015.

37.     Weckström A. et al. Gravity model of trade and Russian exports. Department of Economics Aalto University School of Business. - 2013.

38.     Country Studies [Электронный ресурс] // the Federal Research Division of the United States Library of Congress. Дата обновления: 9.02.2015. URL: http://rs6.loc.gov/frd/cs/cshome.html (дата обращения: 10.05.2016)

39.     IMF Financial Data [Электронный ресурс] // International Monetary Fund. URL: http://www.imf.org/en/data (дата обращения: 19.05.2016)

40.     UN Comtrade Database [Электронный ресурс] // Trade Statistics Branch United Nations Statistics Division. URL: http://comtrade.un.org/data/ (дата обращения: 23.05.2016)

.        World Bank Open Data [Электронный ресурс] // The World Bank Group. URL: http://databank.worldbank.org/data/home.aspx (дата обращения: 23.05.2016).

Похожие работы на - Экспортный потенциал России

 

Не нашли материал для своей работы?
Поможем написать уникальную работу
Без плагиата!
Без нейросетей!