Роль маркетинговых исследований в экономической безопасности предприятия

  • Вид работы:
    Статья
  • Предмет:
    Менеджмент
  • Язык:
    Русский
    ,
    Формат файла:
    MS Word
    13,17 kb
  • Опубликовано:
    2009-01-12
Вы можете узнать стоимость помощи в написании студенческой работы.
Помощь в написании работы, которую точно примут!

Роль маркетинговых исследований в экономической безопасности предприятия

Роль маркетинговых исследований в экономической безопасности предприятия

Евдокимов Ф. И., Бородина О. А., ДонНТУ

Рыночная экономика меняет подходы планирования и управления производст-венно - хозяйственной деятельности предприятия. На первую роль здесь выдвигаются факторы конъюнктуры рынка: спрос, предложение, цена, контрактные договоры, со-блюдение партнёрских отношений, экономическая устойчивость предприятия, прогно-зирование будущего как собственного, так и своих потребителей. В ведущих странах стало доминировать управление предприятием по результатам. В разработку стратегических планов включают определение общих ценностей, видение будущего и концепции развития. Естественно, что переход на такое управление предъявляет соответствующие требования к информации, её достаточности, к проведению различных, в том числе и маркетинговых исследований. Предвидение изменения экономической ситуации как для страны, так и для отдельного предприятия  залог успешного существования. Именно поэтому сегодня разрабатываются теоретические основы экономической безопасности государства, региона, предприятия.

В 1998г. в Украине принят нормативный документ в области экономической безопасности “Концепция (основы государственной политики) национальной безопас-ности Украины”[1, стр. 149 - 157]. В концепции определено семь сфер, обеспечиваю-щих безопасность страны: политическая, экономическая, социальная, военная, эколо-гическая, научно-техническая и информационная. Экономической безопасности при-надлежит приоритетная роль в национальной безопасности государства. Сущность эко-номической безопасности реализуется комплексом критериев и показателей. Критери-ем выступает состояние и развитие экономики. Среди показателей (индикаторов) наи-более важными являются: уровень и качество жизни населения; дефицит бюджета; эко-номический рост; темпы инфляции; норма безработицы; государственный долг.

Однако для оценки экономической безопасности страны, региона предприятия важны не столько абсолютные величины индикаторов, сколько их пороговые (критиче-ские) значения, т. е. предельные величины, несоблюдение которых обуславливает дес-табилизацию экономической системы. Проблема установления как абсолютных, так и пороговых значений не возможна без научных исследований, разработки методологи-ческих подходов её решения.

К таким подходам в первую очередь следуем отнести структурный и функцио-нальный анализ; методы математической статистики; прогнозирование; оптимизацию параметров производственных процессов; управление по ситуациям и другие. Каждый из научных подходов имеет свою область применения управленческих решений на раз-ных уровнях управления экономикой.

Однако, сущность проблемы оценки экономической безопасности, как на уровне страны, региона, так и на уровне предприятия состоит в том, что не все индикаторы безопасности детерминированы и имеют количественные измерители, получить досто-верную информацию о них весьма проблематично по разным причинам как субъектив-ным, так и объективным.

К примеру, Г. Пастернак-Таранушенко [2, стр. 10 - 14] предлагает систему оцен-ки экономической безопасности Украины, состоящую из трёх показателей:

1-коэффициента финансовых возможностей государства;

2-синтезированного показателя-индикатора или коэффициента обеспеченности населения доходами;

3-коэффициента обеспечения потребностей государства собственными матери-альными ресурсами.

Получить достоверную информацию для расчёта этих коэффициентов, а тем бо-лее на далёкую перспективу (3-5 лет) без специальных сложных исследований не пред-ставляется возможным. Проблематичными являются и предложения известных эконо-мистов А. Илларионова, В. Сенчагова, М. Ермошенко и других.

Не менее сложной является и методология оценки показателей экономической безопасности предприятия. Здесь проблемой является как обоснование сфер факторов риска экономической безопасности, так и установление пороговых значений их пара-метров. В нормативных документах и методических рекомендациях для оценки эконо-мического состояния предприятия сосредоточено внимание, главным образом, на рег-ламентации параметров экономической платежеспособности предприятия. Определены критические значения коэффициентов: маневренности (0,2), ликвидности (0,6), обора-чиваемости оборотных активов (2,0), эффективности использования финансовых ре-сурсов (0,6), рентабельности (0,2), независимости (0,6) и других. Анализ номенклатуры этих показателей свидетельствует о том, что многие из них являются необходимым, но не достаточным условием оценки экономической безопасности.

Среди сфер производственно-хозяйственной деятельности предприятия, обеспечи-вающих экономическую безопасность следует выделить:

• технико-технологическую – уровень освоения производственной мощности, инно-вационную политику предприятия, своевременное обновление основных производ-ственных фондов, технический уровень производства;

• ресурсную – обеспеченность производства основными ресурсами: финансовыми, материальными, трудовыми;

• финансовую – уровень рентабельности, доступ к кредитам, оптимальная структура капитала, доля рынка;

• интеллектуальную и кадровую – корпоративная культура, интеллектуальность, по-тенциал персонала;

• информационную – создание информационной системы поддержки решений;

• социальную – наличие социальных программ предприятия, уровень оплаты труда, статус предприятия.

Так, например, методом главных компонент могут быть сформированы факторы одной сферы влияния – технической, экономической, социальной. Ключевые факторы могут быть выявлены методом АВС, основанном на структурном анализе. Смысл мето-да состоит в том, чтобы в группе факторов, формирующих интегральный показатель влияния в данной сфере. Выявить количество факторов, определяющих 75 % величины этого показателя

Расчёт значений прогнозных показателей может быть выполнен методом статисти-ческого имитационного моделирования. Он основан на применении вероятностных мо-делей, позволяющих создать множество сценариев согласующихся с заданными усло-виями, законами распределения прогнозируемых параметров. Последовательность дей-ствий при реализации этого метода состоит в следующем:

1.Создание математической модели прогнозируемого параметра соответствую-щей сферы экономической безопасности предприятия.

2. Выявление ключевых параметров одним из указанных методов.

3. Установление закона распределения вероятностей ключевых факторов внутри законных границ, их пороговых и максимальных значений. Для решения маркетинго-вых задач в качестве типового может быть использовано бета-распределение.

4. Генерирование множества случайных сценариев, основанных на заданном законе распределения и других ограничениях.

5.Статистический анализ результатов имитационного моделирования, проверка уровня надёжности полученных результатов.

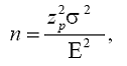
Одним из показателей надёжности является сравнительный анализ расчётного и требуемого количества реализации имитационной модели, определяемого по формуле:

 (1)

где σ- среднеквадратическое отклонение случайной величины от её математи-ческого ожидания, p- нормируемый параметр, значение которого зависит от вели-чины доверительной вероятности, E - допустимая ошибка в расчётах.

Такой подход будет полезен при оценке стратегии развития предприятия, инно-вационных и инвестиционных проектов, бизнес планов. Он позволяет оценить будущее предприятия. В зависимости от динамики изменения рассчитанных величин индикато-ров безопасности предприятия может оцениваться как:

- оптимальное, когда индикаторы находятся в зоне оптимальных или регламентированных значений;

- предкритическое, когда индикаторы находятся в пределах их по-роговых значений;

- кризисное, когда один или несколько индикаторов находятся в зоне пороговых значений.

Однако такая классификация не является общепризнанной и требует до-полнительных маркетинговых и экономических исследований. Маркетинговые исследования здесь играют немаловажную, но не исключительную роль.

Список литературы

1. “Концепция (основы государственной политики) национальной безопасности Украины”. Ведомости Верховной Рады, 1997г., №10;

2. Г. Пастернак – Таранушенко Индексы безопасного финансирования и обеспече-ние экономической безопасности Украины. Персонал, 1999г., №6.

Для подготовки данной работы были использованы материалы с сайта http://masters.donntu.edu.ua/

Похожие работы на - Роль маркетинговых исследований в экономической безопасности предприятия

 

Не нашли материал для своей работы?
Поможем написать уникальную работу
Без плагиата!
Без нейросетей!