Совершенствование логистики внутризаводской кооперации между подразделениями
Учреждение
образования ГГТУ
Кафедра
КУРСОВАЯ
РАБОТА ПО ДИСЦИПЛИНЕ: «ЛОГИСТИКА»
ТЕМА:
СОВЕРШЕНСТВОВАНИЕ ЛОГИСТИКИ ВНУТРИЗАВОДСКОЙ КООПЕРАЦИИ МЕЖДУ ПОДРАЗДЕЛЕНИЯМИ
Гомель 2016
СОДЕРЖАНИЕ
ВВЕДЕНИЕ
. ТЕОРЕТИЧЕСКИЕ
ОСНОВЫ И ОСОБЕННОСТИ ПРОЕКТИРОВАНИЯ ЛОГИСТИЧЕСКОЙ СИСТЕМЫ ДЛЯ ПРОМЫШЛЕННОГО
ПРЕДПРИЯТИЯ
.1
Организация и проектирование логистических систем промышленных предприятий
.2
Требования для организации эффективной логистической системы
.3
Внутризаводская логистика промышленного предприятия
.
ОРГАНИЗАЦИЯ ВНУТРИЗАВОДСКОЙ ЛОГИСТИКИ МЕТАЛЛУРГИЧЕСКОГО ПРЕДПРИЯТИЯ
.1.
Характеристика рынка металло- продукции и предприятия ОАО «БМЗ - управляющая
компания»
.2.
Общая финансово-экономическая характеристика предприятия. Внутризаводская
логистика
.3
Проблемы внутризаводской логистики, характерные для промышленных предприятий
.4
Основные показатели эффективности функционирования логистических систем
. ПРЕДЛОЖЕНИЯ
ПО ПОВЫШЕНИЮ ЭФФКТИВНОСТИ ЛОГИСТИЧЕСКОЙ СИСТЕМЫ ПРОМЫШЛЕННОГО ПРЕДПРИЯТИЯ
.1
Совершенствование логистической системы сбыта продукции
.2
Инновационные принципы управления внутризаводской логистикой
СПИСОК
ИСПОЛЬЗОВАННЫХ ИСТОЧНИКОВ
ПРИЛОЖЕНИЯ
ВВЕДЕНИЕ
Одной из главных задач предприятий различных
форм собственности и сфер деятельности является поиск эффективных логистических
каналов, обеспечивающих непрерывность производственного процесса и достижение
наилучших результатов деятельности субъекта хозяйствования в рыночных условиях.
На современном этапе развития рыночных отношений
одной из ключевых проблем является снижение издержек при производстве продукта
и его реализации. В настоящее время за счет использования в производстве
высокоэффективных технологий, высокопроизводительного, точного и экономичного
оборудования, производственные издержки снижены до минимума, а доведение
промежуточного и конечного готового продукта до потребителя сопряжено сегодня
со значительными затратами, которые складываются из погрузочно-разгрузочных и
транспортных операций, операций складирования и хранения материально-технических
ресурсов. Поэтому вопросам логистики, одной из основных целей которой является
снижение издержек в процессе товародвижения, за рубежом и в нашей стране
уделяется особое внимание. В связи с этим большое значение имеют анализ и
оценка эффективности функционирования логистической системы, с целью
определения наиболее уязвимых мест в системе, а также показателей, приносящих
наибольшую отдачу.
Актуальность темы курсовой работы обусловлена
стремительным развитием логистики и экономики в целом.
Цель данной работы - изучить организацию
эффективной внутризаводской логистической системы промышленного предприятия.
Объект исследования - ОАО «БМЗ - управляющая
компания». Предмет исследования - логистическая система промышленного
предприятия.
Применяются следующие методы исследования: метод
«анализа иерархий Т. Саати», бальный метод, метод рейтинговых оценок и др.
В соответствии с выдвинутой целью были
сформулированы следующие задачи курсовой работы: изучить теоретические основы
проектирования логистической системы для промышленного предприятия; провести
анализ организации внутризаводской логистики металлургического предприятия;
разработать мероприятия по повышению эффективности внутризаводской
логистической системы промышленного предприятия.
1. ТЕОРЕТИЧЕСКИЕ ОСНОВЫ И
ОСОБЕННОСТИ ПРОЕКТИРОВАНИЯ ЛОГИСТИЧЕСКОЙ СИСТЕМЫ ДЛЯ ПРОМЫШЛЕННОГО ПРЕДПРИЯТИЯ
.1 Организация и проектирование
логистических систем промышленных предприятий
Логистика - наука о планировании, организации,
управлении, контроле и регулировании движения материальных и информационных
потоков в пространстве и во времени от их первичного источника до конечного
потребителя.
Предметом изучения логистики как науки является
оптимизация потоковых процессов. Принципы логистики: синхронизация, оптимизация
и интеграция - служат основным методологическим подходом к повышению
организованности и эффективности, функционирования производственных систем.
В условиях рыночной экономики выживаемость
предприятий, завоевание ими конкурентных преимуществ возможны лишь при условии
их обязательной непрерывной организационно-технической перестройки с целью
приближения реально существующего производства к его оптимальному проекту,
соответствующему достигнутым уровням знаний, техники, технологии, организации и
управления производством.
Процесс развития мировой экономики вызывает
количественный и качественный рост товарных, информационных, финансовых потоков
в экономическом пространстве. В этих условиях логистическая инфраструктура
является существенным стратегическим фактором обеспечения конкурентоспособности
государства и предпринимателей. Ее роль основного носителя товаров и информации
во внешнеторговой деятельности и мировом экономическом пространстве определяет
необходимость развития международной логистики.
Реализация функций сбыта в сфере логистики
осуществляется через посредство «6 richtig» - соблюдение шести условий: груз,
качество, количество, время, затраты и пункт назначения.
Для достижения таких результатов оптимизируют
материальные потоки, осуществляют комплекс мероприятий по рационализации тары и
упаковки, унификации грузовых единиц, в том числе пакетизации и контейнеризации
перевозок, реализации эффективной системы складирования, оптимизации величины
заказов и уровня запасов, планирования наивыгоднейших маршрутов перемещения
грузов на складских объектах предприятий и за их пределами на магистральном
транспорте.
ГЛАВНАЯ ЦЕЛЬ
|
Обеспечение
своевременной и комплектной поставки продукции в соответствии с
хозяйственными договорами
|
ЦЕЛИ
ВТОРОГО УРОВНЯ
|
Минимизация
затрат на производство. ОБЕСПЕЧЕНИЕ:
|
|
непрерывности
загрузки рабочих и рабочих мест
|
→
←
|
непрерывности
движения предметов труда в производстве
|
ЦЕЛИ
ТРЕТЬЕГО УРОВНЯ
|
Повышение
организованности (эффективности) процессов производства - реализация основных
принципов организации производства (базовых и противоположных базовым):
Специализация - Диверсификация Стандартизация - Универсализация Прямоточность
- Неопределенность Непрерывность - Прерывность Параллельность -
Последовательность Пропорциональность - Резервирование Надежность - Гибкость
Ритмичность - Аритмичность Автоматичность - Самоорганизация
|
ЦЕЛИ
ЧЕТВЕРТОГО УРОВНЯ
|
Обеспечение
работоспособности производственной системы в заданном диапазоне качественных
и количественных показателей Обеспечение реализации полного цикла управления
или всех основных функций цикла управления в их взаимосвязи
|
|
Прогнозирование
- Анализ Нормирование - Координация Планирование - Регулирование Организация
- Стимулирование Учет - Контроль
|
Рисунок 1 - Концептуальная схема типового
проектирования логистических систем на примере обобщенного алгоритма
проектирования логистической подсистемы «Организация и управление основным
производственным процессом»
Основой для планирования логистики является
использование системного подхода, при котором различные функции логистики
(транспортировка, погрузочно-разгрузочные работы, упаковка, управление
запасами, складирование и обработка заказов) рассматриваются как
взаимосвязанные и взаимодействующие элементы системы. Работа одних элементов
системы логистики влияет на работу и эффективность других ее элементов.
Системный подход предполагает оптимизацию всей системы, а не каких-либо
отдельных ее частей.
Для подсистемы организации и управления основным
производством главной целью функционирования является обеспечение своевременной
и комплектной поставки продукции в соответствии с хозяйственными договорами при
минимизации затрат на достижение этой цели.
Роль транспорта существенно меняется в
логистических системах. В рамках логистических технологий дисциплина транспортного
обслуживания определяется не заявкой отдельного отправителя или получателя на
перевозку, а оптимальным соотношением затрат и прибыли на цикл
«производство-потребление». В литературе [15] приведена следующая общая схема
логистической системы (рисунок 2).
Рисунок 2 -
Общая схема логистической системы
Как показывает мировой опыт, важнейшим фактором
экономического роста является формирование логистической системы, охватывающей
различные сферы деятельности. В современной рыночной среде процесс
совершенствования логистического управления товародвижением объективно приводит
к усилению интеграции организаций, участвующих в перемещении товаров. Возникает
необходимость регулирования всей системы движения товаров, при этом
эффективность цепи поставок определяется уровнем организационного оформления
хозяйственных связей всех участников товародвижения.
1.2 Требования для организации
эффективной логистической системы
Современная организация и оперативное управление
производством (материальными потоками) должны отвечать ряду требований.
. Обеспечение ритмичной, согласованной работы
всех звеньев производства по единому графику и равномерного выпуска продукции.
Часто ритмичную работу отождествляют с
равномерным выпуском продукции, однако это неправомерно. Ритмичная работа - это
прежде всего гармонизация всех процессов производства (основных,
вспомогательных, обсуживающих и управленческих) и эффективное использование
располагаемых ресурсов, т. е. работа в соответствии с принципами и методами
логистики.
Под ритмичной работой следует понимать
оптимальную (целенаправленную, искусную в соответствии с закономерностями
движения производственного процесса) организацию во времени и пространстве
единичных (процессы изготовления партии деталей одного наименования на
производственном участке), частичных (процессы изготовления комплекта деталей
одного изделия (заказа) на производственном участке) и частных (процессы
изготовления изделия (заказа) одного наименования на всех стадиях производства,
во всех производственных подразделениях основного производства) процессов в
единый непрерывный производственный процесс, обеспечивающий своевременный
выпуск каждой конкретной продукции в установленных объемах с минимальными
затратами производственных ресурсов.
В настоящее время очень сложно реализовать
требование ритмичной, согласованной работы всех производственных подразделений
предприятия из-за статического восприятия производственного процесса и
статических методов ведения календарно-плановых расчетов хода производства.
. Обеспечение максимальной непрерывности
процессов производства.
Непрерывность производственного процесса имеет
две противоречивые стороны: непрерывность движения предметов труда и
непрерывность загрузки рабочих мест. Вопрос в том, какой непрерывности
производственного процесса отдать предпочтение в тех или в иных условиях.
Исследованиями установлено, что в процессе
производства продолжительности всех взаимосвязанных операций выравниваются до
некоторого календарного предела. Причем минимальный календарный предел
выравнивания близок по величине к максимальной продолжительности операции в
рассматриваемой совокупности взаимосвязанных операций. Выравнивание
продолжительности операций может происходить либо за счет простоев рабочих
мест, либо за счет пролеживания предметов труда, либо за счет того и другого
одновременно.
Следует иметь в виду, что час простоя рабочего
места (рабочего и оборудования) в условиях непоточного производства наносит
убытки во много раз большие, чем убытки производства от часа пролеживания
предметов труда одного наименования. Поэтому общий критерий оптимизации -
минимум затрат производственных ресурсов - в условиях непоточного производства
может быть обеспечен за счет организации непрерывной загрузки рабочих мест, тогда
как в поточном производстве - выбором варианта с минимальным временем
межоперационного пролеживания деталей.
. Обеспечение максимальной надежности плановых
расчетов и минимальной трудоемкости плановых работ.
Сегодня используются статические методы планирования
и управления производством, которые порождают ряд трудноразрешимых проблем,
как-то:
а) дефицит производственных мощностей.
Производство отстает от графика из-за нехватки рабочей силы и оборудования. Это
приводит к дополнительным сверхурочным работам, нарушениям сроков поставок
готовой продукции, жалобам потребителей, необходимости вести учет
неудовлетворенных заявок и другим аналогичным трудностям;
б) субоптимальность календарных планов
производства. Из-за отсутствия четких приоритетов заказов, неэффективности
действующих правил формирования графиков, а также постоянных изменений текущего
состояния работ в цехе многие работы назначаются к выполнению неправильно. В
результате имеет место прерывание производственных циклов для выполнения таких
работ, у которых неожиданно увеличились приоритеты, возрастает число
переналадок оборудования, а работы, шедшие по графику, внезапно начинают
отставать;
в) большие длительности производственных циклов.
По этой причине производство в цехе перегружается, сбиваются приоритеты
заказов, что в итоге приводит к чрезмерному увеличению продолжительности
производственных циклов;
г) неэффективное управление запасами. В то
время, когда суммарные запасы сырья, полуфабрикатов и готовой продукции
чрезмерно велики, по некоторым необходимым в производстве позициям имеет место
дефицит. Высокий уровень суммарных запасов оборачивается большими издержками по
их содержанию, а нехватка сырья приводит к отставанию от графиков производства;
д) низкий КПД оборудования. Эта проблема отчасти
является следствием плохого календарного планирования (излишне частые переходы
с выпуска одного вида продукции на другой, прерывание работ), а также других
факторов, которые не могут контролироваться в полной мере (например, движение
«узких» и «широких» мест в производстве, поломки оборудования, снижение спроса
на выпускаемую продукцию);
е) отклонения от технологии производства. Это,
например, замена постоянных технологических маршрутов на специально подбираемые
последовательности операций в обход узких мест. В результате растет объем
наладочных работ, на станки устанавливается неподходящая оснастка, уменьшается
эффективность процесса обработки.
. Обеспечение достаточной гибкости и
маневренности в реализации цели при возникновении различных отклонений от плана.
. Обеспечение непрерывности планового
руководства.
Каждое производственное подразделение получает
план (задание по объему, номенклатуре и срокам выполнения заказов),
обеспечивается соответствующими ресурсами и нацеливается на достижение
запланированных конечных результатов работы.
Для повышения уровня непрерывности планового
руководства необходимо научиться не только разрабатывать месячные планы-графики
хода производства на каждом производственном участке, но и уметь удерживать
производственный процесс в рамках составленного плана-графика при воздействии
на него различных возмущений. Это позволит должным образом организовать
своевременную оперативную подготовку производства и предупредительное
техническое обслуживание под конкретные производственные задания.
. Обеспечение соответствия системы оперативного
управления производством (ОУП) типу и характеру конкретного производства.
Даже в отдельных цехах можно выделить продукцию
массового, единичного и серийного характера.
В условиях рынка ускорение роста эффективности
производства обязательно требует повышения научного уровня управления,
автоматизации его функций, применения современного математического аппарата,
средств вычислительной и организационной техники, создания интегрированных
систем управления предприятиями.
1.3 Внутризаводская логистика
промышленного предприятия
Внутризаводская логистика и ее оптимизация, а
также глобальный стратегический подход к решению задач являются в первую
очередь условиями для дальнейшего роста производительности, повышения
рентабельности производства и в конечном счете увеличения прибыли заказчика.
Рисунок 3 - Место внутризаводской логистики
Система сквозного мониторинга управления
запасами (внутризаводская логистика) включает управление всеми
производственными запасами предприятия. Использование Системы Alfa позволило
внедрить на предприятии полностью электронный документооборот.
Целью создания системы сквозного мониторинга
движения готовой продукции и полуфабрикатов было обеспечение функционирования
особенностей производственного процесса: произведенная продукция может
превратиться в полуфабрикат или сырье для последующей доработки как
собственными, так и сторонними силами. Соответственно, уже произведенные
затраты должны учитываться единожды и не увеличивать себестоимость
Внутризаводская логистика пронизывает жизнь
предприятия. Она работает в тесном взаимодействии с производственными службами,
транспортными организациями, клиентами, складами готовой продукции и
материально-технического обеспечения. Однако потоки продукции часто движутся
внутри предприятия не самым оптимальным образом. Готовая продукция перемещается
с места на место несколько раз, прежде чем окажется в зоне погрузки. Затраты на
перемещения внутри предприятия не оцениваются, кто заказчик той или иной
операции и для чего она выполняется, далеко не всегда понятно. При посещении
складских помещений по хранению готовой продукции и МТО может показаться, что
время там остановилось тридцать лет назад. В старых, часто неотапливаемых
помещениях с покосившимися стеллажами господствуют ручные операции по
погрузке-выгрузке и карточная система учета, а неприветливая кладовщица сидит в
тесной бытовке. Если на складе и установлен компьютер, используется он для
распечатки форм, которые потом заполняются от руки.
Конечно, такая ситуация не на всех предприятиях.
За последние годы в области внутризаводской логистики и складского хозяйства
введены значительные улучшения. На предприятиях выделена функция управления
внутризаводской логистикой и складским хозяйством, на складах установлены
компьютеры, кладовщики вносят информацию о поступившем товаре непосредственно
на рабочем месте.
Рисунок 4 - Пример внутризаводской логистики
Внутризаводская логистика это комплексная
система планирования, организации и осуществления внутризаводских грузопотоков
сырья, материалов, комплектующих изделий, полуфабрикатов, готовых изделий и
продукции, включающая технические средства механизации и автоматизации
погрузочно-разгрузочных, транспортных и складских работ в основном
технологическом процессе производства промышленного предприятия, управление
этими грузопотоками, их инженерно-экономическое, информационное, юридическое и
финансовое обеспечение.
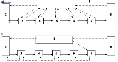
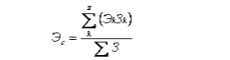
Система «Канбан» относится к методам организации
производства «тянущего» типа, при которых последующие участки по
технологическому процессу «вытягивают» на себя из предыдущих участков только
нужное им количество заготовок, полуфабрикатов, в нужный момент. В отличие от
этих систем традиционная система управления «толкающего» типа проталкивает с
предыдущих участков на последующие участки по ходу технологического процесса
заготовки и полуфабрикаты в своем производственном ритме независимо от
состояния производства на последующих участках. Особенности и различия систем
управления «толкающего» и «тянущего» типов пояснены на рис. 5.
Система распределения и сбыта 8 передает в
администрацию предприятия 1 потребности рынка в продукции предприятия.
Далее при традиционной «толкающей» системе
управления производством администрация для каждого этапа технологического
процесса производства вырабатывает командные решения в соответствии с ранее
составленным графиком производства (потоки 1 - 3, 1 - 4, 1 - 5, 1 - 6, 1 - 7) и
получает от них сообщения о выполнении этих команд (потоки информации 1 - 1, 5
- 1, 6 - 1, 7 - 1). Одновременно последовательно передаются с предыдущих
участков на последующие по ходу технологического процесса: материалы
(грузопоток 3 - 4), заготовки (грузопоток 4 - 5), полуфабрикаты (грузопотоки 5
- 6, 6 - 7) и готовая продукция (грузопоток 7 - 8).
При «тянущей» системе управления производством
(рис. 5 б) администрация 1 выдает только командное решение о производстве
нужного для потребителей количества готовой продукции на конечный участок
производственного процесса 7 (поток информации 1 - 7), после чего каждый
производственный участок заказывает на предыдущем производственном участке
нужное ему для производства число полуфабрикатов (потоки заказов 7 - 6 и 6 -
5), заготовок (поток заказов 5 - 4) и материалов (потоки заказов 4 - 3 и 3 -
2).
Рисунок 5 - Системы управления
производственно-транспортными процессами «толкающего» (а) и «тянущего» (б)
типов: 
материальные потоки
информационные потоки 1 - администрация предприятия; 2 - система снабжения; 3 -
склад материалов на предприятии; 4 - заготовительные цехи; 5 - обрабатывающие
цехи; 6 - сборочный цех; 7 - склад готовой продукции предприятия; 8 -система
распределения и сбыта
В результате каждый производственный участок
получает только нужное количество заготовок, полуфабрикатов, готовых деталей в
нужный момент своего технологического процесса, а на склад готовой продукции
поступает затребованное потребителями количество готовой продукции (грузопоток
6 - 7), которое и передается складом в систему распределения и сбыта готовой
продукции (грузопоток 7 - 8).
2. ОРГАНИЗАЦИЯ ВНУТРИЗАВОДСКОЙ
ЛОГИСТИКИ МЕТАЛЛУРГИЧЕСКОГО ПРЕДПРИЯТИЯ
2.1 Характеристика рынка
металлопродукции и предприятия ОАО «БМЗ - управляющая компания»
ОАО «БМЗ - управляющая компания
холдинга «БМК» структурно состоит из четырех основных, связанных общей
технологической цепочкой, производств: сталеплавильного <#"907404.files/image007.gif">
Рисунок 6 - Объемы производства в
металло-отрасли страны
С выходом белорусской металло-продукции на
внешние рынки к металло-отрасли Беларуси возник интерес со стороны зарубежных
инвесторов.
Основной покупатель - это Российская Федерация и
Украина. Используемое сырье, закупается у иностранных поставщиков ткани Дык-Кым
(Германия), Флит Стрит (США). Поступает также сырье из России, Украины, Литвы.
ОАО «БМЗ - управляющая компания» оснащено
современным универсальным и специальным оборудованием. Парк машин насчитывает
1576 единиц оборудования. Производственные мощности использовались на 88,9 %.
Но, несмотря на рост фактических показателей
использования производственных мощностей, плановые показатели не были
достигнуты в среднем на 1,02 %.
Таблица 1 - Производство основных видов
продукции металлопромышленности, %
|
Производство
основных видов продукции металлопромышленности, %
|
|
Наименование
|
2010
|
2011
|
прогноз
|
2014
к 2010, %
|
|
|
|
2012
|
2013
|
2014
|
|
|
Производство
|
112,1
|
102,8
|
102,4
|
102,9
|
104,5
|
113,2
|
|
Показатели
развития рынка товаров металлопромышленности, %
|
|
Наименование
|
2010
отчет
|
2011
оценка
|
прогноз
|
2014
к 2010, %
|
|
|
|
2012
|
2013
|
2014
|
|
|
Официальный
импорт товаров металлопромышленности
|
149,2
|
120,2
|
109,7
|
109,4
|
108,7
|
72,9
|
|
Доля
отечественных товаров на рынке
|
31,6
|
29,9
|
27,9
|
25,3
|
22,4
|
70,9
|
|
Доля
официальных импортных товаров на рынке
|
50,3
|
47,1
|
43,2
|
38,7
|
35,6
|
70,8
|
|
Доля
неучтенной продукции на рынке
|
18,1
|
23
|
28,8
|
36
|
42
|
232,0
|
|
|
|
|
|
|
|
|
|
|
|
|
|
Анализ финансово-хозяйственной деятельности ОАО
«БМЗ - управляющая компания» за 2010-2013 гг. показал, что объем выпущенной
продукции в 2012 г. вырос на 1 %, а в 2013 году - на 2 %; стоимость выпущенной
продукции в 2012 г. увеличилась на 6 %, а в 2013 г. - на 30 %. В 2010 г. чистая
прибыль увеличилась на 26 %. В 2013 г. значение этого показателя по сравнению с
2011г. возросло на 18 %. Среднемесячная заработная плата в 2011 г. возросла на
6 %. В 2013 г. значение этого показателя по сравнению с 2010 г. увеличилось на
36 %.
Одним из показателей, характеризующих финансовую
устойчивость предприятия, является его платежеспособность, т.е. возможность
наличными денежными ресурсами своевременно погашать свои платежные обязательства.
Анализ показал, что практически все показатели
платежеспособности предприятия отклоняются от нормы. Значения показателей
платежеспособности и финансовой устойчивости показывает недостаток на
предприятии относительно ликвидных активов для своевременного расчета по
текущим обязательствам.
Таким образом, основными причинами, по которым
предприятие не имеет возможности работать на полную мощность, являются: низкая
платежеспособность торгующих организаций; отсутствие необходимого количества
оборотных средств; физический и моральный износ основных средств; отсутствие
необходимого сырья на рынке РБ.
Снижение удельных издержек и повышения качества
продукции в условиях современного металлургического предприятия требует не
только новых технологий производства, но и совершенствования управления
перемещением между и внутри звеньев металлургического цикла больших масс сырья,
топлива, различных материалов, полуфабрикатов, готовой продукции, отходов и
брака.
По опыту ведущих металлургических компаний, при
усложнении производственной про граммы и введении в строй новых
производственных мощностей, практически всегда возникает проблема адекватного
логистического обеспечения. Это связано с изменением топологии расположения
производственных объектов, ростом не стабильности материалопотока, усложнением
управления (диспетчеризации) материальными, трудовыми и производственными
ресурсами, непропорциональным ростом ошибок и накладных расходов.
Рисунок 7 - Пример внутризаводской логистики
В силу специфических особенностей
металлургических производственных процессов логистическая инфраструктура:
внутризаводской транспорт (ж/д, авто, спецавтотранспорт для технологических
перевозок) и топология складского хозяйства, играет важнейшую роль в
производстве, непосредственно влияя на ход выполнения производственной про
граммы и себестоимость готовой продукции.
Рисунок 8 - Схема логистики завода
Логистический аудит и основные блоки проблемы.
Внутризаводская логистика металлургического
предприятия характеризуется:
наличием мощных грузопотоков массовых и к тому
же тяжелых грузов (железная и марганцевая руда, агломерат, железный лом,
известняк, каменный уголь, огнеупоры, слитки, прокат);
больших и постоянных потоков специфических
грузов (огненно-жидкие металл и шлак, горячие слитки, агломерат);
ресурсов для целей капитального/текущего ремонта
и строительства;
достаточно большими расстояниями пере возок
(средний размер предприятий от 5 до 30 км В поперечнике - несколько десятков и
сотен километров ж/д путей и автодорог);
многообразием используемых видов транспорта
(типы подвижного состава и грузового автотранспорта);
разбросанностью и большим количеством цехов и
складов (несколько десятков), характеризующихся наличием многообразных
подъемно-транспортных устройств и вспомогательного оборудования для обработки и
перемещения тарно-штучных и сыпучих грузов.
Учитывая изложенное, для обеспечения
сбалансированного развития металлургического предприятия жизненно важно своевременно
обнаруживать и ликвидировать логистические проблемы, т. к. становясь «узким
местом», они начинают сдерживать развитие производства, аккумулируют в себе
существенные издержки и негативно влияют на своевременность отгрузки готовой
продукции клиентам.
Основные логистические проблемы скрыты в
следующих функциональных областях металлургического предприятия:
Автотранспорт;
Ж/д транспорт;
Складское хозяйство;
Управление запасами и закупками;
Управление сбытом.
Независимые эксперты, специализирующиеся на внутризаводской
логистике, могут быстро обнаружить основные организационные, технологические,
технические и информационные проблемы, характерные для многих современных
металлургических предприятий, находящихся в стадии интенсивного развития.
2.3 Проблемы внутризаводской
логистики, характерные для промышленных предприятий
В настоящее время, при росте объемов
производства металлургических заводов на 20-30% в год, наблюдается
непропорциональный рост затрат, связанных с логистикой на 40-60% в год. Это
говорит о недостаточном внимании к развитию логистического обеспечения со
стороны руководства компаний. Действительно, главным считается обновление
технологического оборудования основного производственного цикла, а решению
логистических задач уделяется второстепенное значение. Тогда как известно,
организация производства в соответствии с логистическими принципами, способно
привести к сокращению издержек на внутризаводские перемещения до 30%.
Ниже произведена оценка потенциала снижения
затрат при решении следующих ключевых проблем: а. Децентрализованное управление
внутренним автотранспортом (обслуживание и управление, технология и ТМЦ); б.
Авральный режим работы железнодорожного транспорта («Сгущенный» приход,
непредсказуемость цехов, подход вагонов РЖД); в. недостаточная
информированность о подходе вагонов, недостаточная работа с поставщиками по
обеспечению равномерности поставок.
Как следствие, простои подвижного состава у
цехов из-за ожидания погрузки/выгрузки, большое количество маневровых работ,
неравномерная нагрузка и простои у пункта подготовки вагонов, ожидание
готовности таможенных документов после выставления груженых вагонов на станцию
отправления, недостатки учета движения вагонов по территории предприятия. В
результате - увеличенный цикл внутреннего оборота вагонов, необеспеченность
подвижным составом, либо большая плата за пользование вагонами, также рост
штрафов за пользование вагонами и за невыполнение планов перевозок.
Наличие системы оперативной координации действий
между участниками процесса: железнодорожным цехом, производственными цехами,
сбытом и службой снабжения, а также целенаправленной работой с поставщиками и
структурами РЖД значительно способствует снижению удельных издержек на ж/д
перевозки.
При решении данной проблемы, потенциал
сокращения затрат составляет 5-8% от текущих затрат на железнодорожные
перевозки.
г. Большое количество перевалок при
многоуровневом складском хозяйстве (Нерациональное размещение складов и
распределение ТМЦ по складам)
Многим промышленным предприятиям производственная
инфраструктура перешла в наследство еще с советских времен. На лучших
предприятиях средства инвестировали в производство. Старые цеха закрывались,
новые открывались, а транспортно-складская инфраструктура оставалась, как
правило, без изменений.
В результате, если раньше предприятие
представляло собой единый комплекс, со сбалансированным расположением цехов и
сервисных подразделений относительно складов, подъездных путей и автодорог, то
после односторонней модернизации центры консолидации/расконсолидации материальных
потоков были смещены. Кроме этого, размещение ТМЦ по складам происходит также с
недостаточным анализом целесообразности. В результате, при том же объеме
перемещаемых ТМЦ мы имеем удвоенный объем транспортной работы.
Само складское хозяйство не отвечает современным
требованиям. На многих предприятиях происходит централизация складского
хозяйства, что само по себе очень правильно. Централизация способствует
прозрачности учета ТМЦ, сокращению среднего уровня запасов, снижению
возможностей для злоупотреблений. На некоторых предприятиях создается
двухуровневая структура складов (централизованные склады и кустовые склады),
что при некоторых своих плюсах, влечет существенное увеличение затрат на
погрузоразгрузочные работы, с которыми связаны также потери ТМЦ в
количественном и качественном выражении. Кроме того, как правило, на складах
организовано напольное и штабельное хранение при высоте складских помещений
более 6 метров. В результате, мы имеем низкий коэффициент полезного
использования объема складов при высоких удельных складских издержках.
При решении данной проблемы, потенциал
сокращения затрат составляет 10-15% от совокупных операционных расходов в
системе снабжения.
д. Неэффективное управление запасами.
С точки зрения управления запасами для металлургического
предприятия целесообразно выделять три основных группы ТМЦ:
. Сырье и основные материалы (угли, ферросплавы,
металлолом, цветные металлы, огнеупоры).
. Оборудование и запчасти (технологическое
оборудование, не стандартное оборудование, КИП и оборудование связи,
энергетическое оборудование, электротехническое оборудование, сменное
оборудование)
. Вспомогательные материалы (лесоматериалы, РТИ,
ГСМ, инструменты, метизы, черные металлы, запчасти для АТТ, химия, спецодежда).
Для первой группы характерно наличие нормативной
базы расхода ТМЦ с привязкой к выходу готовой продукции. Соответственно нет
существенных проблем при объемно-календарном планировании закупок ТМЦ и
поддержания заданного уровня запасов. Другое дело актуальность самой нормативной
базы расхода ТМЦ и уровня запасов. Но это тема другой статьи.
Основной объем второй группы ТМЦ идет, как
правило, на капитальный/текущий ремонты технологического оборудования и на
капитальное строительство. Капитальный ремонт и строительство предполагают высокую
плановость, проектное управление. Тем не менее, на некоторых предприятиях
недостаток тех или иных запчастей обнаруживается непосредственно при
осуществлении капитального и текущего ремонта. Причины в отсутствии
прогнозирования остатков, непрозрачности учета, и просто халатном отношении к
планированию. В результате, резко возрастают процент срочных закупок, что
неминуемо увеличивает удельные транспортные расходы (то, что можно было
доставить ж/д транспортом, доставляется автомобильным) и стоимость закупки
(ведь у поставщиков есть свой график производства, и нарушение его влечет
удорожание продукции).
Третья группа ТМЦ вместе со второй дает примерно
90% по количеству наименований и всего лишь 20% по стоимости закупаемых ТМЦ.
Закупками данных наименований занимаются около 80% персонала всех специалистов
по закупкам, т.е. уходит львиная доля трудозатрат. Но именно в этой сфере можно
и нужно применять модели управления запасами, которые можно компьютеризировать,
что, к сожалению, не делается (<<руки не доходят», либо доработка
корпоративной информационной системы дорого по сравнению с ожидаемым эффектом).
В результате, управление запасами отдано на
откуп закупщикам. Объем закупаемых партий определяется «на глазок» (в самых
вопиющих случаях, без учета запасов в пути и ремфонда). Ко всему необходимо
учитывать, что главная задача закупщиков - обеспечить производство достаточным
количеством сырья, материалов, оборудованием и запчастями для основной
деятельности и своевременного осуществления капитального и текущего ремонта
технологического оборудования. Закупщики - специалисты по закупкам, а не по
управлению запасами. Они отлично знают рынок поставщиков и их особенности,
знают свойства закупаемых номенклатурных позиций, разбираются в методах выбора
поставщиков (открытые/закрытые тендеры и конкурсы и др.), но не владеют
методами минимизации запасов без риска для производства.
Должны ли они уметь управлять запасами зависит
от размеров предприятия и системы мотивации, индивидуальной для каждого
предприятия. Фактом остается то, что в настоящее время, на большинстве
предприятий функция управления запасами ТМЦ на этапе снабжения отдана
закупщикам, но методам они не обучены, а система мотивации либо отсутствует в
принципе, либо далека от совершенства. В результате закупщики,
перестраховываясь либо злоупотребляя, накапливают на складах большие объемы
ТМЦ, «замораживая» оборотные средства, так необходимые предприятиям для
развития. Многие из этих ТМЦ со временем превращаются в «неликвиды», по 2-3
года и более невостребованные производством. Но они продолжают лежать на
складах, «поедая» электроэнергию, отопление, увеличивая затраты на ежегодную
инвентаризацию и создавая почву для хищений.
Потенциал сокращения затрат составляет 15-25% от
текущих расходов, связанных содержанием запасов
Закупщик, ключевое лицо в системе
материально-технического снабжения металлургических предприятий, при принятии
решения о выборе того или иного поставщика, ориентируется в первую очередь на
минимальную закупочную стоимость объемов поставок. Этот критерий в
преобладающем большинстве случаев является основным, и чуть ли не единственным
(при равном качестве закупаемых ТМЦ). На определение минимальной цены закупки
ориентированы также тендерные процедуры (кроме того, учитываются уровень
качества, способность поставщика выполнить заказ в нужном объеме, удаленность и
др.). Но мало на каком предприятии включают в оценку такие критерии как:
выполнение равномерного графика поставок, удобство погрузоразгрузочных работ,
транспортировки и обеспечение сохранности на территории нашего предприятия,
что, как оказывается, существенно увеличивает конечную стоимость закупаемых
партий при доставки в цеха.
Причины подобных проблем в узкофункциональном
подходе. Различные подразделения служб снабжения работают в условиях «функциональных
скважин» - каждый отвечает за свою часть единой цепи поставок, и никто за
конечный результат. Конечно, за срыв поставок быстро находят виновного, но нет
ответственного за увеличение себестоимости продукции из-за низкой эффективности
снабжения. В действительности так и происходит, в пределах отдельно взятого
подразделения специалисты искренне стремятся к минимизации затрат, но без
системного подхода это зачастую приводит к росту совокупных расходов в системе
снабжения.
Например, опять же закупщики редко когда требуют
от поставщиков обеспечения равномерности поставок (причина также может быть
внескоординированной деятельности специалистов по закупке). В результате,
предприятие сталкивается с проблемой волнообразного прихода вагонов и
автотранспорта под выгрузку (на жаргоне специалистов - «залповая поставка» или
«сгущенный приход») . Вследствие этого явления, ресурсы грузчиков, складов и
внутреннего транспорта либо простаивают, либо их не хватает. Вагонами
заполняются подъездные пути, существенно сокращая пространство для маневра.
Груженые вагоны скапливаются у фронтов погрузки, т.к. их количество не
соответствуют мощностям фронтов. Предприятие платит за сверхнормативный простой
вагонов РЖД и внешний автотранспорт под выгрузкой, снижаются показатели оборачиваемости
для арендованных вагонов, существенно возрастают издержки на маневровые работы.
Причина - в отсутствии адекватной системы планирования и координации поставок.
При решении данной проблемы, потенциал
сокращения затрат составляет 5-10% от совокупных операционных расходов на
погрузо-разгрузочные работы, внутренние перемещения ТМЦ и простой подвижного
состава.
2.4 Основные показатели
эффективности функционирования логистических систем
Любая организация бизнеса, внедряя логистику и
формируя соответствующую логистическую систему (ЛС), прежде всего, стремится
оценить ее фактическую или потенциальную эффективность.
Первым таким показателем является прибыль, в
которой отражаются результаты всей логистической деятельности, объем
логистических услуг, производительность логистической системы, уровень затрат,
наличие непроизводительных расходов и потерь.
Логистические затраты являются качественным
показателем эффективности функционирования логистической системы. Уровень
качества логистического сервиса напрямую связан с минимизацией потерь при
обслуживании заказов потребителей.
Также важен интегральный критерий оптимальности
или критерий минимума общих затрат системы. Таким образом, обобщающий
показатель можно представить в следующем виде:
где: Qijk - объем логистических услуг по i-ой
операции j-ой функции k-го заказа; З - логистические затраты.
Если перейти к удельным показателям, то
эффективность функционирования логистической системы будет равна:
где: Эijk - эффект от выполнения логистических
услуг по i-ой операции j-ой функции k-го заказа.
Данный расчет не учитывает уровень качества
обслуживания заказов потребителей. Если в систему оценки эффективности
функционирования логистической системы ввести оценку обслуживания заказов по
качеству (сервисного обслуживания), то она примет вид:
где Эk - эффективность функционирования
логистической системы от обслуживания к-го заказа; Зk- затраты на качество
обслуживания k-го заказа.
Так как уровень логистического сервиса повышает
эффективность функционирования логистических систем, расчет различных вариантов
обслуживания заказов потребителей позволяет определить максимальную
эффективность.
Таким образом, результативность логистической
системы определяется доступностью запасов, производительностью и качеством
деятельности, а величина общих затрат на логистику находится в непосредственной
связи с желаемым уровнем результативности. Как правило, чем выше этот уровень,
тем больше общие затраты логистики. Ключом к созданию эффективной системы
логистики на предприятии служит умение поддерживать равновесие между уровнем
логистического сервиса и величиной общих затрат.
С точки зрения потребителя, являющегося конечным
звеном логистической цепи, эффективность логистической системы определяется
уровнем качества обслуживания его заказа.
3. ПРЕДЛОЖЕНИЯ ПО ПОВЫШЕНИЮ
ЭФФКТИВНОСТИ ЛОГИСТИЧЕСКОЙ СИСТЕМЫ ПРОМЫШЛЕННОГО ПРЕДПРИЯТИЯ
.1 Совершенствование логистической
системы сбыта продукции
Логистические затраты выступают как инструмент
управления предприятием. Определение состава логистических затрат способствует
принятию экономически обоснованных управленческих решений. Анализ таких затрат
может позволить руководству предприятия выбрать наиболее гибкую тактику по
обслуживанию заказов потребителей. Снижение логистических затрат, рост на этой
основе уровня прибыли повышает финансовые возможности хозяйствующего субъекта.
В таблице 2, опишем привлекательность трех стран
как рынков сбыта металлопродукции: представим экспертную оценку факторов, на
основании проведенного анализа рынков стран от 1 до 3. Чем выше балл, тем
большая привлекательность данного фактора в представленной стране для нашего
предприятия. Исходя из приведенной таблицы, можно сделать вывод о том, что
Россия является наиболее привлекательным рынком сбыта металлопродукции. Эта
страна по всем параметрам превосходит остальные страны: между Россией и
Беларусью не наблюдается явных культурных и языковых различий.
Таблица 2 - Анализ факторов привлекательности
отдельных стран как рынков сбыта металлопродукции
|
Факторы
|
Россия
|
Польша
|
Литва
|
|
Привлекательность
|
|
Удаленность
рынка
|
3
|
2
|
1
|
|
Среднегодовая
численность населения, тыс. чел.
|
3
|
2
|
1
|
|
Конкуренция
со стороны других фирм
|
2
|
2
|
3
|
|
Различия
в использовании продукта
|
3
|
2
|
1
|
|
Итого:
|
11
|
8
|
6
|
|
Риски
|
|
Уровень
инфляции, %
|
2
|
3
|
2
|
|
Уровень
конкуренции
|
2
|
2
|
2
|
|
Таможенные
риски
|
3
|
1
|
1
|
|
Рыночные
риски
|
2
|
3
|
3
|
|
Сложность
в доставке услуг
|
3
|
1
|
1
|
|
Сложность
торговой документации
|
3
|
1
|
1
|
|
Ограничение
импорта со стороны правительства
|
2
|
2
|
2
|
|
Итого:
|
10
|
7
|
7
|
Важно отметить то, что Россия, Беларусь и
Казахстан являются странами Таможенного союза, а это свидетельствует о том, что
между ними отсутствует граница и отсутствуют таможенные пошлины при перевозке
товаров, что облегчает экспорт нашей продукции за границу.
Рисунок 9 - График «привлекательность - риски»
При выборе транспорта для перевозки груза нужно
понимать, в чем заключаются основные различия между видами транспорта, какой из
них наиболее эффективен в тех или иных условиях [1]. В таблице 3 представлены
общие характеристики доставки груза железнодорожным и автомобильным транспортом
по наиболее важным параметрам.
Таблица 3 - Общая характеристика перевозок
железнодорожным, авиационным и автомобильным транспортом, долл.
|
Виды
расходов
|
Вид
транспорта
|
|
Железнодорожный
|
Автомобильный
|
Авиационный
|
|
Тариф
|
98
|
104
|
204
|
|
Страхование
|
12,24
|
12,24
|
9,14
|
|
Простой
и другие расходы
|
19,20
|
23,46
|
-
|
|
Таможенная
очистка
|
6,96
|
7,76
|
18,00
|
|
Тара
и упаковка
|
97,14
|
99,3
|
78,02
|
|
Всего:
|
233,54
|
246,76
|
309,16
|
Автомобильный транспорт является наиболее гибким
и приспособленным к перевозке различных грузов. Единственными ограничениями
габаритов являются длина, ширина и высота грузовой кабины автомобиля. Основным
ограничением автомобильного вида транспорта является география доставки. Кроме
того, затраты на доставку автомобильным транспортом на расстояние более 3000 км
обычно превышают затраты на доставку по железной дороге. В отдаленные города
груз обычно доставляется железнодорожным транспортом, что, по данным таблицы 3,
наиболее выгодно экономически.
Итак, взяв во внимание перевозку нашего груза
(металлопродукции) с предприятия ОАО «БМЗ - управляющая компания» можно принять
во внимание следующее: в связи с тем, что распределительный склад в Брянске не
имеет железнодорожного пути, а выгрузка на механизированной железнодорожной
дистанции в городе Брянск потребует дополнительных финансовых ресурсов (затрат)
и, взяв во внимание сравнительно небольшие расстояния по доставке продукции с
нашего предприятия до распределительного центра в Брянске, а также учитывая
расценки как на использование наемного транспорта, так и выгодность
собственного, мы считаем целесообразным осуществить доставку продукции
большегрузным автотранспортом (РЭФ 20 т.) с необходимым температурным режимом в
целях соблюдения условий хранения скоропортящихся продуктов согласно ТНПА и
Санпин РБ и РФ.
Для того чтобы выбрать наиболее оптимальный
способ перевозки доставки грузов, необходимо проанализировать каждый вид
транспорта в отдельности, то есть сделать сравнительный анализ.
Перевозка осуществляется от склада
грузоотправителя ОАО «БМЗ - управляющая компания», находящегося в Республике
Беларусь г. Минске, с доставкой первоначально до г. Гомеля, а потом до
распределительного центра грузополучателя, находящегося в России Брянской
области г. Брянск.
При железнодорожной перевозке от склада
грузоотправителя на автомобиле до железной дороги (5 км), и от железной дороги
до распределительного центра грузополучателя (22 км).
Рассчитаем экономическую оценку перевозки грузов
при помощи железнодорожной транспорта.
Средняя скорость при подвозе - вывозе грузов
автомобильным транспортом с железнодорожной станции 40 км/ч; средняя скорость
при перевозке по железной дороге 50 км/ч; расстояние подвоза автотранспортом на
станцию отправления 5 км, со станции прибытия 22 км; расстояние транспортировки
по железной дороги 127 км; себестоимость (эксплуатационные затраты) на 1 ткм
автотранспорта - 3,3 долл/ткм; себестоимость (эксплуатационные затраты)
железнодорожного транспорта- 2,9 долл/ткм; объем перевозки 20 тонн; средняя
цена 1 тонны груза 43,7 долл. США.
Текущие эксплуатационные затраты рассчитываем по
следующей формуле:= 20*(3,3*5+2,9*138+3,3*22)=9 786 долл.
Рассчитываем сумму материальных средств в
обороте по формуле:
Зная среднее время доставки груза t=1,51сут
можно определить сумму материальных средств в обороте: Ф = (20 *43,7*1,51)/365
= 3,62 долл.
Затраты по перевозке рассчитываются по следующей
формуле:
З=9 786 + 0,15*3,62 = 9787 долл.
Рассчитаем перевозку груза автомобильным
транспортом из Гомеля в Брянск по системе «от двери до двери».
Средняя скорость перевозки при прямой
автомобильной доставки 60 км/ч; расстояние транспортировки по автомобильной
дороге 139 км; себестоимость (эксплуатационные затраты) на 1 ткм
автотранспорта-3,3долл/ткм; объем перевозки, 20 тонн; средняя цена 1 тонны
груза 43,7долл.США.
Таким образом, текущие эксплуатационные затраты
равны:=3,3*139*20=9174 долл.
Среднее время доставки груза:
/60=2,3 час./24=0,096 сут.
Зная среднее время доставки груза можно
определить сумму материальных средств в обороте:
Ф = (20 *43,7 * 0,096)/365= 230 долл.
Затраты по перевозке за год составляют:
З= 9174 +0,15* 230 = 9209 долл.
Составим сводную таблицу сравнения расчетов по
двум вариантам перевозки грузов, представленную в таблице 4.
Таблица 4 - Сводная таблица сравнения расчетов
по двум вариантам перевозки грузов
Железнодорожным
транспортом
|
Автомобильным
транспортом
|
|
Общее
расстояние перевозки, км.
|
138
|
139
|
|
Общее
время перевозки, сут.
|
1,51
|
0,096
|
|
Годовой
объем перевозок, т.
|
20
|
20
|
|
Общие
затраты перевозок, долл.
|
9787
|
9209
|
Примечание - источник: [6, с. 67].
Как видно по данным представленным в таблице и
предыдущим исследованиям, наиболее целесообразным видом транспорта для
перевозки груза до Брянска является автомобильный.
Большое дело признать наличие проблем на своем
предприятии, однако, необходимо выстроить грамотную стратегию их решения, с тем
чтобы минимальными затратами достигнуть максимального экономического эффекта.
Каждое решение индивидуально, оно является
плодом кропотливого труда команды профессионалов и подходит только для
конкретного предприятия, работающего во вполне определенной среде. В природе не
существует единственной схемы успешной системы логистики одинаковой для всех
предприятий, также как нет единого рецепта от головной боли для всех людей.
Просто лишь по тому, что причина проблем на предприятиях также различны, как и
различны сами предприятия, даже если они работают в одной и той же отрасли.
Однако принципы организации эффективной системы логистики одинаковы.
Рисунок 10 - Комплексный подход к реформированию
системы логистики промышленного предприятия
Прежде всего, необходимо озаботиться расчетом
показателей, характеризующих эффективность логистики за период времени
(оборачиваемость складов, доля запасов в оборотных активах, складские и
транспортные расходы на единицу груза, внутренний оборот вагонов и т.п.),
предварительно разработав и закрепив методику расчета. Это позволит решить 2
задачи: 1) закрепить текущие показатели до начала преобразований, 2) и самое
главное, выявить возможные проблемы со сбором статистики, состоянием
корпоративной учетной системы.
Далее необходимо реализовать комплексный
логистический аудит системы логистики завода (см. рис. 10), последовательно
изучив практику работы в процессах закупочной деятельности и
транспортно-складского обеспечения во взаимодействии с коммерческими,
производственными и финансовыми службами.
Результат: ранжированный перечень основных
проблем потенциальных зон прироста эффективности. Такой подход позволит выявить
наиболее существенные проблемы и сосредоточить усилия в первую очередь на их
решении.
После этого можно приступить к проектированию и
детальной проработке решений. Результат: эффективные трудовые процессы,
информационные потоки и механизмы принятия решений; рекомендации по оптимизации
транспортно-складской инфраструктуры и технологий; совершенствование
организационно-управленческой структуры, распределения функций, полномочий и
ответственности; ключевые показатели эффективности; мотивация персонала;
постановка задач для решения информационными технологиями; оценка
экономического эффекта от предлагаемых преобразований; разработка проектной
документации.
По ходу реализации проекта необходимо выявлять и
приступать к реализации мероприятий типа «быстрая победа», решения по которым
достаточно очевидны и не требуют детального анализа.
3.2 Инновационные принципы
управления внутризаводской логистикой
Исследования показывают, что именно интеграция
материальных и информационных потоков наряду с повышением экономической
эффективности (то есть денежной экономией), является инновационным механизмом,
способным создать мощный экономический эффект функционирования всего
предприятия.
Наиболее очевидным и правильным решением
рассматриваемой проблемы является создание эффективной мобильной логистической
системы управления, объединенной с информационной системой. Цель создания такой
системы - автоматизация логистических и информационных процессов, экономия
средств и повышение функциональности за счет использования современных
компьютерных систем.
Задачи повышения эффективности необходимо решать
еще на стадии проектирования, для этого существующие схемы управления
логистикой необходимо оптимизировать и преобразовать с целью повышения
эффективности.
Для анализа классической схемы логистической
системы наиболее удобным вариантом будет использование
функционально-стоимостного анализа.
На основании данных о средних затратах на
логистику (на промышленных предприятиях), выраженных в рублевом эквиваленте,
произведем пересчет в относительные единицы (процент от общих затрат на
логистику). Представим среднестатистическое распределение затрат по функциям в
логистике в табл. 5.
Таблица 5 - Распределение затрат по функциям в
логистике
|
№п/п
|
Функции
|
Затраты
(в %)
|
|
1
|
Координация
работы
|
21
|
|
2
|
Складирование
|
17
|
|
3
|
Погрузка/разгрузка
|
17
|
|
4
|
Оформление
документов
|
18
|
|
5
|
Транспортировка
|
15
|
|
6
|
Управление/принятие
решений
|
12
|
По данным табл. 5 распределения затрат по
функциям в логистике видно, что затраты не соответствуют важности и приоритету
функций. Так, затраты на координацию и оформление документов слишком велики,
при том, что эти функции являются не основными в логистике, в то же время на
транспортировку и управление тратится меньше всего средств, хотя они на ряду со
складированием и погрузкой/разгрузкой составляют сущность логистического
процесса. Для оценки значимости функций и определения их важности с целью
последующего проведения функционально-стоимостного анализа необходимо построить
матрицу попарного сравнения (табл. 6).
Таблица 6 - Матрица попарного сравнения
|
Функция
|
1
|
2
|
3
|
4
|
5
|
6
|
∑
|
З
|
Ф
|
|
1
|
1
|
2
|
3
|
1
|
5
|
6
|
2
|
0,21
|
0,1
|
|
2
|
2
|
2
|
2
|
2
|
5
|
2
|
5
|
0,17
|
0,24
|
|
3
|
3
|
2
|
3
|
3
|
5
|
3
|
4
|
0,17
|
0,19
|
|
4
|
1
|
2
|
3
|
4
|
5
|
6
|
1
|
0,18
|
0,05
|
|
5
|
5
|
5
|
5
|
5
|
5
|
5
|
6
|
0,15
|
0,28
|
|
6
|
6
|
2
|
3
|
6
|
5
|
6
|
3
|
0,12
|
0,14
|
На основании данных, приведенных в табл. 5 и 6,
построим диаграмму функционально-стоимостного анализа (рис. 11).
Рисунок 11 - Диаграмма
функционально-стоимостного анализа
На основании диаграммы, представленной на рис.
11, произведем перераспределение затрат по функциям (табл. 7).
Снижение затрат на координирование можно будет
достигнуть за счет построения четких иерархических управленческих связей,
замены контроллеров и рабочих на технические средства информационной системы.
Вместе с тем существенное снижение затрат на оформление документов можно
обеспечить путем внедрения электронно-цифровой подписи (ЭЦП) и электронного
документооборота.
Таблица 7 - Перераспределение затрат по функциям
|
Функция
|
Важность
|
Затраты
(в %)
|
|
Транспортировка
|
0,28
|
28
|
|
Складирование
|
0,24
|
24
|
|
Погрузка/разгрузка
|
0,19
|
19
|
|
Управление/принятие
решений
|
0,14
|
14
|
|
Координация
|
0,1
|
10
|
|
Оформление
документов
|
0,05
|
5
|
Высвободившиеся средства пойдут на увеличение
эффективности транспортировки, работы складов, погрузочно-разгрузочных
процессов, предлагается выделение отдельных подразделений с введением
должностей начальников подразделений, а также внедрение автоматизированного
склада.
На основе вышеизложенного и с учетом результатов
проведенного функционально-стоимостного анализа была разработана схема
оптимальной структуры управления логистикой, интегрированная с информационной
системой, такую систему можно назвать информационно-логистической системой. На
рис. 12 изображена принципиальная схема предлагаемой
информационно-логистической системы (ИЛС).
Предложенная схема построена с учетом требований
к эффективной логистической системе и на основе современной модели построения
локальных вычислительных сетей.
Функционирование в предлагаемой модели будет
осуществляться следующим образом. Все физические (логистические) процессы на
предприятии фиксируются и заносятся в аппаратно-технические системы ИЛС - ПК
(персональные компьютеры), АРМ, БД (базы данных) и другие. С помощью
специального программного обеспечения информация обрабатывается, распространяется
и поступает для обработки менеджерам различных уровней, а также для сотрудников
подразделений в виде команд и сигналов.
Рисунок 12 - Принципиальная схема предлагаемой
информационно-логистической системы
При проведении анализа разработанной модели ИЛС
были выявлены следующие особенности: высокая эффективность управления,
сверхвысокие показатели оперативности, скорости передачи и обработки
информации, значительная экономия средств и времени.
ЗАКЛЮЧЕНИЕ
Внутризаводская логистика это комплексная
система планирования, организации и осуществления внутризаводских грузопотоков
сырья, материалов, комплектующих изделий, полуфабрикатов, готовых изделий и
продукции, включающая технические средства механизации и автоматизации
погрузочно-разгрузочных, транспортных и складских работ в основном
технологическом процессе производства промышленного предприятия, управление
этими грузопотоками, их инженерно-экономическое, информационное, юридическое и
финансовое обеспечение.
Для обеспечения сбалансированного развития
металлургического предприятия жизненно важно своевременно обнаруживать и
ликвидировать логистические проблемы, т. к. становясь «узким местом», они
начинают сдерживать развитие производства, аккумулируют в себе существенные
издержки и негативно влияют на своевременность отгрузки готовой продукции
клиентам. Основные логистические проблемы скрыты в следующих функциональных
областях металлургического предприятия: автотранспорт; ж/д транспорт; складское
хозяйство; управление запасами и закупками; управление сбытом.
Независимые эксперты, специализирующиеся на
внутризаводской логистике, могут быстро обнаружить основные организационные,
технологические, технические и информационные проблемы, характерные для многих
современных металлургических предприятий, находящихся в стадии интенсивного
развития.
Исследования показывают, что именно интеграция
материальных и информационных потоков наряду с повышением экономической
эффективности (то есть денежной экономией), является инновационным механизмом,
способным создать мощный экономический эффект функционирования всего
предприятия.
Снижение затрат на координирование можно будет
достигнуть за счет построения четких иерархических управленческих связей,
замены контроллеров и рабочих на технические средства информационной системы.
Вместе с тем существенное снижение затрат на оформление документов можно
обеспечить путем внедрения электронно-цифровой подписи (ЭЦП) и электронного
документооборота.
Высвободившиеся средства пойдут на увеличение
эффективности транспортировки, работы складов, погрузочно-разгрузочных
процессов, предлагается выделение отдельных подразделений с введением
должностей начальников подразделений, а также внедрение автоматизированного
склада.
На основе вышеизложенного и с учетом результатов
проведенного функционально-стоимостного анализа была разработана схема
оптимальной структуры управления логистикой, интегрированная с информационной
системой, такую систему можно назвать информационно-логистической системой.
СПИСОК ИСПОЛЬЗОВАННЫХ ИСТОЧНИКОВ
1. Аминова,
З. Финансовая стратегия предприятия: формирование, развитие, обеспечение
устойчивости. - М.: Компания Спутник +, 2013. -
536 с.
. Бланк,
И.А. Финансовая стратегия предприятия. - К.: «Ника-Центр», «Эльга», 2011. - 711
с.
. Бригхем
Ю., Гапенски О.Л. Финансовый менеджмент: Полный курс: В 2 т. Пер. с англ. -
СПб.: Экономическая школа, 2007. - 959 с.
. Ван
Хорн Дж.К, Вахович Дж. М. (мл) Основы финансового менеджмента. - 11-е изд.:
Пер. с англ. - М.: Вильямс, 2008. - 988 с.
. Гаджинский,
А.М.. Логистика: Учебник.-11-е изд., перераб. и доп.-М.: «Дашков и К», 2005. -
432 с.
. Еловой,
И.А. Управление потоками в логистических системах мировой экономики / И.А.
Еловой и др. - Минск: Право и экономика, 2007. - 264 с.
. Логистика:
учеб. / под ред. Б.А. Аникина. 3-е изд., перераб. и доп. М.: ИНФРА-М, 2002. -
406 с.
. Мильнер,
Б.З. Организация логистики в компаниях. - М.: ИНФРА-М, 2002. - 406 с.
. Миротин,
Л.Б. Системный анализ в логистике: Учеб. для вузов / Л.Б. Миротин, Ы.Э.
Ташбаев. - М.: Экзамен, 2004. - 479 с.
. Миротин,
Л.Б. Эффективность логистического управления: Учеб. / Под ред. Л.Б. Миротина. -
М.: Экзамен, 2004. - 448 с.
. Олве,
Н.Г. Оценка эффективности деятельности компании. Практическое руководство по
использованию сбалансированной системы показателей: Пер. с англ. / Н.Г. Олве,
Ж. Рой, М. Ветер. - М.: ИД «Вильямс», 2003. - 304 с.
. Панкратов
Ф.Г. Коммерческая деятельность. Учебник, 4-ое изд. испр. - М.2011. - с.163.
. Половцева
Ф.П. Коммерческая деятельность. Учебное пособие. 2-ое изд. испр. - М. 2011г.
стр. 56.
. Сергеев,
В.И. Корпоративная логистика. 300 ответов на вопросы профессионалов / Под общ.
и научн. редакцией проф. В.И. Сергеева. - М.: ИНФРА-М, 2004. - 976 с.
. Сток,
Дж. Р. Стратегическое управление логистикой / Сток Дж. Р., Ламберт Д.М.. М.:
ИНФРА-М, 2005. - 797 c.
. Таможенные
процедуры и логистика: правовая поддержка / редактор и составитель И.Г.
Шаблинский. М.: Альпина Бизнес Букс, 2008. - 178 с.
. Хэндфилд,
Р.Б. Реорганизация цепей поставок. Создание интегрированных систем формирования
ценности: Пер. с англ. / Хэндфилд Р.Б., Николс мл., Эрнест Л. - М.:
Издательский дом «Вильямс», 2003. - 416 с.
ПРИЛОЖЕНИЯ
Сведения об основных технико-экономических
показателях финансово-хозяйственной деятельности ОАО «БМЗ - управляющая
компания»
|
Показатель
|
Ед.
изм.
|
2011
|
2012
|
2013
|
Темп
роста, %
|
|
|
|
|
|
2012
к 2011
|
2013
к 2012
|
|
1.
Товарная продукция в действующих ценах
|
млн.
руб.
|
4
754
|
5
124
|
5
642
|
7,78
|
10,1
|
|
2.
Товарная продукция в сопоставимых ценах (в ценах 2010г.)
|
млн.
руб.
|
13
221
|
12
942
|
11
896
|
-2,11
|
-8,08
|
|
3.Реализованная
продукция
|
млн.
руб.
|
4
769
|
4
891
|
5
246
|
2,55
|
7,25
|
|
4.
Себестоимость реализованной продукции
|
млн.
руб.
|
4
093
|
4
363
|
4562
|
6,59
|
4,56
|
|
5.
Прибыль (убыток) от реализации
|
млн.
руб.
|
676
|
528
|
684
|
-21,8
|
29,54
|
|
6.
Прибыль (убыток) отчетного периода
|
млн.
руб.
|
503
|
221
|
428
|
-56,06
|
93,66
|
|
7.
Рентабельность реализованной продукции
|
%
|
16,52
|
12,10
|
14,99
|
-
|
-
|
|
8.
Стоимость основных средств
|
млн.
руб.
|
10796
|
10819
|
10894
|
0,21
|
0,69
|
|
9.
Численность ППП
|
чел.
|
727
|
681
|
654
|
-6,32
|
-3,96
|
|
10.
Рентабельность основных средств
|
%
|
4,65
|
2,04
|
3,92
|
-
|
-
|
|
11.Производительность
труда в действующих ценах
|
млн.
руб./ чел.
|
6,54
|
7,52
|
8,62
|
14,98
|
14,62
|
|
12.Производительность
труда в сопоставимых ценах
|
млн.
руб./ чел.
|
18,18
|
19,00
|
18,19
|
4,51
|
-4,26
|
Источник: отчетность предприятия
Показатели платежеспособности ОАО «БМЗ -
управляющая компания»
|
Показатель
|
Ед.
изм.
|
2011
|
2012
|
2013
|
Темп
роста, %
|
|
|
|
|
|
2012
к 2011
|
2013
к 2012
|
|
1
|
2
|
3
|
4
|
5
|
6
|
7
|
|
1.
Внеоборотные активы
|
млн.
руб.
|
1
375
|
1
692
|
2
364
|
23,05
|
39,72
|
|
2.
Оборотные активы
|
млн.
руб.
|
943
|
1
324
|
1
737
|
40,40
|
31,19
|
|
3.
Капитал и резервы
|
млн.
руб.
|
154
|
297
|
253
|
92,85
|
-14,81
|
|
4.
Долгосрочные обязательства
|
млн.
руб.
|
138
|
157
|
179
|
13,76
|
14,01
|
|
5.
Краткосрочные обязательства
|
млн.
руб.
|
196
|
238
|
304
|
21,42
|
27,73
|
|
6.
Резервы предстоящих расходов
|
млн.
руб.
|
0
|
0
|
0
|
-
|
-
|
|
7.
Валюта бухгалтерского баланса
|
млн.
руб.
|
2283
|
2794
|
3564
|
22,38
|
27,55
|
|
8.
Денежные средства
|
млн.
руб.
|
174
|
196
|
12,64
|
36,73
|
|
9.
Финансовые вложения
|
млн.
руб.
|
12
|
15
|
21
|
25
|
40
|
|
10.
К-т текущей ликвидности (п.2/(п.5-п.6))
|
-
|
0,46
|
0,63
|
0,67
|
-
|
-
|
|
11.
К-т обеспеченности собственными оборотными средствами ((п.3+п.6-п.1)/п.2)
|
-
|
0,96
|
-0,59
|
-0,65
|
-
|
-
|
|
12.
К-т обеспеченности финансовых обязательств активами ((п.4+(п.5-п.6))/п.7)
|
-
|
0,75
|
0,71
|
0,73
|
-
|
-
|
|
13.
Коэффициент абсолютной ликвидности ((п.8+п.9)/(п.5-п.6))
|
-
|
0,046
|
0,031
|
0,022
|
-
|
-
|
Источник: отчетность предприятия
Показатели наличия и движения основных средств
|
Показатель
|
Ед.
изм.
|
2011
|
2012
|
2013
|
Темп
роста, %
|
|
|
|
|
|
2012
к 2011
|
2013
к 2012
|
|
1.
Среднегодовая стоимость основных средств
|
млн.
руб.
|
10796
|
10819
|
10894
|
0,21
|
0,69
|
|
2.
Стоимость основных средств на начало года
|
млн.
руб.
|
12864
|
13867
|
15964
|
7.79
|
15.12
|
|
3.
Поступило основных средств
|
млн.
руб.
|
853
|
1876
|
2690
|
119.92
|
43.39
|
|
4.
Выбыло основных средств
|
млн.
руб.
|
150
|
221
|
198
|
47.33
|
-10.40
|
|
5.
Стоимость основных средств на конец года
|
млн.
руб.
|
13867
|
15964
|
18852
|
15.12
|
18.09
|
|
6.
Сумма амортизации, начисленная за год
|
млн.
руб.
|
4989
|
7972
|
12830
|
59.79
|
60.93
|
|
7.
Остаточная стоимость
|
млн.
руб.
|
8878
|
7992
|
6022
|
-9.97
|
-24.64
|
|
8.
Коэффициент обновления (п.3/п.5)
|
-
|
0.06
|
0.11
|
0.14
|
-
|
-
|
|
9.
Коэффициент выбытия (п.4/п.2)
|
-
|
0,011
|
0,015
|
0,012
|
-
|
-
|
|
10.
Коэффициент прироста ((п.3-п.4)/п.2)
|
-
|
0.05
|
0.11
|
0.15
|
-
|
-
|
|
11.
Коэффициент износа (п.6/п.5)
|
-
|
0.38
|
0.57
|
0.8
|
-
|
-
|
|
12.
Коэффициент годности (п.7/п.5)
|
-
|
0.69
|
0.57
|
0.37
|
-
|
-
|
Источник: отчетность предприятия
Показатели интенсивности и эффективности
использования основных средств предприятия
|
Показатель
|
Ед.
изм.
|
2011
|
2012
|
2013
|
Темп
роста, %
|
|
|
|
|
|
2012
к 2011
|
2013
к 2012
|
|
1.
Среднегодовая стоимость основных средств
|
млн.
руб.
|
10796
|
10819
|
10894
|
0,21
|
0,69
|
|
2.
Прибыль от реализации
|
млн.
руб.
|
676
|
528
|
684
|
-21,8
|
29,54
|
|
3.
Товарная продукция в действующих ценах
|
млн.
руб.
|
4
754
|
5
124
|
5
642
|
7,78
|
10,1
|
|
4.
Среднесписочная численность ППП
|
чел.
|
727
|
681
|
654
|
-6,32
|
-3,96
|
|
5.
Фондоотдача (п.3/п.1)
|
млн.
руб./ млн. руб.
|
0.44
|
0.47
|
0.51
|
-
|
-
|
|
6.
Фондоемкость (п.1/п.3)
|
млн.
руб./ млн. руб.
|
2.27
|
2.11
|
1.93
|
-
|
-
|
|
7.Фондовооруженность
(п.1/п.4)
|
млн.
руб./ чел.
|
14.85
|
15.88
|
16.65
|
-
|
-
|
|
8.Фондорентабельность
(п.2/п.1)
|
млн.
руб./ млн. руб.
|
0,06
|
0,04
|
0,06
|
-
|
-
|
Источник: отчетность предприятия
Показатели эффективности и интенсивности
использования трудовых ресурсов
|
Показатель
|
Ед.
изм.
|
2011
|
2012
|
2013
|
Темп
роста, %
|
|
|
|
|
|
2012
к 2011
|
2013
к 2012
|
|
1.
Среднесписочная численность персонала
|
чел.
|
969
|
767
|
752
|
-20,8
|
-1,95
|
|
2.
Фонд заработной платы
|
млн.
руб.
|
1131,4
|
1468,9
|
2703,5
|
29,83
|
84,04
|
|
3.
Среднемесячная заработная плата
|
руб.
|
834
052
|
1
368 941
|
2
568 741
|
64,13
|
87,64
|
|
4.
Производительность труда
|
млн.
руб./ чел.
|
4,9
|
6,68
|
7,5
|
36,32
|
12,27
|
|
5.
Прибыль (убыток) отчетного периода
|
млн.
руб.
|
503
|
221
|
428
|
-56,06
|
93,66
|
|
6.
Индекс заработной платы
|
-
|
-
|
1,64
|
1,87
|
-
|
-
|
|
7.
Индекс производительности труда
|
-
|
-
|
1,36
|
1,12
|
-
|
-
|
|
8.
Коэффициент опережения
|
-
|
-
|
0,71
|
0,89
|
-
|
-
|
Источник: отчетность предприятия
Дом качества ОАО «БМЗ - управляющая компания»
Схема
транспортно-экспедиционного обслуживания
логистический система предприятие
управление