Гормоны щитовидной железы

  • Вид работы:
    Реферат
  • Предмет:
    Медицина, физкультура, здравоохранение
  • Язык:
    Русский
    ,
    Формат файла:
    MS Word
    54,97 Кб
  • Опубликовано:
    2017-11-03
Вы можете узнать стоимость помощи в написании студенческой работы.
Помощь в написании работы, которую точно примут!

Гормоны щитовидной железы

МИНИСТЕРСТВООБРАЗОВАНИЯ И НАУКИ РОССИЙСКОЙ ФЕДЕРАЦИИ

ФГАОУ ВО «НИЖЕГОРОДСКИЙ ГОСУДАРСТВЕННЫЙ УНИВЕРСИТЕТ ИМ. Н.И. ЛОБАЧЕВСКОГО»

ИНСТИТУТ БИОЛОГИИ И БИОМЕДИЦИНЫ

Кафедра биомедицины







ГОРМОНЫ ЩИТОВИДНОЙ ЖЕЛЕЗЫ

Содержание

Введение

. Классификация и химическая природа гормонов щитовидной железы

. Участие гормонов щитовидной железы в обменных процессах организма

. Проявление дефицита и избытка гормонов щитовидной железы

Заключение

Список использованных источников

Введение


Щитовидная железа имеет для человека колоссальное значение. Об этом говорит тот факт, что снижение, либо гиперфункция данного органа эндокринной системы сказывается в организме массой негативных изменений. Так, гипотиреоз (стойкий дефицит тиреоидных гормонов) и гипертиреоз (повышенная активность щитовидной железы) характеризуются гастроэнтерологическими, кардиологическими, респираторными, неврологическими, ревматологическими, гинекологическими, гематологическими, психиатрическими, эктодермальными проявлениями. Отмечается также катаболический синдром, офтальмопатии, нарушения со стороны опорно-двигательной системы (5, с. 349-348).

Все указанные нарушения не случайны. Общеизвестно, что гормоны щитовидной железы, участвуют в минеральном, белковом обмене, синтезе стероидных и половых гормонов, работе мышечной системы, жизнедеятельности костного аппарата, работе сердечной мышца, головного мозга. гормон щитовидный железа тиреоидный

Столь важная роль гормонов щитовидной железы дает основание считать их изучение актуальной проблемой современной науки.

Цель реферативной работы заключается в изучении гормонов щитовидной железы с точки зрения биологической химии и медицины.

В работе решены следующие задачи:

.        Изучить классификацию и химическое строение гормонов щитовидной железы.

.        Выявить влияние тиреоидных гормонов на метаболические процессы в организме.

.        Определить спектр и механизм возникновения заболеваний, связанных с недостатком, либо избыточной продукцией тиреоидных гормонов.

1. Классификация и химическая природа гормонов щитовидной железы


К числу гормонов щитовидной железы относится три вида химических соединений:

.        Трийодтиронин, или Т3 (далее - Т3).

.        Кальцитонин, или тиреокальцинонин.

Тироксин - это тиреоидный гормон с молекулярной массой, равной 776,9 дальтон. Молекула Т4 содержащий 4 атома йода (далее - I). В тироксине содержится основное количество органического йода человеческого организма. Более 99% гормона при этом находится в связанном с белками плазмы состоянии. Свободная фракция гормона в норме не превышает 0,03% от его общего объема (2, с. 12-13).

 


Рис. 1 Варианты формул Тироксина

Трийодтиронин - это гормон щитовидной железы с молекулярной массой, несколько меньшей, чем у Т4. Молекула гормона содержит 3 атома I. Как и в случае с Т4, Т3 по большей части содержится в сыворотке крови в связанном виде. Свободными являются только 0,3% от его общего объема. В пересчете на 1 моль Т3 имеет в 4 раза более высокую биологическую активность и в 10 раз большую скорость метаболизма, чем Т4(2, с. 14-15).

Т4 и Т3 - это гормоны, для синтеза которых требуется I, захватываемый из крови клетками фолликулами щитовидной железы. Оба гормона являются производными аминокислоты тирозина. Каждый тиреоидный фолликул, из множества которых состоит ткань щитовидной железы, заполнен коллоидом, главная составляющая которого - это протеин тиреоглобулин (далее - ТГ). Этот протеин представляет собой субстрат для синтеза Т4 и Т3. Тиреоглобулин содержит большое количество остатков тирозина.

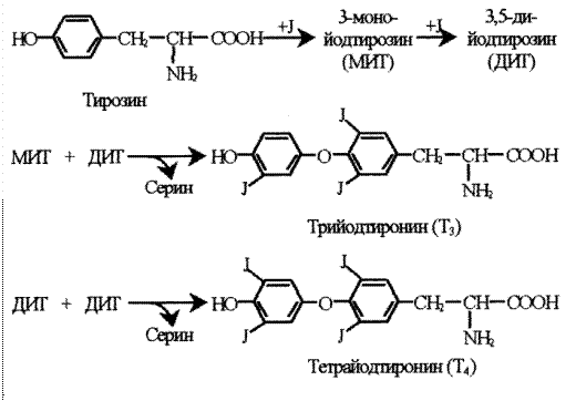
В целом тиреоидные гормоны синтезируются из тирозина и 3, либо 4 молекул I в две стадии:

.        Иодирование тирозина на апикальных мембранах клеток фолликулов щитовидной железы с образованием моноиодтирозина (далее - МИТ) и дииодтирозина (далее - ДИТ).

.        Конденсация МИТ и ДИТ с образованием Т4 и Т3. Схема процесса представлена на рис. 2.

Процесс можно описать синтез иодированной молекулы тиреоглобулина в просвет фолликула с последующим ее захватом клетками фолликула, гидролизом ферментами лизосом белка до аминокислот и высвобождением полученных Т4 и Т3 в кровь. После высвобождения из фолликул щитовидной железы концентрация Т4 в крови в 10 раз выше, чем Т3. Именно поэтому Т4 считается главной формой тиреоидных гормонов в крови. При этом активность последнего в десять раз превышает активность первого. Высвободившиеся в кровь молекулы гормонов Т4 и Т3 связываются с белками-переносчиками и с их помощью транспортируется к органам-мишеням, которыми являются все ткани за исключением селезенки и семенников. Поступив в ткани-мишени, указанные гормоны освобождаются от белка и поступают непосредственно в клетки. Более 90% Т4 в клетках теряет один атом I и превращается в Т3. Указанное обстоятельство делает Т3 главным тироидным гормонов внутри клеток 2,( с. 264-266; 3, с. 13-14).

Рис. 2 Схема синтеза тиреоидных гормонов (3, с. 13-14)

Норма содержания свободного тироксина в крови составляет 10-20 пмоль/л. Нормы концентрации свободной фракции Т3 составляют 2,5-5,5 пмоль/л.

Норма содержания общего тироксина в крови варьирует в зависимости от возраста человека, а именно: новорожденные до 1 месяца - 116-232 нмоль/л; дети до 5 лет - 90-194 нмоль/л; дети до 10 лет - 83-172 нмоль/л, дети старше 10 лет и взрослые до 60 лет - 65-155 нмоль/л, взрослые старше 60 лет - 65-135 нмоль/л, беременные в последние 5 месяцев - 79-227 нмоль/л.

Нормы концентрации общего Т3 также варьирует в зависимости от возраста: новорожденные - 1,16-4,00 нмоль/л, дети до 5 лет - 1,54-4,00 нмоль/л, дети до 10 лет - 1,39-3,70 нмоль/л, дети 10-15 лет - 1,23-3,23 нмоль/л, взрослые - 1,17-2,18 нмоль/л(5, с. 71-73).

Кальцитонин - это гормон, также вырабатываемый парафолликулярными клетками щитовидной железы человека и некоторых животных и ультимобранхиальными тельцами рыб, пресмыкающихся, птиц. Небольшое количество кальцитонина у человека вырабатывается паращитовидной железой.

По своей химической природе кальцитонин является пептидным гормоном, состоящих из 32 аминокислот с одной дисульфидной связью и имеющий молекулярную массу около 3454,93 дальтон. Брутто-формула кальцитонина - C159H232N46O45S3. Его первичная структура представлена на рис. 3. Образование кальцитонина происходит благодаря протеолетическому расщеплению прокальцитонина. (4, с. 37).Норма концентрации кальцитонина в крови для женщин составляет 0-10 пг/мл, для мужчин - 0-27 пг/мл (5, с. 57).

Рис. 3 Первичное строение молекулы кальцитонина

Исходя из сказанного, можно заключить, что такие гормоны щитовидной железы как Т4, Т3 и кальцитонин являются сложными соединениями, играющими большую роль в функционировании организма. Об этой роли, а так также последствиях дисбаланса в концентрации указанных гормонов пойдет речь в следующих частях работы.

 

2. Участие гормонов щитовидной железы в обменных процессах организма


Ранее было отмечено, что Т4 и Т3, а также кальцитонин играют большую роль в организма.

Так, в случае с физиологически нормальной концентрацией тиреоидных гормонов отмечается его воздействие на синтез белка и на энергетический обмен. Регуляция синтеза белка тироксином осуществляется через его воздействие на хроматин ядра, которое возможно при взаимодействии гомона и цитоплазмы клеток. В результате наблюдается увеличение синтеза ДНК, РНК и белка. Тиреоидные гормоны абсолютно необходимы для структурного, биохимического и функционального созревания мозга. Считают, что в ЦНС клетки продолжают делиться в течение 1-1,5 лет после рождения. Поэтому если в этот период или еще до рождения возникает дефицит тиреоидных гормонов (гипотиреоз), это приводит к снижению синтеза белка во всем организме и, в частности, в мозговой ткани, нарушается процесс дифференцировки коры больших полушарий и мозжечка, и развивается умственная и физическая отсталость (3, с. 14-15).

С точки зрения молекулярной химии воздействие тиреоидных гормонов на обмен веществ состоит в увеличении расходования АТФ на энергетические процесса, в результате чего синтезируется АДФ. АДФ активирует цепи тканевого дыхания, где вновь превращается в АТФ. В норме тиреоидные гормоны одновременно увеличивают как трату АТФ, так и ее синтез, что позволяет поддерживать в клетке энергетический баланс. Сохранение энергетического равновесия лежит в основе поддержания электрохимического градиента Na+ и К+, что является необходимым компонентом функционирования нервной системы.

Таким образом, в условиях нормальной концентрации, тиреоидные гормоны играют важнейшую роль в энергетическом обмене организма (3, с. 15-16).

В отличие от Т4 и Т3, принимающих участие в основном обмене, кальцитонин регулирует фосфорно-кальциевый обмен, баланс между активностью остеобластов и остеокластов. Будучи антагонистом паратгормон и в некоторой степени активной формы витамина D3, кальцитонин способствует понижению уровня кальция и фосфора в крови, т.е. гипокальциемию и гипофосфатемию. Этот эффект гормона связан с торможением резорбции костей и усилением отложения в них кальция и фосфатов, всасывания кальция и фосфатов из кишечника в кровь, с усилением экскреции кальция, фосфатов, ионов натрия и калия с мочой. Одновременно тиреокальцитонин приводит к увеличению диуреза. Эффекторными клетками для тиреокальцитонина являются остеоциты (остеобласты, остеокласты), клетки слизистой тонкого кишечника и извитых канальцев почек, где реализация эффектов гормона связана с активацией аденилатциклазы и накоплением цАМФ в клетках-мишенях (остеобласты, клетки слизистой оболочки кишечника и извитых канальцев почек). В остеокластах (клетках, ответственных за остеопороз) тиреокальцитонин активирует фермент, разрушающий цАМФ, - фосфодиэстеразу. Как следствие, идет торможение остеопороза. Процессы стимуляции отложения нерастворимых солей Са2+ в остеоцитах, вызываемые тиреокальцитонином, связаны с действием 1,25-дигирокси-кальциферола (кальцитриола). Кальцитриол способствует накоплению ионов Са2+ в клетках, а тиреокальцитонин обеспечивает удержание и переход кальция в неионизированную форму. Одновременно тиреокальцитонин тормозит активацию витамина D3, т.е. переход его в кальцитриол (4, с. 37-38).

Таким образом, кальцитонин является составной частью кальциевого гомеостаза, играя большую роль в организме животных и человека.

3. Проявление дефицита и избытка гормонов щитовидной железы


Учитывая тот факт, что гормоны щитовидной железы имеют крайне важное значение для энергетического и минерального обмена в организме, нетрудно предположить, что нарушение их выработки и элиминации имеют серьезные последствия и приводят к тяжелым болезням.

Так, гипотиреоз, т.е. гипофункция щитовидной железы с недостаточной выработкой тиреоидных гормонов вызывает целый комплекс симптомов. Лица пациентов одутловаты и анимичны, имеют бледно желтушный оттенок, узкие глазные щели, мягкие ткани лица укрупнены. Для тяжелого гипотиреоза характерно замедление речи. Часто наблюдается эпидермальный синдром, проявляющийся в поредение волос на голове, при этом волосы сухие, ломкие, могут обильно выпадать при обычном причесывании. Брови начинают редеть и выпадать с латерального края - симптом королевы Анны. У мужчин при гипотиреозе отмечают замедлении роста и поредение бороды и усов. Иногда наблюдают гиперкератоз кожи локтей - симптом Бэра.

Гипотиреоз следующим образом проявляется в работе система организма:

.        Гастроэнтерологические симптомы, а именно обстипация, дискинезия желчных путей, желчнокаменная болезнь, хронический гепатит (желтуха в сочетании с повышением уровня печеночных
трансаминаз).

.        Кардиологические симптомы, а именно диастолическая гипертензия, дислипидемия, гидроперикард.

.        Симптомы со стороны респираторного тракта - синдром ночного апноэ, плевральный выпот неясного генеза, хронический ларингит.

.        Неврологические симптомы - туннельные синдромы (карпального канала, канала малоберцового нерва).

.        Ревматологические симптомы - полиартрит, полисиновит, прогрессирующий остеоартроз

.        Гинекологические симптомы - нарушения менструального цикла
(аменорея, полименорея, гиперменорея, меноррагия, дисфункциональные маточные кровотечения), бесплодие).

.        Гематологические симптомы - нормохромная нормоцитарная, гипохромная железодефицитная или макроцитарная В12-дефицитная анемия.

.        Психиатрические симптомы - депрессия, деменция (5, с. 338-340).

Проявления тиреотоксикоза также довольно яркие. Внешне такой пациент выглядит встревоженным, беспокойным, суетливым. Со стороны сердечно-сосудистой системы наблюдаются постоянная, иногда пароксизмальная синусовая тахикардия, экстрасистолия, пароксизмальная, или постоянная мерцательная аритмия, увеличение величины пульсового давления, миокардиодистрофия, недостаточность кровообращения по правожелудочковому типу на фоне сохранения ускоренного кровотока и повышенного сердечного индекса.

Поражение желудочно-кишечного тракта при тиреотоксикозе проявляется неустойчивостью стула, болями в животе, тиреотоксическим гепатозом.

Потеря веса, повышение аппетита, субфебрилитет, горяча кожа, потливость, мышечная слабость входят в состав катаболического синдрома. Пальмарная эритема, депигментированные очаги (витилиго) на отдельных участках кожи, меланодермия в области век (симптом Еллинека), волосы тонкие и ломкие, выпадают, ногти мягкие, исчерченные и ломкие, часто онихолизис (ноготь Пламмера), особенно выраженный на безымянном
пальце, претибиальная микседема составляют эктодермальные проявления болезни. Нередки также различные офтальмопатии и поражение опорно-двигательного аппарата (5, с. 346-348).

Дисбаланс кальцитонина приводит к нарушению фосфорно-кальциевого обмена и как следствие хрупкости костей, рахиту и т.п. нарушениям.

Таким образом, можно заключить, что баланс указанных гормонов и нормальное функционирование щитовидной железы является исключительно важной составляющей здоровья человека.

Заключение


Изучение гормонов щитовидной железы позволяет сделать ряд выводов:

.        Под гормонами щитовидной железы понимается две группы веществ - йодсодержащие тироксин и трийодтиронин, а также кальцитонин, не содержащий в своей молекуле атомов I.

.        Все три гормона обладают исключительно большим значением с точки зрения нормальной физиологии. Йодсодержащие гормоны обладают функциями регулирования энергетического обмена, кальцитонин - фосфорно-кальциевого.

.        Отклонение в концентрации указанных гормонов влечет за собой целый спектр нарушений, каждое из которых обладает высоким потенциалом к хронизации.

Таким образом, цель и задачи работы достигнуты.

Список использованных источников


1.   Березов Т.Т., Коровкин Б.Ф. Биологическая химия: Учебник. 3-е изд., перераб. и доп. М.: Медицина, 1998. 704 с.

2.       Гормоны щитовидной железы: пособие для врачей/ И.М. Скударнова, Н.В. Соболева, Н.В. Мычка; ЗАО «Вектор-Бест». Кольцово: ЗАО «Вектор-Бест», 2006. 32 с.

.        Масловская А.А. Биохимия гормонов: пособие для студентов педиатрического, медико-психологического, медико-диагностического факультетов и факультета иностранных учащихся. 6-е изд. Гродно: ГрГМУ, 2012. 44 с.

.        Шушкевич Н.И. Биохимия гормонов: учеб. пособие по мед. биохимии. Владимир: Изд-во Владим. гос. ун-та, 2009. 68 с.

.        Эндокринология. Национальное руководство. Краткое издание / под ред. И. И. Дедова, Г.А. Мельниченко. М.: ГЭОТАР-Медиа, 2013. 752 с.

Похожие работы на - Гормоны щитовидной железы

 

Не нашли материал для своей работы?
Поможем написать уникальную работу
Без плагиата!
Без нейросетей!