Исследование организационно-экономической характеристики экологических проектов
МИНИСТЕРСТВО ОБРАЗОВАНИЯ
АЗЕРБАЙДЖАНСКОЙ РЕСПУБЛИКИ
АЗЕРБАЙДЖАНСКИЙ ГОСУДАРСТВЕННЫЙ
УНИВЕРСИТЕТ НЕФТИ И ПРОМЫШЛЕННОСТИ
Исследование
организационно-экономической характеристики экологических проектов
Специализация 060405.1:
"Управление и экономика в отраслях производства и услуг"
МАГИСТЕРСКАЯ ДИССЕРТАЦИЯ
Абдулазизов Рза Салех оглы
Научный руководитель:
кандидат экономических наук,
доцент Ш. Т АЛИЕВА
Баку-2016
Реферат
Тема: "Исследование организационно-экономической
характеристики экологических проектов".
Цель и характеристики работы. Цель
магистерской диссертации заключается в изучении и подготовке экологически
обеспеченных хозяйственных и иных решений в реализации проектов.
Объектом исследования. Объектом исследования
выбран проект строительства охладительной системы (градирни) на НПЗ им. Г.
Алиева.
Результаты исследования. На основе обобщения
большого количества отечественных и зарубежных литератур даны
теоретико-методологические основы разработки экологических проектов, ее
особенности, проведено всестороннее исследование ее основных составляющих,
изучена методика определения экономической эффективности экологических
проектов. Раскрыты понятия "проект", "проектирование",
"Экологическая экспертиза", "экологический аудит", даны
главная цель экспертизы, оценки воздействия на окружающую среду (ОВОС), а также
оценки воздействия на социально-экономическую среду (ОВОСС). Кроме того,
изучено правовое регулирование экологического проектирования в Азербайджанской
Республике и представлены соответствующие нормативно-правовые документы. В
предложенной методологии сделана попытка обобщения азербайджанского и
международного опыта по оценке воздействия на природную среду, рассмотрены
соответствующие критерии оценки, которые в свою очередь дают возможность разработке
окончательной версии документа "Оценки воздействия на
социально-экономическую среду" (ОВОСС). При ее разработке были применены
методологические подходы, доступные для азербайджанских экспертов и основанные
на нормативных требованиях и международных директивах. В работе проедена
всесторонняя оценка воздействия для различных компонентов природной среды.
Изучен и представлен для практического применения механизм определения
значимости воздействия. Последовательность проведения комплексной оценки воздействия
на компоненты природной среды так же рассматривается и для процессов в штатной
и нештатной ситуации. В соответствии с требованиями İSO14001 выполнены необходимые вычисления экологических показателей
по бальной системе.
Оглавление
Введение
I. Глава. теоретико-методологические основы разработки
экологических проектов
1.1 Особенности разработки экологических проектов
1.2 Методологические основы исследования
организационно-экономической характеристики экологических проектов
II Глава. Анализ и оценка организационно-экономической
характеристики экологических проектов НА НПЗ им. Г. Алиева
2.1 Анализ организационно-экономической характеристики
экологических проектов
2.2 Оценка состояния организации разработки экологических проектов
2.3 Пути совершенствования организационно-экономической
характеристики экологических проектов
Выводы и рекомендации
Литература
Введение
Во второй половине XX в. бурное развитие человечества достигло такого
уровня, когда для решения глобальных и региональных экологических проблем, а
также устойчивого развития и сохранения био- и ландшафтного разнообразия на
планете понадобилась разработка принципиально новых подходов и формирование
государственного и международного статуса экологического проектирования.
Актуальность темы исследования. В современных условиях
актуальность специального изучения методологических подходов к проведению
оценки воздействия на природную среду обусловлена, прежде всего, тем, что ее
выполнение до реализации любого проекта, независимо от ее масштабов и целей,
дает возможность более наглядно (количественно) продемонстрировать значимость
воздействия и осмыслить сложившуюся ситуацию. В данной работе сделана попытка
гармонизировать подходы, имеющиеся как в практике осуществления азербайджанской
ОВОС, так и в наилучшей мировой практике.
Степень изученности. В научной литературе
данная тема освещена достаточно широко. Так, в Азербайджане соответствующие
исследования данной проблемы были проведены такими учеными, как Алиев Т. Н,
Меликов Я. А, Ахмедов В. А, Велиев Н. А, Небиев Т. А и др. Также были изучены работы
российских и др. ученых, таких как С.М. Малхазовой, И.И. Букс и С.А. Фомина,
Ю.Л. Максименко и И.Д. Горкиной, С.М. Говорушко, С.П. Горшкова, А.Г.
Емельянова, О.А. Тихомирова, В.И. Данилова-Данильяна и др.
Цель и задачи исследования. Цель магистерской
диссертации заключается в изучении и подготовке экологически обеспеченных
хозяйственных и иных решений в реализации проектов. Из данной цели вытекают
следующие задачи:
экологическое обеспечение проект строительство
разработка комплекса организационно-технических,
экономических мероприятий по снижению вредных последствий хозяйственной и иной
деятельности на окружающую среду, а также, если возможно, и их полного
недопущения:
идентификация потенциально опасных участков деятельности,
создание системы раннего оповещения и предотвращения потенциально вредных
последствий хозяйственной деятельности на окружающую среду, изучение
международной практики системы управления риском в случае развития чрезвычайных
ситуаций.
результат проеденной ОВОС должен быть понятный всем документ,
отражающий всю суть хозяйственной деятельности, его воздействия на окружающую
среду, включая конечный результат этой деятельности.
принятие решений по результатам проведенной ОВОС.
Теоретико-методологическая основа. Исследуемая тема основана
на изучении соответствующих проектов нефтяных компаний BP,SOCAR, а также труды ведущих
специалистов в области ОВОС и ОВОСС.
Объект и предмет исследования. Объектом исследования
выбран проект строительства охладительной системы (градирни) на НПЗ им.Г.
Алиева. Предметом исследования являются экологические проекты, их влияние на
окружающую и социально-экономическую среду.
Научная новизна. Научная новизна исследования,
проводимого в рамках выбранной темы магистерской работы, связана в первую
очередь с относительной новизной самого предмета исследования для Азербайджана.
Практическая значимость. Тщательное изучение
теоретических аспектов ОВОСС, определение ее роли и места в Азербайджане на
основе реальных данных может способствовать развитию экологического
проектирования в стране.
Апробация работы. Тема магистерской
диссертации была опубликована в материалах 64-ой студенческой
научно-технической конференции АГУНП.
Структура работы. Диссертация состоит из
введения, 2-х глав, выводов и предложений, а также 5 таблиц, 6 рисунков, 3
формулы и 1 рисунок-схемы.
I. Глава.
теоретико-методологические основы разработки экологических проектов
1.1
Особенности разработки экологических проектов
Проектирование (от лат. "projectus", брошенный вперед)
- процесс создания проекта: прототипа, прообраза, модели предполагаемого или
возможного объекта, материала, схемы охраны природы и т.д. Многообразие видов
хозяйственной и иной деятельности человека рождает многообразие видов
проектирования. Сравнительно новый вид - природоохранное проектирование. [1]
Термин проект имеет значение не только как создание модели
предполагаемого объекта. Другое его значение предварительный текст какого-либо
документа, плана, замысла. Общеприняты понятия как проект решения ученого
совета, учебного плана или проект плана дипломной работы и т.д.[1].
Экологическая составляющая проектирования, в широком значении
слова, представляет собой оценку и прогноз воздействия на окружающую среду
(ОВОС) любого проекта хозяйственной и иной деятельности человека, которая
потенциально может оказать негативное воздействие на окружающую среду.
Многообразие объектов проектирования очень широко. Так, это технологии
производств, новые материалы, проекты гидроэлектростанций, газо и нефтепроводов
и т.д.
Экологическое проектирование в узком значении представляет
собой процесс обоснования и ОВОС объектов, специально предназначенных для
изменения неблагоприятных, для обитания человека, среды (природных и
антропогенных ландшафтов), либо объектов, имеющих прямое природоохранное
значение. Примерами первых выступают проекты полигонов захоронения твердых
бытовых и промышленных отходов, устройств депонирования осадков сточных вод и
т.д. Примерами вторых - проекты создания заповедников, национальных парков,
заказников [1].
Экологическое обоснование проекта это деятельность в процессе
проектирования, в ходе которого на основе экспериментальных и прогнозных данных
доказывается, что негативные экологические последствия при реализации проектов
не превысят принятые экологические нормы. В другом понимании данного термина
это проект соответствующий экологическим требованиям, представленных в
нормативных государственных документах.
Проектирование тесно связано с экспертизой. Проектирование
базируется на государственных строительных нормах и правилах на ведомственных
методических разработках и рекомендациях, отражающих геоэкологические принципы
проектирования. В основе экспертизы, прежде всего, лежат законы "Об
экологической экспертизе", а также государственные нормативные документы о
регламенте проведения экспертиз, о критериях состояний (нормирования)
компонентов природной среды и ландшафта в целом. [1]
Экологическая экспертиза представляет собой
выявление соответствия проектируемой хозяйственной и иной деятельности соответствующим
экологическим требованиям и определение допустимости ее реализации в целях
предупреждения возможных последствий ее функционирования на окружающую
природную среду, а также связанных с ней социальных, экономических последствий
реализации объекта. Это вид научно-практической, оценочной деятельности
специалистов государственных органов, ведомств, а также общественности для
обоснования принимаемых решений при формировании и реализации природоохранной и
экологической политики, связанной с различными видами хозяйственной и иной
деятельности человека. [1]
Главная цель экспертизы - предупреждение
возможных негативных последствий от планируемой деятельности человека на среду
его обитания и на природную среду (ландшафты) в целом. [1]
В Азербайджанской Республике правовое регулирование
экологического проектирования осуществляется на основе следующих
нормативно-правовых документов:
. "Инструкция по процессу оценки воздействия на окружающую среду в
Азербайджане", 1996 г.
2. Закон АР "Об охране окружающей среды" (8
июня 1999 г., №678-İQ)
. Указ Президента АР по проведению
дополнительных мероприятий связанных с подключением АР к международным
конвенциям и договорам по охране окружающей среды (30 марта 2006 г.).
. Закон АР "О производственных и бытовых
отходах" (30 июня 1998 г. №514-İQ).
5. "Государственная Стратегия по управлению
опасными отходами в Азербайджане", Постановление Кабинета Министров АР, 21
августа 2004 г.
. Закон АР "Об охране атмосферного воздуха"
(27 марта 2001 г.).
. Закон АР "О получении информации об окружающей
среде" (12 марта 2002 г.) и др.
Экологический аудит представляет собой
комплексную, независимую и документированную оценку соблюдения субъектом
хозяйственной и иной деятельности требований, нормативов и международных
стандартов в области охраны окружающей среды и подготовку рекомендаций по ее
улучшению. [2]
Оценка воздействия на окружающую среду (ОВОС) это главная
часть в составе проектной документации, которая состоит из:
а) прогноза влияния планируемой деятельности на природную
среду (ландшафт территории и его компоненты);
б) экологической, экономической и социальной оценок
потенциальных изменений и последствий.
Кроме того, ОВОС должен включать в себя анализ альтернатив
проекта, т.е. варианты реализации поставленной цели другими путями, вплоть до
полного отказа от нее.
Главная цель ОВОС не простая оценка, хотя важно качество
оценки, а принятие решения соответствующими органами на основе этой оценки. [2]
1.2
Методологические основы исследования организационно-экономической
характеристики экологических проектов
Исходя из закрепленных законодательством целей экологической
экспертизы, предусматривающих установление соответствия намечаемой деятельности
экологическим требованиям, важным направлением деятельности по анализу, учету и
предотвращению негативного воздействия на окружающую среду является определение
достаточности финансовых средств, при реализации инвестиционных проектов. [5]
Эти средства необходимы для обеспечения нормативного качества
окружающей среды, компенсации убытков в связи с изъятием из сферы целевого
использования или уничтожением (повреждением) природных ресурсов, а также для
возмещения вреда окружающей среде, который нельзя предотвратить путем
проведения каких-либо природоохранных мероприятий.
Понятие "экологические требования" в
законодательстве прямо не определено, вследствие чего эти требования могут
трактоваться очень широко, без выраженных ограничений на включение в критерии
экспертизы субъективных взглядов экспертов на допустимость (или недопустимость)
тех или иных воздействий на окружающую среду. Тем не менее, целесообразно иметь
определенные ориентиры, которые могут базироваться только на нормах права,
обязательных для применения.
В отношении материалов эколого-экономической оценки в
проектной документации, представляемой на государственную экологическую
экспертизу (ГЭЭ), требования законодательства носят в основном рамочный
характер. Однако из них следует более или менее конкретный состав вопросов,
которые уместно отражать в материалах эколого-экономической оценки.
Общие требования касаются наличия и достаточности финансовых
средств, направляемых на рациональное природопользование и обеспечение
экологической безопасности. Эти средства должны быть включены в
проектно-сметную документацию, без них реализация проекта законодательно
запрещена.
В некоторых законах и подзаконных актах содержатся рамочные
требования в отношении наличия необходимых финансовых средств, применительно к
конкретным условиям природопользования и отраслям.
В отношении требований финансового обеспечения
природоохранной деятельности применительно к конкретным отраслям особо следует
выделить нефтегазовый комплекс, для отраслей которого такие требования
наиболее разнообразны и многочисленны.
Затраты природоохранного назначения, которые должны быть
отражены, в проектно-сметной документации, представляемой на государственную
экологическую экспертизу, можно условно разделить на три группы:
) затраты на осуществление собственных природоохранных
мероприятий и строительство объектов природоохранного назначения;
) компенсационные выплаты за изъятие из сферы целевого
использования (уничтожение, повреждение) конкретных видов природных ресурсов
собственникам (пользователям, распорядителям) этих ресурсов, природно-ресурсные
налоги и экологические платежи;
) расходы на обеспечение средствами для предупреждения,
ликвидации или локализации аварийных ситуаций с экологическими последствиями, а
также формирование соответствующих резервных (страховых) фондов - собственных
или принадлежащих сторонним организациям. [5]
Наиболее значительны, как правило, затраты на собственные
природоохранные мероприятия. В настоящее время состав и содержание этих затрат
определены только методологией отечественного (в основном широко практикуемого
на постсоветском пространстве) статистического учета.
В соответствии с методологическими пояснениями Госкомстата
Азербайджана "затраты на охрану окружающей среды включают инвестиции в
основной капитал, направленные на охрану окружающей среды и рациональное
использование природоохранных ресурсов и текущие затраты на охрану окружающей
среды". [25]
Инвестиции в основной капитал - это затраты на новое
строительство, расширение, реконструкцию, техническое перевооружение и
модернизацию объектов (здесь же затраты на модернизацию объекта, осуществляемую
во время капитального ремонта), которые приводят к увеличению первоначальной
стоимости объекта. [5]
Учет затрат, связанных с модернизацией и реконструкцией
основных производственных фондов по охране окружающей природной среды, ведется
в порядке, установленном для учета капитальных вложений.
В общем виде инвестиции в основной капитал, которые
направляются на охрану окружающей среды и рациональное использование природных
ресурсов и подлежат отражению в инвестиционных проектах, должны включать
капитальные затраты по следующим основным типам объектов:
сооружения для очистки и доочистки производственных, ливневых
и хозяйственно-бытовых стоков, системы оборотного и повторного
использования воды;
пылегазоулавливающие установки;
объекты для размещения и (или) утилизации отходов;
объекты экологического мониторинга (лаборатории, посты,
станции, наблюдательные скважины и др.);
дополнительные объекты, обусловленные спецификой намечаемой
деятельности (возможно, специальные транспортные средства, средства защиты от
физических воздействий, средства охраны животного и растительного мира и т.п.).
Величина инвестиций природоохранного назначения определяется
в процессе сметных расчетов, если уже имеются конкретные технические решения.
На ранних стадиях проектирования (например, на стадии
обоснования инвестиций) реально определить лишь укрупненный масштаб затрат, что
можно выполнить на основе существующих средних отношений стоимости основных
производственных фондов по охране водных ресурсов и атмосферного воздуха к
общей стоимости основных производственных фондов предприятий на основе данных
формы статистического наблюдения. При этом следует учитывать существенные
различия в указанных соотношениях по различным отраслям и в меньшей степени по
регионам. [5]
Для укрупненной оценки инвестиций в объекты размещения или
утилизации отходов ориентироваться на сложившиеся пропорции в предшествующие
годы не вполне уместно, поскольку в последнее время произошло резкое повышение
экологических требований в области обращения с отходами, а следовательно, резко
возрос и уровень затрат в этой области. Поэтому для определения сметной
стоимости объектов для размещения или утилизации отходов предпочтительнее
использовать данные по проектам-аналогам, а при отсутствии - данные формы
статистического наблюдения за инвестициями, направленными на охрану окружающей
среды.
В соответствии с методологическими пояснениями Госкомстата
Азербайджана под текущими затратами на охрану окружающей среды следует
понимать эксплуатационные расходы, связанные с деятельностью по охране
окружающей природной среды. [25] Сюда относятся следующие затраты:
на содержание и эксплуатацию основных фондов природоохранного
назначения;
на мероприятия по сохранению и восстановлению качества
природной среды, нарушенной в результате производственной деятельности;
на мероприятия по снижению вредного воздействия
производственной деятельности на природную среду;
на организацию складирования и транспортировки отходов
производства и потребления к местам их хранения, ликвидации и переработки;
на утилизацию на предприятии отходов и входящих в них
отдельных компонентов
на организацию контроля за выбросами (сбросами), отходами
производства и потребления и за качественным состоянием природных сфер;
на научно-исследовательские работы и работы по экологическому
образованию кадров.
К текущим затратам относятся и затраты на рекультивацию
нарушенных земель, которые обязательно должны быть отражены в проектной
документации, особенно в отраслях нефтегазового комплекса, поскольку существует
прямое требование законодательства о финансовых гарантиях реализации проектов
восстановления земель в нефтегазовом комплексе.
Ко второй группе затрат, которые уместно отразить в проектной
документации, представляемой на государственную экологическую экспертизу (ГЭЭ),
можно условно отнести различные финансовые обязательства перед сторонними
организациями и государством в связи с убытками в сфере природопользования и
причинением вреда окружающей среде при реализации инвестиционного проекта.
Наиболее значительные расходы связаны с компенсационными
выплатами за изъятие природных ресурсов из сферы целевого использования пли из
уничтожение (повреждение).
Основные природные ресурсы, которым может быть причинен
значительный ущерб, подлежащий компенсации при реализации инвестиционного
проекта, - земельные, лесные ресурсы и объекты животного мира, относящиеся к
объектам рыболовства и охоты. [5]
При предоставлении земель для несельскохозяйственных
нужд, размеры убытков землевладельцев (землепользователей, арендаторов) и
потерь сельскохозяйственного производства устанавливаются исходя из конкретных
условий сельскохозяйственного использования земель в составе
землеустроительного проекта на стадии предварительного согласования места
размещения объекта и уточняются на стадии изъятия и предоставления земельных
участков новым землепользователям, которым отведены эти участки или
деятельность которых вызывает ограничение прав других пользователей земли или
ухудшение качества земель. [5]
Потери лесному хозяйству возмещаются в виде платы по
ставкам, установленным в постановлении для всех административных районов
Азербайджанской Республики по группам древесных пород и бонитетам леса с учетом
коэффициентов экологической и социально-экономической значимости изымаемых
лесов.
При реализации инвестиционных проектов на акватории или на
континентальном шельфе с отчуждением морского при освоении крупных
месторождений полезных ископаемых и сооружении протяженных объектов с
нарушением гидрологического режима неизбежно наносятся ущерб водным
биологическим ресурсам, что предполагает обязательное выполнение инвестором
средств на восстановление рыбно-промысловых ресурсов.
К объектам животного и растительного мира, не
относящимся к объектам промысла, расчет ущерба, причиняемого при реализации
инвестиционных проектов, не имеет, как правило, практического значения,
поскольку инвестору, как правило, не удается найти легитимного получателя
выплат за этот ущерб. [5]
Наряду с компенсационными выплатами в проектной документации
уместно представить расчеты ресурсных налогов, платы за негативное
воздействие на окружающую среду (как на стадии строительства, так и на
стадии эксплуатации) в соответствии с действующим законодательством.
Реализация инвестиционных проектов может быть сопряжена с рисками
аварий и чрезвычайных ситуаций. Поэтому в проектной документации должны
быть предусмотрены финансовые ресурсы на обеспечение намечаемой деятельности
техническими средствами для предупреждения, ликвидации или локализации
аварийных ситуаций с экологическими последствиями, а также гражданской ответственности
за причинение вреда.
В соответствии с этими законодательными и подзаконными актами
в проектной документации уместно представлять затраты на средства раннего
обнаружения аварий и чрезвычайных ситуаций, создание специальных
формирований, расчеты ущерба от возможных аварий и чрезвычайных ситуаций и
соответственно размеры резервов финансовых средств и обязательного страхования
ответственности за причинение вреда (в том числе окружающей среде).
Представление расчетов всех рассмотренных выше затрат в материалах
эколого-экономической оценки проектных решений достаточно для того, чтобы при
их экспертизе можно было вынести суждение о соответствии намечаемой
деятельности требованиям природоохранительного законодательства, о правильности
принятых решений в проектной документации (параллельно со специалистами
технического и естественнонаучного профиля) и в конечном счете о
допустимости реализации намечаемой деятельности. [5]
Формально не запрещается дополнять материалы
эколого-экономической оценки в инвестиционных проектах, направляемых на
государственную экологическую экспертизу (ГЭЭ), собственными инициативными
разработками и расчетами. Но эти расчеты должны быть обоснованы результатами
достаточно глубоких и обширных собственных исследований.
Вместе с тем на практике в материалы эколого-экономической
оценки включаются расчеты неких условных показателей по устаревшим методикам,
которые не имеют отношения к оценке достаточности средств для реализации
предусматриваемых проектов мероприятий по снижению негативного воздействия на
окружающую среду до уровня или ниже установленных предельно допустимых величин.
[5]
1.3 Методика
определения экономической эффективности экологических проектов
При планировании намечаемой хозяйственной деятельности
законодательство требует выполнить ее предварительную эколого-экономическую
оценку, однако у нас до сих пор нет единой методики, как это сделать.
Часто при планировании той или иной хозяйственной
деятельности экологические риски начинают анализировать в последнюю очередь,
когда основные решения уже приняты, а экономические оценки эффективности редко
когда рассчитывают с учетом экологических ущербов от остаточных воздействий,
которые неизбежны при эксплуатации большинства объектов. Выбор альтернативных
вариантов чаще всего также осуществляется исходя из прямых экономических
затрат.
Проекты, представляемые на государственную экспертизу, в
лучшем случае содержат ОВОС или раздел "Охрана окружающей среды" с
выполненными оценками так называемого "предотвращенного экологического
ущерба". Это обусловлено тем, что в Азербайджане до сих пор нет
утвержденных на государственном уровне современных методик
эколого-экономических оценок, несмотря на наличие законодательных требований их
выполнять при планировании хозяйственной деятельности.
Кроме того, неоднократно разными специалистами отмечался ряд
существенных недостатков этой методики. При выполнении эколого-экономических
оценок проектов намечаемой хозяйственной деятельности можно использовать
методические подходы, рекомендуемые Всемирным банком и Европейским банком
реконструкции и развития, а также Методические рекомендации по осуществлению
эколого-экономической оценки эффективности проектов намечаемой хозяйственной
деятельности, разработанные О.Е. Медведевой в 2008 г. [4]
Методические подходы. Под эколого-экономической
эффективностью проекта понимается показатель, характеризующий соотношение общих
экономических выгод и потерь от проекта, включая
экологические эффекты и связанные с ними социальные и экономические
последствия, затрагивающие интересы населения и будущих поколений в
результате реализации данного проекта.
Показатели эколого-экономической эффективности являются
показателями общественной эффективности рассматриваемого проекта, учитывающими
социальные эффекты и экологические ущербы, связанные с реализацией
данного проекта. Оценка экологической эффективности приходится на основе
традиционного экономического анализа "затраты - выгоды".
При выполнении оценки учитываются: стоимость теряемых или
ухудшаемых природных ресурсов; затраты на ликвидацию негативных последствий, в
том числе и для здоровья населения; упущенная выгода и иные убытки;
экономические, экологические и социальные выгоды.
Для выполнения оценки эколого-экономической эффективности
анализируются затраты (ущербы) и выгоды проекта. Анализ "затраты -
выгоды" проводится для трех уровней:
а) национального - учитываются все денежные потоки без
деления фактических поступлений по уровням их зачисления в различные бюджеты;
б) регионального - учитываются денежные потоки,
остающиеся на территории Республики;
в) местного - учитываются все денежные потоки,
остающиеся на территории муниципального образования, рассматриваемого в
качестве самостоятельного субъекта, имеющего свои интересы. [4]
Под затратами понимаются внешние для проекта эффекты - экономические
и внеэкономические последствия, возникающие во внешней среде при производстве
товаров и услуг, но не отраженные в рыночных ценах последних.
К затратам относятся ущербы, которые могут возникнуть в
результате причинения вреда окружающей среде, природным ресурсам и людям в ходе
строительства и эксплуатации, например, нефтеперерабатывающего завода. Данные
затраты условно называются экологическими. К экологическим также могут
относиться затраты на осуществление природоохранных мероприятий, а также ущерб,
причиняемый населению района расположением завода и обществу в целом
увеличением заболеваемости и смертности под воздействием факторов загрязнения
окружающей среды. [4]
Показатели эколого-экономической эффективности являются
показателями общественной эффективности проекта.
К выгодам относятся все экономические блага, возникающие в
результате реализации проекта. В качестве основных экономических благ
учитываются различные налоги и платежи, поступающие в бюджетную систему, и
доходы населения, проживающего на данной территории. Оценка выгод проводится
суммированием потенциальных доходов бюджетов разных уровней и населения.
Определение выгод и затрат. К выгодам от реализации проектов
строительства новых производств относятся:
а) дополнительное поступление налогов в бюджеты, плата за
использование ресурсов (налог на прибыль организаций, налог на имущество
организаций, налог на доходы физических лиц, водный налог (плата за пользование
водными объектами), плата за пользование недрами, земельный налог (арендная плата)
и т.д.);
б) плата за негативное воздействие на окружающую среду (плата
за выбросы в атмосферу, за размещение отходов, за сбросы загрязняющих веществ в
поверхностные и подземные водные объекты);
в) увеличение доходов населения (заработная плата работников
будущего предприятия с начислениями);
г) компенсационные выплаты (плата за перевод земель лесного
фонда в нелесные земли, не связанные с ведением лесного хозяйства, и изъятие
земель из лесного фонда, возмещение убытков собственников земли, землевладельцев,
землепользователей, арендаторов);
д) различные благотворительные мероприятия социальной
направленности или по сохранению биоразнообразия, мониторингу и улучшению
здоровья населения в регионе присутствия проекта, планируемые к финансированию
и реализации инициатором намечаемой деятельности.
Оценка затрат проводится суммированием ожидаемых ущербов от
потери основных видов природных ресурсов и ущерба от прогнозируемого увеличения
заболеваемости и смертности населения. [4]
К затратам (ущербам) проектов строительства относятся:
а) ущербы от утраты ресурсов (потери леса на промплощадке,
частичная потеря леса в зоне влияния, потери почвы на промплощадке, потери
дикорастущих недревесных ресурсов леса (дикоросов), дополнительный расход
водных ресурсов - забор воды);
б) ущерб от потери местообитания животных;
в) ущерб здоровью населения (в виде затрат на лечение, а
также убытков от недополучения валового дохода на основе оценки рисков
дополнительной заболеваемости и смертности);
г) убытки собственников, землевладельцев, землепользователей,
арендаторов земельных участков в границах промплощадки, в границах
санитарно-защитной зоны;
д) снижение рыночной стоимости имущества населения (рыночной
стоимости квартир при увеличении антропогенной нагрузки на территорию, рыночной
стоимости земельных участков вследствие ограничений, вызванных установлением
санитарно-защитной зоны, и т.д.). [4]
К сожалению, при определении ущерба здоровью населения не
может быть с определенной долей точности спрогнозирована и учтена такая составляющая,
как улучшение здоровья населения в результате повышения уровня жизни в регионе,
а именно в связи с увеличением доходов населения и соответственно
покупательской способности, с развитием инфраструктуры, в том числе в части
обеспечения продуктами питания и одеждой, с улучшением работы системы
здравоохранения: обеспечением медицинским оборудованием, притоком
квалифицированных кадров, своевременным ремонтом помещений, проведением
мониторинга заболеваемости в целях выявления заболеваний на ранних стадиях и
т.д.
К не учитываемым в оценке факторам можно также отнести иные
мультиплицирующие эффекты от развития инфраструктуры и увеличения доходов
населения в силу невозможности их определения.
Расчет и анализ показателей. Анализ заключался в
суммировании дисконтированных по годам реализации проекта (приведенных к
единому моменту времени) выгод и затрат и использовании в качестве основного
показателя эффективности разницы в полученных суммах.
Проект признается эффективным и целесообразным, если
данная разница является положительной величиной, т. е экономические выгоды
превышают экологические ущербы. Данный показатель называется чистой
приведенной стоимостью проекта или NPV (net present value). [4]
Расчет чистой приведенной стоимости экологических затрат и
выгод проекта проводится на основе составления модели денежного потока методом
дисконтирования прогнозируемых экологических затрат и экологических выгод:
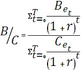
NPV=, (1)
где, Ве - экономические выгоды; Се - экономические
затраты или ущербы; t - год прогнозного периода; r - ставка дисконтирования; Т
- период времени, учитываемый в анализе (прогнозный период).
Критерии оценки общественной эффективности проекта намечаемой
деятельности по чистой приведенной стоимости: NPV > 0 - проект выгоден; NPV
= 0 - проект нейтрален; NPV < 0 - проект невыгоден.
Вторым показателем оценки эколого-экономической эффективности
проекта является отношение дисконтированных выгод и затрат:

, (2)
Критерии оценки общественной эффективности проекта намечаемой
деятельности по отношению выгод и ущербов: при В/С > 1 проект
выгоден; при В/С = 1 проект нейтрален; при В/С < 1 проект
невыгоден.
В данном анализе срок реализации проекта принят равным сроку
экономической жизни подобных проектов (т.е. сроку, в течение которого подобные
объекты целесообразно использовать без проведения кардинальной реконструкции) с
учетом продолжительности строительства.
Для наглядности результатов расчетов эколого-экономической
эффективности строятся графики изменения денежного потока во времени (рисунок
1.3.1), которые позволяют сделать вывод о том, в какой период реализации проекта
возникают большие выгоды и ущербы.
Так, наибольшая величина ущербов приходится на первые годы
реализации проекта. Это связано с изъятием природных ресурсов при освоении
новых территорий и наиболее актуально для новых строящихся объектов.
В дальнейшем ситуация стабилизируется, предприятие начинает
работать в режиме нормальной эксплуатации и если используются наилучшие
ресурсосберегающие технологии и планируется внедрение эффективных
природоохранных мероприятий, то при максимальном снижении величин ущербов
величины выгод дадут значительный прирост денежного потока.
Пример построения денежного потока во времени
Рисунок 1.3.1
На примерном графике можно увидеть, насколько инициатор намечаемой
деятельности ответственно планирует отнестись к реализации природоохранных
мероприятий и мероприятий социальной направленности. Чем больше средств будет
вложено в данные мероприятия, тем выше кривая и тем очевиднее выгодность данного проекта для общества, его общественная значимость. Далее
происходит некоторое снижение величины выгод, что связано с неизбежным
накоплением загрязняющих веществ в компонентах окружающей среды. На данном
этапе возможно резкое проявление деградации окружающей среды вследствие
превышения предела накопления (кривая резко поползла вниз) - это дополнительный
сигнал инициатору намечаемой деятельности о необходимости принятия компенсирующих
мер, планирования мероприятий экологической или социальной направленности.
Ограничения и допущения.
Наличие ограничений и допущений позволяет указать рамки
проводимых расчетов, степень их надежности и достоверности и тем самым заранее
снять критику отдельных положений экономического анализа и результатов,
полученных при наличии тех или иных пробелов, указав пределы возможности
проводимого анализа. Основные ограничения и допущения, при которых проводится
анализ:
) наличие неопределенностей в прогнозах возможных социальных
и экологических последствий;
) неопределенности, вызываемые изменением законодательства в
сфере установления ставок платежей и налогов и их распределения по уровням
бюджетной системы.
Данные неопределенности являются весьма значительными для
расчета эффективности проекта на разных уровнях. В расчетах использовались
действующие ставки и нормативы, так как их изменение не поддается
прогнозированию из-за сложности принятия подобных документов. В свою очередь
это ставки налога на прибыль, на землю, ставки платы за негативное воздействие
на окружающую среду, и др.;
) отсутствие устоявшейся и утвержденной методологии
экономической оценки нематериальных общественных благ, рычаги которых
отсутствуют, а также методологии экономической оценки ущербов, вызванных их
потерей и причинением вреда окружающей среде и населению;
) отсутствие информационной базы данных, характеризующих
социальные и экологические последствия реализации аналогичных проектов, а также
затраты устранение и предотвращение негативных эффектов;
) отсутствие данных о негативном влиянии промышленной
деятельности на сельскохозяйственные угодья, что не позволяет оценить ущерб
качеству и количеству производимой сельскохозяйственной продукции;
) расчет выгод на национальном уровне включает денежную
оценку всех потенциальных экономических благ и не является оценкой
потенциальных доходов государственного бюджета;
) оценка положительных мультиплицирующих эффектов от
возникновения нового производства (развитие сферы обслуживания, инвестиции завода
в социальные программы и др.) не проводится. [4].
II Глава.
Анализ и оценка организационно-экономической характеристики экологических
проектов НА НПЗ им. Г. Алиева
.1 Анализ
организационно-экономической характеристики экологических проектов
В современной высоко конкурентной среде перед
нефтеперерабатывающей отраслью стоит ряд трудных задач. В целях обеспечения
своих позиций на рынке, целесообразно рационально использовать технологические
процессы для выполнения ужесточенных законодательных актов по охране окружающей
среды, технических условий на нефтепродукты и получения при этом максимальной
прибыли.
Одним из наиболее крупных источников загрязнения окружающей
среды высокотоксичными выбросами является автомобильный транспорт, работающий
на бензинах, содержащих до 60% масс ароматических углеводородов, в том числе
бензол. Снижение выбросов вредных веществ может быть достигнуто путем
использования эффективных газоочистительных установок и систем, либо
экологически чистых нефтепродуктов. Второй путь обеспечивает более полное
решение проблемы, так как в этом случае устраняются причины возникновения
вредных выбросов.
Основными источниками выбросов бензола в атмосферу являются:
отработанные газы автомобилей (около 70% масс) и потери при заправке на
автозаправочных станциях (10% масс).
Намечается ограничение в составе бензина легких олефинов,
которые обладают большой реакционной способностью в атмосфере.
Дальнейшее снижение испаряемости бензинов и обязательное
добавление в них кислородосодержащих компонентов, типа спиртов и эфиров,
позволит увеличить октановые характеристики и предотвратить выбросы оксида
углерода.
Исходя из изложенного, очевидна необходимость разработки
автомобильных моторных топлив нового поколения. В экологически чистых
автомобильных бензинах нового поколения содержание серы не должно превышать 10
ррм, ароматических углеводородов - 25 %, олефиновых углеводородов - 5 %,
бензола - 1 % масс.
Показатели качества топлива, которые необходимо рассматривать
для улучшения экологии воздушной среды включают в себя содержание свинца,
бензола, общей ароматики и серы в бензине. На эти показатели влияют тип
перерабатываемой нефти, схема НПЗ, жесткость технологического режима на
установках, и номенклатура.
НПЗ им.Г. Алиева представляет собой предприятие топливного
профиля. Основная продукция:
) бензины различных марок
) керосины
) топливо печное
) мазуты
) кокс нефтяной
) сжиженные газы;
На заводе имеются установки:
первичной переработки нефти
каталитического крекинга
каталитического реформирования бензинов
газофракционирования
замедленного коксования.
производства битума
очистки масел
Функционируют:
) механические очистные сооружения
) биологические очистные сооружения
) оборотное водоснабжение.
Эксплуатируется большое количество сырьевых и товарных
резервуарных парков.
Объединение является энергоемким предприятием, потребляющим
значительное количество пресной воды.
В составе высокооктановых бензинов производимых на заводе
содержание ароматики достигало 55-60 %, в том числе бензола 5,0-6,0 %, что
является следствием использования бензина каталитического риформинга. И поэтому
для обеспечения здоровья населения первоочередной задачей предприятия стало
снижение содержания бензола в составе выпускаемых бензинов. В этих целях
совместно с научно - исследовательскими институтами, в особенности с Институтом
Нефтехимических Процессов Академии Наук Азербайджана проведен ряд
научно-исследовательских работ с выдачей рекомендаций. Особенно интересной
является работа, рекомендованная специалистами завода по обследованию и расчету
ректификационных колонн К-3 и К-8. В результате содержание ароматики в бензинах
снижено до 38 %, в том числе бензола до 3,0 %. Ограничение содержания бензола
приведет к необходимости использования других высокооктановых компонентов -
углеводородов изостроения, оксигенатов и не ориентироваться только на бензин
риформинга, как на средство повышения октанового числа.
Известно, что для закупки новых технологий необходимо
соответствующее финансирование проекта и выбор из широкого спектра современных
технологий различных фирм, приемлемых для нас. Указанные проблемы являются не
такими простыми, кажущимися на первый взгляд, а весьма сложными процессами.
Строительство установок по процессу ОКСИПРО и АЛКИЛЕН (ЮОП
США), предусмотренное Государственной Программой, даст возможность наряду с
получением диизопропилового эфира и технического изооктана рационально
использовать углеводороды собственной выработки: пропан-пропиленовую и
бутан-бутиленовую фракции. Программой также предусмотрена модернизация
установки по первичной переработке нефти (ЭЛОУ-АВТ-6), которая позволит
усовершенствовать схемы подготовки бензина (фр.85-180°) для процесса
каталитического риформинга и теплообмена, что улучшит качество вырабатываемой
продукции и значительно снизит потери и энергозатраты.
Реализация указанных мероприятий обеспечит производство
высококачественных и высокооктановых компонентов для автомобильных бензинов
А-95 и А-98, отвечающих современным требованиям к качеству нефтепродуктов и
защите окружающей среды.
Применение воды в промышленности. Основное назначение
воды в производстве сводится к следующему:
Вода может быть теплоносителем при охлаждении продукта
через стенку или при защите конструкций агрегата от разрушения (прогара). В
обоих случаях вода в процессе ее использования лишь нагревается и практически
не загрязняется (при исправных теплообменных аппаратах).
Вода может быть средой, поглощающей и транспортирующей
механические или растворенные примеси (при мойке, обогащении и очистке
сырья или продукта). В процессе использования эта вода загрязняется
механическими и растворенными примесями.
Вода может быть растворителем реагентов, используемых
при приготовлении сред для флотационного обогащения угля, руды или нерудных
ископаемых и т.п. В этом случае, как и при химической подготовке воды для
получения из нее пара, вода превращается в технологическую воду или раствор.
Некоторое количество воды направляется в сток вместе с отходами реагентов и
других примесей.
Наконец, вода может использоваться комплексно - быть средой,
поглощающей и транспортирующей механические и растворенные примеси и
одновременно служить теплоносителем (охладителем продукта), например, при
очистке газов и т.п. [9]
По характеру использования воды системы производственного
водоснабжения подразделяются на следующие:
с прямоточным использованием воды;
с последовательным использованием воды;
с оборотным использованием воды;
смешанная система использования воды, включающая прямоточное
и последовательное или оборотное использование воды.
Охлаждение воды заданного расхода до требуемой температуры
может быть обеспечено на градирнях различных типов и конструкций с
неодинаковыми затратами материальных и трудовых ресурсов и при неодинаковых
дополнительных нагрузках на окружающую среду. Поэтому, при разработке новых и
привязке существующих проектов градирен к местным условиям строительства и
эксплуатации, следует производить расчеты технико-экономических и
эколого-экономических показателей возможных вариантов градирен, для оценки и
выбора наиболее рационального в каждом конкретном случае.
Предварительно, на основании технологических расчетов,
назначаются возможные вариантные решения, обеспечивающие требования технологии
производства по расходу оборотной воды и температуры, но отличающиеся типом и
конструкцией градирен. Градирни, работающие совместно в одном оборотном цикле,
должны быть, как правило, однотипными.
Критерием выбора варианта является минимум затрат,
рассчитываемых с учетом фактора времени, или максимум народнохозяйственного
(экономического и эколого-экономического) эффекта. [25]
Технологические оборудования на НПЗ им.Г. Алиева охвачены
сетью одноконтурного (очистка, охлаждение, возвращение) оборотного
водоснабжения. Также на некоторых технологических устройствах применяется и
двухконтурная оборотное водоснабжение. Реконструкция оборотного система
водоснабжения была завершена в 1999г.
Оборотная система водоснабжения, функционирующая на
территории НПЗ работает по следующей схеме:
Ø Оборотная вода
посредством насосов выкачивается из бассейна;
Ø Посредством водяных труб
вода при 20-30оС подается в технологические устройства; После
прохождения, часть загрязненной воды возвращается в трубопровод, а остальная
вода через канализационную систему попадает в нефтеотделители механически
очистительного сооружения (МОС). Оттуда оборотная вода очищается от
механических примесей, нефтепродуктов до 50 мл/м3 и возвращается
повторно в оборотную систему водоснабжения;
Ø В целях компенсирования
потерь, в оборотную систему водоснабжения подводят промышленно-сточные воды в
объеме 80-100м3/час.
Ø В летние месяцы для
поддержания температуры воды на необходимом уровне, а также компенсировать
утечки, из биологически очистительного сооружения (БОС) подается вода при
температуре 18-25оС в оборотную систему водоснабжения;
Ø После прохождения
биологической очистки в (БОС), вода непосредственно поступает на
технологические устройства. После охлаждения нефтепродуктов (в чем и
заключается функция предварительно охлажденной воды), нагретая вода
возвращается в оборотную систему водоснабжения, а излишки перекачиваются на
МОС, а оттуда на БОС.
Данную последовательность можно проследить и на Приложении 1.
Градирни - наиболее совершенные охладители оборотной
воды. В них охлаждаемая вода в виде капель и тонкой пленки движется в
направлении, противоположном движению охлаждающего воздуха, исключение
составляют лишь открытые брызгальные и капельные градирни, представляющие собой
сочетание брызгального бассейна и градирни. В башенных и вентиляторных
градирнях теплоотдача воды зависит от скорости движения воздуха, омывающего капли
и пленку, движение которого создается вследствие тяги в башне или вентилятором
(рис.2.1.1). [9]
Область применения различных типов градирен для охлаждения
оборотной воды с температурой, не превышающей 40-45° С, зависит от тепловой
нагрузки: для открытых градирен - 30-50 тыс. ккал, башенных - 60-80 тыс. ккал,
вентиляторных - 80-100 тыс. ккал на 1 м2 в час. Для охлаждения воды
с температурой свыше 50°С может быть применена схема последовательного потока
воды через две градирни. [9]
Вентиляторные градирни по сравнению с башенными обеспечивают
более глубокое охлаждение оборотной воды: в башенных градирнях температуру
охлажденной воды получают на 8-12° выше температуры воздуха по смоченному
термометру при температурном перепаде 8-12°; в вентиляторных же градирнях - на
3-7° при перепаде до 17-18°.
Рисунок 2.1.1. Закрытые градирни, с искусственной
циркуляцией воздуха.
На НПЗ им. Г. Алиева в соответствии с принятым планом работ в
течение 2015-2018 гг. планируется строительство и совершенствование
охладительной системы (градирни, Рис. 2.1.2), отвечающая современным
технологическим требованиям и ее установка на заводе. Ее строительство даст
возможность в полном объеме обеспечить технологические устройства необходимой
охлажденной водой. А это в свою очередь даст возможность прекращения перекачки
излишней воды (что также чревато электроэкономией и на ее перекачку) на БОС, а
оттуда и сброс в Каспийское море. Приблизительно сброс снизиться на 50%, т. е с
1900м3/ч до 900м3/ч.
Тип градирни, которую планируют построить на
территории НПЗ.
Рисунок 2.1.2
Влияние температуры оборотной воды на работу
технологического оборудования следующее:
Уменьшение на 1,2-2 г расхода условного топлива на выработку
1 кВтч электроэнергии;
Снижение вакуума в конденсаторах на 0,5%, что равноценно
снижению мощности турбины на 0,4% или перерасходу пара на 0,5%;
Уменьшение на 2-4% расхода электроэнергии на привод
компрессоров;
Уменьшение расхода пара с 3,4 до 2,1 г на 4 ГДж вырабатываемого
холода;
Уменьшение на 23% площади поверхности охлаждения
теплообменников и на 20% расхода металла на их изготовление;
Увеличение выработки топливно-энергетических ресурсов в год
на 518 тыс. долларов США;
Уменьшение среднегодовой выработки кальцинированной соды
примерно на 3,4 аммиака - на 10, метанола - на 8, сернистого натрия - на 4,5,
уксусной кислоты - на 11%;
Для претворения в жизнь проекта требуется 4805,25 млн. манат
капиталовложения, из которых 3733,75 тыс. манат предусмотрена на строительно-монтажные
работы, 305,5 тыс. манат на закупку оборудования и 766 тыс. манат на текущий
ремонт.
В результате реализации проекта ожидаются поступления
денежных средств (GR) в сумме 197.57408,7 тыс. манат, а также
11095803,5 манат чистой дисконтированной прибыли (NPV).
Принимая во внимание тот факт, что проект с 1-ого же года
приносит прибыль и этим с финансовой точки зрения себя оправдывает, а также
обеспечивает прибыль и в последующих годах, то этот проект можно считать
эффективным.
Технологические оборудования и объекты нефтеперерабатывающих
предприятий относятся к тем сложным технологическим системам, где
осуществляются процессы переработки углеводородного сырья. К элементам этой
техносистемы относятся не только основные технологические оборудования
(реакторы, резервуары, компрессорные оборудования и т. д), но и оборудования,
которые предназначены для поддержания их деятельности (оборудование
электроснабжения, водоснабжения, канализационная система и т. д). Количество
элементов технооборудования, которые влияют на возникновение и развитие
аварийной ситуации в нефтеперерабатывающих предприятиях, в зависимости от
сложности устройства, могут быть от ста до тысячи. Таким образом, такого рода
техносистемы представляют собой очень сложную задачу, требующую необходимые
знания о технологиях анализа рисков, а также характеристике и взаимосвязях
элементов техносистемы.
В большинстве случаев, риск на таких предприятиях связан с
бесконтрольным выделением энергии, утечкой токсичного вещества, а также
наличием пожарно-взрывной опасности. Более того, не только само предприятие как
единое целое, но и ее отдельные структурные подразделения создают реальную
опасность окружающей среде. Также важно заметить, что некоторые подразделения
по сравнению с другими могут быть более опасны. В связи с этим целесообразно
разделять предприятия на подсистемы в целях выделения (локализации) участков,
являющихся источником риска, для последующего их оценивания и проведения
эффективного анализа. Для любой техносистемы анализ рисков должно проводиться
поэтапно. Обычно, анализ рисков на начальном этапе состоит из:
) идентификации опасностей;
) анализа частоты реализации основных событий;
) анализа результатов.
Подытожив проведенный анализ, разрабатываются необходимые
меры и рекомендации для: минимизации рисков, и доведении рисков до необходимого
уровня.
В последние годы SOCAR начала применять систему управления рисками,
куда входят контроль и эффективное управление рисками в целях их минимизации. В
ней определяются "хозяины рисков" (т. е где может произойти риск) и
их объем ответственности. "Хозяины рисков" несут ответственность за
активное отслеживание рисков и их эффективное управление. Меры по минимизации
рисков проводятся на всех этапах проекта. Оценка риска производится на основе
действующих норм и стандартов, а также управленческих документов и инструкций SOCAR. Отчетность проводится
посредством реестра рисков. Отчеты по рискам вводится в базу данных для
рассмотрения Комитетом по управлению рисками SOCAR. В эту группу входят
специалисты различных служб. Также отчет для рассмотрения представляется
менеджеру по управлению рисками. Была разработана стратегия по минимизации
рисков и проводится постоянный контроль (под руководством указанного Комитета),
оценка и переоценка рисков со стороны экспертов. Практически все риски
поддерживаются на минимально допустимом уровне.
Оценка рисков. Обычно в объектах нефтепереработки
аварии происходят в результате полного или частичного разрушения оборудования,
которая сопровождается взрывом и пожаром. В связи с этим, возникает
необходимость проведения всестороннего, поэтапного анализа развития аварийной
ситуации.
В нефтеперерабатывающий предприятиях для определения
принципов безопасной эксплуатации объектов необходимо проследить динамику
аварий, обследовать развитие аварийной ситуации и принять проектные и
управленческие решения по их предупреждению, своевременной локализации и
ликвидации. Аварии на такого рода предприятиях обычно происходят по
"принципу домино". Другими словами, необходимо создать модель аварийной
ситуации. [10]
Многочисленные наблюдения, проводимые на
нефтеперерабатывающих предприятиях показали, что оборудования с высокой
пожарно-взрывной опасностью в большинстве случаев находятся на открытых
местностях (колонны, бассейны, печи и т. д).
Таким образом, развитие аварийной ситуации при
разгерметизации аппарата условно можно разделить на следующие этапы:
а) возникновение технической причины, приводящая к
разгерметизации аппарата;
б) следствием разгерметизации аппарата сброс в техническую
среду;
в) образование парового (газового) облака;
г) возникновении источника возгорания сопровождающаяся: или
со взрывным сжиганием облака, или с образованием "огненного шара";
д) дальнейшее развитие аварии;
Обычно технологические процессы, происходящие в объектах,
осуществляются посредством следующих оборудований: колонны, сепараторы,
теплообменники, насосы, трубопроводы, емкости и т.д. Неполадки в оборудованиях
могут возникнуть по ряду основных причин и факторов. Основные условия для
предварительного определения безопасной работы оборудования является то, что
его составные части должны выдержать рабочую нагрузку и этим изолировать сброс
в окружающую среду опасного вещества.
В процессе эксплуатации на работоспособность оборудования
постоянно оказывают воздействия различные факторы. Их по пространственному
признаку можно разделить на внутренние, внешние и собственные.
Внешние факторы определяют технологические связи данного
аппарата с соседними аппаратами и объектами, а также значительное взаимовлияние
с окружающей средой. К внутренним факторам относятся такие рабочие
параметры, как характеристика продукта, температура и давление. К собственным
факторам влияющие на оборудование относятся расходование материала,
конструктивная характеристика оборудования, характер накопившихся недостатков
(дефектов), а также его сопротивляемость к внутренним и внешним факторам.
При проектировании очень важно учитывать не только работу
аппарата в нормальном технологическом режиме (влияние внутренних факторов), но
и состояние в нестандартных (влияние внешних факторов), а именно аварийных
ситуациях. При оценке рисков должны быть исследованы причины возникновения
аварийной ситуации, а также неполадки основных оборудований и более опасных
устройств расположенные на объекте, рассмотрены сценарии по развитию аварийной
ситуации и для каждого случая должны быть составлены паспорта рисков. [10]
Методология оценки рисков и способы оценки
качества. Принятая
методология по оценке рисков соответствует рекомендованным стандартам по
управлению рисками (COSO, ERM), действующим нормам и стандартам, а также
управленческим документам и инструкциям SOCAR. Оценка выявленных
рисков претворяется в жизнь структурными подразделениями SOCAR. Оценка рисков
производится на основе двумерной метрики. Для любого выявленного риска
необходимо определить 2 характеристики:
) вероятность реализации риска в рассматриваемый период;
) воздействие риска при его реализации.
Оценка рисков представлена в 2-х таблицах:
Таблица 2.1.1
Шкала вероятности
|
Баллы
|
Средневзвешенная
оценка
|
Вероятность
реализации
|
Описание
|
|
1
|
5
|
Незначительное
|
Крайне
маловероятное событие
|
|
2
|
20
|
Низкое
|
Маловероятное
событие
|
|
3
|
40
|
Среднее
|
Вероятность
события составляет 50%
|
|
4
|
60
|
Высокое
|
Достаточно
вероятное событие
|
|
5
|
>80
|
Достаточно
высокое
|
Достоверное
событие
|
Таблица 2.1.2
Шкала влияния
|
Баллы
|
Финансовое
составляющее
|
Рейтинговое
составляющее
|
Описание
|
|
1
|
<0,1тыс. AZN
|
незначительное
|
События,
влияющие на операционные показатели структурных единиц компании в рамках
бюджетных, бизнесных единиц. Эти события оказывают незначительное влияние на
бизнесные цены.
|
|
2
|
0,1-1тыс. AZN
|
Низко
|
|
|
3
|
1-10тыс. AZN
|
среднее
|
События,
влияющие на выполнение текущего бизнес-плана компании и рыночные показатели.
Такие события оказывают заметное влияние на бизнес показатели.
|
|
4
|
10-25тыс. AZN
|
высокое
|
|
|
5
|
20-45тыс. AZN
|
Достаточно
высокое
|
События,
которые оказывают сильное влияние на деятельность компании, на выполнение ее
стратегической цели и сущности.
|
|
6
|
> 45тыс. AZN
|
наибольшее
|
|
Чередование рисков проводятся рабочей группой на основе перечня
предложенных рисков (паспортов риска). Чередование состоит из процедуры набора
двумерной метрики и основывается на приведении перечня рисков к единому
порядку. Как основной механизм чередования рисков используют бальную систему.
Процедура чередования рисков начинается с итоговой оценки рисков: на стадии
оценивания на основе выставленных баллов по каждому риску перемножаются
вероятность и ее результат, и в конечном счете получается итоговая оценка
риска. Умножая критерии, учитывается то, что при чередовании каждая оценка
имеет почти одинаковый вес. Каждый критерий базируется на практическом опыте
специалистов, полученном при выполнении аналогичных проектов. Например,
допустим, риск X оценивается следующими критериями: вероятность-2 балла, влияние-3
балла. Тогда итоговая оценка X: 2х3=6
Таблица 2.1.3
Определение уровня риска
|
Средневзвешенное
значение баллов
|
Уровень риска
|
Определение
уровня принятия риска
|
|
01-04
|
|
Незначительный
|
Управление
рисками осуществляется по обычным процедурам; Требуется периодически уделять
внимание; Ежегодно проводится переоценка;
|
|
05-13
|
|
Средний
|
Управление
рисками осуществляется Комитетом; В целях их снижения проводятся
соответствующие мероприятия;
|
|
14-30
|
|
Высокий
(критичный)
|
Неприемлемый,
серьезный риск; Пока риск не ликвидирован, деятельность фирмы не
возобновляется; Высшее руководство, применяя всесторонний план мероприятий в
целях незамедлительной ликвидации риска, выполняет соответствующие срочные
меры.
|
Для оценивания уровня ожидаемых затрат применяется
дополнительный показатель - средневзвешенный финансовый показатель. Этот
показатель получается умножением вероятности реализации события риска на
соответствующее ее финансовое значение. Например, в шкале вероятности
средневзвешенные значения баллов меняются от 0,05 до 0,8. Допустим, риск X оценивается следующими
коэффициентами: вероятность-1балл (соответствует средневзвешенной оценке 0,05).
Влияние оценивается в 30000ман. Тогда средневзвешенная оценка риска X=0,5x30=1,5тыс. ман. (таб.2.1.4). В
соответствии с итоговыми значениями, все риски чередуются от незначительных
(низкое) до критических (высокое). [10]
2.2 Оценка
состояния организации разработки экологических проектов
В последние годы в Азербайджане все чаще в области охраны
окружающей среды используют методические подходы по оценке воздействия,
предложенные не только для природной, но и для социально-экономической среды.
Это связано как с постоянным совершенствованием процесса оценки, все
нарастающей необходимостью применения комплексного интегрированного подхода, так
и достижения международных стандартов в проведении оценки воздействия на
окружающую среду. В описанной мной ниже методологии широко используется
вычисление потенциальных рисков посредством выставленных экспертом баллов по
каждому потенциальному событию или оцениваемому состоянию исследуемого объекта.
Данный подход дает возможность более наглядно (количественно)
продемонстрировать значимость воздействия и осмыслить сложившуюся ситуацию.
Кроме того, следует отметить, что изученной мной в параграфе
2.1 данной работы проекте строительства охладительной системы на территории НПЗ
им.Г. Алиева оценка социальных и экономических последствий реализации
намечаемой деятельности не проводилась вообще или выполнялась в обобщенном виде
без детализации, осуществляя в основном оценку воздействия на природные
элементы окружающей среды. Сегодня в Азербайджане во время разработки и
реализации большинства крупных проектов (в основном нефтяных), в том числе с
иностранным участием, инициаторы предъявляют требования о представлении в
составе материалов ОВОС не только раздела по оценке воздействия на природную
(окружающую) среду, но и полноценного раздела по оценке воздействия на
социально-экономическую сферу (ОВОСС). Важно отметить, что данная методика не
только относится к крупным проектам в энергетическом секторе, но также может
успешно применяться и в реализации проектов на муниципальном уровне (например,
исполнительный орган власти), независимо от направления деятельности.
Руководствуясь вышеизложенными соображениями, предлагаю воспользоваться ниже
мною предложенной методологией по оценке влияния реализуемого проекта на
социально-экономическую среду.
Итак, изменения в содержании ОВОС несомненно должно отразится
и в самом наименовании. Так, современный подход требует от нас другого
наименования - Оценки Воздействия на Окружающую и Социально-экономическую
Среду, т. е ОВОСС. Ниже проиллюстрирован данный подход более детально.
Оценка Воздействия на Окружающую и
Социально-экономическую Среду (ОВОСС) представляет собой систематический процесс,
определяющий и оценивающий потенциальное воздействие (положительные и
отрицательные), которое проект может оказать на биофизическую и
социально-экономическую среду. Кроме того, ОВОСС идентифицирует смягчающие
меры, которые должны быть реализованы для того, чтобы избежать, минимизировать
или уменьшить негативные последствия, а также определяет меры по повышению
положительного воздействия.
Процесс (рис.2.2.1) включает:
Ø Скрининг и
Скоупинг;
Ø Альтернативы проекта и
принятая за основу вариант проекта;
Ø Существующие (исходное)
экологические и социально-экономические условия;
Ø Оценка значимости
воздействия;
Ø Мониторинг и мероприятия
по смягчению влияния;
Ø Остаточные
воздействия;
Ø Информирование
общественности и консультаций с заинтересованными сторонами.
Рисунок 2.2.1 Процесс ОВОСС
В процесс ОВОСС входит также консультации с заинтересованными
сторонами в целях получение взглядов и мнений потенциально затрагиваемых лиц
(реципиентов) и других заинтересованных сторон. Отзывы заинтересованных сторон
применяются для сосредоточения внимания на оценку воздействия и при
необходимости влиять на реализацию и проектировании проекта.
Скрининг. Начальным шагом к
проведению любой ОВОС является принятие решения о том, применять или не
применять процедуру ОВОС к данному конкретному проекту. Этот процесс часто
называют "просвечиванием" проекта ("screening"), которое
предпринимают, чтобы определить, соответствует ли этот проект требованиям о
проведении ОВОС. Для того чтобы свести к минимуму споры о том, будет ли
применяться ОВОСCк данному конкретному проекту и сделать систему ОВОC предсказуемой и удобной
для контролирования, закон об ОВОСC может определить какие именно виды деятельности
требуют проведения ОВОСC, а также каким образом решения о применении ОВОСC должны приниматься. Так,
например, программа по Окружающей среде ООН предлагает простой и ясный подход к
проведению "просвечивания" проекта. В ее Декларации о Целях и
Принципах ОВОС указывается, что "критерии и процедуры для определения
того, будет ли данный вид деятельности существенно влиять на окружающую среду и
следовательно, будет ли он являться объектом процедуры ОВОС должны быть четко
определены в законах, подзаконных актах и другими способами для того, чтобы
виды деятельности могли быть идентифицированы быстро и четко, и ОВОС могла бы
применяться во время планирования этих видов деятельности".
Скоупинг (англ. scoping) является решающим ранним этапом подготовки
ОВОС. В процессе скоупинга выявляются вопросы, которые, скорее всего, будут
иметь первостепенную важность во время проведения ОВОС, а также исключаются
малозначительные вопросы. Обычно этот процесс завершается созданием
технического задания на проведение ОВОС. Таким образом, благодаря скоупингу в
рамках ОВОС изучаются значительные воздействия, а время и деньги не уходят зря
на ненужные исследования.
Термин "скоупинг" обозначает ранний, открытый и
интерактивный процесс определения основных вопросов и воздействий, которые
будут важны при принятии решений по проекту, и которые необходимо рассмотреть
при проведении ОВОС. Требования и процедуры, установленные в этих целях,
отличаются друг от друга в разных странах. Во многих системах ОВОС участие
общественности, как и компетентного органа, и других ответственных
государственных органов, является неотъемлемой частью процесса скоупинга. Вклад
общественности помогает учесть важные вопросы при подготовке ТЗ и/или
планировании исследований ОВОС. Цель скоупинга заключается в определении:
важных вопросов, подлежащих рассмотрению в процессе ОВОС;
подходящих временных и пространственных границ проведения
исследований ОВОС;
информации, необходимой для принятия решения;
значительных воздействий и факторов, подлежащих пристальному
изучению.
Альтернативы проекта и принятый за основу вариант
проекта. После
проведения скрининга и скоупинга, первым шагом в определении проекта
является определение подходящей альтернативы для проекта (на концептуальном
уровне), на основе которого будет реализован базовый проект. Рассмотрение
проекта альтернативы происходит на двух уровнях:
для реализации проекта в целом, в том числе вариант "без
реализации ";
- инженерные альтернативы по определению концепции дизайна в
рамках выбранного проекта;
Так, альтернативные варианты проекта определяются в ходе раннего
концептуального проектирования проекта и сопоставляются с финансовой, технической дизайном, безопасностью, охраной окружающей среды и
социально-экономическими критериями. Альтернатива, которая представляет собой наилучший баланс в
отношении критериев, принимается к последующей стадии детального проектирования.
Процесс ОВОС осуществляется посредством определения трех
параметров воздействия: пространственного, временного и интенсивности
воздействия. Эти параметры оцениваются по специальной шкале с использованием
критериев, имеющие соответствующие градации на шкале. [3]
Оценка потенциальных воздействий на окружающую природную
среду, в процессе претворения в жизнь проекта, представляет собой самую важную
стадию процесса ОВОС. Ее цель заключается в выявлении потенциальных изменений в
природной среде и оценить значимость данных изменений.
Она основывается на анализе:
исходного состояния природной среды и определение наиболее
чувствительных участков, сезонов, видов;
выявление источников и видов воздействия;
площадных, временных масштабов и интенсивности возможных
воздействий;
предыдущего опыта по оценке воздействия аналогичных проектов;
технического описания проекта;
Кроме того, оценка воздействий на природную среду проводится
по отдельным компонентам этой среды:
а) атмосферный воздух;
б) водные ресурсы;
в) недра;
г) растительность;
д) животный мир. [3]
Оценка значимости воздействия. Воздействие, как это
определено стандартом ISO 14001: 2004 является: "Любое изменение в
окружающей среде, будь то отрицательное или положительное, полностью или
частично являющееся результатом деятельности организации, ее экологических
аспектов (виды деятельности, продукции или услуг)" [16].
Процесс ОВОСС классифицирует воздействие в соответствии с их
"значимостью" с учетом проектной деятельности "величина
события" и "чувствительность рецептора". Определение величины
событий требует выявления и количественной оценки (насколько это практически
возможно) источников потенциальных экологических и социальных последствий с
плановых и внеплановых мероприятий по проектам. Определение экологической
чувствительности рецептора требует понимания биофизической среды.
Ниже изложена методология оценки как экологического, так и
социально-экономического воздействия.
Воздействие на окружающую среду
Метод определения масштаба события. Масштаб события
определяется на основании параметров, которые измеряются наравне и оцениваются
по 3-х бальной шкале (от 1 до 3 балла):
· Градация/масштаб
(воздействия): События:
1- события, оказывающие влияние на компоненты природной
среды на территории до 500м или площади меньше 50га от источника;
2- события, оказывающие влияние на компоненты природной
среды на территории от 500м до 1км или на площадь 50-100га от источника
(объекта).
- события, оказывающие влияние на компоненты природной
среды на территории более 1км или более 100га от источника (объекта).
· Частота
события (воздействия):
1- Однородное воздействие;
2- Воздействия наблюдаются до 50 раз;
- Более 50 раз;
· Определение
временного масштаба:
1- События, наблюдающиеся в течение недели;
2- События, наблюдающиеся более 1 недели и в течение 1
месяца;
- События, наблюдающиеся более месяца или продолжительное
время;
· Определение величины интенсивности
воздействия: На основе существующего законодательства и международных
стандартов, экспертами определяются эмиссии или концентрации выбросов, их
токсичность или биоаккумулятивный потенциал, продолжительность физического
воздействия (например, нанесение урона архитектурно-историческому наследию
обитаемой среды). Таким образом:
- Воздействие слабой интенсивности;
2- Воздействие средней интенсивности;
- Воздействие высокой интенсивности;
Общий масштаб воздействия оценивается на приведенном спектре
по различным параметрам по аддитивному методу от 1 до 12:
В результате полученные показатели складываются, и выявляется
общая категория по масштабу воздействия. В таблице 2.2.1 представлен диапазон
оценки по масштабным категориям "слабое", среднее" и
"высокое".
Таблица 2.2.1
Категории чувствительности по рецепторам.
|
Масштаб
ситуации
|
Оценка
(сложенная по параметрам)
|
|
Слабое
|
4
|
|
Среднее
|
5-8
|
|
Высокое
|
9-12
|
Метод определения чувствительности рецептора. Чувствительность
рецептора определяется на основе нижеследующих параметров,
которые измеряются наравне и оцениваются по 3-х бальной шкале:
Биохимические рецепторы:
· Диапазон
существования:
3 - Уникальные, находящиеся под угрозой исчезновения или
охраняемые виды природной среды;
- Уникальные компоненты природной среды на региональном
масштабе или ограниченные рамками территории непосредственного размещения
объекта;
- Виды, которые не являются из вышеуказанных, и
следовательно, оцениваются только на уровне совокупности;
· Интенсивность
воздействия:
1- Изменения в природной среде превышает пределы
природной изменчивости, но природная среда полностью самовосстанавливается;
2- Компоненты природной среды подвергаются умеренным,
устойчивым изменениям и приводят к нарушению отдельных видов природной среды,
но природная среда сохраняет способность к самовосстановлению.
- Существенные нарушения экосистемы. Отдельные
компоненты природной среды теряют способность к самовосстановлению;
Человеческий рецептор:
· Диапазон существования (наличия) меняется
от того факта, что:
3 - Люди постоянно присутствуют в географическом районе
предполагаемого воздействия;
- Люди временно присутствуют (например, коммерческая
недвижимость).
- До того что, люди изредка присутствуют в
географической зоне предполагаемого воздействия;
· Устойчивость (относительно выявленного
источника стресса):
1- Люди наименее уязвимы к изменениям (качество воздуха,
шум значительно ниже установленного соответствующим законодательством и
международным стандартом). Величина воздействия достаточно низка.
2- Изменение в природной среде оказывает негативное
воздействие людям со слабым организмом (количество воздуха, шум, вибрация и
т.д.ниже уровня принятых стандартов).
- Превышены допустимые пределы (качество воздуха, шум
выше принятых стандартов).
Физический рецептор:
· Диапазон
наличия меняется от:
1- Наличия культурно-архитектурного вида, имеющего
национальное или международное значение (напр, состояние охраняемого
памятника).
2- Характеристика местного или регионального уровня,
чувствительная к повреждениям.
3- До компонента, который не является из
вышеперечисленного;
· Устойчивость (относительно выявленного
источника стресса):
3 - На рецептор не влияет или оказывает
незначительное воздействие;
2-Притерпивает умеренному воздействию под
постоянным наличием источника воздействия;
1- Очень уязвимы;
Почва, грунтовая вода и поверхностные воды:
· Диапазон
наличия меняется от:
3 - Рецептор высоко ценится (например, широко
используется в сельском хозяйстве и в качестве питьевой воды);
2 - Рецептор имеет умеренную значимость (иногда
используется в сельском хозяйстве);
1 - рецептор не
имеет значимость;
· Устойчивость (относительно выявленного
источника стресса):
1- Уровень существующего загрязнения ниже принятых
стандартов локального загрязнения;
2- Уровень загрязнения в настоящее время умеренное,
загрязнение является уязвимым для физического нарушения;
3- Локальное загрязнение на высоком уровне, т. к
очень чувствителен к физическим нарушениям.
Общая чувствительность рецептора оценивается в спектре от
"1" до "6" складывая отдельные параметры.
В результате полученные показатели складываются, и выявляется
общая категория по масштабу воздействия. В таблице 2.2.2 представлен диапазон
оценки по масштабным категориям "слабое", среднее" и
"высокое"
Таблица 2.2.2
Категории чувствительности по рецепторам.
|
Масштаб
ситуации
|
Оценка
(сложенная по параметрам)
|
|
Слабое
|
2
|
|
Среднее
|
3-4
|
|
Высокое
|
5-6
|
Метод определения степени воздействия на
окружающую среду. Масштаб события (воздействия) и чувствительности рецептора как
функции степени воздействия делятся на категории "незначительное",
"слабое", "умеренное" и "сильное".
Воздействие может быть положительным или отрицательным.
|
Чувствительность
рецептора
|
|
Низкое
|
Среднее
|
Высокое
|
|
Масштаб
события
|
Низкое
|
Незначительное
|
Малое
|
Среднее
|
|
Среднее
|
Малое
|
Среднее
|
Большое
|
|
Высокое
|
Среднее
|
Большое
|
Большое
|
Рисунок 2.2.2. Матрица степени воздействия
Любое воздействие, которое классифицируется как
"сильное", считается значимым, а где воздействие отрицательное
требуется дополнительные меры и мероприятия для смягчения. Если воздействие
оценивается по степени значимости как "незначительное",
"легкое" и "среднее", то не требуются дополнительные меры
для смягчения.
Социально-экономическое воздействие. При оценке
социально-экономического воздействия пользуются полуколичественным методом, где
описывается и оценивается значимость воздействия, связанная с реализацией
проекта, в которую входят:
· выявление всех социально-экономических
воздействий (прямое и косвенное, положительное и отрицательное);
· измерение (если возможно в денежном
выражении, т. е монетизация) социально-экономических последствий, такие как:
ü количество и характеристика людей, пострадавших
(количество собственников и людей, которые непосредственно подвергаются
социально-экономических воздействиям и категории "уязвимые группы
населения");
ü изменения социально-экономических условий
жизни и окружающей среды (трудовая занятость населения, коммерческие,
рекреационные, культурные и социальные услуги и объекты, внутренняя миграция,
инфляционные проявления на территории реализации проекта, неконтролируемый
поток мигрантов в поисках работы и т. д).
ü прямые потери земли или изменение доступа к
земле;
ü неудобства, связанные с ухудшением
качества отдельных компонентов природной среды и вопросы, связанные со
здоровьем населения;
ü эстетические и культурные ценности
(памятники истории и культуры);
Последствия воздействий оцениваются на основе вероятности,
магнитуде (величины) и чувствительности рецепторов.
· Вероятность. Вероятность того, что
воздействие будет иметь место, и степень неопределенности основаны на следующих
критериях:
Ø Весьма вероятно - почти наверняка
произойдет или, возможно, уже произошло.
Ø Вероятно - некоторые обоснованы тем,
что воздействие может произойти или имело место ранее в аналогичной ситуации;
Ø Возможно - могло произойти без
вмешательства;
Ø Вряд ли - некоторые доказательства
того, что может произойти воздействие, невзирая на то, что такого инцидента не
было в этом регионе, но произошло в другом месте;
Ø Исключено - свидетельствует о том,
что воздействие будет иметь место;
· Магнитуда:
Ø Пространственный охват: Географический охват
воздействия по отношению к местному сообществу рецепторов;
§ Локальный (территория, географически
расположенная в непосредственной близости к участку реализации проекта)
§ Местный (административный район или несколько
районов, близлежащих к территории проекта);
§ Региональный (напр, Низаминский р-н);
§ Национальный (весь
Азербайджан);
Ø Сроки и
продолжительность: Вероятные сроки и продолжительность воздействия (в том числе
воздействие будет носить временный или постоянный характер) и какие мероприятия
намечаются в рамках проекта.
· Чувствительность
рецептора:
Наиболее затронутые группы людей или населения, которые не
пропорционально будут испытывать последствия воздействия.
Значение воздействий будет оцениваться, как представлено на
рисунке 2.2.3 Значимость основывается на суждении экспертов с учетом величины
(магнитуде) влияния, вероятности и чувствительности населения или группы людей,
которые могут быть затронуты, а также социально-экономические условиями
Республики.
|
Событие
|
Магнитуда
|
Вероятность
|
Чувствительность
рецептора
|
Значимость
|
|
Пространственный
охват
|
Сроки и
продолжительность
|
|
|
|
|
|
|
|
|
|
|
Рисунок 2.2.3. Значения
воздействий
Значимость воздействия (с учетом существующих механизмов
контроля) классифицируется следующим образом:
ü Высокое положительное - существенное
положительное изменение;
ü Положительное - некоторое
положительное изменение;
ü Незначительное - очень слабое воздействие
или ее отсутствие;
ü Негативное - низкое
отрицательное воздействие;
ü Высокое отрицательное - значительное
отрицательное изменение;
Любое "высокое отрицательное воздействие"
считается значимым и требует проведение дополнительных мероприятий для
смягчения воздействий.
Косвенное воздействие не может быть легко оценено с
использованием того же подхода. Поэтому оценка производится на основании
суждений экспертов, принимая во внимание существующие механизмы контроля.
Трансграничные и кумулятивные воздействия. Трансграничным
воздействием являются последствия, которые происходят за пределами
государственной границы.
К трансграничным воздействиям проекта относятся:
выбросы парниковых газов в атмосферу;
социально-экономические вопросы связанные с рабочей силой,
привлечением услуг и товаров со стороны (международного рынка).
Кумулятивные воздействия, представляющие собой воздействия,
возникающие в результате постоянно возрастающих изменений, вызванных в свою
очередь другими прошлыми, настоящими или обоснованно предсказуемыми действиями,
по претворению в жизнь проекта.
При оценке потенциальных кумулятивных воздействий, также
учитывается возникновение других проектов, которое в сочетании с настоящим
проектом может привести к более масштабным и значительным воздействиям.
Эти воздействия оцениваются по следующим параметрам:
· Совпадение во времени: когда воздействие
настолько низко по времени, что пока не ослабело действие одного из них, уже
происходит другое воздействие;
· Совпадение в пространстве: воздействия
настолько близки в пространстве, что их результаты совпадают;
Мероприятия по смягчению и мониторинг. Итеративный
(повторяющийся) и комплексный (интегрированный) характер процессов ОВОСС и
планирования проекта означает, что большинство предлагаемых дополнительных мер
и стратегий по предотвращению изменения климата включаются в проект базового
варианта. Сюда входят мониторинг и обязательства по предоставлению докладов, а также
мероприятия, процедуры, которые представляют собой часть системы экономического
менеджмента. [6]
2.3 Пути
совершенствования организационно-экономической характеристики экологических
проектов
Новая нефтяная стратегия создает предпосылки для проведения
основательных реформ в различных отраслях нефтегазового комплекса, способствует
ускорению реконструкции во всех структурных подразделениях SOCAR.
Нефтегазовый фактор имеет огромное значение для нашей страны,
т. к за счет прибыли, приобретенное от продажи углеводородов претворяются в
жизнь наиболее важные проекты. Поэтому своевременное выполнение проекта,
которое служит развитию этой отрасли, имеет большое значение. В
нефтегазодобывающем секторе, независимо от объема, любые проекты, которые
обеспечивают не только добычу запасов нефти и газа, но и их хранение, и
транспортировку без потерь, должны оцениваться как проекты служащие увеличению
интенсивности производства и его развитию.
Выполнение крупных мероприятий, направленных на охрану
окружающей среды, требует долгосрочных капитальных вложений. Как правило, эти
средства могут быть получены в виде банковского кредита или целевых инвестиций,
которые будут использованы для финансирования того или иного проекта. Поскольку
интересных проектов обычно бывает больше, чем возможностей получения наличного
капитала для их реализации, то важно выбрать или остановиться на том проекте,
который при определенных затратах обеспечит наибольший экономический и
экологический эффект.
Для оценки того или иного проекта с точки зрения его
реальности и окупаемости, также как и для принятия решения о долгосрочных
инвестициях возникает потребность прогнозировать эффективность капитальных
вложений. С этой целью проводится анализ, позволяющий удостовериться, что
полученные средства (капитал) будут израсходованы с наибольшей выгодой.
При оценке эффективности капитальных вложений нужно
учитывать, что этот вид инвестиций отличается от текущих издержек
продолжительностью по времени, на протяжении которого предприятие получает
экономический эффект. При таком виде инвестиций платеж, произведенный за
крупный капитал в данный момент, позволит получать прибыль с него только по
истечении определенного времени. Другими словами, средства как бы
замораживаются на несколько лет и данное капитальное вложение будет приносить
прибыль не сразу и также на протяжении нескольких лет, а в конце периода
окупаемости полученный капитал уже в виде конкретного объекта будет иметь
некоторую ликвидную стоимость.
Таким образом, вне зависимости от типа инвестиций или объема
капитала, необходимого для реализации долгосрочного проекта, анализ проводится
не только для того, чтобы знать, что инвестиции принесут хорошую прибыль, но
также и для классификации разных инвестиционных проектов.
Пути по устранению или снижению степени риска. Как было описано и
показано в предыдущей главе, экологический риск представляет собой произведение
вероятности (частоты) возникновения определенной опасности и величины
последствий такого события. На основе этого, можно дать следующие рекомендации
по уменьшению рисков от аварии:
а) снижению вероятности аварий;
б) минимизации последствий. [3]
В свою очередь, необходимо учесть и то, что данные
рекомендации должны носить как технологический, так и организационный
характер. Технологические мероприятия:
а) воздержание от применения опасных технологий;
б) разработка и применение систем автоматического контроля и
обеспечения проектных параметров (температура, объем давление);
в) снижение случаев применения взрывоопасных и токсичных
веществ;
г) учитывая маршруты аварийной эвакуации персонала из
производственных помещений, разумное размещение технологического оборудования.
д) создание зон безопасности (разделяющие расстояния, защита
от взрыва);
Организационные мероприятия:
а) обучение персонала;
б) применение и соблюдение правил техники безопасности;
в) распределение ответственности;
г) противопожарная защита и аварийная сигнализация;
д) контроль мест хранения токсичных и взрывоопасных веществ
(также мест хранения отходов, и т.д.). [3]
Использование эколого-экономической оценки при анализе
альтернативных вариантов позволяет выбрать вариант, более выгодный для местного
сообщества. Исходя из определенной структуры и оценки ущербов, можно
разработать целевые компенсационные мероприятия для муниципального уровня, для
которого и прогнозируются ущербы. В соответствии с международными стандартами
подготовки инвестиционных проектов инициатор деятельности по результатам такой
оценки обязан разработать план снижения остаточных воздействий, компенсаций и
управления окружающей средой.
Следует отметить, что в современной азербайджанской практике,
несмотря на законодательные декларации об обязанности полного возмещения вреда
окружающей среде, более или менее адекватные денежные штрафы в результате
проверок стали начисляться только в последнее время. Это обстоятельство и
ожидаемое повышение экологических платежей делает все более востребованной
предварительную эколого-экономическую оценку эффективности намечаемой
деятельности.
Выводы и
рекомендации
Исходя из закрепленных законодательством целей экологической
экспертизы, предусматривающих установление соответствия намечаемой деятельности
экологическим требованиям, важным направлением деятельности по анализу, учету и
предотвращению негативного воздействия на окружающую среду является определение
достаточности финансовых средств при реализации инвестиционных проектов.
При планировании намечаемой хозяйственной деятельности
законодательство требует выполнить ее предварительную эколого-экономическую
оценку, однако у нас до сих пор нет единой методики, как это сделать.
Часто при планировании той или иной хозяйственной
деятельности экологические риски начинают анализировать в последнюю очередь,
когда основные решения уже приняты, а экономические оценки эффективности редко
когда рассчитывают с учетом экологических ущербов от остаточных воздействий,
которые неизбежны при эксплуатации большинства объектов.
Наиболее значительные расходы связаны с компенсационными
выплатами за изъятие природных ресурсов из сферы целевого использования пли из
уничтожение (повреждение).
Основные природные ресурсы, которым может быть причинен
значительный ущерб, подлежащий компенсации при реализации инвестиционного
проекта, - земельные, лесные ресурсы и объекты животного мира, относящиеся к
объектам рыболовства и охоты.
Изученная и предложенная в работе методология дает
возможность обобщить соответствующие азербайджанские и международные требования
по оценке воздействия на окружающую среду (ОВОС), а также конкретизировать
критерии ее оценки.
Методологические аспекты оценки воздействия на природную
среду основываются на определении трех параметров:
1) пространственного масштаба воздействия;
) временного масштаба воздействия;
) интенсивности воздействия.
Каждый из параметров оценивается по 4-х бальной шкале.
Проведена комплексная оценка воздействия для компонентов природной среды и
предложен механизм определения значимости воздействия.
Изученные методологические аспекты оценки воздействия дают
возможность:
при действии различных источников провести оценку воздействия
на природную среду (при рутинных операциях и авариях);
определить их значимость;
составить матрицу экологического риска;
изучить кумулятивное воздействие;
изучить взаимодействия различных источников воздействия;
дать оценку трансграничных воздействий.
Кроме оценки воздействия на природную среду, которое не до
конца отражает все последствия намечаемой деятельности, в работе изучены и
предложены методологические аспекты оценки воздействия и на
социально-экономическую среду, которые в свою очередь следовало бы применить
для разработки окончательной ОВОС, проводимую в Азербайджане.
Изученные и предложенные методологические подходы понятны для
отечественных экспертов и основаны на нормативных и международных требованиях.
Кроме того, они дают возможность сделать конкретные выводы по
оценке воздействия по каждым средам, что очень важно при проведении
Государственной Экологической Экспертизы.
Представленные методологические подходы описывают также
состав и порядок разработки оценки воздействия на социально-экономическую среду
для стадии строительства, а также при штатных и аварийных ситуациях. Масштабы
воздействия оцениваются по 5-ти балльной шкале (от 0 до 5 баллов). Каждая
градация шкалы имеет соответствующие себе критерии.
В настоящее время на НПЗ им.Г. Алиева проводятся
подготовительные работы по реконструкции производственных участков. Идет
строительство охладительной системы (градирни), которая отвечает требованиям
современных технологических стандартов. Базовый проект и строительство этого
сооружения был разработан, приняты основные технические документы, фирмой
"HAMON THERMAL EUROPE".
В соответствии с проектными данными, производительность
охладительного сооружения по оборачиваемой воде составляет 7000м3/ч.
В проекте намечается дальнейшее ее подключение к технологическим оборудованиям,
действующей инженерно-коммуникационной системе, хозяйственным объектам, а также
существующей на территории завода пожарной системе.
Так, учитывая то, что после проделанных работ,
технологические оборудования будут снабжаться в необходимом количестве
охлажденной водой, то создается возможность более эффективного его
использования и недопущение ее выхода за рамки предельно-допустимых потерь.
Кроме того, в изученной мною работе "Оценка воздействия
на окружающую среду при строительстве охладительной системы на НПЗ им.Г.
Алиева" всесторонне разработан документ о влиянии строительства
охладительной системы (градирни) на окружающую среду. Он подготовлен НИИ
"Нефтегаз" SOCAR-а, где указаны ПДК (м3/мг) каждого
вещества. Здесь собрано информация по защите атмосферы, водоемов и почвы от
загрязнения опасными соединениями.
Градирня строится в соответствии с современными
экологическими требованиями и по сравнению с ранее эксплуатируемой системой
водяного охлаждения, загрязнение атмосферы, гидросферы и литосферы будет
снижено до максимального уровня. Это, в свою очередь, окажет положительное
влияние на улучшение экологического состояния завода.
При поступлении воды в сооружение, в начале происходит ее
очистка, а затем она максимально охлаждается и повторно возвращается в
производственный процесс.
После сдачи в эксплуатацию прогнозируется, уменьшение
сбрасываемого количество воды в море до 900 м3/ч. А это важнейший
экологический показатель по охране Каспийского моря.
Во время практики я принял участие в организации, проведении,
и впоследствии, и в обсуждениях проведенных экологических мониторингов на
производственных участках и очистительных сооружениях. По результатам
мониторингов были составлены специальные замечания и предупреждения об
отклонениях.
Строительство охладительной системы (градирни)
окажет воздействие на работу технологических оборудований на НПЗ следующим
образом:
уменьшение на 1,2-2 г расхода условного топлива на выработку
1 квтч электроэнергии;
снижение вакуума в конденсаторах на 0,5%, что равноценно
снижению мощности турбины на 0,4% или перерасходу пара на 0,5%;
уменьшение на 2-4% расхода электроэнергии на привод
компрессоров;
уменьшение расхода пара с 3,4 до 2,1 г на 4 гдж
вырабатываемого холода;
уменьшение на 23% площади поверхности охлаждения
теплообменников и на 20% расхода металла на их изготовление;
увеличение выработки топливно-энергетических ресурсов в год
на 518 тыс. долларов США;
уменьшение среднегодовой выработки кальцинированной соды
примерно на 3,4 аммиака - на 10, метанола - на 8, сернистого натрия - на 4,5,
уксусной кислоты - на 11%;
Итак, во время прохождения производственной практики на НПЗ
им.Г. Алиева я пришел к выводу, что предотвращения потерь сырья,
энергоносителей и полученные посредством этого высокие экологические показатели
имеют огромное экономическое значение.
Таким образом, можно прийти к выводу, что строительство
градирни оценивается как объект с высоким экологическим и экономическим
показателем.
При строительстве новых объектов для подготовки
экологических, технических и нормативных документов, отвечающие требованиям ISO14001 по оценке воздействия на
окружающую среду (ОВОС), предлагаю нижеследующее:
. В проектной документации должны быть предусмотрены
финансовые ресурсы на обеспечение намечаемой деятельности техническими
средствами для предупреждения, ликвидации или локализации аварийных ситуаций с
экологическими последствиями, а также гражданской ответственности за причинение
вреда.
2. Расчет и анализ показателей проекта можно осуществить
эффективным и целесообразным образом - чистой приведенной стоимостью проекта
или NPV (net present value). Анализ заключался в суммировании
дисконтированных по годам реализации проекта (приведенных к единому моменту
времени) выгод и затрат и использовании в качестве основного показателя
эффективности разницы в полученных суммах.
. В соответствии с требованиями İSO14001 провести необходимые вычисления экологических показателей по
бальной системе;
. Дать в соответствующей таблице сравнительный анализ
исходного состояния окружающей среды (ИСОС) до строительства (реконструкции),
предусмотренной в проекте, объекта и после его сдачи в эксплуатацию;
. Процедуры, связанные с подготовкой документов и
проведением ОВОС государственной экологической экспертизой, целесообразно
проводить предприятием, которое непосредственно вовлечено в процесс разработки
проекта.
. Предложенные методологические аспекты дают
возможность сделать конкретные выводы по оценке воздействия по каждым средам,
что очень важно при проведении Государственной Экологической Экспертизы.
. Организация и проведение беспрерывного (3-х
сменного) производства и экологического мониторинга создают хорошие условия для
достижения необходимого эколого-экономического результата.
. В результате проведения контрольно-экологического
мониторинга предотвращаются потери сырья, нефтепродуктов, а также
энергоносителей.
. Воспользоваться предложенной мною методологией по
оценке влияния реализуемого проекта на социально-экономическую среду независимо
от исполнителей (иностранная фирма, муниципалитет и др.) и масштаба проекта;
.