Оптимизация структуры оборотных фондов организации
Оптимизация структуры оборотных
фондов организации
Содержание
Введение
1. Теоретические аспекты оптимизации состава и структуры оборотных
средств
1.1 Оптимизация оборотных средств: понятие, сущность и значение
1.2 Виды оборотных активов предприятия
2. Анализ эффективности использования оборотных средств предприятия
на примере ОАО "Байкалфарм"
2.1 Характеристика предприятия ОАО "Байкалфарм"
2.2 Изучение эффективности использования оборотных средств в ОАО
"Байкалфарм"
Заключение
Список использованной литературы
Приложения
Введение
Каждое предприятие, начиная свою деятельность, должно
располагать определённой денежной суммой. Оборотные средства предприятий
призваны обеспечивать непрерывное их движение на всех стадиях кругооборота с
тем, чтобы удовлетворять потребности производства в денежных и материальных
ресурсах, обеспечивать своевременность и полноту расчетов, повышать
эффективность использования оборотных средств.
Проблема эффективного хозяйствования предприятий включает
лучшее использование их фондов, и в первую очередь - оборотных средств. Наличие
у предприятия достаточных оборотных средств является необходимой предпосылкой
для его нормального функционирования в условиях рыночной экономики.
Основное место в оборотных средствах занимают средства,
авансированные в товарно-материальные ценности. К ним относятся товары,
производственные запасы и другие товарно-материальные ценности.
Производственные запасы включают сырье, основные материалы и покупные
полуфабрикаты, малоценные и быстроизнашивающиеся предметы.
Актуальность исследования обусловлена тем, что непременным
условием для осуществления предприятием хозяйственной деятельности является
наличие оборотных средств (оборотного капитала). Проблемы управления оборотным
капиталом хозяйствующего субъекта привлекают все большее внимание
представителей финансовой науки. Наличие у предприятия достаточных оборотных
средств оптимальной структуры - необходимая предпосылка для его нормального
функционирования в условиях рыночной экономики. В результате ускорения
оборачиваемости оборотных средств происходит их высвобождение, что дает целый
ряд положительных эффектов. Чем быстрее оборачиваются авансированные оборотные
средства, тем лучший достигается результат - с помощью одной и той же суммы
средств производится и реализуется больше продукции.
Цель данного исследования - изучить оптимизацию структуры
оборотных фондов организации.
Для достижения поставленной цели необходимо выполнить
следующие задачи:
рассмотреть оптимизацию оборотных средств: понятие, сущность
и значение;
охарактеризовать виды оборотных активов предприятия;
провести характеристику предприятия ОАО
"БАЙКАЛФАРМ";
изучить эффективность использования оборотных средств в ОАО
"БАЙКАЛФАРМ".
Предметом данного исследования является анализ и оценка эффективного
использования оборотных средств на промышленном предприятии.
Объект исследования - финансово-экономическая деятельность
предприятия ОАО "БАЙКАЛФАРМ".
Всеобщим методом исследования, использованным в работе,
является диалектический метод. При экономическом анализе фактического материала
применялись экономико-статистические методы сплошного и выборочного наблюдения,
группировки, построения динамических рядов. В работе также использовались
методы логического, сравнительного анализа, методы классификации и экспертных
оценок.
Проблемы организации и использования оборотных средств
предприятия исследованы в работах: Андреевой С.Ю., Гиляровской Л.Т., Китаева
М.О., Маркарьян Э.А. и других экономистов. В работах вышеназванных авторов
внесен существенный вклад в решение рассматриваемых в работе проблем.
Структура исследования: введение, основная часть, разделенная
на главы и параграфы, заключение и список использованной литературы.
1.
Теоретические аспекты оптимизации состава и структуры оборотных средств
1.1
Оптимизация оборотных средств: понятие, сущность и значение
Оптимизация состава и структуры оборотных средств может быть
достигнута с помощью главного метода - эффективного управления оборотными
средствами. Управление оборотными активами и капиталом - это процесс разработки
стратегии и тактики принятия решений, определяющих объем текущих активов по
видам, объем и виды инвестиций для их финансирования, а также организацию
повседневной работы, обеспечивающей их достаточность и эффективность
использования [7, с.6].
Управление оборотными активами является инструментарием
политики управления оборотными активами. По нашему мнению, политика управления
оборотными активами - это часть финансовой политики по формированию
необходимого объема, состава и структуры оборотных активов и оптимизации
источников их финансирования. Отсюда, можно наблюдать две стороны политики
управления оборотными активами.
С первой стороны, со стороны активов мы отвечаем на вопрос в
какой сумме и в какой структуре мы будем формировать наши оборотные активы,
какого будет соотношение запасов, дебиторской задолженности и денежных средств.
С другой стороны, со стороны пассивов, мы говорим о политике
управления оборотным капиталом: за счет каких источников будут профинансированы
эти оборотные активы и как оптимизировать эту структуру. Оптимизировать
структуру оборотного капитала можно по двум критериям.
Оборотный капитал, по факту, вложение в неприбыльные активы.
Если мы нацелены на максимальное ускорение оборота, в минимизации суммы
оборотного капитала, то для нас критерий будет в повышении эффективности его
использования, в минимизации показателей его рентабельности и оборачиваемости.
Чем меньше оборотного капитала, тем быстрее он оборачивается, тем больше сумм
выручки и прибыли приносится на каждый сформированный им рубль. И второй
критерий относится к осторожным предприятиям.
Предприятие минимизирует финансовые риски, проигрывая на
рентабельности и оборачиваемости, получая высокую степень финансовой
устойчивости и ликвидности. Существуют разные методы управления и оптимизации
структуры оборотных активов, однако предлагается использовать следующие
мероприятия:
Проанализировать оборотные активы предприятия в ретроспективе
Определить принципиальные подходы к формированию оборотных
средств
Оптимизировать объем оборотных активов
Оптимизировать постоянную и переменную части оборотных
активов
Обеспечить достаточную ликвидность оборотных активов и
сохранить ее на необходимом уровне
Повысить рентабельность оборотных активов
Вывить "утечки" и минимизировать потери оборотных
средств в процессе их использования
Сформировать оптимальную структуру источников финансирования
оборотных активов [11, с.96].
Рассмотрим каждый из этих этапов.
Ретроспективный анализ всегда является актуальным звеном
финансового анализа, без которого нельзя продолжать дальнейшую плановую
деятельность предприятия. С помощью подобного инструментария финансового
анализа появляется возможность изучить факторы, влияющие на изменение структуры
оборотных средств предприятия.
Анализ оборотных активов следует проводить, начиная с
исследования динамики общего их объема, после чего имеет смысл перейти к
структурированию составных элементов оборотных активов и рассмотрения их
динамики в частности.
После этого анализа резонно рассчитать показатели оборачиваемости
оборотных средств, методика расчета которых была представлена во втором
параграфе данной выпускной квалификационной работы. Данные показатели относятся
к категории показателей деловой активности.
Следует также рассчитать и другие показатели эффективности
деятельности предприятия, такие как коэффициент сохранности, маневренности
оборотных активов. При этом, следует иметь ввиду, что рост коэффициента
маневренности имеет обоснованную почву при условии наличия опережающего темпа
роста выручки.
Таким образом, необходимо сопоставлять показатели оборотных
средств и их эффективного использования с показателями выручки, рентабельности
продаж, т.к. они в некоторой степени способны оказывать влияние на их
состояние, находясь в постоянной взаимосвязи.
Следует также построить длительности производственного,
финансового и операционного циклов, сделать выводы об их продолжительности и
изменениях. Эффективное использование оборотных средств ведет не только к
общему уменьшению размера потребности в этих средствах для выполнения
производственной программы, но и способствует укреплению финансового состояния
предприятия, своевременному накоплению денежных средств для осуществления
платежей по обязательствам, снижению себестоимости и повышению рентабельности.
На втором этапе определяются общие принципиальные подходы к
формированию оборотных активов предприятия.
Существует три основных подхода к решению данной задачи:
агрессивная, консервативная и умеренная.
При агрессивном подходе отсутствую какие-либо резервные
запасы тех или иных оборотных активов. Все, что имеется, направляется в оборот.
Однако, при сбое в производстве или другом непредвиденном событии, предприятие
понесет крупные убытки. Действует известное правило - чем выше доход, тем
больше риск. Примером может служить следующая формулировка: 100 % оборотных
активов надо продать для расчета с поставщиком. Это явный агрессивный подход.
Если оборотные активы на последнюю отчетную дату примерно равны оборотным
активам за плановый период в фиксированной части. Это иллюстрации агрессивного
подхода, мы не держим запасы, резервных запасов не имеем, покупателей не
кредитуем, а значит, не раздуваем дебиторскую задолженность, денег на счете не
держим, надеясь, что покупатели не просрочат оплату.
Высочайшая скорость оборота, эффективность деятельности
оборотных активов, рентабельности оборотных активов. Высочайшие риски - риски
остановки производства из-за отсутствия сырья, риски потери клиентов из-за
отсутствия готовой продукции на складе. Американцы считают, что 10 процентов выручки
обеспечивается удовлетворением потребительского спроса [17, с.26].
Жесткая кредитная политика вызывает риск потери клиентов и
отсутствие денежных средств провоцирует риск неплатежеспособности. Все эти
недостатки сочетаются с высокой прибыльностью. На примере постоянной и
переменной частей оборотных активов можно проиллюстрировать и умеренный подход
к формированию оборотных активов. Если фактической наличие оборотных активов на
последнюю отчетную дату приблизительно совпадает с суммой фиксированной плановой
части оборотных активов и средней переменной части оборотных активов, то это
может служить иллюстрацией умеренного подхода. Обеспечивается оптимальное
соотношение между уровнем риска остановки производственной деятельности и
уровнем эффективного использования имеющихся у предприятия оборотных активов.
Нормирование - также может считаться наглядным примером
умеренного подхода. Методика определения нормирования была приведена также во
втором параграфе. Наконец, консервативный подход. Опять же, сравниваем
фактическое наличие оборотных активов на последнюю отчетную дату. Если оно
примерно совпадает с суммой фиксированной плановой части оборотных активов и
максимальной переменной части, то можно делать вывод о консервативном подходе.
То есть имеются явно завышенные складские запасы, которые минимизируют риски
остановки производства и потери клиента, раздутая дебиторская задолженность -
кредитуем всех подряд, огромные денежные остатки, обеспечивающие
платежеспособность, нивелируются ограниченными размерами выручки, минимальными
рисками и проигрышем на показателях рентабельности и оборачиваемости [21,
с.28].
Таким образом, с нашей точки зрения, для того, чтобы ответить
на вопрос какой подход к финансированию оборотных активов использует компания
достаточно сравнить остатки второго раздела баланса с плановыми показателями
постоянной и переменной части оборотных активов.
На третьем шаге необходимо оптимизировать объем оборотных
активов. Прежде чем соптимизировать объем оборотных активов, необходимо
спланировать потребность оборотных активов на следующий год. Общая величина
оборотных активов на следующий год состоит из четырех компонентов, которые
представлены в формуле.
Запасы планируются либо нормированием, либо по модели
Уилсона. Дебиторскую задолженность следует планировать по следующей формуле:
(1)
где ДЗтов 0 - часть задолженности покупателей и заказчиков и
задолженность по авансам выданным;
ДЗнетов 0 - часть задолженности бюджета и задолженность
подотчетных лиц;
оборотный актив средство оптимизация
ДЗпросроч 0 - часть задолженности, подлежащей взысканию у
лиц, просрочивших своевременную оплату долга;
- темп роста выручки в сопоставимых ценах.
При этом с нашей точки зрения, следует подчеркнуть, что темп
роста выручки находится по следующей формуле, представляющей собой не что иное,
как агрегатный индекс, или индекс Ласпейреса:
(2)
При планировании денежных активов можно выделить пять моделей
их планирования. Это модель Баумоля, Миллера-Орра, Стоуна, метод Монте-Карло, и
модель, основанная на 4 видах денежных активов. Прочие оборотные активы
находятся с помощью экстраполяции. Данный подход можно выразить с помощью
следующей формулы:
(3)
На четвертом этапе находятся постоянные и переменные части
оборотных активов по определенной методике. Постоянные оборотные средства
играют важную роль в деятельности предприятия. Они обеспечивают минимальные
необходимый уровень, нужный для бесперебойного производства. Это минимально
необходимый объем запасов, дебиторской задолженности и высоколиквидных активов.
Переменные оборотные средства могут являться таковыми в силу сезонных колебаний
производства.
Они приобретают циклический характер. Основными составляющими
переменных оборотных активов являются дебиторская задолженность и денежные
средства [20, с.51].
Рисунок 1 - Постоянная и переменная части оборотных активов
Технология определения постоянных и переменных частей
оборотных средств не является традиционной методикой. Порядок ее расчета
представлен в учебнике под редакцией Шохина, согласно которому величину
постоянной части рекомендуется определять следующим образом:
(4)
где ОА1 - величина оборотных активов в плановом периоде;
Кmin - коэффициент минимального уровня оборотных активов
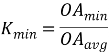
Коэффициент минимального уровня оборотных активов в свою
очередь можно найти использую следующую формулу:
(5)
где ОАmin - минимальная сумма оборотных активов за
прошедший исследуемый промежуток времени;
OAavg - средний размер оборотных активов за прошедший
исследуемый промежуток времени.
Далее можно найти максимальную часть оборотных активов для
переменной части:
(6)
где Кmax - коэффициент максимального уровня оборотных
активов
Коэффициент максимального уровня оборотных активов также
может быть найден по формуле, которая аналогична по своему принципу формуле
нахождения коэффициента минимального уровня оборотных активов, за исключением
числителя - в числителе будет максимальный уровень оборотных активов за
исследуемый промежуток времени. Имеет также смысл найти среднюю величину
переменной части наших оборотных активов:
(7)
В некоторых исследованиях приводятся оборотные средства как
нормируемые и ненормируемые.
Нормировать можно количество запасов, готовую продукцию,
незавершенное производство. Не поддаются нормированию денежные средства,
дебиторская задолженность, ввиду неконтролируемости объемов и не предсказуемого
характера.
Далее, не менее важный этап - это этап по управлению
ликвидностью. Здесь фигурируют два подхода к управлению ликвидностью. Это сравнение
нормативных значений ликвидности с теми значениями, которые получаются по
факту. При расхождении с нормой изучаются причины, вызвавшие такое расхождение.
Второй подход связан с формированием идеальной структуры
оборотных активов, которую наше предприятие хотело бы иметь.
1.2 Виды
оборотных активов предприятия
Имеется три вида оборотных активов: запасы, дебиторская
задолженность и денежные средства. Для производственного предприятия самую
главную роль играет определение доли абсолютно ликвидных оборотных активов,
которые будут обеспечивать его платежеспособность. Пусть такая доля будет равна
10 процентам.
Таблица 1 - Идеальная структура оборотных активов
|
Оборотный актив
|
Процентаж
|
Длительность, в
днях
|
|
Запасы
|
60 %
|
15
|
|
Дебиторская
задолженность
|
30 %
|
От 40 дней до 2
месяцев
|
|
Денежные
средства
|
10 %
|
5
|
Далее, любое производственное предприятие решает какая доля
оборотных активов будет приходится на запасы, т.к. предприятие создано для
переработки входящих товарно-материальных запасов и продвижения продукции до
потребителя. В России более ликвидным активом принимаются запасы, в то время
как в мире дебиторская задолженность. Пусть доля таких активов будет равна
более 50 %, и конкретно составлять 60 процентов. Соответственно, доля
дебиторской задолженности составляет 30 %.
Далее сформируем максимальные сроки по видам оборотных
активов. Пусть денежные средства будут находиться на счете, обеспечивая
платежеспособность в течение 5 дней. В легкой пищевой промышленности запасы
превращаются в готовую продукцию приблизительно в течении 15 дней [1, с.38].
Договор отсрочки платежа наше предприятие готово
предоставлять на срок не менее 40 дней и не более 2 месяцев, под влиянием
конкурентов. После этого мы находим идеальный срок оборота оборотных активов,
взвешивая доли на длительность. Далее сопоставляются идеальные значения с
реальными показателями.
Таким образом, данный пример является факторным анализом
ликвидности. Сначала составляется таблица идеальной структуры и скорости
оборота, а затем предприятие считает показатели по факту, обнаруживая две
причины снижения ликвидности: изменение структуры в пользу менее ликвидных
активов и замедление оборачиваемости отдельных их видов. На шестом этапе
рассматривается повышение рентабельности оборотных активов. Оборотные активы не
прибыльны по своему содержанию.
Единственным видом оборотных активов, который способен
приносить прибыль предприятию можно считать краткосрочные финансовые вложения.
Они приносят процентный доход, и по ним можно считать рентабельность. Для
нахождения рентабельности краткосрочных финансовых вложений необходимо найти
отношение процентов к получению на величину краткосрочных финансовых вложений
по балансу.
Также можно найти рентабельность каждого отдельно взятого
вида оборотных активов. Таким образом, повышение рентабельности заключается в
использовании временно свободного остатка денежных средств для формирования
портфеля краткосрочных финансовых вложений [12, с.24].
Седьмой этап заключается в минимизации потерь в процессе
управления. Данный этап предполагает оптимизацию затрат по обслуживанию
хранения запасов готовой продукции, их недостачи, потерь при транспортировке,
потерь от упущенной выгоды. То есть если потери от вложения в средств в запасы
больше чем сумма средств, которые могли бы быть получены от краткосрочного
финансового вложения, то речь идет именно о такой упущенной выгоде.
Дебиторская задолженность также обесценивается на инфляцию и
в связи с невозможностью пересчета цены после отгрузки продукции. Помимо всего
прочего, дебиторская задолженность обесценивается на величину финансовых
потерь, которые превращаются в безнадежные долги. Наконец, последний этап
заключается в формировании оптимальной структуры источников финансирования
оборотных активов. Опять же, здесь фигурирует консервативная модель,
агрессивная и компромиссная, плюс добавляется идеальная модель. "Модели
отличаются между собой соотношением "текущих активов" и их
источниками - "текущими обязательствами".
Принципиальная разница может быть также представлена в виде
следующей таблицы.
Таблица 2 - Модели финансирования оборотных активов
|
Модель
финансирования активов
|
Базовое
балансовое уравнение
|
|
Идеальная
модель
|
ДП = ВА
|
|
Консервативная
модель
|
ДП = ВА + СЧ +
ВЧ
|
|
Агрессивная
модель
|
ДП = ВА + СЧ
|
|
Компромиссная
модель
|
ДП = ВА + СЧ +
0,5ВЧ
|
Таким образом, нами были рассмотрены и проиллюстрированы
восемь этапов политики управления оборотными активами с целью оптимизации их
структуры и состава.
2. Анализ
эффективности использования оборотных средств предприятия на примере ОАО
"Байкалфарм"
2.1
Характеристика предприятия ОАО "Байкалфарм"
ОАО "БАЙКАЛФАРМ" основано в 1988 году. Главный офис
компании располагается по следующему адресу: ТД "Гермес",
Промышленная ул., 1с1, Офис 6, Чита, Забайкальский край, Россия, 672020.
Миссия компании: продавать только качественные продукты,
обеспечивать высокий сервис обслуживания, пропагандировать культуру потребления
качественных алкогольных напитков.
Цель компании: лидировать на региональном рынке алкоголя.
Морально-этические ценности:
безупречная репутация - неотъемлемая часть бизнеса;
чуткое отношение к клиенту и покупателю;
квалифицированный персонал - долгосрочное преимущество
компании.
За годы работы на алкогольном рынке, а это более 25 лет,
"Меркурий" зарекомендовал себя надежным и честным партнером. Были
налажены партнерские отношения с ведущими мировыми и российскими
производителями.
Основные направления деятельности: оптовая продажа
алкогольной продукции и логистика.
В компании работает более 200 человек. Для сотрудников
предусмотрен дополнительный социальный пакет: бесплатные обеды; программа брось
курить; физкультурно-оздоровительный комплекс; автомобиль или земельный участок
за рождение третьего ребенка; материальная поддержка семьям, воспитывающим
приемных детей из детских домов; беспроцентные ссуды сотрудникам; ежегодное
бесплатное медицинское обследование.
ОАО "БАЙКАЛФАРМ" имеет собственный тренинговый
центр, на территории которого специалисты компании могут проходить обучение,
аттестацию, участвовать в профессиональных тренингах, дегустациях, семинарах.
Торговля осуществляется с собственных складов, общая площадь
складских и офисных помещений более 15 000 квадратных метров. Работа в ОАО
"БАЙКАЛФАРМ" основывается на применении современных методов товарной
логистики, все складские операции автоматизированы.
Клиентская база ОАО "БАЙКАЛФАРМ" насчитывает более
2000 клиентов. Ассортимент компании более 3500 наименований продукции от
Российских и зарубежных производителей. Клиенты могут приобрести весь
необходимый ассортимент для успешной работы в сегментах HoReCa, розничной и оптовой
торговли.
В компании ОАО "БАЙКАЛФАРМ" действует линейная
структурная организация (рисунок 2).
Рисунок 2 - Примерная линейная организационная структура ОАО
"БАЙКАЛФАРМ"
Каждая служба и работники действуют на основании положений об
отделах и должностной инструкции работников, согласно которым определяются
место, роль в системе управления фирмой, основные задачи, обязанности, права,
ответственность за выполняемую работу.
Основные задачи служб и отделов коротко можно изложить в
следующем виде:
производственно-технический отдел - обеспечение поточной
организации работ, ритмичности и повышения эффективности работы организации;
отдел кадров - организация и контроль обеспечения рабочими
кадрами участков, изучение, подбор и размещение кадров инженерно-технических
работников и служащих;
бухгалтерия - обеспечение правильной постановки и
достоверности учета, контроль за сохранностью собственности, правильным
расходованием денежных средств и материальных ценностей, финансовых ресурсов;
ведущий экономист - организация и осуществление
планово-экономической работы фирмы, составление и анализ статистической
отчетности, ценообразование;
главный механик - обеспечение правильной технической
эксплуатации машин и оборудования, организация ремонта;
отдел снабжения - своевременное и комплексное обеспечение
материально-техническими ресурсами, контроль за качеством материалов.
Основным руководящий звеном является администрация фирмы, во
главе которой находится директор организации. В его непосредственном подчинении
находятся заместитель по административным и организационным вопросам и
персональный помощник. Связь с нижестоящими по иерархической лестнице
структурными подразделениями директор поддерживает через начальников отделов.
Штат компании в общей численности насчитывает более двухсот
работников из разных сфер деятельности согласно штатному расписанию предприятия
№18 от 1 января 2017 года. Из них около 30% являются женщинами, а остальные
- мужчинами (рисунок 3).
Рисунок 3 - Половозрастной состав сотрудников
Заработная плата на предприятия варьируется от 9,5 тыс.
рублей до 1,5 тыс. рублей в зависимости от тарифной ставки и количества штатных
единиц (рисунок 4). В среднем самой большой фактической заработной платой
является 10833 руб. по предприятию, тогда как самой наименьшей 2275 руб.
Рисунок 4 - Уровень средней заработной платы по
подразделениям ОАО "БАЙКАЛФАРМ" по состоянию на 1.01.2017
Всего на предприятии ОАО "БАЙКАЛФАРМ" имеется
шестнадцать отдельных структурных подразделений. Каждое из них выполняет свои
функции и обязанности. Наиболее важные из них: администрация, отдел кадров и
бухгалтерия. От работы эти трех структурных подразделений предприятия зависит
налаженность процесса функционирования компании в целом.
Итак, стоит заметить, что согласно бухгалтерскому балансу
(см. приложение А) предприятия ОАО "БАЙКАЛФАРМ" в среднем за три года
внеоборотные средства составляют лишь 25 часть оборотных. В основном
деятельность фирмы основана на перепродаже и поставках алкогольной продукции.
Постоянное движение же оборотных средств - это основная деятельность фирмы.
Значительную часть актива составляет дебиторская задолженность (почти 70% от
общей суммы). Следует обратить внимание и на возросшую сумму части материалов -
как было отмечено выше, ОАО "БАЙКАЛФАРМ" занимается строительством.
Входят в оборот и денежные эквиваленты, такие как переводы в пути или расчетные
счета организации. В целом баланс из года в год возрастает, особенно это
заметно в 2016 году по отношению к 2015 - увеличение происходит почти на 150
тыс. рублей.
Анализ отчетной документации позволит подробнее ознакомиться
с доходами и расходами организации и оценить ее финансовое положение.
Вертикальный анализ - это отношение сумм каждого показателя
за год к балансу. Из полученных путем расчета данных по формуле:

(8)
где А - это сумма показателя за отчетный период,
В - сумма баланса за отчетный период
можно составить аналогичную бухгалтерскому балансу таблицу, с
помощью которой удобно ориентироваться при анализе результатов.
Исследуя результат вычисления (см. Приложение В), показатели строк
вертикального анализа, можно сказать, что доля оборотных активов составляет 96%
в среднем за три года, тогда как внеоборотные средства - это лишь 4% всего
баланса, всего имущества организации. Похожая ситуация наблюдается и в пассиве
баланса.
На основную долю баланса приходится лишь 18% долгосрочных
обязательств, 20% собственных средств и в среднем 62% краткосрочных
обязательств. Это можно объяснить постоянной реализацией продукции, в ходе
которой обязательства погашаются ближе к концу месяца. В результате большого
объема работы и небольшого штата бухгалтеров все больше времени занимает
обработка данных и обратная связь с отделом бухгалтерии заказчиков. Задержки по
оплате во многом возникают и с дальними перевозками: ОАО "БАЙКАЛФАРМ"
поставляет свою продукцию в соседние города, иногда даже за границу. Проходит
много времени, прежде чем продукция достигает контрагента компании.
Последним и важным моментом является увеличение показателей
расходов будущих периодов и расходов на продажу. Это объясняется
непредвиденными обстоятельствами - потерей продукции в результате несчастного
случая или техногенной катастрофы. В предыдущий год компания ОАО
"БАЙКАЛФАРМ" понесла убытки от нескольких таких потерь своих
поставок, из-за чего пришлось восстанавливать данные и вновь отправлять товар
на поставку. Однако это никак не сказалось, в итоге, на деятельности
предприятия в целом. Это можно заметить, изучив отчет о финансовых результатах
предприятия (см. приложение Б), где выручка показала достойный рост на 30% в
среднем. Пропорционально увеличивается и себестоимость продаж, хоть и в более
медленном темпе. Значит, соответственно, чистая прибыль предприятия растет.
Так в результате анализа финансового состояния предприятия можно с
точностью сказать, что ОАО "БАЙКАЛФАРМ" находится в состоянии
медленного развития компании. Прочное положение в качестве лидера по реализации
алкогольной продукции и вырученные в процессе деятельности средства позволяет
фирме расширяться и создавать свои филиалы, тем самым привлекая новых клиентов
и пополняя базу контрагентов, обеспечивая населения новыми рабочими местами,
поставляя новую продукцию и развивая отрасль производства и реализации
алкогольной продукции.
2.2 Изучение
эффективности использования оборотных средств в ОАО "Байкалфарм"
Как уже было сказано ранее, в главе первой, активы - это
ресурсы, за счет которых предприятие осуществляет свою деятельность. Так как
компания "Меркурий" является одним из крупнейших поставщиков на рынке
алкогольной продукции, финансово-хозяйственная деятельность фирмы - отличное
поле для исследования по данной теме.
Самыми быстро реализуемыми являются денежные средства и
краткосрочные обязательства. Эти средства постоянно используются и находятся в
движении, что отражено в отчетной документации ОАО "БАЙКАЛФАРМ". Так
же наиболее ликвидными являются и предметы труда, которые обеспечивают полноту
деятельности предприятия и бесперебойное производство.
Чтобы понять, насколько эффективно используются эти средства,
необходимо в первую очередь рассчитать коэффициент оборачиваемости. Используя
данные за три года из информационной базы расчетов - отчетной документации,
сделаем следующие вычисления по формуле:
Ко (2014) равен 3,14 раз за 2014 год.
Если аналогично рассчитать еще два года, можно получить, что
Ко (2015) равен 3,4, а Ко (2016) равен в таком случае 4,03.
Определенного норматива для показателей оборачиваемости не
существует, поскольку они зависят от отраслевых особенностей организации
производства. В капиталоемких отраслях оборачиваемость активов будет ниже, чем
в торговле или сфере услуг [8, с.585].
Желательна более высокая оборачиваемость активов. Низкая
оборачиваемость может свидетельствовать о недостаточной эффективности использования
активов.
Рисунок 5 - Анализ значения коэффициента оборачиваемости
активов
Так, значение коэффициента оборачиваемости активов равное 3
показывает, что организация в течение года получает выручку втрое большую стоимости
своих активов (активы за год "оборачиваются" 3 раза). Чем больше
коэффициент оборачиваемости активов, тем интенсивней используют активы в
деятельности организации, тем выше деловая активность, быстрее оборачивается
капитал и больше прибыли приносит каждая единица (каждый рубль) актива
организации (рисунок 5).
Наблюдается увеличение коэффициента за три года почти на 1
единицу. Рост показателя оборачиваемости говорит об относительном высвобождении
оборотных активов, когда за счет ускорения оборачиваемости получают больший
объем продукции при прежней сумме оборотных средств.
Скорость оборота (То) (2) составляет 114,65 дней для 2014
года, 105,88 - для 20151 года, и 89,33 для 2016 года.
Предприятию для реализации оборотных активов необходимо
меньше дней, чем есть в финансовом году. Соответственно средства проходят все
уровни кругооборота все за меньший срок, таким образом, больший объем подлежит
реализации, идет приток прибыли. При этом средняя продолжительность одного
оборота в днях (3) составляет 0,32 за 2014 год, 0,29 - за 2015 год, 0,25 - за
2016 год.
,
Наблюдается так же тенденция уменьшения срока оборота
активов. Уменьшение этого значения из года в год говорит о применении
технологий ускорения оборачиваемости оборотных средств. Согласно предполагаемым
путям на предприятии ОАО "БАЙКАЛФАРМ" этому могут способствовать:
прямая связь поставщика и потребителя;
точное выполнение всех обязательств перед контрагентом;
ускорение процесса реализации, отгрузки товара;
развитие инфраструктуры;
расширение штаба фирмы;
механизация погрузочно-разгрузочных работ;
улучшение технологической и программной базы работников
фирмы.
Для того чтобы определить насколько эффективно используются
оборотные активы, позволяет ли их реализация погашать имеющиеся долги и не
беспокоиться о сомнительных задолженностях, необходимо рассчитать коэффициент
оборачиваемости дебиторской задолженности. Так значение Кодз составляет 6,11
для 2014 года, он равен 6,4 в 2015 году, и составляет 6,8 в 2016 году.
Оборачиваемость дебиторской задолженности измеряет скорость
погашения дебиторской задолженности организации, насколько быстро организация
получает оплату за проданные товары (работы, услуги) от своих покупателей.
Коэффициент оборачиваемости дебиторской задолженности
показывает, сколько раз за период (год) организация получила от покупателей
оплату в размере среднего остатка неоплаченной задолженности. Показатель
измеряет эффективность работы с покупателями в части взыскания дебиторской
задолженности, а также отражает политику организации в отношении продаж в
кредит. Чем выше коэффициент, т.е. чем быстрее покупатели погашают свою
задолженность, тем лучше для организации. При этом эффективная деятельность не
обязательно сопровождается высокой оборачиваемостью. Например, при продажах в
кредит остаток дебиторской задолженности будет высокий, а коэффициент ее
оборачиваемости соответственно низкий.
Кроме того, период погашения равен приблизительно 59, 56 и 53
дням соответственно.
Согласно этим расчетным данным дебиторская задолженность
постепенно наращивает скорость оборачиваемости, тем самым уменьшая этот период.
А доля сомнительной дебиторской задолженности составляет лишь 2% от общей суммы
к 2016 году при тенденции уменьшения этого показателя в среднем на 0,2% каждый
год.
Такое положение дел говорит о возможном риске в будущем
потери собственных средств на погашение сомнительной задолженности от
покупателей и заказчиков. Для этого необходимо знать, какова оборачиваемость
товарно-материальных запасов для предупреждения такого случая.
В ОАО "БАЙКАЛФАРМ" согласно данным отчетности за
три года оборачиваемость запасов составляет в среднем 8,4: 6,8 к 2014 году; 7,8
- к 2015; 10,6 - к 2016.
Снижение коэффициента оборачиваемости запасов может отражать
накопление избыточных запасов, неэффективное складское управление, накопление
непригодных к использованию материалов. Но и высокая оборачиваемость не всегда
выступает позитивным показателем, поскольку может говорить об истощении
складских запасов.
В данном случае приходится говорить о стремительном
увеличении этого показателя согласно данным отчетности ОАО
"БАЙКАЛФАРМ". Это может повлечь за собой перебои в производственном
процессе, замедление деятельности предприятия вследствие отсутствия
подготовленности предприятия к очередным торговым поставкам в определенные
сроки. В результате может уменьшиться деловая активность предприятия, это
означает потери в прибыли, сокращению штата сотрудников и другим негативным
последствиям.
При этом срок хранения запасов быстро уменьшается. По
состоянию на 2014 год этот показатель составляет приблизительно 53 дня, на 2015
- 46 дней, на 2016 - 34 дня.
Как было отмечено ранее, важное требование успешного ведения
экономики - рациональное использование оборотных средств. Деятельность
выбранного предприятия, ОАО "БАЙКАЛФАРМ", почти полностью строится на
реализации оборотных средств предприятия. Чтобы узнать, насколько выгодно идет
этот процесс для самой фирмы необходимо рассчитать экономию оборотных средств.
Таким образом, отталкиваясь от данных 2016 года, можно
определить, что на момент 2014 года Эо (экономия оборотных средств) при базовом
коэффициенте оборачиваемости равном 2,42 за 2015 год составляет:
На 2011 год этот показатель равен 211359,72 руб. А на 2012
год - 394044,55 руб.
Для обобщения итогов сведем все полученные данные в таблицу
(таблица 3).
Таблица 3 - Показатели оборачиваемости активов за период с
2014 г. по 2016 г.
|
Наименование
показателя
|
Значение
показателя
|
|
2014
|
2015
|
2016
|
|
Коэффициент
оборачиваемости оборотных средств
|
3,14
|
3,4
|
4,03
|
|
Скорость
оборота в днях
|
114,65
|
105,88
|
89,33
|
|
Продолжительность
одного оборота в днях
|
0,32
|
0,29
|
0,25
|
|
Коэффициент
оборачиваемости дебиторской задолженности
|
6,11
|
6,4
|
6,8
|
|
Коэффициент
оборачиваемости запасов
|
6,8
|
7,8
|
10,6
|
|
Срок хранения
запасов в днях
|
53
|
46
|
34
|
|
Экономия
оборотных средств, (руб.)
|
145009,86
|
211359,72
|
394044,55
|
Все коэффициенты находятся в рамках относительных норм. Так
как нормативных показателей для коэффициентов оборачиваемости нет, следует
прибегнуть так же к исследованию бухгалтерской отчетности организации. Выручка
ОАО "БАЙКАЛФАРМ" растет с каждым годом в среднем на 372 тыс. рублей.
В целом 2014 финансовый год стал не совсем удачным. Сумма выручки за этот год
упала почти на 20 тыс. рублей, а показатель чистой прибыли уменьшился на 295
тыс. рублей.
Тем не менее, начиная с этого года деятельность фирмы
приобрела положительный характер с ростом поставляемой продукции, поступаемых
платежей и налаживанием не только процессов реализации продукции, но и расширение
сферы деятельности предприятия в сторону строительства объекта в рамках
благотворительной акции. Единственной серьезной угрозой стабильности этих
процессов являются задолженности по оплатам поставленной продукции.
Так компания может потерять часть выручки и некоторых
клиентов. Чтобы этого не произошло, необходимо налаживать связи между торговыми
организациями, пополнять базу контрагентов надежными партнерами во избежание
разорения фирмы. Улучшение деятельности предприятия можно связать и со сменой
кадров, повышением квалификации многих сотрудников фирмы и успешным
менеджментов начальника отдела кадров организации.
В целом, можно сказать, что предприятие ОАО
"БАЙКАЛФАРМ" эффективно использует имеющиеся в наличии оборотные
средства, быстро развивается: улучшается с каждым годом процесс обслуживания
клиентов и процесс производства - в данном случае: поставки оптовой и розничной
продукции.
Заключение
Оборотные активы - это такие предметы и продукты труда,
которые участвуют в деятельности организации всего один раз, при этом сразу
видоизменяются, теряют свою форму, передают свою стоимость издержкам
производства и обращения, последовательно проходя стадии кругооборота. Каждая
организация имеет свои оборотные активы, за счет которых и получает наибольшую прибыль
для дальнейшего существования предприятия. Состояние оборотных средств
просматривается по бухгалтерскому балансу, а доходы от реализации продукции,
оказания работ или услуг отражены в отчете о финансовых результатах.
Эффективность использования оборотных средств характеризуется
следующими коэффициентами и показателями: коэффициент оборачиваемости оборотных
средств, скорость оборота в днях, продолжительность одного оборота в днях,
коэффициент оборачиваемости дебиторской задолженности, коэффициент оборачиваемости
запасов, срок хранения запасов в днях, экономия оборотных средств.
Подводя итоги можно отметить следующее. ОАО
"БАЙКАЛФАРМ" функционирует уже 26 лет с момента открытия в 1988 году
и осуществляет свою деятельность в области поставки, реализации оптом и в
розницу алкогольной продукции. В компании числятся в штате более 200 человек.
Фонд заработной платы составляет около 1554300 рублей. Руководит предприятием
генеральный директор, ему подчиняются непосредственно начальники подразделений;
насчитывается порядка шестнадцати структурных подразделений.
По результатам анализа бухгалтерской (финансовой) отчетности
организации можно сказать, что она эффективно использует в своей деятельности
оборотные средства без застаивания их на складах, уменьшая с каждым годом срок
оборачиваемости их, увеличивая сумму поступающей выручки. Коэффициент
оборачиваемости активов составляет почти 4 единицы при скорости оборота в 90
дней. Это можно подтвердить, рассматривая квартальную отчетность организации:
основные (крупные) поступления на счет фирмы происходят в конце каждого
квартала на ряду с большими поставками продукции контрагентам.
Экономия оборотных средств увеличилась за период с 2014 по
2016 год на 249034,69, то есть почти в три раза. Предприятию удается получить из
реализации продукции максимум прибыли, не вовлекая в этот процесс
дополнительные средства. Несбалансированными остаются платежи за товар:
коэффициент дебиторской задолженности увеличивается с каждым годом, и замер на
момент 2016 года на отметке почти в шесть единиц.
С одной стороны показатель говорит о высоком уровне
оборачиваемости задолженности, с другой стороны - полагаясь в основном на
платежи от заказчиков, компания приобретает риск потерять эти средства с
банкротством контрагента или по другим причинам; из-за этого возрастает так же
доля сомнительной задолженности, повышаются расходы.
Тем не менее, ОАО "БАЙКАЛФАРМ" продолжает свою
деятельность с надежными партнерами, улучшает скорость и качество
производственных процессов, организовывает работу и реализует эффективное
использование оборотных средств для достижения высоких результатов
производства, упрочнении своих позиций на рынке и в следствии увеличении
получаемой прибыли.
Список
использованной литературы
1.
Андреева С.Ю. Нормирование оборотных активов как средство управления оборотным
капиталом предприятия / С.Ю. Андреева, Т.В. Ялялиева // Экономический анализ:
теория и практика. - 2015. - № 9. - С.36-39
.
Боди З. Финансы / З. Боди, Р. Мертон. - М: ИНФРА-М, 2017. - 592 с.
.
Бороненко С.А. Финансовый анализ предприятий / С.А. Бороненко, Л.И. Маслова,
С.И. Крылов. - Екатеринбург: Изд. Урал. гос. университета, 2013. - 340 с.
.
Бочаров В.В. Корпоративные финансы / В.В. Бочаров, В.Е. Леонтьев. - СПб.:
Питер, 2014.
.
Ван Хорн, Дж.К. Основы управления финансами: Пер. с англ. / Я.В. Соколов. - М.:
Финансы и статистика, 2013. - 800 с.
.
Гиляровская, Л.Т. Экономический анализ: Учебник для вузов / Л.Т. Гиляровская. -
2-е изд., доп. - М.: ЮНИТИ-ДАНА, 2014. - 615 с.
.
Давыдова Л.В. Политика управления оборотным капиталом как часть общей
финансовой стратегии предприятия / Л.В. Давыдова, С.А. Ильминская // Финансы и
кредит. - 2016. - № 15. - С.5-11.
.
Китаев М.О. Оптимизация состава и структуры оборотных средств, методы повышения
эффективности их использования // Молодой ученый. - 2016. - № 9. - С.584-588.
.
Ковалев В.В. Финансовый анализ: Управление капиталом. Выбор инвестиций. Анализ
отчетности. - М.: Финансы и статистика, 2011. - 365 с.
.
Когденко В.Г. и др. Краткосрочная и долгосрочная финансовая политика. - М.,
2011. - 187 с.
.
Маркарьян Э.А. Финансовый анализ: учеб. пособие / Э.А. Маркарьян, Г.П.
Герасименко, С.Э. Маркарьян. - 5-е изд., перераб. - М.: КноРус, 2016. - 224 с.
.
Мездриков Ю.В. Анализ источников формирования оборотного капитала / Ю.В.
Мездриков // Экономический анализ: теория и практика. - 2017. - № 8. - C.24.
.
Николаева Т.П. Финансы предприятий / Т.П. Николаева. - М.: Московский
международный институт эконометрики, информатики, финансов и права, 2013. - 158
с.
.
Пещанская И.В. Кредит и оборотный капитал // Финансы. - 2013. - №2. - С. 20-22
.
Радионов А.Р. Как в условиях рыночной экономики следует нормировать на
предприятии оборотные средства: по всем балансовым статьям или только по их
части? / Радионов А.Р., Радионов Р.А. // Финансовый менеджмент. - 2014. - № 1.
- С.33-43.
.
Радионов Р.А. Анализ экономических механизмов, обеспечивающих ускорение
оборачиваемости оборотных средств, вложенных в запасы предприятия / Р.А.
Радионов // Экономический анализ: теория и практика. - 2015. - № 21. - С.43-48.
.
Сысоева Е.Ф. Структура капитала и финансовая устойчивость организации:
практический аспект / Е.Ф. Сысоева // Финансы и кредит. - 2017. - № 22. -
С.24-29.
.
Финансовый менеджмент: учебник / под ред. проф.Е.И. Шохина. - М.: КНОРУС, 2012.
- 564 с.
.
Финансы предприятий: учеб. для вузов / под ред. Н.В. Колчиной. - 2-е изд.,
перераб. и доп. - М.: ЮНИТИ-ДАНА, 2013. - 447 с.
.
Чалдаева Л.А. Управление оборотным капиталом в условиях транзитивной экономики
/ Л.А. Чалдаева // Финансы и кредит. - 2013. - № 17. - С.49-52.
.
Шмырева Е.А. Теоретические основы финансового механизма управления оборотными
средствами и их взаимосвязь с практикой // Вестник Академии. - 2013. - № 1. -
С.26-31.
Приложения
Бухгалтерский баланс ОАО "БАЙКАЛФАРМ"
|
Пояс-нения
|
Наименования
показателя
|
На 31 декабря
2016 г.
|
На 31 декабря
2015 г.
|
На 31 декабря
2014 г.
|
|
|
АКТИВ
|
|
|
|
|
|
I. ВНЕОБОРОТНЫЕ
АКТИВЫ
|
|
|
|
|
|
Нематериальные
активы
|
-
|
-
|
-
|
|
|
Результаты
исследований и разработок
|
-
|
-
|
-
|
|
|
Нематериальные
поисковые активы
|
-
|
-
|
-
|
|
|
Материальные
поисковые активы
|
-
|
-
|
-
|
|
|
Основные
средства
|
28533
|
22408
|
18208
|
|
|
в том числе:
Основные средства в организации
|
26098
|
21329
|
17648
|
|
|
Оборудование к
установке
|
-
|
1079
|
560
|
|
|
Строительство
объектов основных средств
|
2435
|
-
|
-
|
|
|
Доходные
вложения в материальные ценности
|
-
|
-
|
-
|
|
|
Финансовые
вложения
|
-
|
-
|
-
|
|
|
Отложенные
налоговые активы
|
-
|
-
|
-
|
|
|
Прочие
внеоборотные активы
|
-
|
-
|
-
|
|
|
Итого по
разделу I
|
22408
|
18208
|
|
|
II. ОБОРОТНЫЕ
АКТИВЫ
|
|
|
|
|
|
Запасы
|
203883
|
214325
|
211676
|
|
|
в том числе:
Материалы
|
307
|
129
|
195
|
|
Товары
|
200942
|
213440
|
210702
|
|
Расходы на
продажу
|
2634
|
756
|
779
|
|
Налог на
добавленную стоимость по приобретенным ценностям
|
-
|
10312
|
-
|
|
в том числе:
НДС по приобретенным материально-производственным запасам
|
|
10312
|
|
|
Дебиторская
задолженность
|
430253
|
272577
|
282300
|
|
в том числе:
Расчеты с поставщиками и подрядчиками
|
8820
|
6071
|
-
|
|
Расчеты с
покупателями и заказчиками
|
421433
|
266506
|
266946
|
|
Финансовые
вложения (за исключением денежных эквивалентов)
|
-
|
-
|
-
|
|
Денежные
средства и денежные эквиваленты
|
28102
|
23730
|
29837
|
|
в том числе:
Касса организации
|
5000
|
5000
|
4000
|
|
Расчетные счета
|
19562
|
-
|
-
|
|
Переводы в пути
|
3540
|
-
|
-
|
|
Прочие
оборотные активы
|
619
|
892
|
979
|
|
в том числе:
Расходы будущих периодов
|
619
|
-
|
-
|
|
Итого по
разделу II
|
662857
|
521836
|
524792
|
|
БАЛАНС
|
691390
|
544244
|
543000
|
|
ПАССИВ
|
|
|
|
|
|
III. КАПИТАЛ И
РЕЗЕРВЫ
|
|
|
|
|
|
Уставный
капитал (складочный капитал, уставный фонд, вклады товарищей)
|
10040
|
10040
|
10040
|
|
|
Собственные
акции, выкупленные у акционеров
|
-
|
-
|
-
|
|
|
Переоценка
внеоборотных активов
|
-
|
-
|
-
|
|
|
Добавочный
капитал (без переоценки)
|
-
|
-
|
-
|
|
|
Резервный
капитал
|
-
|
-
|
-
|
|
|
Нераспределенная
прибыль (непокрытый убыток)
|
101102
|
99869
|
99038
|
|
|
Итого по
разделу III
|
111142
|
109909
|
109078
|
|
|
IV.
ДОЛГОСРОЧНЫЕ ОБЯЗАТЕЛЬСТВА
|
|
|
|
|
|
Заемные
средства
|
-
|
90000
|
96735
|
|
|
в том числе:
Долгосрочные кредиты
|
-
|
90000
|
96735
|
|
|
Отложенные
налоговые обязательства
|
-
|
-
|
-
|
|
|
Оценочные
обязательства
|
-
|
-
|
-
|
|
|
Прочие
обязательства
|
-
|
-
|
-
|
|
|
Итого по
разделу IV
|
-
|
90000
|
96735
|
|
|
V.
КРАТКОСРОЧНЫЕ ОБЯЗАТЕЛЬСТВА
|
|
|
|
|
|
Заемные
средства
|
167997
|
-
|
-
|
|
|
в том числе:
Краткосрочные кредиты
|
167997
|
-
|
-
|
|
|
Кредиторская
задолженность
|
412251
|
344335
|
337187
|
|
|
в том числе:
Расчеты с поставщиками и подрядчиками
|
388009
|
338390
|
297000
|
|
|
Расчеты с
покупателями и заказчиками
|
1446
|
4096
|
-
|
|
|
Расчеты по
налогам и сборам
|
856
|
357
|
704
|
|
|
Расчеты по
социальному страхованию и обеспечению
|
347
|
843
|
210
|
|
|
Расчеты с
персоналом по оплате труда
|
659
|
649
|
483
|
|
|
Расчеты с
подотчетными лицами
|
-
|
-
|
-
|
|
|
Расчеты с
разными дебиторами и кредиторами
|
20934
|
-
|
38789
|
|
|
Доходы будущих
периодов
|
-
|
-
|
-
|
|
|
Оценочные
обязательства
|
-
|
-
|
-
|
|
|
Прочие
обязательства
|
-
|
-
|
-
|
|
|
Итого по
разделу V
|
580248
|
344335
|
337187
|
|
|
БАЛАНС
|
691390
|
544244
|
543000
|
|
|
|
|
|
|
|
|
|
|
|
|
|
|
Отчет о прибылях и убытках ОАО
"БАЙКАЛФАРМ"
|
Поясне-ния
|
Наименование
показателя
|
За Январь -
Декабрь 2016 г.
|
За Январь -
Декабрь 2015 г.
|
|
Выручка
|
2386931
|
1774559
|
|
Себестоимость
продаж
|
(
|
2213596
|
)
|
(
|
1659900
|
)
|
|
Валовая прибыль
(убыток)
|
173335
|
114659
|
|
Коммерческие
расходы
|
(
|
147137
|
)
|
(
|
113500
|
)
|
|
Управленческие
расходы
|
(
|
-
|
)
|
(
|
-
|
)
|
|
Прибыль
(убыток) от продаж
|
26198
|
1159
|
|
Доходы от
участия в других организациях
|
-
|
-
|
|
Проценты к
получению
|
4
|
-
|
|
Проценты к
уплате
|
(
|
4981
|
)
|
(
|
-
|
)
|
|
Прочие доходы
|
40331
|
35614
|
|
Прочие расходы
|
(
|
60000
|
)
|
(
|
35351
|
)
|
|
Прибыль
(убыток) до налогообложения
|
1552
|
1422
|
|
Текущий налог
на прибыль
|
(
|
310
|
)
|
(
|
284
|
)
|
|
в т. ч.
постоянные налоговые обязательства (активы)
|
-
|
-
|
|
Изменение
отложенных налоговых обязательств
|
-
|
-
|
|
Изменение
отложенных налоговых активов
|
-
|
-
|
|
Прочее
|
-
|
-
|
|
Чистая прибыль
(убыток)
|
|
|
|
СПРАВОЧНО
|
|
|
|
Результат от
переоценки внеоборотных активов, не включаемый в чистую прибыль (убыток)
периода
|
-
|
-
|
|
Результат от
прочих операций, не включаемый в чистую прибыль (убыток) периода
|
-
|
-
|
|
Совокупный
финансовый результат периода
|
1242
|
1138
|
|
Базовая прибыль
(убыток) на акцию
|
-
|
-
|
|
Разводненная
прибыль (убыток) на акцию
|
-
|
-
|
Вертикальный анализ на основе данных бухгалтерского баланса
ОАО "БАЙКАЛФАРМ"
|
Пояс-нения
|
Наименования
показателя
|
На 31 декабря
2016 г.
|
На 31 декабря
2015 г.
|
На 31 декабря
2014 г.
|
|
АКТИВ
|
|
|
|
|
I. ВНЕОБОРОТНЫЕ
АКТИВЫ
|
|
|
|
|
Нематериальные
активы
|
-
|
-
|
-
|
|
Результаты
исследований и разработок
|
-
|
-
|
-
|
|
Нематериальные
поисковые активы
|
-
|
-
|
-
|
|
Материальные
поисковые активы
|
-
|
-
|
-
|
|
Основные
средства
|
4,13
|
4,12
|
3,35
|
|
в том числе:
Основные средства в организации
|
3,77
|
3,92
|
3,25
|
|
Оборудование к
установке
|
-
|
0, 19
|
0,1
|
|
Строительство
объектов основных средств
|
0,35
|
-
|
-
|
|
Доходные
вложения в материальные ценности
|
-
|
-
|
-
|
|
Финансовые
вложения
|
-
|
-
|
-
|
|
Отложенные
налоговые активы
|
-
|
-
|
-
|
|
Прочие
внеоборотные активы
|
-
|
-
|
-
|
|
Итого по
разделу I
|
4,13
|
4,12
|
3,35
|
|
II. ОБОРОТНЫЕ
АКТИВЫ
|
|
|
|
|
Запасы
|
30,99
|
39,98
|
|
в том числе:
Материалы
|
0,04
|
0,02
|
0,04
|
|
Товары
|
29,06
|
30,87
|
38,8
|
|
Расходы на
продажу
|
0,38
|
0,14
|
0,14
|
|
Налог на
добавленную стоимость по приобретенным ценностям
|
-
|
1,49
|
-
|
|
в том числе:
НДС по приобретенным материально-производственным запасам
|
|
1,49
|
|
|
Дебиторская
задолженность
|
62,23
|
50,08
|
54,99
|
|
в том числе:
Расчеты с поставщиками и подрядчиками
|
1,28
|
1,12
|
-
|
|
Расчеты с
покупателями и заказчиками
|
60,95
|
48,97
|
46,16
|
|
|
Финансовые
вложения (за исключением денежных эквивалентов)
|
-
|
-
|
-
|
|
Денежные
средства и денежные эквиваленты
|
4,06
|
4,36
|
5,49
|
|
в том числе:
Касса организации
|
0,72
|
0,92
|
0,74
|
|
Расчетные счета
|
2,83
|
-
|
-
|
|
Переводы в пути
|
0,51
|
-
|
-
|
|
Прочие
оборотные активы
|
0,09
|
0,16
|
0,18
|
|
в том числе:
Расходы будущих периодов
|
0,09
|
-
|
-
|
|
Итого по
разделу II
|
95,87
|
95,88
|
96,65
|
|
БАЛАНС
|
100
|
100
|
100
|
|
ПАССИВ
|
|
|
|
|
|
III. КАПИТАЛ И
РЕЗЕРВЫ
|
|
|
|
|
|
Уставный
капитал (складочный капитал, уставный фонд, вклады товарищей)
|
1,45
|
1,84
|
1,85
|
|
|
Собственные
акции, выкупленные у акционеров
|
-
|
-
|
-
|
|
|
Переоценка внеоборотных
активов
|
-
|
-
|
-
|
|
|
Добавочный
капитал (без переоценки)
|
-
|
-
|
-
|
|
|
Резервный
капитал
|
-
|
-
|
-
|
|
|
Нераспределенная
прибыль (непокрытый убыток)
|
14,62
|
18,35
|
18,24
|
|
|
Итого по
разделу III
|
16,07
|
20, 19
|
20,29
|
|
|
IV.
ДОЛГОСРОЧНЫЕ ОБЯЗАТЕЛЬСТВА
|
|
|
|
|
|
Заемные средства
|
-
|
16,54
|
17,81
|
|
|
в том числе:
Долгосрочные кредиты
|
-
|
16,54
|
17,81
|
|
|
Отложенные
налоговые обязательства
|
-
|
-
|
-
|
|
|
Оценочные
обязательства
|
-
|
-
|
-
|
|
|
Прочие
обязательства
|
-
|
-
|
-
|
|
|
Итого по
разделу IV
|
-
|
16,54
|
17,81
|
|
|
V.
КРАТКОСРОЧНЫЕ ОБЯЗАТЕЛЬСТВА
|
|
|
|
|
|
Заемные средства
|
24,29
|
-
|
-
|
|
|
в том числе:
Краткосрочные кредиты
|
24,29
|
-
|
-
|
|
|
Кредиторская
задолженность
|
59,63
|
63,27
|
62,09
|
|
|
в том числе:
Расчеты с поставщиками и подрядчиками
|
56,12
|
62,18
|
54,69
|
|
|
Расчеты с
покупателями и заказчиками
|
0,21
|
0,75
|
-
|
|
|
Расчеты по
налогам и сборам
|
0,12
|
0,06
|
0,13
|
|
|
Расчеты по
социальному страхованию и обеспечению
|
0,05
|
0,15
|
0,04
|
|
|
Расчеты с
персоналом по оплате труда
|
0,09
|
0,12
|
0,09
|
|
|
Расчеты с
подотчетными лицами
|
-
|
-
|
-
|
|
|
Расчеты с
разными дебиторами и кредиторами
|
3,02
|
-
|
7,14
|
|
|
Доходы будущих
периодов
|
-
|
-
|
-
|
|
|
Оценочные
обязательства
|
-
|
-
|
-
|
|
|
Прочие
обязательства
|
-
|
-
|
-
|
|
|
Итого по
разделу V
|
83,92
|
63,27
|
62,09
|
|
|
БАЛАНС
|
100
|
100
|
100
|
|
|
|
|
|
|
|
|
|
Горизонтальный анализ на основе данных бухгалтерского баланса
ОАО "БАЙКАЛФАРМ"
|
Поясне-ния
|
Наименование
показателя
|
На 31 декабря
2016 г.
|
На 31 декабря
2015 г.
|
На 31 декабря
2014 г.
|
|
АКТИВ
|
|
|
|
|
I. ВНЕОБОРОТНЫЕ
АКТИВЫ
|
|
|
|
|
Нематериальные
активы
|
-
|
-
|
-
|
|
Результаты
исследований и разработок
|
-
|
-
|
-
|
|
Нематериальные
поисковые активы
|
-
|
-
|
-
|
|
Материальные
поисковые активы
|
-
|
-
|
-
|
|
Основные
средства
|
63,81
|
81,25
|
|
|
в том числе:
Основные средства в организации
|
67,62
|
82,74
|
|
|
Оборудование к
установке
|
-
|
51,90
|
|
|
Строительство
объектов основных средств
|
|
-
|
-
|
|
Доходные
вложения в материальные ценности
|
-
|
-
|
-
|
|
Финансовые
вложения
|
-
|
-
|
-
|
|
Отложенные
налоговые активы
|
-
|
-
|
-
|
|
Прочие
внеоборотные активы
|
-
|
-
|
-
|
|
Итого по
разделу I
|
63,81
|
81,25
|
|
|
II. ОБОРОТНЫЕ
АКТИВЫ
|
|
|
|
|
Запасы
|
103,82
|
98,76
|
|
|
в том числе:
Материалы
|
63,52
|
151,16
|
|
|
Товары
|
104,86
|
98,72
|
|
|
Расходы на
продажу
|
29,57
|
103,04
|
|
|
Налог на
добавленную стоимость по приобретенным ценностям
|
100
|
|
-
|
|
в том числе:
НДС по приобретенным материально-производственным запасам
|
100
|
|
|
|
Дебиторская
задолженность
|
65,61
|
103,57
|
|
|
в том числе:
Расчеты с поставщиками и подрядчиками
|
68,89
|
|
-
|
|
Расчеты с покупателями
и заказчиками
|
63,34
|
100,17
|
|
|
Финансовые
вложения (за исключением денежных эквивалентов)
|
-
|
-
|
-
|
|
Денежные
средства и денежные эквиваленты
|
106,17
|
125,74
|
|
|
в том числе:
Касса организации
|
80
|
80
|
|
|
Расчетные счета
|
|
-
|
-
|
|
Переводы в пути
|
|
-
|
-
|
|
Прочие
оборотные активы
|
158,16
|
109,75
|
|
|
в том числе:
Расходы будущих периодов
|
|
-
|
-
|
|
Итого по
разделу II
|
79,17
|
100,57
|
|
|
БАЛАНС
|
78,54
|
99,77
|
|
|
ПАССИВ
|
|
|
|
|
|
III. КАПИТАЛ И
РЕЗЕРВЫ
|
|
|
|
|
|
Уставный
капитал (складочный капитал, уставный фонд, вклады товарищей)
|
100
|
100
|
|
|
|
Собственные
акции, выкупленные у акционеров
|
-
|
-
|
-
|
|
|
Переоценка
внеоборотных активов
|
-
|
-
|
-
|
|
|
Добавочный
капитал (без переоценки)
|
-
|
-
|
-
|
|
|
Резервный
капитал
|
-
|
-
|
-
|
|
|
Нераспределенная
прибыль (непокрытый убыток)
|
97,96
|
99,17
|
|
|
|
Итого по
разделу III
|
98,14
|
99,24
|
|
|
|
IV.
ДОЛГОСРОЧНЫЕ ОБЯЗАТЕЛЬСТВА
|
|
|
|
|
|
Заемные
средства
|
|
107,48
|
|
|
|
в том числе:
Долгосрочные кредиты
|
|
107,48
|
|
|
|
Отложенные
налоговые обязательства
|
-
|
-
|
-
|
|
|
Оценочные
обязательства
|
-
|
-
|
-
|
|
|
Прочие
обязательства
|
-
|
-
|
-
|
|
|
Итого по
разделу IV
|
-
|
107,48
|
|
|
|
V.
КРАТКОСРОЧНЫЕ ОБЯЗАТЕЛЬСТВА
|
|
|
|
|
|
Заемные
средства
|
|
-
|
-
|
|
-
|
-
|
|
|
Кредиторская
задолженность
|
81,79
|
97,92
|
|
|
|
в том числе:
Расчеты с поставщиками и подрядчиками
|
76,54
|
87,77
|
|
|
|
Расчеты с
покупателями и заказчиками
|
283,26
|
|
-
|
|
|
Расчеты по
налогам и сборам
|
82,24
|
197, 20
|
|
|
|
Расчеты по
социальному страхованию и обеспечению
|
60,52
|
24,91
|
|
|
|
Расчеты с
персоналом по оплате труда
|
73,29
|
74,42
|
|
|
|
Расчеты с
подотчетными лицами
|
-
|
-
|
-
|
|
|
Расчеты с
разными дебиторами и кредиторами
|
185,29
|
-
|
|
|
|
Доходы будущих
периодов
|
-
|
-
|
-
|
|
|
Оценочные
обязательства
|
-
|
-
|
-
|
|
|
Прочие
обязательства
|
-
|
-
|
-
|
|
|
Итого по
разделу V
|
58,11
|
97,92
|
|
|
|
БАЛАНС
|
78,54
|
99,77
|
|
|
|
|
|
|
|
|
|