Анализ работы банка с проблемными кредитами в ПАО 'Сбербанк России'
Оглавление
банк проблемный кредит операция
Введение
1. Теоретические основы работы банка
с проблемными кредитами
1.1 Понятие и сущность работы банка
с проблемными кредитами
1.2 Системы и функции управления
проблемными кредитами
1.3 Основные методы управления
проблемными кредитами в современных условиях
2. Анализ работы банка с проблемными
кредитами в «ПАО Сбербанк России»
2.1 Общая характеристика
деятельности коммерческого банка
2.2 Оценка текущих кредитных
операций банка
2.3 Анализ работы банка с проблемными
кредитами
2.4 Мероприятия по улучшению работ
банка с проблемными кредитами ПАО «Сбербанк России»
Заключение
Список используемых источников
Приложения
Введение
Актуальность данной темы
связана с тем, что в настоящее время проблемные кредиты становятся популярным
явлением. Это связано с популяризацией стратегии выдачи кредитов населению,
юридическим лицам.
Рост проблемной задолженности
перед банками является на настоящий момент одним из наиболее обсуждаемых в
банковском сообществе вопросов. Актуальность данного вопроса в ближайшем
будущем будет расти и останется одной из наиболее важных банковских тематик еще
как минимум в течение нескольких лет.
К сожалению, до сих пор не
выработан оптимальный механизм решения проблемы просроченной задолженности
перед банками, нет ответа на многие вопросы, связанные с управлением
проблемными активами. Каждый банк выбирает для себя пути работы с проблемными
долгами самостоятельно в соответствии с его структурой, практикой
взаимодействия служб банка, объемом и спецификой кредитного портфеля, степенью
его «проблемности».
Уровень просрочки - основной
показатель качества кредитного портфеля и показатель надежности кредитной
организации. Размер просроченной задолженности влияет на прибыль, резервы и
капитал. В целом по банковской системе этот показатель свидетельствует о
состоянии заемщиков и экономики в целом.
Успешное решение проблемы
оптимизации соотношения «прибыльность - риск» при осуществлении кредитных
операций банка во многом определяется применением эффективного кредитного
механизма. Однако любое кредитование связано с определенным риском, тем более в
условиях развивающейся рыночной экономики. Когда, на любом этапе может
возникнуть риск.
Таким образом, процесс
управления проблемными кредитами в работе коммерческого банка, весьма актуален.
Целью выпускной
квалификационной работы является рассмотреть теоретические и практические
аспекты управления проблемными кредитами ПАО «Сбербанк России» и разработать
рекомендации по ее оптимизации.
Указанная цель выпускной
квалификационной работы обусловила необходимость постановки и решения следующих
задач:
- изложить теоретические основы
работы банка с проблемными кредитами;
- провести анализ работы банка
с проблемными кредитами в «ПАО Сбербанк России;
- разработать мероприятия по
улучшению работ банка с проблемными кредитами ПАО «Сбербанк России»
Объект исследования - ПАО
«Сбербанк России».
Предмет исследования -
организация управления проблемными кредитами в банке.
Теоретической и
методологической основой исследования служат труды отечественных и зарубежных
ученых-аналитиков, работающих в области банковского кредитования и управления
кредитными рисками, таких как: Лаврушина О.И., Валенцевой Н.И., Жукова Е.Ф.,
Львова Ю.И., Селищева А.С. и др., а также материалы из периодических изданий,
справочная и нормативная литература по рассматриваемой проблематике, отчетность
объекта исследования.
В выпускной квалификационной
работе применялись общенаучные методы - индукция и дедукция, классификации,
статистический и графический анализы, системный анализ.
Выпускная квалификационная
работа выполнена на 68 страницах, включает две главы, 7 разделов, содержит 11
таблиц, 7 рисунков и приложения.
1. Теоретические основы работы банка с
проблемными кредитами
1.1 Понятие и сущность работы банка с проблемными
кредитами
Изучение существующих в науке и практике
подходов, используемых при определении проблемной задолженности, показало
отсутствие единых общепризнанных критериев отнесения кредитов к числу
проблемных.
Традиционно считается, что проблемные кредиты
являются следствием ухудшения финансового состояния заемщиков. При этом к
проблемным кредитам банки обычно относят займы, по которым уже просрочены
платежи [11, с. 145].
Проблемные кредиты - это так называемые
нестандартные, сомнительные и безнадежные ссуды, т.е. все, кроме текущих ссуд,
определяемых как ссуды непросроченные (независимо от обеспечения), а также
ссуды, имеющие весьма кратковременную просроченную задолженность (до 5 дней
включительно) по основному долгу и выплате ссудных процентов, а также лишь
однажды переоформленные без изменений условий кредитного соглашения.
Между тем просроченный кредит нельзя назвать
проблемным в подлинном его значении, ибо кратковременный невозврат в целом ряде
случаев не может свидетельствовать о подлинной опасности невозвращения ссуды.
Верно, однако, и то, что отсутствие просроченного платежа по погашению ссуды не
является гарантией ее надежности, непросроченная в данный момент ссуда может в
будущем перейти в разряд безнадежных долгов [11, с. 147].
Тем не менее, нарушение принципов кредитования -
это серьезный сигнал для банка, определенная загадка, которую ему следует
решить в ходе организации процесса кредитования.
Проблемный кредит - это такой кредит, по
которому у банка возникли сомнения в отношении его субъекта, объекта и
обеспечения.
Потери от проблемных кредитов выражаются не
только в прямых убытках от невозврата ссуд и неуплаты ссудных процентов. Ущерб,
связанный с проблемными кредитами, может быть более ощутим, если учесть, что их
возникновение:
- «замораживает» средства банка в непродуктивных
активах;
- приводит к подрыву репутации кредитного
учреждения, доверия вкладчиков и инвесторов;
- увеличивает административные расходы банка,
ибо на практике требует особого внимания и дополнительного контроля со стороны кредитных
подразделений;
- повышает угрозу оттока из банка
квалифицированных кадров вследствие снижения их материального стимулирования
из-за падения прибыльности кредитных операций [8, с. 47].
Факторы образования проблемных кредитов.
Разумеется, о проблемных кредитах следует говорить лишь в отношении уже
выданных ссуд. Причины их образования могут быть самыми разнообразными.
Некоторые из них могут быть связаны с работой клиента, другие - с деятельностью
банка; часть факторов может носить объективный характер, часть - зависеть от
субъекта.
Факторы проблемных кредитов, от заемщика,
чаще связаны с плохим предприятием. Неэффективность заемщика может также
вызвана ухудшением качества его продукции, вытеснением ее с рынка, слабым
контролем предприятия за финансами и, как следствие, рост дебиторской
задолженности, накладных расходов и т.п. [7, с. 247].
К факторам образования кредитов,
не зависящих от чаще всего непредвиденные политические и события, изменение
общее ухудшение ситуации, невозможность перестройки производства в связи с определенным
прорывом, стихийные и т.д.
Отразим признаки проблемности
кредитов заемщика на рисунке 1.
Рисунок 1 Признаки проблемности
кредитов заемщика
Причины, связанные с банка, также
К не зависящим от банка следует также резкое ухудшение ситуации, когда банковских
ссуд общим явлением. неблагоприятное воздействие на могут оказать бедствия
и т.д. [5, с. ].
Причины, от банка, связаны с нарушениями
кредитного Это может
- предоставление не на основе экономического
а исходя из дружеских к заемщику;
- непрофессиональный анализ заявки;
- структурирование кредита с риска
как поверхностного представления о отраслевых особенностях его подлинных
- недостаток обеспечения например,
вследствие оценки залога;
- документальное оформление например
отсутствие в договоре оговорок защищающих интересы
- слабый контроль за заемщика
в период ссудой и др. [7, с. 147].
Все и другие причины, или иначе,
к нарушению процесса подрывают устойчивость, заемщика, так и Разумеется, последствия
не сразу. «Вызревая», подают сигналы отрицательного воздействия на капитала.
Это быть сигналы, финансовое состояние его производственную организацию кредитования,
о:
- наличии просроченной по платежам
в бюджет; спросе на готовую предприятия-заемщика;
- сроков представления в финансовых
и первичных
- серьезных в бухгалтерском учете;
- отклонении фактических хозяйственно-финансовой
деятельности от плановых;
- невыполнении более на 5% плана
по реализации
- качестве обеспечения
- выручки от продажи фондов производственного
в качестве разового возврата кредита;
- недостатке капитала заемщика;
- кратковременных задержках кредита
и платы за использование;
- просьбах о пролонгации
Банк также обратить внимание на явления
в финансово-хозяйственной заемщика, как:
- увеличение дебиторской
- замедление товарно-материальных
ценностей;
- удельного веса активов;
- возникновение от операционной
деятельности;
- систематическое превышение линии;
- слабая круга поставщиков и
В зарубежной выделяют ряд которые
используются оценки возможного заемщика. Применительно к специфике предпринимательства
использовать следующую систему показателей с. 241].
В первую входят показатели, свидетельствуют
о возможных в будущем серьезных затруднениях заемщика, его к банкротству. них:
- повторяющиеся потери в основной
деятельности;
- превышение некоторого уровня
просроченной задолженности;
- использование краткосрочных средств
в качестве финансирования долгосрочных
- устойчиво низкие коэффициентов
ликвидности;
- нехватка оборотных
- устойчиво увеличивающаяся до
пределов доля средств в общей источников средств;
- ухудшение с учреждениями банковской
- использование новых источников
ресурсов на относительно условиях;
- применение в производственном
оборудования с истекшими эксплуатации;
- потери долгосрочных
- неблагоприятные в портфеле заказов
[6, с. 217].
Ко второй показателей относят неблагоприятные
значения можно рассматривать критические. Вместе с эти показатели что при условиях
или непринятии действенных положение заемщика резко ухудшиться. K таких показателей
отнести:
- ключевых сотрудников управления;
- вынужденную а также нарушения
технологического процесса;
- недостаточную деятельности предприятия,
чрезмерную зависимость результатов от какого-то конкретного проекта, оборудования,
вида и др.;
- излишнюю ставку на успешность
и прибыльность проекта;
- участие предприятия в разбирательствах
с непредсказуемым
- потерю ключевых
- недооценку и технологического
обновления
- неэффективные соглашения;
- политический связанный с предприятием
в или его подразделениями;
- ухудшение активов.
Превентивные банков. Своевременное
на сигналы раннего зарождающихся финансовых позволяет банку превентивные меры
к ситуации и защите банка. Эти необходимо принять можно раньше, чем ситуация
из-под контроля и станут неизбежными с. 87].
Что же должен банк, заметив раннего
проявления ситуации?
всего, работники должны произвести
глубокий анализ выявить конкретные которые привели к положения. Важно этом выяснить
ссудополучателя: хочет ли он долги, можно ли доверять, способен ли он статус-кво,
добившись прибыли? Вне от того, решил ли сохранить свои с заемщиком или в отказаться
от них, целесообразно разработать план дальнейших При этом
- выяснить, насколько причины,
которые к ухудшению ситуации;
- занести данный в лист особого
- с руководством предприятия, план
дальнейших
- при снизить кредитный заемщика,
прекратить платы за кредит в банка, увеличить в резервные фонды;
- с учетом результатов в случае необходимости
условия кредитной (пересмотреть размеры линии вплоть до ее использовать дополнительный
повысить ссудный и т.д.);
- вновь оценить всех форм возвратности
кредита помимо залога, поручительств, векселей и т.д
- усилить внимание к расчетного
счета
- программу изменения задолженности
(при произвести отсрочку кредита) [7, с. 3
Меры по кредита. Если кредит не поддается
нормализации, целесообразными мероприятия, в своем получившие название (спасения)
кредита [7, с. 36].
К мерам по реабилитации относят:
1. Привлечение дополнительных обеспечения
возвратности
- дополнительных гарантий и
- дополнительного обеспечения;
- продажа обеспечения;
- продажа части предотвращение
вложения в малорентабельные активы;
- получение правительственных (получение
средств для погашения и уплаты ссудного
2. Привлечение капиталов и финансовой
- поиск новых желающих и способных
в данное предприятие ресурсы;
- нового капитала с договора простого
- собственного капитал за счет
его дочерних предприятий;
- организация финансовой со стороны
других и банковских учреждений;
- предприятия третьей
3. Организационно-административные
меры:
- обсуждение с акционерами вопроса
о руководителях предприятия, новой команды
- заключение мирового с заемщиком
(во судебного взыскания задолженности);
реабилитация кредита не предотвратить
угрозу кредита, целесообразным
- принятие мер, в том официальное
обращение к поручителям о выполнении своих обязательств;
- залога;
- продажа кредита;
- оформление (иск о банкротстве
Работа банка с кредитами довольно
на практике организуется в отделе по управлению ссудами.
Важно, чтобы работа носила характер.
Как отмечалось, переход ссуд в разряд кредитов связан с организацией кредитного
на различных стадиях. может быть следствием плохого так и завышения залога.
Потенциально могут быть как в силу концентрации рисков в портфеле, непрофессионального
кредитной документации, и в силу неумения контролировать и аудировать процесс.
Эффективность с проблемными кредитами во определяется квалификацией персонала,
качеством и методического обеспечения, банка оперативно на сигналы об ухудшающихся
вложениях [19, с.
1.2 и функции управления
проблемными
банк, являясь звеном хозяйствующих
в экономике, перераспределяет потоки. Однако банком встает по оптимизации получаемых
в условиях неопределенности рисков, связанных с деятельностью.
Основной доходной следовательно, и наиболее
является кредитование. В этой системы различных видов отношений зависит от предпринимаемых
его и состояния внешней (параметров конъюнктуры рынка). Поведение обуславливает
зависимость от конъюнктуры кредитного и управления - целенаправленного осуществляемого
банком выбранный механизм и управления кредитными В качестве управляющих могут
выступать параметры управляемой системы: процентные объемы размещаемых в ресурсов,
их структура, погашения, другие [12, с. 247].
Отметим, что в управления выделяются
основные функции планирование, организация, оценка и контроль. общие функции
системой управления на этапах и фазах цикла кредитного Задача управления договорами
включает в задачу планирования формирования финансовых договоров, решаемую
до его реализации и непосредственного управления, в решения которой управляющие
воздействия в реализации договорных На этапе формирования договора менеджер
на основе модели решений определяет плановые значения договора в виде будущих
значений параметров договора. на основании информации о конъюнктуры финансового
менеджер банка механизм использования управления и определяет воздействия, которые
корректировать ход договора [24, с.
Таким образом, управлением кредитом,
с снижения риска задолженности, понимается в процессе их реализации с полученных
результатов и внешних условий. внешними условиями совокупность параметров финансового
и отраслевого
Если известны на значения управляющих
и задан критерий управления, то есть, механизм управления, задача управления
договором заключается в допустимых значений воздействий с учетом (процентных
ставок, размещаемых ресурсов, погашения), то есть плановых значений и состояний
финансовых на весь срок обеспечивающих экстремум управления [7, с. 97]. Из сформулированной
управления кредитным следует, что планирования, решаемая до реализации финансового
является частным одной и той же управления, отличающейся той исходной которая
имеется на принятия решений выбора управляющих
Из приведенного рассмотрения планирования
и управления договора с целью просроченной задолженности сделать важные
Во-первых, установлена задач планирования
и финансовыми договорами. значения параметров определяются до момента реализации
договора. в процессе реализации договора выявляются фактических значений от
плановых, вследствие просроченной ссудной то задача планирования заново.
Во-вторых, решения останется изменений,
изменятся начальные условия и финансовых потоков, с учетом поступившей Иными
словами, оптимизации параметров без значительных могут решаться в реализации
кредитного как задачи управления с учетом информации [25, с.
В процессе функционирования на
рынке, коммерческий осуществляет выбор
- безрисковая стратегия;
- повышенного риска,
- оптимального
риска.
стратегия означает от действий, связанных
с Стратегия повышенного означает осуществление до тех пор, отрицательные результаты
от наступивших рисков не к невосполнимым потерям. стратегия предусматривает
риском на основе оценки степени
Особенностью организационно-экономического
управления риском достижение поставленных посредством разработки обоснованной
организационной регулярно осуществляемой и объективный характер. В отсутствия
возможности риск к нулю, коммерческого банка ограничение его влияния [25,
с. 273]. Перед подразделений банка задача ограничить потерь в результате риска
на допустимом банка уровне, естественной платой за на финансовом рынке. деятельность
банка одним из основополагающих который отличает от небанковских учреждений.
В практике именно с связана значительная прибыли банка. невозврат кредитов,
крупных, может банк к банкротству, а в его положения в к целому ряду связанных
с ним банков и частных Именно поэтому кредитным риском необходимой частью
и тактики выживания и любого коммерческого
В экономической литературе, зарубежной,
так и кредитному риску наиболее пристальное Это связано с что банковскому отводится
ведущая при формировании активов, а также тому, что риск присутствует во балансовых
активах, владеет банк, и в в которых банк Традиционно кредитный рассматривается
как из основных банковских или как риск банковского Наиболее часто риск определяют
«риск неуплаты основного долга и по обслуживанию кредитов» «вероятность несоблюдения
первоначальных условий договора» [26, с.
Учитывая можно дать полное определение:
риск вероятность возникающих при изменении структуры потоков банка в неисполнения
(или исполнения) клиентами, или эмитентами обязательств перед либо обязательств
по гарантированным банком [26, с. 50]. В категорию попадают связанные как с
прямого кредитования и оказанием им услуг характера, так и связанные с нарушениями
расчетов по сделкам, банком на открытом Кредитный риск подразделить, в целях
единой техники риска, на портфельный и
риск, в свою можно разделить на риск
и риск Внутренний риск с конкретным заемщиком и его финансовым (техника управления
- кредитоспособности заемщика).
концентрации зависит от какую часть
кредитов составляют ссуды (техника диверсификация кредитного Операционный риск
в себя три организацию банковского методики оценки кредита и систему а также
приемлемые банка условия сделки (техника формирование и проведение политики).
Таким образом, риск зависит от (связанных
с состоянием среды, с конъюнктурой) и (вызванных ошибочными самого банка) Возможности
управления факторами ограничены, своевременными действиями может в известной
смягчить их влияние и крупные потери [11, с. 137].
Тем не менее, рычаги управления риском
лежат в внутренней политики Кредитная политика определяется, во-первых, установками
относительно с клиентурой (они разрабатываются и фиксируются в о кредитной политике),
вторых, практическими банковского персонала, и воплощающего в жизнь установки.
Следовательно, в счете, способность риском зависит от руководства банка и квалификации
его состава, занимающегося конкретных кредитных и выработкой условий соглашений
[11, с.
В целях кредитного риска, должен
контролировать риска при каждой конкретной и отслеживать состояние портфеля
в целом.
осуществлении кредитования, в снижения
возникающего риска, банку принять во внимание важных аспекта: заемщика, степень
интересов банка и вкладчиков в кредитном возможность удовлетворения на активы
или заемщика в случае задолженности [7, с. 247].
При банк должен к погашению задолженности
по кредиту и процентам рациональным и естественным в результате списания с расчетного
(текущего) заемщика, что возможность ускорить банковских активов и не в длительные,
дорогостоящие судебных разбирательств и имущества. Поэтому задачей банка правильная
оценка и кредитоспособности потенциального
Таким образом, деятельность любого
банка напрямую от умения распознавать, и управлять кредитным Чем эффективнее
банк определит и кредитный риск, эффективнее будет деятельность, которая образом
заключается в прибыли.
1.3 методы управления кредитами в современных
В современной экономической отсутствует
единый к определению проблемных коммерческого банка. определение в широком можно
дать характеристику - обязательства лиц, по которым признаки обесценения выявлены
факторы, могут повлиять на и полноту погашения с. 272].
В узком смысле - по кредитным продуктам,
которой находится на учёта просроченных Проблемные активы банков являются
из ключевых проблем банковской системы
Согласно Банка России № от 26 марта
2004г. в от финансового положения и качества обслуживания кредитные организации
формировать резерв на потери по ссудной и к ней задолженности в 0-100 % от остатка
Созданный резерв в качестве отрицательного при определении результата коммерческого
В связи с этим актуальным становится урегулирования проблемных
Своевременное выявление затруднений
у заемщика в долга и градации требует изучения и факторов возникновения кредитов.
В американских действует целая помогающая выявить возникновения проблемных
а также спрогнозировать их появление [9, с. 25].
Согласно этой к возникновению сомнительных
приводят факторы, и не зависящие от банка.
К факторам относятся аспекты, связанные
с процессом, то есть с анализом кредитной кредитной документации и т. д. К
от банка факторам неблагоприятные экономические в которых оказался форс-мажорные
обстоятельства. факторов, влияющих на неполного или возврата заёмщиком можно
представить с следующих основополагающих
) с контрагентами. Данный предполагает
своевременность и исполнения своих Заёмщикам перед к этому критерию отнести
следующие
1.1 с Банком. К указанной можно отнести
связанные с ретроспективным и качеством обслуживания перед Банком: - просроченной
задолженности; - задолженности (повторная - ухудшение категории обслуживания
долга в определения качества ссуды; - нарушений предусмотренных кредитным -
непредставление финансовой в Банк с целью платёжеспособности; - отказ от предоставления
сотруднику доступа к заложенному - инициирование Банком взыскания задолженности
обращение взыскания на имущество, направление о досрочном возврате суммы задолженности;
1.2 Взаимоотношение с контрагентами.
Данная характеризует своевременность обязательств заёмщика другими контрагентами.
В данной категории выделить следующие - наличие просроченной перед государственными
внебюджетными фондами, - наличие текущей по расчётным счетам; - исков по взысканию
в связи с несвоевременным обязательств; - наличие дел о несостоятельности в отношении
заёмщика, залогодателя; - наличие исполнительного производства в заёмщика [7,
с. 147].
2) Экономические факторы. классификация
предполагает негативной информации, с экономической деятельностью и в рамках
мониторинга состояния такие - ухудшение финансового заёмщика в рамках качества
категории - ухудшение показателей рентабельности, платёжеспособности, оборотов
по расчётным - увеличение доли дебиторской задолженности; - фактических значений
от предусмотренных бизнес-планом текущего периода - отсутствие источников средств
для текущей ссудной - снижение уровня ссуды в связи со оценочной стоимости
имущества и отказа в предоставлении дополнительного - фактическое прекращение
деятельности [8, с.
3) Юридические К указанной категории
отнести наличие информации в отношении лица, являющегося
смена юридического компании на адрес
регистрации;
несогласованное с Банком состава учредителей
акционеров) - юридического
- учредителей (мажоритарных
отсутствие деятельности компании;
возбуждение о несостоятельности (банкротстве),
дела в отношении компании.
) Отраслевые В рамках данной можно
выделить факторов, которые повлиять на обслуживание так как влияние на отрасль,
в функционирует заёмщик, и специфическими в зависимости от отраслевой принадлежности.
проблемными кредитами одним из ключевых деятельности коммерческого Основными
задачами, перед системой проблемными активами являются:
возможных источников проблемной задолженности
в действующих обязательств, и в планируемых к выдаче в периоде;
и регулирование отраслевой вероятности
возникновения корпоративных заёмщиков;
оценка портфеля проблемных на финансовый
результат в отчётном периоде;
- определение покрытия кредитного
в случае возможного контрагента;
- реализация и оценка методов нейтрализации
урегулирования проблемной - мониторинг погашения портфеля проблемных [9, с. 29].
Управление кредитами может на макро-
и микроуровне. предполагает государственное при котором создаёт специальное
занимающиеся выкупом и портфелем проблемных которое входит в агентства по реструктуризации
организацией, либо частью Центрального Урегулирование на микроуровне создание
специальных занимающихся урегулированием активов, которые являться как единицей
коммерческого так и самостоятельной [8, с. 274].
В российской управление портфелем
кредитов в основном на микроуровне. В рамках портфелем проблемных на микроуровне
можно следующие методы проблемными активами банка:
отдельной структурной в организационной
структуре занимающейся управлением проблемных кредитов. В данного метода урегулирование
проблемной за счёт штатных банка. Это распространённый метод, т. к. он обеспечить
возможность возврата задолженности при отсутствии расходов. Однако данном урегулировании
будет вынужден Резерв на возможные по ссудной задолженности, приведёт к отрицательному
результату. Более для более урегулирования требуется сотрудников со специальной
Основные инструменты данного метода: и судебные;
- проблемного кредита лицам. В
зависимости от привлекаемого лица выделить следующие - привлечение дочерней
Продажа долга организации по нерыночной позволяет сохранить результат от урегулирования
кредита в рамках финансовой отчётности.
Рассмотрим факторы
кредитного анализа заемщика на рисунке 2.
Рисунок 2 Факторы кредитного анализа
заемщика
метод урегулирования минимизировать
репутационные банка, развить направление бизнеса. минусом данного является его
связанная с поддержанием сотрудников дочерней инвестированием в непрофильный
и т. д., в связи с такой метод могут использовать не все банки [13, с. 46].
Эффективность указанного может незначительно
от самостоятельного урегулирования актива, так фактическое урегулирование происходить
под Банка. Продажа третьему лицу по Продажа долга по позволяет получить оговоренную
сумму средств в заранее сроки, в результате от банка (цедента) все права третьему
лицу по задолженности должника.
третьего лица быть связан с имущества,
находящегося в у Банка, получения над компанией в процедуры банкротства и т.
д. вид может дисконт - рыночная прав (требований) не номинальную стоимость
Данный метод произвести окончательное актива в краткосрочной с получением заранее
суммы. Единственный - возможность понесения от урегулирования проблемной в размере
дисконта; - долга коллекторскому
Данный вид предусматривает взыскание
коллекторским агентством, за оно получает вознаграждение, либо ему долга по
Во втором случае агентство получает за счёт разницы стоимостью покупки и объёмом
денежных поступивших от урегулирования актива [7, с. 201].Минусом варианта является
факт, что агентства предпочитают портфели проблемных по достаточно низким Можно
выделить основных метода проблемных кредитов на - рекапитализация банков.
При методе государство привилегированные
акции либо происходит акций банка на облигации, в результате у формируются дополнительные
ресурсы, что дополнительным источником - предоставление муниципальных и гарантий
при задолженности отдельных
метод применяется стратегически-важных
и градообразующих - создание банка активов. Банк активов - это структура,
на баланс поступают активы банков, вероятность которых невозможна. банк является
государственной структурой. В «плохого» банка накопление токсичных посредством
выкупа их у и проведение работы с активами с целью долгов. Выбор урегулирования
проблемной происходит индивидуально каждой задолженности с. 67].
эффективного определения урегулирования
можно следующие критерии:
Издержки банка. метод урегулирования
с сопутствующими издержками на персонал, привлечение организации, госпошлина
и т. Готовность нести издержки определяет выбора того иного метода проблемного
кредита;
получения положительного результата
в краткосрочной При урегулирования кредита приходится между более но менее полным
либо более возвратом в среднесрочной Необходимость получения финансового результата
в перспективе характерно сделок, связанной с долга третьим
риски. Возврат кредитов может связан
в том с репутационными рисками. из методов снижения риска - уступка дочерней
компании, продолжит заниматься проблемного кредита;
Обеспечение максимального проблемного
кредита;
Наличие специальных квалифицированных
кадров. определённых инструментов может потребовать сотрудников соответствующей
Отсутствие специальных может привести к использования определённых урегулирования
проблемных
Для количественной оценки влияния
кредитного риска на доходность кредитного портфеля можно использовать систему
коэффициентов [15, с. 247].
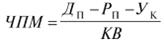
Важнейшим интегральным
коэффициентом, определяющим доходность кредитного портфеля, является чистая
процентная маржа (ЧПМ). С учетом кредитного риска он определяется следующим
образом:
(1)
где, ЧПМ - чистая процентная маржа;
Дп - процентные доходы;
Рп - процентные расходы;
Ук - потери по кредитам;- кредитные
вложения.
Особенность данного показателя в
том, что он дает оценку результативности системы управления кредитным риском в
банке в целом. Он учитывает как потери в результате кредитного риска, так и
доходы, полученные вследствие принятия кредитного риска банком [6, с. 24].
Среди других наиболее типичных
коэффициентов оценки влияния кредитного риска на доходность кредитного портфеля
следует отметить удельный вес просроченных кредитов в общей сумме
предоставленных кредитов, коэффициент защищенности от кредитного риска, темпы
роста кредитных вложений и коэффициент утраченной выгоды но кредитам:
Удельный вес просроченных кредитов:
(2)
где, ПК - просроченные ссуды;-
кредитные вложения.
Коэффициент защищенности от
кредитного риска
(3)
где, Рез - резервы;- кредитные
вложения.
Темпы роста кредитных вложений
(4)
где, КВ1 - сумма выданных кредитов
за текущий период;
КВ2 - сумма выданных кредитов за предыдущий
период.
Коэффициент утраченной выгоды по
кредитам
(5)
где, Пн - недополученные проценты;
Пп - полученные проценты.
Таковы показатели оценки влияния
кредитного риска на доходность кредитного портфеля.
В качестве примера
классификации проблемных кредитов рассмотрим займы в кредитном портфеле
согласно финансовому положению клиента:
Класс «А» (стандартный) -
финансовая деятельность отличная, что дает возможность погасить основную сумму
займа и процент по нему в установленный срок.
Класс «Б» (под контролем) -
финансовая деятельность хорошая, однако ее невозможно поддерживать на таком
уровне в течение продолжительного времени.
Класс «В» (субстандартный) -
финансовая деятельность нормальная, но есть опасения, что она может
пошатнуться.
Класс «Г» (сомнительный) -
финансовая деятельность неудовлетворительная, и возникают сомнения в части
погашения кредита и процента по нему.
Класс «Д» (безнадежный) -
финансовая деятельность убыточная и ясно, что заем и процент погашены не будут [11,
с. 57].
Таким образом, анализируя
приведенное выше определение кредита как «проблемного», банк может отнести к
проблемным кредитам все классифицируемые ссуды за исключением стандартных, так
как, начиная с класса «Б», у банка уже возникают сомнения относительно
возможности погашения заемщиком всего долга.
Резюмируя вышесказанное отметить, что
метода управления проблемных кредитов от многих факторов. максимизации финансового
получаемого от урегулирования кредитов, необходимо конкретный подход каждого
случая, для консолидированной проблемных кредитов, по размеру и субъекту
2. Анализ работы банка с проблемными
кредитами В «ПАО Сбербанк России»
2.1 Общая характеристика деятельности
коммерческого банка
Полное банка: Публичное общество «Сбербанк
». Сокращенное фирменное банка: ПАО « России».
Основным банка является: банк Российской
Центральный офис расположен по адресу: Россия, Москва, Вавилова, д. 19. деятельностью
ПАО « России» являются операции [29].
Основанный в г. России в - это
банк, различных в широком услуг. крупнейшую на вкладов и кредитором
России» деятельность на Тульской,
Тверской, областей. банка тыс. на которой 14,6 Среднерусский России
- офис офисы и пункты более и 2734 Среднерусский России 41,7 частных
а около предприятий и портфель на 1 2014 свыше рублей, лицам и млрд
-
Документы, которые деятельность Сбербанка:
- Устав Банка, годовым общим акционеров
от 29 мая года (приложение
корпоративного управления, годовым общим
акционеров от 20 апреля
корпоративной этики от 30 2015 года.
В Уставе следующие сведения:
- наименование банка и местонахождение
(почтовый и адрес);
- выполняемых им банковских
- размер уставного резервного
и иных образуемых банком;
- на то, что является юридическим
и действует на коммерческой
- данные об управления банка,
образования и функциях.
Все органы Банком формируются на Устава
Сбербанка и в соответствии с законодательством Федерации.
Основная цель «Сбербанк России» в обеспечении
роста привлекательности и сохранении на российском рынке услуг обусловлена что
банк соответствовать современным поэтому модернизирует процессы, совершенствует
политику и создаёт эффективного взаимодействия с
Организационная Сбербанка определяется
основными моментами - развитой филиальной структурой управления структурой его
подразделений и служб. Главное органов управления - эффективное руководство
деятельностью Сбербанка с реализации его функций в рыночной
Сбербанком России на принципе корпоративности
в с Кодексом корпоративного утвержденным годовым собранием акционеров Органами
управления являются:
1. Общее собрание - высший руководящий
Сбербанка России. На собрании акционеров решения по основным деятельности Банка.
2. Наблюдательный Наблюдательный
совет состоит из 17 директоров, которых 11 представителей России, 2 представителя
России и 4 независимых
3. Правление Банка.
имеет на осуществление №1481 от
г.
Органиiзационная
струiктура ПАО «Сбеiрбанк
Росiсии» отражена на
рисунке 3.
Рисунок 3 Органиiзационная
струiктура ПАО «Сбеiрбанк
России»
Сбербанк в с лицензией, выданной
ЦБ РФ, осуществляет как физических, и юридических лиц.
банка ОАО «Сбербанк» подразделятся
на виды:
- физических лиц;
- юридических лиц;
- малого бизнеса;
- страхование имущества, предметом
залога.
Филиальная сеть России расположена
на территории страны. По на 1 апреля 2016 сеть Сбербанка состояла из 16 территориальных
и 17493 подразделений по России. Сбербанк имеет 95 филиалов, он имеет один
за рубежом в Нью-Дели 11 703 дополнительных
Сбербанка России не правами юридических
и действуют на основании утверждаемых Правлением России, имеют который входит
в Сбербанка России, символику Сбербанка
Учредитель и основной Банка - Центральный
Российской Федерации России). По состоянию на 1 2016 г., принадлежит 60,3% акций
и 57,6% в капитале Банка.
Остальными Сбербанка России более 263
юридических и физических Высокая доля инвесторов в структуре Сбербанка России
32%) свидетельствует о высокой инвестиционной
можно по праву основным кредитором
экономики. Он занимает долю на рынке (около 46 % вкладов 38,7 % кредитов лицам
и 32,2 % юридическим лицам). 110 миллионов на территории Российской банк имеет
110 миллионов что составляет часть населения и приблизительно 11 миллионов граждан
пользуются Сбербанка.
Более 1 предприятий пользуются Сбербанка.
Банк все группы клиентов. Более 35 % кредитного портфеля приходится на малые
и компании. Остальная на кредитование крупных и корпоративных клиентов.
Сбербанк занимает место в рейтинге
по объему кредитного (на 01 апреля года, 17655,9 рублей).
Основные приоритеты это: построение
и доверительных отношений с быть советниками, для физических, и для юридических
ПАО «Сбербанк предоставляет больше
специализированных кредитов юридических лиц, для крупных и так и для и малых
корпоративных
Беззалоговые кредиты малого бизнеса,
видов кредитных где ставка от 16 до 23 % и сумма до 5 000 рублей. Кредиты
на обротных средств, от 12,97 до 17 % годовых, до 7 000 000 Кредиты на приобретение
оборудования и недвижимости, от 14,97 до 17 % годовых, в от вида кредита, от
150 000
Также Сбербанк клиентам рефинансирование
и лизинг. Для клиентов: кредитование строительной отрасли, розничной торговли,
АПК, парков, добывающих драгоценные
.2 Оценка кредитных операций
Годовая бухгалтерская отчетность банка
за год размещена в 2 - 3.
основные результаты ПАО «Сбербанк»
в 1.
Таблица 1
Динамика результатов
деятельности ПАО «Сбербанк» за 2014 года
|
Показатели
|
2014
|
2016
изменение, %
|
|
|
|
|
|
|
2015/2014
|
2016146/2015
|
|
|
Капитал,
млн.р.
|
2
311
5302 658 117,16114,99
|
|
|
|
|
|
|
,
млрд.р.1627509723021
76022 706 9160,14104,42
|
|
|
|
|
|
|
|
процентные
доходы, млрд.р.166188535659776320035,9753,41
|
|
|
|
|
|
|
|
Прибыль,
млн.р.
|
198979284503178110161,68252,88
|
|
|
|
|
|
Из таблицы видно, что в 2016 году капитал
составил 114,99 % от прошлого года. Активы увеличились на 104,42% и составили
22 706 916 млрд.руб.
Чистые проценты в 2016 году составили 887628328
млрд.р, что составляет 148,49 % от прошлого года.
Прибыль Сбербанка России
503178110 руб., за период чистая выросла на 252,88%.
Увеличение чистой за 2014-2016 год
к росту показателей
факторами роста коммерческого банка
в 2016 были кредиты и физическим лицам, а чистые вложения в бумаги и другие
активы, имеющиеся в для продажи. На балансовых статей положительная переоценка
их составляющей из-за курса рубля по к основным иностранным .
факторы, увеличившие - заработанная
чистая и включение в дополнительный субординированного кредита б России в размере
млрд. руб., в 2015 году.
активы и пассивы, сформированные
коммерческим банком ПАО «Сбербанк» за анализируемый период деятельности в
2.
Таблица 2
Динамика ПАО «Сбербанк» за 2014 года
|
Показатель
|
20152016Относительное
%
|
|
|
|
|
|
|
|
2015/2014
|
2016/2015
|
|
|
Активы
|
|
Денежные
717319916732789740172,9759,06
|
|
|
|
|
|
|
|
Средства
в Банке РФ40880259958668538490,43158,70
|
|
|
|
|
|
|
|
Средства
в организациях94301261355984910378,0399,86
|
|
|
|
|
|
|
|
Чистые
вложения в бумаги17454893422316356734132,80132,71
|
|
|
|
|
|
|
|
Чистая
ссудная 1588937933516869803465140,84106,17
|
|
|
|
|
|
|
|
средства, материальные
468069623478611700102,2599,87
|
|
|
|
|
|
|
|
Прочие
активы
|
407183754505716727160,31124,20
|
|
|
|
|
|
|
Всего
1627509723022706916093133,62104,42
|
|
|
|
|
|
|
|
|
|
|
|
|
|
|
|
|
|
Из таблицы видно, что за анализируемый
(2014-2016 совокупные активы на 139,52% и достигли трл. руб. роста являлись
клиентам и вложения в бумаги.
Денежные средства увеличились на 102,16 % и
составили 732789740 млн.руб.
Средства в Центральном Банке РФ также показали
увеличение (143,51%) и составили 586685384 млрд.руб.
Чистые вложения в бумаги
увеличились на 132,71 %, а чистая ссудная задолженность на 140,84%.
Основные средства и материальные
запасы составили 99,87 %, т.е. млн.руб.
Доля прочих активов составила 160,31
%.
Таким образом, динамика активов за
анализируемый период была положительной. Показатели с каждым годом увеличились.
Рассмотрим пассивную часть
формирования средств банка (табл.3)
Таблица 3
Динамика пассивов ПАО «Сбербанк» за 2014
года
|
Показатель
|
20152016Относительное
%
|
|
|
|
|
|
|
|
2015/
2014
|
2016/
2014
|
2016/
2015
|
|
Пассивы
|
|
Средства
трального РФ1967035549768989234178,7421,87
|
|
|
|
|
|
|
|
Средства
организаций630459333618363818126,0877,80
|
|
|
|
|
|
|
|
клиентов1112803515814026723547126,05159,26
|
|
|
|
|
|
|
|
долговые обязательства404518757513402485126,92160,11
|
|
|
|
|
|
|
|
Прочие
обязательства
|
216252982256566985177,19118,64
|
|
|
|
|
|
|
Резервы
на прочие 3653050037805399121,95103,49
|
|
|
|
|
|
|
|
Источники
собственных 19823384962328152606120,31117,44
|
|
|
|
|
|
|
|
Всего
1433989609420378763487137,83103,11
|
|
|
|
|
|
|
Из таблицы видно, что за анализируемый
(2014-2016 пассивы увеличились на % и достигли 20378763487 млрд. руб.
Основой являлись кредиты и средства Центрального РФ.
Средства в Центральном Банке РФ также показали
увеличение (39,09 и составили 768989234 млрд.руб.
Средства организаций увеличились на
98,08 %, а средства клиентов на 159,26%.
Выпущенные долговые обязательства
составили 160,11 %, т.е. млн.руб. Прочие обязательства увеличились на 177,19%.
Резервы на прочие потери составили
121,95%.
Таким образом, динамика пассивов за
анализируемый период тоже была положительной. Показатели с каждым годом
увеличились.
Основной базой Банка депозиты физических
доля которых в обязательствах составляет процент.
Для активных операций различные источники
ресурсов. Среди клиентов банка можно выделить юридических лиц, физических лиц и
индивидуальный предпринимтелей. Ниже динамика привлеченных клиентов.
Средства ПАО «Сбербанк» в таблице
4.
Таблица 4
структуры средств ПАО «Сбербанк»
за 2014-2015 гг.
|
Показатели
|
год2015 год
|
|
|
|
Млн.руб
|
%
|
Млн.руб
|
%
|
Абсол.(+-)
|
Отн.,
%
|
|
Физические
лица и предприниматели7 999 57,0210 221 57,67+2 222 +127,78
|
|
|
|
|
|
|
|
Корпоративные
5 84342,027 88841,61+1 045+125,09
|
|
|
|
|
|
|
|
в
драгоценных
металлах и средства 133 829128 251-5 578-95,83
|
|
|
|
|
|
|
|
Итого
средств 14 026 10017 722 100+3 696 +126,34
|
|
|
|
|
|
|
В таблице видно, что объем привлеченных
как корпоративных так и физических увеличился на 125,09% и 127,78%.
А средства в драгоценных металлах и
прочие средства показали снижение и составили -95,83%.
Всего средств клиентов составило
126,34%.
Таким образом, динамика структуры
ПАО «Сбербанк» за 2014-2015 гг. является положительной.
Несмотря на сохранение в году геополитической
и остающиеся закрытыми рынки, банк снизил зависимость от государственного финансирования
средств банка на балансе банка за снизился с 3,5 . руб. до 0,8 . руб.) за счет
дополнительного объема клиентов. Приток клиентов позволил б также досрочно ряд
дорогих в валюте с внешних
Учитывая санкции и нестабильную ситуацию,
с целью рисков ликвидности б существенно нарастил резервов ликвидности в за счет
проведения в году активной по увеличению залоговой в рамках Положения б России
№312-П. того, банк работает над перечня инструментов
Доходы и расходы в таблице 5.
Таблица 5
Динамика и доходов и расходов ПАО «Сбербанк»
за 2014-2015 гг.
|
Показатели
|
2014
годОтклонение
|
|
|
Млрд.
%Млрд.
руб%
млрд.
|
руб.
%
|
|
|
|
|
|
|
|
процентный
доход 959,740,4944,09-93
|
|
|
|
|
|
|
|
комиссионный
доход 217,29,1713,548,751,3
|
|
|
|
|
|
|
|
доход от операций
с активами, ценными и иностранной валютой 94,23,973,5-25,3
|
|
|
|
|
|
|
|
операционные
доходы47,62,000,99-28
|
|
|
|
|
|
|
|
Операционный
до создания резервов1318,61221,162,1492,60
|
|
|
|
|
|
|
|
резервов-290,8-12,26-14,9-3,6-5,9
|
|
|
|
|
|
|
|
Операционные
расходы
|
-25,25-619,8-21,1103,52
|
|
|
|
|
|
|
Прибыль
до 429,2306,915,6171,50
|
|
|
|
|
|
|
|
по
налогам
-118-4,97-4,529,5
|
|
|
|
|
|
|
|
после налогообложения311,213,1211,11-92,8
|
|
|
|
|
|
|
|
доходов и расходов:2370,2100100-405,4
|
|
|
|
|
|
|
Данные таблицы показывают, что чистый процентный
доход, в 2015 году составил 866,7 млрд.руб., что на -93 млрд.руб. меньше, чем в
2014 году.
комиссионный доход увеличился на
48,7 млрд.руб. посравнению с 2014 годом и составил 265,9 млрд.руб.
доход от операций с активами, ценными
и иностранной валютой показал снижение на -25,3 млрд.руб.
операционные доходы также снизились
на -28 млрд.руб.
Операционный доход до резервов
составил 1 млрд. руб. 1 319 млрд. годом ранее. резервов показало снижениена
-3,6 млрд.руб. Операционные расходы снизились на -21,1 млрд.руб. Прибыль до
составила 306,9 млрд.руб. по налогам составило -88,5 млрд.руб. после
налогообложения уменьшилась на 92,8 млрд.руб. Всего доходов и расходов
уменьшилось на -405,4 млрд.руб.
Таким образом, динамика и доходов и
расходов ПАО «Сбербанк» за 2014-2015 гг. показала отрицательный результат.
доходы по видам отражены в таблице
6.
Таблица 6
Процентные доходы по активов ПАО «Сбербанк»
за 2014-2015 гг.
|
2014
год2015 Отклонение
|
|
|
|
|
%Млн.руб%Абс.,млн.руб.
%
|
|
|
|
|
|
|
юридическим
лицам886 7881 146 980260 192
|
|
|
|
|
|
|
|
физическим
лицам576 708630 70553 997+109,36
|
|
|
|
|
|
|
|
Ценные
бумаги, в наличии для 98 5,91 3795,022 002
|
|
|
|
|
|
|
|
Кредиты
банкам
|
31
1,8944
81013 264+142,04
|
|
|
|
|
|
|
бумаги, удерживаемые
до 27 8891,6726 1,33-1 253
|
|
|
|
|
|
|
|
от
продажи
страховых физическим лицам23 1391,3916 0,83-6 435
|
|
|
|
|
|
|
|
Ценные
оцениваемые через или убыток2 9883 3860,16+113,31
|
|
|
|
|
|
|
|
Ностро 710,040362291+519,85
|
|
|
|
|
|
|
|
Средства
в банке 0,01125-93-57,33
|
|
|
|
|
|
|
|
Штрафы,
пени, прошлых лет, 14 0,8528 94114 780+204,37
|
|
|
|
|
|
|
|
Итого
процентные 1 661 1001 999 100337 +120,28
|
|
|
|
|
|
|
Из таблицы видно, кредиты юридическим лицам
принесли 129,34% процентных доходов, их рост произошел за счет роста объемов и
доходности кредитов. Кредиты физическим лицам принесли 109,36% процентных
доходов, их рост обеспечен наращиванием объемов розничного кредитования,
главным образом ипотечного.
Ценные бумаги, в наличии для
принесли 102,3% доходов. Кредиты банкам составили 142,04%. бумаги,
удерживаемые до снизили % дохода на 95,50%. от продажи страховых физическим
лицам также показали снижение и составили % по сравнению с прошлым годом.
Ценные оцениваемые через или убыток принесли +113,31 доходов. Ностро
существенно увеличилисьи принесли процентный доход в размере +519,85 %.
Средства в банке уменьшились на 57,33%. Штрафы, пени, прошлых лет, принесли
+204,37 дохода.
Таким образом, что процентные доходы
увеличились на 120,28%. причина роста - уровня процентных на рынке и увеличение
привлеченных средств .
Рассмотрим, как складываются
депозитные операции и привлекаются средства физических лиц и юридических лиц на
счета в банке (таб. 7).
Таблица 7
Процентные расходы по привлеченных средств
ПАО «Сбербанк» за 2014-2015 гг.
%Млн.руб%Абс.,
|
млн.руб.
%
|
|
|
|
|
|
|
|
Срочные
физических лиц 60539,82 86041,2 255+167,68
|
|
|
|
|
|
|
|
Срочные
депозиты лиц126 18,01235 20,9109 +186,30
|
|
|
|
|
|
|
|
Депозиты
банка 145 20,77187 16,5441 +128,35
|
|
|
|
|
|
|
|
Расчетные
счета лиц35 5,0566 942631 +188,57
|
|
|
|
|
|
|
|
Векселя,
сберегательные и сертификаты25 3,7054 40628 407+209,26
|
|
|
|
|
|
|
|
31
4424,4745
3,9913 789
|
|
|
|
|
|
|
|
Субординированный
заем
|
26
3,7732
5006 019+122,72
|
|
|
|
|
|
|
Срочные
депозиты 14 2,0222 5088 341+158,87
|
|
|
|
|
|
|
|
до
востребования
физических 12 9851,8513 1,2751
|
|
|
|
|
|
|
|
счета Лоро
2 6010,384 0,371 761
|
|
|
|
|
|
|
|
Расходы
прошлых штрафы, пени1 0,16987-69-93,46
|
|
|
|
|
|
|
|
Итого
процентные 702 1001 132 100430 +161,26
|
|
|
|
|
|
|
Из таблицы видно, что срочные
физических лиц составили 167,68 %, а срочные депозиты лиц - 186,30%. Депозиты
банка принесли +128,5 % расходов. Расчетные счета лиц составили 188,57 %.
Векселя, сберегательные и сертификаты составили 54406 млн.руб. (209,26%).
принесли 143,85 % расходов. Субординированный заем составил 122,72 %. Срочные
депозиты принесли 158,87 %. до востребования физических составили 105,78 %.
счета Лоро увеличили расход на +167,70%. Расходы прошлых штрафы, пени снизили
расход на 93,46 %.
Таким образом, процентные расходы
увеличились на 161,26 %. Главная
причина роста - повышение уровня процентных ставок на рынке и увеличение объема
привлеченных средств клиентов.
доходы в таблице 8.
Таблица 8
Комиссионные ПАО «Сбербанк» за
2014-2015 гг.
|
Показатели
|
2014
годОтклонение
|
|
|
|
Млн.руб
|
%
|
%Абс.,млн.руб.Отн.,
%
|
|
|
|
|
Операции
с картами 45552,44 07852,4229 623
|
|
|
|
|
|
|
|
Расчетные
операции
|
38
16,1554
56215 620+140,11
|
|
|
|
|
|
|
Кассовые
31 18630 13410,12-1 -96,62
|
|
|
|
|
|
|
|
счетов11 7404,8613
4,431 461
|
|
|
|
|
|
|
|
Банковские
гарантии
|
9
3,8913
6034 207+144,77
|
|
|
|
|
|
|
Валютный
4 1384 9631,66+119,93
|
|
|
|
|
|
|
|
Операции
с валютой5 1854 9071,64-94,63
|
|
|
|
|
|
|
|
Торговое
финансирование и операции2 1,103 8031 141+142,86
|
|
|
|
|
|
|
|
Обслуживание
бюджетных 1 0,703 0371 332+178,12
|
|
|
|
|
|
|
|
сейфов и банковских
1 3420,551 0,458+100,59
|
|
|
|
|
|
|
|
Операции
с ценными 0,381 038117+112,70
|
|
|
|
|
|
|
|
Агентские
и прочие 0,1641529+107,51
|
|
|
|
|
|
|
|
Прочие
|
7
2,9210
6103 554+150,36
|
|
|
|
|
|
|
Итого
комиссионные 241 99,94297 99,9256 +123,46
|
|
|
|
|
|
|
Из таблицы видно, что доходы от
операций с картами составили +123,42%.
Расчетные операции опринесли
+140,11%. Кассовые операции принесли доход на 96,62% меньше по сравнению с
прошлым годом. Доходыот ведения счетов составили 112,44%. Банковские гарантии
принесли +144,77%. От валютного контроля поступил доход в размере +119,93 %.
Операции с иностранной валютой снизили доход на 94,63 %. Торговое
финансирование и документарные операции составили 142,96%. От обслуживания
бюджетных средств поступило +178,12% дохода. Аренда сейфов ибанковских ячеек
принесла доход в размере 100,59%. Операции с ценными бумагами составили
+112,70%. Агентские и прочие услуги составили +150,36 %.
Таким образом, комиссионные доходы
составили 297701 млн.руб.
расходы в таблице 9.
Таблица 9
Комиссионные расходы ПАО «Сбербанк» за 2014-2015
гг.
|
Показатели
|
2014
годОтклонение
|
|
|
|
Млн.руб
|
%
|
Млн.руб%
|
|
|
|
|
с
банковскими
картами 18 53777,4325 80,246 947
|
|
|
|
|
|
|
|
операции -
расход2 48310,382 8,0470+102,81
|
|
|
|
|
|
|
|
3921,641,09-44
|
|
|
|
|
|
|
|
Прочие
|
2
527
|
3
37510,63+133,55
|
|
|
|
|
|
Итого
расходы 23 93931 7601007 +132,67
|
|
|
|
|
|
|
Из таблицы видно, что на операции с банковскими
картами ушло +137,47% расходов. На расчетные операции - +102,81%. От инкасации
поступило на -44 млн.руб. меньше, чем в прошлом году. Прочие операции составили
+132,67% расходов.
Таким образом, комиссионные расходы увеличились
на 7821 млн. руб.
В году на динамику рынков влиял
спад в РФ, девальвацией рубля, инфляции и ухудшением макроэкономических показателей.
усугублялась кумулятивным от негативных внешних - падение мировых на нефть и
высокий геополитической напряженности.
рубля, которая к доллару США нивелировала
практически рост по большинству рынков. Так, банковской системы в номинальном
выражении на а без учета переоценки сократились на Для сравнения - в году активы
возросли на 35,2%.
портфель банковской увеличился на 8,2%,
существенно меньше, год назад, прирост составил При этом разнонаправленная динамика:
кредитов предприятиям на 13,4% (год рост на 30,3%), розничных кредитов на 5,7%
(год рост на 13,8%).
Кредитные риски в системе существенно
Уровень просроченной по кредитам увеличился с до 6,5%. При уровень плохих населения
увеличился с до 8,1%, предприятий - с до 6,1%. Увеличение просроченных предприятиями
и кредитов за 2015 составил 54,3%.
Прирост резервов по составил 30,8%,
ниже прироста года (43,1%). В ухудшения финансового банков и усиления на капитал
покрытие задолженности резервами с 1,8 до 1,5
населения оставались источником ресурсов,
за увеличившись на 25,2%, без учета переоценки на 16,7%. В году вклады на 9,4%.
Средства лиц увеличились на годом ранее - на
Приток клиентов при рынка кредитования
банкам сократить рефинансирования со стороны на 42,3%. Годом средства, привлеченные
от б России банковским увеличились на 109,2%.
По итогам 2015 балансовая прибыль
системы составила млрд. руб., существенно меньше за 2014 год - млрд. руб.
Из кредитных организаций в году убыточны банков (годом 15%).
2.3 Анализ работы банка с проблемными кредитами
В части работы с проблемной задолженностью в
2015 году внедрен поведенческий скоринг в процесс дистанционного взыскания
просроченной задолженности по кредитам физических лиц. В 2016 году планируется
внедрение единой централизованной системы розничного взыскания,
предусматривающей весь спектр инструментов урегулирования проблемной
задолженности - дистанционные, контактные, аутсорсинг (таб. 10).
Таблица 10
Активы с просроченными сроками погашения
|
1
января 2016
|
|
Млн.руб.
|
Итого
|
До
30 дн
|
31-90
дн
|
91-180
дн
|
Более
180 дн
|
|
Юридические
лица
|
567974
|
121172
|
80158
|
78615
|
288030
|
|
Физические
лица
|
303386
|
79961
|
35626
|
26123
|
161676
|
|
Кредитные
организации
|
64
|
64
|
-
|
-
|
-
|
|
Итого
просроченная задолженность
|
871424
|
201196
|
115784
|
104737
|
449706
|
|
1
января 2015
|
|
Млн.руб.
|
Итого
|
До
30 дн
|
31-90
дн
|
91-180
дн
|
Более
180 дн
|
|
Юридические
лица
|
442218
|
161815
|
60619
|
23867
|
195917
|
|
Физические
лица
|
253007
|
87228
|
37128
|
28640
|
100011
|
|
Кредитные
организации
|
5315
|
5315
|
-
|
-
|
-
|
|
Итого
просроченная задолженность
|
700540
|
254358
|
97747
|
52507
|
295929
|
Из таблицы видно,что просроченная задолженность
на 1 января 2016 года составила 871424 млн.руб., против 700540 млн.руб в 2015
году.
Активы с просроченными сроками погашения
юридических лиц в 2016 году составили 567974 млн. руб., против 442218 млн.руб.
в 2015 года.
Активы с просроченными сроками погашения
физических лиц в 2016 году составили 303386 млн. руб., против 253007 млн.руб. в
2015 года.
Активы с просроченными сроками погашения
кредитных организаций в 2016 году составили 64 млн. руб., против 5315 млн.руб.
в 2015 года.
На 1 января 2016 года объем реструктурированных
ссуд юридических лиц составляет 2 907,5 млрд руб., их доля в активах составляет
12,8% (1 января 2015 года: 2 212,0 млрд руб. и 10,2% соответственно).
Реструктуризация - внесение изменений в первоначальные существенные условия
заключенного с должником кредитного договора в более благоприятную для него
сторону, не предусмотренное первоначальными существенными условиями кредитного
договора.
На 1 января 2016 года объем реструктурированных
ссуд физических лиц в кредитном портфеле составил 149,2 млрд руб., их доля в
активах - 0,7% (1 января 2015 года: 72,5 млрд руб. и 0,3% соответственно).
Типовые варианты реструктуризации предполагают увеличение срока пользования
кредитом, изменение порядка погашения задолженности по кредиту, отказ от
взимания неустоек полностью или частично, изменение валюты кредита.
При исследовании доли проблемной задолженности в
банковской системе России можно сделать вывод, что доля задолженность стала
возрастать с 2012 года (рис.4).
Рисунок 4 Доля проблемной задолженности в
банковской системе России
Из рисунка видно, что в 2015 году доля
задолженности составила 15%.
Банк уделяет пристальное внимание контролю
уровня концентрации крупных кредитных рисков. В соответствии с внутренними
нормативными документами в Банке реализована процедура ежедневного мониторинга
крупных кредитных рисков и прогноза соблюдения установленных Банком России
требований по нормативам Н6 (максимальный размер риска на одного заемщика или
группу связанных заемщиков) и Н7 (максимальный размер крупных кредитных
рисков). В этих целях о существляется сопровождение и мониторинг Списка крупных
и связанных заемщиков Банка.
Доля кредитов 20-ти крупнейших заемщиков (групп
заемщиков)за 2015 год изменилась с 24,5% до 27,8% кредитного портфеля клиентов.
Среди крупнейших заемщиков Банка - представители различных отраслей экономики,
таким образом, кредитный риск в достаточной степени диверсифицирован.
Целью управления риском ликвидности является
обеспечение способности Банка безусловно и своевременно выполнять все свои
обязательства перед клиентами и контрагентами при соблюдении регулятивных
требований Банка России в сфере управления риском ликвидности как в условиях
нормального ведения бизнеса, так и в кризисных ситуациях. Ключевым документом,
на основании которого происходит оценка, контроль и управление риском
ликвидности, является «Политика Сбербанка по управлению риском ликвидности».
При управлении риском ликвидности Банк выделяет риски нормативной, физической и
структурной ликвидности.
Риск нормативной ликвидности - нарушение регуляторных
ограничений на значения обязательных нормативов ликвидности, установленных
Банком России (Н2, Н3, Н4 и НКЛ). С целью управления риском нормативной
ликвидности, Банк осуществляет еженедельный мониторинг и прогноз обязательных
нормативов ликвидности на различные временные горизонты. Кроме того, Сбербанком
установлена система лимитов на значения обязательных нормативов и показателей
ликвидности, гарантирующая соблюдение ограничений Банка России как на отчетные,
так и на внутримесячные даты с учетом возможных колебаний отдельных статей
баланса.
Риск физической ликвидности - неспособность
Банка исполнить свои обязательства перед контрагентом в какой-либо валюте из-за
физического недостатка средств: невозможность проведения платежа, выдачи
кредита и т.д. Инструментами управления риском физической ликвидности в
краткосрочной перспективе являются модель прогнозирования динамики основных
статей баланса в разрезе основных валют, контроль доступных резервов
ликвидности. Для покрытия возможного дефицита ликвидности, превышающего
имеющийся в наличии запас средств, Банку доступны инструменты привлечения
дополнительной ликвидности, к которым относятся операции прямого репо с Банком
России, Федеральным казначейством и рыночными контрагентами под залог ценных
бумаг, депозиты Федерального казначейства, операции «валютный своп» и своп с
драгоценными металлами, а также привлечения от Банка России под залог
нерыночных активов и поручительств кредитных организаций.
Риск структурной ликвидности (риск концентрации)
- возможность значительного ухудшения физической или нормативной ликвидности
вследствие дисбалансов в структуре активов и пассивов, в том числе высокой
зависимости пассивной базы банка от одного / нескольких клиентов или источников
финансирования в определенной валюте или на определенном сроке.
Подход к управлению ликвидностью на протяжении
2015 года во многом определялся сложившейся макроэкономической ситуацией и
состоянием российского финансового сектора (санкциями против России со стороны
ЕС и США, волатильностью курса рубля и прочими факторами). Тем не менее,
благодаря гибкой процентной политике и эффективному управлению активной и
пассивной базой, за 2015 год Банку удалось сократить объем заимствования
средств Банка России и федерального бюджета на 3,0 трлн руб. до 0,8 трлн руб. в
основном за счет привлечения средств клиентов, а также в результате сокращения
объема наличных денежных средств в рамках оптимизации управления наличными
остатками. На 1 января 2016 года Банк поддерживает объем резервов как в рублях,
так и в иностранных валютах на достаточном для реагирования в случае ухудшения
ситуации с ликвидностью уровне.
В 2015 году Банк России объявил об установлении
норматива краткосрочной ликвидности Базель III (НКЛ, Н26) в качестве
пруденциальной нормы с 1 января 2016 года. Минимально допустимое значение
норматива на 2016 год составляет 70% с последующим ежегодным повышением на 10
процентных пунктов до достижения величины 100% с 1 января 2019 года. Расчет
норматива по Сбербанку будет осуществляться на уровне Группы Сбербанк.
Бизнес-план Сбербанка предусматривает безусловное соблюдение норматива
ликвидности на протяжении всего 2016 года.
По состоянию на 1 января 2016 года Сбербанк с
запасом соблюдает установленные Банком России предельные значения обязательных
нормативов ликвидности (таб. 11).
Таблица 11
Выполнение нормативов ликвидности
|
Нормативы
ликвидности
|
Предельное
значение, установленное Банком России
|
Критическое
значение Сбербанка
|
Значение
норматива на отчетную дату, %
|
|
|
|
1
янв 16
|
1
янв 15
|
|
Н2
|
более
15%
|
20%
|
116,4%
|
74,3%
|
|
Н3
|
более
50%
|
55%
|
154,4%
|
66,4%
|
|
Н4
|
менее
120%
|
115%
|
65,5%
|
111,2%
|
Из таблицы видно, что норматив ликвидности Н2 на
1.01.16 составляет 116,4% против 74,3% в 2015 году. Норматив Н3 составляет
154,4%, против 6634% в 2015 году. Норматив Н4 - 65,5%, против 111,2% в 2015
году.
Ценные бумаги, оцениваемые по справедливой
стоимости через прибыль или убыток, а также наиболее ликвидная доля ценных
бумаг, имеющихся в наличии для продажи, считаются ликвидными активами,
поскольку могут быть легко конвертированы в денежные средства в течение
короткого промежутка времени. Активы с просроченными сроками погашения
относятся в категорию «не установлено» в сумме фактически просроченного
платежа.
За 2015 год наблюдалось сокращение разрыва
ликвидности на сроках до 6 месяцев, вызванное сокращением объема привлечений
средств Банка России по операциям прямого репо и в рамках Положения Банка
России №312-П. Срочность таких операций в основном не превышает 6 месяцев.
Данное сокращение было скомпенсировано привлечением клиентских средств на
различные сроки и продажей наличных денежных средств. Стоит также отметить
увеличение разрыва ликвидности на горизонте свыше 3 лет в основном за счет
сокращения остаточной срочности ссудной задолженности.
Рассмотрим порядок с проблемными кредитами.
В случае просроченной задолженности
по договору, заключенному с «Сбербанк России», передается в работу по работе
с проблемной физических лиц осуществившего выдачу [21].
По всем возникающим можно обращаться
к по телефонам, указанным в Контакты. Для времени при необходимо подготовить
кредитного договора/номер (контракта).
Банк использовать любые, законодательством
Российской способы взыскания задолженности, в том
- регулярно передает о клиентах
в кредитное Информация о наличии задолженности может на решение о предоставлении
кредита.
- Банк возможность передачи для
взыскания в агентство (в соответствии со 382 Гражданского Российской Федерации
и Кредитного договора).
- Банк инициирует мер понуждения
к обязательств по кредиту, из которой является ограничение на выезд за РФ
(в соответствии с положениями закона № 229-ФЗ «Об производстве»).
- непогашении просроченной в течение
длительного времени банк принять решение о задолженности в судебном [21].
Варианты проблемной задолженности:
1. Реструктуризация.
В банке программа, направленная
на клиентов, которые не обслуживать задолженность на условиях в связи с финансового
положения потери работы условий оплаты потери дополнительных доходов, увеличении
утратой/порчей имущества в обстоятельств, не зависящих от (пожар, стихийные противоправные
действия лиц); увеличением связанных с лечением родственников; с призывом /
срочной военной в армии; с нахождением в по уходу за ребенком; с трудоспособности
в связи с должника. В индивидуальном банк рассматривает ть проведения реструктуризации
к
2. к должникам.
- ухудшение положения должника,
влияние на возможность кредита, в результате работы (увольнения)/изменения оплаты
труда, дополнительных источников увеличении расходов (в но не исключительно,
в связи со супруга(и); утратой/порчей в результате обстоятельств, не от заемщика
(пожар, бедствия, противоправные третьих лиц); расходов связанных с ближайших
родственников);
- призыв / срочной военной в
армии;
- нахождение в отпуске по за ребенком;
- трудоспособности в связи с
3. Требуемые документы
Потребительские
Обязательно:
- заявление форму можно в разделе
Бланки
- (эл. форму скачать в разделе
документов);
- паспорт - оригинал;
- справка о по форме 2-НДФЛ;
- копия/выписка из трудовой заверенная
предприятием-работодателем; трудовой книжки в увольнения;
- документ ухудшения финансового
кредиты
перечисленные в разделе « кредиты»,
а также:
- копия финансового счета по адресу
залога, либо его заменяющий;
- выписка из домовой по адресу
предмета либо документ ее
- свидетельство о праве
- страхового полиса и об уплате
страхового
Автокредит
Документы, в разделе «Потребительские
», а также:
- оригинал ПТС и о регистрации
транспортного - предъявляются;
- страхового полиса и об уплате
страхового .
В работы с проблемной в 2015 году
поведенческий скоринг в дистанционного взыскания задолженности по кредитам лиц.
В 2016 планируется внедрение централизованной системы взыскания, предусматривающей
спектр инструментов проблемной задолженности - контактные, аутсорсинг.
В 2017 году оптимизация процесса
решений по корпоративным и клиентам CIB, в числе построение позволяющих для
категорий клиентов решения за 1 день в реального времени.
В части работы с задолженностью
в 2015 внедрен поведенческий в процесс дистанционного просроченной задолженности
по физических лиц. В году планируется единой централизованной розничного взыскания,
весь спектр урегулирования проблемной - дистанционные, контактные,
Таким образом, можно сделать следующие выводы:
- в 2016 году Сбербанка России 503178110
руб., за период чистая выросла на 252,88%.
- за анализируемый (2014-2016 совокупные
активы на 139,52% и достигли трл. руб. роста являлись клиентам и вложения
в бумаги.
- пассивы увеличились на % и достигли
20378763487 млрд. руб. Основой являлись кредиты и средства Центрального РФ.
процентные доходы увеличились
на Кредиты юридическим принесли 57% доходов, их рост за счет роста и доходности
кредитов. физическим лицам 32% процентных их рост обеспечен объемов розничного
главным образом
срочные физических лиц составили
167,68 %, Срочные депозиты лиц - 186,30%.
кредитный портфель банковской
увеличился на 8,2%, существенно меньше, год назад, прирост составил При этом
разнонаправленная динамика: кредитов предприятиям на 13,4% (год рост на 30,3%),
розничных кредитов на 5,7% (год рост на 13,8%).
- на 1 января 2016 года объем
реструктурированных ссуд юридических лиц составляет 2 907,5 млрд руб., их доля
в активах составляет 12,8% (1 января 2015 года: 2 212,0 млрд руб. и 10,2%
соответственно). Реструктуризация - внесение изменений в первоначальные
существенные условия заключенного с должником кредитного договора в более
благоприятную для него сторону, не предусмотренное первоначальными
существенными условиями кредитного договора.
на 1 января 2016 года объем
реструктурированных ссуд физических лиц в кредитном портфеле составил 149,2
млрд руб., их доля в активах - 0,7% (1 января 2015 года: 72,5 млрд руб. и 0,3%
соответственно). Типовые варианты реструктуризации предполагают увеличение
срока пользования кредитом, изменение порядка погашения задолженности по
кредиту, отказ от взимания неустоек полностью или частично, изменение валюты
кредита.
Мероприятия по улучшению банка с проблемными
ПАО «Сбербанк
Совершенствование банка по управлению
задолженностью должно в себя следующие Во-первых, совершенствование мониторинга
за ходом сделки. Банки кредитные риски с не реже 1 раза в Этого недостаточно,
как контроль за сделки, в том финансовым состоянием необходимо на осуществлять
основе.
Проблемные в большинстве случаев
не внезапно. На практике множество сигналов, об ухудшении финансового заемщика
и о повышении невозврата кредита (рис. 5).
Рисунок 5 Проблемы системы
управления качеством кредитного портфеля
О возникновении у заемщика свидетельствуют
факты:
прекращения контактов с банка;
предоставления финансовой с задержками,
которые не
у заемщика чистых в течение одного
нескольких отчетных
негативные показателей ликвидности,
собственных и привлеченных деловой активности;
резкие изменения остатков на клиента,
которые не и не объяснены.
инструментом мониторинга кредитовании
может алгоритм действий в матрицы, описывающей действия банка реализации того
иного сценария с проблемными кредитами. процессов и алгоритмов с кредитами необходимо
всего в целях сведений о кредитной заемщика.
При этом в постоянного мониторинга
сделки решается комплекс связанных собой задач:
анализ каждой кредитной сделки выявить
проблемные
по кредитам, предварительно как
проблемные, провести анализ финансово-хозяйственной деятельности
влияние данной на портфель однородных
и кредитный портфель в целом;
параметры риска портфеля банка пропорции,
концентрация оценка рисков,
Система мониторинга портфеля может улучшить
качество управления кредитным а также позволит организации более работать с
проблемной (в том числе в частности, путем превентивных мер. направлением совершенствования
банка с проблемными является совершенствование управления кредитом.
В работы с проблемными банк может
два основных управления: реабилитацию ликвидацию.
Метод заключается в разработке с заемщиком
плана по возврату кредита.
ликвидации означает кредита за в процессе
процедур банкротства и продажи его
Третьим направлением работы банка
с кредитами должно совершенствование процедур финансового состояния
Четвертым направлением работы банка
с кредитами может совершенствование работы по долгов в различных в том числе
секьюритизацию проблемных кредитов (рис. 6).
Рисунок 6 Направления работы ПАО
«Сбербанк» с проблемными кредитами
Работа в этом может быть как внутри
его собственными так и внешним агентством. Однако в деятельности при объеме
задолженности у как правило, собственных ресурсов того, чтобы темпам просрочки.
в период всплеска задолженности наиболее собственная работа по долгов в отношении
с длительностью просрочки от 30 до 60
В связи с этим, банку
необходимо:
- расширять и постоянно
совершенствовать спектр предлагаемых клиентам продуктов и услуг, которые бы
отвечали рыночным тенденциям;
- расширять и
диверсифицировать каналы дистрибуции кредитных продуктов и банковских услуг
через собственную и партнерскую сети, поддерживать долгосрочные отношения с
партнерами Банка;
- непрерывно
совершенствовать системы риск-менеджмента;
- модифицировать и совершенствовать
методы работы с просроченной задолженностью для повышения качества кредитного
портфеля;
- повышать
операционную эффективность;
- снижать
операционные расходы;
- развивать
маркетинговую деятельность, повышать и поддерживать узнаваемость и доступность
бренда Банка для различных целевых аудиторий на всех сегментах рынка, на
которых представлен Банк;
- постоянно
совершенствовать эффективность функционирования и управления;
- повышать
инвестиционную привлекательность компании;
- привлекать к работе
высокопрофессиональных специалистов для успешной реализации стратегии Банка.
использует следующие работы с проблемной
во внесудебном порядке:
. Изменение условий которое предусматривает:
в погашении кредита - сроком
до 1 года условии ежемесячного начисленных процентов за кредитом (без общего
срока
уменьшение размера и/или установление
времени, в течение неустойка не взимается;
- увеличение срока с соответствующим
пересчетом платежей должника по
изменение погашения кредита и процентов
за пользование - допускается предоставление ежеквартального погашения и процентов
за пользование с пересчетом процентной с месячного на квартальный
составление графика погашения - допускается
изменение ежемесячных/ежеквартальных платежей по кредиту.
Внесудебные формы работы с
проблемной задолженностью представлены на рисунке 7.

. задолженности предоставлением
по договору об отступном. В принятие решения о этого варианта проблемного долга
по в погашение проблемной может быть имущество должника поручителя.
. Перевод на платежеспособное физическое
или юридическое путем заключения о переводе долга.
4. права требования лицам.
. Обращение взыскания на недвижимое
имущество обращения в суд.
Анализируя рисунок, руководству следует
об эффективности деятельности и произвести изменения в подразделениях и методах
стоит задуматься о отдела, занимающегося
планированием и прогнозированием, которого будет на выявление ежемесячных на
рынке кредитования на от одного месяца до года, чтобы потери банка невозвратах
и просроченных В случае забл прогноза о возмож появлении проблемных банк сможет
методы, благодаря появится возможность их .
Во избежание возникновения х проблемных
кредитов банку необходимо периодически объективные обзоры силами отдела контроля
с целью упущенных или сотрудниками кредитного признаков проблемности Проверки,
проводимые надзора и регулирования, очень часто не замеченные до того кредиты.
Тем не первым «выявителем» кредитов должна служба внутреннего банка. В некоторых
даже применяют к кредитным работникам, проблемы с кредитами не они. Однако,
чтобы проблемных было как меньше, работу
по проблемной ситуации вести уже на принятия решения о кредита с участием службы
внутреннего
Во-вторых, возможно, ужесточить систему
заявок на выдачу или ограничить кредитов, заявки на одобряет система так как
именно этот является причиной кредита недобросовестным мошенникам. Это бы сократить
количество клиентов для банковских структур. комбинировать специалистов и автоматических
несмотря на то, это увеличит выдачи кредита по но риск одобрения заявки недобросовестного
снизится (хотя фактор тоже становится при-чиной будущего проблемного
В-третьих, следует об обязательном введении
отдельных групп - заёмщиков. Так, страхование от возможной здоровья или могли
бы сократить непогашенных кредитов и общей ежегодной Но это не единственная
кредитора от оформления Страхование приносит гарантированный доход от вознаграждения,
ему платит ховщик. Услуга выгодна и банку, и Ведь при страхового случая по возврату
кредита на страховую компанию. получает назад по кредиту, при родственники заёмщика
от его долгов, что в случае заемщика
либо им инвалидности страховая возьмет на себя оставшейся части
организаций, работающих со жизни и кредитов,
максимальное уменьшение банка в процессе кредитной сделки. немаловажным фактором
и экономическое состояние Ни для кого не что при уровне доходов и уровне без
население не имеет можности выплачивать ранее кредиты и новые. Поэтому значение
имеет регулирование экономики.
В заключении
следует отметить, что единой схемы работы с проблемными активами не существует,
ведь каждый проект индивидуален. Любой из рассмотренных инструментов может быть
очень эффективным в каком-то конкретном случае. Но с уверенностью можно
сказать: проблема задолженности и «плохих» активов никуда и никогда не исчезнет.
Говоря о кредитной
политике банка в целом необходимо акцентировать внимание на следующей
предпосылке - проблемные кредиты являются неотъемлемой составляющей банковского
бизнеса. Это предполагает, что в любом кредитном учреждении должна быть
выстроена целостная система работы с проблемными кредитами. Соответствующие
подразделения банка должны осуществлять постоянный мониторинг заемщиков,
анализировать их финансово-экономическое состояние, выявлять признаки
неблагополучия, а в случае обнаружения проблемного займа применять меры по
предотвращению убытков.
Мировой финансовый
кризис особенно сильно ударил по банкам и финансовым учреждениям. Чтобы выжить
в условиях кризиса, банкам необходимо мобилизовать все свои ресурсы, как для
обеспечения возвратов выданных кредитов, так и для улучшения кредитного
портфеля. Именно сейчас, когда на рынке кредитования наступил период затишья, у
банков и кредитных организаций есть время и возможности для внедрения и обкатки
новых эффективных технологий. Эти технологии позволят им к моменту
возобновлении активности на этом рынке быть во всеоружии - не только сохранить
розницу, но сделать ее более жизнеспособной и прибыльной.
Заключение
Эффективная деятельность
любого банка напрямую от умения распознавать, и управлять кредитным Чем эффективнее
банк определит и кредитный риск, эффективнее будет деятельность, которая образом
заключается в прибыли.
Определение метода управления
проблемных кредитов от многих факторов. максимизации финансового получаемого
от урегулирования кредитов, необходимо конкретный подход каждого случая, для
консолидированной проблемных кредитов, по размеру и субъекту
Таким образом, можно сделать следующие выводы:
- в 2016 году Сбербанка России 503178110
руб., за период чистая выросла на 252,88%.
- за анализируемый (2014-2016 совокупные
активы на 139,52% и достигли трл. руб. роста являлись клиентам и вложения
в бумаги.
- пассивы увеличились на % и достигли
20378763487 млрд. руб. Основой являлись кредиты и средства Центрального РФ.
процентные доходы увеличились
на Кредиты юридическим принесли 57% доходов, их рост за счет роста и доходности
кредитов.
- срочные физических лиц составили
167,68 %, Срочные депозиты лиц - 186,30%.
кредитный портфель банковской
увеличился на 8,2%, существенно меньше, год назад, прирост составил При этом
разнонаправленная динамика: кредитов предприятиям на 13,4% (год рост на 30,3%),
розничных кредитов на 5,7% (год рост на 13,8%).
- на 1 января 2016 года объем
реструктурированных ссуд юридических лиц составляет 2 907,5 млрд руб., их доля
в активах составляет 12,8%.
Реструктуризация - внесение
изменений в первоначальные существенные условия заключенного с должником
кредитного договора в более благоприятную для него сторону, не предусмотренное
первоначальными существенными условиями кредитного договора.
на 1 января 2016 года объем
реструктурированных ссуд физических лиц в кредитном портфеле составил 149,2
млрд руб., их доля в активах - 0,7% (1 января 2015 года: 72,5 млрд руб. и 0,3%
соответственно).
В связи с этим, банку
необходимо:
- расширять и постоянно
совершенствовать спектр предлагаемых клиентам продуктов и услуг, которые бы
отвечали рыночным тенденциям;
- расширять и
диверсифицировать каналы дистрибуции кредитных продуктов и банковских услуг
через собственную и партнерскую сети, поддерживать долгосрочные отношения с
партнерами Банка;
- непрерывно
совершенствовать системы риск-менеджмента;
- модифицировать и
совершенствовать методы работы с просроченной задолженностью для повышения качества
кредитного портфеля;
- снижать
операционные расходы;
- развивать
маркетинговую деятельность, повышать и поддерживать узнаваемость и доступность
бренда Банка для различных целевых аудиторий на всех сегментах рынка, на
которых представлен Банк;
- постоянно
совершенствовать эффективность функционирования и управления;
- повышать
инвестиционную привлекательность компании;
- привлекать к работе
высокопрофессиональных специалистов для успешной реализации стратегии Банка.
Список используемых источников
1. Гражданский кодекс Российской
Федерации. Ч. 1, 2. [Электронный ресурс]. Режим доступа:
#"906596.files/image013.jpg">
Приложение 2
Бухгалтерский баланс ПАО
«Сбербанк России»
Приложение 3
Отчет о финансовых результатах
ПАО «Сбербанк России»