|
Эффективные формальные
|
Неэффективные формальные
|
|
Институты
|
|
Совпадающие последствия
|
Дополняющие
|
Замещающие
|
|
Не совпадающие последствия
|
Аккомодационные
|
Конкурентные
|
Дополняющие неформальные институты обычно «заполняют пробелы», которые
неизбежно остаются в формальных правилах. Примерами могут служить различные
нормы и процедуры, облегчающие принятие решений и координацию в рамках бюрократических
учреждений. Они могут также создавать и усиливать мотивы к соблюдению
формальных правил, которые иначе существовали бы только на бумаге.
В качестве примера можно привести неформальные встречи и переговоры,
проводимые депутатами с населением, направленные на то, чтобы согласовать
интересы различных групп общества, и тем самым упрочить свою легитимность. - По
состоянию на 3 февраля 2017 года, в Госдуму внесен законопроект, согласно
которому процедуру встреч депутатов с населением хотят формализовать, и сделать
избирательной. Источник: Елена Старикова. Встречи депутатов с народом сделают
избирательными. [Электронный ресурс] // ФедералПресс:
информационное агентство. М.: 03.02.2017г. URL: #"906487.files/image001.gif">.
В - третьих, вторая спецификация теоретической модели была построена
посредством комбинирования базовой модели с моделью, описанной в работе John Macrae (1982). В частности, были взяты идеи о том, что: во -
первых, в результате подкупа фирмой чиновника, меняется распределение
вероятностей получения блага между честными и коррумпированными фирмами; во -
вторых, чиновник обладает максимальной премией в виде
, которая делится между всеми
коррумпированными фирмами и, в - третьих, фирмы делают выбор в пользу дачи
взятки или ведения честной игры относительно стратегий других фирм на рынке.
Отличительной особенностью модели, рассматриваемой в рамках данной
работы, является то, что выгоды рассматриваются с двух сторон: фирм и
чиновников. Максимальная премия
, предлагаемая чиновником фирмам в обмен на взятки, в дальнейшем
идет с отрицательным знаком в функции полезности чиновника как издержки усилий,
а коррупция принимает две формы в результате существования двух типов обмена:
чиновник-чиновник и чиновник-фирма.
Дополнительным аргументом в пользу принятия во внимание стратегий
конкурентных фирм при выборе о даче взятки или честной игре одной фирмой
послужили также результаты опросов предпринимателей в работах Олимпиевой и
Леденевой. В данных работах выражается мысль о том, что большинство
предпринимателей в России не устраивает существующая система взаимодействия
бизнеса и власти, однако и её изменения ассоциируются для них со значительными
издержками, которые они будут готовы принять в случае, если изменениям будут
следовать все. В частности, Олимпиева приводит цитату: «…пока система
государственных отношений существует в том виде, в какой нам приходится жить,
то я вынужден подстраиваться под неё...Но сама система мне не нравится…Если у
государства поменяется политика в отношении этой системы, то я её приму, ну, не
с радостью…но если она изменится для всех, то я с этим не то, что смирюсь, но и
буду приветствовать» (Олимпиева, 2007, с.224).
В первой части следующей главы представлена базовая модель и исходное
равновесие.
Во второй части, модель модифицируется за счет введения неформального
института в виде блата, что в рамках модели характеризовалось предпочтением
участниками одной сети, чиновниками, взаимодействовать друг с другом.
В третьей части, базовая модель экономики модифицируется с учетом
включения в неё коррупционных отношений.
Наконец, в четвертой части расширяется вторая модификация базовой модели
с наличием блата, и в экономике уже присутствует два вида неформальных
отношений: блат и коррупция. Сохраняются все предпосылки относительно
предпочтения чиновников к взаимодействию друг с другом, однако теперь у фирмы
есть возможность заплатить взятку, чтобы чиновник согласился взаимодействовать
с нею в первом периоде.
Впоследствии, полученные результаты сравниваются и приводятся основные
выводы модели.
Глава 3. Теоретическая модель
3.1 Базовая модель равновесия
Представим население, где экономическая активность осуществляется за счет
взаимодействия двух типов агентов: чиновников и фирм.
Чиновники - это агенты, отвечающие за распределение государственных
ограниченных ресурсов, выполнение услуг, как для фирм, так и для других
чиновников. Таким образом, чиновники представляют интерес не только для фирм,
но и друг друга, так как каждый отдельный чиновник имеет доступ к различным
ресурсам.
Все эти ограниченные ресурсы должны распределяться равномерно между всем
населением (чиновниками и фирмами), и вероятности получить тот или иной
продукт для всех должны быть равными. Если общее количество фирм (N) и чиновников (G) равно W, то вероятность получить проект для каждого составляет:
.
Ценность ресурса представляет собой разницу между его рыночной ценой
и государственной
. Например, если государство
предоставляет ограниченное количество кредитов по льготной процентной ставке
ниже рыночной.
Таким образом, фирма и чиновник получают ожидаемый выигрыш в равновесии в
размере
в каждый момент времени, когда
встречают чиновника. Объединяя данный факт с предыдущей предпосылкой о
максимизации ожидаемой функции полезности и дисконтировании по ставке r, получаем текущий ожидаемый выигрыш
в равновесии для отдельно взятых фирмы и чиновника:
При этом распределение выигрышей среди разных групп населения (чиновников
и фирм) будет зависеть от их долей в обществе:
Излишек фирм составит:
Для чиновников:
Так как благо в размере
предоставляет государство, то излишек общества в виде суммы
излишков чиновников, фирм и государства составит:
3.2 Модель равновесия при наличии блата
Как мы упоминали ранее, каждый чиновник представляет интерес, как для
фирм, так и для других чиновников, так как обладает правом распределения
специфичного ограниченного ресурса.
Предположим, что чиновники воспринимают друг друга как членов одной сети
и у них есть возможность поиска друг друга. Чтобы исследовать это, модель
модифицируется в этом разделе так, что чиновник, который сопоставлен в начале
периода с фирмой, имеет возможность отклонить взаимодействие и продолжить поиск
другого чиновника, с которым он должен заключить контракт.
Как и выше, представим, что агент может взять на себя не более одного
проекта за период. Предположим, однако, что каждый период t состоит из двух подпериодов
t1 и t2.
Предположим, что агент, сопоставленный в подпериоде t1, имеет
возможность отклонить встречу и найти другого партнера в t2.
Формально, когда два агента сопоставляются в t1, чиновник выбирает
действие из {Y,Z}, где Y - делать совместный проект, Z - не делать. В конце t2 все совпадения периода t
растворяются, и процесс начинается заново с t+1.
Допустим, что членство в сети чиновников, формирует определенные
неформальные ожидания относительно друг друга и репутацию. Данные ожидания и
репутация снижают степень неопределенности относительно поведения чиновников в
настоящем и будущем, что способствует возникновению в результате взаимодействия
двух чиновников некой добавочной положительной величины
. Данная величина может быть
выражена, например, в неформальном обещании - со стороны получателя
блага, или ожидании - со стороны предоставляющего благо чиновника
взаимопомощи в будущем.
Распределение вероятностей получения блага чиновником или фирмой
соответственно примет вид:
Текущий ожидаемый выигрыш в равновесии для одной фирмы составит:
Текущий ожидаемый выигрыш для одного чиновника:
Излишек фирм составит:
Излишек чиновников:
Благосостояние общества:
Отметим основные изменения, которые произошли в базовой модели после
введения блата.
Во - первых, изменилось распределение вероятностей получения блага между
фирмами и чиновниками: для чиновника она увеличилась на
а для фирмы уменьшилась в
раз.
Во - вторых, в результате изменения распределения вероятностей получения
блага для фирмы и чиновника, а также введения добавочной положительной величины
для чиновника, изменились излишки,
принадлежащие каждому типу агентов и обществу в целом.
В частности, изменение излишка фирм составило
; излишка чиновников
, сложив две эти величины, получаем
изменение в благосостоянии общества:
.
Следовательно, блат, в рамках данной модели, увеличил благосостояние
общества, однако способствовал несправедливому распределению государственного
блага среди различных групп населения.
3.3 Модель
равновесия при наличии коррупции.
Вернемся к нашей базовой модели и представим, что для того чтобы повысить
вероятность получения блага, фирма может подкупить чиновника.
Когда фирма встречается с чиновником, то они играют одноходовую игру, в
которой фирма выбирает действие из набора
(где
- стратегия дачи взятки и
- честная игра) исходя из
стратегий других фирм, а именно: ведут ли остальные фирмы на рынке честную
борьбу за ресурсы или дают взятку чиновнику.
Так как мы имеем два типа агентов: чиновников и фирм, представим, что
коррупция принимает две разные формы в зависимости от того, какие агенты
взаимодействуют.
Допустим, что все агенты в обществе знают, что государственное благо
можно приобрести с большей
вероятностью, только дав взятку. При этом для чиновников действует негласное
правило, что если встречаются два чиновника, то сделка совершается на условиях
равного дележа ценности ресурса, то есть выигрыши для каждого составят:
, а вероятность получения проекта
остается, как и в базовой модели равной
При взаимодействии чиновника с фирмой ситуация обстоит несколько иначе:
фирма платит взятку в размере
чтобы повысить вероятность получения блага.
Размер взятки положителен, но ограничен сверху ценностью предоставляемого
государством ресурса (премией, образуемой за счет заниженной государственной
стоимости по сравнению с рыночной), иначе фирмам не будет смысла бороться за
него.
Будем считать, что взятка влияет на распределение вероятностей среди
фирм, и не влияет на вероятность получения блага чиновниками.
Если все фирмы честные, то вероятность получить проект для каждой равна:
Если фирма А даёт взятку, а все остальные нет, то для неё вероятность
получения проекта составит:
Роль коррумпированного чиновника заключается в повышении вероятности
получения фирмой А контракта. Будем считать, что его способность это сделать
отражается значением параметра
. Таким образом, чиновник снижает вероятность того, что
проект получит любая другая фирма
.
Параметр
- это максимальная премия, которую может предложить
чиновник, и если имеется более одной фирмы, готовой предложить взятку, то эта
премия должна быть разделена между ними. Пусть
это доля коррумпированных фирм на
рынке, между которыми будет распределяться премия. Данную премию можно выразить
в терминах времени, то есть насколько быстро чиновник может провести трансакцию
(оформить лицензию, дать разрешение и т.п.) или в терминах лояльности или в
любых других терминах, означающих предоставление привилегий тем компаниям,
которые дают взятки. Время и любые другие ресурсы, как правило, бывают
ограниченными, поэтому если несколько фирм дают взятку, то чиновнику приходится
распределять свои индивидуальные силы (время, ресурсы) между ними.
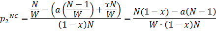
Если ненулевое количество фирм является коррумпированным, то вероятность
получения проекта фирмой А, при условии, что она тоже будет давать взятку,
составит:
Если фирма А выбирает быть честной, при условии что имеется ненулевое
количество фирм, которые дают взятки, то вероятность получения проекта для неё
будет равной:
Если фирма А выбирает быть честной, при условии что все конкурентные фирмы
дают взятку, то вероятность получения проекта для неё будет равной:
На рынке должна присутствовать ненулевая вероятность получения
государственного ресурса без взятки
, так как иначе никто не будет
заинтересован в том, чтобы не быть коррумпированным. Из
, получаем, что
.
Выпишем функции вероятностей получения блага фирмой при даче взятки и
честной игре в зависимости от доли коррумпированных конкурентных фирм на рынке:
Реальным источником неопределенности для фирмы А является то, что она не
знает, являются ли её конкуренты коррумпированными или нет. Поэтому, задача
фирмы А заключается в том, чтобы сравнить ожидаемый выигрыш (EY) от проекта при
двух стратегиях, а именно: при даче взятки (
) и при честной игре (
).
Из предположения об однородности совокупности фирм следует, что все фирмы
будут принимать одинаковые решения относительно того, дать взятку или нет.
Следовательно, параметр
будет принимать значение 1 или 0, то есть либо все фирмы
будут коррумпированы, либо все выберут быть честными.
Рассчитаем ожидаемую полезность фирмы от дачи взятки и честной игры при
двух состояниях мира: когда все конкурентные фирмы коррумпированы, и когда
честные.
Тогда, условием коррумпированности фирм будет неравенство:
, или
Из данного неравенства следует, что чем выше ценность ресурса и премия,
которую может предложить чиновник в обмен на взятку, тем большую взятку может
требовать чиновник или предложить фирма.
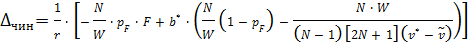
Теперь рассчитаем полезность чиновника от его взаимодействия с:
· другими чиновниками,
· коррумпированными фирмами, и
· честными фирмами.
Обозначим через
ожидаемый выигрыш чиновника, от встречи с другим чиновником,
и
ожидаемый выигрыш чиновника от
встречи фирмы.
,
где
вероятность встретить другого чиновника и
выигрыш от сделки.
Будем полагать, что риски обнаружения сговора и наказания отсутствуют или
стремятся к нулю, так как осведомленность чиновников о статусах друг друга служит
дополнительным гарантом секретности сделки.
Ожидаемый выигрыш чиновника от встречи с фирмой можно представить в виде
следующего выражения:
,
где
затраченные чиновником усилия,
вероятность встретить фирму,
доля коррумпированных фирм в общей
совокупности фирм,
вероятность наказания и
степень наказания, зависящие от
где
.
Выражение
обозначает, что доля
честных фирм, которую может
встретить чиновник, не заплатит ему взятки, а выражение
что доля
коррумпированных фирм, которую встретит чиновник, заплатит
ему взятку в размере
он понесет наказание
Сложив вместе ожидаемые полезности чиновника от взаимодействия с другими
чиновниками и фирмами, получим его совокупную ожидаемую полезность:
Из функции полезности видно, что чиновнику будет выгодно, если
следовательно, при заданных
, он создаст такие условия, чтобы
поддерживать положительный уровень коррупции и тогда, всем фирмам будет выгодно
давать взятку, следовательно,
В таком случае мы получим условие максимизации функции ожидаемой
полезности чиновника:
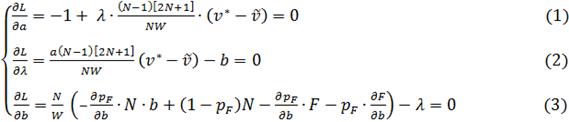
Применим метод множителей Лагранжа для решения этой задачи:
Из (1) получаем:
Из (1) и (3):
Из (2):
Получаем, что равновесное значение
положительно зависит от ценности
ресурса
, и отрицательно от вероятности
наказания
степени наказания
.
Следовательно, с одной стороны, чиновник будет уменьшать требуемый размер
взятки с одной фирмы с увеличением риска быть пойманным и потерь от наказания,
с другой стороны, чем выше ценность государственного блага
, тем более высокие взятки чиновник
может требовать, и фирмы будут готовы заплатить в обмен на получение этого
блага.
Также равновесный размер взятки положительно зависит от числа фирм
, следовательно, при увеличении
конкуренции на рынке фирм, равновесный совокупный объем взяток будет расти как
за счет роста числа фирм платящих взятки, так и за счет роста самой величины
взятки.
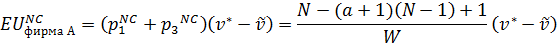
Текущий равновесный ожидаемый выигрыш чиновника - предоставляющего благо
составит:
Текущий равновесный ожидаемый выигрыш чиновника - получателя блага:
Текущий ожидаемый выигрыш фирмы в равновесии:
Изменение излишка фирм в сравнении с базовой моделью после введения
коррупции составило
. Таким образом, коррупция повысила ожидаемый выигрыш на
величину
однако наряду с этим возникли
издержки, связанные с дачей взятки в размере
.
Изменение излишка чиновников составило:
Однако в данном случае распределение излишка среди чиновников носит
неравномерный характер.
Наконец, изменение в благосостоянии общества составит:
.
В настоящей спецификации модели качественное направление изменений
благосостояний агентов и общества в целом, будет зависеть от экзогенно заданных
величин
(
) и функций
3.4 Модель
равновесия при наличии блата и коррупции
Допустим, что как и во второй спецификации модели, чиновник предпочитает
взаимодействовать с другими чиновниками и при встрече с фирмой в начале периода
имеет возможность отклонить взаимодействие и продолжить поиск другого
чиновника, с которым он должен совершить транзакцию.
Однако теперь у фирмы есть возможность заплатить взятку, чтобы чиновник
согласился взаимодействовать с нею в первом периоде.
Запишем условие предпочтения чиновника заключить контракт с другим чиновником.
Распределение вероятностей с учетом блата примет следующий вид:
Где
доля коррумпированных и, соответственно,
доля честных фирм.
Данное распределение вероятностей, показывает, что при встрече другого
чиновника в первом периоде, чиновник сразу же заключает с ним сделку. Если же
он встречает фирму (коррумпированную или честную), то отклоняет её и ждет
следующего периода.
Пусть, при заключении контракта с коррумпированной фирмой, чиновник
получает ожидаемый выигрыш в размере
, с честной фирмой - 0, и с
чиновником
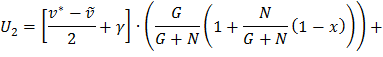
Тогда его ожидаемая функция полезности при такой установке принимает вид:
Если предположить, что полезность, получаемая от взаимодействия с другим
чиновником выше чем при взаимодействии с фирмой, и у чиновников есть
возможность поиска друг друга, то в данном случае сеть чиновников служит не
только сигнальным устройством, но и приносит дополнительную выгоду, размер
которой положительно зависит от размера сети
Чем больше размер сети чиновников
, тем меньше времени чиновники тратят
на поиски друг друга, а также получают больший ожидаемый выигрыш.
Следовательно, увеличение бюрократического аппарата может не препятствовать
нечестному поведению чиновников и более четкому исполнению ими формальных
предписаний, а наоборот создавать благоприятные условия для извлечения
дополнительных неформальных выгод.
Однако, отклоняя фирму, готовую дать взятку, чиновник рискует получить
выигрыш равный нулю во втором периоде. Поэтому, сформулируем также условие, где
чиновник будет готов заключить сделку в первом периоде, как с другим
чиновником, так и с коррумпированной фирмой, и будет отклонять только честные
фирмы.
Данное условие косвенно отражает ситуацию, когда у чиновников есть
возможность манипулировать временем предоставления государственной услуги или
блага. В этом случае чиновник будет тянуть время в ожидании более выгодной
сделки. А чтобы ускорить процесс, фирме необходимо предложить достаточный
размер взятки, который с учетом рисков обнаружения и наказания за акт
коррумпированной сделки превысит альтернативные ожидаемые выгоды от
взаимодействия чиновника с другим чиновником.
Распределение вероятностей с учетом блата и коррупции:
Тогда ожидаемая функция полезности чиновника принимает вид:
Чтобы чиновник согласился взаимодействовать с коррумпированной фирмой в
первом периоде, должно выполняться условие:
Из данного неравенства видно, что чем выше вероятность и степень
наказания для чиновника в результате принятия взятки, тем больше предпочтения
ими отдаётся к взаимодействию со «своими»:
и
С экономической точки зрения, взаимодействие чиновника с другим
чиновником можно рассматривать как отношения, построенные на статусном доверии,
личных связях или «блате». В данном случае, две возможности нечестного заработка
чиновником за счет блата и требования взятки выступают субститутами, то есть
один вид неофициальных отношений может быть заменен другим.
Когда издержки по извлечению выгод в одной сфере возрастают, то чиновник
переключается на альтернативные способы обогащения. Следовательно, ужесточение
борьбы государства с коррупцией может привести не к уменьшению неформальных
отношений, а к тому, что чиновники изберут пути извлечения выгод, которые
ассоциируются для них с меньшими издержкам и, которые сложнее обнаружить.
Если оставить
части неравенства и остальное перенести вправо, то получим
условие размера взятки, для получения контракта фирмой в первом периоде:
(4)
Здесь мы видим, что чем выше вероятность и степень наказания, тем большую
взятку необходимо предложить фирме. Следовательно, ужесточение мер по борьбе с
коррупцией может привести к большим суммам требуемых взяток чиновниками.
В то же время, в реальной жизни все фирмы различаются по возможности
платить взятки, и чем выше размер взятки, тем меньше фирм будет готово её
заплатить. Таким образом, борьба с коррупцией, с одной стороны, сокращает
количество коррумпированных сделок (прямой эффект), с другой стороны,
увеличение наказания и рисков приводит к росту размера взятки, за которую
чиновник согласился бы провести трансакцию (косвенный эффект). Следовательно,
динамика объема коррупционного рынка в результате политики борьбы с коррупцией
будет зависеть от соотношения этих двух эффектов.
Запишем ожидаемый излишек фирм при даче взятки и честной игре, с учетом
распределения вероятностей получения государственного блага в экономике с
блатом и коррупцией:

(5)
Принимая во внимание однородность фирм, а также условие (5), в равновесии
все фирмы будут выбирать стратегию дачи взятки.
Тогда, из условия чиновника (4) и фирмы (5), с учетом
следует, что размер взятки должен
удовлетворять неравенству:
(6)
Неравенство (6) характеризует состояние мира, при котором возможно
существование блата и коррупции одновременно.
В равновесии размер взятки примет одно из крайних значений неравенства
(6) в зависимости от того, кто устанавливает размер взятки.
Пусть, размер взятки устанавливается чиновником. Тогда
Ожидаемые излишки для чиновников и фирм примут следующие значения
соответственно:
По сравнению с базовой моделью, изменения излишка фирм составит:
, излишка чиновников:
, и изменение в благосостоянии
общества составит:
.
Таким образом, чиновники будут присваивать весь общественный излишек
себе.
Выводы
Итак, выше была представлена модель частичного равновесия, учитывающая
основные характеристики при взаимодействии двух типов агентов (чиновников и
фирм) в экономике по распределению государственного блага.
На первом этапе была рассмотрена базовая модель равновесия в экономике,
где в отсутствие неформальных отношений, распределение государственного блага
среди различных групп общества носило равномерный характер.
На втором этапе, в модель были включены неформальные отношения в виде
блата, что в рамках модели характеризовалось предпочтением участниками одной
сети, чиновниками, взаимодействовать друг с другом.
К отличительным особенностям данной модели стоит отнести, во - первых,
возможность поиска участниками сети друг друга, что повышает вероятность их
встречи и, следовательно, частоту взаимодействия; во - вторых, включение
неосязаемых положительных эффектов, создаваемых и получаемых участниками внутри
сети.
Членство в сети чиновников, формирует определенные неформальные ожидания
относительно друг друга и репутацию. Данные ожидания и репутация снижают
степень неопределенности относительно поведения чиновников в настоящем и
будущем, что способствует возникновению в результате взаимодействия двух
чиновников неформальных обещаний - со стороны получателя блага, или ожиданий -
со стороны предоставляющего благо чиновника взаимопомощи в будущем.
Несмотря на то, что равновесие в экономике с наличием блата характеризуется
неравномерным распределением излишков между двумя группами населения, фирмами и
чиновниками, тем не менее, оно повышает совокупное благосостояние общества.
На третьем этапе, базовая модель экономики модифицируется с учетом
включения в неё коррупционных отношений. В результате модель претерпевает ряд
изменений.
Ввиду того, что в экономике присутствует два вида взаимодействия:
чиновник - чиновник и чиновник - фирма, то коррупция принимает две разные формы
в зависимости от того, какие агенты взаимодействуют. Так, для чиновников
действует негласное правило равного дележа ценности государственного блага
между двумя сторонами сделки. При этом риски обнаружения сговора отсутствуют,
так как осведомленность чиновников о статусах друг друга служит гарантом секретности
сделки.
При взаимодействии чиновника с фирмой ситуация обстоит несколько иначе.
Фирма подкупает чиновника для повышения вероятности получения
государственного блага, при этом она выбирает действие: платить взятку или нет
исходя из аналогичных стратегий конкурентных фирм. Чиновник, в свою очередь,
обладает максимальной премией, которую предлагает в обмен на взятку, и если
имеется более одной фирмы, готовой предложить взятку, то эта премия делится
между ними.
Равновесие в экономике с наличием коррупции характеризуется, во - первых,
коррумпированностью всех агентов в экономике, во - вторых, неравномерным
распределением излишка между различными группами населения, в том числе и между
разными чиновниками: предоставляющими и получающими благо. Последнее связано с
тем, что в модели было рассмотрено распределение только одного вида
государственного блага, в то время, как все чиновники имеют доступ к различным
благам. Тем не менее, данные выводы указывают на то, что дифференциация в силах
чиновников в «перетягивании» общественных излишков в свою сторону объясняется
наличием у них прав распределения государственных благ различной ценности.
Другими словами, чем выше ценность блага, право на распределение которого
даётся чиновнику, тем выше его экономическая власть. Со стороны государства
данная власть ограничивается и направляется за счет механизмов, позволяющих
обнаружить нечестное поведение чиновника и наказать его.
Наконец, на четвертом этапе, расширяется вторая модификация базовой
модели с наличием блата, и в экономике уже присутствует два вида неформальных
отношений: блат и коррупция.
Сохраняются все предпосылки относительно предпочтения чиновников к
взаимодействию друг с другом, однако теперь у фирмы есть возможность заплатить
взятку, чтобы чиновник согласился взаимодействовать с нею в первом периоде.
В данном случае, две возможности нечестного заработка чиновником за счет
блата и требования взятки выступают субститутами, то есть один вид
неофициальных отношений может быть заменен другим.
Исследование модели позволяет сделать выводы о том, что ужесточение
борьбы государства с коррупцией может, во - первых, привести не к уменьшению
неформальных отношений, а к тому, что чиновники изберут пути извлечения выгод,
которые ассоциируются для них с меньшими издержкам, во - вторых, в результате
повышения рисков, чиновники будут требовать более высокие взятки с одной фирмы,
что в совокупности может привести к росту общего объема коррупционного рынка.
Равновесие в экономике с наличием блата и коррупции характеризуется коррумпированностью
всех агентов, а также присвоением чиновниками всего общественного излишка.
Заключение
Неформальные институты, представляя собой сложные социально -
экономические и правовые явления, всегда привлекали к себе большой интерес со
стороны исследователей. Данная работа была мотивирована наблюдением за тем, что
развивающимся странам присущ высокий уровень использования неформальных практик
при совершении экономических действий, что, как показывают предыдущие
исследования, способно оказывать значительное негативное влияние на развитие
экономики и общества государства.
В данной работе представлена и проанализирована модель
частичного равновесия в экономике по распределению государственного блага с
двумя типами агентов: чиновниками и фирмами. Эти агенты борются за ограниченное
государственное благо, однако характер этой борьбы и её результаты меняются в
зависимости от заданной институциональной среды.
Рассматривались четыре варианта модели. В отсутствие неформальных
институтов, равновесие характеризовалось равномерным распределением блага среди
всех агентов. Наличие блата способствовало неравномерному распределению блага в
пользу участников сети. В то же время, отношения, построенные на взаимном
доверии при блате, генерировали дополнительное положительное благо, которое
способствовало повышению общественного благосостояния в целом. Наличие
коррупции привело также к неравномерному распределению ресурса, причем, не
только между чиновниками и фирмами, но и внутри между чиновниками. При этом,
качественное направление изменений излишков различных агентов и общества в
целом представляет полную зависимость от экзогенных параметров модели:
вероятности и степени наказания, числа фирм и чиновников, а также ценности
государственного блага. Одновременное включение в базовую модель блата и
коррупции привело к присвоению чиновниками всего общественного излишка, а также
коррумпированности всех агентов в экономике.
Описывая данные результаты, стоит упомянуть основные ограничения модели.
В первую очередь, вся совокупность агентов в модели предполагалась
однородной. Устранение данного упрощения могло повлиять на полученные
результаты как минимум в двух случаях. В - первых, при рассмотрении блата,
добавочная величина
, могла иметь разную величину в зависимости от дифференциации
тесноты отношений между чиновниками внутри сети. Во - вторых, за рамками
исследования модели остаётся дальнейшая судьба использования блага чиновниками
и фирмами. Следовательно, модель игнорирует то, насколько эффективно чиновник
или фирма смогут впоследствии использовать это благо. Однако, например, если
фирма способна организовать более эффективное использование ресурса, то
общество при блате может терять больше от неэффективного распределения, нежели
выигрывать от положительных эффектов
В - третьих, вследствие предположения об однородности фирм, в равновесии
все фирмы являются коррумпированными. Однако если взять во внимание разную
производительность фирм, ввести разные издержки, ассоциируемые у них с
получением государственного блага, а также неспособность чиновника определять
платежные возможности фирм, то равновесное число коррумпированных фирм было бы
меньше.
В описании результатов также упоминалось, что мы рассматриваем распределение
только одного блага принадлежащего одному чиновнику, что при коррупции
характеризуется в равновесии обогащением только одного чиновника, обладающего
правом на распределение этого блага. Изучение же взаимодействия, например,
нескольких чиновников, обладающих правами на распределение ресурсов разной
ценности, привело бы к более сложной структуре распределения излишков в
обществе.
Наконец, мы определяем ценность государственного блага как разницу между
его рыночной и государственной стоимостью. В качестве примера приводится
ограниченное количество кредитов по льготной процентной ставке ниже рыночной.
На самом же деле, величину
можно трактовать и в более широком смысле. Например,
рыночная цена
может представлять собой цену не только официального рынка,
но и теневого. В таком случае,
будет уже представлять собой те выгоды, к которым имеют
доступ только фирмы, ведущие официальную деятельность, например, доступ на
официальный рынок кредитов, возможность рекламы своего продукта в средствах
массовой информации, право на защиту прав собственности и обеспечения
контрактов и другие.
Устранение вышеперечисленных ограничений настоящей модели могло бы
послужить в качестве одного из дальнейших направлений исследования данной темы.
Список использованной литературы
1. Автономов В.С. Модель человека в экономической науке
// СПб.: Экономическая школа. 1998.
2. Барсукова С.Ю. Коррупция: научные дебаты и российская
реальность // Общественные науки и современность. 2008. № 5. C. 36-47
3. Барсукова С.Ю. Реципрокные взаимодействия.
Сущность, функции, специфика // Социологические исследования. 2004. № 9. С.
20-29.
4. Барсукова C., Леденева А. От
глобальной коррупционной парадигмы к изучению неформальных практик: различие в
подходах аутсайдеров и инсайдеров // Вопросы экономики. 2014. № 2. C. 118-132.
5. Левин М.И., Левина Е.А., Покатович Е.В. «Лекции по
экономике коррупции» // Москва: Изд. дом Высшей школы экономики. 2011.
6. Левин М.И., Покатович Е.В. Экономический подход к
анализу нелегальной проституции // В книге: Тимофеев Л.М. Теневые экономические
системы современной России: теория - анализ - модели. Издат. Центр РГГУ. 2008.
7. Левин М., Сатаров Г. Коррупция в России: классификация
и динамика // Вопросы экономики. 2012. № 10. С.4-29.
8. Левин М.И., Шилова Н.В. Моделирование
рентоориентированного поведения в системах со сложной структурой. 2015.
9. Леденева А., Личные связи и неформальные сообщества:
трансформация блата в постсоветском обществе // Мир России. 1997. т. 6, No 4,
C. 89-106.
10. Норт Д. Институты, институциональные изменения и
функционирование экономики // Перевод на русский язык: А.Н. Нестеренко. - М.:
1997.
11. Олимпиева И. Фоновая коррупция в сфере малого и
среднего бизнеса: "оружие слабых"? // Алетейя. Санкт-Петербург. 2007.
C. 213-230.
12. Поланьи К. Великая трансформация: политические и
экономические истоки нашего вре- мени // Пер. с англ. А. Васильева, С.
Федорова, А. Шурбелева. СПб.: Алетейя. 2002.
13. Тимофеев Лев. Институциональная коррупция // М.:
Изд-во РГГУ. 2000.
14. Acemoglu Daron and James
Robinson. Why nations fail: the origins of power, prosperity, and poverty //
New York: Crown Publishers. 2013.
15. Acemoglu, D. and Verdier
Th. The choice between Market Failures and Corruption // American Economic
Review. 2000. Vol. 90. P. 194-211.
16. Asea, Patrick K. The
Informal Sector: Baby or Bath Water? // Carnegie-Rochester Conf. Series Public
Policy. 1996. P. 163-171.
17. Avner Greif and David
Laitin. A Theory of Endogenous Institutional Change // American Political
Science Review. 2004. Vol. 98, No 4. P. 633-652.
18. Boettke Peter, Christopher
Coyne and Peter Leeson. Institutional Stickiness and the New Development
Economics // American Journal of Economics and Sociology. 2008. Vol. 67, No. 2.
19. Buehn Andreas, Schneider Friedrich.
Corruption and the Shadow Economy: A Structural Equation Model Approach // The
Institute for the Study of Labor (IZA). 2009.
20. Brasz H. A. Some Notes on
the Sociology of Corruption // Sociologia Neerlandica 1. Autumn 1963. P.
111-128.
21. Campos, J. E., Lien, D.
and Pradhan, S. The impact of corruption on investment: predictability matters
// World Development. 1999. 27(6). P. 1059-1067.
22. Choi J.P. and Thum M.
Corruption and the Shadow Economy // International Economic Review. 2005. Vol.
46. No. 3. P. 817-836.
23. Collier P. Ethnicity,
Politics and Economic Performance // Economics and Politics. 2000. Vol. 12,
Issue 3. P. 225-245.
24. Cuervo - Cazurra Alvaro .
Better the devil you don't know: Types of corruption and FDI in transition
economies // Journal of International Management. 2008. No. 14. P. 12-27.
25. Elliot K. Corruption and
the Global Economy // Institute for International Economics, Washington, D.C.
1997. P. 175-233.
26. Enste Dominik and
Schneider Friedrich. Hiding in the Shadow: The Growth of the Underground
Economy // IMF. March, 2002.
27. Farida Moe and Esfahani
Fredoun. Modelling Corruption in a Cobb-Douglas Production Function Framework
// Australian Agricultural and Resource Economics Society Conference Paper.
2007.
28. Garcia-Bolivar Omar E.
Informal economy: is it a problem, a solution or both?The perspective of the
informal business // Northwestern University School of Law: Law and Economics
Papers.2006.
29. Gupta M.R., Chaudhuri S.
Formal Credit, Corruption and the Informal Credit Market in Agriculture: A
Theoretical Analysis // Economica. 1997. Vol. 64. No. 254. P. 331-343.
30. Helmke Gretchen and Steven
Levitsky. Informal Institutions and Comparative Politics: A Research Agenda //
Cambridge University Press. 2004.Vol.2, Issue 4. Р. 725 - 740.
32. Huntington, S.P. Political
Order in Changing Societies // New Haven: Yale University Press. 1968. P.
59-71.
33. Jackson O. Matthew. The
study of social networks in economics // Russel Sage Foundation: New York.
2007.
34. Jütting
Johannes.
Institutions and Development - A Critical Review // OECD Working Paper No.210.
2003.
35. Karl T. L. Understanding
the Resource Curse // Covering Oil: A Reporter’s Guide to Energy and
Development. Open Society Institute. 2005. P. 21-26.
36. Kaufmann, D. Corruption:
the facts // Foreign Policy. 1997. P. 114-131.
37. Kaufmann, D. and
Siegelbaum, P. Privatization and corruption in transition economies // Journal
of International Affairs. 1997. Vol.50. P. 519 - 558.
38. Khanna Jyoti and Johnston
Michael. India’s middlemen: connecting by corrupting?// Crime Law Soc Change.
2007. No. 48. P.151-168.
39. Kotsogiannis Christos,
Dreher Axel and Steve McCorriston. How do Institutions Affect Corruption and
the Shadow Economy? // University of Exter Discussion Paper. February 21, 2005.
40. Krueger A.O. The Political
Economy of the Rent-Seeking Society // American Economic Review. 1974. Vol. 64,
issue 3. P. 291 - 303.
41. Laffont Jean-Jacques and
Jean Tirole. The Politics of Government Decision-Making: A Theory of Regulatory
Capture // The Quarterly Journal of Economics. 1991. Vol. 106, No. 4. P. 1089 - 1127.
42. Lauth, Hans-Joachim.
Informal institutions and democracy // Democratization. 2000. No.7 (4). P.
21-50.
43. Ledeneva A. Unwritten
rules. How Russia really works // Centre for European Reform. 2001.
44. Ledeneva A., Shekshnia S.
Doing Business in Russia: Informal Practices and Anti-Corruption Strategies //
Russie. Nei. Visions. 2011. No. 58.
45. Leff, N.H. Economic development
through bureaucratic corruption // American Behavioral Scientist. 1964. No. 8.
P. 8-14
46. Luo, Y. Corruption and
organization in Asian management systems // Asia Pacific Journal of Management.
2002. No. 19. P. 405-22.
47. Macrae John.
Underdevelopment and the Economics of Corruption: A Game Theory Approach //
World Development. 1982. Vol. 10. No. 8. P. 677-687.
48. Mauro, P. Corruption and
Growth // Quarterly Journal of Economics. 1995. P. 681-712.
49. Mershon Carol A.
Expectations and informal rules in coalition formation // Comparative Political
Studies. 1994. No. 27 (1). P. 40-79.
50. Mookherjee D. Corruptible
law enforcers: how should they be compensated? // The Economic Journal. 1995.
Vol.105. P. 145 - 159.
51. Ngalawa Harold and Viegi
Nicola. Interaction of formal and informal financial markets in quasi-emerging
market economies // Economic Modelling, Elsevier. 2013. Vol. 31(C). P. 614-624.
52. Pejovich S. The Effects of
the Interaction of Formal and Informal Institutions on Social Stability and Economic
Development // Journal of Markets & Morality. 1999. No. 2. P.166-167.
53. Pesendorfer W. Design
Innovation and Social Cycles // American Economic Review. 1995. No.85. P.
771-792.
54. Podolny J.M. A
Status-Based Model of Market Competition // American Journal of Sociology.
1993. No.98. P. 829-872.
55. Rose-Ackerman S. The
economics of corruption // Journal of Public Economics. 1975. Vol. 4, issue 2.
P. 187 - 203.
56. Rose-Ackerman S.
Corruption: a Study in Political Economy. New York; San Francisco; London:
Academic Press. 1978.
57. Rose-Ackermann S.
Corruption and Development // Washington D.C.: The World Bank: Annual Bank
Conference on Development Econ. 1997.
58. Scott J. The Analysis of
Corruption in Developing Nations // Comparative Studies in Societies and
History. 1969. Vol. 11, No 3. P. 315-341.
59. Shleifer A. and Robert W.
Vishny. Corruption // The Quarterly Journal of Economics. Aug., 1993. Vol. 108,
No. 3. P. 599-617.
60. Shleifer A. Djankov S., La
Porta R., Lopez-De-Silanes F. The Regulation of Entry // The Quarterly Journal
of Economics, MIT Press. 2002. Vol. 117(1). P. 1-37.
61. Tadelis S. What's in a
Name? // American Economic Review. 1999.
62. Taylor R. Curtis. The
old-boy network and the young-gun effect // International Economic Review.
November 2000. Vol.41. No.4. P. 871-891.
63. Tilman Robert.
Administration, Development, and Corruption: The Emergence of Black-Market
Beaurocracy // Southern Political Science Association annual meeting. November,
1967.
64. Udo C. Braendle, Tanja
Gasser, and Juergen Noll. Corporate Governance in China-Is Economic Growth
Potential Hindered by Guanxi? // Business and Society Review. 2005. No.110 (4).
P. 389-405.
65. Wei, S.J. How taxing is
corruption on international investors? // The Review of Economic and
Statistics. 2002. No.82. P. 1-11.
66. Wellman, B. Network
analysis: Some basic principles // Sociological Theory. 1983. No.1. P. 155-200.
Электронные ресурсы:
. Елена Старикова. Встречи депутатов с народом сделают
избирательными. [Электронный ресурс] // ФедералПресс:
информационное агентство. М.: 03.02.2017г. URL: http://fedpress.ru/article/1737693 (дата обращения: 09.03.2017г.).
. Федеральный закон "О противодействии
коррупции" от 25.12.2008 N 273-ФЗ [Электронный ресурс] // КонсультантПлюс.
URL: https://www.consultant.ru/document/cons_doc_LAW_82959
(дата обращения: 09.02.2017).
3. [Электронный ресурс] // Transparency International. URL: http://www.transparency.org (дата обращения:
19.02.2017).