Анализ неформальных институтов в виде коррупции и неформальных сетей и их влияния на распределение благ между различными группами населения и производительность экономики
Введение
Неравенство уровня жизни и доходов между разными странами и
группами населения - великая нравственная проблема нашего времени. Несмотря на
многочисленные попытки международного сообщества решить эту проблему, разрыв
между богатыми и бедными продолжает расти.
В то же время, факт того, что неформальные институты играют
важную роль в определении экономических показателей и распределении ресурсов,
получил широкое признание среди экономистов, эконом - социологов и политиков.
Данная работа посвящена изучению неформальных институтов в
виде коррупции и неформальных сетей, их влияния на распределение благ между
различными группами населения и производительность экономики в целом, а также
сравнению экономических эффектов от двух этих форм неформальных практик.
Целью работы является выявление экономических равновесий при
наличии неформальных институтов.
Для достижения данной цели, в рамках настоящего исследования
анализируется модель частичного равновесия в экономике по распределению
государственного блага с двумя типами агентов: чиновниками и фирмами.
Фирмы представляют собой однородную совокупность агентов,
борющихся за получение ограниченного государственного блага. Чиновники, в свою
очередь, обладают правом на распределение государственных ограниченных ресурсов
и выполнение услуг, как для фирм, так и для других чиновников. Таким образом,
чиновники представляют интерес не только для фирм, но и друг друга, так как
каждый отдельный чиновник имеет доступ к различным ресурсам.
Рассматривается четыре вариации модели: модель в отсутствие
неформальных институтов, модель с блатом, модель с коррупцией и модель с блатом
и коррупцией.
Базовая модель равновесия характеризуется равномерным
распределением государственного блага между двумя группами населения:
чиновниками и фирмами.
Во второй постановке модели включаются неформальные отношения
в виде блата, что в рамках модели характеризуется предпочтением участниками
одной сети, чиновниками, взаимодействовать друг с другом, что приводит к
неравномерному распределению блага между двумя группами населения, однако
увеличивает совокупное благосостояние общества.
В третьей вариации модели исследуется влияние коррупции на
распределение блага и общественное благосостояние, при этом коррупция принимает
две разные формы в зависимости от того, какие агенты взаимодействуют: чиновник
- чиновник или чиновник - фирма. Равновесие в экономике с наличием коррупции
характеризуется, коррумпированностью всех агентов, а также неравномерным
распределением блага, как между чиновниками и фирмами, так и между самими
чиновниками.
В четвертой спецификации модели равновесие в экономике с
наличием блата и коррупции характеризуется коррумпированностью всех агентов, а
также присвоением чиновниками всего общественного излишка.
Исследование взаимосвязей между различными параметрами модели
позволяет сделать выводы о способах влияния различных факторов на равновесное
распределение благ в экономике.
В частности, анализ модели показывает, что с ростом
количества конкурирующих фирм на рынке равновесный размер взятки с одной фирмы
увеличивается. В то время, как рост вероятности и степени наказания при
существовании только коррупции приводит к снижению равновесного размера взятки,
при наличии коррупции и блата аналогичное ужесточение мер по борьбе с
коррупцией приводит, наоборот, к росту равновесного размера взятки. При этом
две возможности в виде коррупции и блата служат субститутами для чиновника и,
когда один из способов извлечения выгоды ассоциируется с большими издержками,
чиновник переключается на альтернативный способ обогащения.
1. Исследование неформальных институтов
По определению Дугласа Норта, «институты - это «правила игры»
в обществе, или созданные человеком ограничительные рамки, которые организуют
взаимоотношения между людьми».
Под неформальными институтами подразумеваются различные
традиции, обычаи, религиозные верования и другое, то есть часть общественного
наследия, которая именуется культурой. Такие институты прививаются молодому
поколению более старым поколением через такие механизмы как обучение и убеждение.
Если человеком не выполняются определенные правила, заданные
внутри общества, то на него налагаются санкции в виде наказания. С точки зрения
неформальных институтов, санкциями служат осуждение со стороны общественности,
потеря репутации, изгнание из группы или игнорирование внутри нее и многое
другое. Традиции же возникли благодаря взаимодействиям между древними людьми,
которые являлись основой для их выживания.
В отличие от большинства институционалистов,
сосредотачивающих своё внимание на формальных институтах, Гретхен Хельмке и
Стивен Левицкий (2006) одними из первых вышли за рамки изучения формальных
институтов и серьезно отнеслись к неформальным «правилам игры».
Они утверждают, что для того чтобы понять как и насколько
эффективно работают демократические институты, исследователи должны уделять
особое внимание неформальным институтам, особенно там, где они превалируют над
своими формальными аналогами.
Как объясняют авторы, «...начав полевые исследования ... мы
были поражены огромным разрывом между формальными институтами, которые мы
пришли изучать ... и неформальными реалиями, с которыми мы столкнулись на
месте».
Даже в тех областях, которые традиционно являлись
исключительной областью формального институционального анализа, исследования
показали, что неформальные правила оказывают мощное, а порой и систематическое
воздействие на институциональные результаты.
Неформальные институты представляют большой интерес для
исследователей, так как они способны оказывать существенное влияние на значимые
процессы, происходящие в экономической, социальной и политической сферах
общества.
Для экономистов неформальные институты интересны тем, что
последние влияют на распределение ограниченных ресурсов, трансакционные
издержки, подрывают принципы честной конкуренции, увеличивают неопределенность,
влияют на ожидания и выбор людей.
Одной из основных причин, привлекающих внимание, конечно,
служит то, каким образом неформальные институты влияют на результаты работы
формальных институтов. Ведь в то время как деятельность формальных институтов
наблюдаема, измерима, и правительство может прямо влиять на неё с помощью
закона, неформальные институты не наблюдаемы для третьих лиц. Сбор и оценка
данных и факторов коррупции и теневой экономики затруднительны, потому как по
своей природе они являются противозаконными и, следовательно, вовлеченные в
данные виды деятельности агенты делают все, чтобы остаться незамеченными. Более
того, данные процессы являются достаточно «гибкими». Они способны
приспосабливаться и меняться в зависимости от действующих ограничений в
обществе. Практический аспект данных особенностей связан с тем, что они создают
серьезные проблемы для правительств при принятии эффективных противодействующих
мер, в силу чего, очень часто данные меры оказываются несостоятельными.
Развивая идеи Lauth (2000) и Helmke and Levitsky (2006) можно выделить
четыре вида неформальных институтов: дополняющие, замещающие, аккомодационные и
конкурентные.
Данная типология проводится в разрезе двух измерений:
1. эффективности и неэффективности формальных
институтов, где эффективность определяется тем, насколько формальные правила и
процедуры выполняются и соблюдаются на практике;
. степени совпадения последствий формальных и
неформальных институтов, то есть, влечет ли использование неформальных практик
к схожим либо иным результатам, по сравнению с теми, которые ожидаются
вследствие строгого соблюдения исключительно формальных правил.
Дополняющие неформальные институты обычно «заполняют
пробелы», которые неизбежно остаются в формальных правилах. Примерами могут
служить различные нормы и процедуры, облегчающие принятие решений и координацию
в рамках бюрократических учреждений. Они могут также создавать и усиливать
мотивы к соблюдению формальных правил, которые иначе существовали бы только на
бумаге.
В качестве примера можно привести неформальные встречи и
переговоры, проводимые депутатами с населением, направленные на то, чтобы
согласовать интересы различных групп общества, и тем самым упрочить свою
легитимность. Данные процедуры способствуют дополнительной стабилизации, так
как политики имеют возможность учесть мнения оппозиционно настроенной части
населения и скорректировать впоследствии свою политику.
Аккомодационные неформальные институты существенно изменяют
последствия, предусмотренные формальными правилами, однако прямо не нарушают их
- «они противоречат духу, но не букве формальных правил» (Helmke and Levitsky, 2004, p.733). Примером данного
типа институтов может служить набор различных неформальных норм в виде блата.
Использование блата, не являясь в строгом смысле противозаконным, приводит к
кардинальным изменениям в распределении ресурсов, нежели при следовании одним
формальным правилам.
Другим характерным примером для недемократических обществ
может выступать процесс замещения должности президента, когда формально
проводятся всенародные выборы, а фактически реальный выбор осуществляется не на
избирательных участках, а в узких элитных кругах.
Конкурентные неформальные институты определяют мотивы
поведения так, что последние становятся несовместимы с формальными правилами и,
следуя одним правилам, агенты вынуждены нарушать другие. Неэффективность
формальных институтов может быть очевидна, однако неформальные процедуры не
могут быть формализованы в силу своей противозаконности и нарушения моральных
принципов.
Нерешенность социально - экономических проблем, таких как,
например, поступление в ВУЗ или получение водительских прав, толкает людей к
использованию неформальных процедур в виде связей и дачи взятки, которые
зачастую являются единственной возможностью для реализации своих интересов.
Другими примерами такого рода институтов выступают кланы,
клиентелизм и патримониализм, существующие для сосредоточения власти и ресурсов
в рамках определенных групп людей. Основным залогом успеха в обществах с такими
институтами являются связи, отношения, основанные на личной преданности и
покровительстве.
Наконец, замещающие неформальные институты стремятся к
достижению тех же результатов, что и формальные институты, однако в силу
слабости последних, обеспечивают большую эффективность. Они становятся
доминирующими, когда государство не в состоянии обеспечить легитимность
формальных институтов.
Наиболее ярким примером данного типа институтов могут
выступать, услуги «крышевания» со стороны криминальных и правоохранительных
структур, которыми пользовалось большинство предпринимателей в 90х. годах после
распада Советского Союза, так как формальные институты защиты прав
собственности были еще не развиты.
На сегодняшний день надобность в данном роде института у
легального бизнеса отпала, и в их услугах нуждаются люди и структуры,
занимающиеся незаконными видами деятельности (Ledeneva and Shekshnia, 2011), такими как
наркоторговля, игорный бизнес и проституция.
Несомненно, для экономистов и политиков наибольший интерес
представляют аккомодационные и конкурентные институты, так как их последствия
противоречат идеям, лежащим в основе формальных институтов. В рамках данной
работы, в качестве дальнейшего предмета исследования неформальных институтов
будут взяты два наиболее ярких представителей аккомодационных и конкурентных
институтов в форме коррупции и личных связей.
1.1 Определение коррупции и её виды
В широком смысле, под коррупцией подразумевается
злоупотребление должностными полномочиями с целью извлечения личной выгоды.
Федеральный закон РФ от 25 декабря 2008 года №273-ФЗ "О
противодействии коррупции" определяет коррупцию, как: «злоупотребление
служебным положением, дача взятки, получение взятки, злоупотребление
полномочиями, коммерческий подкуп либо иное незаконное использование физическим
лицом своего должностного положения вопреки законным интересам общества и
государства в целях получения выгоды в виде денег, ценностей, иного имущества
или услуг имущественного характера, иных имущественных прав для себя или для
третьих лиц либо незаконное предоставление такой выгоды указанному лицу другими
физическими лицами. А также совершение вышеуказанных деяний от имени или в
интересах юридического лица».
Разнообразие практик и схем коррупционной деятельности
затрудняют однозначную ее интерпретацию, но «все они включают два момента: во -
первых, «переход границы» от общественного (ресурсов, мотивов, целей) к
частному; во-вторых, это «болезнь», девиация, отклонение от нормы». Таким
образом, предполагается, что «эти две сферы не просто разделены и функционируют
по отличным нормам и правилам, но их смешение вредно и опасно для общества».
Тилман (1967) и Браш (1963) предлагают добавить к значению
стандартного термина коррупции также критерий «секретности», который будет
выступать явным знаком того, что общественные нормы нарушаются.
К настоящему времени, многие исследователи сходятся во мнении
о том, что коррупционная парадигма, навязанная всем странам западным миром, не
работает в развивающихся странах (Барсукова, Леденева, 2014; Brasz, 1963; Scott, 1969). Трансакции,
которые формально принято считать коррупционными, могут совершенно не
восприниматься таковыми со стороны общественности, а также людей, в них
непосредственно участвующих. «Коррупция - это не ситуация или трансакция, а ее
интерпретация с позиций правовой и этической перспектив».
К настоящему времени не существует четко определенного
перечня разновидностей коррупции. Как правило, многообразные коррумпированные
практики систематизируют и классифицируют, опираясь на различные сравнительные
критерии, такие как: размер и форма взяток, предмет трансакции, сфера
распространения, типы участников и др.
Марк Левин и Георгий Сатаров в своей работе «Коррупция в
России: классификация и динамика» различают бытовую коррупцию, порождаемую
взаимодействием рядовых граждан и чиновников или работников государственного
сектора (образование, здравоохранение, судопроизводство, военный призыв и т.п.)
и деловую коррупцию, охватывающую сферу взаимодействия бизнеса и власти.
При этом они отмечают, что в развивающихся странах с высоким
уровнем коррупции преобладает бытовая коррупция, а в развитых западных странах
- деловая коррупция (Левин и Сатаров, 2012).
Кимберли Эллиот (1997) выделяет в своей статье мелкую
коррупцию, связанную с небольшими взятками, предназначенными для ускорения
процесса выдачи разрешений и других услуг от крупной коррупции, где чиновники
перераспределяют ограниченные контракты и субсидии фирмам, которые в свою
очередь платят значительные взятки.
Схожую с Эллиотом классификацию коррупции проводит Ирина
Олимпиева (2007), но при этом оперирует качественно другими характеристиками -
она проводит разграничение исходя не из средних размеров взяток, а из позиции
взяткодателей.
Так, она выделяет «активную, агрессивную» стратегию взяткодателя,
направленного на извлечение дополнительной выгоды и получение некого выгодного
ограниченного государственного ресурса, и вынужденную пассивную стратегию, как
защитную реакцию на давление враждебной среды в виде несовершенств норм и
бюрократического регулирования.
Cuervo - Cazurra (2008) провел исследование влияния коррупции в
развивающихся странах с переходной экономикой на прямые иностранные инвестиции
в них. При этом он выделил два вида коррупции: повсеместную (pervasive) и произвольную (arbitrary).
Он объяснил, что повсеместная коррупция воспринимается
зарубежными инвесторами как заданная величина и увеличивает известные издержки
инвестирования, в то время как произвольная коррупция является неизвестной
величиной и становится частью неопределенности ведения бизнеса в стране с
переходной экономикой.
Андрей Шлейфер и Роберт Вишни (1993) рассмотрели два вида
коррупции в государственном секторе: коррупция без кражи и коррупция с кражей.
Под коррупцией без кражи, подразумевалось действие, когда
чиновник берет как обязательную плату за оказанную услугу, так и взятку.
Примерами могут служить: продажа лицензии, предоставление паспорта и т.п.
При коррупции с кражей, чиновник скрывает от государства акт
оказания услуг. В данном случае вся плата будет представлять собой взятку, и
данная взятка может быть ниже официально установленной цены. Как пример,
таможенник может позволить провести товар через границу за меньшую плату, чем
официальная пошлина, и впоследствии не передавать ничего государству.
Главным отличием этих двух форм коррупций служит цена
предоставляемой услуги. В то время как в первом случае цена завышается, то во
втором случае цена для покупателя становится ниже официально установленной.
Следовательно, второй вид коррупции может быть привлекателен не только для
коррупционера, но и для взяткодателя.
Также авторы обращают внимание на то, что коррумпированные
чиновники могут вести свою деятельность как независимо друг от друга, так и в
единой монополистической системе. Они считают, что централизованная бюрократия
уменьшает коррупцию, потому что чиновники в централизованной бюрократии
принимают во внимание негативное влияние своих действий (установления размера
взяток) на других чиновников. Децентрализованная система наоборот увеличивает
коррупцию, так как в данном случае чиновники не принимают во внимание эту
экстерналию.
Джеймс Скотт (1969) различает «местническую» и «рыночную»
коррупцию. Местническая коррупция определяет ситуацию, когда доступ к власти и
благам определяется связями родства и привязанности, в то время как рыночная
коррупция представляет собой безличностный процесс, в котором влияние доступно
тем, кто может «заплатить» (предоставить в обмен что-то материальное или
услугу).
Не смотря на то, что, несомненно, у всех видов или отдельных
типов коррупции есть много общего (злоупотребление положением, скрытый обмен,
неформальные договоренности и др.), разного рода классификации можно скорее
назвать частными примерами, и с осторожностью применять их к разным странам.
Это связано с тем, что одна и та же, на первый взгляд, трансакция может иметь
совершенно разные причинно-следственные связи, которые на самом деле и несут в
себе основную движущую силу коррупции и определяют её.
На коррупцию необходимо смотреть не как на отдельный
независимый объект, не как причину, а как на следствие. По своей сути коррупция
является отражением реальности, она является не «болезнью», а «симптомом»,
который говорит о том, что где-то в системе имеется изъян или пустота, которую
она заполняет. Формальная система устроена так, что она не учитывает многих
интересов агентов, а коррупция учитывает. Борясь с коррупцией, общество
фактически борется с симптомами, тогда как болезнь снова и снова будет давать о
себе знать.
Отталкиваясь от термина коррупции, возможность существования
коррупции обуславливается в первую очередь наличием у должностного лица
определенной меры независимости в принятии решений, свободы действий.
Во - вторых, привлекательностью коррупции для того, кто дает
взятку. Возможность коррупционной деятельности для взяткополучателя и так
понятна: он извлекает дополнительную выгоду от своего должностного положения,
присваивает доход, который принадлежит государству. Для взяткодателя можно
привести четыре общих случая, когда ему будет выгодно прибегнуть к даче взятки.
. Когда бюрократические издержки в виде времени, сил,
упущенных возможностей превышают над величиной взятки, которую необходимо
заплатить, чтобы решить проблему. Данный вид коррупции, как мы отмечали ранее,
является наиболее распространенным в развивающихся и восточных странах.
Причинами существования данного вида коррупции являются, с одной стороны,
неэффективность и несоответствие формальных норм и правил требованиям реального
рынка, с другой, попытками чиновников манипулировать формальными правилами и своим
положением с целью извлечения ренты. В данном случае взятку сложно назвать
выгодным путем решения проблемы, а скорее единственно возможным. Подобные
препятствия, как показывают опросы, влекут серьезные потери для малого бизнеса,
вплоть до угрозы его существования (Олимпиева, 2007).
. Когда взяткой можно заменить уплату официальных
сборов, таких как штрафы или налоги. Здесь с наибольшей вероятностью
инициатором коррупции будет выступать взяткодатель. Наиболее очевидными
причинами такого рода коррупции может выступать чрезмерное налоговое бремя и
высокая степень неуважения к закону. Ряд авторов утверждает, что введение
чрезмерных и дискреционных правил представляют собой один из основных
источников коррупции (Rose-Ackerman, 1975; Acemoglu and Verdier, 2000; Collier, 2000).
. Когда коррупция обслуживает нелегальные виды
деятельности, и прибыли от криминального бизнеса превышают величину взяток,
необходимых для создания и поддержания возможности заниматься данными видами
деятельности. Причины: слабые законы; правоохранительные органы слишком слабы,
чтобы бороться с криминальными структурами, фактически, происходит захват
власти.
. Когда коррупция обеспечивает доступ к ограниченным
ресурсам. Правовая и культурная среда такова, что у отдельных групп и лиц, во-первых,
возникает стимул к присвоению ценных ресурсов нечестными методами, во-вторых,
существуют возможности реализовать этот стимул.
Виды деятельности, которые предоставляют возможности для
развития коррупции, включают в себя: регулирование или лицензирование для
начала (входа) конкретных видов деятельности; управление распределением или
доступом к государственным товарам и услугам; контроль над принятием решений по
государственным инвестиционным контрактам; контроль над наймом и продвижением
по службе в государственном секторе и другие (Schneider and Enste, 2002).
В этом отношении, борьба с коррупцией требует
административных реформ по сокращению бюрократических процессов, установлению
большей прозрачности, изменению институциональных стимулов, образованию и
наказанию, и прежде всего, политической воли в устранении коррумпированных
чиновников (Garcia-Bolivar, 2006).
Андрей Шлейфер и Роберт Вишни (1993) видят причину
распространенности коррупции в конкуренции, как между чиновниками, так и между
покупателями услуг. Конкуренция между чиновниками может присутствовать при
устройстве на работу, где в коррумпированной системе работу получает тот, кто
дает взятку. Конкуренция среди покупателей услуг заключается в том, что при
коррупции с кражей, то есть когда величина взятки ниже официально установленной
стоимости, взяткодатель получает конкурентное преимущество перед честными
фирмами.
.2 Экономические аспекты неформальных сетей и личных
связей
Распространенной формой неформальных институтов выступают
взаимодействия, основанные на личных связях, принадлежности определенному
сообществу или категории людей.
Наша жизнь полна неформальных взаимоотношений в рамках семьи,
круга друзей, знакомых. Поведение работников или взаимодействия между коллегами
одного предприятия регулируются не только трудовыми контрактами и уставом, но и
основываются на взаимной симпатии, общении вне работы, неформального обмена и
помощи, что формально нигде не прописывается. Несмотря на свою, на первый
взгляд, социальную природу, данные связи, как показывает практика, могут
оказывать существенное влияние на распределение ресурсов в экономике.
Сети могут включать в себя сочетание иерархических, взаимных
и зависимых отношений, отражающих дифференцированный доступ к ограниченным
ресурсам в обществе (Jackson, 2007; Wellman, 1983). Несмотря на то, что сети менее формальны
и менее четко определены, они, тем не менее, являются системами координации,
создаваемыми для достижения целей, которые преследуются и, по крайней мере,
частично разделяются несколькими лицами. Люди могут быть частью нескольких
пересекающихся сетей одновременно: профессиональных сетей, семейных сетей,
сетей друзей и др., все из которых помогают защитить и упрочить положение
человека в обществе.
Сети порождают неравенство возможностей, так как своим
существованием они создают коллективное благо (информация, влияние и
богатство), доступ к которому ограничен кругом членов сети (Taylor, 2000).
Существование определенных сетей (профессиональных,
дружеских, семейных и др.) и ограниченность доступа к ним естественно, так как
не все агенты в обществе способны привнести и приумножить то коллективное
благо, которое генерируется внутри сети. Однако личные связи и сети создают
также другие неформальные привилегии, которые подрывают принципы честной конкуренции.
Эти привилегии имеют ценность для самих членов сети, и способно приносить
пользу лично им, но не обществу. Это порождает несправедливость и
неэффективность: несоответствие между понесенными затратами и полученными
выгодами, неэффективное распределение ограниченных ресурсов (трудовых,
финансовых, временных).
Сети порождают взаимные обязанности и привязанности,
формируют ожидания членов сетей относительно действий друг друга, складываются
отношения реципрокности. Являясь членом сети или общества, человек уже не
действует согласно классической экономической теории как эгоистичный
максимизатор, а встраивается в систему и ведет себя согласно функции поведения
(с альтернативами выбора и их последствиями) заданной ему извне, выбирая не
максимальный, а наиболее удовлетворяющий его вариант (Автономов, 1998).
Доминирование рыночных отношений над социальными возникло
сравнительно недавно (Барсукова, 2004; Поланьи, 2002). Современные переходные
экономики страдают от превалирования неформальных отношений в силу того, что
рыночные отношения были «насажены» искусственным путем на традиции, обычаи и
социальные нормы, существующие на тот момент в обществе. В связи с этим,
видится приоритетным рассмотрение неформальных связей в рамках конкретного
общественного устройства. Рассмотрим примеры неформальных сетей и связей на
примере трех развивающихся стран с переходными экономиками: России, Китая и
Индии.
Блат в России.
Одним из широко распространенных неформальных институтов на
территории стран бывшего Советского Союза, является "блат".
Ключевые работы, в которых глубоко изучается феномен блата в
России, принадлежат Алене Леденёвой. По определению Алены Леденевой, под блатом
стоит понимать «использование личных контактов для получения доступа к
общественным ресурсам: товарам, услугам, источникам дохода и привилегиям. Блат,
таким образом, служит практикой обхода формальных процедур, регулирующих доступ
к ресурсам».
Будучи укорененной в советской системе, практика блата
существенно изменилась в постсоветских условиях. На основе результатов интервью
с представителями различных профессий, приведенных в работах Алены Леденёвой,
можно выделить три стадии блата, в зависимости от выполняемых ими функций.
Во время советского союза блат помогал предприятиям выполнять
государственный план, а гражданам получить доступ к дефицитным товарам и
услугам. Блат являлся стратегией выживания (для фирм и населения) в условиях
жестких формальных ограничений, неспособных удовлетворить нужды общества.
В 90х. годах блат сыграл основную роль в распределении и
приватизации государственной собственности.
В нынешних рыночных условиях, когда основным дефицитным
товаром являются деньги, блат используется для получения доступа к денежным
ресурсам и источникам их получения, включая рабочие места и образование. Блат
также служит средством использования чиновничьего аппарата, особенно там, где
«возможность прямой дачи взятки исключена». Таким образом, в некоторых случаях,
блат является более эффективным инструментом по сравнению с взяткой для
получения доступа к услуге (Леденева, 1997).
Леденёва также использует понятие "неписанных
правил" - неписанные правила как мета-правила или правила о правилах, то
есть правила, регулирующие применение других правил (Ledeneva, 2001).
Неписаные правила - это знания, необходимые для «навигации»
между формальными и неформальными наборами правил, а также между правилами и
принуждением к их исполнению. Они определяют способы обхода ограничений, как
формальных, так и неформальных, манипулирования их исполнением в свою пользу и
избежания наказания путем творческого комбинирования элементов правил игры.
Леденева объясняет, что если мы проведем различие между
организациями, которые обеспечивают соблюдение преимущественно формальных
ограничений и социальными сетями, обеспечивающих в основном исполнение
неформальных ограничений, то неписаные правила регулируют способы
взаимодействия организаций и сетей. Например, способы, с помощью которых старые
связи или непотизм проникают в современные институты, руководствуются
неписаными правилами. Советский блат - широко распространенное использование
личных связей для получения дефицитных товаров и услуг - является классическим
примером неписаных правил, согласно которым ресурсы из официальной
распределительной системы перемещались в неформальные сети.
Блат имел функцию в советской системе, так как он помогал
смягчать жесткие ограничения официальной экономики. В современной России
неписаные правила связывают формальный и неформальный сектора экономики и
преобладают в областях, освобожденных от государственного влияния, но еще не
заполненных гражданским обществом.
Неписаные правила существуют во всех обществах, но
преобладают (и даже становятся незаменимыми) в тех странах, где правоприменение
наряду с формальными и неформальными правилами не представляют собой
согласованные правила игры.
Так, Дуглас Норт показывает, что, когда люди воспринимают
структуру правил системы как справедливую, трансакционные издержки низки, и
затраты на обеспечение принудительного соблюдения незначительны, что
способствует эффективности экономики. Когда люди воспринимают систему как
несправедливую, стоимость трансакций увеличивается. Другими словами, если люди
не могут последовательно следовать формальным и неформальным наборам правил,
это будет отражено в их слиянии, и в определенных закономерностях следования
правилам (Норт, 1997).
Зависимость от неписаных правил является следствием
неэффективности формальных правил и механизмов их обеспечения, с одной стороны,
и отсутствием у людей уважения к формальным правилам и их эксплуататорскому
отношению к формальным институтам - с другой. Соответственно, при объяснении
причин превалирования неписаных правил в России следует учитывать эти два
фундаментальных набора факторов. Один набор обусловлен природой ориентированных
на будущее формальных правил, то есть законодательством, направленным на
изменение политического и экономического порядка в России и, в то же время,
лазейками в его формулировании и обеспечении соблюдения.
Несогласованность формальных правил вынуждает почти всех
россиян, добровольно или неохотно, нарушать их и играть по правилам, введенным
и согласованным вне официальных институтов.
Повсеместный характер таких практик делает невозможным
наказать всех. Неписаные правила появляются с целью компенсировать недостатки в
правилах игры и сформировать основу для избирательного наказания. «Нарушение
неписаных правил может привести к исполнению формальных правил, что
парадоксально делает более важным соблюдение неписаных правил, чем писаных». Например, используя связи
в различных федеральных и региональных органах власти, можно организовать
открытие (или закрытие) уголовного дела, или чтобы обвинение в уклонении от
уплаты налогов продолжили (или просто забыли). В таких условиях у людей всегда
возникает дилемма относительно того, каким правилам следовать. Появляются
неформальные возможности давления на выбор агентов, а также неспособность
агентов защититься формальными методами от этого неформального давления. Для
агентов существует не одна институциональная среда, а две, а может и больше,
сосуществующих одновременно, между которыми им необходимо маневрировать.
Несомненно, это создает дополнительные трансакционные издержки для агентов,
однако их необходимо сравнивать с альтернативными издержками, которые могли бы
возникнуть в отсутствие неформальных правил.
Гуанькси в Китае.
Китайцы рассматривают каждое событие и трансакцию в свете
возможных последствий для социальной сети, потому что поддержание отношений
почти всегда является более важным, чем детали отдельно взятого соглашения. В
отличие от западной деловой культуры, где трансакция выступает базой, китайцы
полагаются на отношения. В то время как на Западе успешного бизнесмена
определяют как «богатого», в Китае его характеризуют как «с большими связями» (Luo, 2002). Поэтому гуанькси
является главным активом большинства китайских фирм.
Действия, способствующие развитию сильного гуанькси, могут
включать приглашения посетить свой дом или предприятие, развлечения, подарки,
использование вспомогательных посредников и т.д. (Udo, 2005). Поэтому, основной
идеей гуанькси является связь между людьми, которая создает обязательства для
постоянного обмена благосклонностями.
Существуют различные уровни гуанькси, основанные на том,
насколько близки взаимоотношения вовлеченных сторон. Первый тип, jiaren, обозначает
самые близкие отношения, а именно, членов семьи. Хотя родство, несомненно,
является самым близким отношением, китайцы могут рассматривать чрезвычайно
надежных лиц как членов семьи, даже если они не связаны кровью. Если человек -
китаец или иностранец - рассматривается как часть семьи, он является jiaren и
имеет статус члена семьи.
Второй тип гуанькси представляет shuren - лица, с которыми
существуют общности. Такие общности могут быть найдены между жителями одного
села, бывшими одноклассниками или членами клуба. Данные связи также могут
способствовать развитию гуанькси.
Третья категория состоит из shengren - незнакомцев. С точки
зрения китайцев, человеку, с которым они сталкиваются первый раз, нельзя
доверять. Это не предполагает, однако, что китайцы постоянно ожидают худшего,
но они встречают незнакомых людей с естественным недоверием. Они наблюдают и
ждут, чтобы лучше оценить shengren.
Гуанькси во многих случаях также можно интерпретировать как
пограничные случаи коррупции. Так, (Luo, 2002) выделяет два типа взаимодействия: B2B
(Business to Business) и B2G (Business to Government).
В то время как B2B представляет особые преимущества в виде возможности сбора
информации о рыночных тенденциях и возможностях бизнеса, B2G может представлять собой
способ обхода закона и норм посредством личных связей с государственными
чиновниками. Посредством этих отношений гарантируется особое обращение, а также
доступ к ограниченным ресурсам. B2G гуанькси является преобладающей формой
бизнес - гуанькси в Китае (Udo, 2005) и рассматривается как губительная.
B2B гуанькси, несвязанную напрямую с коррупцией, а полностью
опирающуюся на исторические традиции ведения бизнеса, можно рассматривать как
пагубную для рыночной конкуренции и эффективности экономики, так как предпочтения
отдаются и ресурсы распределяются опираясь не на конкурентные каноны: лучшая
цена, лучшее качество и т.п., а на нормы построения взаимоотношений, которые
пусть и способны обеспечить координацию агентов и сформировать ожидания, но они
дорого обходятся обществу.
Предприниматели и фирмы тратят большое количество времени и
ресурсов на выстраивание долгосрочных доверительных отношений с партнерами. Эти
отношения представляют собой актив, который даёт доступ к определенным
контрактам и услугам. Однако, в условиях все ужесточающейся конкуренции и
глобализации, рыночные условия быстро меняются, в то время как налаживанию
связей свойственна инертность: требуется время на то, чтобы их построить, и на
то, чтобы изменить. В таких условиях, гуанькси выступает активом, которое
требует неоправданно высоких инвестиций, быстро обесценивается, и в то же время
заставляет нести издержки эффективности.
Гуанькси в некоторой степени можно сравнить с экономическим
«пузырем», справедливая стоимость которого ниже затраченных на него ресурсов,
которые, в свою очередь, могли быть направлены на производство или другие виды
деятельности, способных принести большую пользу обществу.
Посредники в Индии.
Большая часть коррупции в Индии связана с посредниками -
связующими звеньями, которые доводят дела граждан до сведения государственных
чиновников за плату.
Найм посредника был отмечен в качестве общей практики с целью
достижения результата в таких процедурах, как получение паспорта, водительских
прав, продовольственных карточек, оформление прав собственности на землю,
подключение к коммунальной связи, поступление в престижную школу, встреча с
высокопоставленным чиновником для подачи жалоб, продление лицензии на бизнес и
другие (Khanna and Johnston, 2007).
Граждане платят взятки, часто за услуги, на которые они и так
имеют право, и большинство этих денег передается чиновникам через посредника.
Такие меры, казалось бы, только усложняют взаимодействие чиновника и
гражданина, более того, посредник присваивает часть выгоды, которая в ином
случае досталась бы либо гражданину, либо чиновнику. Однако, Khanna and Johnston (2007) показывают, что
коррупция посредника включает в себя гораздо больше, чем дискретную
материальную сделку. Имеются важные неосязаемые аспекты в виде трансакционных
издержек, асимметрии информации, рисков, доверия, ожиданий.
В идеальной модели взаимодействия между населением и
правительством нет места для подобных фасилитаторов: правительственные функции
ясны и прозрачны для граждан. Решения принимаются должностными лицами с четко
разграниченными обязанностями и полномочиями, в соответствии с процедурами,
которые известны всем.
Но когда эти предположения не соблюдаются, и население
рассматривает правительственные агентства как сложные, отдаленные и
непрозрачные, посредники начинают выполнять ценные функции, связывая граждан с
должностными лицами. Они облегчают обмены и снижают транзакционные издержки
(или, по крайней мере, делают их более предсказуемыми) в виде ожидания и
неопределенности. Это особенно характерно для Индии, где до сих пор
присутствует жесткое деление общества на классы, существуют языковые барьеры, а
также большие разрывы в уровне образования и жизни. Посредник, таким образом,
становится самым важным связующим звеном между двумя участниками.
Помимо того, что посредник «торгует» связями, он имеет
«позиционную» власть, так как в его отсутствие связь между двумя агентами может
не сформироваться или в лучшем случае будет хрупкой. В этом смысле, с одной
стороны, эффективность повышается, а с другой стороны, у посредника имеются все
стимулы к манипулированию информацией и поддержанию представления о том, что
должностные лица являются непредсказуемыми, неприступными, и мало что можно
сделать без его помощи.
Не менее важно то, что посредник создает неосязаемые выгоды и
выступает гарантом для обеих сторон. Для гражданина, он значительно повышает
вероятность того, что решения, льготы, лицензии будут получены после уплаты
взятки, а для должностного лица, он гарантирует постоянный приток доходов с
минимальным риском и отсутствием необходимости вести переговоры с гражданами
напрямую.
Более широкое влияние роли посредника может выражаться в том,
что он делает коррупцию более предсказуемой, а данные свидетельствуют о том,
что коррупция наиболее вредна, когда она непредсказуема (Campos, Lien and Pradhan, 1999). Более того,
коррумпированный чиновник, который может рассчитывать на стабильный поток
коррумпированных платежей при относительно небольших усилиях и риске, может
получать большую прибыль при извлечении меньших сумм в рамках одной сделки и
имеет меньше стимулов вмешиваться в экономику крупными, разрушительными
способами.
Понимание посредников и их социальной значимости помогают
проводить параллели с множеством других посреднических институтов, которые
являются важной частью многих обществ. Они варьируются от брачных сватов на
традиционном и неформальном конце континуума до лоббистов и юристов на более
институционализированном конце (интересно отметить в этой связи, что многие
индийские посредники теперь ссылаются на самих себя в качестве консультантов) (Khanna and Johnston, 2007). Данные институты
представляют собой способы налаживания связей и достижения целей, которые
сокращают трансакционные издержки и облегчают неопределенность и риск, имеющих
место при взаимодействии с разными людьми.
Исследователи уделяют настолько большое внимание на то, что
не работает в развивающихся странах, что можно удивиться тому, как вообще там
что-либо работает. Тем не менее, развивающиеся экономики функционируют, а во
многих случаях и с неожиданными результатами. В то время как экономики,
безусловно, не работают прозрачным образом или в соответствии с западными
нормами и стандартами рынка, экономическим агентам удается найти способы
обогащения - как правило, за счет опыта в неформальных практиках. Получающаяся
в результате картина может быть неполной, но она иллюстрирует тот факт, что
неофициальные методы часто оказываются более надежными и эффективными, чем
формальные процедуры для решения проблем и завершения экономических трансакций.
1.3 Происхождение и причины неформальных институтов
Институциональные экономисты утверждают, что институты
возникают спонтанно и эндогенно как решения к конкретным координационным
проблемам (Avner and Laitin, 2004). Будучи однажды принятыми обществом,
институциональные договоренности могут фиксироваться и переноситься через
поколения и становиться частью общественной культуры, наследия, религиозных
убеждений. Зависимость от прошлого играет здесь большую роль. Это объясняет,
почему неформальные институты так стойки к изменениям и, к сожалению,
устоявшиеся договоренности могут являться субоптимальными в отношении
экономических показателей. Следовательно, необходим исторический анализ, если
мы хотим понять, как возникли определенные институциональные структуры (Boettke, Coyne and Leeson, 2008).
Как мы увидели на примере трех стран, неформальные отношения
носят историко-культурный характер, они принимают форму и несут смысл согласно
требованиям и контексту той среды, в которой существуют.
Возникает вопрос, почему при наличии формальных норм и
правил, неформальные институты продолжают играть лидирующую роль в
развивающихся странах?
Существующие научные исследования дают многочисленные ответы
на данный вопрос.
Во - первых, неформальные правила компенсируют неполноту
формальных институтов. В связи с невозможностью учесть все варианты
взаимоотношений и процедур, формальные правила задают лишь общие параметры
поведения. Таким образом, действуя в рамках конкретных формальных институтов,
акторы вынуждены создавать и дополнять процедуры, упрощающие их работу, как в
случае дополняющих неформальных институтов.
Во - вторых, неформальные институты могут обеспечивать
альтернативную стратегию для акторов, которые предпочитают решения в рамках
формальных правил, но не всегда могут их добиться. Как пример можно привести:
теневую деятельность, подкуп должностного лица для ускорения бюрократического
процесса. Акторы играют по неформальным правилам, когда формальные институты не
в состоянии обслуживать экономические интересы агентов, противоречат или препятствуют
им.
Если агент (знания, опыт и др.) или фирма (капитал,
прибыльность) не соответствуют требованиям формальным, то у них больше стимулов
к использованию неформальных методов. Таким образом, чем большее количество
агентов в экономике со слабой конкурентоспособностью, тем вероятнее будет выше
уровень использования неформальных практик.
В менее развитых экономиках преобладают неформальные
институты, либо потому что формальные институты еще не были установлены, либо
потому что они неэффективны (Jütting, 2003). Как правило, они
характеризуются слабыми институтами обеспечения соблюдения формальных правил и
низкой легитимностью закона. Законы, возможно, и эффективны с точки зрения их
содержания, однако без достаточных механизмов обеспечения их соблюдения, они
остаются существовать лишь на бумаге.
В - третьих, преобладание неформальных практик может
обуславливаться тем, что так сложилось исторически, и люди привыкли делать
именно так, а не иначе. Тогда возникает вопрос, почему нельзя сделать эти
неформальные правила формальными? Ответ на данный вопрос может заключаться в
том, что кому-то это невыгодно. Потому что неформальные методы являются, как
правило, не совсем честными и подрывают понятие справедливости. То есть они
рождают дискриминацию, а если сделать их формальными, то это может привести к
протестам, привлечь внимание международной общественности и т.д., а это большие
издержки и угроза потери власти элитой.
Кэрол Мершон (1994) предлагает определение, в соответствие с
которым, политики создают неформальные правила для изменения формальных
институтов в свою пользу. Издержки изменения формальных институтов создают
стимулы для политиков к придумыванию неформальных правил, как альтернативы
таких изменений, и повторяющиеся взаимодействия учат политиков тому, что
ожидать, а затем внедрять.
В - четвертых, люди строят свои ожидания относительно других
людей. «Все берут взятку - вот и я буду брать», а обратное уже считается
девиантным поведением. Чиновника, не берущего взятки, скорее заметят и оценят
его коллеги, нежели граждане, причем не в положительную сторону. Конфликт
неизбежен. А если коррупция является сетевой, то этот человек просто не
впишется в систему.
Такое общество, скорее всего, будет характеризоваться низким
уровнем социальной ответственности, моральных принципов, подменой идей о
профессионализме, честности и справедливости, долге.
Конечно, нельзя утверждать, что в государстве, где все
завязано на неформальных практиках, все нечестные. Но тем людям, от кого
потенциально может исходить инициатива к изменениям, легче мигрировать, чем
бороться со всей системой.
В - пятых, борьба или поддержание неформальных отношений
зависит от распределения власти. Если власть находится в руках человека или
группы людей, которые борются с коррупцией, то вероятность успеха высока. Если
же правительство собирается разработать политику по борьбе с коррупцией, а вся
власть страны фактически принадлежит олигархам и монополистам, то данная
кампания, скорее всего, обречена на неуспех.
Отдельные экономисты также отмечают одну из причин коррупции
«ресурсное проклятие», так как страны богатые природными ресурсами наиболее
подвержены произволу со стороны правительства, которое в свою очередь может
сгладить и отвлечь внимание населения от своей неэффективности за счет социальной
политики (Karl, 2005).
Это наиболее общий, но не исчерпывающий обзор причин
существования и функционирования неформальных институтов.
Существующий порядок взаимодействия людей и совершения
трансакций - представляют собой равновесие - равновесие, как результат большого
количества факторов (образование, демократия, свобода прессы, распределение
власти и богатства и т.п.) и соотношения сил противоборствующих мнений.
Изменения начнут происходить в том случае, когда начнут
меняться соотношения сил различных групп людей. В демократических странах
разница в соотношении сил между различными группами невелика, поэтому изменения
проходят быстрее и чаще. А в недемократических - разрыв большой, поэтому
изменения очень медленные.
«До тех пор, пока поток трансфертов не прерывается, и пока
навязана существующая формула дележа, стабильность будет сохраняться...однако
борьба с ней связана с огромными политическими рисками, поскольку вторгается в
поле сложившегося баланса интересов различных групп влияния» (Левин и Шилова, 2015).
.4 Экономические последствия неформальных институтов
В зависимости от изучаемой области экономики, исследователи
выделяют множество издержек, порождаемых неформальными отношениями.
Относительно коррупции, попытки избежать наказания приводят к
тому, что создается искажающий эффект. Так Андрей Шлейфер и Роберт Вишни (1993)
говорят о том, что в одних сделках обнаружить акт коррупции бывает легче, чем в
других. В данном случае, коррумпированные чиновники стараются найти замену
аналогичным товарам и услугам, при которых обнаружить коррупцию будет сложнее.
Также они могут блокировать вхождение на рынок других фирм, чтобы повысить
сборы взяток с существующих фирм.
Cuervo - Cazurra (2008) при исследовании влияния коррупции в
переходных экономиках на прямые иностранные инвестиции показал, что: во -
первых, коррупция в странах с переходной экономикой имеет меньшее негативное
влияние на ПИИ, чем коррупция в других странах, и во - вторых, явная коррупция
оказывает больший негативный эффект, чем неявная.
Коррупция подрывает доверие людей к институтам и
политическому руководству, что, в свою очередь, позволяет недобросовестным
лидерам превращать национальные активы в личное богатство. Когда требование и
дача взяток является социально приемлемым, те, кто не желает с этим мириться,
часто иммигрируют, вследствие чего страна теряет своих самых способных и
честных граждан (Buehn and Schneider, 2009).
Коррупция искажает верховенство закона, ослабляет
институциональную основу нации, и серьезно влияет на бедных, которые и так
являются обделенными членами нашего общества. Таким образом, коррупция является
одним из самых больших препятствий экономического и социального развития (Kaufman, 1997).
Неформальные отношения в виде блата и коррупции извлекают
ресурсы из эффективного производства, тем самым порождая потери в общественном
выпуске (Левин, Шилова, 2015; Mauro, 1995). Они нарушают принципы честности и
справедливости (однако, при низких зарплатах в государственном секторе в
сравнении с частным, данное утверждение носит неоднозначный характер).
Значимость неформальных связей и сетей нарушает принципы
честной конкуренции. Конкуренция ведется в других плоскостях: не в повышении
эффективности производства, внедрении новых технологий, не в получении знаний,
а в приобретении нужных связей и поиске нужных людей. В обществе, где всё
решают знакомства, люди не стремятся к получению знаний и честному труду.
Происходит подмена ценностей: «врачи лечить должны в первую
очередь или думать о том, чтобы пациент имел достаточное количество денежных
средств?», «учителя учить должны или просто «просиживать» занятие, так как они
считают, что их труд достоин большей оплаты?».
В результате повышается недоверие населения к правительству и
недоверие людей друг к другу. Все это, несомненно, оказывает отрицательное
воздействие на уровень жизни основной доли общества, растет социальная
напряженность, неопределенность и «неуверенность в завтрашнем дне», повышаются
трансакционные издержки, действия правительства становится сложно
интерпретировать однозначно.
Более того, повсеместность неформальных практик может
представлять угрозу национальной безопасности в виде несоблюдения стандартов,
обхода закона, прикрытия нелегального бизнеса и др.
Тем не менее, некоторые авторы также утверждают, что
определенный уровень коррупции может быть желательным, так как позволяет
избежать предпринимателями излишнего регулирования в особенности в странах с
переходной экономикой, где рыночный механизм еще не хорошо развит (Leff, 1964). Те фирмы,
которые ценят время и доступ к товару или услуге выше, чем другие - платят
взятку за возможность получения такого доступа. В результате, в переходных
экономиках коррупция может выступать в роли «смазки для колес» для облегчения
проведения трансакций, вследствие чего может оказывать положительное влияние на
уровень притока прямых иностранных инвестиций. Коррупция в данном случае
ускоряет трансакции, которые в противном случае не состоялись бы или проходили
с большими затруднениями (Huntington, 1968).
С другой стороны, коррупция действует как незаконный налог на
бизнес, увеличивающий затраты и неопределенность и искажающий стимулы к
инвестированию (Wei, 2002). Она требует от фирм выделения дополнительных человеческих
и финансовых ресурсов для управления взятками, хотя эти ресурсы могли бы быть направлены
с большей пользой на другие цели (Kaufmann, 1997). Существование возможности
вымогательства побуждает государственных чиновников замедлять скорость
предоставления услуг, создавать дополнительный бюрократический контроль и
регулирование с единственной целью создания возможности для сбора большего
количества взяток, что еще дальше увеличивает расходы фирм.
Высокие барьеры входа на официальный рынок и низкое качество
формальных институтов, в свою очередь, делают более привлекательным выбор
неофициального ведения бизнеса фирмами. При этом неофициальная экономика может
создавать серьезные трудности для государства в реализации различных
политических программ. Во - первых, государство не может собирать налоги с
теневого сектора и, в свою очередь, не в состоянии финансировать предоставление
качественных государственных услуг. Во - вторых, официальные показатели по
безработице, рабочей силе, доходам, потреблению становятся ненадежными.
Вследствие чего, политические меры и программы, принятые на основе ненадежных
статистических данных, становятся неуместными и обреченными на неуспех. В -
третьих, рост теневого сектора может сопровождаться привлечением рабочей силы
из формального сектора, что еще больше усугубляет проблему утечки ресурсов из
сферы формальной экономики (Schneider and Enste, 2002). В то же время,
для правительства, неформальный сектор может выступать решением проблем
безработицы, где формальная экономика не в состоянии поглотить избыток рабочей
силы, из-за своих собственных ограничений (Garcia-Bolivar, 2006).
С неоклассической точки зрения, теневая экономика, отвечая на
спрос экономической среды, добавляет экономике динамичности и
предпринимательский дух и может привести к увеличению конкуренции, более
высокой эффективности. Она также может способствовать созданию новых рынков,
увеличению объема финансовых ресурсов, трансформировать правовые, социальные и
экономические институты (Asea, 1996). Более того, часть доходов, полученных в
теневом секторе, расходуется в официальном, что оказывает положительное влияние
на официальную экономику.
Таким образом, перед принятием реформ по формализации теневой
экономики, необходимо определить, когда и где неформальность является решением,
а когда проблемой. Если это проблема, то кто в основном страдает от нее. Является
ли теневой сектор проблемой или решением для всей неформальной экономики или
только для определенной ее части.
2.
Обзор экономических моделей с наличием неформальных сетей и коррупции
Одним из основных способов анализа причинно следственных
связей неформальных институтов является построение на их основе моделей.
Существующая литература содержит различные подходы при моделировании
взаимодействия агентов в рамках неформальных институтов и выявления их
воздействия на различные экономические показатели. Рассмотрим подходы различных
исследований к моделированию коррупции и социальных сетей.
Модели коррупции и бюрократии.
Коррупция часто моделируется как проблема «принципал -
агента» или «принципал - агент - клиента». Принципал, в виде правительства делегирует
некоторую власть принятия решения агенту (чиновнику) и задаёт ему рамки,
опираясь на которые агент должен исполнять волю принципала. При этом чиновник
служит посредником между принципалом (правительством) и клиентом (гражданами и
фирмами). Так как имеет место несовпадение интересов, асимметрия информации
(предпочтения принципала известны агенту, но не все действия агента наблюдаемы
для принципала), проблема принципала заключается в том, что агент может
обслуживать свои интересы, а не интересы принципала (Laffont and Tirole, 1991; Mookherjee 1995).
Коррупция в данном контексте обозначает процесс, когда агент
за дополнительное вознаграждение действует в интересах клиента, оставаясь при
этом в рамках сформированных принципалом административных возможностей
(Барсукова, 2008). При этом, агент может взаимодействовать с принципалом
напрямую, минуя агента, что создает разделение коррупции на политическую (на
этапе формирования законов) и административную (на стадии исполнения законов).
Экономические модели на микроуровне основываются на сравнении
ожидаемых выгод (размер взятки) и возможных издержек (степень и вероятность
наказания) от коррумпированной деятельности, как получателями взяток
(чиновниками), так и теми, кто даёт взятку (фирмами) (Macrae, 1982).
При выявлении связи между коррупцией и бюрократией, изучаются
модели монополистической бюрократии, когда фирма может получить услугу только у
одного чиновника, конкурентной бюрократии, при которой чиновники конкурируют за
клиента, а также влияние организационной структуры бюрократии на коррупцию
(Левин, Левина, Покатович, 2011; Rose-Ackerman, 1978).
На макроуровне исследуется влияние коррупции на различные
макропоказатели, такие как: экономический рост (Krueger 1974; Mauro 1995), приток
иностранных инвестиций (Campos, Lien and Pradhan, 1999; Wei, 2002), накопление
человеческого капитала (Kaufmann and Siegelbaum,1997; Farida and Esfahani, 2007).
Модели коррупции и теневой экономики.
Ряд эмпирических и теоретических исследований описывают
влияние государственного регулирования в коммерческой деятельности на уровень
коррупции и теневой экономики (Shleifer et al., 2002), а также
взаимосвязь коррупции и теневой экономики. При этом, в одних работах была
обнаружена комплементарная связь между коррупцией и теневой экономикой (Buehn and Schneider, 2009), в других они
выступали как субституты (Choi and Thum, 2005; Dreher, Kotsogiannis and McCorriston, 2005; Ackermann, 1997).
Отличие результатов работ связано с тем, что брались
различные исходные предпосылки. Так, взаимное положительное влияние коррупции и
теневой экономики связано с тем, что: во - первых, наличие коррумпированных
чиновников дает сигнал фирмам о том, что есть возможность ведения теневого
бизнеса и оставаться «незамеченными» для государства, то есть вероятность
несения наказания снижается, таким образом, коррупция ведет к увеличению
теневого сектора; во - вторых, теневой сектор может обладать значительными
финансовыми ресурсами и обладать властью, то есть способностью давить, угрожать
и т.п., что ведет к тому, что все большее количество чиновников способен
подкупить теневой сектор. неформальный экономический коррупция конкуренция
Замещающий эффект коррупции и неофициального сектора связан с
тем, что уход в подполье является заменой для взяточничества.
Другие работы изучают влияние коррупции и неформального
сектора на экономические решения, принимаемые агентами на различных рынках:
финансовом (Ngalawa and Viegi, 2010; Gupta and Chaudhuri, 1997), рынке труда
(Левин и Покатович, 2008; Farida and Esfahani, 2007).
Модели социальных сетей.
Тематика экономической литературы, которая наиболее близко
связана с моделированием сетей, имеет отношение к приобретению репутации путем
покупки сигнала. В частности, Pesendorfer (1995) исследует тесно связанную среду, в
которой существует общество, состоящее из двух типов агентов: высшего и низшего
класса. Каждый агент сопоставляется случайным образом в каждый момент времени с
другим агентом и должен решить, взаимодействовать с ним или нет. Pesendorfer показывает, что
старомодный монополист вначале установит на свой продукт высокую цену, чтобы
только агенты высшего класса могли купить его. Таким образом, модный товар
служит хорошим сигналом, который позволяет агентам высшего класса избежать
взаимодействия с агентами низшего класса. Тем не менее, как только все агенты
высшего класса купят товар, монополист снижает цену и продает его агентам
низшего класса. Это разрушает ценность сигнала до того момента, когда
разработка и внедрение нового модного товара будет выгодным.
В другой связанной статье, Tadelis (1999) исследует
экономику с перекрывающимися поколениями, в которой фирмы могут быть плохими
или хорошими. Предполагается, что успешные фирмы могут продавать свои имена, и
потребители не в состоянии обнаружить перемещение имен. Tadelis показывает, что не
существует равновесия, в котором только хорошие фирмы покупают успешные имена,
то есть имя не может служить хорошим сигналом для определения типа.
Podolny (1993) изучает модель экономического обмена как
функцию от социального статуса. Podolny выдвигает принцип, заключающийся в том, что в
условиях неопределенности, акторы начинают менять свою ориентацию с того, чем
обмениваются к позиции потенциального партнера по обмену в социальной
структуре.
Данная работа имеет отношение к нескольким разделам
литературы.
Во - первых, Taylor (2000) описывает модель децентрализованной
системы отбора в сеть, при наличии в обществе высокопроизводительных и низко
производительных агентов. Участники сети воздерживаются от взаимодействия с
аутсайдерами в целях защиты себя от некомпетентных и неквалифицированных лиц.
При этом рассматриваются три спецификации модели, где вначале участники сети
решают взаимодействовать с аутсайдерами или нет, основываясь на распределении
высокопроизводительных и низко производительных агентов в обществе. Во второй
спецификации при отборе в сеть, участники сети ориентируются также на возраст
аутсайдеров. Наконец, в третьей спецификации, у участников сети появляется
возможность поиска друг друга.
В то время как в работе Taylor (2000) основное внимание
уделяется установлению равновесного размера сети, мы будем характеризовать
равновесие исходя из распределения выгод между двумя группами общества.
Для моделирования блата в рамках нашей модели будет
использована методика из Taylor (2000), примененная ими в третьей спецификации
модели, а именно: у участников сети (чиновников) будет возможность отклонить
взаимодействие с аутсайдером (фирмой) в начале периода и продолжить поиск
другого чиновника, с которым он будет готов заключить контракт.
Во - вторых, мы знаем, что блат основывается на отношениях,
которые не предусматривают одновременного, равноценного и материального обмена.
Так, Лев Тимофеев (2000) отмечает тот факт, что в процессе неформальных
взаимодействий агенты способны генерировать интеллектуальное благо - «благо
весьма дорогостоящее и сложное по своей структуре» (Тимофеев, 2000, с.35). По
его мнению, данными благами являются те обещания и ожидания, которые
формируются в результате взаимодействия двух или более агентов.
В связи с тем, что в данной работе рассматривается
распределение только одного государственного блага, для отражения выгод,
возникающих в процессе «блатного» обмена возникла необходимость введения еще
одного параметра, который бы отражал положительные эффекты, упоминаемые
Тимофеевым, и этим параметром стала добавочная положительная величина
.
В - третьих, вторая спецификация теоретической модели была
построена посредством комбинирования базовой модели с моделью, описанной в
работе John Macrae (1982). В частности, были взяты идеи о том, что: во - первых, в
результате подкупа фирмой чиновника, меняется распределение вероятностей
получения блага между честными и коррумпированными фирмами; во - вторых,
чиновник обладает максимальной премией в виде
, которая делится между
всеми коррумпированными фирмами и, в - третьих, фирмы делают выбор в пользу
дачи взятки или ведения честной игры относительно стратегий других фирм на
рынке.
Отличительной особенностью модели, рассматриваемой в рамках
данной работы, является то, что выгоды рассматриваются с двух сторон: фирм и
чиновников. Максимальная премия
, предлагаемая чиновником фирмам в обмен на
взятки, в дальнейшем идет с отрицательным знаком в функции полезности чиновника
как издержки усилий, а коррупция принимает две формы в результате существования
двух типов обмена: чиновник-чиновник и чиновник-фирма.
Дополнительным аргументом в пользу принятия во внимание
стратегий конкурентных фирм при выборе о даче взятки или честной игре одной
фирмой послужили также результаты опросов предпринимателей в работах Олимпиевой
и Леденевой. В данных работах выражается мысль о том, что большинство
предпринимателей в России не устраивает существующая система взаимодействия
бизнеса и власти, однако и её изменения ассоциируются для них со значительными
издержками, которые они будут готовы принять в случае, если изменениям будут
следовать все. В частности, Олимпиева приводит цитату: «…пока система государственных
отношений существует в том виде, в какой нам приходится жить, то я вынужден
подстраиваться под неё...Но сама система мне не нравится…Если у государства
поменяется политика в отношении этой системы, то я её приму, ну, не с
радостью…но если она изменится для всех, то я с этим не то, что смирюсь, но и
буду приветствовать».
В первой части следующей главы представлена базовая модель и
исходное равновесие.
Во второй части, модель модифицируется за счет введения
неформального института в виде блата, что в рамках модели характеризовалось
предпочтением участниками одной сети, чиновниками, взаимодействовать друг с
другом.
В третьей части, базовая модель экономики модифицируется с
учетом включения в неё коррупционных отношений.
Наконец, в четвертой части расширяется вторая модификация
базовой модели с наличием блата, и в экономике уже присутствует два вида
неформальных отношений: блат и коррупция. Сохраняются все предпосылки
относительно предпочтения чиновников к взаимодействию друг с другом, однако
теперь у фирмы есть возможность заплатить взятку, чтобы чиновник согласился
взаимодействовать с нею в первом периоде.
Впоследствии, полученные результаты сравниваются и приводятся
основные выводы модели.
3.
Теоретическая модель
3.1 Базовая модель равновесия
Представим население, где экономическая активность
осуществляется за счет взаимодействия двух типов агентов: чиновников и фирм.
Чиновники - это агенты, отвечающие за распределение
государственных ограниченных ресурсов, выполнение услуг, как для фирм, так и для
других чиновников. Таким образом, чиновники представляют интерес не только для
фирм, но и друг друга, так как каждый отдельный чиновник имеет доступ к
различным ресурсам.
Все эти ограниченные ресурсы должны распределяться равномерно
между всем населением (чиновниками и фирмами), и вероятности получить тот или
иной продукт для всех должны быть равными. Если общее количество фирм (N) и чиновников (G) равно W, то вероятность получить
проект для каждого составляет:
.
Ценность ресурса представляет собой разницу между его
рыночной ценой
и государственной
. Например, если
государство предоставляет ограниченное количество кредитов по льготной
процентной ставке ниже рыночной. Оба агента нейтральны к риску, максимизируют
ожидаемую полезность и дисконтируют будущие потоки по ставке r. В каждый период времени
может быть заключена только одна сделка
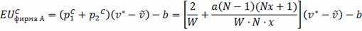
Таким образом, фирма и чиновник получают ожидаемый выигрыш в
равновесии в размере
в каждый момент времени, когда встречают
чиновника. Объединяя данный факт с предыдущей предпосылкой о максимизации
ожидаемой функции полезности и дисконтировании по ставке r, получаем текущий
ожидаемый выигрыш в равновесии для отдельно взятых фирмы и чиновника:
При этом распределение выигрышей среди разных групп населения
(чиновников и фирм) будет зависеть от их долей в обществе:
Излишек фирм составит:
Для чиновников:
Так как благо в размере
предоставляет
государство, то излишек общества в виде суммы излишков чиновников, фирм и
государства составит:
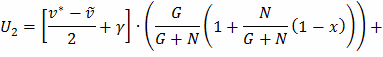
3.2 Модель равновесия при наличии блата
Как мы упоминали ранее, каждый чиновник представляет интерес,
как для фирм, так и для других чиновников, так как обладает правом
распределения специфичного ограниченного ресурса.
Предположим, что чиновники воспринимают друг друга как членов
одной сети и у них есть возможность поиска друг друга. Чтобы исследовать это,
модель модифицируется в этом разделе так, что чиновник, который сопоставлен в
начале периода с фирмой, имеет возможность отклонить взаимодействие и
продолжить поиск другого чиновника, с которым он должен заключить контракт.
Как и выше, представим, что агент может взять на себя не
более одного проекта за период. Предположим, однако, что каждый период t
состоит из двух подпериодов t1 и t2.
Предположим, что агент, сопоставленный в подпериоде t1, имеет
возможность отклонить встречу и найти другого партнера в t2. Формально, когда
два агента сопоставляются в t1, чиновник выбирает действие из {Y,Z}, где Y - делать
совместный проект, Z - не делать. В конце t2 все совпадения периода t растворяются, и
процесс начинается заново с t+1.
Допустим, что членство в сети чиновников, формирует
определенные неформальные ожидания относительно друг друга и репутацию. Данные
ожидания и репутация снижают степень неопределенности относительно поведения
чиновников в настоящем и будущем, что способствует возникновению в результате
взаимодействия двух чиновников некой добавочной положительной величины
. Данная величина может
быть выражена, например, в неформальном обещании - со стороны получателя блага,
или ожидании - со стороны предоставляющего благо чиновника взаимопомощи в
будущем.
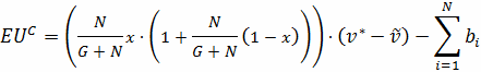
Текущий ожидаемый выигрыш в равновесии для одной фирмы
составит:
Текущий ожидаемый выигрыш для одного чиновника:
Излишек фирм составит:
Излишек чиновников:

Отметим основные изменения, которые произошли в базовой
модели после введения блата.
Во - первых, изменилось распределение вероятностей получения
блага между фирмами и чиновниками: для чиновника она увеличилась на
а для фирмы уменьшилась в
раз.
Во - вторых, в результате изменения распределения
вероятностей получения блага для фирмы и чиновника, а также введения добавочной
положительной величины
для чиновника, изменились излишки, принадлежащие
каждому типу агентов и обществу в целом.
В частности, изменение излишка фирм составило
; излишка чиновников
, сложив две эти
величины, получаем изменение в благосостоянии общества:
.
Следовательно, блат, в рамках данной модели, увеличил
благосостояние общества, однако способствовал несправедливому распределению
государственного блага среди различных групп населения.
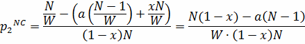
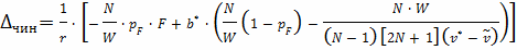
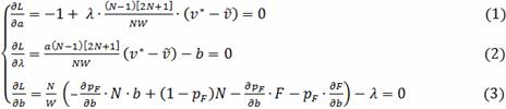
.3 Модель равновесия при наличии коррупции
Вернемся к нашей базовой модели и представим, что для того
чтобы повысить вероятность получения блага, фирма может подкупить чиновника.
Когда фирма встречается с чиновником, то они играют
одноходовую игру, в которой фирма выбирает действие из набора
(где
- стратегия дачи взятки
и
- честная игра) исходя
из стратегий других фирм, а именно: ведут ли остальные фирмы на рынке честную
борьбу за ресурсы или дают взятку чиновнику.
Так как мы имеем два типа агентов: чиновников и фирм,
представим, что коррупция принимает две разные формы в зависимости от того,
какие агенты взаимодействуют.
Допустим, что все агенты в обществе знают, что
государственное благо
можно приобрести с большей вероятностью, только
дав взятку. При этом для чиновников действует негласное правило, что если
встречаются два чиновника, то сделка совершается на условиях равного дележа
ценности ресурса, то есть выигрыши для каждого составят:
, а вероятность
получения проекта остается, как и в базовой модели равной
При взаимодействии чиновника с фирмой ситуация обстоит
несколько иначе: фирма платит взятку в размере
чтобы повысить
вероятность получения блага.
Размер взятки положителен, но ограничен сверху ценностью
предоставляемого государством ресурса (премией, образуемой за счет заниженной
государственной стоимости по сравнению с рыночной), иначе фирмам не будет
смысла бороться за него.
Будем считать, что взятка влияет на распределение
вероятностей среди фирм, и не влияет на вероятность получения блага
чиновниками.
Если все фирмы честные, то вероятность получить проект для
каждой равна:
Если фирма А даёт взятку, а все остальные нет, то для неё
вероятность получения проекта составит:
Роль коррумпированного чиновника заключается в повышении
вероятности получения фирмой А контракта. Будем считать, что его способность
это сделать отражается значением параметра
. Таким образом, чиновник
снижает вероятность того, что проект получит любая другая фирма
.
Параметр
- это максимальная премия, которую может предложить
чиновник, и если имеется более одной фирмы, готовой предложить взятку, то эта
премия должна быть разделена между ними. Пусть
это доля коррумпированных
фирм на рынке, между которыми будет распределяться премия. Данную премию можно
выразить в терминах времени, то есть насколько быстро чиновник может провести
трансакцию (оформить лицензию, дать разрешение и т.п.) или в терминах
лояльности или в любых других терминах, означающих предоставление привилегий
тем компаниям, которые дают взятки. Время и любые другие ресурсы, как правило,
бывают ограниченными, поэтому если несколько фирм дают взятку, то чиновнику
приходится распределять свои индивидуальные силы (время, ресурсы) между ними.
Если ненулевое количество фирм является коррумпированным, то
вероятность получения проекта фирмой А, при условии, что она тоже будет давать
взятку, составит:
Если фирма А выбирает быть честной, при условии что имеется
ненулевое количество фирм, которые дают взятки, то вероятность получения
проекта для неё будет равной:
Если фирма А выбирает быть честной, при условии что все
конкурентные фирмы дают взятку, то вероятность получения проекта для неё будет
равной:
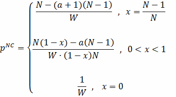
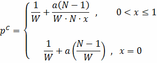
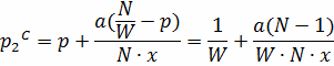
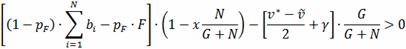
На рынке должна присутствовать ненулевая вероятность
получения государственного ресурса без взятки
, так как иначе никто не
будет заинтересован в том, чтобы не быть коррумпированным. Из
, получаем, что
.
Выпишем функции вероятностей получения блага фирмой при даче
взятки и честной игре в зависимости от доли коррумпированных конкурентных фирм
на рынке:
Реальным источником неопределенности для фирмы А является то,
что она не знает, являются ли её конкуренты коррумпированными или нет. Поэтому,
задача фирмы А заключается в том, чтобы сравнить ожидаемый выигрыш (EY) от
проекта при двух стратегиях, а именно: при даче взятки (
) и при честной игре (
).
Из предположения об однородности совокупности фирм следует,
что все фирмы будут принимать одинаковые решения относительно того, дать взятку
или нет. Следовательно, параметр
будет принимать значение
1 или 0, то есть либо все фирмы будут коррумпированы, либо все выберут быть
честными.
Рассчитаем ожидаемую полезность фирмы от дачи взятки и
честной игры при двух состояниях мира: когда все конкурентные фирмы
коррумпированы, и когда честные.
Тогда, условием коррумпированности фирм будет неравенство:
, или:
Из данного неравенства следует, что чем выше ценность ресурса
и премия, которую может предложить чиновник в обмен на взятку, тем большую
взятку может требовать чиновник или предложить фирма.
Теперь рассчитаем полезность чиновника от его взаимодействия
с:
· другими чиновниками,
· коррумпированными фирмами, и
· честными фирмами.
Обозначим через
ожидаемый выигрыш
чиновника, от встречи с другим чиновником, и
ожидаемый выигрыш
чиновника от встречи фирмы.
Ожидаемый выигрыш чиновника от встречи и взаимодействия c другим чиновником представим
в виде:
,
где
вероятность встретить другого чиновника и
выигрыш от сделки.
Будем полагать, что риски обнаружения сговора и наказания
отсутствуют или стремятся к нулю, так как осведомленность чиновников о статусах
друг друга служит дополнительным гарантом секретности сделки.
Ожидаемый выигрыш чиновника от встречи с фирмой можно
представить в виде следующего выражения:
,
где
затраченные чиновником усилия,
вероятность встретить
фирму,
доля коррумпированных
фирм в общей совокупности фирм,
вероятность наказания и
степень наказания,
зависящие от
где:
.
Выражение
обозначает, что доля
честных фирм, которую
может встретить чиновник, не заплатит ему взятки, а выражение
что доля
коррумпированных фирм,
которую встретит чиновник, заплатит ему взятку в размере
он понесет наказание
Сложив вместе ожидаемые
полезности чиновника от взаимодействия с другими чиновниками и фирмами, получим
его совокупную ожидаемую полезность:
Из функции полезности видно, что чиновнику будет выгодно,
если
следовательно, при
заданных
, он создаст такие
условия, чтобы поддерживать положительный уровень коррупции и тогда, всем
фирмам будет выгодно давать взятку, следовательно,
В таком случае мы получим условие максимизации функции
ожидаемой полезности чиновника:
Применим метод множителей Лагранжа для решения этой задачи:
Из (1) получаем:
Из (1) и (3):
Из (2):
Получаем, что равновесное значение
положительно зависит от
ценности ресурса
, и отрицательно от вероятности наказания
степени наказания
.
Следовательно, с одной стороны, чиновник будет уменьшать
требуемый размер взятки с одной фирмы с увеличением риска быть пойманным и
потерь от наказания, с другой стороны, чем выше ценность государственного блага
, тем более высокие
взятки чиновник может требовать, и фирмы будут готовы заплатить в обмен на
получение этого блага.
Также равновесный размер взятки положительно зависит от числа
фирм
, следовательно, при
увеличении конкуренции на рынке фирм, равновесный совокупный объем взяток будет
расти как за счет роста числа фирм платящих взятки, так и за счет роста самой
величины взятки.
Текущий равновесный ожидаемый выигрыш чиновника -
предоставляющего благо составит:
Текущий равновесный ожидаемый выигрыш чиновника - получателя
блага:
Текущий ожидаемый выигрыш фирмы в равновесии:
Изменение излишка фирм в сравнении с базовой моделью после
введения коррупции составило
. Таким образом, коррупция повысила ожидаемый
выигрыш на величину
однако наряду с этим возникли издержки,
связанные с дачей взятки в размере
.
Изменение излишка чиновников составило:
Однако в данном случае распределение излишка среди чиновников
носит неравномерный характер.
Наконец, изменение в благосостоянии общества составит:
.
В настоящей спецификации модели качественное направление
изменений благосостояний агентов и общества в целом, будет зависеть от
экзогенно заданных величин
(
) и функций
3.4 Модель равновесия при наличии блата и коррупции
Допустим, что как и во второй спецификации модели, чиновник
предпочитает взаимодействовать с другими чиновниками и при встрече с фирмой в
начале периода имеет возможность отклонить взаимодействие и продолжить поиск
другого чиновника, с которым он должен совершить транзакцию.
Однако теперь у фирмы есть возможность заплатить взятку,
чтобы чиновник согласился взаимодействовать с нею в первом периоде.
Запишем условие предпочтения чиновника заключить контракт с
другим чиновником.
Данное распределение вероятностей, показывает, что при
встрече другого чиновника в первом периоде, чиновник сразу же заключает с ним
сделку. Если же он встречает фирму (коррумпированную или честную), то отклоняет
её и ждет следующего периода.
Пусть, при заключении контракта с коррумпированной фирмой,
чиновник получает ожидаемый выигрыш в размере
, с честной фирмой - 0, и
с чиновником
Тогда его ожидаемая функция полезности при такой установке
принимает вид:
Если предположить, что полезность, получаемая от
взаимодействия с другим чиновником выше чем при взаимодействии с фирмой, и у
чиновников есть возможность поиска друг друга, то в данном случае сеть
чиновников служит не только сигнальным устройством, но и приносит
дополнительную выгоду, размер которой положительно зависит от размера сети
Чем больше размер сети чиновников
, тем меньше времени
чиновники тратят на поиски друг друга, а также получают больший ожидаемый
выигрыш. Следовательно, увеличение бюрократического аппарата может не
препятствовать нечестному поведению чиновников и более четкому исполнению ими
формальных предписаний, а наоборот создавать благоприятные условия для
извлечения дополнительных неформальных выгод.
Однако, отклоняя фирму, готовую дать взятку, чиновник рискует
получить выигрыш равный нулю во втором периоде. Поэтому, сформулируем также
условие, где чиновник будет готов заключить сделку в первом периоде, как с
другим чиновником, так и с коррумпированной фирмой, и будет отклонять только
честные фирмы.
Данное условие косвенно отражает ситуацию, когда у чиновников
есть возможность манипулировать временем предоставления государственной услуги
или блага. В этом случае чиновник будет тянуть время в ожидании более выгодной
сделки. А чтобы ускорить процесс, фирме необходимо предложить достаточный
размер взятки, который с учетом рисков обнаружения и наказания за акт
коррумпированной сделки превысит альтернативные ожидаемые выгоды от
взаимодействия чиновника с другим чиновником.
Тогда ожидаемая функция полезности чиновника принимает вид:
Чтобы чиновник согласился взаимодействовать с
коррумпированной фирмой в первом периоде, должно выполняться условие:
Из данного неравенства видно, что чем выше вероятность и
степень наказания для чиновника в результате принятия взятки, тем больше
предпочтения ими отдаётся к взаимодействию со «своими»:
и
С экономической точки зрения, взаимодействие чиновника с
другим чиновником можно рассматривать как отношения, построенные на статусном
доверии, личных связях или «блате». В данном случае, две возможности нечестного
заработка чиновником за счет блата и требования взятки выступают субститутами,
то есть один вид неофициальных отношений может быть заменен другим.
Когда издержки по извлечению выгод в одной сфере возрастают,
то чиновник переключается на альтернативные способы обогащения. Следовательно,
ужесточение борьбы государства с коррупцией может привести не к уменьшению
неформальных отношений, а к тому, что чиновники изберут пути извлечения выгод,
которые ассоциируются для них с меньшими издержкам и, которые сложнее обнаружить.
Если оставить
части неравенства и остальное перенести вправо,
то получим условие размера взятки, для получения контракта фирмой в первом
периоде:
(4)
Здесь мы видим, что чем выше вероятность и степень наказания,
тем большую взятку необходимо предложить фирме. Следовательно, ужесточение мер
по борьбе с коррупцией может привести к большим суммам требуемых взяток
чиновниками.
В то же
время, в реальной жизни все фирмы различаются по возможности платить взятки, и
чем выше размер взятки, тем меньше фирм будет готово её заплатить. Таким
образом, борьба с коррупцией, с одной стороны, сокращает количество
коррумпированных сделок (прямой эффект), с другой стороны, увеличение наказания
и рисков приводит к росту размера взятки, за которую чиновник согласился бы
провести трансакцию (косвенный эффект). Следовательно, динамика объема
коррупционного рынка в результате политики борьбы с коррупцией будет зависеть
от соотношения этих двух эффектов.
Запишем ожидаемый излишек фирм при даче взятки и честной
игре, с учетом распределения вероятностей получения государственного блага в
экономике с блатом и коррупцией:
Условием существования коррупции будет:
(5)
Принимая во внимание однородность фирм, а также условие (5),
в равновесии все фирмы будут выбирать стратегию дачи взятки.
Тогда, из условия чиновника (4) и фирмы (5), с учетом
следует, что размер
взятки должен удовлетворять неравенству:
(6)
Неравенство (6) характеризует состояние мира, при котором
возможно существование блата и коррупции одновременно.
В равновесии размер взятки примет одно из крайних значений
неравенства (6) в зависимости от того, кто устанавливает размер взятки.
Пусть, размер взятки устанавливается чиновником. Тогда
Ожидаемые излишки для чиновников и фирм примут следующие
значения соответственно:
По сравнению с базовой моделью, изменения излишка фирм
составит:
,
излишка чиновников:
,
и изменение в благосостоянии общества составит:
.
Таким образом, чиновники будут присваивать весь общественный
излишек себе.
Итак, выше была представлена модель частичного равновесия,
учитывающая основные характеристики при взаимодействии двух типов агентов
(чиновников и фирм) в экономике по распределению государственного блага.
На первом этапе была рассмотрена базовая модель равновесия в
экономике, где в отсутствие неформальных отношений, распределение
государственного блага среди различных групп общества носило равномерный
характер.
На втором этапе, в модель были включены неформальные
отношения в виде блата, что в рамках модели характеризовалось предпочтением
участниками одной сети, чиновниками, взаимодействовать друг с другом.
К отличительным особенностям данной модели стоит отнести, во
- первых, возможность поиска участниками сети друг друга, что повышает
вероятность их встречи и, следовательно, частоту взаимодействия; во - вторых,
включение неосязаемых положительных эффектов, создаваемых и получаемых
участниками внутри сети.
Членство в сети чиновников, формирует определенные
неформальные ожидания относительно друг друга и репутацию. Данные ожидания и
репутация снижают степень неопределенности относительно поведения чиновников в
настоящем и будущем, что способствует возникновению в результате взаимодействия
двух чиновников неформальных обещаний - со стороны получателя блага, или
ожиданий - со стороны предоставляющего благо чиновника взаимопомощи в будущем.
Несмотря на то, что равновесие в экономике с наличием блата
характеризуется неравномерным распределением излишков между двумя группами
населения, фирмами и чиновниками, тем не менее, оно повышает совокупное
благосостояние общества.
На третьем этапе, базовая модель экономики модифицируется с
учетом включения в неё коррупционных отношений. В результате модель
претерпевает ряд изменений.
Ввиду того, что в экономике присутствует два вида
взаимодействия: чиновник - чиновник и чиновник - фирма, то коррупция принимает
две разные формы в зависимости от того, какие агенты взаимодействуют. Так, для
чиновников действует негласное правило равного дележа ценности государственного
блага между двумя сторонами сделки. При этом риски обнаружения сговора
отсутствуют, так как осведомленность чиновников о статусах друг друга служит
гарантом секретности сделки.
При взаимодействии чиновника с фирмой ситуация обстоит
несколько иначе.
Фирма подкупает чиновника для повышения вероятности получения
государственного блага, при этом она выбирает действие: платить взятку или нет
исходя из аналогичных стратегий конкурентных фирм. Чиновник, в свою очередь,
обладает максимальной премией, которую предлагает в обмен на взятку, и если
имеется более одной фирмы, готовой предложить взятку, то эта премия делится
между ними.
Равновесие в экономике с наличием коррупции характеризуется,
во - первых, коррумпированностью всех агентов в экономике, во - вторых,
неравномерным распределением излишка между различными группами населения, в том
числе и между разными чиновниками: предоставляющими и получающими благо.
Последнее связано с тем, что в модели было рассмотрено распределение только
одного вида государственного блага, в то время, как все чиновники имеют доступ
к различным благам. Тем не менее, данные выводы указывают на то, что
дифференциация в силах чиновников в «перетягивании» общественных излишков в
свою сторону объясняется наличием у них прав распределения государственных благ
различной ценности. Другими словами, чем выше ценность блага, право на
распределение которого даётся чиновнику, тем выше его экономическая власть. Со
стороны государства данная власть ограничивается и направляется за счет
механизмов, позволяющих обнаружить нечестное поведение чиновника и наказать
его.
Наконец, на четвертом этапе, расширяется вторая модификация
базовой модели с наличием блата, и в экономике уже присутствует два вида
неформальных отношений: блат и коррупция.
В данном случае, две возможности нечестного заработка
чиновником за счет блата и требования взятки выступают субститутами, то есть
один вид неофициальных отношений может быть заменен другим.
Исследование модели позволяет сделать выводы о том, что
ужесточение борьбы государства с коррупцией может, во - первых, привести не к
уменьшению неформальных отношений, а к тому, что чиновники изберут пути
извлечения выгод, которые ассоциируются для них с меньшими издержкам, во -
вторых, в результате повышения рисков, чиновники будут требовать более высокие
взятки с одной фирмы, что в совокупности может привести к росту общего объема
коррупционного рынка.
Равновесие в экономике с наличием блата и коррупции
характеризуется коррумпированностью всех агентов, а также присвоением
чиновниками всего общественного излишка.
Заключение
Неформальные институты, представляя собой сложные социально -
экономические и правовые явления, всегда привлекали к себе большой интерес со
стороны исследователей. Данная работа была мотивирована наблюдением за тем, что
развивающимся странам присущ высокий уровень использования неформальных практик
при совершении экономических действий, что, как показывают предыдущие
исследования, способно оказывать значительное негативное влияние на развитие
экономики и общества государства.
В данной работе представлена и проанализирована модель
частичного равновесия в экономике по распределению государственного блага с
двумя типами агентов: чиновниками и фирмами. Эти агенты борются за ограниченное
государственное благо, однако характер этой борьбы и её результаты меняются в
зависимости от заданной институциональной среды.
Рассматривались четыре варианта модели. В отсутствие
неформальных институтов, равновесие характеризовалось равномерным
распределением блага среди всех агентов. Наличие блата способствовало
неравномерному распределению блага в пользу участников сети. В то же время,
отношения, построенные на взаимном доверии при блате, генерировали
дополнительное положительное благо, которое способствовало повышению
общественного благосостояния в целом. Наличие коррупции привело также к
неравномерному распределению ресурса, причем, не только между чиновниками и
фирмами, но и внутри между чиновниками. При этом, качественное направление изменений
излишков различных агентов и общества в целом представляет полную зависимость
от экзогенных параметров модели: вероятности и степени наказания, числа фирм и
чиновников, а также ценности государственного блага. Одновременное включение в
базовую модель блата и коррупции привело к присвоению чиновниками всего
общественного излишка, а также коррумпированности всех агентов в экономике.
Описывая данные результаты, стоит упомянуть основные
ограничения модели.
В первую очередь, вся совокупность агентов в модели
предполагалась однородной. Устранение данного упрощения могло повлиять на
полученные результаты как минимум в двух случаях. В - первых, при рассмотрении
блата, добавочная величина
, могла иметь разную величину в зависимости от
дифференциации тесноты отношений между чиновниками внутри сети. Во - вторых, за
рамками исследования модели остаётся дальнейшая судьба использования блага
чиновниками и фирмами. Следовательно, модель игнорирует то, насколько
эффективно чиновник или фирма смогут впоследствии использовать это благо.
Однако, например, если фирма способна организовать более эффективное
использование ресурса, то общество при блате может терять больше от
неэффективного распределения, нежели выигрывать от положительных эффектов
В - третьих, вследствие предположения об однородности фирм, в
равновесии все фирмы являются коррумпированными. Однако если взять во внимание
разную производительность фирм, ввести разные издержки, ассоциируемые у них с
получением государственного блага, а также неспособность чиновника определять
платежные возможности фирм, то равновесное число коррумпированных фирм было бы
меньше.
В описании результатов также упоминалось, что мы
рассматриваем распределение только одного блага принадлежащего одному
чиновнику, что при коррупции характеризуется в равновесии обогащением только
одного чиновника, обладающего правом на распределение этого блага. Изучение же
взаимодействия, например, нескольких чиновников, обладающих правами на
распределение ресурсов разной ценности, привело бы к более сложной структуре
распределения излишков в обществе.
Наконец, мы определяем ценность государственного блага как
разницу между его рыночной и государственной стоимостью. В качестве примера приводится
ограниченное количество кредитов по льготной процентной ставке ниже рыночной.
На самом же деле, величину
можно трактовать и в более широком смысле.
Например, рыночная цена
может представлять собой цену не только
официального рынка, но и теневого. В таком случае,
будет уже представлять
собой те выгоды, к которым имеют доступ только фирмы, ведущие официальную
деятельность, например, доступ на официальный рынок кредитов, возможность
рекламы своего продукта в средствах массовой информации, право на защиту прав
собственности и обеспечения контрактов и другие.
Устранение вышеперечисленных ограничений настоящей модели
могло бы послужить в качестве одного из дальнейших направлений исследования
данной темы.
Литература
1. Автономов
В.С. Модель человека в экономической науке // СПб.: Экономическая школа. 1998.
. Барсукова
С.Ю. Коррупция: научные дебаты и российская реальность // Общественные науки и
современность. 2008. № 5. C. 36-47.
3. Барсукова С.Ю. Реципрокные взаимодействия. Сущность,
функции, специфика // Социологические исследования. 2004. № 9. С. 20-29.
. Барсукова C., Леденева А. От глобальной
коррупционной парадигмы к изучению неформальных практик: различие в подходах
аутсайдеров и инсайдеров // Вопросы экономики. 2014. № 2. C. 118-132.
5. Левин
М.И., Левина Е.А., Покатович Е.В. «Лекции по экономике коррупции» // Москва:
Изд. дом Высшей школы экономики. 2011.
. Левин
М.И., Покатович Е.В. Экономический подход к анализу нелегальной проституции //
В книге: Тимофеев Л.М. Теневые экономические системы современной России: теория
- анализ - модели. Издат. Центр РГГУ. 2008.
. Левин
М., Сатаров Г. Коррупция в России: классификация и динамика // Вопросы экономики.
2012. № 10. С.4-29.
. Левин
М.И., Шилова Н.В. Моделирование рентоориентированного поведения в системах со
сложной структурой. 2015.
. Леденева
А., Личные связи и неформальные сообщества: трансформация блата в постсоветском
обществе // Мир России. 1997. т. 6, No 4, C. 89-106.
. Норт
Д. Институты, институциональные изменения и функционирование экономики //
Перевод на русский язык: А.Н. Нестеренко. - М.: 1997.
. Олимпиева
И. Фоновая коррупция в сфере малого и среднего бизнеса: "оружие
слабых"? // Алетейя. Санкт-Петербург. 2007. C. 213-230.
12. Поланьи
К. Великая трансформация: политические и экономические истоки нашего вре- мени
// Пер. с англ. А. Васильева, С. Федорова, А. Шурбелева. СПб.: Алетейя. 2002.
. Тимофеев
Лев. Институциональная коррупция // М.: Изд-во РГГУ. 2000.
14. Acemoglu Daron and James Robinson. Why nations fail: the
origins of power, prosperity, and poverty // New York: Crown Publishers. 2013.
15. Acemoglu D. and Verdier Th. The choice between Market
Failures and Corruption // American Economic Review. 2000. Vol. 90. P. 194-211.
16. Asea Patrick K. The Informal Sector: Baby or Bath Water?
// Carnegie-Rochester Conf. Series Public Policy. 1996. P. 163-171.
. Avner Greif and David Laitin. A Theory of Endogenous
Institutional Change // American Political Science Review. 2004. Vol. 98, No 4.
P. 633-652.
18. Boettke Peter, Christopher Coyne and Peter Leeson.
Institutional Stickiness and the New Development Economics // American Journal
of Economics and Sociology. 2008. Vol. 67, No. 2.
19. Buehn Andreas, Schneider Friedrich. Corruption and the
Shadow Economy: A Structural Equation Model Approach // The Institute for the
Study of Labor (IZA). 2009.
. Brasz H.A. Some Notes on the Sociology of Corruption //
Sociologia Neerlandica 1. Autumn 1963. P. 111-128.
. Campos J.E., Lien, D. and Pradhan, S. The impact of
corruption on investment: predictability matters // World Development. 1999.
27(6). P. 1059-1067.
. Choi J.P. and Thum M. Corruption and the Shadow Economy
// International Economic Review. 2005. Vol. 46. No. 3. P. 817-836.
. Collier P. Ethnicity, Politics and Economic Performance
// Economics and Politics. 2000. Vol. 12, Issue 3. P. 225-245.
. Cuervo - Cazurra Alvaro . Better the devil you don't
know: Types of corruption and FDI in transition economies // Journal of
International Management. 2008. No. 14. P. 12-27.
25. Elliot K. Corruption and the Global Economy // Institute
for International Economics, Washington, D.C. 1997. P. 175-233.
. Enste Dominik and Schneider Friedrich. Hiding in the
Shadow: The Growth of the Underground Economy // IMF. March, 2002.
27. Farida Moe and Esfahani Fredoun. Modelling Corruption in a
Cobb-Douglas Production Function Framework // Australian Agricultural and
Resource Economics Society Conference Paper. 2007.
. Garcia-Bolivar Omar E. Informal economy: is it a problem,
a solution or both?The perspective of the informal business // Northwestern
University School of Law: Law and Economics Papers.2006.
. Gupta M.R., Chaudhuri S. Formal Credit, Corruption and
the Informal Credit Market in Agriculture: A Theoretical Analysis // Economica.
1997. Vol. 64. No. 254. P. 331-343.
. Helmke Gretchen and Steven Levitsky. Informal
Institutions and Comparative Politics: A Research Agenda // Cambridge
University Press. 2004.Vol.2, Issue 4. Р. 725 - 740.
31. Helmke Gretchen and Steven Levitsky. Informal institutions
and democracy: lessons from Latin America // The Johns Hopkins University
Press. 2006.
32. Huntington S.P. Political Order in Changing Societies //
New Haven: Yale University Press. 1968. P. 59-71.
. Jackson O. Matthew. The study of social networks in
economics // Russel Sage Foundation: New York. 2007.
. Jütting
Johannes. Institutions and Development - A Critical Review // OECD Working
Paper No.210. 2003.
35. Karl T.L. Understanding the Resource Curse // Covering
Oil: A Reporter’s Guide to Energy and Development. Open Society Institute.
2005. P. 21-26.
. Kaufmann D. Corruption: the facts // Foreign Policy.
1997. P. 114-131.
. Kaufmann D. and Siegelbaum, P. Privatization and
corruption in transition economies // Journal of International Affairs. 1997.
Vol.50. P. 519 - 558.
. Khanna Jyoti and Johnston Michael. India’s middlemen:
connecting by corrupting?// Crime Law Soc Change. 2007. No. 48. P.151-168.
39. Kotsogiannis Christos, Dreher Axel and Steve McCorriston.
How do Institutions Affect Corruption and the Shadow Economy? // University of
Exter Discussion Paper. February 21, 2005.
. Krueger A.O. The Political Economy of the Rent-Seeking
Society // American Economic Review. 1974. Vol. 64, issue 3. P. 291 - 303.
. Laffont Jean-Jacques and Jean Tirole. The Politics of
Government Decision-Making: A Theory of Regulatory Capture // The Quarterly
Journal of Economics. 1991. Vol. 106, No. 4. P. 1089 - 1127.
. Lauth, Hans-Joachim. Informal institutions and democracy
// Democratization. 2000. No.7 (4). P. 21-50.
43. Ledeneva A. Unwritten rules. How Russia really works //
Centre for European Reform. 2001.
44. Ledeneva A., Shekshnia S. Doing Business in Russia:
Informal Practices and Anti-Corruption Strategies // Russie. Nei. Visions.
2011. No. 58.
45. Leff N.H. Economic development through bureaucratic
corruption // American Behavioral Scientist. 1964. No. 8. P. 8-14
. Luo Y. Corruption and organization in Asian management
systems // Asia Pacific Journal of Management. 2002. No. 19. P. 405-22.
. Macrae John. Underdevelopment and the Economics of
Corruption: A Game Theory Approach // World Development. 1982. Vol. 10. No. 8.
P. 677-687.
. Mauro P. Corruption and Growth // Quarterly Journal of
Economics. 1995. P. 681-712.
. Mershon Carol A. Expectations and informal rules in
coalition formation // Comparative Political Studies. 1994. No. 27 (1). P.
40-79.
. Mookherjee D. Corruptible law enforcers: how should they
be compensated? // The Economic Journal. 1995. Vol.105. P. 145 - 159.
. Ngalawa Harold and Viegi Nicola. Interaction of formal
and informal financial markets in quasi-emerging market economies // Economic
Modelling, Elsevier. 2013. Vol. 31(C). P. 614-624.
. Pejovich S. The Effects of the Interaction of Formal and
Informal Institutions on Social Stability and Economic Development // Journal
of Markets & Morality. 1999. No. 2. P.166-167.
. Pesendorfer W. Design Innovation and Social Cycles //
American Economic Review. 1995. No.85. P. 771-792.
54. Podolny J.M. A Status-Based Model of Market Competition //
American Journal of Sociology. 1993. No.98. P. 829-872.
55. Rose-Ackerman S. The economics of corruption // Journal of
Public Economics. 1975. Vol. 4, issue 2. P. 187 - 203.
. Rose-Ackerman S. Corruption: a Study in Political
Economy. New York; San Francisco; London: Academic Press. 1978.
. Scott J. The Analysis of Corruption in Developing Nations
// Comparative Studies in Societies and History. 1969. Vol. 11, No 3. P.
315-341.
. Shleifer A. and Robert W. Vishny. Corruption // The
Quarterly Journal of Economics. Aug., 1993. Vol. 108, No. 3. P. 599-617.
60. Shleifer A. Djankov S., La Porta R., Lopez-De-Silanes F.
The Regulation of Entry // The Quarterly Journal of Economics, MIT Press. 2002.
Vol. 117(1). P. 1-37.
. Tadelis S. What's in a Name? // American Economic Review.
1999.
. Taylor R. Curtis. The old-boy network and the young-gun
effect // International Economic Review. November 2000. Vol.41. No.4. P.
871-891.
63. Tilman Robert. Administration, Development, and
Corruption: The Emergence of Black-Market Beaurocracy // Southern Political
Science Association annual meeting. November, 1967.
64. Udo C. Braendle, Tanja Gasser, and Juergen Noll. Corporate
Governance in China-Is Economic Growth Potential Hindered by Guanxi? //
Business and Society Review. 2005. No.110 (4). P. 389-405.
65. Wei S.J. How taxing is corruption on international
investors? // The Review of Economic and Statistics. 2002. No.82. P. 1-11.
. Wellman B. Network analysis: Some basic principles //
Sociological Theory. 1983. No.1. P. 155-200.