Влияние инноваций на уровень риска компании
Оглавление
Введение
Глава 1. Теоретические основы влияния инноваций на уровень риска
компании
1.1 Общий теоретический подход к исследованиям и проблемы,
связанные с осуществлением исследований
1.2 Исследования, нашедшие положительную связь между уровнем инновационной
деятельности и риском
1.3 Исследования, нашедшие отрицательную связь между уровнем
инноваций и риском компании
Глава 2. Методология исследования и построения регрессионной модели
2.1 Описание данных
2.2 Измерение инновационной деятельности компании
2.3 Измерение вероятности дефолта компании
2.4 Анализ используемых контрольных переменных
Глава 3. Результаты исследования
3.1 Описание применимых моделей и выбор наиболее адекватной модели
3.2 Описание и анализ полученных результатов
3.3 Анализ применимости результатов для компаний из Российского
технологического сектора
Заключение
Список литературы
Приложения
Введение
Инновации играют важную роль в жизни общества. Ещё 20 лет
назад мы не могли представить столь повсеместное распространение технологий,
начиная с создания ноутбуков и смартфонов, и заканчивая умными домами и
электрокарами, как Tesla. Всё это стало возможным благодаря постоянному желанию компаний
принести что-то новое для потребителей, что их выгодно отличит от других
компаний и позволит занять большую долю рынка. При этом, если крупные компании
не хотели осуществлять инновации, то на рынок выходили новые игроки, маленькие
стартапы, которые быстро разрастались и сами становились крупнейшими
компаниями, вытесняя стагнирующих игроков с рынка.
Таким образом, часто делается вывод о необходимости
осуществления инноваций компаниями для собственного долгосрочного развития, так
и развития самой экономики - гипотеза, описанная ещё в знаменитой работе
"Теория экономического развития” Й. Шумпетера, который первым ввёл в
научное обращение термин инновации и попытался доказать, что в конечном счёте
инновационный процесс определяет прогресс экономики. Его идеи нашли выражение и
в знаменитой модели Роберта Солоу, описывающей экономический рост страны, где
одна из трёх используемых переменных - технический прогресс. Статистические
данные подтверждают важность инноваций и подтверждают то, что компании сами
понимают необходимость их создания. За последние 30 лет публичные компании в
США существенно увеличили размеры своих инвестиций в инновационную
деятельность, в попытках выиграть конкуренцию у конкурентов. Так, Skinner (2008) в своей работе,
анализируя период с 1980 по 2005 год, приходит к выводу, что капитальные
расходы публичных компаний выросли чуть меньше чем на 50%, тогда как их затраты
на НИОКР увеличились на 250%.
Однако описанное выше основано в первую очередь лишь на
здравом смысле, а в реальности всё намного сложнее. И если о необходимости
инноваций для процветания и роста экономики спорить не приходится, то вопрос о
важности инновационной деятельности для компании остаётся более чем открытым. С
одной стороны, компании, успешно осуществляющие продуктовую инновацию, выводя
на рынок новый продукт, или инновацию в процессе производства, позволяющие снижать
издержки, получают большие выгоды. С другой стороны, сам процесс создания
инноваций долгий и требует больших фиксированных издержек, которые к тому же
являются безвозвратными.
Особенно остро вопрос встаёт для компаний из технологического
сектора, так как их деятельность по сути зависит от успешности осуществления
инноваций, выводящих на рынок новые продукты или снижающих издержки
производства. При этом конкуренция в технологическом секторе огромна, а значит
и вероятность осуществления инновации раньше других меньше, чем в других
отраслях экономики, и поэтому эффект от инновационной деятельности является
более неопределённым. Таким образом, встаёт вопрос: как инновации влияют на
деятельность среднестатистической компании из технологического сектора? Перевешивают
ли полученные выгоды от инновационной деятельности все связанные с ней расходы?
Актуальность исследования заключается в том, что несмотря на
важность инновационной деятельности для экономического роста, существующая
литература не даёт однозначного ответа на вопрос о влиянии инноваций на
деятельность непосредственно самих компаний, в частности на их вероятность
выживания и продолжения её деятельности. Причиной этого является проблема
непосредственного измерения инновационной деятельности, так как не один из
индикаторов не учитывает полностью многообразие понятия инновация. Таким
образом, исследователи берут различные прокси инновационной деятельности, что
приводит к различным результатам и сложности непосредственного сравнения работ
и получения однозначного вывода.
Цель исследования: исследование влияния инновационной
деятельности на уровень риска компаний технологического сектора США.
Задачи:
1. Провести анализ существующей научной литературы,
посвящённой исследованию взаимосвязи между инновациями и риском
2. Выявить возможные показатели инновационной
активности компании и риска, наиболее подходящие для использования в работе
. На основе анализа литературы поставить гипотезу,
которая будет исследоваться в работе, и разработать модель, которая будет применяться
для проверки гипотезы
. Собрать необходимые данные по компаниям за
исследуемый период для проведения регрессионного анализа. Рассчитать
вероятности банкротства для каждой компании.
. Оценить модель регрессии на полученных данных и
проверить поставленную гипотезу
. Провести анализ применимости полученных результатов
для технологических компаний из России.
В качестве объекта исследования были взяты компании
технологического сектора США, занимающиеся инновационной деятельностью.
Предметом исследования данной работы является инновационная
деятельность компаний, а также другие показатели, влияющие на вероятность
банкротства компании.
Новизна работы состоит в использовании актуальных данных с
2000 по 2015 год для одного технологического сектора США. Существуют
определённое количество работ, посвящённых исследованию проблемы инноваций и
риска, но они либо концентрируются на большой совокупности всех фирм без
отраслевого подразделения, либо используют относительно старые данные до 2000
года. При этом как было сказано уже, интенсивность инновационного развития, в
том числе и затрат, существенно усилилась, что может привести к тому, что
полученные результаты не совсем корректно применимы к существующим реалиям.
Практическая ценность работы заключается в том, что она
помогает ответить на вопрос о влиянии инноваций на риск банкротства для
компаний технологического сектора в нынешних условиях развития экономики.
Работа состоит из 3-х глав. Первая глава посвящена обзору
литературы по данной теме и рассмотрению главных проблем, стоящих при
исследовании, а также сравнению работ.
Во второй главе подробно описана методология исследования,
представлена модель регрессии, подробно описаны используемые переменные, а
также ожидаемые результаты исследования.
Третья глава посвящена описанию моделей с панельными данными,
выбором наиболее адекватной из них, а также анализу полученных результатов.
Глава 1.
Теоретические основы влияния инноваций на уровень риска компании
1.1 Общий
теоретический подход к исследованиям и проблемы, связанные с осуществлением
исследований
В научной литературе существует достаточно большой объём
работ, посвящённых количественному и качественному измерению отношения между
уровнем инновационной деятельности в компании/отрасли и соответствующим ей
уровня риска. При этом в работах под уровнем инновационной активности и уровнем
риска понимаются различные понятия. В данной части работы я покрою как
теоретические, так и эмпирические исследования, посвящённые данной тематике.
Общий теоретический подход к рассмотрению проблемы
существования зависимости между инновациями и риском был выведен из работ,
посвящённых эволюционному подходу к индустриальной динамики (Nelson and Winter, 1982). Эти работы
показали, что одна из главных причин, почему одни фирмы выживают, тогда как
другие прекращают свою деятельность - это то, что они более компетентны в
рамках своих областей деятельности, и это позволяет им выводить новые продукты
на рынки и вводить новшества в процессы создания данных продуктов, повышая тем
самым уровень операционной эффективности компании. Одним из факторов,
определяющим уровень компетенцией фирмы является схожесть с окружающий средой,
то, насколько новые продукты фирмы или изменения процесса производства
совпадает с ожиданиями рынка и индустрии. Таким образом компании будут
осуществлять инновации в попытки улучшить свой уровень компетенцией путём
увеличения сходства с ожиданиями рынка, чтобы в конечном счёте стать более
эффективными, захватить большую долю рынка, получить большую прибыль и прожить
дольше. В моделях активного обучения (Nelson and Winter, 1982; Ericson and Pakes, 1995), компания сможет
уменьшить вероятность банкротства и прекращения деятельности, только если
сможет присвоить себе выгоды, полученные из новых возможностей, созданных
инновационной деятельностью, тогда как неэффективные инвестиции в инновационную
деятельность лишь увеличивают вероятность дефолта компании. Как результат, всё
зависит от того, насколько быстро и успешно у компании получается получать
выгоду из своих инноваций, и перевешивает ли данная выгода издержки.
Однако, существует проблема в непосредственном изучение
влияния инноваций из-за необходимости измерять различные черты инновационной
активности. Показатели, измеряющие инновации и использующиеся в исследованиях,
часто измеряют различные стадии инновационной деятельности компании. Так,
авторы, которые используют в качестве прокси инновационной деятельности затраты
на НИОКР, (например, Segarra and Callejon (2002), Ortega-Argiles and Moreno (2007)) сталкиваются с
трудностью учёта технологической и рыночной неопределённостью, так, как только
часть проектов, которые войдут в стадию НИОКР, смогут успешно решить стоящую
перед ними проблему. И из этой части успешных проектов, ещё только часть сможет
реализоваться в новом инновационном процессе или продукте, которые смогут
успешно захватить определённую нишу на рынке. То же самое, даже ещё в большей
степени касается патентов, так как часто компании не регистрируют патенты из-за
недостатков в патентном законодательстве. Ещё более остро стоит проблема для
маленьких компаний, которые могут не иметь избыточных ресурсов, необходимых для
патентирования разработок, поэтому патенты могут не отражать степень
инновационности компании (Griliches, 1990). Наилучшим вариантом является использование
опросы, которые захватывают все стороны и части инновационного процесса, как
например European Community Innovation Survey (Mairesse and Mohnen (2002)). Однако и у них
есть проблема, заключающаяся в том, что они покрывают лишь маленькую часть
компаний.
Таким образом, различные исследователи предпочитают
использовать разные прокси инновационной деятельности, что непосредственно
сказывается на результатах работ и возможности их сравнения между собой.
В результате, в научной литературе преобладает два противоположных
мнения относительно того, помогает ли увеличение уровня инновационной
активности фирмы просуществовать компании более долгий срок, или же у компаний
не получается с помощью инноваций изменить свою схожесть с окружающей средой и
затраты на инновации лишь ослабляют компанию и сокращают её срок жизни.
1.2
Исследования, нашедшие положительную связь между уровнем инновационной
деятельности и риском
Некоторые исследователи пришли к выводу, что инновационный
процесс является слишком рискованным, так как он характеризуется
неопределённостью относительно того, будет ли инновация удачной или нет.
Медленный процесс создания и коммерциализации инновационного продукта и высокие
безвозвратные издержки инвестирования в НИОКР приводят к тому, что новые, инновационные
фирмы имеют меньшую вероятность выжить в высокотехнологичной индустрии (Audretsch and Mahmood, 1995). Ericson and Pakes (1995) предложили
модель, которая соединяет уровень инновационной активности фирмы и риск. В их
модели, фирмы вкладываются в НИОКР, которые могут улучшить их эффективность,
прибыль и повысить вероятность существования, но также и могут привести к
прекращению деятельности фирмы, если результат инвестиций окажется неудачным.
Таким образом, учитывая, что неудачные запуски новых инновационных продуктов
случаются часто, более инновационные компании могут в конечном счёте
столкнуться с меньшей вероятностью выживания, чем менее инновационные фирмы. Grinblatt and Titman (1998) утверждают, что
фирмы, которые активно вкладываются в инновации, увеличивают волатильность
своих будущих денежных поток, что в свою очередь ведёт к повышению
волатильности цены их акций и таким образом компания становится более
рискованным активом для инвесторов.
Некоторые исследователи даже ввели термин "проклятие инноваций”,
чтобы подчеркнуть, что инновационная активность на самом деле ухудшает
финансовое положение фирмы, так как инновационные продукты часто терпят неудачу
рынке. Причиной является как постоянная переоценка менеджерами преимуществ
инновационных продуктов перед существующими продуктами, так и постоянная
недооценка потребителями качеств инновационных продуктов из-за приверженности к
существующим продуктам (Gatignon and Robertson 1985; Gourville 2005). Min, Kalwani and Robinson (2006) в своей работе
оценивают насколько вероятность выживания у фирмы, являющейся первопроходцем на
рынке или просто запускающей продукт радикально отличный от других продуктов,
отличается от вероятности выживания у среднестатистической компании. Они
осуществили эмпирическое тестирование 264 компаний, сравнив вероятности
выживания при вводе совершенно нового продукта и при вводе продукта с небольшим
изменением, так называемой инкрементальной инновации (инновации, которая
"нова для компании, но не для мира”). В первом случае первооткрывателю
может быть очень сложно просто выжить, не говоря уже о том, чтобы получать
значимую прибыль, тогда как вероятность продолжения деятельности у компании
во-втором случае существенно выше. Что интересно, у компаний, которые входят на
рынок после первооткрывателя, вероятность выжить примерно одинакова в обоих
случаях. В целом, как отмечают авторы, у компаний, выходящих на рынок с
инкрементальной инновацией продукта есть преимущество первого хода, что
позволяет им не потерпеть неудачу сразу же, тогда как для радикально-новых
продуктов преимущество есть у последователей, а не первооткрывателей.
1.3
Исследования, нашедшие отрицательную связь между уровнем инноваций и риском
компании
С другой стороны, большая часть работ исследователей всё же
нашла положительную связь между инновационной активностью компании и её
вероятностью выживания. Например, Tirole (1988) утверждает, что компании, благодаря
прорывным инновациям, такие как уникальный продукты, могут наслаждаться
монопольным положениям на рынке из-за патентов или же из-за трудностей
имитирования продукта, и как результат - отсутствия близких субститутов. Таким
образом, после того, продукт принят и запущен, компания значительно увеличивает
предсказуемость своего будущего денежного потока и становится менее рискованной
для инвесторов. В исследовании Hall (1987), посвящённом публичным компаниями из
обрабатывающей промышленности США в период с 1976 года по 1983, автор также
находит положительную зависимость между инновационной деятельностью и
вероятностью выживания компании, взяв в качестве прокси инноваций интенсивность
затрат на НИОКР. Что интересно, данный эффект выражен сильнее для компаний,
которые не осуществляет патентирование своих разработок.
Рассматривая более недавние исследования, Cefis and Marsili (2011) в своей работе
находят, что компании, работающие в высокотехнологичных индустриях в Испании,
не увеличивают шансы выжить с помощью более активной инновационной
деятельности. Несмотря на то, что технологические изменения происходят
стремительно, инновации, особенно в продуктах, обязательны для того, чтобы
участвовать в инновационной гонке, но они отнюдь не достаточны для
гарантированного выживания компании в этих сватках. В слабо технологичных
отраслях ситуация сильно отличается, там инновационный процесс - важное условие
для выживания компании. Такой же результат получился в работе Esteve-Perez and Manez-Castillejo (2008). Perez et al., (2004) в своём
исследовании оценили компании из обрабатывающей промышленности в Испании,
которые вкладывают деньги в НИОКР, и получили, что у них шансы на продолжение
деятельности выше, чем у их конкурентов. Таким образом, по мнению авторов,
политики должны стимулировать НИОКР среди компаний, чтобы увеличить шансы их
выживания, и как результат улучшить экономические показатели в стране и снизить
безработицу среди населения.
Dockner and Siyahhan (2015) в своей работе
рассматривают как влияют инновации на систематический риск компании, выраженный
динамической бетой. Авторы предполагают, что инновационный цикл состоит из 3х
фаз: НИОКР, проверка и запуск продукта на рынок. Используя модель реальных
опционов, авторы получили, что уровень риска компании во время инновационного
цикла является нелинейным и существенно отличается вовремя различных фаз. Так,
во время фазы НИОКР риск очень высок, так как компания сталкивается с больший
операционным рычагом из-за фиксированных издержек на НИОКР и с большой
технологической неопределённостью относительно успешности исследований. Вовремя
же двух других фаз риск становится существенно меньше. В заключение, авторы
утверждают, что полученная модель доказывает, что положительные избыточные
доходности фирм с большими затратами на НИОКР является компенсацией за излишний
риск.
В то же время, некоторые исследования подчёркивают тот факт,
что не все виды инноваций и инновационных стратегий приводят к повышению
вероятности выживания фирмы. Buddelmeyer et. al., (2009) исследуя более
300000 австралийских компаний нашли двоякую связь между вероятностью выживания
и уровнем инновационный активности. Если учитывать инновации через количество
патентов (авторы считают патенты как радикальные инновации), то связь
получается отрицательная, увеличение количество патентов с 0 до 1 снижает
медианную продолжительность жизни компании на 7,6 лет. Но с другой стороны,
инкрементальные инновации, выраженные в подаче торговой марки, увеличивают
медианный возраст компании н 6,6 лет. Таким образом, авторы заключают, что
существенные инновации в краткосрочном периоде делают компанию финансово
неустойчивой, поэтому данный тип инноваций должны осуществлять только фирмы с
хорошим финансовым положением. Интересно, что в работе Banbury and Mitchel (1995) результат для
инкрементальных инноваций получился совершенно другой. Исследуя индустрия
электрокардиостимуляторов в США, авторы приходят к выводу, что инкрементальные
инновации не оказывают непосредственно никакого влияния на вероятность выхода
из бизнеса компании, несмотря на то, что они помогают компаниям, которые
первыми вводят их, захватить большую долю рынка.
В то же время, Astebro and Michela (2005) предполагают в
своей работе, что вероятность выживания фирмы зависит не только от типа
инноваций, но и от самой инновационной стратегии, или более точнее, от того как
именно фирма осуществляет свою инновационную деятельность, то есть на какие
параметры ориентируются. Авторы проводят тестирование 37 переменных,
оказывающих, по их мнению, влияние на инновационную стратегию компания. В
результате получилось, что 3 переменных значимы и оказывают положительное
влияние на вероятность выживания компании: присутствие стабильного спроса на
инновационный продукт; цена, необходимая для достижения безубыточности
продукта; и технологическая конкурентоспособность продукта. Также небольшой
положительный эффект оказывает и степень конкуренции: чем меньше она, тем
больше ожидаемый срок жизни. Таким образом, авторы заключают, что так как
данные характеристики могут быть оценены на стадии разработки инновации,
инноваторы должны уделять им особое мнение при оценке необходимости
осуществления инновации. Zhang and Mohnen (2013) подкрепляют эту
точку зрения в своей работе, посвящённой исследованию компаний обрабатывающего
сектора Китая. Они находят, что инновации, измеряемые как доля НИОКР в общей
выручке компании и инновации, измеряемые как доля выручки от новых продуктов в
общей выручке, имеют U-образную зависимость с вероятностью долгосрочного выживания
компании. При этом, инновации, выраженные через затраты на НИОКР оказывают
большое влияния на вероятность выживании компании, чем инновации, выраженные в
новом продукте. При этом эффект от продуктовой инновации выше, если она
включает в себя затраты на НИОКР. Таким образом, авторы приходят к выводу, что
копирование новых продуктов не является оптимальной стратегией для повышения
вероятности выживания фирмы.
В развитых рыночных экономиках, компании следуют более
рискованным инновационным стратегиям в надежде получить большую выручку, тогда
как в менее развитых странах, рискованные инновации очень часто не приводят к
большой выгоде. В исследовании, посвящённом выживанию фирм в Чили, Fernandes and Paunov (2014) находят, что
рискованные инновации только иногда компенсируются более высокой выручкой и
прибылью. Чилийские мультифункциональные заводы и предприятия, участвующие в
создании продуктов, уменьшающих риск для завода, получают благоприятные эффекты
от своей инновационной активности. В то же время, предприятия, создающие лишь
один продукт, и предприятия, осуществляющие рискованные инновации, подвергают
себя большому риску не выживания, чем компании, не осуществляющие инновации.
Авторы заключают, что стратегия следования рискованным инновациям иррациональна
и предполагают, что другие факторы, кроме ожидания высокой выручки, заставляют
компании внедрять более рискованные инновации. Примерами таких факторов являются
несостоятельности рынка, информационная асимметрия, агентский конфликт и
другие, часто встречающиеся на развивающихся рынках
Особо интересна работа Howell (2015), которая
посвящена исследованию влияния уровня инновационной активности на уровень риск
в переходных экономиках. Проблема развивающихся экономик состоит в том, что
процесс создания инноваций более рискованный, чем в развитых. Причинами этого
являются распространённая кража интеллектуальной собственности, слабого
развития институциональная среда, возможность прекращения действия контракта
незаконными способами, и также множество других причин. Таким образом,
присутствие данных институциональных барьеров увеличивает фиксированные
издержки, связанные с инновационной деятельностью, и инновационные компании во
многом зависят от государственного протекционизма. Поэтому автор задаётся
вопросом как определённые страновые характеристики, такие как высокий уровень
государственный субсидий, прямые иностранные инвестиции, конкуренция со стороны
глобальных компаний и определённые стороны риска, такие как рычаг компании,
диверсификация, рынок, на который она ориентируется и место деятельности влияют
на отношение инноваций и риска. Для того, чтобы найти ответы, автор использует
выборку из почти 200 000 частных фирм, занимающихся обрабатывающей
промышленностью в Китае, за период с 1998 по 2007 год. Howell фокусируется именно на
частных фирмах, так как их выживание на рынке почти полностью зависит от того,
насколько они успешно достигли конкурентного преимущества перед соперниками,
тогда как государственные компании могут полагаться на политические связи.
Результаты показывают, что инновации увеличивают вероятность выживания, хотя
точное влияние зависит от времени осуществления инноваций и характеристик,
связанных с инновационной стратегией. Осторожные инновационные фирмы, доля
инновационной продукции в общей выручке которой меньше 50%, живут дольше и
вносят больший вклад в социальное благополучие населения через улучшение
эффективности в деятельности компании. В противовес, инновационные компании,
любящие рисковать выживают с меньшей вероятностью, а также менее эффективны и
лишь иногда высокая прибыль компенсирует высокий уровень риска, взятый ими.
Результаты таким образом показывают, что другие факторы, кроме ожидания высокой
выручки, вынуждают компании вступать в рискованную инновационную деятельность.
Кроме того, очень интересен факт влияния государственной поддержки на
продолжительность жизни компании. Фирмы, которое получили в начале своей
деятельности значительный объём государственной поддержки живут дольше,
становятся более прибыльными и эффективными, чем фирмы, которые получили меньше
субсидий или вообще не получили субсидии. Однако, компании, которые в начале
получили относительно меньшее количество господдержки в конечном счёте живут
меньше, менее прибыльны и эффективны, чем даже компании, которые не получили
никакой поддержки от государства.
Ещё одним исследованием, которое нашло отрицательную
зависимость между уровнем инновационной активности и вероятность выхода
компании из бизнеса, является работа Hsu et. all (2015). В своей работе
авторы использовали публичные данные NBER по всем выданным патентам в США, как прокси для
инновационной активности компании, за период с 1976 по 2006 год для того, чтобы
проверить как инновации влияют на риск дефолта компании, подсчитанный на основе
модели Мертона. При этом они создали 4 различных варианта измерения инноваций
на основе патентов: по количеству выданных патентов, по их цитируемости, по
обобщённости патентов и по их оригинальности. Затем данные параметры для каждой
компании скорректированы на размер активов компании для того, чтобы учесть
различия в размерах фирм, и скорректирован на средней показатель в индустрии,
так как инновационная активность в разных индустриях сильно отличается. В
результате, проведя регрессионный анализ с учётом других контрольных
переменных, авторы получили, что риск дефолта негативно связан с 4-мя прокси
инноваций. Полученные результаты также оказались устойчивыми относительно
возможных проблем с эндогенностью. Стоит также отметить, что данная работа
послужила основой для моей работы.
Глава 2.
Методология исследования и построения регрессионной модели
Основным инструментом для тестирования гипотез является
регрессионный анализ. Мною будет рассмотрена следующая модель:
Здесь i и t - индексы, отвечающие за год и компанию, соответственно. Default, зависимая переменная, -
вероятность дефолта компании; R&D - затраты компании на R&D, скорректированные на
размер чистой выручки; все остальные переменные - контрольные переменные,
необходимость включения которых обоснована существующей литературой.
Данная регрессия поможет количественно измерить связь между
инновациями и уровнем риска компании. При этом, как видно из модели, будет
измеряться определённый вид риска: кредитный риск, измеряемый вероятностью
банкротства компании.
Базируюсь на описанном выше обзоре научной литературы по
данной теме, я поставлю гипотезу о существовании отрицательной зависимости
между уровнем инновационной активности и вероятностью банкротства, которая
будет проверена с помощью регрессионного анализа.
Гипотеза H1: Существует
отрицательная связь между уровнем инновационной активности компании и риском её
банкротства в ближайшие 12 месяцев.
инновация риск компания регрессионная модель
2.1
Описание данных
Как уже было сказано, основная цель исследования - измерить
зависимость между риском и инновациями для компаний из технологического сектора
США. Причиной выбора США, а не, например, России, является развитость данного
сектора в США, что привело к отсутствию недостатка в данных и построению
большой сбалансированной выборки. При этом, при выборе лишь компаний из
развивающихся стран БРИКС, не получилось бы взять промежуток времени в 16 лет,
так большинство компаний из БРИКС начали свою деятельность и стали торговаться
на бирже лишь недавно, что привело бы к ухудшению качества модели.
Выборка для тестирования гипотез базируется как на биржевых
данных о ценах и объёмах торговли акциями, так и финансовых показателях
компании. Основными критериями для выбора компаний были принадлежность компании
к технологическому сектору, залистованность компании на фондовой бирже в США и
наличие торгующихся обыкновенных и привилегированных акций. Ещё одним критерием
стало требование, чтобы у компании выручка была более 10 млн. долларов. Таким
образом из выборки исключаются совсем маленькие компании, присутствие которых
приводит к увеличению ошибок измерения в регрессии. По таким критериям были
выделены 348 компаний. Выборка покрывает период за 16 лет с 2000 по 2016 года.
Почти вся необходимая информация была получена с помощью
терминала Bloomberg - компьютерной системы, позволяющей получить доступ к текущей и
исторической финансовой информации по публичным фирмам по всему миру. Для
каждой из компаний, начиная с 2000 года, были получены биржевые данные для
расчёта стоимости компании и вероятности её банкротства. Также с помощью Bloomberg были получены финансовые
показатели компании за каждый год, необходимые для расчёта независимой
переменной R&D/Net Sales и других контрольных
переменных. Единственным исключением по данным составила зависимая переменная Default Probability, для расчёта которой
была применена скорректированная модель Мертона, которая будет более подробно описана
в части, посвящённой анализу применяемой модели.
Ниже представлена таблица с описанием всех используемых
переменных:
Таблица 1. Наименование используемых переменных.
|
Переменная
|
Лейбл
|
Описание
|
|
Дефолт
|
Default
|
Вероятность
дефолта компании i в год t, рассчитываемая как 12 месячное среднее
вероятности дефолта
|
|
Цена/балансовая
стоимость
|
Market/Book
|
Отношение
рыночной капитализации компании к её балансовой стоимости
|
|
Рычаг
|
Debt/Assets
|
Финансовый
рычаг компании, вычисляемый как отношение стоимости долга компании к
стоимости всех ее активов
|
|
Прибыльность
|
Profit
|
Рентабельность
компании, выраженная в её марже прибыли и вычисляемая как отношение прибыли
компании к её выручке
|
|
Покрытие
|
Coverage
|
Покрытие
компанией выплаты процентов по долгу, выраженная как операционная выручка
компании до выплаты процентов за год / сумма процентных платежей
|
|
Доходность
|
ROA
|
Рентабельность
активов, выраженная как отношение прибыли компании к совокупным активам
|
|
Активы
|
Assets
|
Размер
компании, вычисляемый как логарифм балансовой стоимости активов
|
|
Убыток
|
Loss
|
Дамми
переменная, принимающее значение 1, если компания потерпела убытки в отчётном
году и 0 в ином случае
|
|
Год
|
Year
|
Дамми
переменная, принимающее значение
|
В таблице 2 представлена описательная статистика по всем
переменным, включённым в анализ.
Таблица 2. Описательная статистика используемых переменных.
|
Variable
|
Mean
|
Median
|
Minimum
|
Maximum
|
|
Default
|
0.11054
|
0.042212
|
0.0005276
|
0.881379
|
|
R&D_to_NetSales
|
0.1753
|
0.14717
|
0.000000
|
8.773
|
|
Market_to_Book
|
6.62163
|
2.58305
|
0.0542000
|
7426.01
|
|
Debt_to_Asset
|
0.122341
|
0.0399260
|
0.000000
|
3.97187
|
|
Profit
|
-0.615156
|
0.0557540
|
-696.397
|
6.69307
|
|
Coverage
|
555.201
|
7.31710
|
-28069.5
|
1.20396e+006
|
|
Asset
|
6.52295
|
6.33401
|
-1.35596
|
12.5793
|
|
ROA
|
0.0142026
|
0.0470460
|
-5.40846
|
5.36232
|
|
Loss
|
0.328852
|
0.000000
|
0.000000
|
1.00000
|
|
|
|
|
|
|
Variable
|
Std. Dev.
|
C. V.
|
Skewness
|
Ex. kurtosis
|
|
Default
|
0.17939
|
4.20746
|
29.9381
|
1340.11
|
|
R&D_to_NetSales
|
0.2151
|
1.2274
|
19.544
|
640.59
|
|
Market_to_Book
|
125.298
|
18.9226
|
58.7513
|
3475.78
|
|
Debt_to_Asset
|
0.190326
|
1.55570
|
5.52968
|
79.7999
|
|
Profit
|
15.0106
|
24.4013
|
-36.9916
|
1484.97
|
|
Coverage
|
21039.4
|
37.8951
|
56.5461
|
3230.69
|
|
Asset
|
1.94913
|
0.298811
|
0.221748
|
0.125662
|
|
ROA
|
0.245522
|
17.2871
|
-2.93631
|
126.031
|
|
Loss
|
0.469845
|
1.42874
|
0.728605
|
-1.46913
|
|
|
|
|
|
|
Как мы видим, медианная технологическая компания имеет
вероятность дефолта в ближайшие 12 месяцев равную всего лишь в 4,22%, а средняя
компания равную в 11,054%. При этом максимальная вероятность дефолта составила
0,88%. Тут проявляется важная проблема моей работы, в частности её
подверженность survivorship bias. Все компании, представленные в выборке -
публичные компании, существующие до сих пор. Таким образом не учитываются
фирмы, которые имели высокую вероятность банкротства и в конечном счёте
обанкротились. Это приводит к тому, что полученные коэффициенты регрессии могут
быть смещены и не состоятельны. Ещё одним интересным показателем является
медианное отношение затрат на НИОКР к чистой выручке, которое равно 14,7%, а
среднее 35%, что является достаточно большим показателем. Например, в фармацевтике
и медицине среднее отношение равняется лишь 11,8%, а в аэрокосмической отрасли
- 11,3%. Можно также отметить, что технологические компании не имеет особо
высокого уровня долгового рычага, который составлял лишь только 4% для
медианной компании, и 12,2% для средней фирмы, что меньше чем средний
показатель для всех индустрий кроме финансовой, полученный в работе Hsu and Lee (2015) и равный 20,2%.
Что касается отношение рыночной стоимости к балансовой, то она составила 2,5
для медианной компании и 6,6 для средней компании, что является достаточно
высоким показателем, больше, чем среднее по всей экономике, которое равно 2,5.
Маржа прибыли и рентабельность активов составили примерно 5,5% и 4,8%
соответственно для медианной компании, а показатель покрытия процентов
равняется 7,3, что является очень большим показатель (нормальный показатель
составляет примерно 3) и отражает тот факт, что компании из технологического
сектора США имеют очень маленький показатель долга на своих счетах, и таким
образом выплачивают малый объём денег по процентам.
В таблице ниже представлены данные по парной корреляции между
всеми используемыми переменными. Как можно увидеть, парная корреляция между
всеми переменными достаточно низкая за исключением лишь корреляции между маржой
прибыли и отношением затрат на НИОКР к выручке, которая равняется - 0,88. Столь
большой показатель логичен, так как чем большее отношение затрат на НИОКР к
выручке, тем меньше будет прибыльность компании в данном году, так как затраты
на НИОКР вычитаются из выручки при расчёте прибыли. Значения корреляций почти
всех остальных переменных хоть и маленькие, но в тоже время имеют ожидаемые
знаки. Вероятность дефолта имеет отрицательный знак парной корреляции с маржой
прибыли, коэффициентом покрытия, логарифмом активов и рентабельностью активов,
что соответствует стандартной теории финансов. При этом вероятность дефолта
имеет положительную корреляцию с финансовым рычагом компании, с отношением
рыночной капитализации к балансовой стоимости и отношением затрат на НИОКР к
выручке. Первый показатель имеет ожидаемый знак корреляции, в то время как
второй имеет неожиданный знак. В теории принято считать, что "стоящие
акции”, имеющие низкий показатель рыночной капитализации к балансовой стоимости
являются более рискованными, чем "акции роста”, которые считаются менее
рискованными. Таким образом логично предположить, что корреляция вероятности
дефолта и отношения рыночной капитализации к балансовой стоимости будет иметь
отрицательный знак. Однако для технологических компаний данный знак
положителен, что представляет собой интересное явление. Отношение затрат на
НИОКР к выручке имеет положительный знак корреляции, что намекает на то, что
более инновационные технологические компании являются более рискованными, чем
свои конкуренты. При этом важно помнить при интерпретации полученных
корреляционных связей, что данные показатели учитывают лишь одномерную связь
между переменными и не учитывают возможные эффекты от присутствия других
переменных. Поэтому для определения настоящей статистической связи, я буду
полагаться на регрессионную модель, описанную ниже.
Таблица 3. Попарная корреляция используемых переменных.
|
Default
|
R&D_to_
NetSales
|
Market_to_ Book
|
Debt_to_Asset
|
Profit
|
|
|
1.0000
|
0.0342
|
0.0064
|
0.1312
|
-0.0694
|
Default
|
|
1.0000
|
-0.0003
|
0.0518
|
-0.8763
|
R&D_to_
NetSales
|
|
|
1.0000
|
0.0696
|
-0.0001
|
Market_to_Book
|
|
|
|
1.0000
|
-0.0203
|
Debt_to_Asset
|
|
|
|
|
1.0000
|
Profit
|
|
|
|
|
|
|
|
Coverage
|
Asset
|
ROA
|
Loss
|
|
|
-0.0083
|
-0.1768
|
-0.2377
|
0.2182
|
Default
|
|
-0.0024
|
-0.0977
|
-0.1872
|
0.0515
|
R&D_to_NetSales
|
|
-0.0006
|
-0.0109
|
-0.0144
|
0.0292
|
Market_to_Book
|
|
-0.0246
|
0.1379
|
-0.1461
|
0.1376
|
Debt_to_Asset
|
|
0.0038
|
0.0953
|
0.2528
|
-0.0717
|
Profit
|
|
1.0000
|
-0.0376
|
0.0168
|
-0.0253
|
Coverage
|
|
|
1.0000
|
0.2075
|
-0.2535
|
Asset
|
|
|
|
1.0000
|
-0.5445
|
ROA
|
|
|
|
|
1.0000
|
Loss
|
Как уже было сказано, для тестирования гипотезы H1 на основе анализа
литературы была специфицирована следующая модель:

2.2 Измерение
инновационной деятельности компании
Главная объясняющая переменная в данной модели 
, взятая в качестве прокси инновационной активности компании.
Затраты на НИОКР скорректированы на чистую выручку компании для того, чтобы
учесть различия в размере выручке компании, так как очевидно, что компания,
зарабатывающая больше, будет тратить на НИОКР также больше и таким образом,
если взять просто затраты на НИОКР в качестве объясняющей переменной, получится
некорректная зависимость. Стоит немного сказать, почему были взяты затраты на
НИОКР в качестве прокси инновационной активности, а не, например, количество
патентов, ещё один популярный показатель.
Действительно, существуют множество различных способов измерения
инноваций, хотя ни один из них не является идеальным. Часто исследователи для
измерения инноваций используют количество патентов. Однако стоит отметить, что
патенты скорее характеризуют сами изобретения, а не инновации. Минусами данного
индикатора также является то, что патенты не учитывают реализацию
организационных и процессных инноваций, то есть инноваций связанных с
изменением методов производства продукта, доставки его, а также с изменением в
организации деятельности компании, будь то изменения в деловой практике
компании или в организации рабочих мест персонала. В итоге, если он будет
применим, то он занизит настоящий уровень инновационной активности. Вдобавок,
как указывают исследования, большая доля патентов никогда не превращается в
коммерчески жизнеспособный продукт, а значит, и не является инновацией (Kleinknecht, Van Montfort,
Brouwer, 2002). Также патентный индикатор не
учитывает тот факт, что фирме для того, чтобы быть инновационной не обязательно
что-то изобретать, а можно и имитировать решения других фирм. И последним
фактором, показывающим неприменимость данного индикатора к моему исследованию,
является отсутствие публичных данных по компаниям, начиная с 2006 года.
Существует база данных Национального Бюро Экономических исследований,
содержащая данные по патентам всех публичных компаний в период с 1976 по 2006
год. Однако после 2006 года в ней отсутствуют данные, и используя эти данные,
пришлось бы существенно ограничить покрываемый период и не захватить последние
9 лет, что негативно бы сказалось на качестве работы. К тому же, существует
работа Hsu et. all., (2015), в которой авторы используют эти
данные для измерения влияния инноваций на уровень риска.
Ещё одним интересным способом учёта инновационной
деятельности компании является использование отношения выручки от новых
продуктов и процессов к общей выручке фирмы как прокси эффективности инноваций.
Данный индикатор был использован в работе Howell (2015) для оценки
инновационной деятельности китайских фирм, и как отмечает автор, у него есть
существенное преимущество перед стандартными прокси, которое заключается в том,
что он учитывает уже доведённые до конца инновации, представленные в виде
коммерческого продукта или процесса. При этом стоит отметить, что данный
индикатор не учитывает более глубокие инновации в деятельности компании,
которые не отражаются в новом продукте.
Построение индекса инновационности фирмы из нескольких
индикаторов может нивелировать в какой-то мере недостатки использования
патентов. Например, в работе Hagedoorn and Cloodt (2002) было исследовано
применение составного индекса, который состоял из 4 показателей: затраты на
НИОКР, количество, цитируемость патентов и анонсирование новых продуктов фирмы.
Данный индекс, по результатам тестирования, способен "ловить” латентную
переменную "инновационная активность” среди компаний из
высокотехнологической индустрии. Что интересно, результаты также показывают,
что статистически данные индикаторы в индексе сильно пересекаются, поэтому
авторы полагают, что исследователи могут использовать любой из 4 показателей
при анализе компаний из high-tech. Также используется опросы собственников или
топ-менеджеров для составления сводного индекса инновационной активности. В
работе Baldwin and Johnson (1996) был построен составной индекс на основе
ответов владельцев фирм и менеджеров на ряд вопросов об инновационной
деятельности фирмы и её стратегиях. Данный индекс затем использовался для
разделения фирм на более инновационные и менее инновационные. Однако этот
способ построения индекса также не решает проблему игнорирования осуществления
организационных инноваций. В то же время, очевидно, что данный метод является
более приоритетным, чем расчёт инноваций через количество патентов или затрат
на НИОКР. Проблема построения составного индекса заключается опять же в
отсутствие необходимых данных по компаниям, поэтому мною было решено
остановиться на затратах на НИОКР, как наиболее подходящем в данных условиях
показателе инновационной активности компании.
Данный показатель также не является идеальным, так как он
наоборот увеличивает количество инновационных фирм, ведь не все затраты на
НИОКР оканчиваются патентованием/приводят к внедрению новых продуктов или
технологий. В итоге, данный индикатор не учитывает насколько успешно у компании
получается внедрять новые инновации и выводить новые продукты на рынок.
Несмотря на это, в условиях ограниченного объёма доступных данных, данный
индикатор представляет собой наилучший вариант.
2.3 Измерение
вероятности дефолта компании
В данной модели зависимая переменная, 
, представляет собой вероятность дефолта компании i в году t. Сама
вероятность была подсчитана с помощью модели Merton (1974), усовершенствованной в работах Vassalou and Xing (2004) и Bharath and Shumway (2008). Полученное значение представляет
собой вероятность того, что стоимость всех активов фирмы упадёт меньше
стоимости балансовой стоимости всех обязательств компании в течение следующих
12 месяцев.
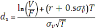
Данная модель рассматривает капитал компании как колл-опцион на
активы компании, где цена исполнения колл-опциона равняется номинальной
стоимости долга компании и времени до погашения T. Таким образом, при выполнении ещё предпосылок о следовании общей
стоимости фирмы геометрическому Броуновскому движению и то, что фирма выпустила
в качестве долга лишь одну бескупонную облигацию, которая погашается через
период времени T, то стоимость капитала как функцию
стоимости фирмы можно получить с помощью формулы Блэк-Шолла-Мертона, согласно
которой:

(1)
где, E - рыночная стоимость капитала фирмы, F - номинальная стоимость долга компании, r - безрисковая ставка процента, N - стандартно-нормальная функция распределения,

(2)

(3)
Кроме того, непосредственно из леммы Ито вытекает, что

(4)
В модели Блэк-Шолла-Мертона может быть показано, что 
и тогда подставляя это в уравнение (4), мы получаем, что
волатильность фирмы и волатильность собственного капитала фирмы связаны
следующим выражением:

(5)
Таким образом модель Мертона по сути использует два уравнения, (5)
и (2), для того, чтобы трансформировать стоимость и волатильность капитала
компании в подразумеваемую вероятность дефолта. Проблема в том, что в данных
двух уравнениях у нас есть две неизвестных переменных, стоимость активов
компании, V, и волатильность активов, 
. В принципе, найти эти две переменные не составляет труда, так
как у нас есть два уравнения и две неизвестных, что легко решается
математически. Однако, как отмечает Crosbie and Bohn (2003), на практике в уравнение (5) рычаг постоянно существенно
изменяется, поэтому полученные показатели далеки от хороших результатов. Таким
образом, я решил усложнить себе задачу и посчитать вероятности дефолта,
используя итеративную процедуру, предложенную Crosbie and Bohn (2003) и Vassalou and Xing (2004). Она состоит в следующем: сначала
мы берём за предположение, что волатильность активов фирмы выражена следующим
уравнением:

(6)
Полученный показатель волатильности я вставляю в уравнение (1),
(2) и (3), и оттуда, зная рыночную стоимость капитала компании, подсчитываю
стоимость активов компании, V, за каждый
день на протяжении года. Получив дневные значения V за весь год, я теперь считаю по ним их волатильность за прошлый
год, и, если они не сходятся, подставляю полученную волатильность в уравнения
(1), (2) и (3), до тех пор, пока полученные показатели волатильности не
сойдутся с разностью меньше чем 0,001.
Таким образом, у нас теперь есть волатильность активов компании и
их величина. Также имея доступ к рыночной стоимости собственного капитала E, можно подсчитать волатильность собственного капитала, 
. Также сделав еще несколько предположений относительно горизонта
предсказания, взятого как 1 год, и номинальной стоимости долга, F, как балансовой стоимости всех обязательств фирмы, и взяв
в качестве безрисковой ставки доходность до погашения по годовым облигациям
США, я получил все необходимые показатели для расчёта вероятности дефолта
компании в течение следующих 12 месяцев. Зная их, можно посчитать расстояние до
дефолта для компании (distance to default), равное:

(7),
где 
- оценка ожидаемой годовой доходности активов фирмы, подсчитанная
как среднее логарифмической доходности активов компании за прошлый год.
Тогда вероятность дефолта будет равняться

(8)
Таким образом, на картинке ниже представлено распределение средней
вероятности дефолта по представленным в выборке годам, начиная с 2000. Как
видно, после схлопывания технологического пузыря в 2000 году, средняя
вероятность дефолта начала резко падать, достигнув минимума в 2007 году в
примерно 1,8%. В 2009 году средняя вероятность дефолта резко взлетела вверх,
достигнув максимума в 14%, что связано с финансовым кризисом в США, который
достигнул своего максимума в 2008 году. В последний 2015 год, данный показатель
равнялся примерно 1,8%. При этом данный показатель всё равно является
существенно меньше по сравнению с показателями в остальных отраслях экономики.
Например, в работе Hsu et. all., (2015), средняя вероятность дефолта
составила 24,6% за период с 1976 по 2006 год для всех индустрий, кроме
финансовой.
2.4 Анализ
используемых контрольных переменных
Различные характеристики компании могут влиять, как и на
зависимую переменную, так и на объясняющую переменную, поэтому в модель
необходимо включить их для того чтобы проконтролировать их влияние и не
допустить проблему эндогенности. В качестве таких переменных я выделил
следующие: отношение рыночной капитализации к балансовой стоимости, рычаг,
прибыльность, покрытие процентных платежей, доходность активов, размер активов,
а также две дамми переменных: дамми убытка и времени. Включение данных
переменных обоснованно существующей литературой, в частности работами Kaplan and Urwitz (1979), Mata and Portugal (1994), Blume et al., (1998), Geroski et. al., (2010) и Hsu et. al., (2015).
Отношение рыночной стоимости к балансовой должно влиять в
теории влиять отрицательно на вероятность дефолта, так как компании, имеющие
низкий показатель данного отношения, являются более рискованными, чем компании
с высоким значением (Fama French (1992)), а соответственно вероятность дефолта у
компаний в высоким значением рыночной стоимости к балансовой должна быть выше.
Я ожидаю также, что рычаг будет влиять положительно на
вероятность дефолта, так как интуитивно компании с большим уровнем долга
являются более рискованными и более подверженными различным негативным событиям
на рынке.
Прибыльность, покрытие, размер активов и доходность активов
должны влиять отрицательно. Влияние прибыльности и доходности активов на
вероятность дефолта достаточно очевидно и прямолинейно. Чем более прибыльна
компания, тем лучше она может справиться с ухудшением рыночных условий и
выплатить долг. Что касается компаний с большим размером активов, то они
являются менее рискованными (Fama French (1992)), так как являются более
диверсифицированными и надёжными, и таким образом способны привлекать долг на
лучших условиях. То же самое касается показателя покрытия процентных платежей:
фирмы с большим показателем способны привлекать долг на более выгодных условиях
и способны выплачивать проценты, даже при значительном ухудшение прибыльности
компании.
Глава 3.
Результаты исследования
В данной части будут представлены полученные эмпирические
результаты работы. Оценка описанной выше модели проводилась с помощью как
обычной OLS модели, так и с помощью моделей с фиксированными и случайными
эффектами, которые были потом сравнены между собой. Оценивание регрессий
проводилось в программе Gretl. Также перед оценкой моделей был проведён RESET-тест Рамсея, проверяющий
правильность выбора функциональной формы модели. Так как p-value для вариантов модели с
квадратичными и кубическими коэффициентами оказались больше 5%, то мы можем
сказать, что нулевая гипотеза о верности спецификации модели не отвергается.
Результаты представлены в приложении 1.
3.1 Описание
применимых моделей и выбор наиболее адекватной модели
Для начала была построена обычная pool регрессия, которая предписывает
одинаковое поведение всем объектам выборки во все моменты времени, таким
образом в ней не учитывается панельная структура данных. Также при построении
регрессии были взяты робастные стандартные ошибки в форме Newey-Westa для того, чтобы учесть
возможные проблемы с гетероскедастичностью и автокорреляцией. Результаты
представлены в приложении 2.
Следующей исследуемой моделью стала модель between, которая по сути является предыдущей
моделью, но теперь уже значения переменных усреднены по времени. Данная модель
также оценивается с помощью обычного МНК. Что интересно, 
оказался больше, чем 
обычной регрессии, тем самым это говорит о том, что изменение по
времени показателей для каждой фирмы оказывает более существенное влияние на
каждую переменную, нежели временные колебания этих показателей относительно
средних. Результаты представлены в приложение 3.
Затем была построена модель с детерминированными индивидуальными
эффектами (FE). Тем самым, по сравнению со сквозной
регрессии, мы учитываем влияние пропущенных или ненаблюдаемых переменных,
характеризирующих индивидуальные особенности исследуемых объектов, не
меняющиеся во времени. Примерами могут являться качество управления
менеджментом фирмы, которое влияет на эффективность затрат на НИОКР и на
вероятность дефолта компании. Правда у модели с фиксированными эффектами
присутствует также и недостаток, проявляющийся в необходимости оценивать
большое количество параметров, что ведёт к потере степеней свободы. Стоит
сказать, что при построении модели с фиксированными эффектами были введены
дамми переменные периода, так как существует отличия в регрессионных
параметрах, относящихся к разным годам, т.е. есть существенные временные
эффекты. При введении же дамми-переменных на период временные эффекты будут
трактоваться как детерминированные. Результаты теста на необходимость введения
дамми переменных представлены в приложении 4. Также при построении регрессии
были взяты робастные стандартные ошибки в форме Ареллано для учёта возможной
проблемы гетероскедастичности и автокорреляции. Подробные результаты модели с
фиксированными эффектами представлены в приложении 5.
Последним пунктом была построена модель со случайными
индивидуальными эффектами. Главным отличием модели данной модели является
предпосылка о том, что индивидуальные различия исследуемых фирм носят случайный
характер, в среднем нивелируются, и их теоретические дисперсии предполагаются
одинаковыми для всех объектов выборки. Результаты представлены в приложении 6.
Следующей задачей стояло выбрать модель, наиболее адекватно описывающую
данные. Проблема в том, что для моделей, использующих панельные данные,
по-разному высчитывается вариация зависимой переменной для моделей с
фиксированными и индивидуальными эффектами, поэтому для того, чтобы выбрать
наилучшую модель, необходимо сравнить попарно три модели (модель between, как правило, носит вспомогательный
характер, поэтому опустим её), используя тесты Вальда, Бройша-Пагана и Хаусмана
(Ратникова (2004)).
А) Тест Вальда проверяет нулевую гипотезу о равенстве нулю всех
индивидуальных эффектов и позволяет сравнивать обычную pool модель и модель с фиксированными эффектами. В нашем случае
получилось, что нулевая гипотеза отвергается на 1% уровне значимости и таким
образом модель с фиксированными эффектами является предпочтительней, так как
необходимо учитывать индивидуальные эффекты
Robust test for differing group intercepts
- hypothesis: The groups have a common interceptstatistic: Welch F (246, 410.0)
= 24.2737p-value = P (F (246, 410.0) > 24.2737) = 3.72781e-156
Б) Для сравнения сквозной регрессии и модели со случайными
индивидуальными эффектами используется тест Бройша-Пагана, нулевая гипотеза
которого говорит, что вариация случайно ошибки коэффициента пересечения
равняется нулю. Получилось, что p-value < 5%, а значит, что на 5% уровне
значимости нулевая гипотеза отвергается и модель со случайными эффектами лучше
описывает данные, чем сквозная регрессия.
Breusch-Pagan test - hypothesis: Variance
of the unit-specific error = 0test statistic: Chi-square (1) = 5.44139 p-value = 0.019665
B) Для сравнения моделей с фиксированными и индивидуальными
эффектами воспользуемся тестом Хаусмана, нулевая гипотеза которого гласит, что
корреляция между индивидуальными эффектами и регрессорами отсутствует. В нашем
случае p-value
< 1%, а значит нулевая гипотеза о состоятельности GLS отвергается на 1% уровне значимости, и модель с фиксированными
индивидуальными эффектами является предпочтительнее, чем модель со случайными
индивидуальными эффектами.
Hausman test - hypothesis: GLS estimates
are consistenttest statistic: Chi-square (23) = 49.8078 p-value = 0.00097631
В принципе результат получился ожидаемый, учитывая тот факт, что
модель со случайными эффектами имеет место только тогда, когда случайные
эффекты некоррелированны с регрессорами. Несмотря на то, что я попытался учесть
в модели множество специфических показателей компании, другие ненаблюдаемые
параметры фирмы, такие как качество управления компанией, вполне вероятно
коррелируют с регрессорами и таким образом, более оптимальной становится модель
с фиксированными эффектами.
3.2 Описание
и анализ полученных результатов
В таблице ниже представлены результаты регрессии вероятности
дефолта на затраты на инновационную деятельность и контрольные переменные при
использовании модели с фиксированными эффектами. Мною были выкинуты переменные market/book и coverage ввиду их незначимости и
негативного эффекта на другие значимые переменные. К тому же по ним больше
всего были пропущено наблюдений и их исключение позволило увеличить количество
наблюдений почти в два раза, до 4183. Информация по дамми переменных времени
может быть найдена в приложении 4.
Таблица 4. Результаты регрессии с фиксированными эффектами.
|
Переменные
|
Коэффициент
|
|
R&D/Net
Sales
|
-0.05***
|
|
(0.007)
|
|
Debt/Asset
|
0.0012***
|
|
(0.0003)
|
|
Profit
|
-0.001***
|
|
(0.001)
|
|
Asset
|
-0.025***
|
|
(0.01)
|
|
ROA
|
-0.08***
|
|
(0.024)
|
|
Loss
|
0.024**
|
|
(0.008)
|
|
Constant
|
0.2278***
|
|
(0.069)
|
|
Observations
|
4183
|
|
Within
R-squared
|
0.192
|
|
Standard errors
in parentheses
|
|
*** p<0.01,
** p<0.05, * p<0.1
|
Таким образом, модель выглядит следующим образом:
В данной модели все переменные, кроме дамми переменной убытка
оказались значимы на 1% уровне значимости, а дамми убытка получилось значимой
на 5% уровне значимости.
Проинтерпретируем теперь коэффициенты переменных и знаки при
них. Константа получилась равной 0,227, это значит, что технологическая фирма,
не имеющая затрат на НИОКР, нулевую маржу, нулевой долг и нулевой логарифм
размеров активов, имеет вероятность дефолта в следующем году, равную 22,7%.
Сложно сказать, насколько данный показатель адекватен относительно
экономической теории, потому что компания не может не иметь активов. В целом
можно сделать предположение, что константа показывает вероятность того, что,
если технологическая фирма начнёт работу сегодня с нуля, то вероятность её
дефолта будет 22,7%
Знак коэффициента при затратах на НИОКР скорректированных на
чистую выручку получился ожидаемо отрицательным, таким образом показывая
негативную зависимость между уровнем инноваций технологической компании и
уровнем её риска. Исходя из этого, можно сказать, что компании из
технологического сектора, тратящие большую часть своей чистой выручки на НИОКР
относительно своих конкурентов, получают большую ожидаемую экономическую ренту
и более предсказуемые будущие денежные потоки. Вдобавок, такие фирмы лучше
позиционируют себя в постоянной гонке за технологическое преимущество и с
большей вероятностью превзойдут своих конкурентов в ней, тем самым снижая
вероятность дефолта в ближайшие 12 месяцев при прочих равных условиях.
Непосредственно коэффициента при переменной равняется - 0,05
и значим на 1% уровне значимости. Что касается экономической значимости
коэффициента, то при увеличении затрат на одно стандартное отклонение, равное
0,215, приведёт к уменьшению вероятности дефолта на 1,075% процентов и на 6,18%
относительно среднего показателя в выборке.
Также пару слов стоит сказать о показателях коэффициентов
перед дамми переменных времени, которые представлены в приложении. Всего
получилось 16 переменных, была отброшена первая. Что интересно, то у всех дамми
переменных получились отрицательные знаки, кроме дамми переменной 3 и 9,
ответственных соответственно за 2003 и 2009 год, которые получились
положительные, но при этом не значимые. Это говорит о том, что присутствует
временной эффект: если компания смогла выжить в одном году, то вероятность
банкротства в следующем году уменьшается. Что касается положительных знаков
перед 2003 и 2009 годов, то это связано в первую очередь с нестабильной
ситуацией в экономике в те годы, так, например, Nasdaq в 2002 году потерял
31,3%, что негативно сказалось на вероятности выживания в 2003 году.
3.3 Анализ
применимости результатов для компаний из Российского технологического сектора
В исследовании мной была также поставлена задача провести
анализ возможности применения полученных результатов для технологических
компаний, оперирующих на Российском рынке. Первоначально стоит сказать немного
про возможную ситуацию с исследованием российского рынка технологических
компаний. Главная проблема, стоящая на этом пути - неразвитость российской
экономики, её технологическая отсталость и отсутствие стимулов для создания
технологических компаний. Так в ежегодном рейтинге РБК, посвящённом исследованию
50 наиболее технологичных компаний в России, в 2016 году лишь 4 из 50 компаний
смогли бы попасть в мою выборку для исследования. Остальные компании, хоть и
входят в рейтинг технологических компаний, не представляют технологическую
отрасль. По большей части это компании, представляющие военно-промышленный
комплекс, машиностроительные, авиационные предприятия - компании, не
производящие товары и услуги непосредственно для населения. Отлично
характеризует ситуацию тот факт, что 72% общей выручки крупнейших
технологических компаний пришлось на государственные предприятия, а больше
половины всего объёма венчурных сделок в России составила лишь одна сделка -
продажа за $1,2 млрд. сайта объявлений Avito, созданного выходцами из
Швеции, медиа холдингу Naspers.
Таким образом, в России существует порядка пары десятка
технологических (занимающихся непосредственно IT) компаний. При этом
большинство из них частные компаний, владельцы которых не спешат выходить из
бизнеса или хотя бы сделать компания публичной. Примерами являются такие
компании, как Лаборатория Касперского, ABBYY, Acronis и другие. Убрав из
выборки частные компании, так как по ним не получится собрать данные, остаётся
на данный момент лишь 5 публичных технологичным компаний: Yandex, Mail.ru Group, IBS group, Luxoft и Armada. Так как 3 из них стали
публичными лишь после 2010 года, то попытка построения регрессионной модели и
анализа полученных данных по этим компаниям изначально обречена на неудачу.
Поэтому мною была предпринята попытка анализа применимости
полученных результатов к Российским технологическим компаниям, в частности
сравнение полученной вероятности дефолта, если использовать коэффициенты
регрессии, и вероятности дефолта, рассчитанной с помощью модели Мертона.
Несмотря на то, что регрессия в целом предсказывает вероятность дефолта далеко
не полностью (R^2
= 20%), но коэффициент при затратах на НИОКР получился значимо отрицательным.
Таким образом, подставив в регрессию используемые показатели компании, мы можем
получить предсказанную вероятность дефолта и сравнить её с базовой
вероятностью, полученной из модели Мертона. При этом нас будет интересовать
больше не точность предсказаний, а именно связь, выраженная корреляцией. Если
связь между инновациями и риском для российских технологических компаний также
отрицательная, то даже при плохо-предсказанной вероятности, корреляция должна
быть высокая, так как вероятности дефолта должны двигаться в одну и ту же
сторону при изменении различных показателей компании.
Однако тут возникла другая неожиданная проблема, в частности
нежелание руководителей российских технологических компаний публиковать данные
по их расходам на НИОРК. Проанализировав финансовые отчётности всех 5 компаний
с момента их выхода на IPO, мне удалось обнаружить раскрытие затрат на НИОКР
только у Яндекса, тогда как остальные 4 компании ни разу не публиковали эти
данные, скрывая их в операционных издержках и затратах на SG&A. Поэтому единственной
компанией, для которой можно провести сравнение - Яндекс. При этом, к
сожалению, для Яндекса это проводить не имеет смысла, в частности из-за его
очень хорошего финансового положения. Компания почти не имеет долга и не имела
долга с показателем Debt/Equity меньше 10% в течение всей своей жизни, при этом показывая хорошие
финансовые показатели. Проведя расчёт вероятности дефолта, я получил значение
вероятностей в течение последних 5 лет неотличное от 0. Таким образом,
сравнение вероятностей не имеет никакого смысла, так как они сильно близки к 0.
Базируясь на вышесказанном, мною был сделан вывод о неприменимости
полученных результатов для российских технологических компаний в связи с
неразвитостью российского технологического сектора и нежеланием компаний
раскрывать подробно свои затраты на НИОКР. Поэтому, если ситуация не изменится
в ближайшие несколько лет, то результаты работы не представляют ценности для
российских реалий.
Заключение
Без сомнения, инновации играют важнейшую роль в экономическом
развитии страны. Они не только обеспечивают большую производительность при
производстве, но и помогают диверсифицировать экономику страны, делая её менее
зависимой от прежних источников роста, тем самым экономический рост cстановится более гладким
и устойчивым относительно кризисных явлений в других отраслях экономики.
В тоже время, инновации важны и для компаний, так как они
позволяют им становится более конкурентоспособными, чем их конкуренты и
получать большую выгоду. Однако, с научной точки зрения, несмотря на достаточно
большое количество работ, посвящённых анализу влияния инновационной
деятельности компании на её финансовое положение, нет устойчивого мнения
относительно того, делают ли инновации компанию более рискованной, в частности,
увеличивают ли они вероятность дефолта в ближайшие 12 месяцев.
Таким образом, данное исследование должно дополнить существующий
набор работ, посвящённых данной тематике. При этом данную работу отличают от
других работ две вещи: ориентированность лишь на технологическую индустрию, что
позволяет избавить от потенциальных проблем с влиянием индустриальных компонент
на результат, а также использование современных данных, в частности в период с
2000 по 2015 год, тогда как большинство исследований используют данные лишь по
начало 2000.
Мною была построена модель, в которой зависимая переменная,
вероятность банкротства, репрессировалась на главную объясняющую переменную,
расходы на НИОКР, скорректированные на чистую выручку компании, и набор
контрольных переменных. При это вероятность банкротства была оценена с помощью
скорректированной модели Мертона. Сама модель была оценена с помощью регрессии
с фиксированными эффектами, применимость которой была доказана с помощью теста
Хаусмана.
В результате было найдено, что инновационная деятельность
компании, выраженная расходами на НИОКР, уменьшает вероятность ближайшего
банкротства. Таким образом, с одной стороны, поставленная мною гипотеза вроде
бы подтверждена и выполнена главная цель работы. Полученные результаты
подтверждают важность инновационной деятельности для как самой компании, так и
для инвесторов - то, что косвенно можно было наблюдать в последние годы в связи
с ростом расходов на НИОКР среди компаний и публикаций различных рейтингов
самых инновационных компаний, таких как рейтинг Forbes "The World’s Most Innovative Companies".
К сожалению, последнюю из задач - применимость модели для
российских технологических компаний - не получилось осуществить, в связи с
неразвитостью российского технологического сектора и нежеланием его
представителей публиковать данные о расходах на НИОКР.
С другой стороны, необходимо также сказать пару слов о
недостатках модели и исследования, а также о возможных путях его
усовершенствования. Главной проблемой является несовершенство используемых
данных. Все данные были получены из терминала Bloomberg, который предоставляет
всю финансовую информацию по публичным компаниям. Таким образом, у меня в
выборке получились компании, которые существуют, так как в Bloomberg нет данных по
обанкротившимся компаниям. Это в теории должно приводить sample selection bias problem, что может привести к
смещённым и несостоятельным оценкам. Таким образом, получившиеся отрицательная
зависимость между инновационной деятельностью и вероятностью дефолта на самом
деле может быть вызвана тем, что в выборке представлены лишь
финансово-устойчивые компании, для которых затраты на инновации не оказывают
негативного влияние на их финансовое положение. В то время как при включение
обанкротившихся компаний в выборку, результат может получиться другой, так как
причиной банкротства могут быть слишком большие затраты на инновации.
Другим недостатком является возможные проблемы с
эндогенностью, которые также ведут к несостоятельности оценок. Несмотря на
включение в регрессию дамми переменных времени и использование лишь одной
отрасли, возможно, что существуют переменные на уровне экономики/индустрии,
которые не учтены мною. То же самое касается и пропущенных переменных на уровне
фирмы. Последней проблемой является несовершенство используемого прокси
инновационной деятельности - затрат на НИОКР. Несмотря на то, что в своей
работе Hagedoorn and Cloodt (2002) показали, что R&D является достаточно
хорошей мерой инновационной активности, в последние время в научной литературе
появляется мнение, что патенты в качестве прокси инноваций более
предпочтительны, так как они лучше предсказывают будущие доходы и потоки
денежных платежей фирмы, чем затраты на НИОКР (Pandit et al., 2011). Наилучшим же
индикатором будут непосредственно затраты на инновационную активность фирмы.
Таким образом, данное исследование, можно улучшить, если
более подробно сконцентрироваться на этих проблемах. Для этого необходимо найти
расширить выборку, найти более адекватный индикатор инновационной активности,
чем затраты на НИОКР и рассмотреть более подробно проблему возможной
эндогенности.
Список
литературы
1. Astebro
T., Michela J.L., 2005. Predictors of the survival of innovations. Journal of Product Innovation
Management, 22, 322-335.
2. Audretsch
D.B., Mahmood T., 1995. ‘New Firm Survival: New Results Using a Hazard
Function’, Review of Economics and Statistics, 77, 97-103.
. Baldwin
J.R., Johnson J., 1996. Business strategies in more - and less-innovative firms
in Canada. Research
Policy, 25 (5): 785-804.
4. Banbury
C., Mitchell W., 1995. The effects of introducing important incremental
innovation on market share and business survival. Strategic Management Journal, 16,
161-182.
5. Bharath
S.T., Shumway T., 2008. Forecasting default with the Merton distance to default
model. Review of
Financial Studies, 21, 1339-1369.
6. Blume
M.E., Lim F., Mackinlay A. C., 1998. The declining credit quality of U. S.
corporate debt: Myth or reality? The Journal of Finance, 53, 1389-1413.
7. Buddelmeyer
H., Jehsen P., Webster. E., 2009. Innovation and the determinants of company
survival, Oxford Economic Paper, 62, 261-285.
. Cefis
E., Marsili O., 2011. Born to flip. Exit decisions of entrepreneurial firms in
high-tech and low-tech industries. Journal of Evolutionary Economics 21, 473-498.
9. Crosbie
P.J., Bohn J.R., Modelling default risk. http://www.ma.
hw. ac. uk/~mcneil/F79CR/Crosbie_Bohn. pdf
<http://www.ma.hw.ac.uk/~mcneil/F79CR/Crosbie_Bohn.pdf>.
10. Dockner J.E.,
Siyahhan B., 2015. Value and
risk dynamics over the innovation cycle. Journal
of Economic Dynamics & Control, 61, 1-16.
11. Ericson,
R., Pakes A., 1995. Markov-Perfect Industry Dynamics: A Framework for Empirical
Work, Review of Economic Studies, 62, 53-82.
. Esteve-Perez
S., Manez-Castillejo J.A., 2008. The resource-based theory of the firm and firm
survival of Spanish manufacturing firms, Review of Industrial Organization, 25,
251-73.
. Fama
F.E., French R.K., 1992. The cross-section of expected stock returns. The Journal of Finance, 47, 427-465.
14. Fernandes
A.M., Paunov C., 2014. The
risks of innovation: are innovating firms less likely to die? The Review of Economics and Statistics, 1-58.
15. Gatignon
H., Robertson S.T., 1985. A Propositional Inventory for New Diffusion Research,
Journal of Consumer Research, 11 (4), 849-67.
. Geroski
P.A., Mata P., Portugal, P., 2010. Founding conditions and the survival of new
firms. Strategic Management Journal.31,
510-529.
17. Gourville
J.T., 2005. The Curse of Innovation: Why Innovative New Products Fail,
Marketing Science Institute Report No.05-117.
. Grinblatt
M., Titman S., 1998. Financial Markets & Corporate Strategy. Homewood, IL: Richard D. Irwin.
19. Griliches
Z., 1990. Patent statistics as economic indicators: a survey, Journal of
Economic Literature, 28, 1661-707.
. Hagedoorn
J., Cloodt M., 2003. Measuring innovative performance: is there an advantage in
using multiple indicators? Research
Policy, Vol.32. № 8. P.1365-1379.
21. Hall B.H.
1987. The Relationship Between Firm Size and Firm Growth in the US
Manufacturing Sector, The Journal of Industrial Economics 35 (4): 583-606.
. Howell
A., 2015, "Indigenous” innovation with heterogeneous risk and new firm
survival in a transitioning Chinese economy, Research Policy 44, 1866-1876.
23. Kaplan R.S.,
Urwitz G., 1979. Statistical
models of bond rating: a methodological inquiry, Journal of Business 52,
231-261.
24. Kleinknecht
A., Van Montfort K., Brouwer E. 2002. The non-trivial choice between innovation indicators. Economics of Innovation and New Technology 11 (2):
109-121.
25. Mairesse
J., Mohnen P., 2002. Accounting for innovation and measuring innovativeness: an
illustrative framework and an application, American Economic Review, 92,
226-31.
. Mata J.,
Portugal P., 1994. Life duration of new firms. Journal of Industrial Economics, 42, 227-245
27. Merton,
R.C. 1974. On the pricing of corporate debt: the risk structure of interest
rates, The Journal of Financ, 29, 449-470.
. Min S.,
Kalwani M.U., and Robinson W.T., 2006. Market Pioneer and Early Follower
Survival Risks: A Contingency Analysis of Really New Versus Incrementally New
Product-Markets, Journal of Marketing, 70, 15-33.
. Nelson,
R., Winter, S., 1982. An evolutionary theory of economic change. Harvard University Press, Cambridge, MA.
30. Ortega-Argiles
R., Moreno R., 2007. Firm competitive strategies and the likelihood of survival:
the Spanish case, Discussion Papers on Entrepreneurship, Growth and Public
Policy 2007-05, Max Planck Institute of Economics, Jena.
. Pandit
S., Wasley C.E., Zach T., 2011. The Effect of R&D inputs and outputs on the
relation between the uncertainty of future operating performance and R&D
expenditures, Journal of Accounting, Auditing and Financing.26, 121-144.
. Perez
S.E., Llopis A.S., Sanchis-Llopis J.A., 2004. The determinants of survival of
Spanish manufacturing firms. Review of
Industrial Organization, 25, 251-273.
33. Segarra
A., Callejon M. 2002. New firm’s survival and market turbulence: new evidence
from Spain, Review of Industrial Organization, 20, 1-14.
. Skinner
D.J., 2008. Accounting for intangibles - a critical review of policy
recommendations. Accounting and Business
Research, 38 (3), 191-204.
35. Tirole J.,
1988. The Theory of Industrial Organization. Cambridge, MA: The MIT Press.
. Vassalou,
M., Xing Y., 2004. Default risk in equity returns. The Journal of Finance, 59, 831-868.
37. Zhang, M.,
Mohnen, P., 2013. Innovation and survival of new firms in Chinese
manufacturing, 2000-2006. In: United Nations University, Maastricht Economic
and Social Research and Training Centre on Innovation and Technology Working
Paper. No.57.
Приложения
Приложение 1
Результаты теста Ramsey:test for specification -
hypothesis: specification is adequatestatistic: F (2, 4129) = 1.07803p-value =
P (F (2, 4129) > 1.07803) = 0.299199
Приложение
2
Pool регрессия, оценённая с помощью OLS.
|
Переменные
|
Коэффициент
|
|
|
|
|
R&D/Net
Sales
|
-0.02***
|
|
(0.004)
|
|
Debt/Asset
|
0.0015***
|
|
(0.0003)
|
|
Profit
|
-0.009
|
|
(0.009)
|
|
Asset
|
-0.014***
|
|
(0.01)
|
|
ROA
|
-0.093***
|
|
(0.036)
|
|
Loss
|
0.031**
|
|
(0.007)
|
|
Constant
|
0.109***
|
|
(0.027)
|
|
Observations
|
4138
|
|
R-squared
|
0.190
|
|
Standard errors
in parentheses
|
|
*** p<0.01,
** p<0.05, * p<0.1
|
Приложение
3
Регрессия between.
|
Переменные
|
Коэффициент
|
|
|
|
|
R&D/Net
Sales
|
-0.024***
|
|
(0.003)
|
|
Debt/Asset
|
0.0012***
|
|
(0.0003)
|
|
Profit
|
-0.011
|
|
(0.013)
|
|
Asset
|
-0.01***
|
|
(0.0019)
|
|
ROA
|
-0.16***
|
|
(0.052)
|
|
Loss
|
-0.007
|
|
(0.016)
|
|
Constant
|
0.10***
|
|
(0.015)
|
|
Observations
|
4183
|
|
R-squared
|
0.26
|
|
Standard errors
in parentheses
|
|
*** p<0.01,
** p<0.05, * p<0.1
|
Приложение
4
Дамми переменные времени в модели с фиксированными эффектами
|
Переменные
|
Коэффициенты
|
|
dt_2
|
−0.0272613**
(0.0117057)
|
|
dt_3
|
0.00754118
(0.0158689)
|
|
dt_4
|
−0.0575110***
(0.0115151)
|
|
dt_5
|
−0.0496453***
(0.0102960)
|
|
dt_6
|
−0.0589915***
(0.00930682)
|
|
dt_7
|
−0.0584087***
(0.00991829)
|
|
dt_8
|
−0.0528486***
(0.0110086)
|
|
dt_9
|
0.0574789
(0.0407751)
|
|
dt_10
|
−0.0324152**
(0.0134572)
|
|
dt_11
|
−0.0450677***
(0.0114582)
|
|
dt_12
|
−0.0330344***
(0.0124353)
|
|
dt_13
|
−0.0424433***
(0.0130010)
|
|
dt_14
|
−0.0511845***
(0.0137689)
|
|
dt_15
|
−0.0486798***
(0.0144681)
|
|
dt_16
|
−0.0477641***
(0.0147566)
|
Standard errors in parentheses
*** p<0.01, ** p<0.05, * p<0.1
Тест на значимость включения дамми-переменных:
Wald test for joint significance of time
dummiestest statistic: Chi-square (15) = 169.583 p-value = 2.96338e-028
Приложение 5
Регрессия с фиксированными эффектами
|
Переменные
|
Коэффициент
|
|
|
|
|
R&D/Net
Sales
|
-0.05***
|
|
(0.007)
|
|
Debt/Asset
|
0.0012***
|
|
(0.0003)
|
|
Profit
|
-0.001***
|
|
(0.001)
|
|
Asset
|
-0.025***
|
|
(0.01)
|
|
ROA
|
-0.08***
|
|
(0.024)
|
|
Loss
|
0.024**
|
|
(0.008)
|
|
Constant
|
0.2278***
|
|
(0.069)
|
|
Observations
|
4183
|
|
Within
R-squared
|
0.192
|
|
Standard errors
in parentheses
|
|
*** p<0.01,
** p<0.05, * p<0.1
|
Приложение
6
Регрессия со случайными эффектами
|
Переменные
|
Коэффициент
|
|
|
|
|
R&D/Net
Sales
|
-0.04***
|
|
(0.013)
|
|
Debt/Asset
|
0.0015***
|
|
(0.0002)
|
|
Profit
|
-0.006
|
|
(0.004)
|
|
Asset
|
-0.014***
|
|
(0.0015)
|
|
ROA
|
-0.08***
|
|
(0.016)
|
|
Loss
|
0.027**
|
|
(0.007)
|
|
Constant
|
0.1544***
|
|
(0.069)
|
|
Observations
|
4183
|
|
Standard errors
in parentheses
|
|
*** p<0.01,
** p<0.05, * p<0.1
|