Функции полезности

  • Вид работы:
    Контрольная работа
  • Предмет:
    Математика
  • Язык:
    Русский
    ,
    Формат файла:
    MS Word
    56,29 Кб
  • Опубликовано:
    2016-10-17
Вы можете узнать стоимость помощи в написании студенческой работы.
Помощь в написании работы, которую точно примут!

Функции полезности

Введение

Сегодня финансовый анализ стал активнее и активнее использовать сложный математический инструментарий, используемый в различных точных науках, например, физике. Дифференциальные уравнения, вариационное исчисление, математический анализ - все это используется, чтобы еще точнее прогнозировать случайные процессы на финансовых рынках.

Данное исследование находится на стыке количественных финансов и поведенческой теории, которая описывает различные психологические особенности поведения человека, которые можно математически формализовать. Темой этой работы является получение субъективной функции полезности, которая бы могла описывать состояние рынка ценных бумаг, и могла описывать поведение рынка в зависимости от тех или иных сигналов, влияющих на ценовой процесс. Актуальность этого исследования обусловлена практической направленностью, поскольку результат можно будет использовать при принятии решений на финансовых рынках.

Объектом исследования является формализм Йенса Якверта, связывающий функцию полезности с наблюдаемым ценовым процессом. Субъектом является функция полезности Дэниэля Канемана, выведенная эмпирически, но не имеющая явного вида.

Данное исследование является логическим продолжением предыдущих работ, где рассматривалось решение формализма Якверта с целью обнаружить эмпирическую функцию полезности с заданными свойствами, отличающимися от традиционных вариантов функций полезности, описанных в научных работах. В рамках данной работы были рассмотрены различные варианты поиска эмпирической функции полезности, которая присуща фондовому рынку, где были учтены предыдущие ошибки и методы, которые не смогли дать необходимого результата ввиду ограниченности используемого математического аппарата.

Принципиальным отличием данного исследования является отказ от получения функции полезности напрямую из уравнения Якверта. Проблема заключалась в том, что мы должны знать 2 из трех слагаемых уравнения такие, чтобы они имели одинаковую природу с точки зрения разрешимости с помощью математического аппарата. Приняв неизвестной функцию полезности, мы были вынуждены использовать эмпирическую субъективную функцию плотности вероятности и риск-нейтральную функцию плотности вероятности, которые имеют разную природу, что приводило к неразрешимым известным методам дифференциальному уравнению.

Таким образом, мы можем выбрать неизвестной одну из функций плотности вероятности. Для данной работы были рассмотрены несколько подходов, где в качестве известных были приняты вид эмпирической функции и функции полезности. Это было сделано для того, чтобы иметь возможность оценивать параметры на наблюдаемых доступных рыночных данных.

Рассмотрим общую методологию решения поставленной задачи.

В главе 1 мы проанализируем вывод формализма Якверта, который базируется на идее стохастического ядра ценообразования и меры неприятия риска Пратта-Эрроу.

В главе 2 мы будем оценивать получение вида эмпирической функции плотности вероятности, как ее называл сам Якверт «субъективной», а поиску соответствующих параметров это функции на эмпирических данных.

В главе 3 мы обсудим метод оценки премии опционов на покупку с помощью одних лишь рыночных данных, как альтернативу модели Блэка - Шоулза. Данный подход маловероятно возможно использовать как метод прогнозирования рынка, однако он может служить неким ориентиром для оценки априорной премии опциона.

Глава 4 будет посвящена параметризации риск-нейтральной функции плотности вероятности, полученной при решении формализма Якверта. Параметризация будет проведена на нескольких горизонтах для исполнения опционов.

В пятой главе мы рассмотрим «теорию перспектив», разработанную Дэниэлем Канеманом и Амосом Тверски. Это исследование является ключевым для данной работы, так как описывает свойства функции полезности, которые мы хотим использовать для анализа склонности/несклонности к риску субъективного рынка.

Глава 6 посвящена описанию подхода для обнаружения свойств функции полезности Канемана-Тверски на финансовом рынке, а также их использования для построения торгового правила.

Для произведения расчетов и обработки данных использовалось программное обеспечение MathCAD 15.

1. Формализм Якверта

В первой части работы мы рассмотрим, как Якверт связывает между собой меру абсолютного избегания риска, которая находится из формулы Пратта-Эрроу:

,

риск-нейтральную плотность вероятности и эмпирическую плотность вероятности.

Она выводится из максимизации функции полезности от будущего уровня богатсва:


W - будущее богатство- субъективное распределение- функция полезности, независящая от возможных состояний рынка

λ - теневая цена- 1+безрисковая процентная ставка- временной горизонт- риск-нейтральное распределение

Дифференцируя по уровню богатства, находятся условия первого порядка равновесия. Якверт говорит, что в условиях равновесия инвестор склонен удерживать портфель, тогда, если S - приходящие дивиденды от портфеля между состояниями рынка, условие равновесия будет устанавливаться следующим равенством:


Основная трудность дальнейшего поиска функции избегания риска заключается в поиске λ, однако Якверт находит простое решение этой проблемы с помощью использования риск-нейтрального распределения. Для этого нужно еще раз продифференцировать функцию полезности:


Как уже было установлено, функция полезности по Канеману которые будут рассматриваться далее являются возрастающей и вогнутой. Естественно, что свойство вогнутости функции полезности не может быть гарантировано уравнением (8). Теперь можно записать функцию избегания риска по Якверту:



Теперь, когда функция избегания риска не зависит от теневой цены рынка, можно оценить ее только с помощью доступных рыночных данных.

2. Оценка физической плотности вероятности для оценки риск-нейтральной плотности

Для начала мы должны получить форму физической плотности. В данной главе мы рассмотрим такое решение, которое не только даст нам функцию плотности вероятности, но и функцию полезности. Для этого мы используем задачу вариационного исчисления. Чтобы ее решить, необходимо составить функционал, куда входит финансовая переменная, функция ее распределения в форме первой производной, ограничения на первые три центральных момента этого распределения, ограничение на форму функции полезности, а также стохастическое ядро ценообразования:

 

Здесь  есть функция распределения финансовой переменной x,

- функция плотности вероятности для переменной,

 - имеют природу множителей Лагранжа,

u - первая производная функции полезности,

ν - вторая производная функции полезности,

ρ - ставка дисконтирования,

θ - доля безрискового актива в портфеле,

 - основа информационной энтропии по Клоду Шеннону:

,

здесь логарифм плотности вероятности представляет собой количество информации, получаемое от i-ого сообщения. Здесь мы используем натуральный логарифм для упрощения дальнейших выкладок, в работах Шеннона же использовался логарифм по основанию 2, так как в программировании сообщения зашифрованы двоичным кодом. Минус означает уменьшение энтропии с каждым новым сообщением хi или увеличение определенности.

Множитель альфа означает ограничение на матожидание функции плотности вероятности, бета - на стандартное отклонение, хота - на асимметрию. Оставшиеся ограничения обозначают формализм Стиглица, связывающий абсолютное и относительное неприятие риска.

Идея стохастического ядра ценообразования уходит в микроэкономику, а точнее в модель межвременного выбора. Она заключается в том, что потребление в текущий момент времени должно приносить тот же уровень полезности, что и отложенное потребление. В рамках нашей задачи подразумевается, что агент имеет две альтернативы: получить ликвидационную стоимость портфеля сейчас в момент времени t0 или находиться в позиции еще один период и получить ликвидационную стоимость в момент времени t1.

Решение вариационной задачи представляет собой ответ на вопрос, существует ли дважды дифференцируемая функция распределения, минимизирующую интеграл функционала, и какой она имеет вид? Чтобы ответить на него необходимо решить уравнение Эйлера-Лагранжа в частных производных. Полное решение вариационной задачи находится в приложении 1.

Итоговая форма функции полезности будет иметь следующий вид:

,

а функция плотности вероятности равна


Функция λ(x) является технической и не несет никакого финансового смысла, поэтому мы не будет доводить это решение до конца.

В дальнейшем мы также будем использовать упрощенную версию функции плотности, для нахождения которой использованы только ограничения на первые три момента.

. Получение риск-нейтральной функции плотности вероятности

Риск-нейтральную функцию плотности вероятности мы будем оценивать по теореме Бридена-Литценбергера, пользуясь статьей Figlevski, где описан практичесий подход к оценке риск-нейтрального распределения с помощью цен опционов.

Вывод модели основывается на концепции безрискового хеджирования. Покупая акции и одновременно продавая опционы колл на эти акции, инвестор может конструировать безрисковую позицию, где прибыли по акциям будут точно компенсировать убытки по опционам, и наоборот.

Безрисковая хеджированная позиция должна приносить доход, равный безрисковой процентной ставке, в противном случае существовала бы возможность извлечения арбитражной прибыли и инвесторы, пытаясь получить преимущества от этой возможности, приводили бы цену опциона к равновесному уровню, который определяется моделью.

Как уже было сказано выше, в этой работе мы не будем оценивать риск-нейтральную плотность с помощью формулы Блэка - Шоулза, так как плотность будет иметь другую природу. Во-первых, она предполагает использование нормального распределения, во-вторых, полученный в результате преобразований вид дифференциального уравнения не имеет решения с помощью известных методов, что было обнаружено в предыдущем исследовании данной проблемы. Вместо этого, воспользовавшись формализмом Якверта, найдем общий вид риск-нейтральной функции плотности вероятности:




Где K - нормировочная постоянная, p(x) - наблюдаемая субъективная функция плотности вероятности.

. Оценка риск-нейтрального распределения

Алгоритм оценки параметров риск-нейтрального распределения следующий:

)        Оценить параметры наблюдаемой субъективной плотности вероятности на эмпирической выборке

)        Подставить полученные параметры в уравнение для риск-нейтральной плотности вероятности

)        Оценить с помощью метода Фиглевски параметры функции полезности, подставив наблюдаемые значения опционов на покупку и на продажу

Принципиальным отличием данной работы от выполненных ранее является отказ от поиска явной функции полезности Канемана. Вместо этого, мы будем различными методами искать проявлении свойств этой функции на рынке ценных бумаг.

В качестве выборки мы используем дневные котировки акций компании Goldman Sachs. Напомним, что в качестве финансовой переменной мы будем использовать нормированные цены безрисковая ставка по 10-летним американским казначейским облигациям, премии опционов от 08.05.2016 с различными ценами исполнения, для которых торговались как опционы на покупку, так и на продажу. Для опционов мы исключаем те, которые находятся далеко вне денег, имеют слишком низкое значение премии.

Параметр Q в контексте исследования означает долю безрискового актива в портфеле, поэтому он будет определяться на интервале (0;1), хотя сами психологи вкладывали в него иное значение, допускающее значения больше единицы.

Такое значение обусловлено условиями Канемана - Тверски, которые будут рассмотрены ниже.

Параметризация будет осуществляться методом моментов. Его суть заключается в том, что мы минимизируем квадрат отклонения моментов распределения от моментов выборки. Так как мы используем нормированные цены, то область определения будет находиться в интервале [0;2].


Предварительно задав начальные значения параметров для оценки, приравняв площадь под интегралом к единице, а также задав ограничения на высоту хвостов, получим вектор значений параметров:


Несмотря на то, что визуально плотность выглядит почти симметрично, нельзя говорить о равном распределении увеличений и уменьшений нормированной цены. Так как рост и падение в два раза равны увеличению цены на 1 и уменьшению на 0,5. Важно будет учитывать этот нюанс, когда мы будем говорить о неодинаковом отношении к риску при росте и падении стоимости актива. Кроме того, выборка содержит 487 точек, когда стоимость актива была выше начальной цены и 848 - ниже.

5. Оценка опционов на покупку по теореме Бридена - Литценбергера

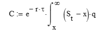
Теорема Бридена - Литценбергера говорит о том, плотность риск-нейтрального распределения равна второй производной премии оциона по цене исполнения. Если это верно, логично предположить обратное - премия опциона равна двойному интегралу риск-нейтральной функции плотности, продисконтированному к настоящему времени:


Подставив все параметры и упростив вид функции получим:

В качестве значения доли безрискового портфеля мы также, как и при параметризации, мы берем 0,8. Так как функция имеет экспоненциальный вид, то она, согласно «проклятью Эйлера», не интегрируема. Поэтому необходимо привести ее к интегрируемуму виду. Для этого воспользуемся разложением на характеристические многочлены по Гамбургеру - Ганкелю. В данной работе мы использовали 11 векторов. В результате получим следующую плотность, которая почти неотличима от исходной. Наблюдаются небольшие отклонения в хвостах распределения. Чтоб их ликвидировать, можно увеличить количество векторов. Однако нам необходимо лишь приблизительное решение, поэтому ограничимся таким видом.Так как вид функции плотности вероятности представляет собой экспоненциальную функцию (или многочлен), зависящий только от финансовой переменной, параметра Q, использовать его для оценки опционов невозможно, так как отсутствует цена исполнения.

Из-за озвученных выше проблем сложно дать разумное финансовое объяснение этой зависимости. На данном графике мы видим, что при росте цены актива выше текущей цены, мы видим экспоненциальный рост премии опциона. Этот результат требует дальнейшего изучения, так как при понимании, как оценивать таким методом опционы на конкретную цену исполнения, можно получить достаточно простой метод оценки.

Данная проблема решена в работе Стивена Фиглевски. Он дает следующее определение премии опциона:


Здесь St - текущая цена подлежащего активаx - цена исполнения опциона

r - безрисковая ставка

thau - время до исполнения

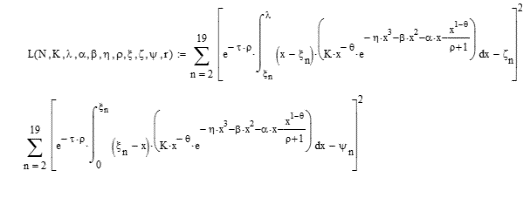
Используя рыночные данные по опционам на акции Goldman Sachs, мы можем оценить параметры риск-нейтральной функции плотности вероятности. Для этого оценим все параметры используемой функции на опционах на покупку и на продажу методом наименьших квадратов:


Данная процедура выполнена на опционах с разными датами до погашения в приложении 5.


Где y1 - вектор параметров для опционов с датой исполнения на 20.01.2017, y2 - на 21.10.2016 и y3 - 20.05.2016.

Мы видим, что плотность эволюционирует со временем, что позволяет оценить, как отношение к риску зависит от временного горизонта.

Теперь, когда мы имеем необходимую методологию для решения поставленной задачи, рассмотрим теорию перспектив, а также свойства функции полезности.

. Теория перспектив Дэниэля Канемана

Чтобы оценить функцию полезности, мы должны вменить ей какие-то свойства, иначе оценить константы в решении дифура не представляется возможным. Для этого мы рассмотрим теорию перспектив Дэниэля Канемана, где с помощью эмпирического исследования он выявил определенные свойства для функции полезности экономических агентов.

Она исходит из того, что традиционная теория ожидаемой полезности не выдерживает эмпирической проверки. Это было доказано Морисом Алле, когда он выдвинул свой парадокс Алле.

Тогда Дэниэль Канеман и Амос Тверски с помощью опросов провели эксперимент, который должен был определить способы принятия решений в условиях неопределенности. Рассмотрим некоторые задачи, рассмотренные в их работе, которые дают нам определенные свойства функции полезности:

Таблица 1


Игра на плюс

Игра на минус

Задача 1 N=95

(4000;0,80)<(3000;1) [20] [80]

(-4000;0,80)>(-3000;1) [92] [8]

Задача 2 N=95

(4000;0,20)>(3000;0,25) [65] [35]

(-4000;0,20)<(-3000;0,25) [42] [58]

Задача 3 N=66

(3000;0,90)>(6000;0,45) [86] [14]

(-3000;0,90)<(-6000;0,45) [8] [92]

Задача 4 N=66

(3000;0,002)<(6000;0,001) [27] [73]

(-3000;0,002)>(-6000;0,001) [70] [30]


Количество респондентов обозначено за N, в квадратных скобках дано процентное количество, выбравшее ту или иную лотерею.

Как видно из таблицы, предпочтения в левой части являются зеркальным отражением правой. Исходя из этого, делаются три главных вывода:

·        избегание риска в случае игры на плюс заменяется склонностью к риску в случае возможных убытков;

·        как в правой части таблицы, так и в левой нарушаются принципы теории ожидаемой полезности;

·        эффект отражения отвергает идею о том, что избегание неуверенности объясняет эффект уверенности, скорее уверенность усиливает избегание потерь в той же степени, что и стремление к выигрышу.

Теперь рассмотрим процесс принятия решений согласно Канеману и Тверски:

Теория разделяет весь процесс принятия решения на две стадии: редактирование и оценка. Стадия оценки заключается в предварительном анализе предложенных альтернатив, который направлен на их упрощение. Далее отредактированные возможности оцениваются, и выбирается наиболее ценная.

Стадия редактирования состоит из 4 основных операций:

.        Кодирование. Как было сказано выше, агент делает выбор, основываясь на изменении его благосостояния, а не на конечном его уровне. Следовательно, сначала определяется некая отправная точка, относительно которой измеряется изменение. Затем возможные исходы лотереи кодируются как доходы или убытки. Естественно, что на это влияет формулировка лотереи и ожидания агента, принимающего решение.

.        Комбинирование. Лотереи иногда могут упрощаться комбинированием возможностей с одинаковыми исходами. Например, лотерея (200, 0,25 ;200, 0,25) будет упрощена до (200, 0,50) и будет оцениваться в такой форме.

.        Сегрегация. Если игра содержит одновременно рисковый и безрисковый компонент, то они будут отделены друг от друга. Например, лотерея (300, 0,80; 200, 0,20) будет преобразована в лотерею с безрисковой составляющей 200 и рисковой - (100, 0,80). Аналогично для игр с отрицательными исходами.

.        Отклонение. Респонденты склонный игнорировать некоторые альтернативы или стадии выбора, если в альтернативах есть схожие компоненты. Например, выбор между (200, 0,20;100, 0,50; -50, 0,30) и (200, 0,20;150, 0,50; -100, 0,30) уменьшается до (100, 0,50; -50, 0,30) и (150, 0,50;-100, 0,30).

. Получение свойств функции ценности (полезности)

Существенная особенность теории перспектив заключается в том, что акцент делается на важность изменения благосостояния агента, а не на конечное благополучие. Это предположение совместимо с основными принципами восприятия и суждения. Наш аппарат восприятия намного более чувствителен к изменениям, чем к оценке абсолютных значений величин. Например, при похолодании с +20С до +5С, человек будет ощущать холод сильнее, чем при похолодании с +5С до 0. Здесь снова стоит вспомнить о важности исходной точки: агент адаптируется к начальным условиям, а затем весь полученный опыт, все изменения текущего состояния и прочее сравнивает с исходным состоянием. Тоже самое и для финансового благосостояния: для кого-то потеря 1000$ является шагом в бедность, а для кого-то - лишь незначительным убытком. Все зависит от отправной точки. Важным является и отношение к размеру изменений. Очевидно, что разница в ценности получения 100$ и 200$ значительно выше, чем между 1100$ и 1200$, аналогично для убытков. Видно, что субъективная ценность изменений выше, чем модальное изменение. Отсюда получается форма функции изменения стоимости: она вогнутая, когда богатство увеличивается относительно исходной точки (υ’’(x)<0, для x>0), и выпуклая для убытков (υ’’(x)<0, для x<0). Такой вывод делается исходя из ответов респондентов на безрисковые альтернативы. Пример ниже покажет, что те же свойства характерны и в случае принятия решений в условиях риска.

Таблица 2


A

B


6000 с вероятностью 0,25

4000 с вероятностью 0,25 или 2000 с вероятностью 0,25

N=68

[18]

[82]


C

D


-6000 с вероятностью 0,25

-4000 с вероятностью 0,25 или -2000 с вероятностью 0,25

[70]

[30]


Подставляя эти условия в уравнение:

π(0,25)υ(6000)<π(0,25)[ υ(4000)+ υ(2000)] и

π(0,25) υ(-6000)>π(0,25)[ υ(-4000)+ υ(-2000)].

Сокращая π(0,25) получается, чтоυ(6000)<υ(4000)+υ(2000) и υ(-6000)>υ(-4000)+υ(-2000). Таким образом, получается, что функция ценности в условиях риска обладает теми же свойствами, что и без риска.

Здесь нужно сделать оговорку. Канеман и Тверски делают разграничение между функцией ценности и функцией полезности в силу неоднозначного отношения агентов к денежному богатству. Для упрощения это предположение не будет играть роли в дальнейшем исследовании, так как для получения рискофобного распределения с помощью теоремы Пратта-Эрроу необходимо использовать функцию полезности.

Еще раз запишем свойства функции ценности:

·        Дважды дифференцируема

·        непрерывна

·        y=0

·        υ(x)<-υ(-x)

·        υ’(x)<υ’(-x)

·        υ’’(x)<0

·        υ’’(-x)>0

Таким образом, функция ценности, согласно теории перспектив будет выглядеть следующим образом:

8. Использование свойств функции полезности Канемана - Тверски для прогнозирования финансовых рынков

Ранее мы использовали свойства функции полезности, в качестве ограничений для дифференциального уравнения второго порядка, чтобы получить ее в явном виде. Так как такой цели перед нами больше не стоит, мы попробуем обнаружить эти поведенческие особенности принятия решения на финансовом рынке. Для этого выдвигается следующая гипотеза: из-за несимметричного отношения к риску при росте и при падении цены, позиции закрываются при меньшем изменении стоимости позиции в первом случае и большем - во втором. Иными словами, мы для закрытия позиции в случае увеличения ее стоимости необходимо меньшее изменение цены, чем при ее падении.

Чтобы проверить подлинность этой гипотезы мы можем придумать вид функции полезности, состоящий из суммы элементарных функций. Однако такой метод непрактичен с той точки зрения, что построение такого многочлена возможно лишь случайным образом методом подбора. Поэтому необходим способ, который бы позволил описать наблюдаемый процесс с помощью традиционных функций.

Чтобы решить эту задачу мы разобьем нашу выборку на две части. В первую часть будут входить только такие точки, в которых значение цены было выше, чем в t0, они будут принадлежать интервалу [1;2], во вторую часть войдут оставшиеся точки, принадлежащие промежутку [0;1). Такой подход ссылается на понятие upside/downside beta из технического анализа. К тому же, он логически подходит нашей задаче, где мы стремимся связать разную скорость изменения стоимости финансовой переменной при движении вверх и вниз с поведенческими особенностями человека. Кроме того, Канеман и Тверски в своей работе также изучали особенности принятия решений только на задачах с одинаковым направлением изменения благосостояния. Таким образом, этот шаг является полностью обоснованным.

Алгоритм для изучения присутствия свойств функции полезности Канемана будет следующий:

)        оценить наблюдаемое распределение на новых выборках; для упрощения задачи мы будем пользоваться наиболее простой формой функции плотности вероятности, полученной только с ограничениями на первые три момента

)        Разложить полученные плотности по Гамбургеру - Ганкелю, чтобы избавиться от экспоненциального вида

)        Подставить полученную в виде многочлена плотность вероятности в решение для риск-нейтральной плотности, полученной через формализм Якверта

)        Выбрать соответствующие каждой выборке специфические функции полезности, которые своей формой отражали бы отношение к риску на каждой выборке: рискофобного вида для роста и рискофильного для потерь

)        Оценить параметры функции полезности по методу Фиглевски на опционах на покупку и на продажу. Здесь нет очевидного решения использовать ли для параметризации оба типа опционов или разделить для разных выборок.

)        Проверить возможность сосуществования полученных функций полезности для двух выборок.

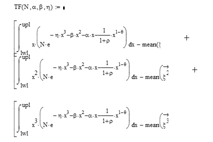
. Параметризация функции полезности с помощью риск-нейтральной плотности

Прежде чем приступить к параметризации, необходимо выбрать функции вид функции полезности, по которому будет осуществляться параметризация. Нужно подобрать функции, общий вид которых будет соответствовать свойствам функции полезности Канемана - Тверски. Таким образом, для функции убытков мы воспользуемся параболической функцией, а для роста - функцией вида a*x^(b/n), где n<b. Сама параметризация выполнена в приложениях 10 и 11, по методу, описанному в главе 5. Параметризация сделана на опционах со сроком исполнения 20.01.2016.

Рисунок 1

В целом, полученный результат отражает необходимые свойства, однако точность параметризации и метод подбора параметризуемых функций требует дальнейшего совершенствования. Тем не менее, основной задачей исследования стоял метод обнаружения соответствующих свойств на рыночных данных, что и было выполнено.

Дальнейшее исследование должно быть посвящено поиску наиболее оптимального вида функций полезности для параметризации. Необходимо придумать некий генератор функций полезности, способный выдавать нужный вид при заданных свойствах.

Также требуется разработка способа перехода от нормированных цен, т.е. финансовой переменной как запаса, к показателям потока - доходностям. На данный момент мы имеем лишь один формализм (Якверта), связывающий функцию полезности с наблюдаемым ценовым процессом. Так как этот формализм базируется на идее стохастического ядра ценообразования, мы не можем напрямую перейти к доходностям. Эта задача может быть решена либо выводом нового формализма, либо поиску существующей теоремы, позволяющей без серьезных ограничений переходить от потока к запасу и обратно.

Еще один важный этап - правильный выбор данных и области определения для параметризации.

Наконец, на это уже было обращено внимание выше: Канеман и Тверски в своих экспериментах предлагали задачи с увеличением или неизменением и потерями и неизменением. Однако на исследуемых финансовых рынках безрисковая ставка является величиной положительной. Для более чистого эксперимента необходимо выбрать рынок, где субъект принятия решения может выбирать не только между рисковым и безрисковым активом, но и между рынками с положительным и отрицательным значением ставок по безрисковому активу.

Заключение

В данной работе был рассмотрен новаторский подход к измерению склонности/несклонности к риску. Была разработана методология и алгоритм оценки функции полезности на финансовых рынках с помощью наблюдаемых рыночных данных. Были обнаружены свойства функции полезности Канемана - Тверски на изучаемых рыночных данных. На сегодняшний день «Теория перспектив» является единственным исследованием, которое дает нам информацию о свойствах функции полезности субъекта рынка. Так эти свойства получены эмпирически на выборке из большого количества опрошенных, мы можем говорить, что эти свойства могут быть в той или иной степени присущи всему рынку. Поэтому дальнейшее совершенствование рассмотренного в данной работе метода представляет собой высокую значимость для развития как поведенческих, так и прикладных финансов.

полезность формализм якверт финансовый

Список использованной литературы

1.       Будылин А. М. Вариационное исчисление (Москва, 2001)

.        Зайцев В. Ф., Полянин А. Д. Метод разделения переменных в математической физике (Книжный Дом, 2009)

.        Колмогоров А. Н. Об аналитических методах в теории вероятностей (Успехи математических наук, в.5, 1932)

.        Abel A.B. Equity Premia with Benchmark Levels of Consumption: Closed-Form Results. Cambridge (June, 2006).

.        Breeden D.T.; Litzenberger R.H. Prices of State-Contingent Claims Implicit in Option Prices. The Journal of Business, Vol. 51, No. 4 (Oct., 1978), 621-651.

6.       Borda, M.: Fundamentals of Information Theory and Coding (Springer, 2011) - p 11

.        Copeland T.E.; Weston F.J. Financial Theory and Corporate Policy. Third Edition (1992).

.        Courant S. Implied Risk Aversion in Option Prices Using Hermite Polynomials. Paris (June, 1999).

.        Figlewski S. Estimating the Implied Risk Neutral Density for the U.S. Market Portfolio (July, 2008).

.        Hull J. Options, Futures and Other Derivatives. Issue 8 (2012).

.        Kahneman D.; Tversky A. Prospect Theory: An Analysis of Decision under Risk. Econometrica, Vol. 47, Issue 2 (Mar, 1979), 263-292.

.        Jackwerth J.C. Recovering Risk Aversion from Option Prices and Realized Returns. The Review of Financial Studies, Vol. 13, No. 2 (Summer, 2000), 433-451.

.        Tversky A. Elimination by Aspects: A Theory of Choice. Psychological Review, 79 (1972), 281-299.

Похожие работы на - Функции полезности

 

Не нашли материал для своей работы?
Поможем написать уникальную работу
Без плагиата!
Без нейросетей!