Найдем определитель
полученной матрицы.
∆3 =
(-1) 1 + 1a11∆11 + (-1) 2 + 1a21∆21
+ (-1) 3 + 1a31∆31 =
= 1 (2 (-3) - 2 4) - 4 (
(-2) (-3) - 2 (-2)) +2 ( (-2) 4-2 (-2)) = - 62
Выпишем отдельно
найденные переменные Х - новые координаты
в)
длина ребра AB;
г) величина угла между
ребрами AB и AC
Координаты векторов:
д) напишите уравнение
прямой АВ
- прямая АВ
е) составьте уравнение
плоскости АВС;
Составим определитель
Раскрываем определитель
по первой строке.
Уравнение плоскости АВС:
ж) уравнение высоты,
опущенной из вершины D
на плоскость АВС
Нормальный вектор
плоскости АВС
является
направляющим вектором прямой
Уравнение
прямой
- высота DH
. Для матриц А и В
выполните следующие операции
А)
.
Б)
.
В)
.
Г)
.
Д)
,
где n - любое натуральное число.
.
Решение
Б)
.
Главный определитель
∆=23 (139-
(-2027)) - (-15 (-1339- (-2022))) +24 (-1327-122) =3360
Определитель отличен от
нуля, следовательно матрица является невырожденной и для нее можно найти
обратную матрицу.
Обратная матрица будет
иметь следующий вид:
где Aij - алгебраические дополнения.
Транспонированная
матрица
Найдем алгебраические
дополнения матрицы AT.
∆1,1=
(139-27 (-20)) =579
∆1,2=-
(-1339-22 (-20)) =67
∆1,3=
(-1327-221) =-373
∆2,1=-
(-1539-2724) =1233
∆2,2=
(2339-2224) =369
∆2,3=-
(2327-22 (-15)) =-951
∆3,1=
(-15 (-20) - 124) =276
∆3,2=-
(23 (-20) - (-1324)) =148
∆3,3=
(231- (-13 (-15))) =-172
Обратная матрица.
Для матриц А и В
найдем обратные
Главный определитель ∆=1
(62-0 (-1)) - 4 (-22-03) +7 (-2 (-1) - 63) =-84
Определитель отличен от
нуля, следовательно матрица является невырожденной и для нее можно найти
обратную матрицу A-1.
Транспонированная
матрица.
Найдем алгебраические
дополнения матрицы AT.
∆1,1=
(62- (-10)) =12 ∆1,2=- (-22-30) =4
∆1,3=
(-2 (-1) - 36) =-16
∆2,1=-
(42- (-17)) =-15 ∆2,2= (12-37) =-19
∆2,3=-
(1 (-1) - 34) =13
∆3,1=
(40-67) =-42 ∆3,2=- (10- (-27)) =-14
операция матрица
пирамида ребро
∆3,3=
(16- (-24)) =14
Обратная матрица.
Главный определитель
∆=2 (19- (-34)) -
(-3 (-29- (-33))) +5 (-24-13) =-40
Обратная матрица будет
иметь следующий вид:
где Aij - алгебраические дополнения.
Транспонированная матрица.
∆1,1=
(19-4 (-3)) =21 ∆1,2=- (-29-3 (-3)) =9
∆1,3=
(-24-31) =-11
∆2,1=-
(-39-45) =47 ∆2,2= (29-35) =3
∆2,3=-
(24-3 (-3)) =-17
∆3,1=
(-3 (-3) - 15) =4 ∆3,2=- (2 (-3) - (-25)) =-4
∆3,3=
(21- (-2 (-3))) =-4
Обратная матрица.
В)
.
Г)
.
Д)
,
где n - любое натуральное число.
Пусть

. Решить матричное
уравнение
.
.
Решение
Домножим слева на
обратную матрицу к А
Главный определитель
матрицы А ∆=1 (62-0 (-1)) - 4 (-22-03) +7 (-2 (-1) - 63) =-84
Обратная матрица будет
иметь следующий вид:
где Aij - алгебраические дополнения.
Транспонированная
матрица.
Найдем алгебраические
дополнения матрицы AT.
∆1,1=
(62- (-10)) =12 ∆1,2=- (-22-30) =4
∆1,3=
(-2 (-1) - 36) =-16
∆2,1=-
(42- (-17)) =-15 ∆2,2= (12-37) =-19
∆2,3=-
(1 (-1) - 34) =13
∆3,1=
(40-67) =-42 ∆3,2=- (10- (-27)) =-14
∆3,3=
(16- (-24)) =14
Обратная матрица.
. Решить систему
линейных уравнений матричным методом и методом Крамера:
.
Решение
Система совместна тогда
и только тогда, когда системный (главный) определитель не равен нулю.
Определитель: ∆ =
2 (2 (-1) - 1 (-1)) - 1 (1 (-1) - 1 1) + (-1) (1 (-1) - 2 1) = 3
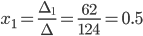
Заменим 1-ый столбец
матрицы на вектор результата.
Найдем определитель полученной
матрицы.
∆1 = (-1) 1 + 1a11∆11 + (-1) 2 + 1a21∆21 + (-1) 3 + 1a31∆31 =
= 1 (2 (-1) - 1 (-1)) -
(-4) (1 (-1) - 1 1) + (-4) (1 (-1) - 2 1) = 3
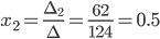
Заменим 2-ый столбец
матрицы на вектор результата В.
Найдем определитель полученной
матрицы.
∆2 = (-1) 1 + 1a11∆11 + (-1) 2 + 1a21∆21 + (-1) 3 + 1a31∆31 =
=2 ( (-4) (-1) - (-4)
(-1)) - 1 (1 (-1) - (-4) 1) + (-1) (1 (-1) - (-4) 1) = - 6
Заменим 3-ый столбец
матрицы А на вектор результата В.
Найдем определитель полученной
матрицы.
∆3 = (-1) 1 +
1a11∆11 +
(-1) 2 + 1a21∆21 +
(-1) 3 + 1a31∆31 =
=2 (2 (-4) - 1 (-4)) - 1 (1 (-4) - 1
1) + (-1) (1 (-4) - 2 1) = 3
Решение системы:
Проверка:
+1 (-2) +11 = 1 11+2
(-2) - 11 = - 4 -11+1 (-2) - 11 = - 4
. Исследовать и решить
системы линейных уравнений методом Гаусса:
.
Решение
)
Работаем со столбцом №1
Добавим 3-ю строку к 2-й:
|
3
|
-4
|
1
|
-2
|
|
-1
|
2
|
-1
|
0
|
|
0
|
2
|
-2
|
-2
|
Умножим 1-ю строку на (k = 1/3 = 1/3)
и добавим к 2-й:
|
3
|
-4
|
1
|
-2
|
|
0
|
2/3
|
-2/3
|
-2/3
|
|
0
|
2
|
-2
|
-2
|
Работаем со столбцом №2 Умножим 2-ю
строку на (k = - 2/2/3 = - 3) и добавим к 3-й:
|
3
|
-4
|
1
|
-2
|
|
0
|
2/3
|
-2/3
|
-2/3
|
|
0
|
0
|
0
|
0
|
Получим единицы на главной
диагонали. Для этого всю строку делим на соответствующий элемент главной
диагонали:
|
1
|
-4/3
|
1/3
|
-2/3
|
|
0
|
1
|
-1
|
-1
|
|
0
|
0
|
0
|
Теперь исходную систему можно
записать как:
x= - 2/3 - ( - 4/3y + 1/3z) = - 2/3 +4/3y - 1/3z y = - 1 - ( - z) = - 1+z
-ая строка является линейной
комбинацией других строк.
Необходимо переменную z принять в качестве свободной переменной
и через нее выразить остальные переменные.
Общее решение
)
Запишем систему в виде
расширенной матрицы:
|
3
|
-4
|
1
|
-2
|
|
-1
|
2
|
-1
|
0
|
|
2
|
-2
|
0
|
-4
|
Для удобства вычислений поменяем
строки местами:
|
3-41-2
|
|
|
|
|
2
|
-2
|
0
|
-4
|
|
-1
|
2
|
-1
|
0
|
Работаем со столбцом №1 Умножим 2-ю строку на (k = 1/2 = 1/2)
и добавим к 3-й:
|
3
|
-4
|
1
|
-2
|
|
2
|
-2
|
|
-4
|
|
0
|
1
|
-1
|
-2
|
Умножим 1-ю строку на (k = - 2/3 = - 2/3)
и добавим к 2-й:
|
3
|
-4
|
1
|
-2
|
|
0
|
2/3
|
-2/3
|
-8/3
|
|
0
|
1
|
-1
|
-2
|
Работаем со столбцом №2 Умножим 2-ю строку на (k = - 1/2/3 = -
3/2) и добавим к 3-й:
|
3
|
-4
|
1
|
-2
|
|
0
|
2/3
|
-2/3
|
-8/3
|
|
0
|
0
|
0
|
2
|
Получим единицы на главной
диагонали. Для этого всю строку делим на соответствующий элемент главной
диагонали:
|
1
|
1/3
|
-2/3
|
|
0
|
1
|
-1
|
-4
|
|
0
|
0
|
0
|
2
|
Ранг основной матрицы системы равен r (A) =2.
Ранг расширенной матрицы равен r=3 (в основной матрице системы
имеется нулевая строка). Таким образом, система не имеет решения.
3)
Запишем систему в виде
расширенной матрицы:
|
3
|
-4
|
1
|
-2
|
|
-1
|
2
|
-1
|
0
|
|
2
|
-2
|
0
|
-2
|
Для удобства вычислений поменяем
строки местами:
|
3-41-2
|
|
|
|
|
2
|
-2
|
0
|
-2
|
|
-1
|
2
|
-1
|
0
|
Работаем со столбцом №1 Умножим 2-ю строку на (k = 1/2 = 1/2)
и добавим к 3-й:
|
3
|
-4
|
1
|
-2
|
|
2
|
-2
|
|
-2
|
|
0
|
1
|
-1
|
-1
|
Умножим 1-ю строку на (k = - 2/3 = - 2/3)
и добавим к 2-й:
|
3
|
-4
|
1
|
-2
|
|
0
|
2/3
|
-2/3
|
-2/3
|
|
0
|
1
|
-1
|
-1
|
Работаем со столбцом №2 Умножим 2-ю строку на (k = - 1/2/3 = -
3/2) и добавим к 3-й:
|
3
|
-4
|
1
|
-2
|
|
0
|
2/3
|
-2/3
|
-2/3
|
0
|
0
|
0
|
Получим единицы на главной
диагонали. Для этого всю строку делим на соответствующий элемент главной
диагонали:
|
1
|
-4/3
|
1/3
|
-2/3
|
|
0
|
1
|
-1
|
-1
|
|
0
|
0
|
0
|
0
|
Теперь исходную систему можно
записать как:
x= - 2/3 - ( - 4/3y + 1/3z) y = - 1 - ( - z)
Необходимо переменную z принять в качестве свободной
переменной и через нее выразить остальные переменные.
Общее решение