Оптимальная политика финансовой репрессии
Оглавление
1. Введение
2. Обзор литературы
3. Модель
4. Решение модели
4.1 Связывающее обязательство
4.2 Дискреционная политика
4.3 Дискреционная политика при условии, что государственный долг
должен быть полностью выплачен во втором периоде
5. Динамическая несогласованность
6. Заключение
7. Список литературы
1. Введение
Политика финансовой репрессии предполагает жесткое
регулирование финансового сектора экономики с целью получения средств
правительством для финансирования государственного долга. Как часть фискальной
политики финансовая репрессия может быть динамически несогласованной. Говоря о
динамической несогласованности, мы предполагаем следующую ситуацию: оптимальный
план, выбранный в определенный момент времени на множество периодов вперед, в будущем
уже таковым не является. В связи с этим существует вероятность того, что
выбранная ранее политика будет пересмотрена и скорректирована при условии
наличия соответствующих стимулов. Соответственно, дискреционная политика
является динамически несогласованной. Однако проблема динамической
несогласованности возникает, если пересмотр оптимального плана приводит к
ухудшению целевой функции правительства. Это может иметь место, так как
понимание обществом свободы действий политика, не связанного обязательствами,
приводит к реоптимизации других экономических агентов, воздействуя на их выбор
(базу налогообложения).
В литературе описаны различные случаи динамической
несогласованности фискальной политики. Так, например, если в экономике
сформировалась высокая база налогообложения в форме добровольных пенсионных
накоплений, то правительство, политика которого направлена на сокращение
государственного долга или на финансирование текущих пенсий, например, может
конфисковать часть данных сбережений, чтобы сократить государственный долг и
при этом не сильно сократить инвестиции - это позволит избежать искажений,
связанных с налогообложением. Другими словами, в данном случае у фискальных
властей появляются стимулы отклониться от ранее выбранного плана (например,
крайне низких налоговых ставок на капитал, которые и обеспечили высокую базу
налогообложения) для достижения минимального уровня потерь или более высокого
уровня общественного благосостояния. Однако, понимание обществом наличия такого
стимула приводит к тому, что база налогообложения в форме добровольных
пенсионных накоплений сокращается. Следовательно, и инвестиции, и величина
долга, которую можно профинансировать, также сокращаются. Как следствие потери
общества растут.
Проблема динамической несогласованности финансовой репрессии
в форме конфискации добровольных пенсионных накоплений является актуальной по
следующим соображениям. В последние годы в России из года в год принимается
пенсионная реформа, заключающаяся во временной заморозке накопительной части
пенсии молодого поколения и ее перераспределении в распределительную часть,
идущую на выплату пенсий пожилым индивидам. Такая дискреционная политика, а
также понимание обществом того, что добровольная накопительная часть пенсии
может быть конфискована в любом периоде, приводит к сокращению стимулов молодых
индивидов инвестировать в частные пенсионные фонды. Таким образом, это
негативно сказывается как на величине инвестиций, так и на величине
конфискуемой части пенсии, и, следовательно, на величине пенсии пожилым индивидам.
В работе рассматривается конфискация накопительной части пенсии, которая
направлена на сокращение накопленного государственного долга, что является
некоторой альтернативой финансирования распределительной части пенсии или же
финансирования государственных закупок.
В данной работе мы отвечаем на следующий вопрос: является ли
оптимальная политика финансовой репрессии в форме конфискации накопительной
части пенсии динамически согласованной?
финансовая репрессия конфискация пенсионное
накопление
В работе решаются следующие задачи: во-первых, мы строим
модель перекрывающихся поколений с накопительной пенсионной системой и
фискальной политикой и исследуем воздействие конфискации на стационарное
состояние; во-вторых, мы ищем оптимальную фискальную политику в случае если
правительство дает связывающее обязательство относительно конфискации;
в-третьих, мы ищем оптимальную фискальную политику в случае если правительство
следует дискреционной политике.
Основой нашей модели является модель перекрывающихся поколений
Samuelson (1958), Diamond, (1965) с добавлением
накопительной пенсионной системы и фискальной политики с элементами финансовой
репрессии в форме конфискации пенсионного богатства. С помощью программы Mathcad были осуществлены
расчеты по поиску оптимальных параметров политики, отражающие влияние
финансовой репрессии на общее благосостояние общества, а также показывающие
существует ли динамическая несостоятельность финансовой репрессии в форме
конфискации пенсионных накоплений.
Проведя исследование, мы получили следующие результаты:
Во-первых, увеличение нормы финансовой репрессии отрицательно
сказывается на капиталовооруженности. Ведь увеличение значения оптимального
инструмента финансовой репрессии означает рост изъятий из инвестиций, что
сокращает уровень капиталовооруженности и, следовательно, выпуск и заработную
плату. Сокращение уровня выпуска отрицательно влияет на потребление:
агрегированное потребления падает. И хотя в целом долг правительства
сокращается, потери общества увеличиваются, а уровень благосостояния падает.
Во-вторых, динамическая несостоятельность политики финансовой
репрессии в форме конфискаций пенсионных накоплений существует только в случае,
когда правительство не дает связывающего обязательства, но ставит перед собой
цель полностью выплатить государственный долг за два периода.
Работа построена следующим образом: в разделе 2 представлен
обзор литературы по динамической несогласованности фискальной политики, в
третьем разделе приведено описание теоретической модели, 4 раздел - решение
модели для двух режимов политики финансовой репрессии, раздел 5 посвящен
анализу проблемы динамической несогласованности, шестой раздел - заключение.
2. Обзор
литературы
Benhabib, Rustichini (1997) показывают, как план властей собирать
налог на труд и капитал согласно схеме, максимизирующей функцию полезности
агентов, оказывается нереализуемым, поэтому правительство вынуждено принимать
"второе наилучшее решение". Это такое решение, которое подчиняется
двум ограничениям: во-первых, объем налоговых поступлений должен быть экзогенно
заданным в каждый период времени, то есть расходы государства являются
экзогенной величиной; во-вторых, в конкурентной экономике агенты подстраиваются
под выбранную налоговую схему посредством оптимизирования своего потребления и
сбережений, в то время как цены и налоги они воспринимают как заданные. Однако
налоги влияют на предельную отдачу от факторов производства (труда и капитала)
и приводят к искажениям (например, увеличение налога на труд может сократить
количество часов, которые индивиды предпочтут работать, а рост налога на
капитал - сократить инвестиции и таким образом замедлить темп накопления
капитала). Именно поэтому, принимая во внимание оба этих ограничения,
центральный планировщик вынужден принимать не наилучшее, а "второе
наилучшее" решение. Авторы ссылаются на полученный ранее результат Chamney (1986) и Judd (1985), заключающийся в
том, что оптимальной ставкой налога на капитал является нулевая, а все
налоговое бремя должно ложиться исключительно на труд. Это объясняется тем, что
разница в налогах между текущим и будущим потреблением связана с увеличением
временного горизонта. Для того чтобы избежать бесконечного приращения налога с
течением времени, оптимально установить средний налог на капитал на уровне
нуля.
Фактически эта стратегия реализуется следующим образом:
сначала максимально облагается налогом уже накопленный капитал в постоянном
количестве. Это не вызывает искажений в краткосрочном периоде, так как этот
капитал уже есть в экономике и налог не может повлиять на его сокращение.
Однако налог снижает стимулы инвестировать в капитал, поэтому со временем
налоги перемещаются на труд, чтобы создать мотивацию к накоплению капитала.
Но такой план является динамически несогласованным: у
правительства появляются стимулы изменить его в интересах репрезентативного
агента. В начале периода правления планировщику выгодно объявить низкие налоги
на капитал, чтобы простимулировать его накопление. Но с наступлением момента,
когда достаточное количество капитала уже накоплено, оптимальным становится
перемещение налогов с труда (искажающих) на имеющееся количество капитала
(неискажающие). Это идет вразрез с изначально объявленным планом. При этом
правительство оказывается в двоякой ситуации: с одной стороны, изменение плана увеличит
значение функции полезности репрезентативного агента; с другой стороны, тогда
он перестанет доверять любому заявлению о намеченной политике и будет вести
себя исключительно в соответствии с максимизацией полезности в каждом отдельном
периоде (и будет ожидать того же самого от властей). Более того, если экономика
находится в стационарном состоянии (steady state), перемещение налога от
труда к капиталу может повлиять на долгосрочный темп накопления капитала и
переместить экономику на другую траекторию сбалансированного роста, отличную от
предусмотренной в плане. К тому же агенты могут предвидеть такое развитие
событий, поэтому заранее начинают корректировать свое поведение в соответствии
с грядущими изменениями. В итоге темпы накопления капитала сокращаются еще до
того, как налог на капитал был фактически введен, поэтому правительство
сталкивается с худшим исходом как в терминах ожидаемых налоговых сборов, так и
в терминах экономического роста.
Авторы моделируют компромиссный выбор (trade-off) между издержками и
выгодами от пересмотра изначального плана. Они основываются на работах Chamley (1986) и Judd (1985), в которых
планировщик максимизирует функцию полезности репрезентативного агента и
выбирает инструменты политики так, чтобы достичь определенного уровня
поступлений в бюджет. Benhabib, Rustichini (1997) добавляют в эту модель ограничение
совместимости по стимулам (compatibility constraint): полезность
репрезентативного агента при соблюдении плана при любых обстоятельствах больше
или равна полезности при отклонении от плана. Иными словами, регулятор несет
потери в терминах репутации и доверия, если отклоняется от объявленного плана.
Так, в большинстве реальных случаев в пределе налоги на
капитал могут стать строго положительными. Тем не менее, авторы показывают, что
существует противодействие стимулам пересмотреть план - это субсидирование
капитала. В отличие от стратегии с нулевым налогом на капитал в долгосрочном
периоде, перспектива отрицательного налога (то есть субсидии) в будущем кажется
обществу более правдоподобной. Субсидия на капитал создает стимулы делать
дополнительные сбережения и вкладывать их в капитал. Так капитал будет
накапливаться более высокими темпами и, следовательно, выпуск также будет расти
быстрее. Благодаря большей капиталовооруженности увеличится предельная
производительность труда, которая в конкурентной экономике определяет уровень
заработной платы. Таким образом, зарплата также будет расти быстрее, поэтому
налог на труд будет оправдан как с точки зрения пополнения бюджета на необходимую
величину, так и с точки зрения неискажения трудовых стимулов. Таким образом,
больший объем накопленного капитала выступает своего рода защитой против
непоследовательных действий правительства, так как делает пересмотр системы
налогообложения слишком дорогостоящей из-за потери доверия общества по
сравнению с издержками следования плану.
Что же произойдет, если представить себе экономику без
капитала? Будут ли тогда существовать стимулы для поддержания динамически
согласованной экономической политики? К этому вопросу обращаются Lucas, Stokey (1983). Они моделируют
многопериодную экономику без капитала, где блага производятся только с
использованием труда, технология обладает свойством постоянной отдачей от
масштаба (CRS), а государственные расходы - это экзогенная стохастическая
величина. Авторы расширяют модель Рамсея для двух случаев: экономики с деньгами
и бартерной экономики.
С одной стороны, если в момент прихода к власти правительство
может предоставить полный план налоговых ставок на текущий и будущие периоды,
то становится неважным ни срок погашения, ни риски долга, который оно
выпускает, так как в этом случае нет неопределенности относительно налоговых
поступлений в бюджет, следовательно, в вопросах долга неопределенность
исключается также. Он будет структурирован так, чтобы соответствовать
объявленной налоговой схеме. Правительство прибегает к долгу, чтобы сгладить
общие доходы в бюджет в случае, если по каким-либо причинам налоговых
поступлений оказывается недостаточно. Однако если полная стратегия
налогообложения изложена с самого начала, долговая структура теряет свою
важность при выводе равновесий для такой экономики.
С другой стороны, если правительство не несет никаких
обязательств перед своими последователями, последние могут как погасить долги
предыдущих властей, так и отказаться от их погашения. В пределе это приводит к
тому, что каждому правительству будет выгодно отказываться от выплат по долгам
своих предшественников. Агенты, зная об этом, не будут покупать ненадежные
государственные облигации, поэтому все государственные расходы будут
профинансированы только за счет налогов.
Авторы рассматривают промежуточную ситуацию, когда
правительство не несет обязательств по исполнению налогового плана, но берет на
себя полную ответственность за собственный долг. Оказывается, механизм,
подавляющий стимулы отклониться от плана по налогообложению, существует.
Правительство имеет возможность придавать своей политике динамически
состоятельный характер при помощи долга. В работе показано, что для бартерной
экономики неспособность следовать обещаниям, касающимся налогообложения, не
является ограничением. Каждое правительство подстраивает структуру долга с
целью сохранения государственных расходов на определенном уровне, и это дает
стимулы следующим властям следовать оптимальной налоговой политике.
Это верно и для натурального, и для денежного обмена. Но в
первом случае речь идет строго о реальном долге, а во втором власти получают в
свое распоряжение новые инструменты финансирования дефицита бюджета, так как
теперь он измеряется как в реальном, так и в номинальном выражении. Они могут
использовать инфляционный налог, положительно зависящий от темпа роста денежной
массы. В случае высокой долговой нагрузки у правительства есть стимул
прибегнуть к инфляционному налогу, так как это обесценивает их долг,
зафиксированный в номинальной величине, в реальном выражении. Если
правительство будет следовать стимулу прибегнуть к инфляционному сюрпризу, то
пострадают заемщики, так как в реальном выражении они предоставили больший
заем, чем получат позднее. В данном случае последовательная долговая политика
может быть достигнута, только если власти обязуются выстраивать монетарную
политику так, чтобы уровень цен был заранее задан (и его динамика в том числе).
Таким образом, обязательства, касающиеся как долга, так и инфляции, являются
необходимым условием динамической состоятельности налоговой политики.
Одной из важных функций центрального планировщика является
перераспределение агрегированного потребления между домохозяйствами и внутри
домохозяйства во времени с целью увеличения уровня общественного
благосостояния. В этом случае фискальные власти сталкиваются с двумя задачами:
не только как оптимально распределить потребление, во-первых, во времени
(связанное с накоплением капитала), но и, во-вторых, между различными
поколениями. В работе Calvo, Obstfeld (1988) анализируется оптимальная фискальная
политика, если агенты неоднородны и ограничены в продолжительности жизни.
Авторы показывают, что политика перераспределения, основанная на паушальных
налогах и трансфертах, может быть динамически несостоятельной. Авторы расширяют
модель динамики агрегированного потребления Касса-Купманса-Рамсея, а также
модель неопределенной продолжительности жизни Yaahri (1965) .
Они приходят к заключению, что динамика оптимального
потребления зависит не от индивидуального дисконт-фактора агентов, а от того,
какие веса центральный планировщик придает разным поколениям (и это определяет
степень доверия общества к нему). Если он не оценивает все поколения одинаково,
то у него есть стимулы изменить потребление, "запланированное" для
неродившихся индивидов, в момент, когда они рождаются. Основная причина
динамической несогласованности заключается в том, что планировщик дисконтирует
полезности всех поколений к начальному моменту времени, в то время как сами
агенты ведут дисконтирование каждый к моменту своего рождения.
Однако существуют инструменты фискальной политики, которые
позволяют ей оставаться оптимальной и последовательной. Так, например, оптимальный
план предполагает введение индивидуальной схемы налогообложения и трансфертов
для каждого агента, основанной на его возрасте и номере текущего периода. И
динамическая несогласованность проявляется тогда, когда планировщик в силу
определенных обстоятельств вынужден пользоваться "плоской" системой
перераспределения, то есть собирать одинаковый налог и направлять одинаковый
паушальный трансферт всем агентам вне зависимости от их личных характеристик.
Таким образом, в подобной системе существует инструмент
борьбы с непоследовательностью - это доступные будущие трансферты, посредством
которых можно влиять на принятие решений нынешнего молодого поколения. Но для
использования этого инструмента необходимым условием является бесконечный
горизонт планирования. Если же экономика (и агенты) существуют ограниченное
число периодов, то перспектива будущих (особенно сильно отсроченных) выплат
будет мало заботить молодое поколение, и, следовательно, такой механизм
мотивации к желаемому планировщиком поведению исчезает сам собой.
В литературе для анализа взаимодействия правительства и
других агентов часто применяется игровой подход. В этом случае центральный
планировщик и другой агент (например, домохозяйство) становятся игроками,
выстраивающими свои стратегии так, чтобы получить максимальный выигрыш. Теория
игр позволяет выявить лучшие решения и стратегии с учетом интересов, поступков
и ресурсов всех агентов, принимающих участие в игровом процессе.
В работе Chari, Kehoe (1990) применяется игровой подход для
моделирования экономики, существующей на бесконечном временном горизонте, с
агентами (обществом) и государством, максимизирующим общественное
благосостояние. Общество в каждый период принимает решения о том, сколько
потреблять, сберегать и работать; правительство в каждый период устанавливает
налоговую ставку для финансирования своих расходов и балансирования бюджета.
Авторы ставят перед собой следующие вопросы: можно ли выстроить простую игровую
модель общего равновесия при предпосылках, приведенных выше; если да, то каким
из множества концепций о равновесии необходимо пользоваться; можно ли дать
характеристику всем возможным равновесиям и как идея о динамической
состоятельности вписывается в современную теорию игр. Основная сложность
заключается в том, как правильно сформулировать оптимизационные задачи
правительства и потребителей в экономике, где отсутствуют технологии для
обеспечения последовательности экономической политики, то есть нет ничего
такого, что могло бы обязать правительство единожды дать обещания на будущее и
далее неукоснительно им следовать.
Все эти вопросы авторы анализируют в рамках модели
налогообложения Fischer (1980) . В новой модели функция принятия решений центральным
планировщиком модифицируется и становится зависимой от предыдущих решений
государства, в то время как в базовой модели равновесное распределение является
функцией от экзогенных событий (переменных).
В статье показано, что можно анализировать экономику при
помощи теоретико-игрового инструментария и выявлять равновесия типа
"спускового крючка" (trigger equilibria). Согласно расчетам авторов, произвольная
политика и распределение (и их последовательность) могут быть устойчивыми при
выполнении определенных условий. Во-первых, эта последовательность должна быть
равновесной в нулевой период, в точке отсчета. Во-вторых, при выполнении
некоторых технических условий даже распределения по Рамсею с достаточно малым
коэффициентом дисконтирования могут быть устойчивыми во времени в игре с
обязательством. В игре без обязательства устойчивые равновесия соответствуют
симметричным совершенным байесовским равновесиям.
Таким образом, авторы обосновали правомерность применения
игровых инструментов для описания взаимодействия центрального планировщика и
репрезентативного агента, а также показали, что полученные равновесия можно
выявить, описать и протестировать на предмет динамической согласованности.
Одной из таких работ, использующей инструменты теории игр,
является Clymo, Lanteri (2016). Авторы ставят перед собой следующий вопрос: как выглядит
оптимальная политика, если центральные планировщики приходят на смену друг
другу и "наследуют" план действий и обещания от предыдущих
представителей власти? При этом все из них сами вынуждены формировать свой план
на ограниченном горизонте планирования. Таким образом, каждый новый центральный
планировщик берет на себя ограниченные обязательства (limited-time commitment), которые представляют
собой промежуточный вариант между полным отсутствием обязательств и обещаниями
на бесконечное будущее. Основной исследовательский вопрос работы звучит так: на
какой из двух крайних типов больше похоже поведение правительства в
промежуточном положении? Для построения модели авторы используют инструменты
теории игр, а именно концепцию совершенного равновесия Маркова.
Одним из результатов является то, что для некоторых вариантов
оптимальной политики правительству достаточно взять обязательства на
ограниченное число периодов (часто даже на один срок), чтобы достичь того же
самого распределения, что достигло бы и бесконечно существующее правительство,
берущее на себя полное обязательство (full commitment) на бесконечном
временном горизонте. Это можно объяснить следующим способом: если в периоде t правительство дало
определенные обещания на период t+1, то даже после смены власти в период t+1 новый планировщик
будет выполнять план, объявленный планировщиком t, так как новый
планировщик вынужден подчиняться бюджетному ограничению, созданному для него
предыдущим правительством в период t в соответствии с данными обещаниями. В свою
очередь планировщик t+1 объявит обязательства на период t+2 (т.е. создаст на
следующий период такое ограничение, чтобы это обязательство было выполнено), и
следующее поколение властей в период t+2 будет его исполнять, а на период t+3 наметит собственный
план и т.д.
Этот результат имеет важное практическое значение при
формировании фискальной и монетарной политик: достаточно убедиться, что
планировщик берет на себя ответственность за ограниченное будущее, чтобы
оценить оптимальность распределений ресурсов не только на срок его правления,
но и в контексте прошлых и будущих решений правительства. Также приближением к
реальному миру является то, что поведение сменяющих друг друга планировщиков
похоже на набор действий бесконечно существующего правительства. Это позволяет
пользоваться всеми результатами, полученными для последнего, и экстраполировать
их на существующие в действительности экономики. Авторы даже выявляют
оптимальные сроки планирования для правительств в экономиках с капиталом и без
него. В экономике с налогами на труд и без капитала правительству следует
объявлять план не далее и не менее, чем на период погашения самой долгосрочной
из всех выпущенных облигаций; если же капитал в экономике существует и
облагается налогом и есть необходимость балансировать бюджет, то обязательства
должны распространяться на весь период, пока бюджет должен быть
сбалансированным.
Однако некоторые исследователи указывают на то, что не только
период, но и широта охвата обязательств имеют значения для временной
последовательности политики. Так, Klein, Rios-Rull (2003) утверждают, что если власти не могут
брать на себя ответственность ни по каким вопросам, кроме налоговой ставки на
капитал в следующем периоде, то равновесные исходы значительно отличаются от
тех, что были бы получены при полной приверженности плану (full commitment).
Это проявляется следующим образом: налог на капитал
оказывается существенно выше оптимального (близкого к нулю), в то время как
налоги на труд обычно ниже оптимальных. При этом налоги на трудовые доходы
оказываются достаточно волатильными, хотя в оптимуме при полных обязательствах
они практически не отклоняются от стационарного уровня. Эти результаты верны,
если государство не может пользоваться долговыми инструментами. При анализе
авторы используют стандартную стохастическую модель роста с государственным
сектором, подчиняющуюся процессу Маркова.
Отклонения от устойчивого состояния при полном обязательстве
возникают из-за различий в экономических условиях для разных представителей
власти, сменяющих друг друга. Так, если новое правительство
"наследует" от прошлого налог на капитал и стремится сохранить
сбалансированный бюджет, то его решения относительно завтрашнего налога на
капитал повлияют на отдачу от отложенного потребления и досуга. Это, в свою очередь,
вызовет искажения в налоге на труд уже сегодня. Например, если правительство
решает еще больше поднять налог на капитал, то работать, получать зарплату и
тратить ее на потребление станет относительно более выгодно, чем сберегать и
инвестировать сбережения в капитал, работники снизят часы досуга, а у
планировщика появится стимул сразу же ввести дополнительный налог на труд,
чтобы увеличить поступления в бюджет. Если же новому правительству от старого
достается налог на труд, то власти, планируя более низкие налоги на трудовые
доходы завтра, не прибегают к искажающим налогам в текущем периоде. Для
сохранения определенного уровня налоговых поступлений они повысят налог на
капитал уже сегодня, но это не приведет к искажениям, потому что налогом
облагается уже накопленный запас капитала.
Соответственно, выпуск тоже будет реагировать по-разному на
политику с обещаниями и без. Так, при отсутствии государственных обязательств
(то есть следования обещаниям) выпуск оказывается ниже, чем при полном
обязательстве, потому что высокий налог на капитал снижает запас капитала в
экономике: норма амортизации (износа капитала) оказывается выше, чем норма
инвестирования.
Таким образом, вывод авторов совпадает с результатами Clymo, Lanteri (2016): чем дольше
правительство, даже при отсутствии обязательства (no commitment), остается у власти, тем
больше траектория экономики будет похожа на оптимальную при полном
обязательстве на бесконечном временном горизонте (full commitment).
Persson, Persson, Svensson (1987) подтверждают, что грамотная финансовая
политика может стать подходящим инструментом для "исправления"
динамической несостоятельности, связанной с тем, что новые правительства
отказываются следовать обещаниям о налогах, данным предыдущими властями. Так,
любые власти становятся перед выбором: какую комбинацию инфляционного,
подоходного налогов и долга выбрать, чтобы с их помощью покрыть государственные
расходы? Как правило, новое правительство имеет стимулы отклониться от обещаний
предыдущих властей, поэтому оптимальная политика при полном обязательстве
становится непоследовательной. К тому же, оптимальная последовательная во
времени политика при возможности отклонений приводит к большим потерям
общественного благосостояния, чем оптимальная политика при полном
обязательстве.
Авторы получают результат, отличный от других в литературе.
Так, в противовес Lucas, Stokey (1983), в монетарной экономике оптимальная политика может быть
динамически согласованной и без обязательства поддерживать определенный уровень
инфляции. Этому способствует аккуратное управление долгом, включающее в себя
его срочную структуру и разделение на номинальный и индексируемый долг.
Авторы расширяют модель Lucas, Stokey (1983) и рассматривают
закрытую экономику с одним товаром без инвестиций и неопределенности. При подобной
постановке задачи, если новые власти наследуют от предыдущих определенную
структуру погашения номинального долга, то они лишаются стимулов менять
динамику денежной массы по своему усмотрению и, следовательно, наращивать
инфляционный налог, так как в данном случае при явном разделении на номинальную
и индексируемую части инфляция не позволит значительно обесценить долг. Верная
структура погашения индексируемого долга также устраняет стимулы влиять на
подоходный налог. Таким образом, выпуск облигаций как в реальном, так и в
номинальном выражении является достаточно действенным инструментом поддержания
динамической состоятельности фискальной и монетарной политик для многих
поколений центральных планировщиков, так как каждый из них имеет возможность
видоизменить бюджетное ограничение своих последователей и практически
предопределить решение их оптимизационной задачи. В экономике без шоков это
эквивалентно ситуации, когда в любой момент времени любое действующее
правительство решает одинаковую для всех властей оптимизационную задачу. Это
значит, что даже сменяющие друг друга поколения политиков превращаются по сути
в одного бесконечно живущего политика. Однако этот вывод будет неверен, если
текущий центральный планировщик ставит перед собой цель испортить репутацию
своему последователю исходя из личных (неэкономических) мотивов. Но такой исход
в данном анализе исключается однозначной формулировкой интересов правительства,
заключающихся исключительно в максимизации общественного благосостояния
(которое не включает в себя мотивы политической игры).
Если правительство открыто заявляет о том, что в случае
необходимости оно оставляет за собой право пересмотреть стратегию на будущее,
то агенты будут готовы к возможным изменениям плана и будут выстраивать свои
ожидания соответствующим способом. Именно такой постановкой вопроса занимаются Debortoli, Nunes (2009). Авторы
рассматривают ситуацию, когда некоторые из обещаний правительства подвергаются
пересмотру, и называют такой случай "слабым обязательством" (loose commitment). С одной стороны, он
очень похож на частичное обязательство, изучаемое в описанных выше статьях, с
другой стороны, здесь возможность отступления от намеченных действий изначально
заложена в решение оптимизационных задач.
Оказывается, что разница между слабым и частичным
обязательствами достаточно велика, чтобы привести к иным результатам, не
совпадающим с описанными для частично данных обещаний. Авторы показывают, что
политика слабого обязательства, касающаяся налогообложения капитала и труда,
больше похожа на политику без обязательств вообще.
Все выводы сделаны на основе модели Martin (2010) о распределении
налогового бремени между капиталом и трудом при полном обязательстве и его
отсутствии, а также выявлены совершенные игровые равновесия по Маркову.
Эмпирика также отвечает на вопросы о динамической
состоятельности и оптимальности различных политик. В частности, Cantore et al. (2015) с использованием
DSGE-модели на данных США
проверяют гипотезу относительно того, с какой скоростью должна проходить консолидация
государственного долга в случае благонадежности обещаний правительства и их
отсутствия. Под консолидацией долга понимается продление долговых сроков
(вплоть до бесконечности), объединение нескольких долгов в один с изменением
ставки процента. Авторы отдельно рассматривают возможности выпуска
краткосрочных и долгосрочных облигаций.
В работе тестируются три варианта проведения фискальной и
монетарной политик: максимизация благосостояния по Рамсею, динамически
состоятельная политика и политика по правилу Тейлора, когда монетарные власти
регулируют номинальную ставку процента так, чтобы реальная ставка процента
возрастала в ответ на избыточную инфляцию.
Так, если правительство не может брать на себя заслуживающего
доверия обязательства, то оптимальным становится консолидировать
государственный долг быстро. Если же население доверяет властям, то скорость
консолидации определяется изначальным уровнем накопленного долга. При малых или
средних величинах отношения суверенного долга к ВВП консолидация должна
проходить в высшей степени медленно. Но если это отношение велико с самого
начала, то скорость рефинансирования нужно увеличить из-за высоких издержек,
вызванных повышенной суверенной риск-премией. Тем не менее, если экономика
"сжимает" риск-премию за счет внешнего стабилизационного кредита (bailout), то темпы консолидации
тоже могут замедлиться.
Если у государства есть возможность выпускать долгосрочные
облигации, то ему следует увеличить их количество по отношению к краткосрочным.
Это позволяет властям замедлить темпы консолидации даже при отсутствии доверия
и обязательств. Таким образом, показано, что долгосрочный заем является
желательным как с точки зрения динамической состоятельности политики, так и с
точки зрения устойчивости экономики в целом.
К проблеме долга обращаются и Leeper, Leith, Liu (2016). Они отмечают,
что за последние годы во многих развитых странах величина отношения
государственного долга к ВВП заметно возросла, поэтому вопрос взаимодействия
между фискальной, монетарной и долговой политиками представляет собой не
столько теоретический, сколько практический интерес. Так, политика
количественного смягчения требует сокращения срока облигационных обязательств.
В то же время фискальные власти, наоборот, заинтересованы в том, чтобы увеличить
срок погашения долга с целью снижения фискальных рисков накопления долгового
бремени (проводят своего рода "обратное количественное смягчение").
Из-за противоречий в стимулах фактически реализуемая политика может оказаться
динамически несогласованной, поэтому авторы ставят перед собой задачу
определить оптимальную комбинацию монетарной, фискальной и долговой политик.
Рассматривается ситуация, когда государство может выпускать
облигации с разными сроками погашения, но не берет на себя обязательства по
сроку их погашения. Таким образом, именно срок погашения будет определять
динамическую состоятельность комбинации политик и равновесие при искажающих
налогах и фиксированных ценах.
В работе используется новая кейнсианская модель с фискальной
политикой и портфелем облигаций разного срока погашения при условии
динамической состоятельности политик.
Авторами были получены следующие результаты. В стационарном
состоянии оптимально генерировать небольшой отрицательный темп роста долга, что
означает некоторое отклонение в нижнюю сторону (undershooting) от установленной
инфляционной цели. Но это не позволит накопить достаточное количество активов,
чтобы профинансировать государственные затраты и устранить налоговые и другие
искажения.
Однако на пути к стационарному состоянию могут возникать рост
инфляции и радикальные изменения в политиках, но так государство сможет
постепенно уменьшать уровень долга, чего требует согласованное во времени
управление долгом. Чем длиннее период погашения государственного долга, тем
больше у правительства стимулов прибегать к его уменьшению с помощью налогов
(активная фискальная политика), так как предельные инфляционные издержки от
роста налогов относительно низки.
Авторы подтверждают результат, полученный в других работах:
государство может варьировать структуру своего долгового портфеля за счет
различных сроков погашения облигаций. Это позволяет властям оптимально
поддерживать изменения в состоятельной во времени оптимальной политике. Но если
государство несколько "близоруко", т.е. оно меньше ценит будущее, чем
репрезентативное домохозяйство в экономике с бесконечным горизонтом
планирования, то велика вероятность отклониться от устойчивого равновесия и
цели по инфляции.
Таким образом, анализ литературы показывает, что проблема
динамической несостоятельности экономической политики имеет множество
предпосылок для возникновения и достаточно часто встречается на практике.
Однако существуют инструменты, благодаря которым правительства теряют стимулы
отклониться от плана. Среди них субсидирование капитала, активное применение
трансфертов домохозяйствам, определенная структура долга в терминах сроков его
погашения, а также его разделение на номинальную и индексируемую части.
3. Модель
Основой нашей модели является модель перекрывающихся
поколений Samuelson (1958), Diamond, (1965) с добавлением накопительной пенсионной
системы и фискальной политики с элементами финансовой репрессии в форме
конфискации пенсионного богатства.
Домашние хозяйства
Домашние хозяйства живут два периода. В первом периоде они
работают и получают реальную заработную плату (w1), часть
которой они отчисляют в пенсионный фонд (γw1), норма пенсионных отчислений (γ) задана и является обязательной, а
оставшуюся часть (1-γ) w1 домохозяйства распределяют между
потреблением и сбережениями (s1). Потребление во втором периоде
финансируется только за счет сбережений, которые были сделаны в первом периоде,
а также пенсий, выплачиваемых государством. Часть пенсионных накоплений γw1 может быть конфискована правительством.
Ожидаемая норма конфискации равна 
. В первом периоде жизни домашние хозяйства не знают точную
величину нормы конфискации (финансовой репрессии), а ориентируются на ожидаемую
величину.
Численность населения в каждый момент времени увеличивается в

раз, то есть:

где 
(1)
Мгновенная функция полезности - логарифмическая, тогда полезность
репрезентативного индивида на протяжении жизни задается следующим образом:

, (2)
где 
и 
- потребление,
соответственно, в первом и во втором периодах жизни домашнего хозяйства, а β -
межвременной дисконт-фактор, β<1.
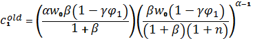
Бюджетные ограничения имеют следующий вид:

(3)

(4)
Домашние хозяйства максимизируют (2) при (3), (4), выбирая 
и 
и рассматривая цены факторов производства и инструменты
фискальной политики как заданные.
Из задачи максимизации полезности мы получаем следующие функции,
определяющие оптимальный выбор домашних хозяйств:

(5)

(6)

(7)
Чем выше ставка реальной заработной платы, тем больше домашние
хозяйства сберегают и потребляют в обоих периодах жизни, так как растет их
совокупный трудовой доход, при этом от ставки процента сбережения не зависят:
для случая логарифмической функции полезности эффект дохода полностью
компенсирует эффект замещения. Однако с ростом ставки процента растет
потребление второго периода, так как увеличивается доходность добровольных сбережений.
Сбережения положительно зависят от нормы финансовой репрессии (или нормы
конфискации). Данный результат имеет место, так как в данном случае в
отсутствие других активов добровольные сбережения и пенсия являются
субститутами. С увеличением нормы финансовой репрессии величина пенсионного
богатства уменьшается, соответственно у домашних хозяйств возникает стимул
сберегать больше, чтобы сглаживать потребление.
Фирмы
Предполагается, что фирмы работают в условиях совершенной
конкуренции. Факторами производства являются только капитал и труд,
технологический прогресс отсутствует.
Производственная функция имеет вид Кобба-Дугласа:

(8)
Фирмы решают стандартную задачу максимизации прибыли:

(9)
Условия первого порядка для капиталовооруженности труда можно
представить в следующем виде:

, (10), 
, (11)

- капиталовооруженность труда.
Мы предполагаем, что норма амортизации (δ) равна единице, то есть мы рассматриваем
полную амортизацию капитала за один период, что эмпирически правдоподобно для
периода в 30 лет. В связи с этим уравнение (10) можно переписать следующим
образом:

(12)
Правительство
Мы предполагаем, что в начальном (нулевом) периоде 
был накоплен государственный долг B0. При
этом находящееся у власти правительство в нулевом периоде не прибегало к
финансовой репрессии в форме конфискации пенсионного богатства. В периоде 
на следующие два периода избирается новое правительство, которое
может использовать финансовую репрессию для сокращения уровня накопленного
государственного долга. Таким образом государственный долг к концу второго
периода составит:

, (13)
где 
В третьем периоде к власти снова приходит правительство, не
использующее фискальную политику, то есть не прибегающее к конфискации
пенсионного богатства.
Таким образом, финансовая репрессия реализуется только лишь на
протяжении двух периодов. Информация о смене и качестве правительств
общедоступна.
Целевая функция правительства строится следующим образом: мы
предполагаем, что правительство, политика которого направлена на сокращение
уровня накопленного государственного долга, минимизирует отклонения
государственного долга и агрегированного потребления от минимально и
максимально возможных значений соответственно.
Минимальное значение государственного долга равно нулю, тогда как
максимально возможное значение потребления реализуется при отсутствии
финансовой репрессии.
Следовательно, целевая функция правительства имеет следующий вид:

(14)
где

(15)

(16)
где 
Равновесие
Равновесие - это такое распределение {
}, что
1) решение домохозяйств при заданных ставке заработной
платы и ставке процента по капиталу;
2) Решение задачи фирмы задается равенством предельных продуктов
факторов производства их ценам: 
и

;
3) Выполняется баланс на рынке капитала:

; (17)
) Выполняется материальный баланс:

. (18)
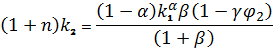
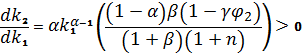
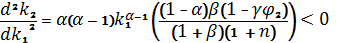
4. Решение
модели
Конкурентное равновесие
Из баланса на рынке капитала (17) мы можем получить основное
уравнение динамики модели:

(19)
Капиталовооруженность следующего периода возрастает по
капиталовооруженности текущего периода, однако с убывающим темпом,
соответственно в модели равновесие существует.

(20)

(21)
Динамика капиталовооруженности представлена на следующем рисунке
для различных значений инструментов фискальной политики:
Рис 1. Динамика капиталовооруженности труда.
В модели существуют два равновесия: нулевое и ненулевое. Нулевое
равновесие является неустойчивым, тогда как ненулевое - устойчивое равновесие.
Стационарное состояние существует тогда, когда выполняется
следующее условие: 
- то есть эндогенные переменные, капитал в частности, растут с
постоянным темпом.
Из уравнения динамики капиталоворуженности труда находим
стационарный уровень капиталовооруженности:

(22)
Стационарные значения потребления и сбережений имеют следующий
вид:

(23)

(24)

(25)
Капиталовооруженность в стационарном состоянии отрицательно
зависит от нормы финансовой репрессии (нормы конфискации), так как, несмотря на
увеличение добровольных сбережений в ответ на ужесточение финансовой репрессии,
растут прямые изъятия из капитала: правительство часть средств пенсионного
фонда направляет на сокращение государственного долга, которые в ином случае
были бы вложены в капитал.
Финансовая репрессия также отрицательно воздействует на
потребление. Так как финансовая репрессия негативно воздействует на уровень
капиталовооруженности труда, то и совокупный выпуск в экономике также
сокращается. Это приводит к снижению трудового дохода, что уменьшает
агрегированное потребление. Обратный результат был получен в отношении
сбережений в стационарном состоянии: пенсионное богатство и добровольные
сбережения являются субститутами.
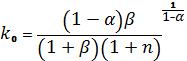
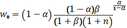
Начальные условия
Мы предполагаем, что в периоде t=0 правительство не прибегало к фискальной политике.
Следовательно, начальные значения k0 и w0 могут
быть представлены в следующем виде:

(26)

(27)
Фискальная политика.
Как уже было отмечено, целевая функция правительства выглядит
следующим образом:

,
где 
- вес цели по сокращению долга в функции потерь.
Правительство минимизирует отклонения агрегированного потребления
и величины государственного долга от целевых значений (целевое значение
потребления определяется величиной агрегированного потребления при отсутствии фискальной
политики, а целевое значение государственного долга - ноль).
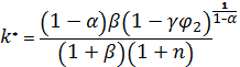
4.1
Связывающее обязательство
Рассмотрим первый случай, когда правительство дает связывающее
обязательство в отношении нормы финансовой репрессии (конфискации части
пенсионного богатства). Другими словами, рассмотрим фискальную политику Рамсея.
Правительство обязуется выбрать единую норму финансовой репрессии на текущий и
все последующие периоды. При связывающем обязательстве правительство не
отклоняется от выбранной нормы финансовой репрессии. Правительство минимизирует
функцию потерь (14) при условии, что агрегированное потребление и величина
государственного долга задаются уравнениями (15) и (16) соответственно. Задача
правительства решается в стационарном состоянии. Численные результаты решения
задачи правительства приведены в Таблицах 1.1 и 1.2 Расчеты осуществлены в
программе Mathcad. Базовые значения параметров следующие: 
. Оптимальные значения инструмента финансовой репрессии приведены
для различных значений 
.
Таблица 1.1
Оптимальные значения инструмента финансовой репрессии при различных значениях
параметров модели 
при связывающем обязательстве.
|
Эндогенные
|
φ
|
k1
|
k2
|
w1
|
w2
|
R1
|
R2
|
|
|
0.5
|
0,893
|
0,087
|
0,082
|
0,3
|
0,293
|
1,691
|
1,767
|
|
|
0.6
|
0,928
|
0,086
|
0,081
|
0,299
|
0,292
|
1,701
|
1,78
|
|
|
0.7
|
0,954
|
0,086
|
0,08
|
0,298
|
0,291
|
1,708
|
1,79
|
|
|
0.8
|
0,973
|
0,086
|
0,08
|
0,298
|
0,291
|
1,714
|
1,798
|
|
|
0.9
|
0,989
|
0,085
|
0,079
|
0,297
|
0,29
|
1,718
|
1,804
|
|
|
0.95
|
0,995
|
0,085
|
0,079
|
0,297
|
0,29
|
1,72
|
1,807
|
|
Эндогенные
|
|
|
|
|
|
|
|
|
|
0,01
|
0,127
|
0,104
|
0,103
|
0,317
|
0,316
|
1,508
|
1,517
|
|
|
0,02
|
0,258
|
0,101
|
0,099
|
0,314
|
0,312
|
1,536
|
1,554
|
|
|
0,03
|
0,394
|
0,098
|
0,095
|
0,311
|
0,308
|
1,566
|
1,595
|
|
|
0,04
|
0,535
|
0,095
|
0,091
|
0,308
|
0,304
|
1,599
|
1,64
|
|
|
0,05
|
0,682
|
0,092
|
0,087
|
0,305
|
0,3
|
1,636
|
1,689
|
|
|
0,06
|
0,835
|
0,088
|
0,083
|
0,301
|
0,295
|
1,676
|
1,745
|
|
|
0,07
|
0,995
|
0,085
|
0,079
|
0,297
|
0,29
|
1,72
|
1,807
|
|
Эндогенные
|
|
|
|
|
|
|
|
|
γ
|
0,2
|
0,995
|
0,085
|
0,079
|
0,297
|
0,29
|
1,72
|
1,807
|
|
|
0,25
|
0,796
|
0,085
|
0,079
|
0,297
|
0,29
|
1,72
|
1,807
|
|
|
0,3
|
0,664
|
0,085
|
0,079
|
0,297
|
0,29
|
1,72
|
1,807
|
|
|
0,35
|
0,569
|
0,085
|
0,079
|
0,297
|
0,29
|
1,72
|
1,807
|
|
0,4
|
0,498
|
0,085
|
0,079
|
0,297
|
0,29
|
1,72
|
1,807
|
|
0,45
|
0,442
|
0,085
|
0,079
|
0,297
|
0,29
|
1,72
|
1,807
|
|
0,5
|
0,398
|
0,085
|
0,079
|
0,297
|
0,29
|
1,72
|
1,807
|
Таблица 1.2
Оптимальные значения инструмента финансовой репрессии при различных значениях
параметров модели 
при связывающем обязательстве (продолжение).
|
Эндогенные
|
C1old
|
C1young
|
C2old
|
C2young
|
B2
|
L
|
|
|
0.5
|
0, 199
|
0,136
|
0, 195
|
0,162
|
0,225
|
0,021
|
5,134*10-4
|
|
|
0.6
|
0, 198
|
0,134
|
0, 194
|
0,161
|
0,224
|
0,018
|
5,321*10-4
|
|
|
0.7
|
0, 198
|
0,133
|
0, 193
|
0,161
|
0,223
|
0,016
|
5,46*10-4
|
|
|
0.8
|
0, 198
|
0,132
|
0, 193
|
0,161
|
0,223
|
0,014
|
5,567*10-4
|
|
|
0.9
|
0, 197
|
0,132
|
0, 193
|
0,16
|
0,222
|
0,012
|
5,652*10-4
|
|
|
0.95
|
0, 197
|
0,131
|
0, 193
|
0,16
|
0,222
|
0,012
|
5,688*10-4
|
|
Эндогенные
|
|
|
|
|
|
|
|
|
|
0,01
|
0,21
|
0,171
|
0,21
|
0,175
|
0,25
|
1,54*10-3
|
9,053*10-6
|
|
|
0,02
|
0, 209
|
0,165
|
0, 207
|
0,172
|
0,246
|
3,119*10-3
|
3,754*10-5
|
|
|
0,03
|
0, 207
|
0,158
|
0, 205
|
0,17
|
0,241
|
4,739*10-3
|
8,773*10-5
|
|
|
0,04
|
0, 204
|
0,152
|
0, 202
|
0,168
|
0,237
|
6,404*10-3
|
1,623*10-4
|
|
|
0,05
|
0, 202
|
0,145
|
0, 199
|
0,166
|
0,232
|
8,121*10-3
|
2,645*10-4
|
|
|
0,06
|
0,2
|
0,138
|
0, 196
|
0,163
|
0,227
|
9,894*10-3
|
3,984*10-4
|
|
|
0,07
|
0, 197
|
0,131
|
0, 193
|
0,16
|
0,222
|
0,012
|
5,688*10-4
|
|
Эндогенные
|
|
|
|
|
|
|
|
|
γ
|
0,2
|
0, 197
|
0,131
|
0, 193
|
0,16
|
0,222
|
0,012
|
5,688*10-4
|
|
|
0,25
|
0, 197
|
0,131
|
0, 193
|
0,16
|
0,222
|
0,012
|
5,688*10-4
|
|
|
0,3
|
0, 197
|
0,131
|
0, 193
|
0,16
|
0,222
|
0,012
|
5,688*10-4
|
|
|
0,35
|
0, 197
|
0,131
|
0, 193
|
0,16
|
0,222
|
0,012
|
5,688*10-4
|
|
0,4
|
0, 197
|
0,131
|
0, 193
|
0,16
|
0,222
|
0,012
|
5,688*10-4
|
|
0,45
|
0, 197
|
0,131
|
0, 193
|
0,16
|
0,222
|
0,012
|
5,688*10-4
|
|
0,5
|
0, 197
|
0,131
|
0, 193
|
0,16
|
0,222
|
0,012
|
5,688*10-4
|
Результаты, представленные в Таблицах 1.1 и 1.2, показывают, как
при различных 
меняются значения оптимального инструмента финансовой репрессии,
а также соответствующие значения капиталовооруженности, заработной платы,
ставки процента, потребления, государственного долга во втором периоде и
функции потерь в стационарном состоянии.
Во-первых, с увеличением 
норма финансовой репрессии увеличивается, что является ожидаемым
результатом: чем больше политика правительства направлена на сокращение
государственного долга, тем больше должно быть значение нормы финансовой
репрессии. Это в свою очередь отрицательно влияет на значение таких переменных
как капиталовооруженность, заработная плата, потребление и потери общества в
стационарном состоянии.
Увеличение нормы финансовой репрессии означает рост изъятий из
инвестиций, что оказывает отрицательное влияние на капиталовооруженность и,
следовательно, на выпуск и заработную плату. В связи с этим домохозяйства
начинают больше сберегать, так как добровольные сбережения замещают
сократившуюся пенсию. Сокращение выпуска негативно влияет на потребление:
уровень потребления падает, а потери общества увеличиваются, несмотря на то,
что долг правительства сокращается. Ведь сокращение капиталовооруженности
увеличивает ставку процента, что также оказывает неблагоприятное воздействие на
общественное благосостояние через увеличение стоимости обслуживания долга.
Во-вторых, чем больше значение государственного долга,
накопленного в периоде t=0, тем более
агрессивную фискальную политику правительство вынуждено проводить. Так же, как
и в первом случае, с увеличением нормы финансовой репрессии в стационарном
состоянии мы наблюдаем в стационарном состоянии уменьшение таких переменных как
капиталовооруженность, заработная плата, потребление, и увеличение потерь
общества и ставки процента. Кроме того, в отличие от предыдущего случая, здесь
мы не видим положительного воздействия на сокращение величины государственного
долга. Однако, это легко объяснимо: чем больше первоначальный долг, тем больше
величина остатка во втором периоде.
В-третьих, с увеличением доли отчислений от заработной платы,
которая отправляется в пенсионный фонд, база налогообложения увеличивается, что
позволяется уменьшить норму финансовой репрессии. Увеличение доли отчислений в
пенсионный фонд и уменьшение нормы финансовой репрессии происходит
пропорционально. В связи с этим видимых изменений в остальных параметрах мы не
наблюдаем.
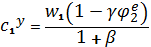
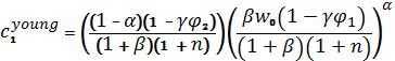
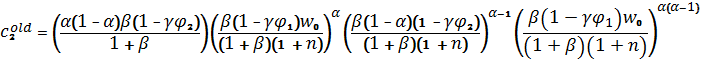
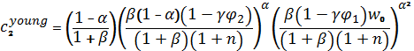
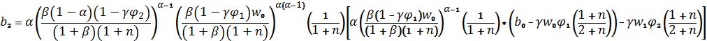
4.2 Дискреционная
политика
Рассмотрим случай, когда связывающее обязательство
отсутствует. Другими словами, правительство не обязуется придерживаться единой
нормы финансовой репрессии в последующих периодах.
Правительство минимизирует функцию потерь (14) при условии,
что агрегированное потребление и величина государственного долга задаются
уравнениями (15) и (16), а также все переменные выражены через начальные
значения.

(28)

(29)

(30)

(31)

(32)
Расчеты осуществлены в программе Mathcad. Базовые значения параметров следующие: 
. Численные результаты решения задачи правительства, отражающие
оптимальные значения инструмента финансовой репрессии при различных значенях 
, приведены в Таблицах 2.1 и 2.2.
Таблица 2.1
Оптимальные значения инструмента финансовой репрессии при различных значениях
параметров модели 
при дискреционной политике.
|
Эндогенные
|
φ1
|
φ2
|
k1
|
k2
|
w1
|
w2
|
R1
|
R2
|
|
|
0,7
|
1
|
0,79
|
0,085
|
0,083
|
0,297
|
0,295
|
1,722
|
1,748
|
|
|
0,8
|
1
|
0,84
|
0,085
|
0,082
|
0,297
|
0,294
|
1,722
|
1,762
|
|
|
0,9
|
1
|
0,88
|
0,085
|
0,081
|
0.297
|
0,293
|
1,722
|
1,773
|
|
|
0,95
|
1
|
0,898
|
0,085
|
0,081
|
0,297
|
0,292
|
1,722
|
1,779
|
|
Эндогенные
|
|
|
|
|
|
|
|
|
|
|
0,045
|
1
|
0,125
|
0,085
|
0,096
|
0,297
|
0,309
|
1,722
|
1,584
|
|
|
0,05
|
1
|
0,227
|
0,085
|
0,093
|
0,297
|
0,306
|
1,722
|
1,618
|
|
|
0,06
|
1
|
0,584
|
0,085
|
0,087
|
0,297
|
0,299
|
1,722
|
1,693
|
|
|
0,07
|
1
|
0,898
|
0,085
|
0,081
|
0,297
|
0,292
|
1,722
|
1,779
|
|
Эндогенные
|
|
|
|
|
|
|
|
|
|
γ
|
0,2
|
1
|
0,898
|
0,085
|
0,081
|
0,297
|
0,292
|
1,722
|
1,779
|
|
|
0,25
|
1
|
0,502
|
0,08
|
0,084
|
0,291
|
0,296
|
1,798
|
1,729
|
|
|
0,3
|
1
|
0,215
|
0,074
|
0,088
|
0,284
|
0,301
|
1,883
|
1,678
|
|
|
0,35
|
1
|
0
|
0,092
|
0,277
|
0,305
|
1,979
|
1,631
|
Таблица 2.2
Оптимальные значения инструмента финансовой репрессии при различных значениях
параметров модели 
при дискреционной политике (продолжение).
|
Эндогенные
|
φ1
|
φ2
|
C1old
|
C1young
|
C2old
|
C2young
|
Caggr
|
B2
|
L
|

0,7 1 0,790, 197 0,138 0, 196 0,1630,226 0,02 5,184*
|
10-4
|
|
|
|
|
|
|
|
|
|
|
|
|
0,8
|
1
|
0,84
|
0, 197
|
0,136
|
0, 195
|
0,162
|
0,225
|
0,018
|
5,367* 10-4
|
|
|
0,9
|
1
|
0,88
|
0, 197
|
0,135
|
0, 194
|
0,162
|
0,224
|
0,016
|
5,516* 10-4
|
|
|
0,95
|
1
|
0,898
|
0, 197
|
0,135
|
0, 194
|
0,161
|
0,224
|
0,016
|
5,581* 10-4
|
|
Эндогенные
|
|
|
|
|
|
|
|
|
|

0,045 10,1250, 197 0,16 0, 205 0,1710,247,444*
-3 1, 199*
|
10-4
|
|
|
|
|
|
|
|
|
|
|
|
|
0,05
|
1
|
0,227
|
0, 197
|
0,155
|
0, 203
|
0,169
|
0,237
|
9,048* 10-3
|
1,793* 10-4
|
|
|
0,06
|
1
|
0,584
|
0, 197
|
0,145
|
0, 199
|
0,165
|
0,231
|
0,012
|
3,389* 10-4
|
|
|
0,07
|
1
|
0,898
|
0, 197
|
0,135
|
0, 194
|
0,161
|
0,224
|
0,016
|
5,581* 10-4
|
|
Эндогенные
|
|
|
|
|
|
|
|
|
|
|
γ
|
0,2
|
1
|
0,898
|
0, 197
|
0,135
|
0, 194
|
0,161
|
0,224
|
0,016
|
5,581* 10-4
|
|
|
0,25
|
1
|
0,502
|
0, 193
|
0,14
|
0, 197
|
0,164
|
0,227
|
0,014
|
4,606* 10-4
|
|
|
0,3
|
1
|
0,215
|
0,189
|
0,147
|
0,2
|
0,166
|
0,23
|
0,013
|
3,639* 10-4
|
|
|
0,35
|
1
|
0
|
0,184
|
0,153
|
0, 203
|
0,168
|
0,233
|
0,01
|
2,703* 10-4
|
В Таблицах 2.1 и 2.2 представлены результаты, которые показывают,
как изменения в параметрах модели 
влияют на такие переменные как норма финансовой репрессии,
капиталовооруженность, заработная плата, ставка процента, потребление,
государственный долг во втором периоде и величина функции потерь.
Тот факт, что на норму финансовой репрессии воздействует политика
правительства в отношении того, насколько для него важно сократить величину
государственного долга, был уже отмечен выше. Результаты, представленные в
Таблицах 2.1 и 2.2, еще раз это подтвердили. Чем больше политика правительства
направлена на сокращение государственного долга, тем больше значение нормы
финансовой репрессии, в данном случае во втором периоде, в первом периоде для
фискальных властей оптимально установить норму финансовой репрессии равной
единице. Увеличение нормы финансовой репрессии во втором периоде сокращает
величину инвестиций, что отрицательно влияет капиталовооруженность и,
следовательно, на выпуск и заработную плату во втором периоде. Это, как уже
было отмечено выше, отрицательно влияет на потребление, увеличивает ставку
процента и общие потери, но также имеет и положительный эффект: величина
государственного долга сокращается.
Теоретически, можно было бы ожидать, что правительство в первом
периоде будет выбирать отсутствие финансовой репрессии, однако из-за замещения
добровольных сбережений пенсионными накоплениями результат обратный. В первом
периоде правительство устанавливает максимально возможную норму финансовой
репрессии, так как это приводит к росту добровольных сбережений и,
следовательно, капиталовооруженности в следующем периоде, увеличивая
налогооблагаемую базу - заработную плату.
Практически такие же результаты были получены при увеличении
первоначального долга. Если значение первоначального долга большое, то власти
проводят более жесткую фискальную политику. Однако это, в свою очередь, не
оказывает никакого положительного эффекта: увеличение нормы финансовой
репрессии отрицательно влияет на капиталовооруженность и заработную плату,
сокращает потребление и увеличивает потери общества. Кроме того, как и в случае
связывающего обязательства, мы также наблюдаем увеличение ставки процента и
государственного долга во втором периоде.
Увеличение доли отчислений в пенсионный фонд имеет как положительные,
так и отрицательные эффекты.
Как уже было сказано выше, при решении задачи правительства было
получено, что в первом периоде оптимально устанавливать норму финансовой
репрессии равной единице. При 
увеличение
оказывает отрицательный эффект на значение капиталовооруженности,
заработной платы и положительный на значение ставки процента в первом периоде.
В данном случае увеличение доли отчислений означает рост изъятий из инвестиций,
что, как уже было отмечено выше, приводит к сокращению общего благосостояния.
Однако, увеличение обязательных пенсионных отчислений позволяет уменьшить
значение оптимального инструмента финансовой репрессии во втором периоде, что,
конечно же, в целом положительно влияет на благосостояние общества. Сокращение
нормы финансовой репрессии позволяет увеличить инвестиции в капитал во втором
периоде. В связи с этим, капиталовооруженность растет и, следовательно, выпуск
и заработная плата. В данном случае домохозяйства начинают больше потреблять и
меньше сберегать. Агрегированное потребление увеличивается, а общие потери
уменьшаются. Также увеличение капиталовооруженности уменьшает ставку процента,
что оказывает благоприятное воздействие на благосостояние общества через
уменьшение стоимости обслуживания государственного долга. Мы видим
положительное воздействие на значение государственного долга во втором периоде,
величина долга сокращается.
4.3
Дискреционная политика при условии, что государственный долг должен быть
полностью выплачен во втором периоде
Рассмотрим третий случай, когда связывающее обязательство
отсутствует, но правительство ставит перед собой задачу - выплатить долг до конца
второго периода. При этом правительство руководствуется "правилом принятия
решений с обратной связью" ("feedback decision rules"). Ограничение на
величину долга во втором периоде мы вводим для того, чтобы ограничить
возможность проведения динамически несогласованной фискальной политики двумя
периодами t=1
и t=2. Таким образом,
молодые домашние хозяйства, рожденные во втором периоде, при принятии решений о
сбережениях не учитывают возможность конфискации, так как долг во втором
периоде должен быть полностью выплачен. Информация общедоступна.
Задача правительства выглядит следующим образом:
На первом шаге определяется величина конфискации во втором
периоде как функция от переменных первого периода и величины конфискации в
первом периоде. Из условия, что долг равен нулю, мы получаем функцию отклика
для второго периода:

(33)
Далее правительство минимизирует функцию потерь с точки зрения
первого периода:

, (34)
где

(35)
При этом домашние хозяйства понимают, что во втором периоде будет
назначена норма конфискации равная (33)
Расчеты осуществлены в программе Mathcad. Базовые значения параметров следующие: 
. Численные результаты решения задачи правительства, отражающие
оптимальные значения инструмента финансовой репрессии в первом и во втором
периодах при различных значениях 
, приведены в Таблицах 3.1 и 3.2.
Таблица 3.1
Оптимальные значения инструмента финансовой репрессии при различных значениях
параметров модели 
при дискреционной политике, направленной на сокращение
государственного долга до нуля до конца второго периода.
|
Эндогенные
|
φ1
|
φ2FB
|
k1
|
k2
|
w1
|
w2
|
R1
|
R2
|
|
|
0,7
|
0,131
|
0,929
|
0,103
|
0,086
|
0,317
|
0,298
|
1,509
|
1,712
|
|
|
0,8
|
0,115
|
0,944
|
0,104
|
0,086
|
0,317
|
0,298
|
1,506
|
1,714
|
|
|
0,9
|
0,103
|
0,955
|
0,104
|
0,085
|
0,317
|
0,297
|
1,504
|
1,717
|
|
|
0,95
|
0,098
|
0,96
|
0,104
|
0,085
|
0,318
|
0,297
|
1,502
|
1,718
|
|
Эндогенные
|
|
|
|
|
|
|
|
|
|
|
0,02
|
0,053
|
0,547
|
0,105
|
0,094
|
0,319
|
0,307
|
1,493
|
1,606
|
|
|
0,03
|
0,082
|
0,822
|
0,104
|
0,088
|
0,318
|
0,301
|
1,499
|
1,678
|
|
|
0,035
|
0,098
|
0,96
|
0,104
|
0,085
|
0,318
|
0,297
|
1,502
|
1,718
|
|
Эндогенные
|
|
|
|
|
|
|
|
|
|
γ
|
0,2
|
0,098
|
0,96
|
0,104
|
0,085
|
0,318
|
0,297
|
1,502
|
1,718
|
|
|
0,25
|
0,079
|
0,768
|
0,104
|
0,085
|
0,318
|
0,297
|
1,502
|
1,718
|
|
|
0,3
|
0,066
|
0,64
|
0,104
|
0,085
|
0,318
|
0,297
|
1,502
|
1,718
|
|
|
0,35
|
0,056
|
0,548
|
0,104
|
0,085
|
0,18
|
0,297
|
1,502
|
1,718
|
Таблица 3.2
Оптимальные значения инструмента финансовой репрессии при различных значениях
параметров модели 
при дискреционной политике, направленной на сокращение
государственного долга до нуля до конца второго периода (продолжение).
|
Эндогенные
|
φ1
|
φ2FB
|
C1old
|
C1young
|
C2old
|
C2young
|
C1aggr
|
C2aggr
|
B2
|
L
|
|
|
0,7
|
0,131
|
0,929
|
0,21
|
0,142
|
0, 198
|
0,164
|
0,097
|
0,136
|
0
|
1,229*10-4
|
|
|
0,8
|
0,115
|
0,944
|
0,211
|
0,142
|
0, 198
|
0,164
|
0,097
|
0,136
|
0
|
1,239*10-4
|
|
|
0,9
|
0,103
|
0,955
|
0,211
|
0,142
|
0, 197
|
0,164
|
0,097
|
0
|
1,246*10-4
|
|
|
0,95
|
0,098
|
0,96
|
0,211
|
0,142
|
0, 197
|
0,164
|
0,097
|
0,136
|
0
|
1,25*10-4
|
|
Эндогенные
|
|
|
|
|
|
|
|
|
|
|
|
|
0,02
|
0,053
|
0,547
|
0,211
|
0,157
|
0, 204
|
0,17
|
0,101
|
0,14
|
0
|
3,953*10-5
|
|
|
0,03
|
0,082
|
0,822
|
0,211
|
0,147
|
0,2
|
0,166
|
0,098
|
0,137
|
0
|
9,081*10-5
|
|
|
0,035
|
0,098
|
0,96
|
0,211
|
0,142
|
0, 197
|
0,164
|
0,097
|
0,136
|
0
|
1,25*10-5
|
|
Эндогенные
|
|
|
|
|
|
|
|
|
|
|
|
γ
|
0,2
|
0,098
|
0,96
|
0,211
|
0,142
|
0, 197
|
0,164
|
0,096
|
0,136
|
0
|
1,25*10-5
|
|
|
0,25
|
0,079
|
0,768
|
0,211
|
0,142
|
0, 197
|
0,164
|
0,096
|
0,136
|
0
|
1,25*10-5
|
|
|
0,3
|
0,066
|
0,64
|
0,211
|
0,142
|
0, 197
|
0,164
|
0,096
|
0,136
|
0
|
1,25*10-5
|
|
|
0,35
|
0,056
|
0,548
|
0,211
|
0,142
|
0, 197
|
0,164
|
0,096
|
0,136
|
0
|
1,25*10-5
|
Как и предыдущих случаях в Таблицах 3.1 и 3.2 показано, как при
различных значениях параметров модели 
меняются значения оптимального инструмента финансовой репрессии,
а также значения капиталовооруженности, заработной платы, ставки процента,
потребления, государственного долга во втором периоде и функции потерь в
стационарном состоянии.
При увеличении веса долга в функции потерь норма финансовой
репрессии во втором периоде увеличивается, а в первом сокращается.
Увеличение нормы финансовой репрессии во втором периоде
отрицательно влияет на инвестиции во втором периоде, а значит и на
капиталовооруженность. Ясно, что с сокращением капиталовооруженности падает
выпуск и заработная плата, а ставка процента увеличивается.
Как уже было отмечено выше, увеличение 
оказывает противоположное воздействие на значение оптимального
инструмента финансовой репрессии в первом периоде, данное значение уменьшается.
Придерживаясь "правила принятия решений с обратной связью",
правительство перенаправляет практически все налоговое бремя на население,
живущее во втором периоде. Это положительно влияет на значение
капиталовооруженности и заработной платы и отрицательно на значение ставки
процента в первом периоде. В результате база налогообложения первого периода
растет. Чем меньше норма финансовой репрессии, тем больше инвестиций
направляются в капитал, капиталовооруженность растет, выпуск и заработная плата
также увеличиваются, а ставка процента уменьшается. В целом агрегированное
потребление не изменилось, но в связи с тем, что правительство ставит перед
собой задачу - полностью выплатить долг к концу второго периода, фискальные
власти вынуждены проводить более жесткую фискальную политику, в связи с этим
значение функции потерь увеличивается
В свою очередь, увеличение 
приводит к росту и 
, и 
. Увеличение значений оптимального инструмента финансовой
репрессии отрицательно влияет на все эндогенные переменные как в первом, так и
во втором периодах.
Также, в рассматриваемом случае, как и в первом, увеличение доли
отчислений в пенсионный фонд способствует уменьшению нормы финансовой
репрессии, так как база налогообложения растет.
5.
Динамическая несогласованность
Динамически согласованная политика ставит перед собой
долгосрочные цели, которые остаются приоритетными на протяжении всего пути их
достижения, то есть текущие обстоятельства не могут повлиять на решение
правительства в отношении выбранного плана. Другими словами, термин
динамической согласованности означает отсутствие стимулов для правительства
отклониться от выбранного плана в любой из периодов.
В свою очередь, термин динамической несогласованности
описывает "ситуацию, когда оптимальный план, принятый в определенный
момент времени, в будущем уже не является оптимальным". В связи с этим,
существует вероятность того, что в следующие периоды первоначальный план будет
пересмотрен и скорректирован. Выбранный план определяется политикой Рамсея.
Проблема динамической несогласованности применительно к
фискальной политике заключается в следующем:
Если в экономике сформировалась высокая база налогообложения,
то у правительства, политика которого направлена на сокращение государственного
долга, появляются стимулы отклониться от ранее выбранного плана, то есть
конфисковать часть сделанных сбережений. Это позволит ему сократить
государственный долг и не сильно уменьшить инвестиции - то есть избежать
искажений, связанных с налогообложением. Однако, понимание обществом наличия
такого стимула приводит к тому, что база налогообложения сокращается.
Следовательно, инвестиции и величина долга правительства, которую можно
профинансировать, также сокращаются. Для определения наличия проблемы
динамической несогласованности политики финансовой репрессии мы рассчитываем
значения потерь для трех выше описанных случаев, так как именно минимизация
потерь общества - цель правительства.
В Таблице 4 представлены результаты расчета значений функции
потерь, когда правительство дает связывающее обязательство и когда данное
обязательство отсутствует, при различных значениях 
. Расчеты были получены с помощью программы Mathcad.
Таблица 4. Значения функции потерь при связывающем
обязательстве и дискреционной политике.




Расчеты показали, что во всех рассмотренных случаях величина
потерь при связывающем обязательстве больше, чем при дискреционной,
следовательно, проблемы динамической состоятельности нет.
Далее сравним значения функции потерь общества при
связывающем обязательстве и в случае, когда правительство не обязуется
придерживаться единой нормы финансовой репрессии, но ставит перед собой цель -
выплатить государственный долг к концу второго периода. Расчеты осуществлены в
программе Mathcad и представлены в Таблице 5.
Таблица 5. Значения функции потерь при связывающем
обязательстве и дискреционной политике, цель которой - сокращение долга до нуля
до конца второго периода.




В отличие от случая, рассмотренного выше, здесь мы получили
противоположные результаты. Величина потерь выше при политике, ставящей перед
собой цель - выплатить государственный долг, следовательно, в данном случае
существует проблема динамической несогласованности. Это происходит в связи с
тем, что при дискреционной политике целью правительства является сокращение
государственного долга до нуля, что предполагает проведение более жесткой
фискальной политики. Увеличение нормы финансовой репрессии сказывается на
потерях общества: они увеличиваются, что в свою очередь снижает уровень общего
благосостояния.
6. Заключение
В работе исследуется наличие проблемы динамической
несогласованности оптимальной финансовой репрессии в форме конфискации
накопительной части пенсии. Данный вопрос является актуальным, так как в
последние несколько лет в России наблюдается дискреционная пенсионная политика,
направленная на перераспределение средств из накопительной части в
распределительную, что сокращает величину "длинных денег" в
экономике. Таким образом, исследование позволяет понять, оправдана ли политика
конфискации с точки зрения общественного благосостояния.
В ходе исследования строится теоретическая модель
перекрывающихся поколений с накопительной пенсионной системой и фискальной
политикой и исследуется воздействие конфискации на стационарное состояние.
Кроме того, осуществлен поиск оптимальной фискальной политики в случае, если
правительство дает связывающее обязательство относительно конфискации, а также
оптимальной фискальной политики в случае, если правительство следует
дискреционной политике.
Исследование показало, что проведение политики финансовой репрессии
отрицательно влияет на общее благосостояние населения. С увеличением нормы
финансовой репрессии мы наблюдаем рост изъятий из инвестиций, что сокращает
уровень капиталовооруженности и, следовательно, выпуск и заработную плату.
Сокращение уровня выпуска отрицательно влияет на потребление: потребление
падает. И хотя в целом долг правительства сокращается, потери общества
увеличиваются, а уровень благосостояния падает.
Чтобы определить существует ли проблема динамической
несостоятельности политики финансовой репрессии, оценены потери общества для
трех случаев:
) правительство дает связывающее обязательство в отношении
нормы финансовой репрессии;
) правительство не обязуется придерживаться единой нормы
финансовой репрессии и 3) правительство не дает связывающего обязательства, но
ставит перед собой цель - сократить долг до конца второго периода до нуля.
Расчеты показали, что проблема динамической несостоятельности политики
финансовой репрессии в форме конфискаций пенсионных накоплений существует
только в случае, когда правительство не дает связывающего обязательства, но
ставит перед собой цель полностью выплатить государственный долг за два
периода.
7. Список
литературы
1. Benhabib,
J., Rustichinin, A. Optimal taxes without commitment // Journal of
economic theory, 1997, No.77, Pp.231-259.
2. Black,
John & Myles, Gareth D. & Hashimzade, Nigar, 2009. A Dictionary of
Economics // Oxford University Press, pp.126-127.
. Calvo.,
G. A., Ostfeld, M. Optimal time-consistent fiscal police with finite
lifetimes // Econometrica, 1988, Vol.56, No.2, pp 411-432.
. Cantore,
C., Levine, P., Melina, Giovanni, M., Pearlman, J., Optimal fiscal and
monetary policy, debt crisis and management // DP 05/15 University of
Surrey.
. Chamley,
C., Optimal taxation of capital income in general equilibrium with infinite
lives // Econometrica, 1986, Vol.54, No.3, pp.607-622.
. Chari,
V. V., Kehoe, P. J., Sustainable plans // The Journal of Political
Economy, 1990, Vol.98, No.4, pp.783-802.
. Clymo,
A., Lanteri, A., Optimal policy with limited-time commitment // Duke
University WP, 26-07-2016.
. Debortoli,
D., Nunes, R., Fiscal policy under loose commitment // Journal of
Economic Theory, Vol.145, Issue 3, pp.1005-1032.
. Fischer
S. Dynamic Inconsistency, Cooperation and the Benevolent Dissembling
Government // Economic Dynamics and Control, 1980 No.2, pp.93-107.
. Judd,
K. L., Redistributive taxation in a simple perfect foresight model // Journal
of Public Economics, 1985, 28, pp.59-83.
. Klien,
P., Rios-Rull, J. V., Time-consistent optimal fiscal policy // International
Economic Review. 2003., Vol.44, No.4, pp.1217-1245.
. Kydland,
F. E., Presscot, E. C., Rules rather than discretion: the inconsistency of
optimal plans // The Journal of Political Economy, 1977, Vol.85, Issue 3,
pp.473-492.
. Martin,
F. M. Markov-Perfect Capital and Labor Taxes // Journal of Economic
Dynamics and Control, 2010, No.34 (3). Pp.503-521.
14. Leeper, E. M., Leith,
C., Liu, D., Optimal time-consistent monetary, fiscal and debt maturity
policy // https:
// papers. ssrn.com/sol3/papers. cfm? abstract_id=2719457
<https://papers.ssrn.com/sol3/papers.cfm?abstract_id=2719457>.
. Leeper, E. M. Equilibria
under Active and Passive Monetary and Fiscal Policies // Journal of
Monetary Economics. 1991, No.27. Pp.129 - 147.
. Lucas, R. E.,
Stokey, N. L., Optimal fiscal and monetary policy in an economy without
capital // Journal of Monetary Economics, 1983, No.12. Pp.55-93.
. Persson, M.,
Persson, T., Svensson, L. E., Time consistency of fiscal and monetary policy
// Econometrica, 1987. Vol.55, No.6, pp.1419-1431.
. Yaari M. E. Uncertain
Lifetime, Life Insurance, and the Theory of the Consumer // Review of
Economic Studies, 1965, No.32, pp.137-150.