Методы оценки финансовой репутации организации на примере ОАО 'Jingdong'

  • Вид работы:
    Дипломная (ВКР)
  • Предмет:
    Финансы, деньги, кредит
  • Язык:
    Русский
    ,
    Формат файла:
    MS Word
    621,42 Кб
  • Опубликовано:
    2017-08-24
Вы можете узнать стоимость помощи в написании студенческой работы.
Помощь в написании работы, которую точно примут!

Методы оценки финансовой репутации организации на примере ОАО 'Jingdong'

Введение


Репутация - это динамическая основная оценка действий и поведения предприятия, формирующаяся в обществе в достаточно длительном периоде времени. Репутация формируется на основе совокупности данных о том, каким способом и какими методами строит свое поведение предприятие в конкретных ситуациях.

Деловая репутация занимает далеко не последнее место и в системе критериев оценки инвестиционной привлекательности компании, поскольку он выражается в конкурентных преимуществах, позволяющих ей получать прибыли выше среднеотраслевых.

Вопросы оценки стоимости деловой репутации и управления деловой репутации являются крайне актуальными, в связи с тем, что именно благодаря существованию деловой репутации, возникают сверхприбыли, позволяющие компании динамично развиваться.

Цель дипломной работы заключается в разработке методов повышение деловой репутации на примере китайской компании Jingdong. Исходя из цели, были постелены следующие задачи:

рассмотреть понятие репутации предприятия и ее структуры;

изучить существующие методы оценки финансовой репутации предприятия;

выявить наиболее эффективные методы оценки финансовой репутации;

разработать мероприятия по повышению финансовой репутации китайской компании Jingdong;

оценить эффективность предложенных мероприятий.

Объектом исследования дипломной работы является репутации китайской компании Jingdong. В качестве предмета исследования установлены особенности формирования и стоимостной оценки репутации в современных условиях.

В мировой экономике основные теоретические изыскания по проблеме оценки деловой репутации фирмы изложены в трудах известных ученых в области оценочной деятельности как Дж. Тобин, А. Гринспен, Т. Левитт, Ч. Фомбрум, Эдвардс-Белл-Ольсон, Р.Дж. Олердин и др.

Теоретико-методическую базу исследования составляют труды ведущих отечественных и зарубежных ученых и исследователей по вопросам развития бизнеса, систем управления деловой репутацией, риск- менеджмента, внешнеэкономической деятельности, а также фундаментальные исследования и положения в области теории управления стоимостью бизнеса.

В данной работе использовались и нашли свое применение общенаучные методы сбора данных, способы исследования и методики оценки их достоверности и достаточности: количественный, сравнительный, логический анализа и синтез, экономико-статистические методы, методы экспертных оценок, расчетно-конструктивные и индексные и т.д.

Эмпирической базой исследования выступили: различные факты экономического, правового, юридического характера, установленные из анализа и синтеза данных финансово-экономической литературы, периодических изданий и публикаций, отраслевые справочники, результаты различных научных исследований, конференций, семинаров, открытые источники печати, размещенные на сайтах официальных серверов сети Internet.

1. Финансовая репутация в структуре репутации компании


1.1 Понятие репутации предприятия и ее структура


В обычном понимании репутация - это приобретенная кем-нибудь, чем-нибудь общественная оценка, создавшееся общее мнение о качествах, достоинствах и недостатках кого-нибудь, чего-нибудь.

По мнению А. Гринспена (А. Greenspan), деловая репутация рассматривалась как актив уже в XIX в., играя значительную роль в экономике, основанной на принципе «laissez-faire» (невмешательства). Позднее (примерно с 1956 г., с момента появления первых монографий на тему корпоративного имиджа, и в особенности с 1990-х гг., когда начали создаваться современные компании, активно и успешно использующие PRI для ускорения темпов роста и развития) перед многими компаниями встал вопрос о необходимости разработки концептуальных подходов к созданию имиджа фирмы и ее репутации, реализации стратегий управления репутацией как нематериальным активом.

В многочисленных публикациях, посвященных исследованию деловой репутации, как отечественных, так и зарубежных исследователей, а также существующих нормативных правовых актах можно найти самые разные, порой диаметрально противоположные подходы к трактовке ее понятийного аппарата. Причина этого не только в том, что в среде ученых нет единства подходов к исследуемому понятию, а в том, что противоречия во взглядах на деловую репутацию являются не формально логическими, а сущностными, отражающими реальную ситуацию в данной области.

В большинстве определений деловой репутации наблюдается стремление авторов назвать как можно большее число сущностных признаков данного понятия.

Вопреки ожиданиям это не расширяет понятийный аппарат, а лишь усложняет понимание его сущности. Часто деловая репутация рассматривалась как некая универсалия или, наоборот, в рамках конкретной области знаний как попытка определить «единый набор концепций с помощью собственных теоретико-методологических подходов и понятийного аппарата».

Репутация (в том числе деловая) - категория, которая используется в различных сферах человеческой деятельности: в психологии, социологии, менеджменте, маркетинге, бухгалтерском учете, гражданском и уголовном праве и др. Каждая из них акцентирует внимание на каких-то особенных аспектах этого многогранного феномена, нередко используя для обозначения этих аспектов свои наименования.

Рисунок 1. Различные взгляды на содержание понятия «деловая репутация» (маркетинг)

С позиции маркетинга репутация исследовалась в основном на индивидуальном уровне.

С позиции менеджмента предприятия деловая репутация трактуется более комплексно и чаще всего как нематериальный актив (рис. 2.).

Рисунок 2. Содержание понятия «деловая репутация» (менеджмент)

Проанализированные нами определения понятий «деловая репутация» наглядно иллюстрируют некоторые тенденции в подходах.

Если в определении репутации компании, представленном Т. Левиттом (Т. Levitt) в 1965 г., основным элементом определения является «восприятие «потребителей» о компании, то уже с 1996 г. почти во всех определениях ключевое слово «клиент, потребитель» было заменено на «народ», «общество», «заинтересованные стороны».

Особый интерес к вопросам управления деловой репутацией был вызван опубликованием первых фундаментальных научных исследований по проблеме корпоративной репутации (1996 г.). Увеличение числа исследований деловой репутации определило и сложности в формировании понятийного аппарата. Основным же во всех определениях деловой репутации является понятие «восприятие», а характеристикой - динамизм (конкуренты борются за статус и репутацию, в связи с изменениями внешней и внутренней среды репутация может измениться); эксклюзивность (в конкуренции за репутацию один выигрывает, а другой проигрывает); коллективность; кумулятивность.

Также «ключевыми словами» (основными элементами) в существующих определениях деловой репутации являются следующие: социально-когнитивная природа, оценка за определенный период времени, распространение репутации (когда заинтересованные стороны разделяют взгляды и оценки друг друга по отношению к предприятию).

В некоторых трактовках определяющими являются такие категории, как уважение, надежность и т.д. Ч. Фомбрум (С. Fombrum) справедливо отмечает, что корпоративная репутация представляет собой совокупность субъективных оценок открытости (прозрачности) и надежности компании на основе ее прошлых действий.

Несмотря на разнообразие определений корпоративной репутации, следует признать, что наиболее обобщающим и используемым сегодня в качестве «основы» другими исследователями, является одно из определений, данных Ч. Фомбрумом. Автор определяет корпоративную репутацию как отображение восприятия прошедших действий компании и ее будущих перспектив, которые описывают ее всеобщую привлекательность для всех ее основных заинтересованных лиц по сравнению с остальными ее конкурентами.

Соответственно можно предложить следующее обобщенное понятие деловой (корпоративной) репутации: передаваемая на социальном уровне коллективная динамическая оценка компании (ее характеристика, практика, поведение и результаты и т.д.), отображающая восприятие ее действий, уровень надежности, предпочтительности и признания по сравнению с конкурентами всеми заинтересованными лицами.

Одним из препятствий на пути к построению системы управления репутацией является отсутствие однозначности в терминологии. Множество сложностей возникает из-за ошибочного смешения понятий «репутация» и «имидж», а также неверного соотношения «бренда» и «репутации». Подобные ошибки могут «дорого стоить компании» (в зависимости от ориентации бренда - на потребителя, на компанию).

Логически соотношение некоторых понятий в рамках концепции менеджмента показано на рисунке 3.

Рисунок 3. Соотношение понятий репутации

В течение довольно длительного времени в научной литературе понятия «корпоративная репутация» и «имидж» использовались как взаимозаменяемые (синонимы). Однако сегодня большинство исследователей в области управления репутацией сталкиваются с необходимостью разделять эти два понятия. Выявленные различия между имиджем компании и репутацией представлены в табл. 1.1.

Таблица 1.1 - Различия между имиджем компании и репутацией

Аспект

Корпоративная репутация

Корпоративный имидж

Представление

Общая оценка, которая показывает уровень уважения надежности компании

Ассоциируется с брендом

Ребрендинг

Не изменяется при ребрендинге

Может измениться при ребрендинге

Изменения

Может изменятся даже если имидж не меняется

Не обязательно изменяется при изменении репутации

Признание на рынке

Положительная репутация компании признается потребителем, вне зависимости от сегмента рынка

Имидж компании зависит от отрасли и ее имиджа


Деловая репутация - это целостное представление о компании как субъекте определенного вида деятельности, которое складывается из восприятия и оценки результатов и последствий этой деятельности раз- личными заинтересованными лицами и контактными группами.

Основные составляющие деловой репутации могут вызывать различные реакции во внешней среде, связанные с их принятием или отрицанием. Это обусловлено тем, что разными контактными группами рассматриваются различные факторы, влияющие на репутацию. Так, для инвесторов в качестве оценки деловой репутации могут выступать открытость и прозрачность компании, динамика ее развития, уровень корпоративного управления, возможность обеспечения требуемой нормы доходности вложенных средств.

Рисунок 4. Формирование деловой репутации и ее оценка контактными группами

С точки зрения потребителей информативным критерием оценки репутации является качество выпускаемой продукции, ее цена, доступность и ценовая стратегия компании. Для кредиторов деловая репутация компании заключена в ее кредитной истории; для сотрудников - в системе работы с персоналом, мотивации деятельности в процессах менеджмента; для государства - в уровне социальной ответственности, полноте выплаты налогов и т.д.

Можно сделать следующую систематизацию деловой репутации

Рисунок 5. Систематизация деловой репутации

Деловая репутация компании в определенных условиях может рассматриваться как результат интеллектуальной деятельности и в качестве средства индивидуализации компании в качестве юридического лица.

Далее речь пойдет о финансовой репутации (гудвилл).

1.2 Финансовая репутация и ее показатели


Гудвил занимает далеко не последнее место и в системе критериев оценки инвестиционной привлекательности компании, поскольку он выражается в конкурентных преимуществах, позволяющих ей получать прибыли выше среднеотраслевых.

И действительно, формирование прибыли на среднеотраслевом уровне осуществляется материальными и нематериальными активами компании, отражаемыми в финансовой отчетности, а сверхприбыли возникают в отчетности благодаря существованию гудвила. Любое существенное отклонение прибыли от среднеотраслевого значения выражается в изменении величины рентабельности инвестиций, при этом рост данного показателя обеспечивается положительным гудвилом, отрицательная же динамика объясняется существованием бэдвила. Речь в данном случае идет не о приобретенном гудвиле, возникающем как результат сделки по объединению бизнеса, а о внутренне созданной деловой репутации как о наработанном годами потенциале деятельности компании.

Многие исследователи указывают на значимость оценки внутренне созданного гудвила с целью обоснования инвестиционной привлекательности той или иной компании. Так, в частности, Т.В. Федорович, наряду с такими критериями инвестиционной привлекательности, как экономическая добавленная стоимость, рыночная добавленная стоимость и рыночная капитализация, называет собственный гудвил.

В.В. и Вит.В. Ковалевы говорят о том, что оценка гудвила в неявном виде присутствует в работе финансовых аналитиков, что проявляется в активном использовании финансовых коэффициентов, характеризующих его величину.

В качестве примера можно рассмотреть q- коэффициент, или коэффициент Тобина, названного так в честь Нобелевского лауреата Дж. Тобина (J. Tobin), предложившего в 1969 г. использовать его в макроэкономических исследованиях.

Один из самых распространенных подходов к исчислению данного показателя - отношение рыночной капитализации компании к рыночной оценке ее чистых активов. Если рыночная капитализация компании превосходит стоимость ее чистых активов, значит, рынок «высоко» оценивает те нематериальные преимущества компании (внутренне созданный гудвил), которые не нашли отражения в балансе, но позволяют компании генерировать дополнительные доходы. И действительно, коэффициент Тобина является одним из показателей рыночной позиции, индексом монопольной власти. Его высокое значение указывает на то, что фактический или ожидаемый уровень прибыли в отрасли выше, чем необходимый, чтобы удерживать компанию в данной отрасли.

Многочисленные исследования установили, что коэффициент Тобина в среднем довольно устойчив во времени, а компании с высоким его значением обычно обладают уникальными факторами производства или выпускают уникальные товары, т.е. для этих компаний характерно наличие монопольной ренты (чаще всего являющееся следствием существования гудвила). Компании с небольшими значениями коэффициента действуют, как правило, в отраслях с высокой конкуренцией.

Отсюда вывод - для инвестиционно привлекательной компании числитель дроби должен превосходить знаменатель. Чем больше это расхождение, т.е. чем выше единицы коэффициент Тобина, тем более перспективной рассматривается компания рынком. Однако исследователи подчеркивают, что нельзя приписывать положительную разницу между капитализацией и активами одному лишь гудвилу: свою роль в этом могут сыграть и удачные тенденции рынка в пользу компании (изменения значений зарубежных фондовых индексов, колебания валютных курсов, динамика цен на сырьевые ресурсы), мнения аналитиков и различные спекуляции в виде слухов.

При значении коэффициента Тобина ниже единицы, можно говорить о недооценке компании рынком и о существовании у такой компании бэдвила. Последний указывает на то, что компания является потенциальным объектом поглощения.

Интерпретация коэффициента Тобина как индикатора инвестиционной привлекательности будет зависеть от целей, которые ставит перед собой инвестор: получение стабильного дохода в форме дивидендов или увеличение стоимости акций. Если задача состоит только в минимизации денежных потерь от инфляции и выбор падает на стабильность при небольшом уровне риска - стоит обратить внимание на лидеров рынка с высоким коэффициентом Тобина. Если есть желание приумножить свой капитал даже ценой высокого риска, то наилучшими объектами для инвестиций могут оказаться и аутсайдеры с низкими q - коэффициентами. Если компания не слишком зависит от кредиторов, способна расплатиться с краткосрочными займами и в перспективе с долгосрочными, имеет достаточно ликвидные активы и растущий спрос на ее продукты/услуги - скорее всего, она действительно недооценена, и стоимость ее акций будет расти. В обоих случаях для принятия успешного решения необходимо проанализировать динамику значений коэффициента.

Главным ограничением применения этой модели является сложность определения и элимирования влияния внешних факторов на капитализацию компании (например, изменение курса национальной валюты, изменение цен на нефть и т.п.).

Кроме коэффициента Тобина, существует еще один показатель, отражающий величину и влияние гудвила. Это коэффициент Бэйна, который показывает экономическую прибыль на один рубль собственного инвестированного капитала. Определяется данный показатель как отношение разности между балансовой и нормальной прибылью к собственному капиталу. При этом под нормальной прибылью понимается прибыль, рассчитанная, исходя из среднеотраслевого значения показателя рентабельности капитала.

В условиях конкуренции на товарном рынке и эффективного финансового рынка, норма экономической прибыли должна быть одинаковой (нулевой) для различных видов активов. Если норма прибыли на каком - либо рынке (для какого-либо актива) превосходит конкурентную норму, то либо этот вид инвестирования является предпочтительным, либо рынок не свободно конкурентный, т.е. существуют причины, по которым дополнительная доходность инвестиций не уравнивается в долгосрочном периоде. Эта причина кроется в наличии у одной из компаний определенной рыночной власти или гудвила. В числителе дроби находит отражение сверхприбыль, которую получает конкретная компания, благодаря своим конкурентным преимуществам по сравнению с другими, функционирующими в данной отрасли. Эти сверхприбыли генерирует особый актив - гудвил, а следовательно, и вся интерпретация формулы приобретает несколько иное значение: коэффициент Бэйна показывает пользователю информации, сколько копеек сверхприбыли генерирует гудвил компании на один рубль собственного капитала.

Гудвил может выступать и как самостоятельный аналитический показатель, полезный для принятия квалифицированных решений заинтересованными пользователями финансовой отчетности. Так, например,

Ю.Н. Быкова предлагает рассматривать гудвил как критерий финансовой устойчивости (ученым разработана шкала деловой репутации, построенная с учетом критериев и показателей российской шкалы кредитного рейтинга, созданной для оценки компаний со стороны заемщиков, гарантов и поручителей, деловых партнеров, финансовых посредников и инвесторов, действующих на отечественном финансовом рынке).

Таким образом, совершенно неверно рассматривать гудвил как узкую бухгалтерскую категорию, как продукт процедуры бухгалтерского учета, гудвил - это исключительно важная рыночная категория, которая является индикатором финансового положения компании с позиции разных групп заинтересованных пользователей - как с позиции оценки эффективности работы топ-менеджмента компании, так и с позиции оценки инвестиционной привлекательности.

Во всех случаях, рассмотренных выше, речь шла об аналитическом значении показателя, в роли которого выступает внутренне созданный гудвил.

2. Разработка методов оценки финансовой репутации предприятия

.1 Характеристика оценки финансовой репутации

Оценка гудвила представляет собой сложный процесс, результат которого зависит как от квалификации оценщика, так и от применяемых им методов оценки. Особенно сложной является оценка гудвила непубличных компаний, т.е. тех компаний, акции которых не обращаются на фондовом рынке. Оценить подобные компании путем рыночной капитализации стоимости их акций невозможно, поэтому методы оценки гудвила непубличных компаний имеют свою специфику, связанную с применением доходного, затратного и сравнительного подходов к оценке. Большинство методов оценки гудвила, применяющихся при планировании интеграционной сделки с непубличными компаниями, основаны на методологии доходного подхода к оценке бизнеса. Доходный подход подразумевает рассмотрение стоимости компании как текущей стоимости ее будущих прибылей, т.е. в его основу положено допущение о том, что компания должна стоить столько, сколько прибыли она способна принести собственнику.

С позиций доходного подхода гудвил можно определить как разницу между текущей стоимостью будущих доходов компании и рыночной стоимостью ее скорректированных чистых активов:

GW = NI − NCA , (1)

где GW - рыночная стоимость гудвила;

NI (Net Income) - текущая стоимость будущей чистой прибыли компании;(Net Corrected Assets) - рыночная стоимость скорректированных чистых активов компании.

Методология затратного и сравнительного подходов к оценке бизнеса также используется при оценке гудвила. В настоящем параграфе будут критически рассмотрены четыре наиболее распространенных метода оценки гудвила непубличных компаний, использующихся при планировании слияний и поглощений, два из которых основаны на методологии доходного подхода в чистом виде, а еще два - на сочетании методологии доходного подхода с инструментами сравнительного подхода и методологии доходного подхода с инструментами затратного подхода соответственно:

•   метод избыточных прибылей (используется методология доходного подхода);

•   левериджный метод (используется методология доходного подхода);

•   метод освобождения от роялти (используется сочетание методологии доходного подхода и инструментов сравнительного подхода);

•   метод, основанный на модели Эдвардса-Белла-Ольсона (используется сочетание методологии доходного подхода и инструментов затратного подхода).

.2 Применение методов оценки финансовой репутации предприятия

Метод избыточных прибылей.

Метод избыточных прибылей (Excess earnings method), который многие отечественные специалисты причисляют к методам оценки гудвила, на самом деле предназначен для оценки стоимости совокупности нематериальных активов компании. Дело в том, что он не учитывает вклада других нематериальных активов (не гудвила) в получение компанией сверхдоходов, поэтому определить стоимость гудвила указанным методом можно только в случае отсутствия у компании таких нематериальных активов, либо потребуется дополнительная оценка их стоимости. Метод основан на предположении, что прибыль, превышающая среднеотраслевую, приносится компании нематериальными активами.

Метод избыточных прибылей насчитывает множество модификаций, которые могут быть поделены на две группы: методы, основывающиеся на капитализации сверхдоходов, фактически полученных в прошлые периоды, и методы, основывающиеся на дисконтировании ожидаемых сверхдоходов. Наиболее распространенным представителем первой группы методов является казначейский метод, наиболее распространенным представителем второй - метод избыточных компенсаций.

Особенностью казначейского метода является рассмотрение ретроспективных данных компании о стоимости активов и полученных прибылей вместо оценки будущих прибылей.

Как правило, этот метод применяется при экспресс-оценке возможности интеграции, так как вместо тщательного прогнозирования будущих доходов подразумевает допущение об их неизменном поведении в будущем на основании такого поведения в прошлом. При этом такую оценку можно провести достаточно быстро и без больших затрат.

Стоимость нематериальных активов здесь рассчитывается по формуле:

IA = (NNOI − NTA·R TA)/ RIA, (2)

где IA (Intangible Assets) - рыночная стоимость нематериальных активов;

NNOI (Normalized Net Operation Income) - нормализованная чистая операционная прибыль;

NTA (Net Tangible Assets) - среднегодовая стоимость чистых материальных активов;

RTA- коэффициент капитализации материальных активов;IA - коэффициент капитализации нематериальных активов.

Операционная прибыль определяется не менее чем за 5 лет, предшествующих оценке, затем усредняется. При этом года, в которых прибыль существенно выше или ниже среднего значения, из расчета исключаются. Таким образом осуществляется нормализация прибыли. Таким же образом рассчитывается значение стоимости чистых материальных активов.

Коэффициенты капитализации материальных и нематериальных активов должны соответствовать проценту, сложившемуся в отрасли на момент оценки. Факторы, влияющие на коэффициенты капитализации, включают в себя характер бизнеса, степень риска и регулярность получения прибыли.

В случае, когда таких данных нет раздел 26 CFR 1.1001-1 Правил уплаты налогов США № 68-609 рекомендует компаниям с низким уровнем риска, стабильной и регулярной прибылью использовать коэффициент 8% для капитализации материальных активов и коэффициент 15% для нематериальных активов. Компаниям, опасности, связанные с бизнесом которых достаточно высоки, - 10% и 20%, соответственно. В отечественной литературе сложилось мнение, что эти коэффициенты установлены директивно.

На самом деле, в вышеуказанном нормативном документе особо выделяется, что данные коэффициенты приведены в качестве примера и могут использоваться не во всех случаях.

Гудвил определяется как разность между стоимостью всех нематериальных активов компании и стоимостью ее идентифицируемых нематериальных активов (базы данных, исключительные права и т.п.):

GW = IA− IIA, (3)

где IIA (Identifiable Intangible Assets) - стоимость идентифицируемых нематериальных активов.

Использование данного подхода к оценке гудвила сталкивается с одной серьезной проблемой: сложностью правильного определения коэффициентов капитализации. Известный американский эксперт в оценке бизнеса Ш. Пратт в книге «Оценивая бизнес: анализ и оценка компаний закрытого типа» указывает: «Чтобы выделить в стоимости бизнеса (определенной по прибыли) ту часть, которая определяется «нормальными» доходами, и ту, которую обеспечивает гудвилл или другие нематериальные активы, необходима такая проницательность, которая еще ни у кого не наблюдалась». По сути, для корректного применения казначейского метода необходимо знать среднеотраслевые значения ставки дисконтирования для материальных и нематериальных активов. Если определение первого, как правило, проблемы не представляет, то оценка второго является величиной субъективной и сильно зависит от квалификации оценщика.

Не зря в разделе 26 CFR 1.1001-1 Правил уплаты налогов США № 68- 609 говорится: «Формульный подход может быть использован для оценки справедливой рыночной стоимости нематериальных активов бизнеса только, если отсутствует лучшая основа для этого».

Метод избыточных компенсаций (Excess Compensation Method) основан на определении превышения текущей стоимости ожидаемой прибыли, приносимой компанией, над средним значением по отрасли.

Для этого необходимо определить разницу между нормализованной прибылью компании в течение прогнозного периода и ожидаемой прибылью, которую компания получит, исходя из средней по отрасли рентабельности активов. Указанная разница дисконтируется для определения текущей стоимости нематериальных активов компании:

IA = ∑ (NEE - NTA ROAAI)/ (1+r)t, (4)

где NEE (Normalized Expected Earnings) - нормализованная ожидаемая прибыль компании;

NEE AI (Return On Assets Average Industry) - среднеотраслевая рентабельность активов;- ставка дисконтирования избыточной прибыли компании;

T - горизонт прогнозирования.

Ожидаемые прибыли нормализуются по тому же принципу, что и фактически полученные прибыли при применении казначейского метода. Ставка дисконтирования избыточной прибыли в данном случае учитывает риски конкретной компании.

Гудвил, как и при применении казначейского метода, определяется как разность между стоимостью всех нематериальных активов компании и стоимостью ее идентифицируемых нематериальных активов.

Основная проблема, возникающая при применении метода избыточных компенсаций, характерна для всех моделей оценки, основанных на дисконтировании будущих доходов: высока вероятность некорректного определения ставки дисконтирования. В данном случае ставка должна отражать не риски, присущие бизнесу в целом, а риски неполучения сверхдоходов. Однако применение подобной ставки приведет к возникновению того же недостатка, что и при применении казначейского метода: такую ставку крайне проблематично вычислить. Будет уместно привести здесь мнение известного американского оценщика Р.Дж. Олердина (R.J. Alerding), который указывает на то, что вопрос о применении увеличенной ставки дисконтирования является дискуссионным. При этом он ссылается на практику применения метода избыnочных компенсаций: «Мой опыт показывает, что используется обычная ставка дисконтирования, так как нет никакой возможности напрямую определить норму прибыли на материальные активы. Эта прибыль включена в нормализованную».

Метод освобождения от роялти.

В основе данного метода лежит допущение того, что компания не владеет своим брендом. В этой ситуации компания, использующая не принадлежащие ей исключительные права, обязана платить роялти (лицензионные платежи) владельцу этих прав. Стоимость гудвила определяется путем вычисления суммы этих роялти, которая представляет собой дополнительную прибыль, генерируемую компанией (так как на самом деле ей, естественно, не приходится платить за приобретение собственного бренда). Необходимо отметить, что методы освобождения от роялти оценивают именно бренд компании, а не гудвил, которые не являются синонимами с позиций финансовой отчетности.

Бренд - это совокупность товарного знака (торговой марки) и заработанной им репутации. Товарный знак - это отдельный вид нематериальных активов компании, который можно продать или передать во временное пользование, а гудвил нераздельно связан с компанией и учитывается отдельно. Т.е. стоимость бренда включает в себя не только гудвил, но и стоимость товарного знака.

Наиболее известными и популярными в мире методиками этой группы являются методики компаний Brand Finance и Interbrand. Необходимо отметить, что эти компании работают в основном с мировыми марками, поэтому в настоящем параграфе всерьез не рассматривается возможность применения именно этих методик для оценки непубличных компаний, а, скорее, преследуется цель показать принцип работы метода освобождения от роялти, отшлифованный на тысячах известнейших брендов. Подобные методики используются и при оценке брендов непубличных компаний, хотя их применение не настолько распространено, как, например, применение метода избыточных прибылей.

Методика компании Brand Financе. Компания Brand Finance, основанная в 1996 г., в настоящее время является одной из ведущих мировых консалтинговой компаний в сфере оценки брендов. В 2010 г. методика оценки бренда компании Brand Finance была сертифицирована на соответствие требованиям ISO 10668 «Оценка бренда. Требования к денежной оценке бренда» (Brand valuation. Requirements for monetary brand valuation). Этот подход включает оценку будущих доходов, генерируемых брендом, и расчет ставки роялти за использование бренда компании.

ВV = ∑ (BRR*BR)/(1+ r) t, (5)

где BV (Brand Value) - стоимость бренда;

BRR (Brand Royalty Rate) - ставка роялти бренда, зависящая от его устойчивости;(Brand Revenues) - прогнозируемые доходы бренда.12

Оценка бренда включает в себя следующие этапы:

·        определение устойчивости бренда по шкале от 0 до 100 на основе использования системы сбалансированных показателей, таких как инвестируемость бренда, деловая активность, мнение заинтересованных сторон и т.д. Этот показатель называется Индекс устойчивости бренда (Brand Strength Index);

·        определение диапазона ставки роялти для определенной отрасли. Это делается путем анализа сопоставимых лицензионных соглашений (информацию получают из баз данных компании Brand Financе и других онлайн-баз данных);

·        расчет ставки роялти. Для этого определяется средневзвешенноt значение частного от деления минимального и максимального значений диапазона отраслевой ставки роялти и Индекса устойчивости бренда. Например, если диапазон отраслевой ставки роялти составляет 1-5%, а бренд имеет Индекс устойчивости 75, то ставка роялти составит 4%;

·        определение доходов бренда. Оценивается доля доходов компании, относящихся к каждой конкретной торговой марке и отрасли;

·        определение ожидаемых доходов бренда. Для этого используется функция исторических доходов, аналитика акционерного капитала и темпов экономического роста;

·        умножение ставки роялти на ожидаемые доходы для получения показателя прогнозируемой величины роялти за использование бренда;

·        дисконтирование прогнозируемой величины роялти для определения текущего значения будущей прибыли от использования бренда.

Минусом методики оценки бренда компании Brand Financе является засекреченный порядок определения Индекса устойчивости бренда, что не позволяет критически анализировать данный подход. Кроме того, как и все модели оценки, основанные на дисконтировании будущих доходов, методика компании Brand Financе весьма чувствительна к корректности определения ставки дисконтирования, порядок определения которой также не оглашается. Тем не менее, оценки Brand Financе широко используются маркетологами и инвесторами во всем мире, в том числе при планировании интеграционных сделок. Сама компания выделяет следующие достоинства своей методики:

·        метод освобождения от роялти одобрен налоговыми органами и судами, поскольку стоимость бренда рассчитывается на основе операций, зафиксированных третьими сторонами стоимость бренда может быть рассчитана на основе публичной доступной финансовой информации;

·        методика не противоречит требованиям Международных стандартов оценки (International Valuation Standards Authority) и ISO 10668.

Методика компании Interbrand.

Компания Interbrand была основана в 1974 г. для предоставления широкого спектра услуг, связанных с созданием, управлением и оценкой стоимости бренда. С 1989 г. компанией стала применяться собственная методика оценки бренда. Так же, как и методика компании Brand Finance, методика компании Interbrand в 2010 г. была сертифицирована на соответствие требованиям ISO 10668.

При оценке бренда в рамках данной методики учитываются три ключевых аспекта:

·        финансовые результаты от продажи фирменных товаров или услуг;

·        роль бренда в процессе принятия покупателем решения о приобретении данной продукции или услуги;

·        устойчивость бренда.

На первом шаге анализируются финансовые результаты и прогнозируется отдача компании для инвесторов. Этот показатель в рассматриваемой методике называется экономической прибылью (Economic Profit). Финансовые результаты анализируются в пределах пятилетнего горизонта прогнозирования, кроме того, определяется конечная стоимость, которая представляет собой ожидаемое изменение в стоимости бренда за пределами прогнозируемого периода. Сначала вычисляется чистая операционная прибыль, для чего из операционной прибыли вычитаются налоги:

NOPAT = PO −T, (6)

где NOPAT (Net Operating Profit After Tax) - чистая операционная прибыль компании;

PO (Operating Profit) - операционная прибыль компании; T (Tax) - налоги.

Далее из чистой операционной прибыли вычитается капитал, который генерирует доходы от использования бренда:

EP = NOPAT −WAAC·NOPAT, (7)

где EP (Economic Profit) - экономическая прибыль;

WACC (Weighted Average Cost of Capital) - средневзвешенная стоимость капитала.

На следующем шаге вычисляется Индекс роли бренда. Роль бренда определяет решения о покупке без учета таких факторов, как цена или качество. Она отражает спрос на брендовый продукт, который превышает спрос на аналогичный продукт, не имеющий этого бренда. Индекс роли бренда выражается в процентах и определяется одним из трех методов:

•        первичное исследование;

Рассчитанная на первом шаге экономическая прибыль умножается на роль бренда, чтобы определить доходы от использования бренда:

BE = EP·RBI, (8)

где BE (Branded Earnings) - доходы от использования бренда; RBI (Role of Brand Index) - Индекс роли бренда.

На последнем шаге оценивается прочность бренда, которая определяет способность бренда удерживать клиентов и генерировать доходы в будущем. Она определяется по шкале от 0 до 100 на основе оценки по 10 критериям:

•        прозрачность, ясность (для потребителей);

•        выполнение обязательств;

•        защищенность (юридическая);

•        способность реагировать на изменения рынка;

•        соответствие бренда ожиданиям;

•        значимость для клиентов;

•        отличительные черты;

•        охват рынка;

•        хорошая репутация среди потребителей и СМИ;

•        понимание отличительных качеств и характеристик бренда самой компанией.

Устойчивость бренда определяет ставку дисконтирования, применяющуюся для дисконтирования доходов от использования бренда.

Переход от показателя устойчивости бренда к показателю ставки дисконтирования осуществляется по запатентованной компанией формуле, которая держится в секрете. Стоимость бренда определяется по формуле:

BV = BE·BSDR, (9)

где BV (Brand Value) - стоимость бренда;

BSDR (Brand Strength Discount Rate) - ставка дисконтирования, учитывающая прочность бренда.

Минусы методики оценки бренда компании Interbrand те же, что у методики компании Brand Finance: порядок определения ключевых показателей, необходимых для проведения оценки бренда (Индекса роли бренда, ставки дисконтирования), держится в секрете.

Левериджный метод.

Левериджный метод был предложен и внедрен в отечественную оценочную практику В.М. Елисеевым. Леверидж (рычаг) - это параметр, небольшое изменение которого может привести к существенному изменению другого, связанного с ним показателя. Обычно выделяют финансовый леверидж (соотношение заемных и собственных средств предприятия и влияние этого соотношения на чистую прибыль) и операционный леверидж (соотношение постоянных и переменных затрат компании и влияние этого отношения на операционную прибыль). Гудвил в рамках левериджного метода рассматривается как «…прирост (снижение) стоимости активов в результате отклонения фактической рентабельности активов от проектной (среднеотраслевой) величины…». Определяется гудвил по следующей формуле:

gw = ΔApr = ΔNOI / EBIT = ΔApr * LV FIO *Gq, (10)

где gw - гудвил;

ΔNOI - прирост (снижение) величины чистого денежного потока (прибыли);

Gq - снижение (увеличение) объема продаж против проектной величины;

EBIT - проектный (среднеотраслевой) доход до выплаты процентов и налогов;pr - первоначальная (проектная) стоимость активов предприятия;

LV FIO - интегральный леверидж.

По нашему мнению, в этой формуле содержатся существенные ошибки и неточности. Во-первых, абсолютный показатель гудвила не может описываться относительным показателем соотношения двух показателей одной размерности - ΔNOI и EBIT, поэтому анализировать это соотношение не представляется целесообразным и далее будет анализироваться произведение Apr, LVFIO и Gq. Во-вторых, показатели чистого денежного потока и чистой прибыли не тождественны (скорее всего, здесь речь идет о чистой операционной прибыли - Net Operation Income, так как эффект левериджа рассчитывается именно для финансовых результатов, а не денежных потоков). Кроме того, Елисеев не описывает порядок определения последнего множителя -G q, а именно он наиболее важен для определения объема гудвила, так как именно он характеризует операционную синергию, которая может проявиться в результате интеграционной сделки.

Также вызывает вопросы понятие интегрального левериджа, введеное Елисеевым в связи с тем, что «…при рассмотрении действия финансового и операционного рычага, в рамках теории финансового менеджмента упускается один существенный фактор. Дело в том, что на величину чистого денежного потока, помимо операционной и финансовой деятельности в достаточно значительной степени влияет инвестиционная деятельность и, в частности, амортизационная политика…».Елисеев приводит формулу расчета интегрального левериджа.

LVFIO = (EBIT+ FC)/(EBIT - I - DEP), (11)

где FC - постоянные издержки;- издержки по обслуживанию долга (проценты по кредиту);

DEP - подоходный корпоративный налог (в России - налог на прибыль организаций).

На наш взгляд, в предлагаемой формуле также содержится ошибка.

В показателе EBIT (Earnings Before Interest and Taxes) уже учтены амортизационные отчисления, следовательно, поправка на величину налога, связанную с тем, что амортизационные отчисления уменьшают налогооблагаемую прибыль, не является корректной.

Таким образом, у нас сложилось впечатление, что левериджный метод в том виде, в каком он предложен Елисеевым (а именно в таком виде он описывается в отечественных источниках), не может давать качественную оценку гудвила при планировании интеграционных сделок. Сомнения в возможности его применения возникли не только у нас - критика левериджного метода содержится, например, в работах А.М. Сметанина и Е.Е. Яскевича. Тем не менее, сама идея учитывать при оценке гудвила влияние левериджа заслуживает внимательнейшего изучения.

Метод, основанный на модели Эдвардса-Белла-Ольсона (ЕВО).

Модель была представлена в статье профессора Университета Коламбии Дж.А. Ольсона (J.A. Ohlson) «Доходы, балансовая стоимость и дивиденды в оценке ценных бумаг» (Earnings, book values and dividends in securities valuation), опубликованной весной 1995 г. в журнале Contemporary accounting research. В этой статье Ольсон ссылался на основоположников метода определения стоимости компании путем оценки современной стоимости будущих дивидендов, лежащего воснове модели, - Э.О. Эдвардса (E.O. Edwards) и Ф.У. Белла (Ph.W. Bell), поэтому она и получила известность как модель Эдвардса-Белла-Ольсона.

Данная модель основывается на утверждении, что стоимость компании в определенный момент времени складывается из балансовой стоимости чистых активов и дисконтированной стоимости всех будущих «аномальных» (терминология Ольсона, восходящая еще к работам Маршалла) прибылей:

P0 = B0 + PVFAE, (12)

где P0 - текущая стоимость компании;- текущая стоимость чистых активов компании;

PVFAE (Present Value of Future Abnormal Earnings) - текущая стоимость будущих аномальных прибылей.

Таким образом, стоимость компании в модели EBO складывается из так называемого ценового ядра - чистых активов компании и аномальных доходов, формирующихся под действием синергии, т.е. модель сочетает в себе доходный и затратный подходы к оценке бизнеса.

Балансовая оценка чистых активов компании базируется на соотношении чистого прироста (Clean Surplus Relation), которое предполагает изменение стоимости чистых активов под влиянием лишь двух факторов: дивидендов и прибыли. Таким образом:

Bt = Bt-1 + NI t − D t −1, (13)

где D t - сумма дивидендов, начисленных за t-й период; NI t - чистая прибыль за t-й период.

Дивиденды в модели EBO уменьшают балансовую стоимость чистых активов компании без воздействия на дисконтированную стоимость будущих прибылей.

Текущая стоимость будущих аномальных прибылей определяется как дисконтированная стоимость будущих прибылей, уменьшенная на стоимость привлечения капитала (соответственно, компания получает аномальные прибыли, если рентабельность ее активов превышает затраты на капитал):

PVFAEt = ∑(E*(NIt - r*Bt -1)/(1+r)t), (14)

где r - стоимость привлечения капитала (ставка дисконтирования).

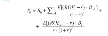
Таким образом, для компании, функционирующей в условиях действия бухгалтерского допущения непрерывности деятельности, ее текущая стоимость определяется по формуле:

P0 = B0 + ∑(E*(NIt - r*Bt -1)/(1+r)t), (15)

где E*(NIt - r*Bt -1) - математическое ожидание аномальных прибылей.

Принимая во внимание, что NI t/ Bt-1 = ROE (рентабельность акционерного капитала в t-м периоде), и произведя замену в формуле 16, получаем:

P0 = B0 + ∑(E*( ROEt - r)Bt -1)/(1+r)t), (16)

Таким образом, чистые активы ежегодно приносят компании прибыль в размере r*Bt− 1 , фактически же компания может получать ежегодную прибыль в размере ROEt*Bt− 1. Разница между ними образуется за счет синергетических эффектов и приводит к образованию гудвила в случае продажи компании. Показатель PVFAEt характеризует величину этого гудвила.

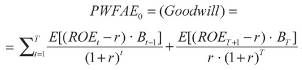
В практике оценщиков, как правило, используется модифицированная модель EBO, отличающаяся конечным горизонтом прогноза и определением постпрогнозной стоимости компании. Причем постпрогнозная стоимость определяется не так, как в традиционных моделях дисконтирования, а путем вычисления разности между рыночной и балансовой стоимостями компании в конце этого периода:

 (17)

где T - период прогнозирования;

ROET+1 - рентабельность авансированного капитала компании в постпрогнозном периоде;

B - стоимость чистых активов компании в конце периода прогнозирования.

При применении подобной модифицированной модели гудвил можно определить так:

, (18)

При планировании интеграционных сделок в величину прогнозируемой рентабельности авансированного капитала может быть заложено влияние потенциальных синергий взаимодействий приобретающей и приобретаемой компаний.

Преимуществом модели EBO является возможность прогнозирования не абсолютного показателя прибыли, а относительного показателя рентабельности авансированного капитала компании. Данные для такого прогноза могут быть взяты из финансовой отчетности компании и соотнесены со среднеотраслевыми. Множественные эмпирические исследования показали, что прогнозы стоимости компании, основанные на применении модели EBO, оказываются более точными, чем прогнозы, основанные на прогнозе дисконтированных денежных потоков (особенно в периоде прогнозирования 2-5 лет).

Однако есть и недостаток: главное допущение, лежащее в основе этой модели, - соотношение чистого прироста - на практике может нарушаться, и виной тому - существующие бухгалтерские стандарты (как российские, так и международные). Дело в том, что величина чистых активов компании может изменяться без изменения прибыли и дивидендов. Например, такое происходит при отражении результатов переоценки внеоборотных активов компании (в отчетности изменяется величина добавочного капитала) или использовании резервного капитала для начисления процентов по выпущенным облигациям.

Резюмируя, следует отметить, что ни один из рассмотренных в настоящем параграфе методов оценки гудвила не является универсальным. Каждый из них имеет как свои достоинства, так и недостатки и должен применяться оценщиком с учетом наличия доступной информации, необходимой для применения конкретного метода, и с разумной осторожностью. Наилучший результат, по видимому, даст подтверждение стоимости гудвила при применении одновременно нескольких методов его оценки, но, это, естественно, обойдется потенциальному покупателю компании дороже. Общим недостатком всех вышеприведенных методов оценки гудвила при планировании интеграционных сделок является рассмотрение гудвила как «черного ящика», т.е. они позволяют лишь с той или иной степенью точности оценить размер гудвила, но не объясняют, за счет чего он создается.

.3 Выявление эффективного метода оценки финансовой репутации

Анализ различных методов оценки деловой репутации (гудвилла) позволил сделать следующий вывод. Наиболее достоверно величину гудвилла отражает метод дисконтированных денежных потоков (ДДП). Он позволяет оценить гудвилл компании - объекта инвестирования в сравнении с величиной гудвилла альтернативных объектов. Такая оценка может служить основанием для принятия инвестиционного решения.

С точки зрения целей инвестирования это наиболее приемлемый метод. Ведь инвестора интересуют не собственно здания, оборудование, кадры организации, а денежный поток - результат использования данных активов. Это следует учитывать и при оценке деловой репутации организации, так как при наличии гудвилла величина её денежного потока превышает среднеотраслевые показатели.

Один из недостатков метода - сложность расчётов. Для построения модели необходимо располагать значительным объёмом детализированной информации. Следует отметить, что при оценке деловой репутации методом ДДП нет необходимости в высокой детализации расчётов, ведь гудвилл - это неосязаемый актив и точная оценка его стоимости невозможна.

Необходимым и достаточным является знание:

·   о наличии или отсутствии деловой репутации;

·        о стоимости деловой репутации (такая информация не может быть абсолютно точной, однако существенные искажения недопустимы).

Таким образом, можно упростить расчёт, учитывая лишь существенные параметры модели ДДП. Для этого применительно к оцениваемой организации анализируется уровень существенности параметров - и в расчётах используются только те, значение которых выше данного уровня.

Принимая во внимание уровень существенности, можно достичь цели анализа с меньшими трудовыми и временными затратами без потери качества.

Для оценки деловой репутации методом ДДП мы предлагаем применить классический алгоритм дисконтирования будущих денежных потоков, но при этом учесть уровень существенности.

Таблица 2.1 - Алгоритмы расчёта оценки деловой репутации методом ДДП

По методике оценки деловой репутации с учётом уровня существенности*

По методике оценки бизнеса А.Г. Грязновой, M.A. Федотовой

1. Выбор типа денежного потока

1. Выбор типа денежного потока;

2. Определение длительности прогнозного периода

2. Определение длительности прогнозного периода

3. Определение уровня существенности


4. Анализ и прогноз существенных доходов

3. Анализ и прогноз доходов

5. Анализ и прогноз существенных расходов

4. Анализ и прогноз расходов

6. Анализ и прогноз существенных инвестиций

5. Анализ и прогноз инвестиций

7. Расчёт величины денежного потока для каждого года прогнозного периода

6. Расчёт величины денежного потока для каждого года прогнозного периода

8. Определение ставки дисконтирования

7. Определение ставки дисконтирования

9. Расчёт величины денежного потока в постпрогнозный период (остаточная)

8. Расчёт величины денежного потока в постпрогнозный период (остаточная)


Мы видим, что на данном этапе алгоритм стал длиннее - он включает в себя оценку уровня существенности и определение существенных параметров. Тем не менее в итоге объём расчётов в модели ДДП можно значительно сократить.

Первый этап - выбор типа денежного потока. Теоретики предлагают два алгоритма расчёта чистого денежного потока (net free cash flows).

Различие между ними заключается в учёте долговых обязательств:

·   в денежном потоке для собственного капитала учитываются изменения платежей по заёмным средствам организации;

·        в бездолговом денежном потоке платежи по заёмным средствам не учитываются.

Соответственно, приступая к построению модели, необходимо решить, какие виды денежных потоков будут использоваться в расчётах. От этого зависит ставка дисконтирования денежных потоков.

Так как метод дисконтирования денежных потоков основывается на перспективных, а не ретроспективных данных, следует разработать прогноз на определённый период, начиная с текущего года. Как правило, расчёт будущих денежных потоков составляется на 5-10 лет в зависимости от целей оценки и конкретной ситуации. Для повышения точности результата допускается дробление длительных периодов на полугодия, кварталы.

Далее следует определить уровень существенности, который будет применяться в модели оценки. В доступных нам источниках понятие существенности не применяется к оценке деловой репутации с целью принятия инвестиционных решений. Мы воспользуемся терминологией и методологией аудита.

Сравнение методологии расчёта уровня существенности по применяемому в Российской Федерации стандарту «Существенность в аудите» и по международному стандарту аудиторской деятельности International Standard on auditing 320 (ISA 320) доказывает преимущество последнего. Для расчёта уровня материальности (существенности) ISA 320 использует одну статью отчётности. В российском стандарте учитываются несколько статей. Выбор статьи отчётности согласно международному стандарту основывается на профессиональном суждении. В зависимости от условий функционирования конкретной организации используются следующие статьи отчётности: прибыль до налогообложения, выручка, валовая прибыль, расходы организации, чистые активы.

Чаще всего прибыль до налогообложения используется в расчётах коммерческих организаций. Следует учесть, что этот показатель значительно варьируется от периода к периоду в отличие, например, от выручки и валовой прибыли - более подходящих для расчёта уровня существенности.320 не позволяет установить чёткую зависимость уровня материальности от выбранного показателя - статьи отчётности. Выбор соответствующего процента, используемого в расчётах, должен основываться на профессиональном суждении.

Преимущества описанного метода:

Возможность выбора интервала значений процентов позволяет применить индивидуальный подход к каждой оцениваемой организации.

В расчёте отражается одна статья отчётности - наиболее важная с точки зрения внутренних, внешних условий деятельности организации и, главное, с точки зрения индивидуальных интересов инвестора. При этом уровень существенности не «размывается» прочими статьями, которые не влияют на инвестиционное решение, так как неинтересны инвестору в рамках данного проекта.

Далее анализируются и прогнозируются доходы, расходы инвестиционной деятельности организации с учётом рассчитанного уровня существенности. При анализе доходов следует обратить внимание на следующие индикаторы:

·        прогноз объёмов производства и цены на сырьё,

·        степень загрузки производственных мощностей,

·        соотношение экспортной продукции и продукции, реализуемой на внутреннем рынке,

·        темпы роста в остаточный период,

· общеэкономические перспективы,

·        перспективы отрасли;

·        спрос на товары (услуги), предлагаемые оцениваемой организацией;

·        перспективы изменения ценовой конъюнктуры на товары (услуги), предлагаемые оцениваемой организацией;

·        темпы роста деятельности организации в прошлом;

·        планы менеджмента и прочее.

При анализе расходов необходимо учесть следующее:

·        тенденции допрогнозного периода;

·        соотношение постоянных (fixed cost) и переменных (variable cost) издержек;

·        инфляционные ожидания для каждой статьи расходов;

·        значительные статьи расходов, специфичные для ситуации, которая возникла в прошлые периоды, но, вероятнее всего, не повторится в будущем;

·        необходимость включения процентных расходов в модель денежного потока;

·        необходимость исключения процентных расходов из модели бездолгового денежного потока.

Для повышения обоснованности используемых величин расходов рекомендуется сравнить данные оцениваемой организации с данными аналогичных компаний или со среднеотраслевыми показателями и т. д.

Так, анализируя каждый вид доходов и расходов, необходимо учитывать уровень существенности. Например, если доля экспортной продукции в общем объёме несущественна, при расчётах можно не принимать её во внимание.

Также следует провести инвестиционный анализ, т. е. оценить следующие данные:

- необходимость капиталовложений в течение прогнозного периода: в замену изношенных основных средств, в приобретение и строительство объектов основных средств для расширения (поддержания, модернизации) производственных мощностей организации;

собственный оборотный капитал;

- изменение величины долгосрочной задолженности (кредитов и займов) и т. п.

После прогнозирования величин будущих денежных потоков необходимо проанализировать совокупность несущественных параметров, которые были исключены из расчёта. Следует оценить, является ли совокупность указанных параметров существенной для модели. Если нет, то можно продолжить расчёт. Если же данные параметры существенны, их сумму нужно снизить до несущественной, последовательно добавляя в модель наиболее крупные по сумме исключённые параметры.

После анализа несущественных параметров рассчитывается величина денежного потока для каждого года прогнозного периода.

Следующий важный этап в методе дисконтирования денежных потоков

–        определение ставки дисконтирования. При этом ставка дисконтирования должна соответствовать типу потока:

—   если речь идёт о денежном потоке для собственного капитала, ставка дисконтирования определяется с помощью модели оценки капитальных активов либо методом кумулятивного построения;

—    для бездолгового денежного потока необходимо использовать средневзвешенную стоимость капитала (WACC);

—   для реального денежного потока ставка дисконтирования должна включать фактор инфляции;

—   если рассматривается номинальный денежный поток, необходимо исключить фактор инфляции.

Следует отметить, что при расчёте ставки дисконтирования нужно использовать классический алгоритм без учёта уровня существенности параметров, входящих в расчёт. Такой подход обусловлен высокой чувствительностью модели дисконтирования денежных потоков к ставке дисконтирования, ведь малейшее искажение ставки дисконта может привести к неверной оценке деловой репутации и, следовательно, к принятию неверного инвестиционного решения.

Существует несколько методов определения ставки дисконтирования для оценки гудвилла организации.(weighted average cost of capital) - средневзвешенная стоимость капитала. Это ставка минимального возврата средств на вложенные в деятельность финансовые либо нефинансовые ресурсы. Данный метод расчёта ставки дисконтирования необходимо использовать для бездолгового денежного потока. WACC рассчитывается следующим образом:

WACC = Ks × Ws + Kd × Wd × (1 − T), (19)

где Ks - стоимость собственного капитала, %; Ws - доля собственного капитала, %;- стоимость заёмного капитала, %; Wd -доля заёмного капитала, %;- ставка налога на прибыль, %.

Соответственно, суммарно доля собственного капитала и доля заёмного капитала должны равняться 100 %.

Достоинство данного метода состоит в простоте расчётов. Однако он применим только для работы с публичными компаниями.(capital assets pricing model) - модель оценки финансовых активов. Данный метод основывается на допущении, что, размещая капитал в рисковые активы, инвесторы ожидают дополнительного вознаграждения за риск. В таких случаях экономисты говорят о «неприятии риска» (risk aversion). Итак, согласно CAPM, доход на рисковые активы равняется доходу по безрисковым активам плюс премия за риск. Она представляет собой функцию изменения цены инвестиционного актива за определённый период в отношении к изменениям рынка в целом за тот же период.build-up method - метод кумулятивного построения. Данный метод учитывает различные риски инвестирования в конкретную организацию. Здесь ставка дисконтирования равна сумме безрисковой ставки и премий за риски. Сумму премий (надбавок), компенсирующих риски, определяют следующие факторы:

—   ключевая фигура в руководстве;

—      качество управления компанией;

—      размер компании;

—      финансовая структура (источники финансирования);

—      товарная, территориальная и производственная диверсификация;

—      диверсификация потребителей;

—  рентабельность и прогнозируемость прибыли;

—      прочие риски.

Определённая специалистом существенность каждого из описанных рисков (значение - от 0 % до 5 %) прибавляется к безрисковой ставке доходности. Таким образом мы получаем ставку дисконтирования для оцениваемого объекта инвестирования.

Достоинство данного метода - простота расчётов. Однако субъективность определения премии за риск по каждому из риск-факторов может исказить результаты оценки гудвилла и стать причиной неверного инвестиционного решения.

Определив ставку дисконтирования, необходимо рассчитать величины денежного потока в постпрогнозный период, т. к. по окончании периода прогнозирования организация продолжит работу. Величину такого денежного потока можно рассчитать следующими способами:

1)  по модели Гордона;

2)   методом предполагаемой продажи (пересчёт денежного потока на конец прогнозного периода с помощью специальных коэффициентов);

3)    по стоимости чистых активов: в качестве остаточной стоимости принимается ожидаемая остаточная стоимость активов на конец прогнозного периода (метод не подходит для рентабельной действующей организации);

4)   по ликвидационной стоимости: в качестве остаточной стоимости принимается ожидаемая ликвидационная стоимость активов на конец прогнозного периода (используется для организаций, которые прекращают свою деятельность).

Первые два метода основаны на следующих допущениях:

—  в остаточный период величины износа и капиталовложений равны;

—   прогнозный период длится до тех пор, пока не стабилизируются темпы роста организации;

—  в остаточный период должны сохраняться стабильные долгосрочные темпы роста.

Для определения остаточной стоимости действующего рентабельного предприятия подходит модель Гордона. В этом случае необходимо получить следующие данные:

произведение денежного потока в последний год прогнозного периода и долгосрочного темпа роста;

разность ставки дисконтирования и долгосрочного темпа роста;

частное от деления результатов первого и второго этапов расчёта.

Далее рассчитывается текущая стоимость денежных потоков в период прогнозирования и постпрогнозный период, а также их сумма. Затем нужно сделать заключительные поправки:

—    из расчётной стоимости организации вычитаются расходы по природоохранным обязательствам;

—   так как модель дисконтирования денежных потоков предполагает оценку активов, относящихся к операционной деятельности, неоперационные активы оцениваются отдельно, затем результат прибавляется к рассчитанной стоимости организации.

Далее из полученного результата вычитается стоимость чистых активов. Если величина текущих денежных потоков превышает чистые активы, можно сделать вывод о наличии деловой репутации, которой и объясняется разница. Основываясь на этих данных, можно принимать решение об инвестировании.

Итоговая формула расчёта величины гудвилла выглядит следующим образом:

NPV = ∑ CF/(1+ k)t - NA, (20)

где NPV (net present value) - чистая текущая стоимость, руб.; CF - денежный поток (cash flow), руб.;- чистые активы (net assets), руб.;- период поступлений денежных средств, лет; k - ставка дисконтирования, %;- период прогнозирования, лет.

Следует отметить, что, по нашему мнению, необходимо округление расчётной стоимости величины деловой репутации. Некорректно с точностью, например, до десятков тысяч рублей называть инвестору расчётную стоимость гудвилла, так как его неосязаемость исключает возможность точной оценки. Соответственно, необходимо округлить стоимость деловой репутации с учётом уровня существенности.

Наряду с количественной оценкой гудвилла важное значение имеет качественная оценка.

Качественными составляющими деловой репутации являются:

·        эффективное взаимодействие со стейкхолдерами;

·        прозрачность и достоверность финансовой отчётности;

·                      внедрение принципов высокой корпоративной культуры и корпоративного управления;

·        квалификацированный персонал;

·        эффективность бизнес-процессов;

·        постоянное обновление техники и технологии;

·        PR, рекламные акции, брендинг и пр.

Учитывая уровень существенности для оценки деловой репутации методом дисконтированных денежных потоков можно достичь следующих результатов:

·        снизить сложность и объём расчётов;

·        повысить качество входящих данных модели оценки, так как анализируется существенность для конкретного инвестора каждого параметра (статьи отчётности);

·        повысить уровень достоверности стоимости деловой репутации, при том что высокая степень детализации цифровых значений неприемлема для нематериального актива.

Однако, применяя предложенную модель, следует учитывать и её слабые стороны. Показатели, способные в совокупности серьёзно повлиять на принятие инвестиционного решения, могут быть оценены как несущественные. Таким образом, есть риск упущения существенных параметров модели.

Корректный сравнительный анализ объектов инвестирования требует проведения оценки уровня существенности для каждой из сравниваемых организаций. В противном случае результаты оценки могут быть искажены.

.4 Пути повышения финансовой репутации предприятия

Согласно и международным, и российским стандартам учета деловая репутация относится к нематериальным активам, однако данный объект учета обладает особенностью, отличающей его от других нематериальных активов - деловая репутация не может существовать отдельно от компании, она не может быть самостоятельным объектом сделки, поскольку не принадлежит компании на правах собственности. Можно сформулировать несколько основных факторов, способствующих повышению деловой репутации, которые приведены в табл. 2.2.

Таблица 2.2 - Факторы, способствующие повышению деловой репутации

Факторы

Содержание

1 Миссия и стратегия компании

Позволяют компаниям быть узнаваемыми среди конкурентов, что в свою помогают ее выделить среди остальных

2 Особенности компании, которые очередь способствует их устойчивому положению на рынке


3 Качество продукции и оказываемых услуг

Является ключевым показателем, который помогает заслужить доверие существующих клиентов и привлечь в короткие сроки новых

4 Доверие

Характеризует надежность компании и помогает укрепить ее деловую репутацию

5 Прозрачность

Увеличивает число заинтересованных сторон (клиенты, инвесторы, акционеры, поставщики и др.)

6 Знания и квалификация сотрудников

Помогает привлечь клиентов, партнеров, инвесторов, акционеров, квалифицированных сотрудников и дает представление о надежности компании

7 Соблюдение законодательства

Позволяет судить о компании как о честной и добросовестной

8 Этика отношений

Позволяет выстроить долгосрочные отношения и дает представление о компании, как надежной и добропорядочной

9 Корпоративное управление

Высокий уровень корпоративной культуры, осведомленность персонала о рисках позволяют привлечь сотрудников, в том числе высококвалифицированных

10 Благотворительность

Позволяют создать компании положительный образ и судить о ней как о надежной, исполняющей свои обязательства и прибыльной

11 Защита окружающей среды



Наряду с этим существуют основные факторы, которые оказывают негативное влияние на деловую репутацию российских компаний (рис. 6).

Рисунок 6. Факторы, оказывающие негативное влияние на деловую репутацию организации

Различие деловой репутации от других нематериальных активов в том, что она нераздельно связана с определенным предприятием, т.е. её нельзя передать во временное пользование, продать или учитывать отдельно от предприятия, она имеет ценность в комплексе со всеми ее составными частями - имуществом, капиталом, менеджментом.

Важным фактором формирования деловой репутации является время. Репутация может служить источником конкурентных преимуществ только при условии ее долгосрочности. В основе управления деловой репутацией лежит разработка стратегии и ее реализация. Стратегия развития фирмы и миссия компании состоит в том, что необходимо побуждать менеджмент оценивать свою политику в свете ожиданий участников бизнеса. Стратегия - это комплекс принимаемых менеджментом решений по размещению ресурсов предприятия и достижению долговременных конкурентных преимуществ на целевых рынках.

Стратегия предприятия должна соответствовать рыночному окружению. Организация системы стратегического планирования на предприятии жизненная необходимость, так как внешняя среда меняется настолько быстро, что одних только оперативных мер высшего менеджмента по адаптации предприятия к новым реалиям уже недостаточно. Предприятие без ясной и эффективной стратегии развития - это не бизнес, а набор активов, отягощенных обязательствами. Для того чтобы не только выжить, но и усилить свои конкурентные позиции на рынке, необходимо заниматься стратегическим планированием на профессиональном уровне.

Каждое предприятие выбирает свой собственный целевой рынок, разрабатывает свой набор товаров и услуг и принимает свои решения в области технологии, структуры и процесса управления.

Любое уважающее себя предприятие заинтересовано в более четком позиционировании на рынке, в создании положительной деловой репутации. Разработка стратегии по управлению деловой репутации представлено на рис. 7.

Рисунок 7. Разработка стратегии управления деловой репутацией предприятия

1 Этап. Маркетинговые исследования включают:

●  Исследования состояния рынка. Оценка деловой репутации компаний лидеров.

●  Оценка текущего состояния. Оценка деловой репутации предприятия.

●     Анализ конкурентов и конкурентоспособности предприятия. Выявление совпадающих факторов, влияющих на деловую репутацию.

●    Сегментация рынка. Определение наиболее значимых факторов, например "открытость, прозрачность бизнеса ", " этичность ведения бизнеса", "репутация топ - менеджеров", " социальная ответственность бизнеса" и др.

●   Разработка позиционирования, то есть определение преимуществ предприятия по сравнению с конкурентами, например как социально - ответственное или выполняющее договорные обязательства и т.д.

●   Предварительная экономическая оценка стратегии и определение инструментов контроля.

2 Этап. Разработка альтернативных стратегий:

●  Формирование альтернатив использования возможностей.

●       Формирование альтернатив устранения угроз внешней среды.

●   Формирование альтернатив сохранения и использования сильных сторон предприятия.

●  Формирование альтернатив устранения слабых сторон предприятия.

●   Качественный анализ стратегических альтернатив с учетом степени риска и фактора времени.

3 Этап. Выбор стратегии:

●     Выбор стратегических альтернатив с учетом ограниченности ресурсов предприятия, поставленных целей и обязательной увязки с системой планирования.

●    Конкретизация выбранных стратегических альтернатив в виде целевой программы с конкретными сроками реализации, результатом может быть переосмысление цели развития и появление нового взгляда на проблемы.

Выбранная стратегия определяет направления деятельности предприятия по созданию положительной деловой репутации, что раскрыто на рис. 8.

Рисунок 8. Реализация стратегии управления деловой репутацией предприятия

Создание нематериальной стоимости ─ это, прежде всего инвестиции предприятия в деятельность по созданию конкурентных преимуществ, используя нематериальные активы, которые в дальнейшем могут рассматриваться как финансовый результат от инвестиций в НИОКР, программное обеспечение, продвижение бренда компании и т. д.

Коммуникации ─ изучение и выявление целевых групп предприятия, как главный этап, закладывающий фундамент формирования деловой репутации. Постепенно с течением времени, в сознании целевых групп, складывается коллективное мнение о предприятии на основе экспертной оценки экономического, экологического и социального аспектов его деятельности:

●     Оценка реакции целевых аудиторий ─ акционеры ожидают прибыльности капиталовложений;

●       инвесторы - дохода от вложенного капитала; кредиторы - своевременной выплаты по кредиту;

●       поставщики - гарантированной выплаты полагающей им суммы; клиенты - заявленного качества;

●       продуктов и услуг; партнеры - выполнения обязательств; регулирующие органы - следовании;

●       существующим регламентам и законам; местные сообщества - поддержки своих интересов;

●       сотрудники - адекватной и своевременной компенсации, достойных условий труда.

●   Оценка стоимости деловой репутации ─ количественные методы определяют стоимость строго аналитически и позволяют выявить числовую закономерность влияния динамики конкретных финансово - экономических показателей на оценку деловой репутации, к ним относятся метод избыточной прибыли, квалиметрический метод, метод бухгалтерский и другие. На практике большее применение получили качественные методы ─ метод социологических опросов, статистический метод и метод экспертных оценок.

●Защита деловой репутации ─ защита деловой репутации предприятий может быть реализована только в гражданском порядке, это может быть суд общей юрисдикции, арбитражный суд, третейский суд или в административном порядке.

Стратегическое управление деловой репутацией предприятия обеспечивает долговременное устойчивое развитие, формирует репутационный капитал. Репутационный капитал предприятия можно определить как стоимостное выражение набора убеждений и ощущений, которые предприятие вызывает у целевых аудиторий. Репутационный капитал формируется в результате взаимодействия внутренней и внешней среды деятельности предприятия и является одним из механизмов увеличения прибыли предприятия.

Рисунок 9. Основные этапы стратегического управления репутационным капиталом

Этап 1. Создание модели стоимости репутационного капитала.

Для того чтобы вывести предприятие на принципиально новый уровень эффективности необходимо получить достоверную информацию о том, что происходит на предприятии. На этом этапе проводится диагностика бизнес - процессов, распределение ответственности, централизованная координация работ, оценка инфраструктуры, оценка деловой репутации.

Этап 2. Формирование репутационного капитала.

На этом этапе разрабатывается среднесрочная и долгосрочная стратегия развития, и максимизация стоимости репутационного капитала предприятия. Проводится оценка потенциала роста стоимости, оценка экономической эффективности различных альтернативных стратегий роста стоимости и осуществляется выбор оптимальной стратегии. Стратегия развития включает в себя формирование деловой репутации по всем направлениям деятельности предприятия.

Этап 3. Бюджетирование стоимости.

На этом этапе утверждается программа формирования целевых показателей увеличения рыночной стоимости компании на определенные периоды.

Этап 4. Реализация стратегии.

На данном этапе происходит реализация разработанной стратегии и осуществление комплекса управленческих действий, направленных на достижение ключевых показателей стоимости компании.

Этап 5. Отчетность о стоимости репутационного капитала.

Отчетность о стоимости репутационного капитала должна отражать анализ результатов, оценку факторов, за счет которых была повышена рыночная стоимость предприятия. На базе данных отчетов проводится корректировка оценочных моделей, проводится системный и циклический процесс самообучения предприятия в управлении стоимостью репутационного капитала.

Построение деловой репутации и управление ею - это непрерывная комплексная работа, являющаяся следствием грамотно разработанных действий, коммуникаций и внутренней философии предприятия. Потерять репутацию в условиях рыночных отношений, это значит поставить бизнес под угрозу полного крушения.

3. Механизмы повышения финансовой репутации и их использование в практике китайской компании Jingdong


.1 Разработка мероприятий по повышению репутации китайской компании Jingdong

ведущая в Китае интернет-компания прямых продаж и крупнейшая в стране Интернет-компания по объему выручки с долей рынка в Китае 56,9%.осуществляет свои продажи через интернет - сайт www.jd.com и мобильное приложение, предлагая широкий выбор оригинальных товаров по низким ценам, которые доставляются оперативным и надежным способом. Также на сайте существуют удобные онлайн варианты оплаты и комплексное обслуживание клиентов.

Онлайн прямых продаж электронных продуктов, в том числе бытовой техники, составляет большую часть совокупных чистых доходов компании.

Электроника и бытовая техника, продаваемые на сайте, составила 82,2%, 81,9% и 79,0% от общей чистой выручки в 2013 году, 2014 и 2015 годах, соответственно.

JingdongIn сталкивается с серьезной конкуренцией со стороны интернет - продавцов электроники, например Suning Appliance Company Limited (suning.com). Таким образом, сфера розничной торговли онлайн в Китае находиться в условиях жесткой конкуренции. Усиление конкуренции может привести к снижению, доли рынка и узнаваемости бренда, или привести к значительным потерям.

Будущие результаты деятельности JingdongIn зависят от целого ряда факторов, влияющих на развитие интернет-индустрии розничной торговли в Китае, который находятся вне контроля компании. Эти факторы включают в себя:

·        рост Интернета и широкополосного доступа, рост уровня проникновения мобильной связи, и скорость любого такого роста;

·        уровень доверие к интернет-розничным компаниям в Китае, а также изменения в демографической ситуации клиентов и потребительских вкусов и предпочтений;

·        цена и популярность продуктов, которые предлагаются онлайн;

·        альтернативные каналы розничной торговли или бизнес-модели, которые смогут лучше удовлетворять потребности потребителе

·        разработка других вспомогательных услуг, связанных с онлайн- покупок.

Кроме того, розничная отрасль очень чувствительна к изменениям макроэкономических показателей, и имеет тенденцию к снижению в течение кризисных периодов. Многие факторы влияния на Jingdong находятся вне контроля, включая волатильность фондовых рынков и рынков недвижимости, процентные ставки, налоговых ставок и других направлений государственной политики, уровень безработицы может негативно сказаться на доверии потребителей и расходов, что в свою очередь существенно и негативно влияют на рост и рентабельность. Неблагоприятные события во внутренней и международной политике, в том числе военных конфликтов, политической нестабильности и социальной нестабильности, также может негативно сказаться на доверии потребителей и сократить расходы, что в свою очередь может существенно и негативно влияют рост и прибыльность.

С целью минимизации риска, JingdongInc рекомендуется постоянно диверсифицировать предложения путем включение широкого спектра категорий товаров общего назначения, в том числе:

·        косметика и другие предметы личной гигиены;

·        продукты питания, напитки, пищевые добавки;

·             книги, музыка, фильмы и других средств массовой информации продукции.

По состоянию на 31 декабря 2015 года насчитывалось более 60 000 сторонних продавцов на #"905075.files/image012.gif">

Рисунок 10. Прогнозные значения выручки Jingdong

Помимо это, предприятие сможет оптимизировать операционные издержки и снизить их долю до 97% в выручке (табл. 3.2).

Таблица 3.2 - Расчет среднего значения удельного показателя операционных издержек в выручке

Показатель

2011

2012

2013

2014

2015

Выручка, тыс. руб.

199415651

219357216

241292937

265422231

291964454

Значение удельного веса операционных издержек в выручке, %

97

Операционные издержки, тыс. руб.

(193433181)

(212776499)

(234054149)

(257459564)

(283205520)


Прогнозирование прочих доходов и расходов осуществляется на основе среднего темпа роста данных статей.

С учетом обоснования отдельных показателей консолидированного отчета о финансовых результатах, построим прогноз чистой прибыли в таблице 3.3.

Таблица 3.3 - Прогноз выручки и чистой прибыли тыс. руб.

Показатель

2016

2017

2018

2019

2020

Выручка

199415651

219357216

241292937

265422231

291964454

Операционные издержки

(193433181)

(212776499)

(234054149)

(257459564)

(283205520)

% операционных издержек в выручке

97%

Операционная прибыль

5982470

6580716

7238788

7962667

8758934

Проценты к уплате

(84157)

(85840)

(87557)

(89308)

(91094)

Прочие доходы

423299

431765

440400

449208

458192

Прочие расходы

(3602368)

(3962605)

(4358865)

(4794752)

(5274227)

EBT (Прибыль до налогообложения)

2719243

2964036

3232766

3527815

3851805

Налог на прибыль

543849

592807

646553

705563

770361

Ставка налога на прибыль

20%

20%

20%

20%

20%

NI

2175395

2371229

2586213

2822252

3081444


Согласно предоставленной стратегии повышения деловой репутации Jingdong, планируются обновление основных фондов:

в 2016 году: 3 194 392 тыс. руб.

в 2017 году: 3 226 336 тыс. руб.

в 2018 году: 3 258 599 тыс. руб.

в 2019 году: 3 291 185 тыс. руб.

в 2020 году: 3 324 097 тыс. руб.

Также, согласно предоставленной стратегии, предприятие увеличит нематериальные активы.

Прогноз амортизации осуществляется на основе оборотных ведомостей по счету «Амортизация ОС» и «Амортизация нематериальных активов» с учетом планируемых капиталовложений. Амортизация начисляется линейным способом. Норма амортизационных отчислений определена для каждой группы планируемых приобретённых основных средств и нематериальных активов. Свод расчётов представлен в таблице 3.4.

Таблица 3.4 - Прогнозирование основных средств, нематериальных активов, D&A, CAPEX .,тыс. руб.

Показатель

2016

2017

2018

2019

2020

Нематериальные активы

4737585

4263826

3837444

3453699

3108329

Основные средства (с учетом капиталовложений)

10694493

12912345

15098944

17251437

19367592

Амортизация по нематериальным активам

473758

426383

383744

345370

310833

Амортизация по ОС

534725

645617

754947

862572

968380

D&A всего

1008483

1072000

1138692

1207942

1279213

CAPEX

3194392

3226336

3258599

3291185

3324097


Следующим элементом денежного потока является собственный оборотный капитал.

При прогнозировании статей оборотных активов, необходимо учесть следующее:

-       прогноз дебиторской задолженности осуществляется на основе коэффициента оборачиваемости дебиторской задолженности и находится отношением выручки к оборачиваемости дебиторской задолженности.

-        прогноз запасов осуществляется на основе коэффициента оборачиваемости запасов и находится отношением себестоимости к оборачиваемости запасов.

-       прогноз кредиторской задолженности осуществляется на основе коэффициента оборачиваемости кредиторской задолженности и находится отношением операционных издержек к оборачиваемости кредиторской задолженности.

Элементы чистого оборотного капитала, подлежащие моделированию, представлены в таблице 3.5.

Таблица 3.5 - Элементы чистого оборотного капитала, подлежащие моделированию, тыс. руб.

Наименование

2015

2016П

2017П

2018П

2019П

2020П

Дебиторская задолженность

10994725

11730332

12903366

14193702

15613072

17174380

Оборачиваемость ДЗ

16,49

17,00

17,00

17,00

17,00

17,00

Запасы

20539543

20361387

22397526

24637279

27101007

29811107

Оборачиваемость запасов

-

10

10

10

10

10

Прочие активы

26933825

26933825

25048457

23044581

20970568

18663806

Кредиторская задолженность

3040209

2975895

3273485

3600833

3960916

4357008

Оборачиваемость КЗ

65

65

65

65

65

65

Общая величина изменений NWC

55427884

56049650

57075864

58274729

59723731

61292285

Изменение NWC

(21849858)

(621766)

(1026215)

(1198864)

(1449003)

(1568554)


Безрисковая ставка дохода определяется, как правило, исходя из ставки доходов по долгосрочным правительственным облигациям. В качестве безрисковой ставки была выбрана средневзвешенная процентная ставка доходности облигаций федерального займа (ОФЗ) по итогам торгов на дату оценки (сроком до погашения 30 лет). Данный индикатор составил на дату оценки 8,7%,

- коэффициент составляет 0,98%.

Бета- коэффициент принят по данным справочника расчетных данных для оценки и консалтинга, в котором определены средние значения бета по основным отраслям экономики РФ.

Определена на основе усреднённой оценки на глобальном рынке авиационной отрасли и составляет 7%,

Дополнительная норма дохода за риск инвестирования в конкретную компанию составляет 3%.

Страновой риск уже учтен в безрисковой ставке и характеризуют уровень риска для инвестиций в Российскую экономику.

Таблица 3.6 - Расчет рыночной стоимости, тыс. руб.

Наименование

2016

2017

2018

2019

2020


1

2

3

4

5

NI

2175395

2371229

2586213

2822252

3081444

D&A

1008483

1072000

1138692

1207942

1279213

ΔNWC

(621766)

(1198864)

(1449003)

(1568554)

CAPEX

(3194392)

(3226336)

(3258599)

(3291185)

(3324097)

ΔD

3194392

3226336

3258599

3291185

3324097

FCFE (свободный денежный поток на собственный капитал)

3805644

4469444

4923769

5479196

5929210

Ставка дисконтирования (CAMP)

18,56%

Фактор дисконтирования

0,84

0,71

0,60

0,51

0,43

Текущая стоимость будущих FCFE (PVFCFE)

3264965

3289686

3109203

2968375

2755809

Сумма текущих стоимостей будущих FCFE

15388037

Текущая терминальная стоимость

25031139

Рыночная стоимость акционерного капитала

40419176


Рыночная стоимость Jingdong, полученная в рамках доходного подхода, по состоянию на 31.12.2015 г. составляет 40 419 176 руб.

Рыночная стоимость чистых активов Jingdong, по состоянию на 31.12.2015 г. составляет 37 498 067 тыс. руб.

Тогда стоимость деловой репутации определятся как разница между рыночной стоимостью Jingdong, полученная в рамках доходного подхода, и стоимостью чистых активов по состоянию на 31.12.2015 г.:

419 176 руб. - 37 498 067 тыс. руб. = 2 921 109 тыс. руб.

Балансовая стоимость деловой репутации по состоянию на 31.12.2015 г. 29050 тыс. руб.

Балансовая стоимость деловой репутации по состоянию на 31.12.2015 г. 2623470 тыс. руб.

Превышенные стоимости деловой репутации после проведения мероприятий над стоимостью до их проведения свидетельствует о целесообразности выбранной политики в развитии деловой репутации.

Заключение

гудвил финансовый прибыль рыночный

Деловая репутация - это целостное представление о компании как субъекте определенного вида деятельности, которое складывается из восприятия и оценки результатов и последствий этой деятельности различными заинтересованными лицами и контактными группами.

Основные составляющие деловой репутации могут вызывать различные реакции во внешней среде, связанные с их принятием или отрицанием. Это обусловлено тем, что разными контактными группами рассматриваются различные факторы, влияющие на репутацию. Так, для инвесторов в качестве оценки деловой репутации могут выступать открытость и прозрачность компании, динамика ее развития, уровень корпоративного управления, возможность обеспечения требуемой нормы доходности вложенных средств.

Гудвил занимает далеко не последнее место и в системе критериев оценки инвестиционной привлекательности компании, поскольку он выражается в конкурентных преимуществах, позволяющих ей получать прибыли выше среднеотраслевых.

Совершенно неверно рассматривать гудвил как узкую бухгалтерскую категорию, как продукт процедуры бухгалтерского учета, гудвил - это исключительно важная рыночная категория, которая является индикатором финансового положения компании с позиции разных групп заинтересованных пользователей - как с позиции оценки эффективности работы топ-менеджмента компании, так и с позиции оценки инвестиционной привлекательности.

Наиболее достоверно величину гудвилла отражает метод дисконтированных денежных потоков. Он позволяет оценить гудвилл компании - объекта инвестирования в сравнении с величиной гудвилла альтернативных объектов. Такая оценка может служить основанием для принятия инвестиционного решения.

Построение деловой репутации и управление ею - это непрерывная комплексная работа, являющаяся следствием грамотно разработанных действий, коммуникаций и внутренней философии предприятия. Потерять репутацию в условиях рыночных отношений, это значит поставить бизнес под угрозу полного крушения.ведущая в Китае интернет-компания прямых продаж и крупнейшая в стране Интернет-компания по объему выручки с долей рынка в Китае 56,9%.сталкивается с серьезной конкуренцией со стороны интернет - продавцов электроники, например Suning Appliance Company Limited (suning.com). Таким образом, сфера розничной торговли онлайн в Китае находиться в условиях жесткой конкуренции. Усиление конкуренции может привести к снижению, доли рынка и узнаваемости бренда, или привести к значительным потерям.не обладает эффективной системой контроля над условиями хранением и доставкой продуктов, продаваемых на http://www.jd.ru сторонними продавцами. Все это, повышает риск предоставления некачественной продукции или системы обслуживания клиента. Все это может оказать негативное влияние на репутацию компании.

В связи с чем, предприятию рекомендуется направить значительные усилия на создания эффективной системы контроля за сторонними продавцами, которая должна включать следующие элементы.

Во - первых, должны быть реализованы меры по выявлению и сокращению возникновения мошеннических действий со стороны сторонних продавцов. Должна быть внедрена система, идентифицирующая сторонних продавцом в более подробном контексте, чем на текущую дату.

Также необходимо создать отдел по контролю за качеством предоставляем товаров сторонними продавцами.

Для того, чтобы оставаться конкурентоспособными, необходимо продолжать расширять и улучшать функциональность и возможности веб-сайта и мобильных приложений.

Также JingdongIn должно уделять особое внимание поддержанию и совершенствованию эффективной структуры затрат и создания стимулов для поставщиков, чтобы предоставить конкурентоспособные по цене товары.

Продолжение широкого перечня скидок, включая ежедневные акции для отдельных видов продукции в течение ограниченного периода времени. Специальные акции привлекают клиентов и являются дополнительным стимулом, чтобы регулярно посещать сайт.

Создание пятиуровневой системы членства клиентов, которая стимулирует дополнительные продажи, также сможет повысить деловую репутацию компании. Пользователи получают ряд преимуществ, которые увеличиваются с уровнем, например, расширенного свободного доступ к специальному VIP - обслуживанию клиентов горячей линии.рекомендуется постоянно реализовывать меры безопасности, включая технологию шифрования, чтобы защитить собственные данные и информацию о клиентах.рекомендуется разработать различные финансовые продукты, включая финансирование цепочек поставок и микрокредитование, в качестве дополнительных услуг, которые можно предоставить поставщикам и сторонних продавцам на интернет-рынке, а также финансирование потребителей.

Стоимость деловой репутации определятся как разница между рыночной стоимостью Jingdong, полученная в рамках доходного подхода, и стоимостью чистых активов по состоянию на 31.12.2015 г. и составляет 2 921 109 тыс. руб.

Превышенные стоимости деловой репутации после проведения мероприятий над стоимостью до их проведения свидетельствует о целесообразности выбранной политики в развитии деловой репутации.

Литература

1. Абдикеев Н.М. Управление знаниями корпорации и реинжиниринг бизнеса: Уч. / Н.М. Абдикеев, А.Д. Киселев; Под науч. ред. Н.М. Абдикеева. - М.: ИНФРА-М, 2013. - 382с.

. Агарков А.П. Экономика и управление на предприятии: Учебник для бакалавров / А.П. Агарков, Р.С. Голов, В.Ю. Теплышев и др.; под ред. д.э.н., проф. А.П. Агаркова. - М.: Издательско-торговая корпорация «Дашков и К°», 2013. - 400с.

. Анисимов Ю.П. Теория и практика инновационной деятельности: Учеб. пособие / Ю.П. Анисимов, Ю.В. Журавлёв, С.В. Шапошникова. - Воронеж: Воронеж, гос. технол. акад, 2010. - 540с.

. Антонов Г.Д. Управление конкурентоспособностью организации: Учебное пособие / Г.Д. Антонов, В.М. Тумин, О.П. Иванова. - М.: НИЦ ИНФРА-М, 2014. - 300с.

. Бороненкова С.А. Комплексный финансовый анализ в управлении предприятием: Учебное пособие / С.А. Бороненкова, М.В. Мельник. - М.: Форум, НИЦ ИНФРА-М, 2016. - 336с.

. Буров В.П. Бизнес-план фирмы. Теория и практика: Учебное пособие / В.П. Буров, А.Л. Ломакин, В.А. Морошкин. - М.: НИЦ Инфра-М, 2013. - 192с.

. Володько О.В. Экономика организации: учеб. пособие / О.В. Володько, Р.Н. Грабар, Т.В. Зглюй; под ред. О.В. Володько. - Минск: Выш. шк., 2012. - 399с.

. Годин А.М. Инструменты современного маркетинга: Монография / А.М. Годин, О.А. Масленникова. - М.: Издательско-торговая корпорация «Дашков и К°», 2014. - 179с.

Похожие работы на - Методы оценки финансовой репутации организации на примере ОАО 'Jingdong'

 

Не нашли материал для своей работы?
Поможем написать уникальную работу
Без плагиата!
Без нейросетей!