Финансовое моделирование инвестиций

  • Вид работы:
    Дипломная (ВКР)
  • Предмет:
    Финансы, деньги, кредит
  • Язык:
    Русский
    ,
    Формат файла:
    MS Word
    1,12 Мб
  • Опубликовано:
    2016-11-30
Вы можете узнать стоимость помощи в написании студенческой работы.
Помощь в написании работы, которую точно примут!

Финансовое моделирование инвестиций

Оглавление

Введение

Глава 1. Теоретические аспекты финансирования проектов в девелопменте

.1 Понятие девелоперской деятельности и инвестиционных проектов в строительстве

.2 Основные фазы развития девелоперского проекта

.3 Фактор неопределенности при оценке стоимости проекта

.4 Выбор подхода для справедливого оценки девелоперского проекта

Глава 2. Управление финансовыми потоками на основе теории реальных опционов в девелопменте

.1 Роль реальных опционов при неопределенности будущего и управлении рисками

.2 Оценка стоимости реальных опционов

.3 Анализ применимости реальных опционов к основным методам оценки инвестиций

Глава 3. Применение реальных опционов для оценки стоимости проекта

.1 Апробирование реальных опционов для управления стоимостью проекта

.2 Применение на реальном кейсе биноминальной модели реального опциона

.3 Применение на реальном кейсе модели реального опциона Блэка-Шоулза

Заключение

Список литературы

Приложения

Введение


Девелопмент - это современная форма организации инвестиционного процесса в строительстве, который включает в себя функции по организации финансирования, строительства и реализации проектов. Девелопер осуществляет деятельность по управлению и координации между подрядными или собственными организациями, которые задействованы на всех этапах бизнес-процесса под названием «Недвижимость».

Производственный цикл по традиционному для современного российского рынка девелоперскому проекту длится от двух до десяти лет. Это является одним из самых долгоиграющих инструментов вложения средств в реальный бизнес, который может начинать приносить доход акционерам лишь через многие годы после старта проекта.

Главной предпосылкой успешной реализации любого девелоперского проекта является эффективность выбранной модели бизнеса, его кредитования и управления рисками. Перед стартом проекта, компания, которая инвестирует денежные средства, занимается просчитыванием стоимости строительства, финансовым расходам и прогнозирует реализацию создаваемого продукта.

Данная работа посвящена финансовой части моделирования будущего проекта, а точнее правильному, с точки зрения экономической эффективности, управлению заимствованиями на открытом рынке.

Актуальность исследования. В период с 1999-го года и до финансового кризиса 2008-го, большая часть девелоперов в России действовала на экстенсивно растущем рынке, что означало практически однозначную успешность проекта, вне зависимости от выбранной финансовой модели. К серьезным проблемам могли привести две другие составляющие бизнеса: строительная часть, которая могла включать в себя ошибки проектирования и тотальное воровство на стройки, или реализационная, когда очевидно качественные проекты не получали добро на ввод в эксплуатацию из-за коррумпированности чиновничьих органов или отсутствующей маркетинговой стратегии по продаже/сдаче в аренду построенных площадей. Банки с большим желанием финансировали строительство, создавая минимальные резервы под выданные займы, большая часть активов крупных строительных компаний еще не была заложена, а процентная ставка во множество раз была ниже доходности проектов.

В 2009 году ситуация стала стремительно меняться. Не случайно за последние 10 лет сменились практически все лидеры в отрасли жилищного многоэтажного строительства, а также на рынке офисной недвижимости. Начиная с 2009 года девелоперы были вынуждены обратить внимание на то, что надо управлять денежными потоками на большем уровне финансовой грамотности, по аналогии с другими видами крупного бизнеса, перенявшими к тому времени азы западной школы финансового моделирования.

С 2014 года важность эффективности в финансовом управлении проекта возрастает до высших приоритетов. Девелопер уже не имеет права на процент по кредиту, который превышает среднерыночный, а расчет стоимости проектного финансирования должен максимально эффективно и справедливо прогнозировать будущие поступление. Стоит уточнить, что после 2009-2010 года, любые средства, которые выделялись в счет ещё незавершенного строительства, заведомо подвергались очень жесткой оценке со стороны банков. Чаще всего проект оценивался хуже, чем его реальная стоимость, за счет чего повышался процент, увеличивалась сумма залога, а также сам размер выдаваемого кредита. Банки создавали дополнительные резервы под большинство проектов в девелопменте, преимущественно в жилой и офисной недвижимости, и в целом были правы: количество дефолтов в отрасли выросло втрое по сравнению с периодом с 2002 по 2008 год.

Актуальность выведения инструмента действительно справедливой стоимости оценки будущих проектов вкупе с теоретическим обоснованием методических подходов и рекомендаций по эффективному управлению финансовыми рисками обусловлена запросом рынка на переформатирование отношений с банками, которые перестали «верить» в успешность девелоперского бизнеса.

Степень разработанности проблемы. С разных сторон к решению вопроса оценки инвестиционных проектов затрагивали все именитые ученые-экономисты запада, в том числе У. Баффет, Ю. Бригхме, Дж. Бейли, М. Мескона, М. Альберт, У. Шарп и многие другие. Среди российских экономистов вопросом занимались В.М. Васильев, И.В. Липсиц, а также с углублением в реальные опционы и недвижимость - В.Д. Шапиро, О.М. Дюкова, В.В. Шахов (с точки зрения страхования), Н.В. Хохлов (управление рисками).

Анализируя работы, можно утверждать, что на территории российского информационного пространства, тема является не проработанной, а методологические подходы базировались на статистическом изучении рынка с последующими макроэкономическими выводами.

Цель исследования - это разработка методики оценки девелоперских проектов, основанной на реальных опционах, вопреки традиционной модели Discount Cash Flow, что позволит добиться лучших результатов в области кредитной оценки.

Для реализации поставленной цели ставятся задачи:

-        Определить особенности девелоперского бизнеса и связанных с ними финансовых рисков

         Исследовать теорию реальных опционов на предмет эффективности в вопросе риск-менеджмента и оценке проектного финансирования

         Разработать оригинальное решение проблемы со сложностью входящего параметра модели (волатильности) в девелоперских проектах

         Разработать методику оценки стоимости проектного финансирования девелоперских проектов и управления инвестиционными рисками с использованием метода реальных опционов.

Объектами исследования являются проекты жилых комплексов на рынке Москвы и Московской области. База данных формируется из открытых источников путём ручного агрегирования информации. Рынок жилья выбран как самый крупный и наиболее конкурентный, так как на эффективность коммерческих или офисных проектов категорически большое значение макроэкономические факторы и экзогенные переменные (например «охват населения», в случае с торговыми центрами или дата появления на рынке, в случае бизнес-центров). Наличие этих и множества других факторов сильно затрудняет чистоту прогнозирования на базе реальных опционов.

 

Глава 1. Теоретические аспекты финансирования проектов в девелопменте


1.1    Понятие девелоперской деятельности и инвестиционных проектов в строительстве


Строительство - это неотъемлемая часть любой экономической модели, страны и системы. Понятие девелоперского бизнеса, по своей сути, заложено в законодательстве той страны, на которой осуществляется деятельность, так как девелопмент - это координациях организаций, выполняющих тот или иной вид работы по созданию недвижимости.

Основные особенности строительной отрасли:

o   Долгий инвестиционный период и период возврата средств

o   Высокая капиталоёмкость проектов

o   Конструктивная и научно-техническая сложностью объектов

o   Финансовые менеджеры имеют возможность влиять на проект преимущественно на прогнозной и инвестиционной стадии жизненного цикла

o   Присутствует особая организационная форма управления девелоперским бизнесом

Субъекты, участвующие в инвестиционно-строительном бизнесе, можно разделить на две группы:

)        Создатели продукции, в том числе:

·        Инвестор

·        Застройщик

·        Заказчик

·        Генеральный подрядчик и субподрядчики

·        Компании, осуществляющие проектные работы

·        Прочие организации, занимающиеся изыскательными работами и архитектурными решениями

)        Косвенные участники рынка, в том числе:

·        Потребители продукции (арендаторы и покупатели)

·        Надзорные органы (государственные и негосударственные)

·        Общественные организации и кооперативы

·        Компании, обслуживающие рынок - страховые, консалтинговые, риелторы

Важнейшей фигурой является инвестор, который занимается финансирование строительства объекта. Именно с точки зрения исследования управления деньгами инвестора проводится изучение вопроса о заемном финансировании на строительном рынке. На нём лежит ответственность за принятия решений, которые приведут в последствии к какому-то экономическому результату.

Заказчик является стороной, осуществляющей организационные задачи по возведению объекта. Застройщик - лицо, которое владеет землей на основании собственности или договора аренды и имеет юридическое право распоряжаться им.

Подрядчик, согласно ГК РФ, является стороной договора, которая выполняет задания другой стороны. В практике девелопмента, чаще всего - это подрядная организация, отвечающая перед инвестором / вышестоящей подрядной организацией, вплоть до генерального подрядчика, за выполнение определенного вида работы, её качество и сроки. Проектировщик, в том числе генеральный проектировщик, занимается заказом на разработку проекта строительства.

В текущей рыночной ситуации, большая часть крупных девелоперских компаний, в том числе исследуемых в данной работе, совмещает наибольшую часть перечисленных функций. Такие фирмы называются компаниями «полного цикла», что означает, чаще всего, наличие собственного проектного института, генеральной подрядной организации, а также некой генеральной дирекции, которая выполняет функции заказчика-застройщика. Подобные размеры для компаний позволяют удешевить конечную стоимость квадратного метра, оставляя прибыль лишь конечному бенефициару-инвестору. По замыслу подобной стратегии, все дочерние от головной структуры организации, не обязаны иметь прибыль и могут работать «в ноль».

В подобном совмещении присутствуют и негативные моменты, увеличивающие инвестиционные риски. Так, например, экзогенные факторы, сказавшиеся на одном из крыльев компании, влияют в итоге на всю структуру. При этом независимость позволила бы проявлять гибкость. Ярким примером подобного сценария является текущий валютный кризис, который позволил при независимом генеральном подрядчике, оставить смету проекта в рамках прежних цифр, закрепленных контрактом. Это, возможно, привело к тому, что генеральный подрядчик работает в убыток собственной фирме, однако в целом на проекте и на девелоперской деятельности инвесторы это никак не сказывается.

Исходя из анализа используемой литературы [1, 2, 3], определение «девелопмент» обязательно имеет следующие признаки:

·        Это является осуществлением предпринимательской деятельности

·        Организация финансирование инвестиционного проекта

·        Задача является извлечением частной выгоды (за исключением случаев выполнения государственными компаниями социальных проектов)

·        Координация при осуществлению проекта, согласно выстроенному заранее плану действий - проекту

·        Управленческие решения относительно качественных и количественных характеристика затрат и параметров проекта

Определение слова «Девелопер» в свою очередь также можно обозначить через некоторые свойства:

·        Автор идеи девелоперского проекта

·        Покупатель или арендатор земельного участка под застройку

·        Организатор проектировочных работ

·        Управляет инвестиционными ресурсами и источниками финансирования

·        Выступает в роли лица, чей проект в будущем продается на рынке

·        Управляет недвижимостью до момента реализации

·        Контролирует ход и производство работ

На профессиональном рынке выделяется три типа девелоперской деятельности:

)        Девелопер без функции инвестора. Т.е. девелопер и инвестор - это не одно и тоже лицо. Это частный случай выполнения работ «под ключ» для собственных целей инвестора. Данный случай не рассматривается в работе

)        Девелопер-инвестор. Девелопер выступает в виде заказчика и, почти всегда, застройщика. Классическое понимание девелопера.

3)      Девелопер-соинвестор. Чаще всего образуется в моменты, когда у первоначального инвестора объекта возникли трудности с реализацией и привлекается некий девелопер, который берет на себя большую часть функцию, получая за выполненную работу какую-то долю в будущем проекте.

Наибольшую доходность из всех типов ожидаемо показывает бизнес девелопера-инвестора, так как он принимает себя наибольшие финансовые риски.

1.2    Основные фазы развития девелоперского проекта


Для качественного понимания последующего исследования, необходимо сразу определить фазы и периоды различных этапов проекта, расставив временную систему координат. Стоимость строительного проекта напрямую привязана к стадии и после её прохождения так называемая «цена выхода», т.е. премия реального опциона - возрастает.

На основе большинства источников, можно выделить следующие важные вазы деятельности:

Таблица 1.1 - Основные стадии девелоперского проекта

Стадия

Основной элемент

Подготовительный этап

Зарождение инвестиционной идеи


Разработка идеи, начальные стадии переговоров, создание концепции


Создание команды проекта


Моделирование денежных потоков


Разработка технико-экономических планов (ТЭП)


Организация финансирования, определение источников займов

Инвестиционный этап

Приобретение юридических прав на объект


Проектные и архитектурные работы


Строительно-монтажные работы (СМР)


Осуществление авторского надзора


Привлечение средств для финансирование строительства объекта

Операционный этап

Эксплуатация объекта


Реализация объекта (сдача в аренду/продажа)


Все фазы работы девелопера находятся в неразрывной связи и ошибка на подготовительном этапе при идеальном исполнении всего остального грозит потерями в капиталоёмкий проект.

Необходимо привести данные Р.Б. Пейзера, который в своей книге [22] публикует результаты проведенного опроса среди американских девелоперов. В ходе опроса топ-менеджеров компании просили выделить наиболее приоритетные и важные стадии процессе девелопмента.

Таблица 1.2 - Результаты опроса о важности стадий девелопмента

Наименование стадии

Основной приоритет

Второе по важности

Создание и утверждение проектной док-ции

17

8

Приобретение прав на участок

16

4

Проектирование и планирование

9

12

Анализ перспектив проекта на рынке

6

9

Финансирование проекта

6

12

Структура совместного предприятия

4

6

Маркетинг/реклама/pr

0

5

Строительный процесс

0

3

Управление и эксплуатация проекта

0

0


Профессиональные американские девелоперы, согласно таблице, считают, что наибольшее значение имеют проектные работы и локация. Этот тезис интуитивно понятен, так как выбор покупателя также формируется исходя из золотого правила цена-качество-локация.

Проведя анализ структуры девелоперского процесса, перейдем к целям и задачам управления. На рисунке 1.1 предлагается схема Проскурина В.К. [5]. Она отображает универсальные менеджерские решения, разбивая весь управленческий процесс на пять этапов: анализ, оценка, планирование, организация и контроль исполнения. Данная система является замкнутой, что говорит о возможности повторения и возврата к некоторым этапам по ходу реализации проекта.

Рисунок 1.1 Структурные блоки проекта в девелопменте

Данные управленческие решения направлены на повышение эффективности проекта. Каждое из них влияет на соответствующую ветвь последовательного принятия решения. Рисунок 1.2 показывает подход и схемы движения при определении основных показателей эффективности.

Рисунок 1.2 Схематичное отображение этапов определения эффективности девелоперских проектов [5]

Следует напомнить, что основными показателями эффективности девелоперского проекта, которые чаще всего применяются российскими компаниями, являются NPV (чистая приведенная стоимость, в т.ч. определенная по WACC компании), IRR и так называемая «простая доходность», которые в процентах выражают относительные норм прибыли, DPB (срок окупаемости с поправкой на временную стоимость денег), PI (индекс доходности) и пропорция собственных/заемных средств (в последние годы данный фактор теряет значимость, так как среднерыночная доля собственных средств чрезвычайно мала).

1.3    Фактор неопределенности при оценке стоимости проекта


Девелопмент, как уже упоминалось в работе - это долгоиграющих инвестиционный проект, где разрыв между появлением идеи и первоначальными инвестициями до стадии конечных результатов, занимает зачастую многие годы. Конечный результат инвестиционного проекта достоверно непредсказуем, в особенности реализации действительно масштабных квартальных застроек. В такой ситуации классическая DCF модель с дисконтированным движением денежных средств, определенным по трём категориям (операционная, инвестиционная и финансовая деятельности) практически теряет актуальность. Данная неопределенность будущей ситуации порождает неопределенность, которая по своей сути является физической мерой риска. Данные термины не тождественны, однако допускается их употребление как синонимов.

В работе Шапкина А.С. «Теория риска и моделирование рисковых ситуаций» указывается, что разница между данными терминами определена на уровне наличия (в случае риска) или отсутствия (в случае неопределенности) неконтролируемых переменных. [6] В случае с девелопментом это означает, что будущую неопределенности можно детерминировать с определенной степенью вероятности, так как рынок поддается прогнозным вычислениям, что в свою очередь означает приведение математического смысла к понятию риска (свершится ли событие с обратной от неопределенности вероятностью). Сама категория «Риск» формировалась на знании человека о возможных неблагоприятных исхода.

Ответом на вопрос, почему в дальнейших исследованиях используется именно метод реальных опционов, служит существование вариативности «опасностей» в ходе реализации проекта, которые не могут быть заложены в DCF-моделировании. Само же определение премии реального опциона (как премии стоимости проекта) необходимо для того, чтобы справедливо оценивать перед банковскими организациями проект и получать справедливые рыночные условия по заемному финансированию.

Далее необходимо определить тот самый пласт вариативности риска, который создает неопределенность будущего денежного потока:

·        Вероятность возникновения потерь или вероятность получения дополнительной выгоды от изменения рыночной ситуации - основной исследуемый фактор

·        Изменение стратегии реализации проекта субъектом принимающим решения (личностный фактор, фактор менеджмента)

·        Появление экзогенного фактора, который вызовет необходимость выхода из проекта на незавершенном цикле (политический фактор, форс-мажор)

Видно, что применять математический финансовый аппарат можно лишь в одном направлении - изменение выгоды под влиянием рынка. Второй фактор скорее является предметом изучения социо-экономических и психологических наук, а третий уже касается научного изучения остального окружающего мира, например политологических знаний о влиянии чиновников на бизнес.

Следующий этап при изучении критерия неопределенность-риск - это классификация рисков. В.В. Ковалев предлагает подойти к вопросы с точки зрения бухгалтерского баланса, в котором отображается производственная сторона вопроса - актив баланса - и финансовая сторона - пассивы. Соответственно строительные риски, связанные непосредственно с производством, действуют на активы, а кредитно-финансовые риски - на пассивы. [7] Однако наиболее популярным методом классификации является представленная в работе Балабанова И.Т. «Риск-менеджмент» [8, Приложение 1] система разделения на чистые убытки и спекулятивные риски, что моет вести как к получению прибыли, так и к потери денежных средств.

Можно также разделить риски по признаку степени влияния принимающего решения лица (Рисунок 1.3)









Рисунок 1.3. Уровни воздействия ЛПР на риск

Внешние факторы появляются за счет воздействия экономических трендов (конъюктуры), административного и законодательного влияния государственных органов, а также за счет климатических и техногенных причин. Влиять на эти факторы можно лишь при существенной доле рынка, что не применимо ни к одному игроку в России.

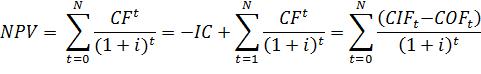
В исследовании первоочередной значение для нас важен инвестиционный риск, который влияет на один из основных показателей эффективности - NPV (чистая приведенная стоимость). Стандартная формула выглядит следующим образом


, где CFt - денежный поток через период t

CIFt - денежный приток, COFt - денежный отток,

i - ставка дисконтирования

IC - стартовые инвестиции

В таблице ниже предлагается совместить теорию девелоперского бизнеса и понятия денежных потоков. Указываются факторы, которые прямо или косвенно влияют на поступающие денежные средства.

Таблица 1.3 Формирование переменных для NPV в девелопменте

CIFt (денежный приток)

COFt (денежный отток)

Спрос на рынке недвижимости

Себестоимость строительства

Цена продажи

Стоимость заемных средств

Обратная зависимость к стоимости ипотечного кредитования

Стоимость вхождения в проект (ЗУ, отступные)


Период до начала возврата инвестиций


Курсивом обозначены факторы, которые напрямую будут влиять на определение премии реального опциона и будут исследоваться в работе. В работе не будут отдельно исследоваться риски строительного процесса в период реализации проекта, так как база обрабатываемых данных будет ретроспективна и подобные моменты находят своё отражение при формировании окончательной цены продажи (по факту ошибки строительства на одном проекте присутствуют на уровне погрешности в общем массиве данных на цену).

Неопределенность денежных потоков в будущем создает так называемый «черный ящик», когда результат непредсказуем[9]. Анализируя работы по риск-менеджменту, можно трактовать управление рисками как оптимизацию негативных сценариев и мероприятия, связанные с их идентификацией и предотвращением (страхование или профилактика).

Прежде чем перейти к практической части управления рисками, необходимо рассказать о взаимосвязи жизненного цикла девелоперского проекта с возникающими на некоторых фазах угрозами. Для этого необходимо расширить и видоизменить (укрупнить пункты) Таблицы 1.1, добавив новый столбец с описанием.

Таблица 1.4 Управление рисками на разных стадиях проекта

Стадия

Основной элемент

Стадия и управление рисками

Подготовительный этап

Концепция проекта

1. Запланировать систему управления рисками. Определить ответственность 2. Анализ будущих рисков: · Идентификация факторов · Определение их значимости · Ранжирование по степени опасности


Технико-экономическое обоснование

3. Количественных анализ: · Создание дерева решений · Определение точки безубыточности · Анализ чувствительности · Анализ сценариев · Имитационное моделирование


Рабочая документация и план проекта

4. Планирование реагирования на угрозы · Создание резервов · Просчет риска неуплаты задолженности · Риск незавершения строительства и выхода из проекта · Анализ непредвиденных расходов · Страхование рисков

Инвестиционный этап

Заключение контрактов (проектные работы, покупка ЗУ и пр.)



Строительно-монтажные работы (СМР)

5. Контроль и наблюдение: · Контроль за исполнением бюджета · Строительный, авторский и бюджетный надзор · Мониторинг рыночной ситуации и контроль рисков реализации


Привлечение средств для финансирование строительства объекта


Операционный этап

Сдача-приемка объекта



Реализация объекта (сдача в аренду/продажа)



Следуя описанной методологии управления, предложенной автором в таблице 1.4, можно также выделить методы определения этих самых рисков.




Рисунок 1.4 Характеристики методов определения риска

К методам качественного анализа можно отнести такие известные инструменты, как SWOT-анализ, рейтинговые оценки, опросы, метод аналогий и другие.

Что касается количественного анализа, то здесь уже начинается специализированная часть исследования, построенная на вероятностном и статистическом анализе. Самые известные представители количественных методов: дерево решений, точка безубыточности, сценарный анализ, определение чувствительности показателей, имитационное моделирование, метод корректировки ставки дисконта.

На последний надо обратить отдельное внимание, так как дисконт - это своеобразная мера риска. Норма дисконта - это приемлемая для инвестора доходность вложения денежных средств при доступности менее рисковых инвестициях. Сам по себе метод корректировки дисконта не существует по отдельности и является лишь идейным инструментом для дополнительного управления рисками при моделировании.

1.4   

1.4 Выбор подхода для справедливого оценки девелоперского проекта

В завершении формирования теоретических основ работы, необходимо вернуться к вопросу проектного финансирования. Мы предполагаем, что инвестор (девелопер) на каком-то определенном этапе собирается привлечь деньги или возможно даже выйти из проекта. У него существует какая-то модель, которая учитывает прогнозные денежные потоки с каким-то экспертным мнением о цене и на момент времени t позволяет ему определить NPV. Для того, чтобы спрогнозировать цену, инвестор может воспользоваться традиционными инструментами определения будущей цены. Так например автором уже производились работы по построению прогнозных моделей на базе модели авторегрессии - скользящего среднего (ARMA) [10]. Приведем некоторые выдержки из той работы для иллюстрации такого подхода.

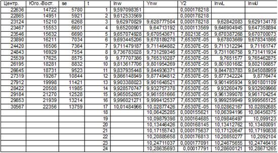
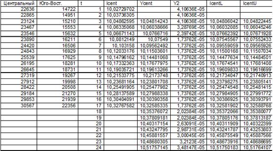
Производится моделирования изменения ставок за 1 м2 коммерческой недвижимости по аренде для Центрального и Юго-восточного административно округа Москвы на основе ARIMA-модели и с использованием полученных данных строится прогноз. Берутся только эти две локации как абсолютно «типичные» для статистических данных, не смотря на то, что присутствует база данных по всем округам. Для улучшения модели было принято решение использовать логарифмы показателей, дабы избежать разброса в результатах. Анализ выполняется в пакете программы Stata. В общем виде уравнение имеет следующий вид:


Для того, чтобы убедиться в эффективности проводимой работы, был в обязательном порядке проведен тест Дики-Фуллера, который показал стационарность ряда, а тест Бройша-Годфри показал отсутствие автокорреляции. При визуальном анализе графиков АС и РАС можно утверждать, что параметры модели ARIMA выбраны оптимально. Последним кварталом в данных той работы являлся I квартал 2014 года, следовательно прогноз строился на следующие 7 периодов до конца 2015 года. Это очень важно, так как сейчас для нас эти данные уже являются ретроспективными, но выводы будут сделаны немного позднее. В Приложении №2 приведены результаты ARIMA модели, а так же выгрузка полученных данных.

В итоге, для Центрального административного округа модель авторегрессии интегрированного скользящего среднего ARIMA (2,2,1) выглядит следующим образом:

Для Юго-восточного административного округа:

Итерации для моделей ARIMA с порядком авторегрессии 1, а так же (2,1,1) не сошлись при выполнении оптимизации. Это означает, что данные модели могут быть ненадежными. Однако анализ остатков показывает, что модель (2,1,1) обладает стационарными остатками и даёт положительные результаты теста на адекватность.

Ниже приведены графики логарифмической модели из Stata

Рисунок 1.5 График прогноза ставки аренды на базе модели ARIMA (2,2,1) для Центрального округа Москвы

И аналогичный график для ЮВАО, который показывал самые серьезные структурные сдвиги в изменение ставок.

Рисунок 1.5 График прогноза ставки аренды на базе модели ARIMA (2,2,1) для Юго-восточного округа Москвы

Ниже приводится таблица с прогнозом средней ставки аренды.

Таблица 1.5 Управление рисками на разных стадиях проекта

Ставка аренды

II кв. 2014

III кв. 2014

IV кв. 2014

I кв. 2015

II кв. 2015

III кв. 2015

IV кв. 2015

ЦАО

30641,71

31199,73

31713,76

32252,78

32781,80

33326,82

33872,84

ЮВАО

23102,70

23712,03

24325,37

24931,70

25531,04

26149,38

26772,71


Отсутствует какая-либо необходимость приводить реальные данные для того, чтобы показать очевидное: прогноз оказался ошибочным. Важно:

·        Модель включала большое количество переменных, в том числе локацию (геодата бралась из базы данных Google)

·        Модель рассматривала ставки аренды, начиная с 2007 года, т.е. включала уже осуществившийся разово период падения цен

Данный пример приведен для того, чтобы показать, что для точной оценки стоимости проекта, в том числе для получения проектного финансирования, обычного прогноза недостаточно. Рассмотренный динамический метод управления проектом отображает, по сути, инвестиционную структуру, но не отвечает на вопросы о том, как точно определить стоимость девелоперской деятельности. И не хватает для повышения эффективности метода реальных опционов, который способен значительно увеличить или уменьшить инвестиционную стоимость, в зависимости от рисков предприятия. В следующей главе будет подробность разобрана возможность применения данного метода в девелопменте.

 

Глава 2. Управление финансовыми потоками на основе теории реальных опционов в девелопменте


2.1 Роль реальных опционов при неопределенности будущего и управлении рисками


Теория реальных опционов по своей сути одним из множества методов управления инвестиционными рисками. Она учитывает как положительные, так и отрицательные исходы событий. Т.е. результирующим итогом представляется в перспективе некий разброс вариантов событий, когда произошло максимальное количество негативных событий с максимально отрицательными эффектами до максимального количество позитивных событий с максимально положительными эффектами. Работа именно на таком разбросе позволяет создавать базу для максимального управленческого маневра, что позволяет делать проекты эффективнее.

Однако прежде чем переходить к девелопменту, необходимо рассказать об основных положения теории, которые появились прежде всего на финансовых рынках, но были преобразованы в модель реального опциона. Согласно большинству авторов, некоторое апробированное определение реального опциона (англ. real option) - это возможность, но не обязанность принимать решения в зависимости от предпосылок данных при условии неопределенности в будущем. Термин «реальный опцион» впервые применяется С. Майерсом в 1977г., так что данное понятие можно считать относительно новым.

Идея данного вида «возможности» (с рус. на англ. - option) заключается в том, что активном может быть не только ценная бумага, но и реальный объект. Чаще всего реальные опционы используют в сырьевых областях для оценки инвестиционных проектов. Применение данного подхода в девелопменте является довольно узконаправленным и выполняет небольшой спектр задач, в частности той, ради которой делается данное исследование.

Важным отличие реального опциона от финансового является то, что последний выступает инструментов хэджирования риска, когда реальный опцион направлен на максимизацию ценности. За счет этого свойства уместно сравнение результатов моделирования реального опциона с другими классическими инвестиционными моделями.

Как уже упоминалось выше, существенной характеристикой процесса девелопмента является неопределенность, которая существует практически с первого этапа вхождения в проект. Огромный ряд допущений, которые предполагаются инвестором, является аналогичным по сравнению со другими отраслями, где применение метода реальных опционов уже давно является традиционным.

Базовой категорией теории является адаптивность, которая воплощена в следующих ролях:

·        Роль инициатора - менеджер имеет способность повышать опционную стоимость проекта до конца цикла проекта

·        Роль реагирующего - инвестор, который хочет максимизировать свой доход, принимает решения на основе экзогенных переменных

Реальные опционы могут участвовать в принятии менеджерских решений за счет активного управления рисками, которые в свою очередь являются залогом экономического роста и высокой доходности. А при использовании дополнительных методов анализа, например имитационного моделирования, можно иметь комбинированный точный прогноз положительных и отрицательных последствий применения теоретической базы реальных опционов.

Выше уже упоминалась задача о том, что реальный опцион может помочь с определением качественной стоимости проекта при проектном финансировании. Определим, на какие еще запросы может отвечать данная теория в менеджерских запросах.

Таблица 2.1 - Реальные опционы по видам использования, в том числе «управленческие» опционы

Тип параметра

Механизм использования опциона

Аналоги опциона «пут»

Выход из проекта/бизнеса

В случае реализации наиболее негативного сценария, позволяет определить ликвидационную стоимость проекта. Разница между ликвидационной стоимостью и стоимостью активов является ценностью опциона на завершение деятельности

Сокращение размеров проекта

Право ЛПР на снижение инвестиций в проект из-за повышения рисков

Преждевременное завершение проекта

Стоимость досрочного завершения проекта и математическое ожидание результата оказывается выгоднее, чем продолжение проекта

Аналоги опциона «колл»

Временная приостановка

Расчет через опцион стоимости остановки проекта и продолжения его в более привлекательный для инвестиций период

Расширение бизнеса/проекта

Право на привлечение дополнительных заемных средств для расширения бизнеса

Перенос старта проекта

Тоже самое, что временная приостановка, только еще до запуска начала работ

Реальный опцион на ручное управление стадиями

Так называемый «микроконтроль» в управленческом разрезе проекта, когда стадии начала тех или иных работ определяется сиюминутным расчетом реального опциона как всего проекта, так и малых кейсов

Изменение диверсификации / класса проекта

Принимается решение охватить каких-то возможные соседние области и сектора, которые показывают увеличенную доходность общей модели

Привлечение заемного финансирования

ЛПР получает возможность управления долями собственных/заемных средств, а также привлечения заемных средств на основе собственных расчетов под требуемый для экономической эффективности процент


В данной таблице приведены самые основные виды управленческих решений, которые можно классифицировать как реальные опционы. Важно отметить, что нет простой зависимости между принятием решения на изменение стратегии с обязательным положительным или отрицательным результатом. Например, расширение бизнеса увеличивает дисперсию исходов, что ведет к увеличению диапазона риска. Однако поменяется ли при этом вероятность событий риска - это вопрос моделирования.

Дополненная реальным опционом имитационная модель можно описать довольно простой формулой:

NPVобщ. = NPVбаз. + Премия RO, где

NPVобщ. - это чистая приведенная стоимость проекта с учетом расчета рисков (с учетом реального опциона)

NPVбаз. - классическое значение NPV на базе движения денежных средств и прогноза реализации

Премия RO - стоимость реального опциона

Если смотреть на ретроспективу, то реальный опцион может обозначаться как превышение целевого показателя доходности инвестиций над результирующим за счет управления рисками.

 

.2 Оценка стоимости реальных опционов

девелоперский проект инвестиционный стоимость

Реальные опционы являются инструментов маневров, как уже говорилось выше. Они могут быть как понижающие, так и повышающие доходность проекта, однако наличие реального опциона всегда является премией, чем его отсутствие, так как возможность предсказать есть возможность избежать/минимизировать потери. Соответственно «сэкономленная» сумма средств, если интерпретировать сразу на практике исследования - это и есть стоимость реального опциона. Но на вопрос перспективной оценки этой стоимости должна помочь ответить классическая теория опционов.

Всего присутствует два действительно разумных метода оценки стоимости реальных опционов - это биноминальный, который основывается на возможности выбора в узлах, и несколько измененная модель Блэка-Шоулза. [18-20]

Знаменитая модель Б-Ш в применении реальных опционов имеет ряд значительных ограничение, которые заложены в самых условиях теории:

·        Для применения метода необходимо иметь некий параметр волатильности базового актива. Это является проблематичным в случае эксклюзивной неповторимой продукции. Именно поэтому Б-Ш и реальные опционы так популярны в сырье, но сложноприменимы к другим отраслям

·        В модели подразумевается непрерывность времени, в то время как эмпирика подсказывает о дискретности инвестиционных проектов

·        Среднеквадратическое отклонение не должно меняться в течении жизни опциона. Эта предпосылка на практике чаще всего также не работает

Было решено не вдаваться в подробное описание модели Блэка-Шоулза по причине того, что она не будет удовлетворять требованиям исследования. Причины этого будут описаны подробнее в разделе 2.3.

Биноминальная модель Кокса-Росса-Рубинштейна, в свою очередь, оказывается намного более громоздкой, но при этом имеет высокую точность результатов при достаточно большом количестве источников. Немаловажную роль также играет сила модели при обработке большого количества дат принятия решения: забегая вперед стоит сказать, реальная стоимость проекта в исследуемых данных оценивается за счет параметра «дней до ввода в эксплуатацию», который по сути является критерием фазы выхода, базирующемся на стадии реализации.

Модель, построенная на биноминальном выборе, содержит два важных допущения: в одном интервале могут быть только два варианта развития событий (заведомо худший и заведомо лучший), а также инвесторы нейтрально относятся к риску. Вычисление стоимости опциона данным методом предполагает движение по древу решений, как показано на Рисунке 2.1

,

где t - период, S - базовая стоимость (например цена за 1 м2 или даже NPVбаз.), u - коэффициент повышения роста стоимости, d - коэффициент снижения стоимости

Рисунок 2.1 Дерево решений биноминальный модели (три ступени)

Расчет стоимости базируется на тех же принципах, что и в одноступенчатой модели, но только количество узлов увеличивает также и сложность оценки (их может быть практически бесконечное количество).

На практике также трудности сопряжены со значением «роста» и «снижения» в каждом периоде. Для этого определим данные термины к реальным цифрам.

Пусть возможный рост стоимости - это u = hs,

где u - это относительный рост (например u=1,25 означает рост на 25%)

s - стандартное отклонение среднегодовой стоимости проекта/квадратного метра/иного параметра

h - интервал, измеряемый годичным исчислением (например 0,25 - это квартал)

Таким образом, относительное снижение стоимости можно рассчитать по формуле d=1/u. Тогда вероятность относительного роста (назовём её q), исходя из предположения о нейтральном риске, рассчитывается следующим образом:

Соответственно 1-q - это вероятность понижения цены.

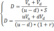
Результаты по выведению оценки стоимости реального опциона в биноминальной модели совпадают с Б-Ш моделью при наличии достаточно большого количества периодов в году. Развивая модель, стоимость опциона определяется по следующей схеме:

,

где q и 1-q, как уже говорилось - это вероятности повышения и понижения цены, а u=1/d и d=1/u - повышающий и понижающие коэффициенты- стоимость базового актива

В - это инвестиции в безрисковые облигации (сумма)

V - непосредственная стоимость опциона, dV - премия опциона (значение будущих выплат по опциону)

Рисунок 2.2 Дерево стоимости базового актива, реплицирующего портфеля и реального опциона [9]

В нулевом периоде стоимость актива - это некая S0. Тогда в момент времени t1 она будет равна S0*u с вероятность q и с вероятностью 1-q S0*d.

Оценка стоимости опциона (V) лежит на построении реплицирующего портфеля, состоящий из D лотов продажи (в традиционной теории - акций), с текущей ценой S и суммы инвестиций в безрисковые облигации со ставкой r. Доходность подобного портфеля равна доходности самого опциона. Построение осуществляется в каждом из возможных узлов, исключая крайние правые (по ним выплаты определяются исходя из значения базового актива). Таким образом модель «сворачивается» справа налево при расчете стоимости выплаты (опциона) в узлах решетки.

Предполагая, что нам могут быть известны значения выплат Vu и Vd, необходимо найти значения D (кол-во лотов) и В (сумма, инвестированная в безрисковые облигации)


, где Vu и Vd - вероятностные выплаты по опциону

S - текущая стоимость актива

В - сумма инвестирования в risk-free- ставка безрисковых облигаций

Решая систему, получаем значения


После этого становится возможным определить саму стоимость опциона:

V = D*S+B

Сложность заключается в расчете параметров узлов решетки, так как модель почти всегда включает более одного периода. Однако можно избежать этой сложности за счет дисконтирования будущих денежных потоков. Главная сложность такого подхода - это само определение ставки дисконта, принимающей своей значение в каждом узле.

Преодоление вопроса возможно с использованием риск-нейтрального (risk-neutral) подхода, когда дисконтирование производится по ставке r, а отражение рисковых факторов производится с помощью некой риск-нейтральной вероятности z (наступление risk-free ситуации).

После подстановки данных значений в уравнение V = DS +V полученные значения для D и В при использовании риск-нейтральной вероятности, можно получить следующее значение для z:


Полученное значение (с условием, что Vu и Vd известны) может быть использовано для расчета стоимости реального опциона без построения реплицирующего портфеля (ставка дисконтирования = r = risk free).

 

.3 Анализ применимости реальных опционов к основным методам оценки инвестиций


По ряду причин в данной работе изучаются не все возможные методы оценки реальных опционов (Приложение 3). На основе изученной литературы были исключены однозначно неприменимые модели, которые зачастую применимы лишь к финансовым опционам, либо представляют категорически сложный математический аппарат, что их рассмотрение возможно лишь с точки зрения теории без возможности практического применения.

Также стоит отметить, что большинство методов основано на Black-Sholes OPM и Binominal OPM. В них рассматриваются частные случае, различные варианты распределения волатильности, но основная конструкция всё равно не меняется.

Итак, обозначим наиболее проблемные места популярных методов, которые уже упоминались в работе, относительно оценки инвестиций в девелоперских бизнес.

1.       Discount Cash Flow (NPV)

При построении DCF не учитывается управленческая гибкость. Согласно этой модели, ЛПР не может реагировать на внешние изменения, которые в виде примеров приводились в Главе 1.3. Решение данное проблемы возможно лишь при внедрении реальных опционов из таблицы 2.1.

Также NPV подразумевает кумулятивную ставку дисконтирования. Это даёт скорее заблуждение при оценки рисков проекта. Одним из решений данного вопроса служит внедрение опциона, который учитывает важнейший параметр волатильности. Другим методом является применение сценарного анализа, который является интуитивно более простым и понятным, а также позволяет применить более глубокую проработку факторов, влияющих на рынок.

.        Модель Блэка-Шоулза (Black-Scholes OPM)

Проблемы применимости данной модели заключаются в необходимости знать изменение цены базового актива (например NPV) до уникальных событий во время реализации проекта. Предположение о равенстве вариации между всеми девелоперскими проектами и теми строительными компаниями, которые уже торгуются на бирже является крайне неверным, так как само присутствие на бирже влияет на волатильность уже достаточно сильно. Однако возможным решением данного вопроса является статистический сбор открытой на рынке информации, что и было проделано автором.

Была обработана информация по проектам компании группы БИН (ПАО «Моспромстрой», А101-Development, ПАО «Интеко» и др.), а также собрана информация с открытого источника - cian.ru. Полученные данные получились не совсем точными с точки зрения физических поступлений по заключенным сделкам (т.к. на сайте cian.ru есть возможность ознакомиться только с экспонируемой ценой), однако, по мнению автора, отклонения от фактических значения не являются выше уровня незначимой погрешности. Однако подробнее о применении этих данных будет рассказано в Главе 3.

.        Биноминальная модель преодолевает наибольшую часть недостатков метода Б-Ш и DCF. Она не требует параметра волатильности, учитывает риск-менеджмент, основана на дискретном времени и по своей сути состоит из сценариев. Ко всему прочему биноминальная модель Кокса-Росса-Рубинштейна довольно проста для использования на практике.

Однако важный минус, которые у неё все же имеется - это возможность наличия «третьего» решения, а может быть и полноценного дерева. В описанном в разделе 2.2 случае данный вопрос строится на предпосылке «либо польза», «либо вред/меньшая польза» для определенного времен t. Таким образом у нас период между решением кейса реального опциона может составлять одну любой промежуток времени (например одну секунду), однако выбор будет все равно состоять из двух путей. В реальности же такое не всегда возможно. Решить данную проблему возможно за счет усложнения математической базы и полиномиального оценивания опционов, однако подход с применением безрисковых ставок будет уже невозможен. Подобное усложнение может являться темой для создания полноценной диссертационной работы, где на основе итеративной оценки стоимости опционов в листьях можно будет добиться точных результатов.

Важно отметить, что эти подходы не являются конкурирующими друг с другом и могут применяться единовременно, а их результаты зачастую сравнивать не совсем корректно, так как они могут показывать разные по своей природе стоимости. Применение метода реальных опционов - это расширение инструментария оценки девелоперского проекта с помощью метода дисконтированных денежных потоков (ДДС). Возможность внедрения риск-менеджмента и гибкости, который скорректируют и выведет более точную стоимость актива.

 

 

Глава 3. Применение реальных опционов для оценки стоимости проекта


В предыдущих главах были описаны возможности применения реальных опционов, однако следует напомнить о том, что целью исследования является справедливое определение стоимости проекта для более точной оценки проектного финансирования. К решению данного вопроса мы подходим методом изменения оценки стоимости за счет добавления реального опциона, как частного случая из Таблицы 2.1

 

.1 Апробирование реальных опционов для управления стоимостью проекта


Исследованные вопросы апробируются с использованием метода реальных опционов на основе девелоперского проекта в жилищном строительстве, а точнее проекте ПАО «Моспромстрой» - Гродненская, вл.3. Проект был выбран как перспективный и реально существующий, однако котлованные работы по нему еще не начались и на момент написания работы проводятся работы в области инженерных сетей.

Для получения проектного финансирования, девелопер привлекает банковскую организацию, которая на основе DCF модели и собственного скорингого расчета оценила его стоимость в 300 миллионов рублей (NPV). Банк готов выделить максимальный кредит размером 1,480 млрд. рублей под ставку MOSPRIME (6m) + 5,3%, т.е. фактически под 16,8% на май 2016 года. При таком кредите доля заемного капитала в проекте составляет 66%.

Объект имеет свои технико-экономические параметры (ТЭПы), однако для наших вычислений они не имеют важного значения. Обозначим существенные характеристики, на основе которых может строиться последующее моделирование:

·        Инвестировано в проект лишь 4% планируемых средств, что включало в себя затраты по сносу предыдущих сооружений, прокладывание сетей и вхождение в проект

·        С момента старта проекта (расчет на 17 мая) прошло 118 дней. До расчетного срока ввода в эксплуатацию осталось 680 дней.

·        Продаваемая площадь равняется 17 227 м2

·        Строительство ведется в одну очередь без предполагаемых разрывов

·        Можайский район находится в престижном направлении, однако из-за отсутствия в пешей доступности метро и старой застройки является самым дешевым районом ЗАО

·        До старта продаж осталось расчётно 78 дней

·        Схема сделки по вхождению проект не имеет значения

·        Подробное резюме проекта представлено в Приложении 4

Классическая модель DCF показала следующие результаты:

Таблица 3.1 Показатели девелоперского проекта Гродненская, вл.3

Параметр

Значение

Операционные и инвестиционные расходы (без учета финансовой деятельности)

2 230 018 251

Все расходы по проекту, в т.ч. проценты по кредиту

2 678 041 296

Размер заимствованных средств

1 480 000 000

Сумма выплачиваемых процентов по кредиту

448 023 045

Выручка проекта

3 226 690 816

Прибыль

574 503 844

Средства, привлеченные по ДДУ

1 843 596 993

NPV

454 948 513

IRR

18,6%

PBP (окупаемость проекта)

25 месяца

DPBP (дисконтированная окупаемость)

31 месяцев

Срок реализации проекта

78 месяцев


Кейс, который необходимо решить - это увеличение общей кредитных средств, который позволит фактически увеличить долю заемных средств с 66,4% до 80% (до 1,784 млрд. рублей). Для этого необходимо доказать банку, что реальная стоимость проекта в таком случае будет выше, чем начальная.

Выгода привлечения дополнительного финансирования объясняется более агрессивными темпами строительства жилья: срок до ввода в эксплуатацию с 680 дней может сократиться до 540 дней. Такая «спешка» обусловлена планами по строительству конкурентного квартала на ул. Петра Алексеева. В данный момент нишевой спрос был оценен аналитиками как способность «поглотить» рынком примерно 20000 м2 жилья Комфорт+ класса в Можайском районе в период с 1 января 2016 по 1 января 2019. Важно, что конкурентное предложение, при соответствии класса, будет предлагаться дешевле при прочих равных условиях. Обусловлено это спецификой компании-застройщика, а также квартальной застройкой, которая в пересчете за 1 квадратный метр всегда оказывается дешевле, чем точечная.

Апробация теории реальных опционов будет происходить на базе двух основных методов в решение кейса «увеличение заемного финансирования»:

)        Биноминальная модель с использованием прогноза по цене за 1 квадратный метр продаваемого жилья с помощью нейронных сетей. Метод позволит создать

)        Модель Блэка-Шоулза с использованием фактора волатильности, как отклонение (ошибки) регрессионной модели в виде волатильности

Стоит также добавить, что практическая интерпретация стоимости реального опциона в описанном случае - это стоимость девелоперского проекта (юридического лица-застройщика) как некоего права на получение денежных потоков равных прежнему NPV (до использования опциона), умноженная на коэффициент привлекательности.

Информационной базой, на которой строится анализ, выступают данные, собранные по группе строительных компаний «БИН» (Интеко, А101, Моспромстрой), а также открытые источник сайта cian.ru, где была информация собрана вручную. В выборке использовались только реализуемые в настоящее время (Май 2016г.) новостройки. Обозреваемый временной период начинается с 1 января 2015 года и заканчивается лотами, по которым совершились продажи или которые были выставлены на рынок до 15 марта 2016г. Такой небольшой промежуток времени берется для того, чтобы отсеять прежнюю стадию рынка, который находился в состоянии постоянного роста и большое количество параметров качества квартиры могли не играть столь значительной роли, как на стагнирующем сверхконкурентном рынке последних полутора лет.

Исследуемыми районом являются рынки ЮЗАО, ЗАО, СЗАО, НовАО, ЗелАО Москвы, а также Одинцовский район Московской области. Наименования собранных переменных на выборке в 996 квартирных блоков представлены ниже

Таблица 3.2 Переменные для регрессионной модели и нейросети

Количественные (непрерывные) данные

Качественные (дискретные) данные

Площадь квартиры (SM)

Район (AREA)

Жилая площадь (LSM)

Панель/монолит (0-1) (SER)

Площадь летних помещений (SSM)

Отделка (0-1) (DECOR)

Дней до ввода в эксплуатацию (DATE)

Подземный или наземный паркинг (0-1) (PARK)

Площадь кухни (CSM)

Инфраструктура (0-1) (INF)

Цена за 1м2 (и экспонируемая, и фактическая по сделкам) (PRICE)

Крайний этаж (0-1) (LVL)


 

.2 Применение на реальном кейсе биноминальной модели реального опциона


Для того, чтобы оценить NPV девелоперского проекта после реализации опциона на увеличение кредитных средств, мы должны каким-то образом спрогнозировать изменение показателей цены, в зависимости от срока до ввода в эксплуатацию (его сокращение по замыслу должно давать в результате увеличение цены).

При прогнозировании будущих потоков были исследованы несколько способов получения будущих значений. Наиболее простым и эффективным оказалось построение обычной регрессии. В расчете используется алгоритм пошагового исключения переменных в пакете программы SPSS-Statistics и в целом вычисления дублируются в MS Excel (как визуально более комфортной программы).

Для построения модели создаются новые переменные, т.к. такая количественная переменная, как стоимость 1 м2 (искомая переменная), имеет логнормальное распределение, а логарифм этой переменной будет иметь нормальное распределение. Вместо SM мы подставляем lnSM, вместо PRICE - lnPRICE и так далее.

Таким образом, для дальнейшего построения модели лучше всего взять степенную функцию условного вида:


Ящичковая диаграмма (см. приложение 6) показывает отсутствие выбросов в конечном показатели (обусловлено «ручным» происхождением выборки), а также подтверждает гипотезу о полной асимметрии.

На начальном этапе сразу несколько факторов на уровне значимости α=0,05 оказываются незначимы: LVL (потому что в новостройках сейчас отсутствуют первые жилые этажи), INF (скорее всего потому что оценивался субъективно), PARK (потому что само наличие подземного/наземного или иного паркинга никак не сказывается на стоимости квадратного метра), DEC (потому в выборке почти нигде нет отделки, вопреки изначальному предположению).

Таким образом, окончательное уравнение регрессии выглядит следующим образом:

 (10,22) (3,12) (-1,12) (0,18) (8,33) (1,13) (0,22) (1,01)

R2= 0,644, ŝ = 366,2, F = 2,42, n=964

На основе полученного уравнения можно просчитать эластичность множества показателей. Например при увеличении общей площади на 1%, средняя стоимость 1м2 снижается на 0,07%. А самый важный для нас параметр имеет значение, при котором приближение ко вводу в эксплуатацию, стоимость растет экспоненциально. Так например разница между 10 и 510 днём на окончательной стоимости будет ощущаться как 29,2% к конечной цене! Коэффициент детерминации равен 64,4%, что является приемлемым показателем, который можно интерпретировать как долю рынка, на которую распространяется выведенное правило

Полученное уравнение можно использовать для нашего объекта на ул. Гродненской, вставив параметры в формирование цены. Далее мы предполагаем, что банк нам не верит в реализацию идеи использования подобного метода для улучшения денежного потока проекта и выделяет средств поэтапно, проверяя изменение показателей на совместимость с реальностью. Причем мы не знаем доходность для банка относительно выданного нам кредита, что является для нас также черным ящиком, поэтому вероятность по решению банка мы принимаем за 0,5.

Для реального опциона строится периодизация (периоды оценены на основе необходимости финансирования строительства в нужные этапы) и выводятся сценарии.

1)      Базовый сценарий без получения дополнительного заемного финансирования

)        Привлечение дополнительно 25% из требуемых 304 миллионов рублей, т.е. 76 миллионов, что позволит ускорить строительство на 3% и сократит срок до ввода в эксплуатацию с 680 до 660 дней.

)        Привлечение дополнительно 50% из требуемых 304 миллионов рублей, т.е. 152 миллионов, что сократит срок до ввода в эксплуатацию до 625 дней (± на 8%)

)        Привлечение всех требуемых 304 миллионов, что сократит срок до ввода в эксплуатацию на 140 дней (на 20,5%).

Источником подобных данных служит экспертный расчет, выполненный совместно со сметным отделом ПАО «Моспромстрой». Внося правки в DCF модель, мы получаем 5 разных показателей, а заодно и дерево для биноминарной модели.

=0     t=1    t=2


Рисунок 3.1 Дерево изменения NPV при дополнительном кредитовании

Напомним, что вероятность движения в каждую сторону в каждый момент времени принимается за 0,5, так как для нас данный фактор остается неизвестным. Этот момент является основой для отдельного исследования или продолжения данного, с точки зрения отслеживания логики банка и построение скорингового аппарата, который сможет «с противоположного фланга» сказать о вероятности данного события.

Важным моментом является то, что банк при принятии решения «не верить», уже не возвращается к пересмотру данного решения. Это предположение во-первых основано на базе эмпирического опыта общения с банковскими организациями, а во вторых уменьшает количество ветвей, что позволяет упростить расчеты.

Итак, теперь перейдем к расчету стоимости проекта вместе с опционом на привлечение дополнительных средств.


, где Vo - это NPV в соответствующем периоде при согласии банка на увеличение кредитования, Vp - при отказе, P0 и P1 - вероятность выигрыша.
Формула фактически означает подсчет математического ожидания последнего столбца (6 вариантов событий) - потенциального выигрыша с учетом вероятности любого развития событий. Конечное значение проекта с опционом E(V) получается равным 475 445 222,7 рублей. Соответственно цена реального опциона (Call Option) - 20 496 709,67 рублей.

 

.3 Применение на реальном кейсе модели реального опциона Блэка-Шоулза


На аналогичном подходе строится модель Блэка-Шоулза, однако в данном случае у нас происходит пересмотр подхода и включение фактора волатильности.

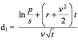
Предположим, что s - NPV проекта в текущий момент времени, т.е. 454 948 513 рублей. Некая X - это цена исполнения опциона на получение 100% необходимой дополнительной сумма заимствования, т.е. 498 133 746.


r - безрисковая ставка доходности. Традиционно в России считать как доходность ОФЗ (т.е. 10,06 на момент написания работы). Однако мы будем применять среднерыночную ставку доходности жилья по версии сайта irn.ru, т.е. 17,2%

t - 680 дней до ввода в эксплуатацию, т.е. 1,86 в годовом исчислении

N (d) - функция нормального распределения (кумулятивная)

σ (или v) - среднеквадратическое отклонение денежных потоков, которое мы считаем за волатильность. Поскольку пересчитать волатильность на денежные потоки довольно проблематично, то на основе уже существующей регрессии за волатильность будем считать стандартную ошибку как меру разброса данных наблюдений от модельных. Её значение составляет 12,77%.

Значения d1 и d2 определяются следующими формулами:


Вычислим d1 и d2:

d1 = [ln(s/X)+(r+0,5 σ 2)T/ σ √T = [ln(454948513/498133746)+(0,172+0,5*0,0163)1,86]/(0,1277*1,73) = 0,4142 = d1 - σ √T = 0,1930

Далее требуется найти значения N(d1) и N(d2). Для этого проще всего использовать функцию «НОРМРАСП» в Excel.

N(d1) = 0,313

N(d2) = 0,290

В завершение подставляем полученные данные в формулу Блэка-Шоулза:

Стоимость опциона = N(d1) * s + N(d2) * X * exp (-rT) = 0,313* 454948513 - 498133746 * 0,270 * 0,73122 = 36 770 620

Таким образом стоимость реального опциона, посчитанная с помощью метода Блэка-Шоулза, превышает стоимость реального опциона, посчитанного с помощью биноминальной модели. Обусловлено это тем, что в модели Б-Ш мы ориентируемся на рыночные показатели доходности и волатильности, что «подталкивает» показатель вверх. Но в целом полученный результат можно также интерпретировать как функциональную возможность модели прогнозировать более позитивный результат при управлении рисками, чем исход события, полученной с равновероятной возможностью.

По мнению С. Майерса, модель Б-Ш больше на подходит на опционы с расширением, а биноминальная модель следует применять при отсрочки инвестиций или досрочном прекращении проекта.

 

Заключение


В результате научного исследования, проведенного автором, были сделаны следующие выводы:

. Организация, которая агрегирует в себе функции инвестора и координатора на рынке недвижимости, называется девелоперской компанией. Чаще всего такая компания сочетает в себе функции застройщика-заказчика, реже генерального проектировщика и генерального подрядчика.

Подобная форма бизнеса обладает значительным рядом преимуществ относительно сегментарного строительного бизнеса, однако влечет также за собой существенные риски в виде возможности потери инвестиций и полной рисковой нагрузки.

. Выявлено, что неопределенность и риск являются важнейшими факторами ведения бизнеса, а ситуация, когда первые доходы инвестор начинает получать лишь после долгого промежутка времени, может быть сравнима с некоторыми операциями на финансовом рынке.

Риск - это не только негативные отклонения от фактического уровня получаемого дохода, но также и возможность для получения дополнительной прибыли. Однако в классических моделях не учитывается фактор риска, а лишь строиться прогнозный уровень оценивания будущих потоков. Автор приводил данные собственного исследования, где с достаточно большой точностью и объемом данных совершалась попытка предсказать цены на коммерческую недвижимость, однако как показало время - прогнозы оказались несостоятельными именно из-за отсутствия учета неопределенности.

В исследовании было приведено множество различных типов и подходов к классификации потенциальных изменений, а также способов реагирования на них.

Управление инвестициями - это процесс принятие решений, который строится на идейном создании и реализации мероприятие, которые должны противодействовать снижению стоимости проекта и получению дивидендов.

Система управления заключается в следующих этапах:

)        Планирование управления

)        Идентификация и анализ рисков

)        Планирование реагирования

)        Использование различных методов управления

)        Отслеживание исполнения мероприятий по риск-менеджменту

Статичными методами управления являются страхование, поиск и покупка гарантов, резервирование средств и лимитирование. В динамике можно управлять за счет применения финансовых инструментов, в том методом реальных опционов. Динамическая форма традиционно обеспечивает результаты, превышающие статичные, так как приближение к точки начала возврата инвестиций позволяет создавать более точные прогнозы и давать экономически более эффективную реакцию ЛПР.

. По мнению автора, первостепенным способом решения ситуации с неопределенностью - это применение подхода к управлению рисками через реальные опционы.

Применение реальных опционов дает возможности снизить будущую неопределенность и увеличивает стоимость проекта в виде премии, стоимостью реального опциона.

Классификация данного вида опционов по управленческому воздействию была приведена в работе. В общих чертах её можно описать, как опционы периодичность(стадийность), изменение объемов проекта/выход из проекта, на изменение специфики объекта (класса/архитектуры/концепции), на конъектурные реагирования (влияние рынка), а также на принятие решение относительно финансового структурирования сделок (соинвестирование, привлечение кредитных средств).

На примере реального проекта была показана возможная премия к стоимости за счет присутствия реального опциона на привлечение дополнительного финансирования.

NPV исследуемого объекта (Гродненская, вл.3) составляла 454 948 513, однако данная оценка не является полноценным определением стоимости проекта. Премия, которая может быть реализована, через разные модели показывает следующие результаты:

Модель Блэка-Шоулза

36 770 620

Биноминальная Модель

20 496 709


Предметное увеличение стоимости проекта, в исследованном случае, связано с осуществимостью реального опциона, но при этом осуществимость реального опциона обратно подвязана на увеличение цены.

Такая ситуация появилась за счет темы исследования - дополнительной возможности привлечения заемного финансирования. Если организацию-кредитора получается убедить в том, что при дополнительном выделении средств, стоимость проекта вырастает, то должно так или иначе закладываются в результирующей стоимости.

Применение подобное методологии может дать менеджменту новые возможности для воздействия на переговорный процесс, а также на практике улучшит качество кредитования девелоперских проектов за счет введения уточняющих факторов оценки.

В целом, тема реальных опционов не замыкается на описанном случае. Присутствует достаточно большое количество возможностей для продолжения работы, в том числе создание иных кейсов реальных опционов.

Список литературы


1.       Асаул, А.Н. Теория и методология институциональных взаимодействий субъектов инвестиционно-строительного комплекса / А.Н. Асаул. - М: Гуманистика, 2004. - 280с

.        Баронин, С.А. Девелопмент земельных участков в жилищных корпорациях при комплексном освоении территории: монография/ С.А. Баронин, И.Н. Сегаев, А.Н. Андросов. - Пензая: ПГУАС, 2011 - 128с

.        Васильев, В.М. Предпринимательская деятельность в строительном производстве: научные основы управления, конкуренция, риск и надежность/ В.М7 Васильев, Г.Н. Лапин, Ю.П. Панибратов, Р.м. Хамхоков - СПб.: Стройиздат СПб, 2004 - 181с

.        Проскурин, В.К. Анализ и финансирование инновационных проектов: Учеб. Пособие / В.К. Прокурин; под ред. д-ра экон. наук, проф. И.Я. Лукасевича. - М.: ИНФРА - М, 2011 - 112с

.        Селина, В.П. Теория реальных опционов и управление финансовыми рисками девелоперских проектов: Диссертация / В.П. Селина; науч. рук-ль к.э.н Проскурин, В.К. - М: ФУПРФ, 2014 - 32с

.        Шапкин, А.С. Теория риска и моделирование рисковых ситуаций/ А.С. Шапкин, В.А. Шапкин - М.: Дашков и К, 2009 - 880с

.        Ковалев, В.В. Инвестиции: Учебник/ В.В. Ковалев - М.: Проспект, 2011 - 584с

.        Балабанов, И.Т. Риск менеджмент/И.Т. Балабанов - М.: Финансы и статистика, 1996 - 192с

.        Брейли, Р. Принципы корпоративных финансов / Р. Брейли, С.Майерс. - М: Олимп, 2009. - 1008с

.        Землянский А.В. Прогнозирование цен на рынке недвижимости и выведение полезности девелоперских проектов для инвестора / А.В. Землянский под руководством В.С Мхитарян. - М: Сборник международной статистической конференции НИУ-ВШЭ 2014, 2014 - 33с

.        Лимитовский М.А. Инвестиционные проекты и реальные опционы на развивающихся рынках / М.А. Лимитовский - М.: Дело, 2004

.        Климов В. Управление экономической эффективность инновационных проектов в сфере информационных технологий / 2010 - М. - 288с

.        Баркалова, Н.Д. Метод имитационного моделирования рисков при разработке нефтяных месторождений: пример практического применения / Н.Д. Баркалова - Проблемы экономики и управления - 2005 - с28-38

.        Дамодаран А. Электронная страница преподавателя (Электронный ресурс). URL: #"904672.files/image023.jpg">

Приложение №2



 

Приложение №3


Перечень методов оценки стоимости опционов [12]

 

 

Приложение №4


Основные участники проекта:

АО «Рапид» - Застройщик-инвестор

ПАО «Моспромстрой» - Соинвестор, Генеральный подрядчик

Филиал «Фирма АРС» - Генеральный проектировщик

ООО «ТУКС МОСПРОМСТРОЙ» - технический заказчик строительства

ООО «Промстройинвест М» - Соинвестор, агент по реализации недвижимости

Этапы и сроки реализации проекта:

. этап - разработка проектной документации и проведение геологических изысканий:

кв. 15 - 2 кв.16

. этап - выполнение строительно-монтажных работ:

кв.16 - 2 кв.18

. этап - ввод объекта в эксплуатацию:

кв.18

Права застройщика на земельный участок:

Площадь земельного участка, на котором будут возведены жилые дома - 6 640 кв.м.

Данный участок находится в долгосрочном пользовании АО «РАПИД» по договору аренды, заключенному с Департаментом городского имущества города Москвы.

Проектом предусмотрено комплексное благоустройство в границах отведенной территории.

Местоположение участка

Местоположение строящегося 18-ти этажного односекционного жилого дома, 16-ти этажного двухсекционного дома с двухуровневой подземной автостоянкой: г. Москва, ул. Гродненская, вл.5А. Ближайшие станции метро "Кунцевская" и "Славянский бульвар". Территория, на которой разместится жилой комплекс ограничена улицами: на востоке ул. Багрицкого, на западе ул. Гродненская, на юге существующим 9-ти этажным жилым домом.

Технические характеристики объекта

В составе застройки запроектирован 18-ти этажный (+тех.чердак+2 подземных этажа) односекционный жилой дом, 16-ти этажный (+тех.чердак+2 подземных этажа) двухсекционный жилой дом и двухуровневая подземная стоянка под жилыми корпусами и частично под дворовым пространством, с въездом по однопутной рампе в корпусе 2 и выездом по однопутной рампе в корпусе 1.

конструктивная схема жилых зданий - каркасно-стеновая (автостоянка и подземные части жилых корпусов) и перекрестно-стеновая из монолитного железобетона с жесткой заделкой в монолитную железобетонную плиту.

фундамент - монолитная железобетонная плита.

фасады жилых корпусов - облицовка бетонными плитами в составе сертифицированной фасадной системы с воздушным зазором. Цоколь, входные площадки, ступени лестниц - облицовка плитами из натурального камня.

окна - двухкамерный стеклопакет в ПВХ-профиле.

остекление балконов - одинарное остекление в профилях из алюминиевых сплавов.

кровля - плоская, неэксплуатируемая из рулонных гидроизоляционных материалов, с внутренними водостоками, утепленная.

На первых / минус первых этажах жилых домов располагаются:

Корпус 1 - технические помещения, салон красоты, SPA-салон с косметическими кабинетами, парикмахерской и солярием; офисное помещение; помещение консьержа.

Корпус 2 - помещение консьержа, два магазина продовольственных товаров, магазин непродовольственных товаров, диспетчерская, технические помещения.

Состав строящегося корпуса

Количество квартир 240 шт., общей площадью 16 565,5 кв. м, в том числе:

Однокомнатных квартир - 49 квартир, площадью от 35,2 кв. м до 47,7 кв. м каждая;

Двухкомнатных квартир - 96 квартир, площадью от 47,6 кв. м до 72,2 кв. м каждая;

Трехкомнатных квартир - 85 квартир, площадью от 75 кв. м до 113,1 кв. м каждая.

Четырехкомнатных квартир - 10 квартир, площадью от 93,9 кв. м до 143,3 кв. м каждая

Машиноместа - 160 м/м


 

Приложение №5


Принт-скрин из модели. Полностью модель автор с частичным шифрованием внутренней коммерческой информации может предоставить отдельно по запросу.

Похожие работы на - Финансовое моделирование инвестиций

 

Не нашли материал для своей работы?
Поможем написать уникальную работу
Без плагиата!
Без нейросетей!