Оценка вероятности банкротства российских компаний
Дипломная
работа
На тему:
"Оценка вероятности банкротства российских компаний"
Содержание
Введение
Глава 1. Теоретические основы оценки вероятности банкротства
.1 Понятие банкротства, факторы, причины банкротства
.2 Модели оценки вероятности банкротства
.2.1 Классификация методов и моделей банкротств корпораций
.2.2 Дискриминантные модели банкротств
.2.3 Logit- и probit-модели оценки банкротства
.3 Пути, выходы по устранению банкротства
Глава 2. Анализ вероятности банкротства компании «Аэрофлот»
.1 Общая характеристика компании «Аэрофлот»
.2 Анализ финансового состояния компании «Аэрофлот»
.3 Анализ финансовых результатов деятельности компании
«Аэрофлот»
Глава 3. Оценка вероятности банкротства компании «Аэрофлот»
.1 Оценка вероятности банкротства компании «Аэрофлот»
.2 Мероприятия, направленные на снижение рисков компании
«Аэрофлот»
Заключение
Список использованных источников и литературы
Введение
В современных экономических условиях наблюдается рост числа организаций
и, как следствие, усиление конкуренции почти в любом сегменте. Это приводит к
тому, что фирмы становятся более чувствительными к изменениям рыночной
конъюнктуры. Чтобы оставаться конкурентоспособной на рынке товаров и услуг,
компании необходимо повышать эффективность деятельности. Интерес к данной теме
оправдан, так как любая организация может столкнуться с проблемой неустойчивого
финансового состояния, неплатежеспособностью, банкротством. Непрерывность
финансовой деятельности заключается в стабильной работе компании в будущем, а
также недопущении возникновения неблагоприятных ситуаций для финансового
состояния в текущем периоде. Финансовая оценка риска банкротства организации
позволяет спрогнозировать вероятность наступления кризисной ситуации, а также
компании своевременно принять необходимые бизнес-решения для ее устранения.
Определение банкротства дается в статье 2 Федерального закона «О
несостоятельности (банкротстве)» - несостоятельность (банкротство) - признанная
арбитражным судом неспособность должника в полном объеме удовлетворить
требования кредиторов по денежным обязательствам и (или) исполнить обязанность
по уплате обязательных платежей.
В настоящее время российские и зарубежные специалисты предлагают
многообразные методы анализа бухгалтерской и финансовой отчетности,
отличающиеся друг от друга целями и задачами анализа, информационной базой,
техническим обеспечением, оперативностью решения аналитических и управленческих
задач, опытом и квалификацией персонала.
Острота своевременного выявления кризисного положения или
несостоятельности компании породила множество научных исследований в данной
области, причем не только отечественных, но и зарубежных специалистов. Основная
задача этих исследований состоит в прогнозировании спрогнозировать план
действий компании в краткосрочной перспективе или же на более длительный
период.
Проблема оценки финансового состояния предприятий, и в частности,
предсказания их возможного банкротства была и остается актуальной, поскольку в
этом заинтересованы и внутренние и внешние контрагенты предприятия. Каждый
участник экономического сообщества должен быть уверен в надежности и финансовой
состоятельности своих партнеров, в противном случае любой имеет возможность
использовать механизм банкротства как средство возврата долга неплатежеспособными
партнерами.
Целью предлагаемой дипломной работы является оценка вероятности
банкротства российских компаний на примере компании авиакомпании Аэрофлот.
Задачами дипломной работы являются:
дать понятие банкротства, выявить факторы и причины банкротства;
охарактеризовать модели оценки вероятности банкротства;
раскрыть направления по предотвращению и устранению банкротства;
оценить вероятность банкротства компании Аэрофлот.
Структура дипломной работы представлена введением, двумя основными
главами, заключением и списком использованных источников.
Глава 1.
Теоретические основы оценки вероятности банкротства
1.1
Понятие банкротства, факторы, причины банкротства
Явления несостоятельности и банкротства предприятий являются неизбежными
атрибутами рыночной экономики. Однако данные понятия до сих пор не имеют
четкого, не вызывающего споров определения. В России Федеральным законом от 26
октября 2002 г. № 127 «О несостоятельности (банкротстве)» [1] введено следующее
официальное определение несостоятельности (банкротства): «признанная
арбитражным судом неспособность должника в полном объеме удовлетворить
требования кредиторов по денежным обязательствам, о вы-плате выходных пособий и
(или) об оплате труда лиц, работающих или работавших по трудовому договору и
(или) исполнить обязанность по уплате обязательных платежей» [1]. Как видно,
здесь имеет место их отождествление.
Такая трактовка, несмотря на ее достаточно солидный «возраст» (она была
озвучена еще в первой редакции Закона о несостоятельности (банкротстве) 1992 г.),
продолжает вызывать споры в научной среде. Отождествление этих понятий на
официальном уровне впервые нашло отражение в 1992 г. в Указе Президента РФ №
621 «О мерах по поддержке несостоятельных государственных предприятий
(банкротов) и применении к ним специальных процедур» и в дальнейшем
подтверждено во всех трех редакциях ФЗ «О несостоятельности (банкротстве)» в
1992, 1998 и 2003 гг. Но на этот счет имеется и другая позиция. Так, еще в
российском дореволюционном законодательстве эти понятия различались. В
настоящее время аналогичный подход характерен для законодательства ряда стран
(например, Франции). Отсутствует единство взглядов и среди отечественных
ученых. По мнению авторов, эти понятия необходимо разделять, так как хотя они и
взаимосвязаны, но имеют разное экономическое содержание .
Предпосылкой несостоятельности и банкротства является
неплатежеспособность, но имеются различные виды неплатежеспособности в
зависимости от возможного срока погашения обязательств. По мере накопления
долгов она трансформируется из одного вида в другой, становясь тем самым более
глубокой (под глубиной неплатежеспособности мы понимаем время, необходимое для
погашения обязательств).
Можно выделить пять ступеней неплатежеспособности: зарождающуюся,
прогрессирующую, устойчивую, хроническую и абсолютную. При определении
временных интервалов ступеней неплатежеспособности целесообразно использовать
приведенные в ФЗ «О несостоятельности (банкротстве)» сроки процедур,
применяемых по отношению к должнику. ФЗ «О несостоятельности (банкротстве)»
содержит следующие «контрольные» временные промежутки:
интервал продолжительностью три месяца - срок, по истечении которого в
отношении предприятия, не исполняющего свои обязательства, может быть
возбуждено дело о банкротстве;
длительность процедуры наблюдения, т.е. семь месяцев;
период реабилитационных процедур - два года;
срок мирового соглашения, продолжительность которого может варьироваться
в широком диапазоне от трех - пяти до двадцати - двадцати пяти лет.
Исходя из этого:
зарождающейся является неплатежеспособность, которая может быть устранена
в течение трех месяцев. Если предприятие смогло погасить свои обязательства в
срок до возможного возбуждения дела о банкротстве, то, скорее всего,
неплатежеспособность возникла в силу технических причин (кассовые разрывы,
завышенные нормативы оборотных средств, низкая оборачиваемость дебиторской
задолженности, низкая платежная дисциплина предприятий-должников и т.д.).
Безусловно, несвоевременное погашение обязательств может свидетельствовать и о
наметившихся кризисных тенденциях. Поэтому даже данный вид неплатежеспособности
требует пристального внимания со стороны руководства предприятия;
прогрессирующей является неплатежеспособность, которая может быть
устранена в течение десяти месяцев (продолжительность каждой последующей
ступени включает длительность предыдущей). Этот вид неплатежеспособности тоже
может носить технический характер и быть обусловлен теми же причинами, что и
зарождающаяся неплатежеспособность. Но следует учитывать, что сам факт возможности
возбуждения дела о несостоятельности пред-приятия является тревожным сигналом и
требует внесения существенных корректив в работу предприятия;
устойчивой является неплатежеспособность, которая может быть устранена в
течение двух лет и десяти месяцев. При устойчивой неплатежеспособности
предприятие, безусловно, находится в кризисном состоянии;
хронической является неплатежеспособность, которая может быть устранена в
течение периода мирового соглашения. Эта ступень неплатежеспособности является
необходимым и достаточным условием несостоятельности предприятия.
Заключительная ступень развития неплатежеспособности - абсолютная
неплатежеспособность. Абсолютно неплатежеспособное предприятие либо вообще не
способно восстановить платежеспособность за сколь угодно длительный срок, либо
этот срок столь длителен, что превышает и два года и десять месяцев, и срок
мирового соглашения, приемлемый для кредиторов. Абсолютная неплатежеспособность
является сигналом о нецелесообразности заключения мирового соглашения и необходимости
проведения конкурсного производства.
Не останавливаясь на характеристиках отдельных видов
неплатежеспособности, обратимся к конечным ее ступеням - хронической и
абсолютной неплатежеспособности. Они имеют место, когда времени, отведенного
законом, на погашение обязательств недостаточно. Это время измеряется максимум
34 месяцами: 3 месяца - от момента неисполнения обязательств до подачи
заявления в арбитражный суд о признании должника банкротом, 7 месяцев -
длительность процедуры наблюдения, 24 месяца - длительность реабилитационных
процедур (финансовое оздоровление и (или) внешнее управление).
Рассмотрим какая глубина неплатежеспособности соответствует
несостоятельности, а какая - банкротству. Вопрос о несостоятельности
предприятия возникает, когда срок восстановления платежеспособности превышает
время, законодательно отведенное для реабилитационных процедур. То есть
возникает ситуация, когда продажа активов предприятия в той их части, которая
не вызовет прекращения основного производственного цикла предприятия, не дает
возможности выручить сумму, достаточную для того, чтобы, сложив ее с выручкой
от реализации продукции, расплатиться с кредиторами в течение реабилитационных
процедур. Таким образом, возникает угроза продажи активов, утрата которых приведет
к прекращению или значительному ограничению деятельности предприятия. Вполне
логично, что даже если, выручив деньги от продажи данного вида активов,
предприятие сможет расплатиться по наступившим обязательствам, пострадает его
перспективная платежеспособность, то есть возможность расплатиться по
долгосрочным обязательствам. Поэтому в данном варианте для анализа следует
использовать весь объем обязательств предприятия. То есть хроническая
неплатежеспособность предприятия подразумевает его неспособность, функционируя,
рассчитаться по всем своим наступившим обязательствам в течение срока,
включающего в себя время с момента невыполнения обязательств до возбуждения
дела о несостоятельности, период наблюдения и период реабилитационных процедур,
и при этом размер обязательств превышает рыночную стоимость активов. Именно
хроническая неплатежеспособность является единственным необходимым условием для
признания предприятия несостоятельным. Для несостоятельного предприятия
необходимо принять решение о его дальнейшей судьбе, то есть определить,
является ли неплатежеспособность абсолютной. Если предприятие, продолжая
функционировать, не способно рассчитаться по своим обязательствам в срок,
приемлемый для кредиторов, то неплатежеспособность абсолютная и необходимо вводить
процедуру конкурсного производства, то есть начинать процесс банкротства
предприятия. Исходя из этого, можно выделить два момента, необходимых для
определения банкротства. Первое - банкротство - это процесс ликвидации
предприятия по причине его абсолютной неплатежеспособности. Второе - все
процедуры банкротства производятся только в судебном порядке. Теперь, исходя из
вышеназванных признаков, дадим чет-кое определение понятия банкротства.
Банкротство - это производимый в судебном порядке процесс ликвидации абсолютно
неплатежеспособного предприятия.
Вернемся к анализу соотношения понятий несостоятельности и банкротства
предприятия. Исходя из приведенных определений, можно сделать вывод, что эти
термины, будучи тесно связанными между собой, все же несут различную смысловую
нагрузку.
Для более полного понимания природы различий между несостоятельностью и
банкротством изобразим в виде графа развитие неплатежеспособности на
предприятии (рисунок).
Рисунок 1.1. Развитие неплатежеспособности
Вершины графа отображают события и имеют следующие коды:
- зарождающаяся неплатежеспособность (момент неоплаты наступивших
обязательств);
- восстановление платежеспособности (оплата наступивших обязательств);
- прогрессирующая неплатежеспособность;
- устойчивая неплатежеспособность;
- хроническая неплатежеспособность, то есть несостоятельность
предприятия;
- абсолютная неплатежеспособность;
- объявление предприятия банкротом. Маршруты графа отображают процессы и
имеют следующие коды:
-3 - углубление неплатежеспособности до уровня, когда предприятие не
может погасить наступившие обязательства до момента подачи заявления в
арбитражный суд;
-4 - развитие неплатежеспособности до уровня, когда предприятие не
способно погасить свои обязательства за период наблюдения;
-5 - достижение неплатежеспособностью ступени, при которой предприятие не
способно расплатиться по наступившим обязательствам в течение реабилитационных
процедур;
-6 - углубление неплатежеспособности до уровня, при котором предприятие
не способно погасить свои обязательства в срок, приемлемый для кредиторов;
-7 - процесс банкротства предприятия;
-2, 3-2, 4-2, 5-2 - восстановление платежеспособности до уровня, при
котором предприятие способно погасить все наступившие обязательства.
Граф наглядно иллюстрирует различие между несостоятельностью и
банкротством. Действительно, несостоятельность является завершающим событием
для процесса развития неплатежеспособности от ее за-рождения до ступени
хронической неплатежеспособности и начальным событием для процесса углубления
неплатежеспособности от хронической до абсолютной. В свою очередь, абсолютная
неплатежеспособность является исходным событием, инициирующим процесс
банкротства предприятия. Завершающим событием процесса банкротства является
объявление предприятия банкротом, сопровождающееся внесением записи о его
ликвидации в Единый государственный реестр юридических лиц. По мнению авторов,
именно после внесения в ЕГРЮЛ записи о ликвидации предприятия его следует
объявлять банкротом, так как данная процедура ставит точку в процессе
ликвидации предприятия, то есть является завершающим событием процесса
банкротства.
Таким образом, анализ развития неплатежеспособности иллюстрирует, что несостоятельность
не может являться синонимом банкротства в силу следующих причин:
несостоятельности и банкротству соответствуют различные ступени
неплатежеспособности. Несостоятельным предприятие является, будучи хронически
неплатежеспособным. Банкротству же соответствует абсолютная ступень
неплатежеспособности. То есть несостоятельное предприятие может восстановить
платежеспособность в результате заключения мирового соглашения, в то время как
абсолютно неплатежеспособное предприятие не в состоянии удовлетворить
требования кредиторов в какие бы то ни было приемлемые сроки;
банкротство является лишь одним из возможных путей развития событий на
несостоятельном предприятии, но никак не обязательным условием
несостоятельности;
банкротство представляет собой процесс ликвидации предприятия как
юридического лица, в то время как несостоятельность является событием,
завершающим определенный этап развития неплатежеспособности. То есть различна
сама природа данных терминов;
существенным различием несостоятельности и банкротства является и причина
их возникновения. Возникновение несостоятельности происходит без элемента
целеполагания со стороны руководства предприятия (если не учитывать уголовно
наказуемые случаи фиктивного и преднамеренного банкротства). Банкротство же процесс,
инициируемый вполне осознанно и направленный на разрешение экономических
противоречий, возникших вследствие абсолютной не-платежеспособности. Таким
образом, несостоятельность предприятий - естественное явление, возникающее в
рыночной экономике, а банкротство - процесс, направленный на осознанное
законодательное регулирование последствий абсолютной неплатежеспособности.
Действительно, неспособность предприятия погасить свои обязательства - явление,
существующее независимо от его судебного признания и ликвидации предприятия.
Банкротство же направлено на цивилизованное разрешение данного противоречия.
При отсутствии института банкротства был бы возможен вариант длительного
функционирования абсолютно неплатежеспособного предприятия в режиме «перезанимания»
средств для текущей деятельности. Именно банкротство подводит черту под
деятельностью таких предприятий. То есть банкротство - процесс, направленный на
минимизацию негативных последствий явления абсолютной неплатежеспособности.
Рассмотрим далее факторы и причины банкротства предприятий в современных
условиях. Вопрос о факторах и причинах банкротства широко обсуждается как в
зарубежной, так и в отечественной литературе, однако, как правило, различий
между факторами и причинами не проводится, выделяются либо те, либо другие. В
попытке разделить факторы и причины банкротства фирм можно сказать, что факторы
обусловлены изменением внешних и внутренних условий функционирования компаний,
природой их деятельности и присутствуют вследствие рисков предпринимательской
деятельности. При этом свое негативное влияние они начинают оказывать под
воздействием конкретных причин, вызывающих крайнее обострение накопленных
противоречий.
Факторы банкротства - это настораживающее событие или зафиксированное
состояние, установленная тенденция, свидетельствующая о возможности наступления
кризиса на предприятии, способного перерасти в неплатежеспособность и
последующее банкротство. Факторы банкротства оказывают влияние на все сферы
предпринимательской деятельности. Например, кризисное состояние реального
сектора, резкие изменения государственной экономической и финансовой политики,
неудачные институциональные решения, неразвитость законодательства в области
прав собственности и предпринимательства. В целом банкротство фирм возникает в
результате нарушения процесса воспроизводства, развития кризисных процессов,
обусловленных действием макроэкономических и микроэкономических факторов.
Среди факторов макроуровня прежде всего необходимо выделить действие
системных факторов, обусловленных незавершенностью институциональных
преобразований, неразвитостью правовой базы, неадекватной государственной
экономической политикой, неравноправным схождением в мировую хозяйственную
систему.
В современной ситуации, когда экономические субъекты осуществляют свое
взаимодействие через рынки, особое значение приобретает сбалансированность
экономики, наличие необходимых воспроизводственных пропорций. Разумеется, в
процессе экономического развития пропорции между отдельными секторами и
отраслями экономики постоянно меняются. Однако, если в экономике отсутствует
сбалансированность экономических процессов и происходит гипертрофированное
развитие одних секторов и отраслей за счет других, возникает разрыв в динамике
производства различных отраслей между конечным спросом и производством. Наличие
структурных диспропорций в экономике проявляется в первую очередь в том, что
выделяются определенные виды хозяйственной деятельности, приносящие высокие
доходы и при этом являющиеся относительно низко рискованными. Другие отрасли
начинают деградировать, а производители внутри них не могут обеспечить
необходимый уровень доходов при приемлемом уровне риска для продолжения
деятельности, что приводит к банкротству.
В то же время в современных условиях структурные пропорции экономики
формируются под воздействием ускорения научно-технического прогресса, когда
инновации становятся главным фактором роста и развития как национального
хозяйства в целом, так и отдельных его элементов. Возможность осуществлять
инновационную деятельность определяется развитием инновационного потенциала
национальной экономики, ее способностью технологически и коммерчески
использовать научно-технические знания.
С одной стороны, бизнес, предъявляя спрос на инновационные ресурсы,
способствует развитию инновационного потенциала экономики. Но, с другой
стороны, снижение этого потенциала негативно сказывается на возможностях
поддержания конкурентоспособности как важнейшего условия стабильного развития.
Так, при снижении инновационного потенциала экономики фирмы неизбежно
сталкиваются с недостатком научно-технических новшеств, готовых к коммерческому
использованию, отсутствием на внутреннем рынке необходимого количества
современных машин и оборудования, доступных сырьевых и финансовых ресурсов,
сокращением человеческих ресурсов, способных инициировать, внедрять
нововведения, осуществлять инновационный процесс и адекватно воспринимать
инновации.
Компании отраслей, наиболее подверженных действию фактора снижения
инновационной активности экономики, испытывают значительные трудности при
встраивании инноваций в технологическую цепочку создания стоимости товара. В
таких компаниях замедляется процесс обновления производства и совершенствования
продукции, сокращается удельный вес затрат на собственные исследования и
опытно-конструкторские разработки, усиливается зависимость от импорта
современных технологий. Все это, при прочих равных условиях, ослабляет
конкурентные позиции компаний, снижает возможности их дальнейшего стабильного
функционирования.
В последние годы также наблюдается снижение инвестиционной активности
российских предприятий, при этом в опросе, проведенном Федеральной службой
государственной статистики в 2015 году среди 10,3 тыс. организаций из 80
субъектов РФ, были выделены факторы, ограничивающие инвестиционную деятельность
(см. табл. 1.1).
Данные таблицы свидетельствуют о том, что именно недостаток собственных
финансовых средств и дорогие банковские кредиты сдерживают процесс обновления
основных фондов, что в свою очередь проявляется в снижении коэффициента их обновления.
Сталкиваясь с недостатком долгосрочных инвестиционных ресурсов, фирмы не могут
осуществлять не только стартовые и развивающие инвестиции, но и так называемые
поддерживающие, то есть препятствующие разорению и банкротству.
Таблица 1.1. Распределение организаций по оценке факторов, ограничивающих
инвестиционную деятельность (в процентах от общего числа организаций)
|
Факторы, ограничивающие инвестиционную деятельность
|
Доля фактора, %
|
|
Недостаточный спрос на продукцию
|
19
|
|
Недостаток собственных финансовых средств
|
64
|
|
Высокий процент коммерческого кредита
|
25
|
|
Сложный механизм получения кредитов для реализации
инвестиционных проектов
|
13
|
|
Инвестиционные риски
|
27
|
|
Низкая прибыльность инвестиций в основной капитал
|
10
|
|
Неопределенность экономической ситуации в стране
|
26
|
Сегодня ни одна компания не использует для развития и поддержания своей
деятельности только собственные внутренние финансовые ресурсы, а наоборот,
активно привлекает заемные средства, которые позволяют не только осуществлять
инвестиционную деятельность, но и преодолевать временные трудности в связи
возникающей текущей неплатежеспособностью, обусловленной разрывом в денежных
потоках. В России объем банковских кредитов, который и так составляет
незначительную долю в источниках финансирования инвестиций в основной капитал,
демонстрирует тенденцию к снижению за последние годы.
Доступность заемных средств для компаний зависит от многих факторов,
среди которых в первую очередь можно выделить их стоимость (процентные ставки)
и возможность выхода на рынок капитала. Высокие процентные ставки,
обусловленные как недостатком предложения финансовых ресурсов, так и высоким
уровнем инфляции, существенно увеличивают издержки производства и реализации
продукции, а также могут быть недоступны для многих предприятий с низким
уровнем рентабельности.
В меньшей степени трудности с привлечением заемных финансовых ресурсов
при прочих равных условиях испытывают крупные компании, особенно при размещении
своих долговых обязательств на организованном рынке ценных бумаг, поскольку они
в большей степени могут соответствовать требованиям, которые биржи предъявляют
к эмитентам. Высокие барьеры выхода на рынок капитала, которые определяются
также и регулирующей политикой государства, лишают часть компаний (прежде всего
малого и среднего бизнеса) важного источника дополнительных финансовых
ресурсов, необходимых для поддержания и развития своей деятельности.
Возможности привлечения финансовых ресурсов путем выпуска корпоративных
ценных бумаг российские компании используют еще в меньшей степени.
Государство как регулятор экономических процессов воздействует на условия
функционирования хозяйствующих субъектов через денежно-кредитную, налоговую,
внешнеэкономическую политику. Используя различные инструменты, государство, с
одной стороны, должно способствовать формированию благоприятного делового и
инвестиционного климата. Но, с другой стороны, необходимость выполнения
различных функций и принятых на себя обязательств может приводить к тому, что
государство принимает те или иные меры без учета специфики состояния отдельных
отраслей и сфер общественного производства. Так, преимущественно фискальный
характер налогообложения, отсутствие должной дифференциации налоговых ставок,
особенно при наличии структурных диспропорций, ставит отдельных производителей
в заведомо неравные условия, снижает их заинтересованность в развитии
производства.
В то же время в рыночной экономике успешная деятельность компании зависит
не только от эффективного производства продукции, но и от возможностей быстро и
в полном объеме реализовать ее по ценам, возмещающим издержки производства и
обеспечивающим прибыль. Проблема реализации товаров особенно обостряется в
периоды экономических кризисов, когда резкое падение спроса на продукцию той
или иной отрасли приводит к развитию кризисных процессов внутри нее, что
чревато массовым банкротством производителей и продавцов данной продукции.
Говоря о массовых банкротствах нельзя не отметить такой фактор, как разрыв
хозяйственных связей, который нарушает целостность и непрерывность
воспроизводственного процесса, тем самым подрывая финансовую устойчивость
компании и может привести к неплатежеспособности.
Дополнительные трудности, которые могут привести к неплатежеспособности и
банкротству, испытывают компании, импортирующие сырье и материалы или
поставляющие в основном свою продукцию на внешние рынки при неспособности
государства обеспечить стабильность обменного курса. Высокая волатильность
курса национальной валюты будет подрывать финансовую стабильность таких
производителей, затруднять их производственную и рыночную деятельность.
Низкая конкурентоспособность многих российских компаний обусловливает
стабильно высокий удельный вес убыточных организаций в современной экономике
России.
Однако воздействие только макроэкономических факторов не может приводить
к банкротству отдельные фирмы, ведь какими бы неблагоприятными ни были бы
условия хозяйствования, производство в стране не останавливается и рыночная
деятельность не прекращается. Макроэкономические факторы воздействуют на всю сферу
предпринимательской деятельности, но при этом лишь часть компаний становятся
несостоятельными и уходят с рынка. Действие микроэкономических факторов во
многом объясняет это положение.
Компания, встроенная в систему рыночных отношений, участвующая в межотраслевой
и внутриотраслевой конкуренции, осуществляющая различные виды деятельности
(операционную, инвестиционную, финансовую и др.), должна постоянно
приспосабливаться к изменяющимся условиям. Сущностный характер рыночных
отношений не изменился, и на микроуровне компании по-прежнему находятся под
воздействием так называемых пяти сил конкуренции Портера, которые приходится
учитывать на всех этапах создания стоимости. Любые отклонения деятельности
компаний от условий, диктуемых рынком и ее конкурентами, могут привести ее к
банкротству.
В первую очередь это происходит тогда, когда компания осуществляет
производство продукции, невостребованной рынком. Рыночная власть потребителей в
современных условиях усиливается. Индивидуализация потребностей, появление на
рынке товаров заменителей (более дешевых или более качественных) может привести
к тому, что налаженное ранее производство какого-либо вида товара или услуги
уже не находит своего покупателя. Подобные проблемы могут возникнуть и при
выводе на рынок нового продукта, если этому не предшествуют серьезные
маркетинговые исследования и отсутствуют навыки продвижения продукта на рынок.
Кроме того, для российского предприятия фактором кризиса и возможного
банкротства может стать его неконкурентоспособность по сравнению с западными
компаниями в условиях глобальной экономики. При этом меры по защите
отечественного производителя, обычно предпринимаемые российским Правительством
в период кризиса, дают кратковременный эффект и ограничивают выбор
потребителей. Они также не всегда оказываются эффективными: например, оказанная
масштабная финансовая поддержка автомобильного концерна «АвтоВАЗ» в результате
не привела к структурной перестройке бизнеса и улучшению качества продукции, а
действовавшие программы утилизации лишь на время способствовали увеличению
продаж.
Неспособность компании овладеть таким важным в современных условиях
фактором производства, как клиентский капитал, который способствует
формированию лояльности потребителей, обеспечению устойчивых потоков денежных
средств, неизбежно приведет к поражению в конкурентной борьбе. Не меньшую
ценность для компании имеют качественные устойчивые связи с поставщиками,
подрядчиками и контрагентами смежных отраслей. Это позволяет контролировать
издержки и поддерживать непрерывность производственного процесса. Если компания
плохо работает с потребителями своей продукции и поставщиками, у нее
отсутствуют налаженные с ними связи, то это неизбежно будет приводить к
перерывам в процессе воспроизводства, увеличивать издержки, приводить к убыткам
и неплатежеспособности.
Отличительной чертой компании вне зависимости от ее размеров и сферы
деятельности является то, что она представляет собой не только
технико-экономическую, но и социальную систему. Поэтому в общем ряду факторов,
которые в современных условиях обеспечивают экономический прогресс и устойчивое
развитие как общества в целом, так и отдельной компании, выделяют также и
социальный капитал и связанную с ним корпоративную культуру, выполняющую
функции внутренней интеграции и внешней адаптации компании. Высокий уровень
корпоративной культуры в современных условиях рассматривается как мощный
стратегический инструмент, в то время как ее низкий уровень снижает степень
управляемости компании. Если собственники и руководители организации используют
ее средства на личные нужды, игнорируют инициативы, материальные интересы
сотрудников и ущемляют их в правах, то это приводит к разрозненности
индивидуальных и коллективных ценностей, снижению доверия к администрации и
мотивации к эффективному труду. Реализация таких корпоративных ценностей, как
профессионализм, лояльность, командный дух, ответственность, адаптивность,
способствуют заинтересованности сотрудников в достижении целей компании, что
создает основу и для внедрения инноваций во всех сферах деятельности.
Менеджмент, не готовый и не способный к разработке социально ориентированных
технологий изменения корпоративной культуры, не умеющий использовать различные
способы выстраивания цивилизованного диалога между руководителями и трудовым
коллективом, неизбежно столкнется с проблемой привлечения квалифицированных
кадров, фиксацией человеческого капитала в компании и его эффективного
использования. Можно сказать, что без этих факторов современного производства
компания обречена на провал.
Таким образом, различное сочетание макро- и микроэкономических факторов
оказывает существенное воздействие на количество компаний, находящихся в
процедурах банкротства.
Охарактеризуем причины банкротства компаний. Усиливающие действия
факторов причины банкротства представляют собой события или явления, вследствие
которых проявляются факторы кризиса и риска банкротства. Они оказывают
непосредственное воздействие на начало и развитие кризиса, способного
впоследствии привести к банкротству компании, и имеют временные рамки.
Существуют различные подходы к выделению причин банкротства. Так, Е.
Торкановский определяет 4 основных проблемных области (стратегия предприятия,
принципы деятельности, ресурсы, качество и уровень маркетинга), в рамках
которых могут возникнуть непосредственно причины банкротства. Большинство работ
западных специалистов также посвящено детализированному анализу именно
корпоративных причин разорений бизнеса, в том числе и на стадии его создания.
Наиболее распространенной является классификация, предложенная М.Д.
Эймсом, согласно которой выделяется 8 основных причин банкротства бизнеса:
(1) недостаток опыта;
(2) нехватка капитала;
(3) неудачное расположение бизнеса;
(4) неэффективное управление оборотным капиталом;
(5) излишнее инвестирование в фиксированные активы;
(6) плохая кредитная политика;
(7) использование средств компании на личные цели;
(8) неожиданный рост бизнеса.
Г. Берли добавляет еще две причины - конкуренция и низкие продажи13, -
что свидетельствует о попытках рассмотрения причин банкротства как следствия
действия макро- и микроэкономических факторов развития.
Обобщая известные концепции, можно отметить, что причины банкротства
могут включать в себя определенную, присущую отдельной компании, комбинацию
недостатков в ее деятельности, среди которых можно выделить, в частности:
недиверсифицированность производства, ориентация на монопродукты,
приводящая к банкротству при изменении рыночной ситуации;
неконтролируемый рост бизнеса, нарушение сбалансированных темпов роста,
ведущее к незапланированному увеличению расходов ведения деятельности;
низкий уровень применяемых технологий, физический и моральный износ
основных средств;
инвестирование в фиксированные активы при неэффективном управлении
оборотным капиталом, что не обеспечивает необходимое вовлечение финансовых
ресурсов в оборот;
неадекватная структура управления и организации производства,
нерациональная структура активов и пассивов;
неверное понимание потребностей рынка, что затрудняет планирование
структуры (ассортимента) продукции, приводит к излишним запасам одних видов
продукции при неудовлетворенности спроса на другие виды продукции;
ограниченность финансовых ресурсов, приводящая к невозможности занять
свою долю рынка, потере конкурентоспособности;
рост дебиторской задолженности за товары отгруженные, но не оплаченные в
срок;
дефицит собственного оборотного капитала как следствие неэффективной
производственно-коммерческой деятельности или неэффективной инвестиционной
политики;
привлечение заемных средств в оборот предприятия на невыгодных условиях,
что ведет к увеличению расходов;
рискованная и чрезмерно агрессивная программа развития, предполагающая
большой объем заимствований для финансирования проектов по захвату новых
рынков;
высокие затраты из-за низкого уровня использования мощностей, высоких
накладных расходов;
создание значительных по объему остатков незавершенного строительства,
незавершенного производства, производственных запасов, готовой продукции, в
связи с чем происходит затоваривание, замедляется оборачиваемость капитала и
образуется его дефицит, что заставляет предприятие залезать в долги и может
быть причиной его банкротства;
быстрое и неконтролируемое расширение хозяйственной деятельности, в
результате чего запасы, затраты и дебиторская задолженность растут быстрее, чем
объем продаж. Отсюда появляется потребность в привлечении краткосрочных заемных
средств, которые могут превысить чистые текущие активы (собственный оборотный
капитал). В результате предприятие попадает под контроль банков и других
кредиторов, подвергаясь риску банкротства;
снижение эффективности использования производственных ресурсов
предприятия, его производственной мощности и как следствие - высокая
себестоимость, убытки;
непрофессионализм менеджмента, ведущий к неправильной оценке рисков,
принятию ошибочных решений;
использование средств фирмы на личные нужды руководства, ведущее к
недоинвестированию;
недоучет финансовых рисков (возможности задержки оплаты товара
дебиторами, изменения финансовых условий поставки сырья, кредитования);
неадекватная оценка эффективности инвестиционных проектов и стоимости
используемого капитала, что может привести к финансовым потерям;
неадекватное юридическое сопровождение бизнеса, что делает контракты
фирмы более уязвимыми вместо включения условий договора, обеспечивающих защиту
ее интересов.
Это далеко не исчерпывающий список корпоративных проблем, обострение
которых может стать впоследствии причиной банкротства. Причем необходимо
учитывать, что этот «набор» уникален для каждой компании, зависит от специфики
ее деятельности и своевременности реагирования на изменения макро- и
микроэкономических факторов.
Таким образом, нерешенность многих экономических проблем, незавершенность
институциональных преобразований в нашей стране продолжают воспроизводить
совокупность различных факторов банкротства хозяйствующих субъектов. Вместе с
тем осознание этих факторов и понимание характера их воздействия на
деятельность фирм позволяет определить приоритеты государственной политики, а
на уровне отдельного хозяйствующего субъекта так организовать управление
имеющимися производственными, финансовыми, человеческими, интеллектуальными
ресурсами, чтобы обеспечить стабильное развитие и не допустить банкротства.
Анализ показал, что такие макроэкономические факторы, как структурные
диспропорции экономики, снижение ее инновационного потенциала, разрыв
хозяйственных связей, резкое падение спроса на продукцию в период циклического
кризиса, неэффективная налоговая политика государства, отсутствие долгосрочных
инвестиционных ресурсов, высокие процентные ставки и барьеры выхода на рынок
капитала, создают условия для возникновения финансовых трудностей на
предприятиях, не обладающих достаточной степенью устойчивости.
Воздействие макроэкономических факторов усугубляется возможным наличием
внутренних факторов, ведущих к неплатежеспособности. В процессе ухудшения
макроэкономических условий своей деятельности фирма может предпринимать попытки
преодоления кризиса. Однако при действии микроэкономических факторов
банкротства и совокупности конкретных причин, связанных с недостатками в
деятельности компании, мероприятия по поддержанию платежеспособности могут
оказаться неэффективными.
1.2 Модели
оценки вероятности банкротства
Существует целый ряд моделей прогнозирования банкротства, позволяющих
оценить и диагностировать перспективную степень платежеспособности предприятия.
Основной задачей диагностики является своевременное обеспечение принятия
управленческих решений в целях снижения влияния негативных финансовых
процессов. Так как ни одну модель банкротства нельзя считать совершенной, для
объективности общего анализа рассматриваются сразу несколько моделей. Только
комплексное рассмотрение описанных ниже моделей сможет дать объективную и
полную оценку финансовой состоятельности предприятия.
По данным, в настоящее время в мире существует более 200 различных
моделей диагностики риска банкротств предприятий, наиболее популярными среди
которых являются следующие: дискриминантные (MDA - модели), logit- и probit-модели.
В последние 5-12 лет появились и стали бурно развиваться новые методы и
инструментарии (нечетких множеств, нейронных сетей, фрактальной теории,
нейронечеткие), которые позволяют учитывать нелинейные зависимости индикаторов
назревающего банкротства и факторов, отражающих различные аспекты деятельности
корпорации в условиях неопределенности. Эти инструментарии значительно
расширили возможности моделирования банкротств, приблизив их к реальным
условиям. Указанные методы и инструментарии лежат в русле новой, нелинейной
парадигмы эконометрики; ее суть состоит в том, что не всегда «результат
воздействия на экономическую систему пропорционален интенсивности воздействия»,
возможно появление различных нелинейных эффектов .
Упомянутые нелинейные методы обеспечивают в определенном смысле прорыв в
вопросах эконометрического моделирования, включая задачи диагностики и
прогнозирования банкротств; однако в процессе применения этих методов возникли
специфические вопросы:
) границы применимости различных методов;
) устойчивость моделей оценки банкротств при небольших вариациях данных;
) оценка адекватности получаемых нелинейных моделей банкротств в сложных
условиях моделирования (сильная зашумленность и искажение данных при
неизвестных априори законах распределения шумов);
) неоднородность используемых данных, если они собраны в разные периоды
времени в различных регионах;
) оценка этапов банкротства в динамике;
) сложность формализации моделей, в частности нахождения оптимальной
системы показателей, структуры модели, методов ее регуляризации.
1.2.1 Классификация методов и моделей банкротств корпораций
Для того чтобы избежать усложнения и сузить объем излагаемого материала,
мы использовали пять основных признаков классификации в аспекте методов и
инструментов построения моделей банкротств (рис. 1.2), которые ориентированы на
преодоление сложностей при практическом построении нелинейных продвинутых
моделей:
- тип
модели и метод ее построения (блок 1);
- алгоритм
выбора и сравнения систем показателей (блок 2);
- алгоритм
сокращения размерности данных (блок 3);
- метод
предобработки данных (блок 4);
- метод
регуляризации модели (блок 5).
В блоке 1 выделено пять основных групп моделей. Из них группы 1.1 и 1.2 -
это статистические модели, а группы 1.3-1.5 - модели искусственного интеллекта.
По данным зарубежной печати , в 64% случаев оценки банкротства используются
статистические модели, в 25% случаев - модели искусственного интеллекта и в 11%
случаев - другие модели.
1.2.2 Дискриминантные модели банкротств
Группа многомерных дискриминантных моделей (MDA-моделей) является исторически наиболее ранней. Идея
построения этих моделей относительно проста. На основе статистических данных
корпораций строится регрессионная модель индикатора банкротства, получившая
название «Z-счета»:
(1.1)
Далее к величине Z
применяется некоторое дискриминантное правило отнесения анализируемого объекта
к классу «банкрот» или «небанкрот» с определенным уровнем уверенности
(вероятности). Наиболее широкую известность получила одна из первых
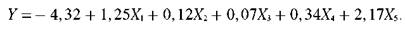
дискриминантных моделей - модель Альтмана:
Рисунок 1.2. Классификация моделей банкротств и методов их построения
(1.2)
где x1 - отношение собственного оборотного капитала к
сумме активов; x2 - отношение нераспределенной прибыли к сумме активов; x3
- отношение прибыли до уплаты процентов к сумме активов; x4 -
отношение стоимости собственного капитала к заемному капиталу; x5 -
отношение выручки к сумме активов. Дискриминантное правило для этой модели:
если Z<1,23, то это признак высокой вероятности банкротства; если Z>1,23
и более, то это свидетельствует о малой вероятности банкротства.
Первые работы по диагностике банкротств с использованием данной
методологии появились вслед за прокатившейся по США рецессией, так называемой
Великой депрессией, когда банкротами становились многие, некогда процветавшие
компании. Остановимся вкратце на моделях банкротства 1930-1965 гг. Их
характеристики приведены в табл. 1.2. В качестве преимуществ указанных моделей
можно отметить: простоту расчетов; возможность применения при ограниченной
информации; высокую степень предсказуемости банкротства в ближайшей
перспективе; учет показателей рентабельности и оборачиваемости.
Общими недостатками моделей типа Альтмана являются следующие.
. Набор факторов {xj}, j =
1,n , включенных в модель (1.1), у разных
авторов различается и алгоритмически никак не формализован.
. Дискриминантное правило отнесения нового объекта xv0
к одному из классов также носит эвристический (экспертный) характер.
. При изменении экономических условий (стагнация - кризис - подъем)
требуется корректировка коэффициентов {bj} модели (1.1).
. Дискриминантная модель вида (1.1) должна быть адаптирована к условиям
страны и отрасли экономики.
Таблица 1.2. Систематизация исследований прогнозирования банкротств в
1930-1965 гг.
. Z-счет и другие модели предсказания банкротства типа Альтмана не
учитывают такие факторы, как длина операционного цикла, изменчивость доходов,
соответствие денежного потока операционным расходам предприятия, структура
издержек предприятия и ликвидность различных классов активов. Данный тип
моделей исключает из совокупных активов нематериальные активы и затраты на
научно-исследовательские работы, они не предназначены для предприятий, занимающихся
производством продукции с небольшим сроком годности, а также компаний, которым
принадлежат труднореализуемые, долгосрочные активы .
Недостатки указанных выше моделей банкротства (будем условно называть их
«классическими») стимулировали попытки их усовершенствования. Так, в 1977 г.
британские исследователи Р. Таффлер и Г. Тишоу на выборке из 80 компаний
построили на основе многомерного дискриминантного анализа четырехфакторную
прогнозную модель финансовой несостоятельности, описываемую следующим
уравнением:
(1.3)
где x1 - отношение прибыли до уплаты налогов к текущим
обязательствам; x2 - отношение оборотных активов к общей
сумме обязательств; x3 - отношение текущих обязательств к
общей сумме активов; x4 - отношение выручки от продаж к общей
сумме активов. При значении
Z > 0,3 можно говорить о минимальном
уровне возможного банкротства. С уменьшением числа Z вероятность банкротства увеличивается; если величина Z меньше 0,2, банкротство более чем
вероятно.
Финансовый аналитик У. Бивер предложил свою систему показателей для
оценки финансового состояния с целью диагностики кризиса предприятия. Он
проанализировал 158 предприятий, из которых 79 стали банкротами и 79 сохранили
свою конкурентоспособность. Бивер создал базу данных, которую использовал для
статистического тестирования 30 финансовых коэффициентов. Среднее значение
данных показателей у фирм, не имевших финансовых проблем, сравнивалось со
средним значением предприятий, которые в дальнейшем обанкротились. Целью Бивера
было показать, какие финансовые коэффициенты могут быть использованы для
прогнозирования банкротства. Полученные значения показателей сравнивались с
нормативными значениями для трех состояний фирм: благополучных, обанкротившихся
в течение года и обанкротившихся в течение пяти лет. По мнению Бивера,
наибольшую значимость имеет коэффициент, характеризующий соотношение притока
денежных средств и заемного капитала. Система показателей Бивера и их значения
представлены в табл. 1.3.
Таблица 1.3. Система показателей финансового анализа У. Бивера
Отметим, что все недостатки классических моделей банкротства, отмеченные
выше, сохраняются и для моделей Р. Таффлера, Г. Тишоу и У. Бивера. Также
достаточно известными являются модели Дж.Г. Фулмера и Г. Л. Спрингейта . Что
касается последователей дискриминантного анализа, то наибольшей точности
прогнозирования банкротства (100% через 1 год и 40-50% через 2 года) добились Marias (1980), Izan (1984), Takahashi (1984), Frydman
(1985). Классический дискриминантный анализ является методикой, которая
наиболее часто используется в российских исследованиях факторов банкротства.
Однако в «чистом виде» использование западных моделей для российской экономики
затруднительно в силу специфических условий экономики развивающихся стран. Так,
еще Альтман делил модели банкротства на две большие группы: для развитых стран
(США, Япония, Германия, Англия, Франция, Голландия, Испания, Австралия, Греция)
и развивающихся стран (Аргентина, Бразилия, Индия, Ирландия, Северная Корея,
Малайзия, Сингапур, Финляндия, Мексика, Уругвай, Турция). Страновая
дифференциация моделей банкротств вполне обоснована. В развитых странах
деятельность корпораций более прозрачна и легче идентифицируема в силу наличия
законодательства о банкротстве, в котором присутствуют механизмы защиты
инвесторов. В развивающихся странах, как правило, указанные факторы
отсутствуют. Видимо, это одна из основных причин того, что до настоящего
времени отсутствует общепринятая обобщающая теория и соответствующая модель
оценки банкротств .
Специфика зарубежных методов прогнозирования банкротства привела к тому,
что в разные периоды отдельные российские авторы пытались разработать
адаптированный вариант соответствующей отечественной модели . Можно отметить
ряд работ : модель Г.В. Савицкой, шестифакторную модель О.П. Зайцевой
(Новосибирск), модель А.В. Колышкина (Санкт-Петербург), интегральную бальную
оценку Л.В. Донцовой и Н.А. Никифоровой, модель Иркутской государственной
экономической академии (ИГЭА), модель Казанского государственного
технологического университета, модель Ю.В. Адамова, модель Р.С. Сайфуллина и
Г.Г. Кадыкова, модель А.О. Недосекина (Санкт-Петербург), неформализованные
критерии А.И. Ковалева и В.П. Привалова, модель А.Д. Шеремета, модель М.А.
Федотовой, модель В.Ф. Философова, четырехфакторную модель А.Д. Беликова. Свой
вклад в решение проблемы диагностики несостоятельности (банкротства)
предприятий также внесли Г.П. Герасименко, В.И. Макарьева, Г.В. Давыдова, И.А.
Астраханцева, Л.В. Андреева, М.И. Баканов, И.Т. Балабанов, И.Г. Кукина.
1.2.3 Logit- и probit-модели оценки банкротства
Появление logit-моделей из группы 1.2 классификации (см. рис. 1.2) было
определенным прорывом в преодолении недостатков mda-моделей, отмеченных выше. Из
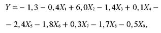
числа зарубежных моделей этого типа ключевой является модель Дж. Ольсона :
(1.4)
где X1 - натуральный логарифм отношения совокупных
активов к индексу-дефлятору валового национального продукта (ВНП); X2
- отношение совокупных обязательств к совокупным активам; X3
- отношение рабочего капитала к совокупным активам; X4 -
отношение текущих обязательств к текущим активам; X5 - равен
1, если совокупные обязательства превышают совокупные активы, в противном
случае равен 0; X6 - отношение чистой прибыли к совокупным
активам; X7 - отношение выручки к совокупным обязательствам; X8
- равен 1, если чистая прибыль была отрицательной последние 2 года, в противном
случае равен 0; X9 - отношение разницы между чистой прибылью
в последнем отчетном периоде и чистой прибылью в предшествующем отчетном
периоде к сумме чистой прибыли в последнем отчетном периоде и чистой прибыли в
предшествующем отчетному периоде, взятыми по модулю.
Расчетный показатель Y используется
для нахождения вероятности наступления банкротства по формуле логистической
регрессии:
(1.5)
Если вероятность оказывается больше 0,5, то делается вывод, что
банкротство произойдет, если меньше 0,5 - то не произойдет . Преимущества logit-моделей состоят в следующем.
. Предполагается нелинейная зависимость вероятности банкротства от
факторов, т.е. подход соответствует нелинейной парадигме эконометрики .
. Logit-модель, в отличие от mda-модели, не требует соблюдения
условия подчинения показателей многомерному нормальному закону распределения
(практика показала, что зачастую, особенно для несостоятельных предприятий, это
условие не соблюдается).
. Данный подход определяет, в отличие от дискриминантных моделей,
конкретную вероятность наступления банкротства (таким образом достигается
однозначность интерпретации результатов).
. В отличие от дискриминантных, в logit-моделях отсутствуют «зоны неопределенности», при
попадании в которые нельзя сделать однозначный вывод о вероятности банкротства.
В зарубежной практике logit-модели
пользуются большей популярностью по сравнению с дискриминантными моделями
диагностики риска банкротства; однако в России они пока не нашли широкого
применения. В числе основных причин ограниченного применения зарубежных logit-моделей диагностики риска
банкротства для российских предприятий можно указать:
- различия
в исходных данных, используемых для построения моделей (западные logit-модели были построены на основе
выборки зарубежных предприятий с показателями финансово-хозяйственной
деятельности, которые отличаются от принятых российских показателей);
- различия
в макроэкономической ситуации (коэффициенты и показатели в logit-моделях для стран с развитой
рыночной экономикой неприменимы для стран с переходной экономикой и наоборот);
- существенным
недостатком logit-модели Ольсона является также ее
статический характер, т.е. вероятность банкротства как мера его риска
оценивается лишь на данный момент времени анализа (банкротство в его развитии
по этапам не рассматривается);
- не
учитывается отраслевая специфика деятельности предприятий (западные logit-модели первоначально разрабатывались
как универсальные, т.е. применимые для предприятий любых отраслей, выборка,
соответственно, включала в себя предприятия различных отраслей; однако
многочисленные исследования в области финансового менеджмента показали, что
оптимальные значения коэффициентов при показателях в моделях варьируются для
предприятий различных отраслей, т.е. «универсальные» западные logit-модели не могут применяться для конкретных
отраслей российской экономики).
В целом, поскольку logit-модели
оценки риска банкротства предприятий показали высокую эффективность в странах,
где были разработаны, можно предположить, что, используя принципиально тот же
математический аппарат, но на основе выборки российских предприятий и системы
показателей, базирующейся на российских стандартах финансовой отчетности,
возможно построение достаточно точной модели, учитывающей специфические
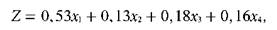
особенности российских предприятий. Так, в работе российского исследователя
В.Ю. Жданова была предпринята успешная попытка обобщения logit-моделей в аспекте учета динамики
банкротства применительно к конкретной отрасли - авиационной промышленности. В
модели выделено пять обобщенных показателей, которые, по мнению В.Ю. Жданова,
наиболее полно характеризуют финансовое состояние предприятий: X1
- коэффициент рентабельности оборотных активов; X2 -
коэффициент самофинансирования; X3 - коэффициент соотношения
мобильных и иммобилизованных активов; X4 - коэффициент оборачиваемости
активов; X5 - коэффициент текущей ликвидности.
Вероятность банкротства P
оценивается логистической функцией вида (5), где показатель экспоненты
вычисляется по формуле:
(1.6)
Принятие управленческих решений по logit-модели оценки риска банкротства
авиапредприятий проводится в соответствии с табл. 1.4.
Таблица 1.4. Лингвистическая характеристика риска банкротства предприятий
авиационно-промышленного комплекса
|
Интервалы изменения риска банкротства
|
Лингвистическая характеристика риска банкротства
|
|
P>0,8
|
Очень высокий риск банкротства
|
|
0,5<P<0,8
|
Высокий риск банкротства
|
|
0,2<P<0,5
|
Риск банкротства ниже среднего
|
|
P<0,2
|
Очень низкий риск банкротства
|
Основными достоинством модели банкротства, предложенной В.Ю. Ждановым,
является комплексность анализа банкротства. В работе данным автором построена
иерархическая система моделей. После оценки риска банкротства (измеряемого
соответствующей вероятностью ), формулируются задачи учета динамики развития
банкротства, определения логики изменчивости финансовых коэффициентов и вклада
каждого из них в итоговое значение вероятности банкротства. Данный
дифференцированный анализ позволит определить критические финансовые
коэффициенты, согласно которым увеличивается интегральный риск наступления
банкротства.
Автор работы большое внимание уделил оценке адекватности модели и
сравнительному анализу ее точности для достаточно широкого круга известных
отечественных и зарубежных моделей банкротств (табл. 1.5).
банкротство неплатежеспособность корпорация кризисный
Таблица 1.5. Суммарная сравнительная точность моделей оценки риска
банкротства предприятий авиационно-промышленного комплекса, %
Из табл. 1.5 следует, что модель В.Ю. Жданова применительно к исследуемой
авиационной отрасли превосходит основные известные модели по средней точности
оценки риска банкротства. Методологический подход данного автора, по нашему
мнению, применим для широкого спектра logit-моделей (при условии, если заменить
пять коэффициентов модели, используемых В.Ю. Ждановым, на «свои», специфические
для исследуемого класса задач банкротства).
К недостаткам модели В.Ю. Жданова можно отнести общий недостаток методов
группы 1.2 logit-анализа - чувствительность к наличию мультиколлинеарности
факторов X1 , ..., Xn и отсутствие сведений об устойчивости
модели в условиях сильного искажения данных при неизвестном априори законе
распределения шумов.
1.3 Пути,
выходы по устранению банкротства
По состоянию предприятий-банкротов следует классифицировать:
фиктивное банкротство - заведомо ложное объявление предприятия,имеющего
возможность удовлетворить кредиторов в полном объеме о своей несостоятельности
в целях введения в заблуждение кредиторов, для получения отсрочки, скидки или
отмены платежей;
преднамеренное банкротство - преднамеренное создание или увеличение
неплатежеспособности предприятия, нанесения ущерба в каких либо интересах,
некомпетентное ведение дел;
реальное банкротство - характеризует полную неспособность предприятия
восстановить в предстоящем периоде свою финансовую устойчивость и
платежеспособность в силу реальных потерь используемого капитала;
техническое банкротство - характеризует состояние неплатежеспособности
предприятия, вызванное существенной просрочкой его дебиторской задолженности.
Техническое банкротство при эффективном антикризисном управлении предприятием
обычно не приводит к юридическому банкротству.
Для предотвращения банкротства на предприятии осуществляются меры
профилактики банкротства предприятия. Мониторинг управления банкротством
предприятий представляет собой сгруппированную на макроуровне систему сбора
данных о состоянии предприятий и расчета показателей, которые позволяют
апробировать возникновение банкротства. Чаще всего существует необходимость
применения мониторинга в области банкротства, так как методы анализа и
прогнозирования практически перестали работать в полную силу.
По мнению Авдошиной З.А. « Управление организацией в условиях кризиса-это
совокупность методов, направленных с одной стороны , на уменьшение всех статей
затрат, увеличение поступления денежных средств в организацию, необходимых для
погашения долгов, а с другой-на рост объема продаж и получение соразмерной
прибыли» .
Антикризисное регулирование - это макроэкономическая категория,
представляющая собой меры воздействия со стороны государства, которые
направлены на защиту предприятий от кризисных ситуаций.
Антикризисное управление деятельностью предприятий представляет собой
совокупность форм и методов реализации антикризисных процедур, применимых к
конкретному предприятию - должнику. В отличие от мониторинга это
микроэкономическая категория, отражающая производственные отношения на уровне
предприятия .
Как отмечает Немченко В.В., реализация политики антикризисного управления
при угрозе банкротства предприятия предусматривает следующие основные
направления: осуществление мониторинга финансового состояния предприятия с
целью раннего обнаружения признаков его кризисного развития; Определение
масштабов кризисного состояния предприятия; исследование основных факторов,
обуславливающих кризисное развитие предприятия; Создание и реализация плана
антикризисного управления.
Санация предприятия-должника - реорганизационная процедура,
предусмотренная Законом РФ «О несостоятельности (банкротстве) предприятий», при
которой государством в качестве собственника предприятия должника оказывается
финансовая помощь предприятию-должнику. Продолжительность санации не должна
превышать 18 месяцев . Вопрос об оказании государственной поддержки предприятия
рассматривается арбитражным судом производства по делу о несостоятельности
(банкротстве) предприятия. В 15-дневный срок со дня получения уведомления о
возбуждении делопроизводства в арбитражном суде орган, уполномоченный принимать
решения по делам о несостоятельности, предоставляет в арбитражный суд свои
предположения об участии в санации и обязательство гарантировать удовлетворение
требований всех кредиторов и возмещение арбитражных расходов.
Таким образом, можно сделать вывод, что во всем мире под банкротством
принято понимать финансовый кризис, то есть неспособность фирмы выполнять свои
текущие обязательства. В этих условиях особую значимость приобретают
мероприятия по предотвращению кризисных ситуаций, а также меры, направленные на
восстановление платежеспособности предприятий и стабилизацию их. Программа
финансового оздоровления - это комплексное, системное понятие, включающее целый
ряд мероприятий от предварительной диагностики кризиса до методов по его
устранению и преодолению. Причины, вызвавшие кризис на предприятии могут быть
различными (как внутренними, так и внешними), но наибольшее влияние на
состояние предприятия оказывают управленческие факторы. Влияние внешних факторов
кризиса имеет стратегический характер. Они предопределяют финансовый кризис на
предприятии, если отсутствует система раннего предупреждения и реагирования,
одной из задач которой является прогнозирование банкротства. Именно
неэффективность управления следует отнести к наиболее характерной для
современных предприятий проблеме. В законодательстве РФ существуют необходимые
механизмы для осуществления финансового оздоровления.
Глава 2.
Анализ вероятности банкротства компании «Аэрофлот»
2.1 Общая
характеристика компании «Аэрофлот»
История компании «Аэрофлот» берет свое начало еще в 20е годы прошлого
столетия, когда после Первой мировой войны в России стали практиковаться мирные
перевозки грузов и пассажиров, почты и багажа. В 1921 году было образовано
совместное Русско-германское общество воздушных сообщений («Дерулюфт»), которое
открыло первые перелеты между Россией и Германией. В 1923 году было принято
Постановление «Об организации Совета по гражданской авиации» и «О возложении
технического надзора за воздушными линиями на Главное управление воздушного
флота», что можно считать официальной датой государственного создания аэрофлота
как организации. В этом же году были запущены первые внутригосударственные
воздушные авиалинии.
В течение дальнейшего времени компания Аэрофлот, будучи единственной
компанией Советского Союза, выполнявшей гражданские авиаперевозки, развивалась
путем расширения географии полетов. В 1932 году компания получает привычное
сейчас название - Аэрофлот. К концу 1930-х годов Аэрофлот стал крупнейшей
авиакомпанией мира.
Во время Великой Отечественной войны летчики Аэрофлота защищали
Отечество, проявляя высокий профессионализм и мужество. Они выполняли особо
важные полеты к линии фронта, в тыл врага, за границу и на территории страны. В
эти тяжелые годы не прекращались регулярные полеты на международных воздушных
линиях.
После войны воздушное сообщение стало активно возобновляться и
расширяться. Появились новые, более совершенные самолеты Ил-12 и Ил-14
конструкции Илюшина.
Выход в 1956 году на внутренние и международные линии Аэрофлота первого в
мире пассажирского реактивного самолета Ту-104 конструкции Туполева и сегодня
расценивается как выдающееся событие мирового значения.
В августе 1959 года в Москве открылся аэропорт Шереметьево, главным
назначением которого стало обслуживание международных полетов.
В январе 1971 года на базе Транспортного управления международных
воздушных линий было организовано Центральное управление международных
воздушных сообщений Аэрофлота (ЦУМВС), которое стало единственным в отрасли
предприятием, выполнявшим международные рейсы под названием «Аэрофлот -
советские авиалинии».
В 1989 году Аэрофлот вступил в Международную ассоциацию воздушного
транспорта (ИАТА).
В 1980-е годы Аэрофлот, осуществляя пассажирские перевозки на все
континенты, перевозил свыше 120 млн. пассажиров в год. Это достижение, до сих
пор не превзойденное ни одной авиакомпанией, занесено в «Книгу рекордов
Гиннеса».
В 1991 году, после распада Советского Союза, в бывших союзных республиках
и регионах России были созданы собственные авиакомпании.
Нынешняя компания «Аэрофлот» стала правопреемником наименования
«Аэрофлот» и торговой марки международного перевозчика бывшего СССР. В июне
того же года было создано Производственно-коммерческое объединение «Аэрофлот -
советские авиалинии».
В 1994 году Аэрофлот был зарегистрирован в качестве открытого
акционерного общества, сохранив за собой юридические права на торговую марку,
которая входит ныне в число наиболее известных в мире российских брендов. 28
июня 1996 года состоялось первое собрание акционеров ПАО «Аэрофлот».
Правительство РФ владеет 51% акций Аэрофлота. 49% принадлежат юридическим
и физическим лицам, в том числе сотрудникам компании.
В 1994 году Аэрофлот был зарегистрирован как открытое акционерное
общество (ОАО), с 1 июля 2015 года в соответствии с требованиями
законодательства РФ сменил наименование организационно-правовой формы на
публичное акционерное общество (публичное акционерное общество «Аэрофлот -
российские авиалинии», сокращенно - ПАО «Аэрофлот»). Акции ПАО «Аэрофлот -
российские авиалинии» торгуются на Московской бирже и включены в Первый уровень
котировального списка, код ценной бумаги - AFLT.
Важные события в жизни компании произошли в конце первого десятилетия XXI
века, когда Аэрофлот, как и вся глобальная отрасль, подвергся сильнейшему
воздействию кризиса. Совет директоров Аэрофлота 26 марта 2009 года прекратил
полномочия генерального директора Валерия Окулова и избрал на эту должность
Виталия Савельева, который приступил к работе на посту генерального директора
ПАО «Аэрофлот» 10 апреля того же года.
Новая команда топ-менеджеров в короткие сроки сформировала план по выходу
из кризиса. Была разработана программа сокращения издержек, внедрения новых
методик управления, преобразована организационная структура Аэрофлота.
Предприняты шаги по обновлению и повышению эффективности авиапарка. Устаревшие
Ту-154М были полностью выведены из эксплуатации к 2010 году. Аэрофлот заключил
твердые контракты на поставку 11-ти новейших Airbus А330 и 16-ти Boeing B777 -
лучших дальнемагистральных лайнеров в мире на данный момент. В приобретении
ближнемагистральных самолетов ставка была сделана на современные российские
лайнеры Sukhoi SuperJet-100 (эти машины начали поступать в состав флота
компании с июня 2011 года). Целый комплекс мер был направлен на улучшение
сервиса, по качеству которого Аэрофлот уверенно вошел в число европейских
лидеров в авиации.
Одновременно продолжилась реализация ключевых стратегических проектов
Аэрофлота. Был достроен Терминал D в аэропорту Шереметьево - самый современный
в России аэровокзальный комплекс заработал в режиме пробной эксплуатации 15
ноября 2009 года. Также завершилось строительство нового офиса компании в
Мелькисарово, в непосредственной близости от Шереметьево.
В 2009 году компания первой в России успешно завершила процедуру аудита
на соответствие стандартам ISAGO (IATA Safety Audit for Ground Operations) -
аудит по безопасности наземного обслуживания ИАТА. В августе 2009 года Аэрофлот
стал победителем конкурса на звание Генерального партнера Зимних Олимпийских
Игр в Сочи 2014 года в категории «Пассажирские авиаперевозки».
В 2010 году была окончательно сформирована, а в 2011-м официально открыта
Авиационная школа Аэрофлота. В настоящее время это единственное в стране
специализированное учебное заведение, готовящее профессионалов по 120-ти
авиационным специальностям - от пилота до бортпроводника. Также в 2011 году
создан высокотехнологичный Ситуационный центр, который в случае сбойной или
кризисной ситуации позволяет эффективно руководить производственными
процессами.
Стала более интенсивной и переведена на систематическую основу
инновационная деятельность. Создан Комитет по инновационному развитию,
разработана концепция программы инновационного развития, одобрен план работ по
внедрению инновационных решений и участию в НИОКР на 2011 - 2013 гг., впервые
выделено финансирование НИОКР на 2011 год в размере 128 млн. руб.
В 2011 году в Группу «Аэрофлот» вошли новые участники - региональные
авиакомпании, бывшие активы госкорпорации «Ростехнологии». Начался процесс
широкомасштабной интеграции авиакомпаний Группы.
Разработана новая стратегия Группы «Аэрофлот», согласно которой компания
уже к 2025 году восстановит мощь до значений, сравнимых с уровнем прежнего,
советского Аэрофлота и станет одним из ключевых игроков на глобальном рынке
гражданских авиаперевозок. К указанному сроку совокупные ежегодные перевозки,
осуществляемые Группой, должны превысить 70 млн. пассажиров. Основными
стратегическими целями Группы «Аэрофлот» на период до 2025 года являются:
вхождение в первую пятерку авиакомпаний по пассажиропотоку и выручке в Европе,
а также в топ-20 глобальных игроков по этим показателям. Планируется развитие
перевозок через главный хаб в Москве с долей трансферных пассажиров не менее
60%, обеспечение максимально широкого присутствия на рынке.
Генеральный директор ПАО «Аэрофлот - российские авиалинии» Виталий
Савельев во второй раз избран членом Совета управляющих Международной
ассоциации воздушного транспорта (IATA). Решение о его переизбрании на данном
посту на период с 2012 до 2015 года утверждено на 68-й Ежегодной генеральной
ассамблее IATA, прошедшей 10-12 июня 2012 г. в Пекине.
В настоящее время компания Аэрофлот базируется в г. Москве в аэропорту
«Шереметьево». В летнем расписании 2017 года (с 26 марта по 28 октября)
действуют собственные рейсы по 138 направлениям в 51 стране мира (по России -
50 маршрутов). В России авиакомпания имеет 4 филиала: в Санкт-Петербурге,
Калининграде, Перми и Владивостоке. Приоритетное значение придает развитию
внутреннего рынка, присутствию в Сибири и на Дальнем Востоке.
За 12 месяцев 2016 года авиакомпания перевезла 29,0 млн пассажиров, на
11,0% больше, чем за предыдущий год. Совокупный пассажиропоток Группы компаний
«Аэрофлот» за 2016 год составил 43,4 млн пассажиров (+10,3%). Пассажирооборот
ПАО «Аэрофлот» достиг 82,7 млрд пассажиро-километров (+11,6%). Процент
занятости пассажирских кресел Аэрофлота составил 81,3% (+2,0 п.п.).
Аэрофлот располагает крупнейшим в Восточной Европе Центром управления полётами,
открыл собственную Авиационную школу, создал высокотехнологичный Ситуационный
центр, который в случае сбойной или кризисной ситуации позволяет эффективно
руководить производственными процессами.
Флот компании является самым молодым в мире среди крупных авиакомпаний,
эксплуатирующих не менее 100 воздушных судов. Аэрофлот имеет на балансе 191
авиалайнер - самолеты семейства Airbus А320, А330, Boeing 737, Boeing 777 и
Sukhoi Superjet 100.
В 2006 году Аэрофлот стал полноправным членом SkyTeam, второго по
величине авиационного альянса в мир(с 2011 года входит также в грузовую
структуру альянса - SkyTeam Cargo). Через обширную совместную маршрутную сеть
SkyTeam дает своим клиентам возможность совершать полёты в 1062 пункта в 177
странах.
В рамках код-шеринговых соглашений Аэрофлот сотрудничает с 29
иностранными и российскими авиакомпаниями. Группа «Аэрофлот» - крупнейший в
России и динамично развивающийся авиационный холдинг. В ее составе действуют
единая дальневосточная авиакомпания «Аврора» (первый рейс совершила в ноябре
2013 г.), низкобюджетная авиакомпания «Победа» (регулярные рейсы совершает с 1
декабря 2014 г.) и работающая в среднем сегменте перевозок авиакомпания
«Россия» (с 27 марта 2016 г.).
Аэрофлот делает особую ставку на новые информационные технологии как
мощное средство повышения качества обслуживания клиентов и экономической
эффективности. Аэрофлоту принадлежит одно из ведущих мест в рейтинге мировых
авиакомпаний по цифровизации. Компания развивает интернет-продажи, являясь в
России крупнейшим онлайн-вендором, предоставляет возможности веб-бронирования,
самостоятельной регистрации на рейсы, расширяет услугу доступа к Интернету на
борту.
Аэрофлот соответствует высшим международным стандартам обеспечения
безопасности. По итогам аудита операционной безопасности Международной
ассоциации воздушного транспорта (IOSA - IATA Operational Safety Audit) первым
из российских перевозчиков вошёл в реестр операторов IOSA. Также прошел аудит
эксплуатационной безопасности наземного обслуживания ISAGO (IATA Safety Audit
for Ground Operations). Интегрированная система менеджмента качества
сертифицирована по стандартам ISO 9001:2008 и ISO 14001:2004.
Аэрофлот постоянно увеличивает и совершенствует свой парк воздушных
судов, построил в аэропорту «Шереметьево» современный терминал D,
предназначенный для обслуживания рейсов Аэрофлота и его партнёров по альянсу
SkyTeam. Располагает крупнейшим в Восточной Европе Центром управления полётами.
Создал высокотехнологичный Ситуационный центр, который в случае сбойной или кризисной
ситуации позволяет эффективно руководить производственными процессами. Ввел в
эксплуатацию уникальный для России центр управления хабом Hub Control Center
для координации обеспечения стыковок транзитных пассажиров и багажа и
управления оборотом воздушных судов в базовом аэропорту «Шереметьево».
2.2 Анализ
финансового состояния компании «Аэрофлот»
Анализ финансового состояния ПАО «Аэрофлот» следует начать с общей оценки
динамики и структуры имущества организации и источников его образования.
Динамика имущества ПАО «Аэрофлот» в 2015-2016 гг. представлена в табл.
2.1.
Таблица 2.1. Динамика имущества ПАО «Аэрофлот» в 2014-2015 гг.
|
Показатель
|
2014 год
|
2015 год
|
Изменения +/-, тыс. руб.
|
Изменения в %
|
2016 год
|
Изменения +/-, тыс. руб.
|
Изменения в %
|
|
НМА
|
715330
|
554779
|
-160551
|
-22,44
|
50345
|
-504434
|
-90,93
|
|
Результаты исследований и разработок
|
503475
|
522000
|
18525
|
3,68
|
546964
|
24964
|
4,78
|
|
Основные средства
|
11417161
|
11502405
|
85244
|
0,75
|
10687759
|
-814646
|
-7,08
|
|
Доходные вложения в материальные ценности
|
0
|
0
|
0
|
-
|
636050
|
636050
|
-
|
|
Финансовые вложения
|
13282594
|
13980027
|
697433
|
5,25
|
12073089
|
-1906938
|
-13,64
|
|
Отложенные налоговые активы
|
620901
|
1083468
|
462567
|
74,50
|
876178
|
-207290
|
-19,13
|
|
Дебиторская задолженность долгосрочная
|
31854039
|
46250896
|
14396857
|
45,20
|
44703518
|
-1547378
|
-3,35
|
|
Прочие ВНА
|
2668252
|
3078231
|
409979
|
15,37
|
7220480
|
4142249
|
134,57
|
61061752
|
76971806
|
15910054
|
26,06
|
76794383
|
-177423
|
-0,23
|
|
Запасы
|
4173369
|
7081886
|
2908517
|
69,69
|
6269546
|
-812340
|
-11,47
|
|
НДС
|
585841
|
483024
|
-102817
|
-17,55
|
405332
|
-77692
|
-16,08
|
|
Дебиторская задолженность
|
62251889
|
69326867
|
7074978
|
11,37
|
65744175
|
-3582692
|
-5,17
|
|
Финансовые вложения
|
805000
|
3416577
|
2611577
|
324,42
|
926304
|
-2490273
|
-72,89
|
|
Денежные средства и денежные эквиваленты
|
22824357
|
28946377
|
6122020
|
26,82
|
26229302
|
-2717075
|
-9,39
|
|
Прочие оборотные активы
|
228013
|
318268
|
90255
|
39,58
|
916620
|
598352
|
188,00
|
|
Итого оборотных активов
|
90868469
|
109572999
|
18704530
|
20,58
|
100491279
|
-9081720
|
-8,29
|
|
Баланс
|
151930221
|
186544805
|
34614584
|
22,78
|
177285662
|
-9259143
|
-4,96
|
Итак, по основным статьям имущества компании наблюдается положительный
рост (рис. 2.1)
Рисунок
2.1. Динамика показателей основных статей имущества ПАО «Аэрофлот» в 2014-2016
гг., тыс. руб.
Итак,
в динамике имущества ПАО «Аэрофлот» установлены следующие тенденции:
рост
общей суммы имущества компании составил в 2015 году 22,78 %, в 2016 году
произошло незначительное снижение стоимости имущества на 4,96 %;
внеоборотные
активы увеличились в 2015 году на 26,06 %, в 2016 году произошло их снижение на
0,23 %, то есть незначительное изменение;
рост
внеоборотных активов в 2015 году произошел за счет увеличения отложенных
налоговых активов на 74,5 %, долгосрочной дебиторской задолженности на 45,2 %,
прочих внеоборотных активов на 15,37 % при одновременном снижении
нематериальных активов на 22,44 %. В 2016 году произошло существенное выбытие
нематериальных активов на 90,93 %, снижение суммы основных средств на 7,08 %,
финансовых вложений на 13,64 %, отложенных налоговых активов на 19,13%, что в
целом несмотря на рост прочих внеоборотных активов на 134,57 % привело к общему
снижению внеоборотных активов за год на 0,23 %;
общая
сумма оборотных средств в 2015 году возросла на 20,58 %, в 2016 году -
снизилась на 8,29 %;
в
2015 году произошло увеличение суммы запасов на 69,69 %, дебиторской
задолженности на 11,37 %, финансовых вложений на 324,42 %, денежных средств на
26,82 %, прочих оборотных активов на 39,58 %, что привело к совокупному росту
оборотных средств предприятия на 20,58 %. В 2016 году произошло снижение суммы
запасов на 11,47 %, дебиторской задолженности на 5,17%, финансовых вложений на
72,89 %, денежных средств на 9,39 %, что привело к снижению суммы оборотных
средств на 4,96%.
Рассмотрим
динамику структуры организации за исследуемый период (табл. 2.2)
Таблица 2.2. Структура имущества ПАО «Аэрофлот» в 2014-2016 гг.
|
Показатель
|
2014 год
|
Структура, %
|
2015 год
|
Структура, %
|
Изменения в %
|
2016 год
|
Структура, %
|
Изменения в %
|
|
НМА
|
715330
|
0,47
|
554779
|
0,30
|
-0,17
|
50345
|
0,03
|
-0,27
|
|
Результаты исследований и разработок
|
503475
|
0,33
|
522000
|
0,28
|
-0,05
|
546964
|
0,31
|
0,03
|
|
Основные средства
|
11417161
|
7,51
|
11502405
|
6,17
|
-1,35
|
10687759
|
6,03
|
-0,14
|
|
Доходные вложения в материальные ценности
|
0
|
0,00
|
0
|
0,00
|
0,00
|
636050
|
0,36
|
0,36
|
|
Финансовые вложения
|
13282594
|
8,74
|
13980027
|
7,49
|
-1,25
|
12073089
|
6,81
|
-0,68
|
|
Отложенные налоговые активы
|
620901
|
0,41
|
1083468
|
0,58
|
0,17
|
876178
|
0,49
|
-0,09
|
|
Дебиторская задолженность долгосрочная
|
31854039
|
20,97
|
46250896
|
24,79
|
3,83
|
44703518
|
25,22
|
0,42
|
|
Прочие ВНА
|
2668252
|
1,76
|
3078231
|
1,65
|
-0,11
|
7220480
|
4,07
|
2,42
|
|
Итого ВНА
|
61061752
|
40,19
|
76971806
|
41,26
|
1,07
|
76794383
|
43,32
|
2,05
|
|
Запасы
|
4173369
|
2,75
|
7081886
|
3,80
|
1,05
|
6269546
|
3,54
|
-0,26
|
|
НДС
|
585841
|
0,39
|
483024
|
0,26
|
-0,13
|
405332
|
0,23
|
-0,03
|
|
Дебиторская задолженность
|
62251889
|
40,97
|
69326867
|
37,16
|
-3,81
|
65744175
|
37,08
|
-0,08
|
|
Финансовые вложения
|
805000
|
0,53
|
3416577
|
1,83
|
1,30
|
926304
|
0,52
|
-1,31
|
|
Денежные средства и денежные эквиваленты
|
22824357
|
15,02
|
28946377
|
15,52
|
0,49
|
26229302
|
14,79
|
-0,72
|
|
Прочие оборотные активы
|
228013
|
0,15
|
318268
|
0,17
|
0,02
|
916620
|
0,52
|
0,35
|
|
Итого оборотных активов
|
90868469
|
59,81
|
109572999
|
58,74
|
-1,07
|
100491279
|
56,68
|
-2,05
|
|
Баланс
|
151930221
|
100
|
186544805
|
100
|
0,00
|
177285662
|
100
|
0,00
|
Итак, в 2014-2016 годах основу имущества ПАО «Аэрофлот» составляли
следующие статьи:
внеоборотные активы составляют около 40 % всего имущества организации,
при этом больше 20% приходится на долгосрочную дебиторскую задолженность и
только 6-7 % - на основные средства организации;
около 40% приходится на краткосрочную дебиторскую задолженность
организации. Доля прочих видов активов не столь значительны.
Рассмотрим, за счет каких источников образования имущества действует ПАО
«Аэрофлот» (табл. 2.3)
Таблица 2.3. Динамика источников образования имущества ПАО «Аэрофлот» в
2014-2015 гг.
|
Показатель
|
2014 год
|
2015 год
|
Изменения +/-, тыс. руб.
|
Изменения в %
|
2016 год
|
Изменения +/-, тыс. руб.
|
Изменения в %
|
|
Уставный капитал
|
1110616
|
1110616
|
0
|
0
|
1110616
|
0
|
0
|
|
Нераспределенная прибыль
|
66271054
|
47852182
|
-18418872
|
-27,79
|
78502839
|
30650657
|
64,05
|
|
Итого собственный капитал
|
68262279
|
49344061
|
-18918218
|
-27,71
|
79963737
|
30619676
|
62,05
|
|
Долгосрочные заемные обязательства
|
5000000
|
12580636
|
7580636
|
151,61
|
7862898
|
-4717738
|
-37,50
|
|
Отложенные налоговые обязательства
|
786902
|
640466
|
-146436
|
-18,61
|
588621
|
-51845
|
-8,09
|
|
Оценочные обязательства долгосрочные
|
396625
|
391401
|
-5224
|
-1,32
|
387520
|
-3881
|
-0,99
|
|
Кредиторская задолженность долгосрочная
|
7954252
|
7588467
|
-365785
|
-4,60
|
8900656
|
1312189
|
17,29
|
|
Итого долгосрочных обязательств
|
14137779
|
21200970
|
7063191
|
49,96
|
17739695
|
-3461275
|
-16,33
|
|
Краткосрочные заемные средства
|
13268749
|
50529235
|
37260486
|
280,81
|
9308668
|
-41220567
|
-81,58
|
|
Кредиторская задолженность
|
54635859
|
63445547
|
8809688
|
16,12
|
68138395
|
4692848
|
7,40
|
|
Оценочные обязательства краткосрочные
|
1363937
|
1614304
|
250367
|
18,36
|
1707450
|
93146
|
5,77
|
|
Доходы будущих периодов
|
261582
|
410688
|
149106
|
57,00
|
17029
|
4,15
|
|
Итого краткосрочных обязательств
|
69530163
|
115999774
|
46469611
|
66,83
|
79582230
|
-36417544
|
-31,39
|
|
Баланс
|
151930221
|
186544805
|
34614584
|
22,78
|
177285662
|
-9259143
|
-4,96
|
Таким образом, основные статьи пассивов ПАО «Аэрофлот» имеют следующие
тенденции:
собственный капитал организации в 2015 году снизился на 27,79 %
увеличился в 2016 году на 62,05 % за счет соответствующих изменений
нераспределенной прибыли;
долгосрочные обязательства увеличились в 2015 году на 49,96 % за счет
получения долгосрочных заемных средств и уменьшились в 2016 году на 16,33 % за
счет частичного погашения долгосрочных займов;
увеличение краткосрочных обязательств в 2015 году составил 66,83 % за
счет получения краткосрочных заемных средств (рост составил 280,81 %), а также
роста кредиторской задолженности на 16,12 %. В 2016 году общая сумма
краткосрочных обязательств снизилась на 31,39 % за счет расчета по
краткосрочным займам на 81,58 %.
Структура источников образования имущества ПАО «Аэрофлот» представлена в
табл. 2.4.
Таблица 2.4. Структура источников образования имущества ПАО «Аэрофлот» в
2014-2016 гг.
|
Показатель
|
2014 год
|
Структура, %
|
2015 год
|
Структура, %
|
Изменения в %
|
2016 год
|
Структура, %
|
Изменения в %
|
|
Уставный капитал
|
1110616
|
0,73
|
1110616
|
0,60
|
0
|
1110616
|
0,63
|
0,03
|
|
Нераспределенная прибыль
|
66271054
|
43,62
|
47852182
|
25,65
|
-27,79
|
78502839
|
44,28
|
18,63
|
|
Итого собственный капитал
|
68262279
|
44,93
|
49344061
|
26,45
|
-27,71
|
79963737
|
45,10
|
18,65
|
|
Долгосрочные заемные обязательства
|
5000000
|
3,29
|
12580636
|
6,74
|
151,61
|
7862898
|
4,44
|
-2,31
|
|
Отложенные налоговые обязательства
|
786902
|
0,52
|
640466
|
0,34
|
-18,61
|
588621
|
0,33
|
-0,01
|
|
Оценочные обязательства долгосрочные
|
396625
|
0,26
|
391401
|
0,21
|
-1,32
|
387520
|
0,22
|
0,01
|
|
Кредиторская задолженность долгосрочная
|
7954252
|
5,24
|
7588467
|
4,07
|
-4,6
|
8900656
|
5,02
|
0,95
|
|
Итого долгосрочных обязательств
|
14137779
|
9,31
|
21200970
|
11,37
|
49,96
|
17739695
|
10,01
|
-1,36
|
|
Краткосрочные заемные средства
|
13268749
|
8,73
|
50529235
|
27,09
|
280,81
|
9308668
|
5,25
|
-21,84
|
|
Кредиторская задолженность
|
54635859
|
35,96
|
63445547
|
34,01
|
16,12
|
68138395
|
38,43
|
4,42
|
|
Оценочные обязательства краткосрочные
|
1363937
|
0,90
|
1614304
|
0,87
|
18,36
|
1707450
|
0,96
|
0,10
|
|
Доходы будущих периодов
|
261582
|
0,17
|
410688
|
0,22
|
57
|
427717
|
0,24
|
0,02
|
|
Итого краткосрочных обязательств
|
69530163
|
45,76
|
115999774
|
62,18
|
66,83
|
79582230
|
44,89
|
-17,29
|
|
Баланс
|
151930221
|
100
|
186544805
|
100
|
22,78
|
177285662
|
100
|
0
|
Таким образом, соотношение собственных и заемных средств в структуре
источников образования имущества организации можно представить следующим
образом (рис. 2.2)
Рисунок
2.2. Структура источников образования имущества ПАО «Аэрофлот»
Итак,
в организации с определенной погрешностью соблюдается правило распределения
источников финансирования 50/50 собственных и заемных средств. Среди заемных
средств превалируют краткосрочные заемные средства, представленные, в основном,
кредиторской задолженностью.
Важным
показателем деятельности организации является ее деловая активность (табл. 2.5)
Таблица 2.5. Расчет показателей деловой активности ПАО «Аэрофлот» в
2015-2016 гг.
|
Показатели
|
Единицы измерения
|
Фактически за 2015 г.
|
Фактически за 2016 г.
|
Абс. отклонение
|
Темп роста, %
|
|
А
|
Б
|
1
|
2
|
3(2-1)
|
4(2:1*100}
|
|
1. Выручка от продажи
|
тыс. руб.
|
366307485
|
427900527
|
61593042
|
116,81
|
|
2. Чистая прибыль
|
тыс. руб.
|
-18927841
|
30616800
|
49544641
|
-161,76
|
|
3. Среднегодовая величина активов
|
тыс. руб.
|
111680117
|
116126211
|
4446094
|
103,98
|
|
4. Среднегодовая величина оборотных активов
|
тыс. руб.
|
100220334
|
105031129
|
4810795
|
104,80
|
|
5. Скорость обращения имущества (стр.1 : стр.3)
|
об.
|
3,28
|
3,68
|
0,40
|
112,34
|
|
6. Время обращения оборотных активов (стр.4 : стр.1 х 360)
|
дн.
|
98
|
88
|
-10
|
89,72
|
Итак, скорость обращения имущества ПАО «Аэрофлот» составила в 2016 году
3,68 оборота, что составило 88 дней, сократившись на 10 дней относительно
показателя 2015 года. Оборачиваемость имущества организации возрастает.
Для оценки финансового состояния необходимо оценить уровень финансовой
устойчивости организации.
Проведем анализ абсолютных показателей финансовой устойчивости ПАО
«Аэрофлот» в 2010 - 2011 гг. (табл. 2.6)
Таблица 2.6. Анализ абсолютных показателей финансовой устойчивости ПАО
«Аэрофлот» в 2015-2016 гг.
|
№
|
Показатель
|
Методика расчета (строки баланса и ОПУ)
|
2015 год
|
2016 год
|
Изменение (+/-)
|
|
1
|
Источники собственных средств (СК)
|
1300 + 1530 + 1540
|
51369053
|
82098904
|
30729851
|
|
2
|
Основные средства и вложения
|
1100
|
11502405
|
10687759
|
-814646
|
|
3
|
Наличие собственных оборотных средств
|
П. 1 - п. 2
|
39866648
|
71411145
|
31544497
|
|
4
|
Долго- и среднесрочные кредиты и заемные средства
|
1410
|
12580636
|
7862898
|
-4717738
|
|
5
|
Наличие собственных долго- и среднесрочных кредитов и
заемных средств
|
П. 3 + п. 4
|
52447284
|
79274043
|
26826759
|
|
6
|
Краткосрочные кредиты и заемные средства
|
1510
|
50529235
|
9308668
|
-41220567
|
|
7
|
Общая величина основных источников формирования запасов и
затрат
|
П. 5 + п. 6
|
102976519
|
88582711
|
-14393808
|
|
8
|
Общая величина запасов и затрат
|
1300 + 1400 + 1510 - 1100
|
109571861
|
96324341
|
-13247520
|
|
9
|
Излишек (+) или недостаток (-) собственных оборотных
средств
|
П. 3 - п. 8
|
-69705213
|
-24913196
|
44792017
|
|
10
|
Излишек (+) или недостаток (-) собственных долго- и
среднесрочных заемных источников формирования запасов и затрат
|
П. 5 - п. 8
|
-57124577
|
-17050298
|
40074279
|
|
11
|
Излишек (+) или недостаток (-) общей величины основных
источников формирования запасов и затрат
|
П. 7 - п. 8
|
-6595342
|
-7741630
|
-1146288
|
Итак, анализ абсолютных показателей финансовой устойчивости показывает,
что в 2015-2016 гг. предприятие находилось кризисном состоянии финансовой
устойчивости, поскольку все три абсолютных показателя финансовой устойчивости
являются отрицательными, то есть предприятие испытывает потребность в
собственных оборотных средствах, собственных долго- и среднесрочных заемных
источников формирования запасов и затрат, а также общей величины основных источников
формирования запасов и затрат.
Рассчитаем абсолютные показатели финансовой устойчивости на основе
матрицы ликвидности (таблица 2.7). Анализ показывает, что баланс ПАО «Аэрофлот»
был неликвиден только в 20915 году и только в части наиболее срочных
обязательств, которые были не в полной мере обеспечены высоколиквидными
активами. В остальных показателях баланс компании абсолютно ликвиден.
Таблица 2.7. Группировка активов и пассивов ПАО «Аэрофлот» для анализа
ликвидности баланса в 2015-2016 гг.
|
№
|
Группировка активов
|
Сумма, тыс. руб.
|
Группировка пассивов
|
Сумма, тыс. руб.
|
Недостаток (-), излишек (+) платежных средств
|
|
|
2015 г.
|
2016 г.
|
|
2015 г.
|
2016 г.
|
2015 г.
|
2016 г.
|
|
1
|
Наиболее ликвидные активы (А1)
|
28946377
|
26229302
|
Наиболее срочные обязательства (П1)
|
50529235
|
9308668
|
-21582858
|
16920634
|
|
2
|
Быстрореализуемые активы (А2)
|
98273244
|
91973477
|
Краткосрочные пассивы (П2)
|
63445547
|
68138395
|
34827697
|
23835082
|
|
3
|
Медленнореализуемые активы (А3)
|
105355130
|
98243023
|
Долгосрочные пассивы (П3)
|
12580636
|
7862898
|
92774494
|
90380125
|
|
4
|
Труднореализуемые активы (А4)
|
11502405
|
10687759
|
Постоянные пассивы (П4)
|
49344061
|
78502839
|
37841656
|
67815080
|
На основе полученных данных определим тип финансовой устойчивости по
матрице ликвидности баланса (табл. 2.8).
Таблица 2.8 Матрица ликвидности ПАО «Аэрофлот» в 2015-2016 гг.
|
Тип устойчивости
|
Период
|
|
Текущий
|
Краткосрочный
|
Долгосрочный
|
|
Абсолютная устойчивость
|
А1>=П1
|
А1>=П1+П2
|
|
Нормальная
|
А1+А2>=П1
|
А1+А2>= П1+П2
|
А1+А2>= П1+П2+П3
|
|
Минимальная
|
А1+А2+А3>=П1
|
А1+А2+А3>= П1+П2
|
А1+А2+А3>= П1+П2+П3
|
|
Кризисная
|
А1+А2+А3<П1
|
А1+А2+А3< П1+П2
|
А1+А2+А3< П1+П2+П3
|
Итак, баланс ПАО «Аэрофлот» является ликвидным по всем группам
обязательств, кроме наиболее срочных обязательств пассивов в 2015 году. По
матрице ликвидности баланса финансовая устойчивость ПАО «Аэрофлот» является
нормальной. Анализ ликвидности баланса показывает необходимость срочного
принятия радикальных мер по повышению платежеспособности предприятия.
Рассчитаем относительные показатели финансовой устойчивости ПАО «Аэрофлот»
в 2010 - 2011 гг. Расчеты сведем в таблицу 2.9.
Таблица 2.9. Относительные показатели финансовой устойчивости ПАО
«Аэрофлот» в 2010 - 2011 гг.
|
Наименование показателя
|
Формула расчета
|
Нормативное значение
|
2015 год
|
2016 год
|
Изменение (+/-)
|
|
Коэффициент автономии (КА)
|
КА = стр. 1300 : стр. 1700
|
КА>0,5
|
0,26
|
0,45
|
0,19
|
|
Коэффициент мобильных и иммобилизованных средств (КМИ)
|
КМИ= (стр. 1210 + стр. 1240 + стр. 1250) : (стр. 1130 +
стр. 1150)
|
КМИ > КЗСС
|
1,55
|
1,47
|
-0,01
|
|
Коэффициент соотношения заемных и собственных средств
(КЗСС)
|
КЗСС = (стр. 1400 + стр. 1500) : стр. 1300
|
КЗСС˂ КМИ или КЗСС˂ 1
|
2,78
|
1,22
|
-1,56
|
|
Коэффициент маневренности (КМ)
|
КМ = (стр. 1300 - стр. 1100) / стр. 1300
|
КМ ≥ 0,5
|
0,77
|
0,87
|
-0,01
|
|
Коэффициент обеспеченности собственными средствами (КОСС)
|
КОСС = (стр. 1300 - стр. 1100) / стр. 1200
|
КМ ≥ 0,1
|
0,35
|
0,69
|
-0,01
|
|
Коэффициент обеспеченности запасов и затрат собственными
источниками формирования (КОЗСИФ)
|
КОЗСИФ = (стр. 1300 - стр. 1100) / стр. 1210
|
КОЗСИФ ≥ 0,6 - 0,8
|
5,34
|
11,05
|
-0,01
|
|
Коэффициент автономии источников формирования запасов и
затрат (КАИФЗ)
|
КАИФЗ = (стр. 1300 - стр. 1100) / (стр. 1300 - стр. 1100 +
1410 + 1510)
|
КАИФЗ ≤ КОЗСИФ
|
0,37
|
0,80
|
-0,01
|
|
Коэффициент абсолютной ликвидности (КАЛ)
|
|
КАЛ ≥ 0,25
|
0,25
|
0,34
|
0,08
|
|
Коэффициент общей платежеспособности (КОП)
|
|
КОП ≥ 0,8
|
1,12
|
1,53
|
-0,01
|
|
Коэффициент текущей ликвидности (КТЛ) или покрытия
|
|
КТЛ ˂ 1
|
2,04
|
2,79
|
0,20
|
Таким образом, анализ относительных показателей дает основание сделать
следующие выводы:
коэффициент автономии, который характеризует независимость предприятия от
заемных источников и выражает, какую часть составляют собственные средства в
общей сумме источников финансирования, в 2015-2016 годах имел значение ниже
нормативного, что означает, что ПАО «Аэрофлот» зависит от заемных источников
финансирования;
коэффициент мобильных и иммобилизованных средств, который выражает,
сколько мобильных средств предприятия приходится на 1 руб. иммобилизованных
активов, в 2015-2016 гг. имеет тенденцию к снижению, что показывает низкое
значение мобильных средств в активах предприятия;
коэффициент соотношения заемных и собственных средств, который выражает,
сколько заемных средств предприятия приходится на 1 руб. собственных средств и
который должен быть меньше 1, в 2015-2016 годах не находится в пределах нормы,
что показывает недостаточность собственных средств в структуре капитала
предприятия;
коэффициент маневренности, который указывает на мобильность в
использовании средств предприятия и выражает, какая часть собственных средств
предприятия находится в мобильной форме, выше нормативного значения, что
показывает достаточную мобильность средств предприятия;
коэффициент обеспеченности собственными средствами, который характеризует
наличие собственных оборотных средств, необходимых для финансовой устойчивости
предприятия, в 2015-2016 годах выше минимальных значений, что показывает
достаточность собственных оборотных средств предприятия, необходимых для
обеспечения его финансовой устойчивости;
коэффициент обеспеченности запасов и затрат собственными источниками
формирования, который выражает, сколько собственных оборотных средств
приходится на 1 руб. запасов и затрат, в 2015 году имеет значение, существенно
выше нормы, что показывает достаточно собственных источников финансирования;
коэффициент автономии источников формирования запасов и затрат, который
выражает, какая часть всех источников запасов и затрат обеспечивается
собственными оборотными средствами, в 2015-2016 годах имеет нормальное
значение;
коэффициент абсолютной ликвидности, который выражает, какую часть
краткосрочных обязательств можно немедленно погасить за счет средств на
расчетном счете и прочих счетах в банках, в 2015-2016 гг. имеет нормальное
значение, что показывает абсолютную ликвидность предприятия;
коэффициент общей платежеспособности, который выражает, какую часть
краткосрочных обязательств предприятие сможет погасить при условии
своевременного проведения расчетов с дебиторами, в 2015-2016 годах выше нормы,
что показывает достаточную платежеспособность за счет дебиторской
задолженности;
коэффициент текущей ликвидности или покрытия, который выражает, сколько
рублей, вложенных в оборотные средства, приходится на 1 руб. текущих обязательств,
в 2015-2016 годах выше нормативного значения, что показывает текущую
ликвидность предприятия.
Таким образом, относительные показатели финансовой устойчивости ПАО
«Аэрофлот» подтвердили выводы, полученные посредством анализа ликвидности и
абсолютных показателей финансовой устойчивости. Предприятие не испытывает
недостатка ликвидных активов (денежных средств), имеет достаточные суммы
основных средств, капитала, в связи с чем, несмотря на значительную долю
заемного капитала, имеет высокие показатели ликвидности и платежеспособности.
В целом можно сделать вывод что данное предприятие является ликвидным и
платежеспособным, хотя имеются определенные проблемы в абсолютных показателях
финансовой устойчивости хозяйствующего субъекта.
2.3 Анализ
финансовых результатов деятельности компании «Аэрофлот»
За 2016 год выручка Группы «Аэрофлот» по МСФО увеличилась на 19,4% по
сравнению с предыдущим годом до 495,9 млрд рублей. Показатель EBITDAR составил
137,6 млрд рублей, увеличившись на 33,4%. Рентабельность EBITDAR увеличилась на
2,9 п.п. и составила 27,7%. Показатель EBITDA составил 78,0 млрд рублей,
увеличившись на 32,9%. Рентабельность EBITDA выросла на 1,6 п.п. до 15,7%.
Операционная прибыль составила 63,3 млрд рублей, увеличившись на 43,4%. Чистая
прибыль составила 38,8 млрд рублей.
Далее, для оценки финансовой деятельности ПАО «Аэрофлот» проанализируем
состав и динамику его финансовых результатов в последние отчетные периоды
(табл. 2.10)
Таблица 2.10. Динамика финансового результата финансовой деятельности ПАО
«Аэрофлот»
|
Показатель
|
2015 год
|
2016 год
|
Изменения +/-, тыс. руб.
|
Изменения в %
|
|
Выручка от реализации
|
366307485
|
427900527
|
61593042
|
16,81
|
|
Себестоимость
|
316357137
|
371562923
|
55205786
|
17,45
|
|
Валовая прибыль
|
49950348
|
56337604
|
6387256
|
12,79
|
|
Коммерческие расходы
|
29153326
|
32332287
|
3178961
|
10,90
|
|
Управленческие расходы
|
8839609
|
11135614
|
2296005
|
25,97
|
|
Прибыль от продаж
|
11957413
|
12869703
|
912290
|
7,63
|
|
Доходы от участия в других организациях
|
58135
|
41025
|
-17110
|
-29,43
|
|
Проценты к получению
|
3613922
|
4667107
|
1053185
|
29,14
|
|
Проценты к уплате
|
2328161
|
3044449
|
716288
|
30,77
|
|
Прочие доходы
|
42097386
|
65945641
|
23848255
|
56,65
|
|
Прочие расходы
|
72855755
|
38397719
|
-34458036
|
-47,30
|
|
Прибыль до налогообложения
|
17457060
|
42081308
|
24624248
|
141,06
|
|
Текущий налог на прибыль
|
1584163
|
11723479
|
10139316
|
640,04
|
|
Изменение отложенных налоговых обязательств
|
146436
|
51845
|
-94591
|
-64,60
|
|
Изменение отложенных налоговых активов
|
462567
|
-207290
|
-669857
|
-
|
|
Прочее
|
-495621
|
414416
|
910037
|
-
|
|
Чистая прибыль
|
-18927841
|
30616800
|
49544641
|
-
|
В 2015 году наблюдается положительная динамика роста основных показателей
финансового результата от деятельности компании (рис. 2.3)
Рисунок
2.3. Динамика основных показателей финансового результата деятельности ПАО
«Аэрофлот» в 2015-2016 гг., тыс. руб.
Итак,
наблюдается общий рост финансового результата от финансовой деятельности
организации:
выручка
от продаж увеличилась на 16,81 %;
себестоимость
услуг возросла на 17,45 %;
валовая
прибыль увеличилась на 12,79 %;
управленческие
расходы возросли на 0,64 %;
прибыль
от продаж снизилась на 20,61 %;
коммерческие
расходы увеличились на 10,9 %
управленческие
расходы возросли на 25,97 %
прибыль
от продаж увеличилась на 7,63 %;
совокупное
изменение прочих показателей привело к росту прибыли до налогообложения на
141,06 %, чистой прибыли - на 49 545 млн руб.
Влияние
факторов на изменение чистой прибыли ПАО «Аэрофлот» представлено в табл. 2.11.
Таблица 2.11. Влияние факторов на изменение чистой
прибыли ПАО «Аэрофлот» в 2015-2016 гг.
|
Наименование факторов и направление их изменения
|
Условное обозначение
|
Расчет влияния факторов
|
Величина влияния, тыс.руб.
|
|
|
Методика расчета
|
Расчет
|
|
|
1. Рост (снижение) выручки от продаж
|
ΔВР
|
ΔВР х Рп0 : 100
|
2010588,02
|
ΔПП(ВР)
|
|
2. Рост (снижение) среднего уровня валовой прибыли
|
ΔУвп
|
ΔУвп х ВР1 :100
|
-2011682,07
|
ΔПП(Увп)
|
|
3. Рост (снижение) среднего уровня расходов на продажу
товаров
|
ΔУрп
|
-(ΔУрп х ВР1 : 100)
|
1723046,48
|
ΔПП(Урп)
|
|
4. Итого влияние на прибыль от продаж (стр.1 + стр.2 +
стр.3)
|
ΔПП
|
ΔПП(ВР) +ΔПП(Увп)+ΔПП(Урп)
|
1721952,43
|
ΔПП(ПП)
|
|
5. Рост (снижение) прочих доходов
|
ΔПрД
|
ПрД1 - ПрД0
|
23848255
|
ΔПДН(ПрД)
|
|
6. Рост (снижение) прочих расходов
|
ΔПрР
|
-(ПрР1 - ПрРО)
|
34458036
|
ΔПДН (ПрР)
|
|
7. Итого влияние на прибыль до налогообложения (стр.4 +
стр.5 + стр.б)
|
ΔПНД
|
ΔПП(ПП) + ΔПДН(ПрД) + ΔПДН (ПрР)
|
60028243,43
|
ΔЧП(ПДН)
|
|
8. Рост (снижение) отложенных налоговых активов
|
ΔОНА
|
+(-)(ОНА1 - ОНА0)
|
-669857
|
ΔЧП (ОНА)
|
|
9. Рост (снижение) отложенных налоговых обязательств
|
ΔОНО
|
-(+) (ОН01 -ОНО0)
|
-94591
|
ΔЧП (ОНО)
|
|
10 Рост (снижение) текущего налога на прибыль
|
ΔТНП
|
-(ТНП1 - ТНП0)
|
-10139316
|
ΔЧП(ТНП)
|
|
11. Итого влияние на чистую прибыль (стр.7 + стр.8 + стр. 9
+ стр.10)
|
ΔЧП
|
ΔЧП(ПДН) + ΔЧП(ОНА) + ΔЧП(ОНО) + ΔЧП(ТНП)
|
49888927,43
|
ΔЧП
|
Итак, чистая прибыль ПАО «Аэрофлот» увеличилась на 49888927,43 тыс. руб.
в 2016 году, в том числе, за счет следующих факторов:
за счет роста выручки от продаж - на 2010588,02 тыс. руб.;
за счет снижения уровня валовой прибыли - на 2011682,07 тыс. руб.;
за счет роста среднего уровня коммерческих расходов - на 1723046,48 тыс.
руб.;
за счет роста прочих доходов - на 23848255 руб.;
за счет снижения прочих расходов - на 34458036 тыс. руб.
Рентабельность деятельности ПАО «Аэрофлот»
представлена в табл. 2.12.
Таблица 2.12. Рентабельность деятельности ПАО «Аэрофлот» в 2015-2016 гг.
|
ПОКАЗАТЕЛИ
|
Единицы измерения
|
Фактически за 2010 г.
|
Фактически за 2011 г.
|
Абсолютное отклонение
|
Темп роста, %
|
|
Выручка (нетто) от продажи
|
тыс. руб.
|
366307485
|
427900527
|
61593042
|
116,81
|
|
Валовая прибыль от продажи товаров
|
тыс. руб.
|
49950348
|
56337604
|
6387256
|
112,79
|
|
Средний уровень валовой прибыли
|
%
|
13,64
|
13,17
|
-0,47
|
X
|
|
Коммерческие расходы
|
тыс. руб.
|
29153326
|
32332287
|
3178961
|
110,90
|
|
Средний уровень коммерческих расходов
|
%
|
7,96
|
7,56
|
-0,40
|
X
|
|
Прибыль (убыток) от продажи
|
тыс. руб.
|
11957413
|
12869703
|
912290
|
107,63
|
|
Рентабельность продаж по прибыли от продаж
|
%
|
3,26
|
3,01
|
-0,26
|
X
|
|
Прибыль (убыток) до налогообложения
|
тыс. руб.
|
17457060
|
42081308
|
24624248
|
241,06
|
|
Рентабельность продаж по прибыли до налогообложения
|
%
|
4,77
|
9,83
|
5,07
|
X
|
|
Чистая прибыль (непокрытый убыток)
|
тыс. руб.
|
-18927841
|
30616800
|
49544641
|
-161,76
|
|
Рентабельность продаж по чистой прибыли
|
%
|
-5,17
|
7,16
|
12,32
|
X
|
Таким образом, средний уровень валовой прибыли понизился на 0,47 %,
уровень коммерческих расходов также понизился на 0,4 %, рентабельность прибыли
от продаж составила 3,01%, что ниже показателя 2015 года на 0,26 %,
рентабельность прибыли до налогообложения возросла на 5,07 %, чистой прибыли -
на 12,32%. Таким образом, в целом можно говорить о повышении рентабельности
деятельности организации.
Глава 3.
Оценка вероятности банкротства компании «Аэрофлот»
3.1 Оценка
вероятности банкротства компании «Аэрофлот»
Анализ вероятности наступления банкротства ПАО «Аэрофлот» проведем по
моделям Бивера и Альтмана.
В табл. 3.1. проведен анализ вероятности банкротства ПАО «Аэрофлот» по
системе показателей У. Бивера.
Таблица 3. Оценка вероятности банкротства ЗАО ТЦ «Красноярье» по системе
У. Бивера
|
Показатели
|
Нормативное значение показателей
|
Значения норматива для 2014 года
|
Значения норматива для 2016 года
|
2016 год
|
|
Коэффициент У. Бивера
|
1 класс
|
0,4-0,45
|
2 класс
|
0,22
|
2 класс
|
0,26
|
|
2 класс
|
0,17
|
|
|
|
|
|
3 класс
|
-0,15
|
|
|
|
|
|
Коэффициент текущей ликвидности
|
1 класс
|
менее3,2
|
1 класс
|
2,04
|
1 класс
|
2,79
|
|
2 класс
|
менее 2
|
|
|
|
|
|
3 класс
|
менее 1
|
|
|
|
|
|
Рентабельность активов
|
1 класс
|
6-8
|
2 класс
|
1,02
|
2 класс
|
0,75
|
|
2 класс
|
4
|
|
|
|
|
|
3 класс
|
-22
|
|
|
|
|
|
Финансовый леверидж
|
1 класс
|
меньше 37%
|
1 класс
|
4,60
|
1 класс
|
4,59
|
|
2 класс
|
менее 50%
|
|
|
|
|
|
3 класс
|
менее 80%
|
|
|
|
|
|
Коэффициент покрытия оборотных активов собственными
оборотным и средствам
|
1 класс
|
0,4
|
1 класс
|
0,4
|
1 класс
|
0,4
|
|
2 класс
|
менее 0,3
|
|
|
|
|
|
3 класс
|
около 0,05
|
|
|
|
|
|
Тип финансового состояния по критериям У. Бивера
|
|
1 класс
|
Низкая вероятность банкротства
|
1 класс
|
Низкая вероятность банкротства
|
Коэффициент У. Бивера позволяет отнести ПАО «Аэрофлот» ко 1му классу
вероятности банкротства, которым по системе У. Бивера банкротство компании не
прогнозируется.
Потенциальное банкротство ПАО «Аэрофлот» проанализирует по методикам
двухфакторной и пятифакторной модели Альтмана (табл. 3.2).
Таблица 3.2. Диагностика вероятности банкротства ПАО «Аэрофлот» в
2015-2016 гг. на основе двухфакторной модели Альтмана
|
Показатель
|
2014 г.
|
2015 г.
|
2016 г.
|
|
Оборотные активы (стр. 1200)
|
90868469
|
109572999
|
100491279
|
|
Дебиторская задолженность (стр. 1230)
|
62251889
|
69326867
|
65744175
|
|
Итого краткосрочных обязательств (стр. 1500)
|
69530163
|
115999774
|
79582230
|
|
Итого долгосрочных обязательств (стр. 1400)
|
14137779
|
21200970
|
17739695
|
|
Валюта баланса (стр. 1700)
|
151930221
|
186544805
|
177285662
|
|
Кт.л. = (стр. 1200 - стр. 1230) / стр.1500
|
0,41
|
0,35
|
0,44
|
|
Кд.о. = (стр. 1400 + стр. 1500) / стр. 1700
|
0,55
|
0,74
|
0,55
|
|
Z = - 0,3877 + 1,0736 Кт.л. + 0,0579 Кд.о.
|
0,09
|
0,03
|
0,11
|
Итак, по двухфакторной модели Альтмана если Z > 0, то вероятно, что
предприятие останется платежеспособным; если Z < 0, то наиболее вероятный
сценарий развития в перспективе - банкротство. Следовательно, у ПАО «Аэрофлот»
в 2015-2016 гг. показатели Z выше
нуля на протяжении всего периода, что показывает отсутствие угрозы банкротства
в течение указанного периода.
Рассчитаем вероятность банкротства по пятифакторной модели Альтмана
(табл. 3.3).
Таблица 3.3. Диагностика вероятности банкротства ПАО «Аэрофлот» в
2015-2016 гг. на основе пятифакторной модели Альтмана
|
Показатель
|
2015 г.
|
2016 г.
|
|
Оборотные активы (стр. 1200)
|
109572999
|
100491279
|
|
Нераспределенная прибыль (стр. 1370)
|
47852182
|
78502839
|
|
Прибыль до налогообложения (стр. 2300)
|
17457060
|
42081308
|
|
Собственный капитал (стр. 1310)
|
1110616
|
1110616
|
|
Выручка (стр. 2110)
|
366307485
|
427900527
|
|
Итого краткосрочных обязательств (стр. 1500)
|
21200970
|
17739695
|
|
Валюта баланса (стр. 1700)
|
186544805
|
177285662
|
|
Х1 - стр. 1200/стр. 1700;
|
0,59
|
0,57
|
|
Х2 - стр. 1370/стр. 1700
|
0,26
|
0,44
|
|
Х3 - стр. 2300/стр. 1700
|
0,09
|
0,24
|
|
Х4 - стр. 1310/стр. 1500
|
0,05
|
0,06
|
|
Х5 - стр. 2110 / стр. 1700
|
1,96
|
2,41
|
|
Z = 1,2 Х1 + 1,4 Х2 + 3,3 Х3 + 0,6 Х4 + Х5
|
3,37
|
4,53
|
Таким образом, показатель Z в 2015 году находится в диапазоне 1,81-2,99,
то есть в зоне неопределенности, а в 2016 году уже находится выше показателя
2,99, что представляет собой зону отсутствия угрозы банкротства. Таким образом,
на конец исследуемого периода банкротство предприятию не угрожает.
При том, что финансовые показатели ПАО «Аэрофлот» показывают достаточный
уровень финансовой устойчивости, в недавнем прошлом в СМИ появились сообщения о
том, что компании угрожает банкротство. Эти заявления появились после
объявления о несостоятельности Трансаэро. Проблемы с выполнением обязательств
данным авиаперевозчиком начались в сентябре 2015 года, а с октября уже была
прекращена продажа билетов на рейсы, обслуживаемые Трансаэро. Многие пассажиры
оказались в ситуации, когда по приобретенным билетам они не смогли вернуться
домой. В суд с заявлением оформить банкротство авиакомпании обратились сразу
несколько банковских организаций, однако изначально виделся вариант покупки
обанкротившегося авиаперевозчика.
Долги авиаперевозчика Трансаэро составили 260 миллиардов рублей, и в
случае приобретения данной компании долг также перешел бы компании-покупателю.
Говорить о том, что Аэрофлот обанкротился бы от данной покупки, не приходится,
но ситуация компании могла существенно ухудшиться.
В настоящее время чистая прибыль государственной компании составляет 240
миллионов рублей ежегодно. Долги Трансаэро приходилось бы погашать за счет
бюджетных средств. В связи с ухудшившейся экономической ситуации подобная
необходимость превратилась бы в серьезную проблему. Кроме того, не прекращаются
разговоры о коррупционных схемах среди руководства авиакомпании.
Причиной, по которой Аэрофлот имел намерение приобрести Трансаэро,
является потенциальное увеличение прибыли. Услугами авиаперевозчика
пользовались многие компании, туроператоры, поэтому клиентская база компании
достаточно велика. Потенциальное поглощение Трансаэро Аэрофлотом помогло бы
увеличить количество клиентов государственной авиакомпании.
Эксперты также называли в числе причин, по которым руководство Аэрофлота
хотело поглотить обанкротившегося конкурента, возможность получать из
государственного бюджета средства на погашение образовавшейся задолженности. В
связи с кризисной ситуацией отчисление такой суммы из бюджета становится даже
теоретически невозможным.
После проведенной аналитической работы, руководство компании Аэрофлот
отказалось приобретать Трансаэро, и в отношении авиаперевозчика было начато
дело о банкротстве. 16 декабря арбитражный суд Санкт-Петербурга инициировал
процедуру наблюдения, первую стадию банкротства юридического лица. С
требованиями внести себя в список кредиторов выступили три российских банка -
Сбербанк, ВТБ и Альфа-банк. Авиакомпания Аэрофлот смогла извлечь выгоду из
банкротства конкурентов. Пассажиры, перед которыми обанкротившийся
авиаперевозчик не смог выполнить обязательства, были перевезены силами
государственной авиакомпании. Обошлась перевозка «чужих» пассажиров Аэрофлоту в
сумму около 5 млрд. рублей, однако авиакомпания сможет получить часть имущества
Трансаэро при его распределении, а также забрать клиентов
авиаперевозчика-банкрота. Таким образом, банкротство Аэрофлота является не
более чем прогнозом, причем при обстоятельствах, которые случиться уже не
могут. Государственная авиакомпания получила выгоду и без необходимости
поглощать конкурента.
3.2
Мероприятия, направленные на снижение рисков компании «Аэрофлот»
В Аэрофлоте действует эффективная комплексная система управления рисками,
позволяющая оперативно выявлять риски, оценивать их существенность,
своевременно реагировать на них, добиваясь минимизации негативного воздействия
или исключения рисков. В Компании принят вероятностный подход к оценке рисков,
в соответствии с которым оценка влияния рисков на результат проводится с
использованием математических моделей.
Управление рисками осуществляется на всех уровнях управления, а также по
всем функциональным и проектным направлениям. Функции управления рисками
распределены между Советом директоров, Правлением, Комитетом по аудиту,
подразделением по управлению рисками и другими подразделениями ОАО «Аэрофлот».
Компания делит риски на четыре основные группы: финансовые, операционные,
правовые риски и бизнес-риски.
Аэрофлот ведет целенаправленную политику по минимизации рисков, включая
использование таких способов, как страхование, хеджирование, установление
лимитов, требований покрытия. Минимизации рисков способствуют повышение
квалификации персонала, эксплуатация современного парка воздушных судов,
применение передовых технологий в процессах обеспечения безопасности полетов,
управления рыночными рисками, подготовки пилотов и прочее. Деятельность
компании по управлению рисками носит комплексный характер и имеет целью не
только минимизацию негативных последствий от реализации различных рисков, но и
снижение вероятности реализации неблагоприятных событий, а также общее
уменьшение ее подверженности всем видам рисков.
Риск банкротства напрямую связан с финансовыми рисками и риском
ликвидности.
Финансовые риски возникают вследствие изменений рыночных индикаторов,
таких как курсы валют, процентные ставки. Финансовые риски могут существенно
снизить прибыль компании. Аэрофлот предпринимает целенаправленные действия по
снижению потенциального негативного эффекта или исключению финансовых рисков.
Компанию сопровождает ценовой риск - риск изменения стоимости
авиатоплива, тарифы на которое привязаны к мировым ценам на нефть. Расходы Компании
на авиатопливо составляют свыше 30 % в общей доле расходов, поэтому колебания
цены существенно влияют на совокупные расходы компании. Для его снижения ПАО
«Аэрофлот» использует финансовые инструменты для хеджирования своих ценовых
рисков. По состоянию на начало 2014 года захеджировано около 70 % от
ежемесячного планового объема потребляемого авиатоплива в 2014 году и 25 %
планового объема потребляемого топлива в 2015 году. Используемая Аэрофлотом
структура хеджирования соответствует практике многих международных
авиакомпаний.
В целях управления и снижения кредитного риска ОАО «Аэрофлот»
используется системный подход, закрепленный во внутренних нормативных
документах Компании.
В целях снижения рисков по дебиторской задолженности агенты,
осуществляющие продажу авиаперевозок, обязаны предоставлять финансовое
обеспечение в виде банковских гарантий или депозитов. Размер финансового
обеспечения пересчитывается на ежемесячной основе и зависит от его финансового
состояния, а также от качества его платежной дисциплины и объемов продаж
агента.
Мониторинг кредитного риска агентов проводится в ОАО «Аэрофлот» на
ежедекадной основе. Для банков-контрагентов применяется система лимитов
кредитных рисков. Лимит кредитного риска зависит от срока и определяет величину
возможных выплат со стороны банка в пользу Компании. При определении лимитов
кредитного риска во внимание принимаются результаты анализа финансового
состояния и экспертная оценка кредитных организаций. При расчете величины
использования и остатка лимита учитывается информация по всем компаниям,
входящим в Группу «Аэрофлот».
Финансовое состояние банков-контрагентов и размер лимита пересматриваются
на ежеквартальной основе. Кроме того, регулярно проводится мониторинг
информации нефинансового характера в различных источниках (СМИ, официальные
сайты гос. органов - ФССП РФ, ФНС РФ, картотека ВАС РФ и т. п.). По состоянию
на конец 2016 года реестр банков, с которыми сотрудничает ОАО «Аэрофлот»,
включал порядка 90 кредитных учреждений. В течение 2014-2016 годов благодаря
своевременному мониторингу и управлению кредитными рисками ОАО «Аэрофлот» не
понесло финансовых потерь от операций с контрагентами.
Для снижения риска потери ликвидности финансовыми службами ОАО «Аэрофлот»
проводится четкое планирование графика входящих и исходящих денежных потоков с
целью выявления возможного дефицита и своевременного привлечения краткосрочного
финансирования от кредитных учреждений.
Итак, при сохранении прежней системы управления рисками в ПАО «Аэрофлот»
будет сохраняться прежний уровень финансового состояния, ликвидности и
платежеспособности.
Заключение
По итогам проведенного исследования можно сделать следующие выводы.
Под банкротством принято понимать финансовый кризис, то есть
неспособность фирмы выполнять свои текущие обязательства. В этих условиях
особую значимость приобретают мероприятия по предотвращению кризисных ситуаций,
а также меры, направленные на восстановление платежеспособности предприятий и
стабилизацию их.
Программа финансового оздоровления - это комплексное, системное понятие,
включающее целый ряд мероприятий от предварительной диагностики кризиса до
методов по его устранению и преодолению.
Причины, вызвавшие кризис на предприятии могут быть различными (как
внутренними, так и внешними), но наибольшее влияние на состояние предприятия
оказывают управленческие факторы. Влияние внешних факторов кризиса имеет
стратегический характер. Они предопределяют финансовый кризис на предприятии,
если отсутствует система раннего предупреждения и реагирования, одной из задач
которой является прогнозирование банкротства. Именно неэффективность управления
следует отнести к наиболее характерной для современных предприятий проблеме. В
законодательстве РФ существуют необходимые механизмы для осуществления
финансового оздоровления.
Анализ вероятности банкротства был проведен на примере крупнейшей
авиакомпании России - ПАО «Аэрофлот», которая является преемником
государственного авиаперевозчика. Для оценки вероятности банкротства был
проведен анализ финансового состояния компании, анализ финансовых результатов
ее деятельности, а также оценка вероятности банкротства по двух- и
пятифакторным моделям Альтмана.
Оценка финансового состояния ПАО «Аэрофлот» показала, что структура
имущества компании и источников его образования является наиболее оптимальной -
в структуре имущества около 40 % приходится на долю внеоборотных активов, в
структуре источников его образования - эта же доля соответствует собственному
капиталу организации. Динамика показателей актива и пассива баланса неоднородна
и демонстрирует активную финансовую деятельность компании, связанную с
обновлением парка основных средств, его модернизацией, а также выполнением ряда
финансовых обязательств.
Анализ финансовых результатов деятельности ПАО «Аэрофлот» показывает
общий рост всех его показателей, а также рентабельности деятельности.
Диагностика вероятности банкротства была проведена по двух- и
пяти-факторной модели Альтмана, обе из которых показатели зону отсутствия
угрозы банкротства. Таким образом, на конец исследуемого периода банкротство
предприятию не угрожает.
Для того, чтобы поддерживать текущее стабильное финансовое состояние и
избежать банкротства ПАО «Аэрофлот» должно значительное внимание уделять
системе противодействия таким рискам, как финансовый, ценовой, кредитный, операционный
и иные виды рисков. Для управления рисками используются механизмы их
прогнозирования, хеджирования, а также страхования. При сохранении прежней
системы работы с рисками компания «Аэрофлот» будет продолжать наращивать объемы
оказываемых услуг, что в целом повысит качество авиаперевозок в стране.
Список
использованных источников и литературы
1. Федеральный закон от 26.10.2002 № 127-ФЗ (ред. от
03.07.2016) «О несостоятельности (банкротстве)» // Собрание законодательства
РФ. - 2002. - № 43. - Ст. 4190.
2. Постановление Правительства РФ от 25 июня 2003 г. N
367 «Об утверждении Правил проведения арбитражным управляющим финансового
анализа» // Собрание законодательства РФ. - 2003. - № 26. - Ст. 2664.
. Абдукаримов И.Т. Экономический анализ в современной
экономике России: роль, проблемы и перспективы развития // Финансы:
планирование, управление, контроль. - 2015. - № 2. - С. 2-7.
. Алексеева Д.Г., Андреева Л.В., Андреев В.К. [и др.]
Российское предпринимательское право / Под ред. И.В. Ершова, Г.Д. Отнюкова. -
М.: Проспект, 2016. - 715 с.
. Баканов М.И., Шеремет А.Д. Теория экономического
анализа. - М.: Финансы и статистика, 2015. - 205 с.
. Балабанов И.Т. Основы финансового менеджмента. - М.:
Финансы и статистика, 2016. - 384 с.
. Богатырева О.В. Реализация стратегического подхода к
финансовому оздоровлению кризисных предприятий в современной экономике России
// Экономический анализ. Теория и практика. - 2016. - № 19.
. Васильева, Л.С. Анализ финансово-хозяйственной
деятельности предприятий. - М.: Экзамен, 2016. - 319 с.
. Волков О.И. Экономика предприятия (фирмы). - М.:
ИНФРА-М, 2015.- 601 с.
. Герасимов Е.Ю. Сбалансированная система показателей
как инструмент реализации стратегии // Дайджест-Финансы. - 2015. - № 3. - С.
20-26.
. Горфинкель В.Я. Экономика предприятия. - М.:
ЮНИТИ-ДАНА, 2015. - 670с.
. Дорохина Е.Г. Реализация функции диагностики в
процедурах банкротства // Закон. - 2010. - № 7.
. Дягель О.Ю., Энгельгарт Е.О. Диагностика вероятности
банкротства организаций: сущность, задачи и сравнительная характеристика
методов // Экономический анализ. Теория и практика. - 2010. - № 13.
. Ефимова О.В. Финансовый анализ. - М.: Бухгалтерский
учет, 2015. - 320 с.
. Ефимова Ю.В. Методические подходы к оценке
кредитоспособности заемщиков // Банковское кредитование. - 2016. - № 3. - С.
37-41.
. Зимин Н.Е. Анализ и диагностика финансового
состояния предприятий. - М. ЭКМОС, 2013. - 621 с.
. Клейнер Г.Б. Стратегии бизнеса: аналитический
справочник. - М.: «КОНСЭКО», 2016. - 372 c.
. Ковалев В.В., Привалов В.П. Анализ финансового
состояния предприятия. - М.: Центр экономики и маркетинга, 2015. - 192 с.
. Ковалев В.В. Финансовый анализ: методы и процедуры.
- М.: Финансы и статистика, 2015. - 560 с.
. Комплексный экономический анализ хозяйственной
деятельности / Под ред. М.А. Вахрушиной. - М.: Вузовский учебник, 2013. - 463
с.
. Кондраков Н.П. Основы финансового анализа. - М.:
Главбух, 2015. - 114 с.
22. Крейнина М.Н. Финансовый менеджмент. - М.: Дело и
сервис, 2015. - 319 с.
. Крылов С.И. Анализ показателей сбалансированной
системы (общий подход) // Финансовая аналитика. - 2016. - № 2(2). - С. 84-88.
24. Крылов С.И. Анализ финансовых результатов
коммерческой организации по данным отчета о прибылях и убытках // Финансовый
вестник: финансы, налоги, страхование, бухгалтерский учет. - 2015. - № 12. - С.
7-12.
. Лаврухина Н.В. Экономика предприятия. - М.: МГТУ им.
Н.Э. Баумана, 2015. - 357 с.
. Литвак Е. Влияние кризисных явлений в экономике
Российской Федерации на малый бизнес // Финансовая газета. - 2011. - № 6. - С.
45-48.
. Лысенко Д.В. Комплексный экономический анализ
хозяйственной деятельности. - М.: ИНФРА-М, 2012. - 320 с.
. Любушкин Н.П. Анализ финансово-экономической
деятельности. - М.: Академия, 2016. - 462 с.
. Магура М. Управление организацией в условиях кризиса
// Управление персоналом. - 2011. - № 2. - С. 51-56.
. Маркаръян Э.А., Герасименко Г.П. Финансовый анализ.
- М.: Финансы и статистика, 2012. - 562 с.
. Никольская Э.В., Лозинская В.Б. Финансовый анализ. -
М.: МГАП Мир книги, 2015. - 316 с.
. Никифорова Н.А. Предпринимательские риски.
Риск-менеджмент. - М.: Академия, 2016. - 426 с.
. Олейник И.С., Коваль И.Г. Финансовый менеджмент. -
Обнинск, 2015. - 187 с.
. Портер М. Конкуренция. - М.: Вильямс, 2010.
. Протасов В.Ф. Анализ деятельности предприятия
(фирмы): производство, экономика, финансы, инвестиции, маркетинг. - М.: Финансы
и статистика, 2013. - 482 с.
. Рогов М.А. Риск-менеджмент: организационный аспект
// Консультант. - 2016. - № 10. - С. 10-14.
. Романовская А. Как спрогнозировать финансовый кризис
// Консультант. - 2010. - № 5.
. Савицкая Г.В. Анализ хозяйственной деятельности
предприятия. - М.: ИНФРА-М, 2014. - 536 с.
. Стоянова Е.С. Штерн М.Г. Финансовый менеджмент для
практиков. - М.: Перспектива, 2016. - 268 с.
. Стоянова Е.С. Финансовый менеджмент: российская
практика. - М.: Финансы и статистика, 2013. - 118 с.
. Финансовое управление фирмой / Под ред. В.И.
Терехина. - М.: Экономика, 2010.
. Черникова А.А., Дручинин А.И., Проселкова А.И.
Показатели оценки достижения стратегических целей // Экономический анализ. -
2015. - № 3 (84). - 271-276.
. Черняков А., Постникова Н. Кризис и контролируемая
задолженность // Налоговый учет для бухгалтера. - 2011. - № 10. - С. 102-111.