Разработка мероприятий по улучшению финансового состояния ОАО 'Псковавиа'
СОДЕРЖАНИЕ
ВВЕДЕНИЕ
Глава 1.
Общая характеристика финансово-хозяйственной деятельности в ОАО «Псковавиа»
.1
Характеристика авиационного предприятия ОАО «Псковавиа»
.2 Анализ
ликвидности ОАО «Псковавиа»
.3 Анализ
финансовой устойчивости ОАО «Псковавиа»
Глава 2. Учет
финансовых результатов в ОАО «Псковавиа»
.1
Теоретические аспекты учета финансовых результатов
.2 Учет
доходов и расходов от основного вида деятельности в ОАО «Псковавиа»
.3 Учет
доходов и расходов от прочих видов деятельности в ОАО «Псковавиа»
.4
Формирование конечного финансового результата. Реформация баланса
Глава 3.
Анализ финансовых результатов ОАО «Псковавиа»
.1 Финансовый
результат как показатель эффективности деятельности: экономическое содержание,
методика и задачи анализа
.2 Анализ финансовых
результатов хозяйственной деятельности ОАО «Псковавиа»
.3 Анализ
рентабельности хозяйственной деятельности ОАО «Псковавиа»
.4
Мероприятия по улучшению финансовых результатов ОАО «Псковавиа»
ЗАКЛЮЧЕНИЕ
СПИСОК
ИСПОЛЬЗОВАННОЙ ЛИТЕРАТУРЫ
ВВЕДЕНИЕ
В условиях рыночной экономики эффективность хозяйственной деятельности
предприятий выражается в финансовых результатах, и как следствие проблема
увеличения финансовых результатов является одной из важнейших для коммерческого
предприятия.
Финансовый результат является одним из важнейших показателей, который
интересует не только внутренних, но и внешних пользователей, поэтому для
принятия оптимального управленческого решения по обеспечению устойчивости и
стабильности деятельности необходимо обладать достоверной и своевременной
информацией об эффективности и результатах деятельности, для чего возникает
необходимость соблюдения правил ведения бухгалтерского учета и в проведении
анализа финансовых результатов, отслеживая их динамику и изменение структуры и
выявляя потенциально возможные изменения в ресурсах организации.
В настоящее время интеграция мирового хозяйства способствует эффективному
развитию авиаперевозок. Транспортная система, представляющая собой основной
элемент производственной и социальной инфраструктуры, должна удовлетворять
потребностям населения и экономики в виде предоставления транспортных услуг.
При этом экономический кризис на рынке российских авиаперевозок и
геополитическая напряженность оказывают негативное влияние на хозяйственную
деятельность авиакомпаний. Несмотря на рост пассажиропотока рентабельность
продаж крупных авиакомпаний имеет отрицательную динамику, как отмечают
эксперты, однако компенсация по объему не оказывает существенного влияния на
улучшения показателей хозяйственной деятельности.
Кроме того, большинство авиакомпаний испытывают высокую долговую
нагрузку, по причине нехватки собственных ресурсов для обеспечения текущей
деятельности, а также для интенсивного обновления и расширения парка путем
закупки (приобретения в лизинг) новых самолетов авиакомпании наращивают
кредитование.
Таким образом, в сложившихся рыночных условиях, многие авиакомпании
вынуждены искать пути повышения экономической эффективности, пересматривая
реализуемые бизнес-модели и разрабатывая мероприятия по повышению эффективности
хозяйственной деятельности.
Поэтому сегодня особо важным становится вопрос о поддержании устойчивого
финансового состояния авиакомпаний, с целью укрепления позиций на внешнем и на
внутреннем рынках.
Принимая во внимание все вышеотмеченное, именно анализ финансовых
результатов деятельности хозяйствующего субъекта лежит в основе создания
системы мероприятий, направленных на увеличение рентабельности авиакомпаний и
на преодоление кризиса на рынке российских авиакомпаний, то есть направленных
на увеличение финансовых результатов хозяйственной деятельности.
Все выше сказанное определяет актуальность темы исследования выпускной
квалификационной работы.
Целью выпускной квалификационной работы является разработка мероприятий
по улучшению финансового состояния ОАО «Псковавиа» на базе изучения его учета и
анализа.
Для достижения поставленной цели исследования выпускной квалификационной
работы сформулированы следующие задачи, определяющие логическое построение и
структуру выпускной квалификационной работы:
- дать экономическую характеристику ОАО «Псковавиа»;
- провести анализ ликвидности и платежеспособности ОАО
«Псковавиа»;
- исследовать подходы разных авторов к учету финансовых
результатов;
- изучить учет доходов и расходов от основного вида деятельности
в ОАО «Псковавиа»
- изучить учет доходов и расходов от прочих видов деятельности
в ОАО «Псковавиа»
- изучить процесс формирования конечного финансового результата
и реформации баланса в исследуемой организации;
- рассмотреть финансовый результат как показатель эффективности
хозяйственной деятельности с теоретической точки зрения;
- осуществить анализ финансовых результатов хозяйственной
деятельности ОАО «Псковавиа»;
- проанализировать рентабельность хозяйственной деятельности
ОАО «Псковавиа»;
- провести факторный анализ рентабельности исследуемого
предприятия;
- проанализировать рентабельность собственного капитала;
- провести факторный анализ показателей производства и продажи
услуг;
- разработать мероприятия по улучшению финансового состояния
ОАО «Псковавиа».
Объектом исследования является авиакомпания ОАО «Псковавиа». Предметом
исследования выступают финансовые результаты предприятия.
При написании выпускной квалификационной работы использовались
нормативные документы, регулирующие учет и анализ финансовых результатов,
данные учета и отчетности ОАО «Псковавиа», а также труды следующих авторов:
Бабаев Ю.А., Вахрушина М.А., Грачев А.В., Гончарова А.И., Егорова С.Е., Ефимова
О.В., Ковалев В.В., Кондраков Н.П., Мельник М.В., Маслов Б.Г., Савицкая Г.В., Шеремет
А.Д.
Работа состоит из введения, трех глав, списка литературы и приложений.
Глава 1. Общая характеристика финансово-хозяйственной
деятельности в ОАО «Псковавиа»
.1
Характеристика авиационного предприятия ОАО «Псковавиа»
Открытое акционерное общество «Псковавиа» (далее «Общество») создано на
основе реорганизации ФГУП «Псковавиа» в соответствии указом президента РФ №49
от 31 января 2014 г., распоряжением правительства РФ №380-р от 17 марта 2014 г.
и распоряжением Росимущества №216-з от 4 апреля 2014 г. 100% акций ОАО
«Псковавиа» были переданы в собственность Псковской области, таким образом
Общество приобрело форму собственности - собственность субъектов РФ.
Учредителем и собственником 100% акций является Псковская область в лице
государственного комитета Псковской области по имущественным отношениям.
Уставный капитал составляет 4 532 400 рублей, разделенных на 45 324
обыкновенных акций номинальной стоимостью 100 рублей. Все акции именные в
бездокументарной форме, полностью оплаченные.
Общество не имеет представительств, филиалов, дочерних и зависимых
компаний.
Реквизиты Общества: ИНН 6027084249, КПП 602701001
Юридический адрес Общества: 180005 г. Псков ул. Германа д. 34
Основным видом деятельности предприятия является оказание услуг по
осуществлению воздушных пассажирских и грузовых перевозок на внутренних и
международных линиях. При этом деятельность общества является субсидированной -
субсидии предоставляются на осуществление пассажирских перевозок, в рамках
программы поддержки региональных авиаперевозчиков.
Авиационное предприятие было образовано в ноябре 1944 года, до 1969 года
полёты выполнялись на самолетах По-2, Як-12 и Ан-2, а в феврале 1969 года был
получен первый самолёт Ан-24. С 1975 по 1955 год авиапредприятие выполняло
регулярные пассажирские рейсы не только в Москву и Ленинград (Санкт-Петербург),
а также в Симферополь, Киев, Минск и Петрозаводск.
В настоящее время авиапредприятие оказывает широкий спектр услуг по
следующим направлениям:
- воздушные грузовые перевозки, в том числе: чартерные (заказные) рейсы,
услуги вертолёта и фрахт (аренда) воздушного судна (ВС);
- воздушные пассажирские перевозки;
- наземное обслуживание ВС: погрузка-разгрузка, медосмотр,
запуск, подогрев, и т.д.;
- техническое обслуживание ВС;
- аэропортовые сборы: взлет-посадка, обеспечение авиационной
безопасности, пользование аэровокзалом;
- сдача в аренду собственного нежилого недвижимого имущества и
земель;
- производство и передача тепловой энергии.
По состоянию на 31.12.2014 года Среднесписочная численность авиационного
предприятия за 2014 год составила 252 человека.
Авиапарк общества состоит из ВС, из которых: пассажирские (6 ед.),
грузовые (4 ед.), вертолет (1 ед.). Пассажирские типа АН-24РВ являются
арендованными, грузовые типа АН-26Б - два арендованных, два находятся в
собственности, вертолёт также является арендованным. Так же на территории
аэропорта находится административное здание, аэровокзал, собственная
авиатехническая база, котельная и вспомогательные сооружения.
Партнерами ОАО «Псковавиа» являются следующие компании:
- Северо-Западный филиал Метеоагентства Росгидромета - осуществляет
метеорологическое обслуживание полетов;
- филиал «Аэронавигация Северо-запада» ФГУП «Госкорпорация по
ОрВД» организует и обслуживает воздушное движение над Северо-Западным регионом;
- ТЗК «Аэрофьюэлз» - осуществляет заправку пассажирских и
грузовых ВС;
- Общество с ограниченной ответственностью «Пулково-экспресс» -
является агентом по продаже авиаперевозок.
Основные конкуренты общества на рынке грузовых перевозок международными воздушными
линиями (МВЛ) на самолетах Ан-26 являются:
- российская компания ЮТэйр (г. Тюмень);
- белорусский авиаперевозчик - авиакомпания Генекс;
- латвийская авиакомпания RAFavia.
А также авиакомпания «Космос» (г. Москва), эксплуатирующая ВС типа Ан-12
на международных воздушных авиалиниях (МВЛ).
В рассматриваемый период (2014 г.) выполнялись регулярные пассажирские
перевозки в рамках областной целевой программы по развитию транспортной системы
Псковской области перевозки по маршруту Псков-Москва-Псков.
В рамках федеральной программы по развитию региональной маршрутной сети
по маршрутам:
- Псков - Санкт-Петербург - Псков;
- Санкт - Петербург - Апатиты - Санкт-Петербург;
- Санкт-Петербург - Вологда - Санкт-Петербург;
- Санкт-Петербург - Брянск - Санкт-Петербург;
- Санкт-Петербург - Курск - Санкт-Петербург;
- Санкт-Петербург - Петрозаводск - Санкт-Петербург (закрыт в
мае 2014 года).
- пассажирская сетка маршрутов из аэропорта Архангельск на
Мурманск, Соловки, Амдерма, Нарьян-Мар, Усинск и из аэропорта Мурманск в Тромсе
(Норвегия) - по договору фрахта с ЗАО «Нордавиа».
Приоритетным направлением деятельности общества является постоянное
расширение рынка сбыта услуг по внутренним и международным перевозкам различных
грузов, на грузовых самолетах Ан-26. Расширение рынка сбыта услуг дает
возможность компании предлагать свои услуги зарубежным заказчикам по
конкурентоспособным ценам, а также увеличение парка пассажирских воздушных
судов типа Ан-24 и переход на новый тип пассажирских воздушных судов позволят
авиакомпании укрепить свои позиции на рынке пассажирских перевозок, имея при
этом достаточные производственные мощности для расширения маршрутной сети на
новых пассажирских линиях в СЗФО.
Деятельность общества отнесена к отрасли «Транспорт», класс по
ОКВЭД-51.10.1 «Перевозка воздушным пассажирским транспортом, подчиняющимся
расписанию».
Бухгалтерский и налоговый учет ведет бухгалтерия, под руководством
главного бухгалтера, подчиняющегося генеральному директору. В состав
бухгалтерии входит главный бухгалтер, заместитель главного бухгалтера, и четыре
рядовых бухгалтера: бухгалтер по расчетам с обязанностями кассира; бухгалтер по
заработной плате; бухгалтер-экономист; бухгалтер по расчетам с покупателями и
заказчиками.
Каждый бухгалтер обязан соблюдать должностную инструкцию, которая
определяет функциональные обязанности, права и ответственность бухгалтера ОАО
«Псковавиа».
Ответственность за формирование учетной политики, ведения бухгалтерского
учета, своевременного предоставления полной и достоверной бухгалтерской отчетности
возложена на главного бухгалтера ОАО «Псковавиа».
Бухгалтерский учет осуществляется в соответствии с Учетной политикой ОАО
«Псковавиа», в качестве системы налогообложения применяется общая система
налогообложения.
Бухгалтерская отчетность, сформированная организацией исходя из
действующих в Российской Федерации правил бухгалтерского учета. Форма учета -
автоматизированная с помощью программы 1С, при этом учет начислений по
заработной плате, налогов и сборов, и удержаний производится в отдельной программе,
с ежемесячной выгрузкой свернутых сумм в основную программу учету.
Операции в бухгалтерском учете оформляются первичными документами,
предусмотренными в альбомах унифицированных форм и иными формами первичных
учетных документов, утвержденных уполномоченными органами (в том числе
унифицированные и специализированные формы).
Налоговый учет ведется на основании регистров бухгалтерского учета,
дополненных необходимыми реквизитами. Отчетность в налоговый орган и пенсионный
фонд предоставляется в электронном виде.
Документооборот включает в себя график прохождения документов, контроль
за правильностью оформления документов и отражением операций на счетах
бухгалтерского учета.
1.2 Анализ
ликвидности ОАО «Псковавиа»
Устойчивое финансовое состояние предприятия является важной
характеристикой в условиях рыночной экономики. Приоритетным значением является
способность выполнять долговые обязательства, то есть обеспечение ликвидности
предприятия.
Теоретические основы и практические вопросы экономической категории «ликвидность»
рассматриваются в исследованиях западных экономистов: К. Маркса, Дж.М. Кейнса,
И. Фишера, М. Фридмана и других, а также в исследованиях российских ученых и
практиков: В.В. Бочарова, И.А. Бланка, А.Г. Грязновой, В.В. Ковалева, М.В.
Мельник, А.Д. Шеремета и других. Большинство из них определяют ликвидность как
способность активов превращаться в денежные средства и обеспечивать
платежеспособность и возвратность заемных средств.
В большинстве научных работ выделяют четыре группы активов и пассивов:
- наиболее ликвидные активы с наиболее срочными обязательствами;
- быстрореализуемые активы с краткосрочными пассивами;
- медленно реализуемые активы с долгосрочными пассивами;
- труднореализуемые активы с постоянными пассивами.
В настоящее время приведенная классификация групп активов и пассивов
является типовой.
Анализ ликвидности проводится в два этапа:
. Предварительная оценка ликвидности бухгалтерского баланса;
2. Расчет коэффициентов ликвидности.
Следует отметить, что активы группируются по степени ликвидности и
располагаются в порядке ее убывания, одновременно с этим группировка пассивов
зависит от срока погашения обязательств, и располагаются в порядке их
возрастания. В научной литературе представлены различные варианты наполнения
каждой из групп актива и пассива (см. табл. 1).
Таблица 1
Состав групп активов и пассивов
|
Группы активов и пассивов
|
Авторы
|
|
М.В. Мельник
|
Г.В. Савицкая
|
А.Д. Шеремет
|
|
Актив баланса
|
|
А1 (наиболее ликвидные
активы)
|
Денежные средства и
денежные эквиваленты; Краткосрочные финансовые вложения
|
Денежные средства;
краткосрочные финансовые вложения
|
Денежные средства;
краткосрочные финансовые вложения
|
|
А2 (быстро реализуемые
активы)
|
Дебиторская задолженность
краткосрочная и долгосрочная
|
Товары отгруженные;
Краткосрочная дебиторская задолженность; НДС по приобретенным ценностям
|
Краткосрочная дебиторская
задолженность; Прочие оборотные активы
|
|
А3 (медленно реализуемык
активы)
|
Все статья оборотных
активов, не вошедших в А1 и А2
|
Производственные запасы;
Незавершенное производство; Готовая продукция
|
Запасы за вычетом расходов
будущих периодов; Доходные вложения в материальные ценности; Долгосрочные
финансовые вложения за вычетом вложения в уставные капиталы других
организаций
|
|
А4 (труднореализуемые
активы)
|
Внеоборотные активы
|
Внеоборотные активы;
расходы будущих периодов; Долгосрочная дебиторская задолженность
|
Внеоборотные активы за
исключением отнесенных в А3; Расходы будущих периодов; Вложения в уставные
капиталы других организаций
|
|
Пассив баланса
|
|
П1 (наиболее срочные
обязательства
|
Кредиторская задолженность
|
Кредиторская задолженность
и кредиты банка, сроки возврата которых наступили; просроченные платежи
|
Краткосрочная
задолженность; Задолженность участникам по выплате доходов; прочие
краткосрочные обязательства; Ссуды не погашенные в срок
|
|
П2 (краткосрочные
обязательства)
|
Все статьи краткосрочных
обязательств, кроме кредиторской задолженности и доходов будущих периодов
|
Все статьи краткосрочных
обязательств, кроме кредиторской задолженности и доходов будущих периодов
|
Все статьи краткосрочных обязательств,
кроме кредиторской задолженности и доходов будущих периодов
|
|
П3 (Долгосрочные пассивы)
|
Долгосрочные обязательства
|
Долгосрочные кредиты банка
и займы
|
Долгосрочные кредиты и
заемные средства за вычетом ссуд, не погашенных в срок
|
|
П4 постоянные пассивы
|
Капитал и резервы, доходы
будущих периодов
|
Собственный капитал
|
Собственные средства;
Доходы будущих периодов
|
При формировании групп необходимо корректировать их состав, устанавливая
по данным бухгалтерского баланса ликвидность активов и срок платежа по
пассивам. Например, если краткосрочные финансовые вложения могут быть
преобразованы в денежные средства не ранее чем через полгода, то их следует
отнести к группе медленно реализуемые активы, а не к группе наиболее ликвидных
активов.
Исходя из данных бухгалтерского баланса, за основу возьмем группы активов
и пассивов, сформированные в соответствие с предложенной группировкой М.В.
Мельник. Далее проведем анализ ликвидности ОАО «Псковавиа», предварительно
изучив структуру имущества, капитала и обязательств. Более наглядно структура
актива и пассива на 31.12.2014 г. представлена на рисунке 1.
Рисунок - 1 Структура актива и пассива бухгалтерского баланса ОАО
«Псковавиа» на 31 декабря 2014 г.,%
По данным структурного анализа (см. прил. 6) на конец отчетного периода
(31.12.2014) наибольшую долю в имуществе организации занимают внеоборотные
активы -57,86%, что на 0,15% меньше, чем на начало.
Значительный рост прочих внеоборотных активов произошел за счет
возникновения расходов будущих периодов, которые включают в себя продление
летной годности, расходы на ввод нового типа воздушных судов, при этом их доля
в валюте баланса на конец отчетного периода незначительно снизилась на 0,15%.
Кроме того, увеличение внеоборотных активов связано с приобретением имущества и
инвестициями в строительство.
Доля оборотных активов возросла с 41,99% в 2013 г. до 42,14% в 2014 г.
Данное незначительное изменение (+0,15%) оказывает положительное влияние на
финансовое состояние организации, так как увеличение мобильной части активов
способствует ускорению оборачиваемости активов, увеличению доходов от
осуществления услуг.
Рост величины активов организации, на конец отчетного периода, связан в
основном с ростом следующих позиций актива бухгалтерского баланса: прочие
внеоборотные активы; расходы будущих периодов (более 12 мес.); материалы,
денежные средства и денежные эквиваленты, прочие оборотные активы.
Одновременно с этим в пассиве баланса, на конец отчетного периода,
наибольший рост наблюдается по строкам: долгосрочные заемные средства;
кредиторская задолженность; переоценка внеоборотных активов; оценочные
обязательства.
Собственный капитал в целом увеличился и составил 13 247 тыс. руб., но к
концу отчетного периода его доля снизилась на 2,68%, что свидетельствует о
снижении финансовой устойчивости организации, по сравнению с прошлым периодом.
А также увеличилась доля обязательств в валюте баланса (+2,68%): наблюдается
увеличение доли долгосрочных обязательств на 25,31% и уменьшение доли
краткосрочных обязательств на 22,63%, на 31.12.2014.
Среди долей статей бухгалтерского баланса, по отношению к валюте баланса,
отметим позиции, по которым произошло снижение: основные средства,
нематериальные активы, запасы, незавершенные капитальные вложения, расходы
будущих периодов, дебиторская задолженность, финансовые вложения (за
исключением денежных эквивалентов), уставный капитал, отложенные налоговые
обязательства, кредиторская задолженность
Сопоставляя структуры изменений в активе и пассиве баланса можно сделать
вывод, что финансирование деятельности организации и приобретение активов
осуществляется в большей степени за счет долгосрочных и краткосрочных
обязательств, необходимо отметить, что доля кредиторской задолженности превышает
долю дебиторской задолженности на 34,4 процентных пункта - данное превышение
говорит о приближении Общества к банкротству. Нарушена структура капитала: доля
уставного капитала снижается в рассматриваемом периоде и на 31 декабря 2014 г.
его доля составила 4,13%, а доля заемного капитала составила 87,9%
(долгосрочные обязательства - 26,5%, краткосрочные обязательства - 61,41), что
повышает риск утраты финансовой устойчивости. Снижение непокрытого убытка
способствует незначительному росту финансовой устойчивости Общества.
Из таблицы «Предварительная оценка ликвидности бухгалтерского баланса ОАО
«Псковавиа» видно, что на протяжении всего рассматриваемого периода
бухгалтерский баланс Общества не является абсолютно ликвидным. Это объясняется
тем, что существует недостаток ликвидных активов для покрытия краткосрочных
обязательств. При этом на 31 декабря 2014 г. наблюдаем недостаток медленно
реализуемых активов для погашения долгосрочных обязательств, который составил
20 164 тыс. руб. Так же наблюдается излишек внеоборотных активов в размере 50
177 тыс. руб., что указывает на покрытие части внеоборотных активов заемными
средствами. Данная диспропорция привела к снижению ликвидности.
На основе предварительной оценки бухгалтерского баланса рассчитаем
коэффициенты ликвидности, результаты расчетов приведены в таблице 2.
Таблица 2
Динамика коэффициентов ликвидности в ОАО «Псковавиа»
|
Наименование коэффициента
|
Нормативное значение
|
Значение
|
Изменение
|
|
|
на 31.12.12
|
на 31.12.13
|
на 31.12.14
|
2013 г.
|
2014 г.
|
|
L1
|
0,2-0,7
|
0,02
|
0,04
|
0,23
|
0,02
|
0,19
|
|
L2
|
1,5
|
0,57
|
0,38
|
0,55
|
-0,19
|
0,17
|
|
L3
|
2
|
0,65
|
0,50
|
0,69
|
-0,15
|
0,19
|
|
L4
|
1
|
0,34
|
0,26
|
0,41
|
-0,08
|
0,15
|
L1 -
коэффициент абсолютной ликвидности; L2 - коэффициент промежуточного покрытия; L3 - коэффициент текущей ликвидности; L4 - общий показатель ликвидности.
Расчет коэффициентов ликвидности подтверждает выводы, полученные в
результате предварительной оценки ликвидности.
В рассматриваемых периодах коэффициенты ликвидности имеют значительное
отклонение от нормативных значений. Но в тоже время наблюдается увеличение
коэффициента абсолютной ликвидности с 0,02 в 2012 г. до 0,23 в 2014 г., таким
образом, в обществе был преодолён недостаток денежных средств, для обеспечения
части краткосрочных обязательств. В соответствии с полученным значением
коэффициента промежуточного покрытия (0,55), можно сделать вывод о, том что за
счет наиболее ликвидных активов Общество в состоянии погасить незначительную
долю краткосрочных обязательств. Коэффициент текущей ликвидности в 2014 г.
(0,69) значительно ниже нормативного значения, это объясняется превышением
темпов роста текущих обязательств над темпами роста оборотных активов.
Коэффициент общей ликвидности составил 0,41, что ниже минимально допустимого
значения (1): у общества недостаточно ликвидных активов для покрытия
обязательств - таким образом подтверждается вывод о неспособности ОАО
«Псковавиа» выполнять свои долговые обязательства, то есть Общество является
неплатежеспособным.
1.3 Анализ финансовой устойчивости ОАО «Псковавиа»
Финансовая устойчивость является важнейшей характеристикой финансовой
деятельности организации, так как она имеет ряд преимуществ перед конкурентами
в привлечении инвестиций, выборе поставщиков, получении кредитов, при условии
финансовой устойчивости организации.
В исследованиях экономистов в определение финансовой устойчивости
сосредоточивается внимание на внутренней или внешней деятельности организации.
Например, О.В. Баскакова определяет финансовую устойчивость как
способность предприятия наращивать уровень деловой активность, обеспечивая при
этом платежеспособность [15].
А.Д. Шеремет дает следующее определение «финансовой устойчивости» - это
состояние счетов предприятия, гарантирующее его постоянную
платежеспособность»[38].
Напротив, В.В. Бочаров рассматривает финансовую устойчивость предприятия
как стабильное превышение доходов над расходами, свободное маневрирование
денежными средствами и эффективное их использование в процессе операционной
деятельности [16].
Задачами анализа финансовой устойчивости являются: оценка степени независимости
от заемных источников финансирования; определение оптимальности структуры
источников средств организации с точки зрения минимизации риска ликвидности.
Наиболее полное определение «финансовой устойчивости» дает А.В. Грачев:
«Под финансовой устойчивостью предприятия следует понимать платежеспособность
предприятия во времени с соблюдением условия финансового равновесия между
собственными и заемными финансовыми средствами» [19]. Данное определение
соответствует задачам анализа финансовой устойчивости.
Характеризуется финансовая устойчивость абсолютными и относительными
показателями.
Далее на основе данных бухгалтерской отчетности организации проведем
анализ финансовой устойчивости ОАО «Псковавиа», используя методику,
предложенную М.В. Мельник:
. Определение финансового состояния, используя абсолютные показатели;
2. Расчет и оценка коэффициентов финансовой устойчивости [30].
Таким образом, расчет абсолютных показателей финансовой устойчивости (см.
табл. 3) выявил следующее:
Таблица 3
Оценка типа финансового состояния ОАО «Псковавиа», тыс. руб.
|
Показатели
|
Значение
|
|
2012
|
2013
|
2014
|
|
Запасы
|
7 634
|
8 489
|
6 405
|
|
Собственные оборотные
средства
|
-31 240
|
-37 664
|
-50 177
|
|
Капитал функционирующий
|
-31 056
|
-36 629
|
-21 128
|
|
Общая величина источников
|
-21 056
|
-36 629
|
-20 934
|
|
Излишек (недостаток)
собственных оборотных средств
|
-38 874
|
-46 153
|
-56 582
|
|
Излишек (недостаток)
капитала функционирующего
|
-38 690
|
-45 118
|
-27 533
|
|
Излишек (недостаток) общей
величины источников
|
-28 690
|
-45 118
|
-27 339
|
|
Тип финансового состояния
|
0;0;0
|
0;0;0
|
0;0;0
|
Общество испытывает кризисное состояние, в рассматриваемом периоде, так
как: ФСОС <0;
ФКФ<0; ФВИ<0 - Это позволяет сделать вывод о
том, что Общество полностью зависит от заемных источников финансирования, а
собственного капитала, долгосрочных и краткосрочных заемных средств не хватает
для финансирования оборотных средств, а также необходимо отметить, что
значительное влияние на отрицательное значение собственных оборотных средств
оказывают полученные обществом убытки, на конец отчетного периода сумма
непокрытого убытка составила 10 031 тыс. руб.
На втором этапе результаты анализа абсолютных показателей финансовой
устойчивости дополняются расчетом и оценкой коэффициентов финансовой
устойчивости (см. табл. 4)
Как видно из табл. 4, коэффициент финансовой активности в рассматриваемом
периоде значительно превышает нормативное значение и на конец 2014 г. его
значение (7,27) так же превышает нормативное значение, что связано с
увеличением доли заемных средств в структуре совокупного капитала одновременно
с увеличением совокупного капитала за счет создания резервного капитала на
сумму 51 тыс. руб.
Таблица 4
Динамика коэффициентов финансовой устойчивости ОАО «Псковавиа»
|
Показатель
|
Нормативное значение
|
Значение показателя
|
Изменение показателя
|
|
|
на 31.12.12
|
на 31.12.13
|
на 31.12.14
|
2013
|
2014
|
|
U1
|
1
|
-10,92
|
5,77
|
7,27
|
+16,69
|
+1,5
|
|
U2
|
0,5
|
-0,10
|
0,15
|
0,12
|
+0,25
|
-0,03
|
|
U3
|
0,8
|
-0,10
|
0,16
|
0,39
|
+0,26
|
+0,23
|
|
U4
|
≥0,1
|
-0,53
|
-1,03
|
-1,09
|
-0,50
|
-0,06
|
|
U5
|
0,1-0,6
|
3,79
|
-2,93
|
-3,79
|
-6,72
|
-0,86
|
|
U6
|
0,1
|
-4,09
|
-4,44
|
-7,83
|
-0,34
|
-3,40
|
1
- коэффициент финансовой активности; U2 - коэффициент финансовой
независимости; U3 - коэффициент финансовой устойчивости; U4
- коэффициент обеспеченности собственными оборотными средствами; U5
- коэффициент маневренности собственного капитала; U6 - коэффициент
обеспеченности запасов.
Коэффициент финансовой независимости общества на 31.12.2014 г. составил
0,12. Полученное значение показывает, что ввиду недостатка собственного
капитала, общество в значительной степени зависит от кредиторов, при этом за
текущий год наблюдается негативная тенденция в работе общества - снижение
коэффициента финансовой независимости (-0,03), следовательно, обществу
необходимо стремиться к повышению доли собственных средств для обеспечения
стабильности функционирования авиапредприятия. Остальные коэффициент так же
имеют значительные отклонения от нормативных значений и отрицательную динамику,
кроме коэффициента финансовой устойчивости. Коэффициент финансовой устойчивости
увеличился с -0,10 в 2012 г. до 0,39 в 2014 г., то есть общество постепенно
преодолевает состояние неплатежеспособности.
Отрицательное значение коэффициента обеспеченности оборотными средствами
подтверждает зависимость общества от кредиторов, одновременно с этим падение
данного показателя в рассматриваемом периоде 2012-2014 гг. указывает на
постоянное возрастание риска возникновения просроченной задолженности и риска
потери финансовой устойчивости.
А также, как видно и табл. 4 отрицательное значение коэффициента
маневренности собственных средств указывает на то, что оборотный капитал
формировался за счет заемных средств, и общество имеет крайне низкую финансовую
устойчивость. Одновременно с этим отрицательное значение коэффициента
обеспеченности запасов собственными оборотными средствами объясняется отрицательным
значением собственного оборотного капитала, что так же подтверждает финансовую
нестабильность ОАО «Псковавиа». На основе предварительной оценки ликвидности
бухгалтерского баланса проведём оценку платежеспособности общества (см. табл.
5).
Таблица 5
Оценка текущей платежеспособности на основе коэффициентов ликвидности
|
Наименование коэффициента
|
Нормативное значение
|
Значение
|
Изменение
|
|
|
на 31.12.12
|
на 31.12.13
|
на 31.12.14
|
2013 г.
|
2014 г.
|
|
L1
|
0,2-0,7
|
0,02
|
0,04
|
0,23
|
0,02
|
0,19
|
|
L2
|
1,5
|
0,57
|
0,38
|
0,55
|
-0,19
|
0,17
|
|
L3
|
2
|
0,65
|
0,50
|
0,69
|
-0,15
|
0,19
|
L1 - коэффициент абсолютной
ликвидности; L2 - коэффициент промежуточного покрытия; L3 - коэффициент текущей ликвидности;
Таким образом, к концу отчетного периода наблюдается снижение риска
потери платежеспособности (L1 = 0,23); коэффициент промежуточного
покрытия имеет значительное отклонение от нормативного значения (0,95), при
этом он вырос на 0,17, что свидетельствует о незначительном повышении
способности погашения краткосрочных обязательств за счет продажи ликвидных
активов и указывает на существующие проблемы общества с погашением
краткосрочных обязательств; коэффициент текущей ликвидности имеет положительную
тенденцию, в связи с чем происходит постепенное увеличение ликвидности активов
и снижение убытков.
Согласно Методическим рекомендациям по оценке финансового состояния и
экономической эффективности деятельности юридических лиц, имеющих сертификат
эксплуатанта и выполняющих коммерческие воздушные перевозки, утвержденным
распоряжением Министерства транспорта РФ от 05.05.2012 г. №ИЛ-62-р [12], оценку
текущей платежеспособности следует дополнить следующими показателями: чистый
оборотный капитал, коэффициент задолженности по долгосрочным обязательствам и
краткосрочным заемным средствам, период погашения кредиторской задолженности,
период погашения дебиторской задолженности (см. табл. 6).
Таблица 6
Дополнительные показатели для оценки платежеспособности
|
Показатели
|
Изменение
|
|
2012
|
2013
|
2014
|
2013
|
2014
|
|
Чистый оборотный капитал,
тыс. руб.
|
-31 056
|
-36 629
|
-21 128
|
-5 573
|
15 501
|
|
Коэффициент задолженности
по долгосрочным обязательствам и краткосрочным заемным средствам
|
0,58
|
0,05
|
1,29
|
-0,53
|
1,24
|
|
Период погашения
кредиторской задолженности, дни
|
118
|
79
|
51
|
-39
|
-28
|
|
Период погашения
дебиторской задолженности, дни
|
70
|
50
|
31
|
-20
|
-19
|
Итак, чистый оборотный капитал отрицателен, что свидетельствует о
дефиците финансовых ресурсов обеспечения текущей деятельности, при этом
наблюдается благоприятная тенденция: увеличение чистого оборотного капитала на
15 501 тыс. руб. в 2014 г.
Нормативное значение коэффициента задолженности по долгосрочным
обязательствам и краткосрочным заемным средствам составляет 1,5, следовательно,
общество, на конец отчетного периода, имеет высокую долговую нагрузку.
Период оборота кредиторской задолженности превышает период оборота
дебиторской задолженности, что является неблагоприятной ситуацией для
осуществления хозяйственной деятельности, в тоже время скорость получения
платежей по счетам дебиторов увеличилась и на конец отчетного периода составила
51 день, следовательно, оборачиваемость дебиторской задолженности эксплуатанта
находится в допустимом диапазоне от 30 до 60 дней.
Таким образом, общество характеризуется недостаточностью финансовых
ресурсов обеспечения текущей деятельности и нестабильной платежеспособностью.
Так как между платежеспособностью организации скоростью оборота ее
оборотных активов существует прямая зависимость, возникает необходимость
провести анализ деловой активности, результаты анализа приведены в таблице 7.
Таблица 7
Динамика показателей деловой активности ОАО «Псковавиа»
|
Показатели
|
Значения
|
Изменение
|
|
2013
|
2014
|
|
|
Коэффициенты оборота,
обороты
|
|
Оборотные активы
|
5,71
|
5,71
|
0,00
|
|
Запасы
|
35,31
|
38,14
|
2,82
|
|
Дебиторская задолженность
|
7,32
|
11,71
|
4,39
|
|
Собственный капитал
|
117,78
|
20,84
|
-96,94
|
|
Кредиторская задолженность
|
3,72
|
4,32
|
0,60
|
|
Краткосрочные заемные
средства
|
3,34
|
3,87
|
0,54
|
|
Период оборота, дни
|
|
Оборотные активы
|
63,97
|
63,94
|
-0,02
|
|
Запасы
|
10,34
|
9,57
|
-0,77
|
|
Дебиторская задолженность
|
49,85
|
31,17
|
-18,68
|
|
Собственный капитал
|
3,10
|
17,51
|
14,41
|
|
Кредиторская задолженность
|
98,15
|
84,43
|
-13,72
|
|
Краткосрочные заемные
средства
|
109,39
|
94,26
|
-15,13
|
|
Операционный цикл, дни
|
60,19
|
40,74
|
-19,44
|
|
Финансовый цикл, дни
|
-37,96
|
-43,69
|
-5,73
|
В анализируемом периоде произошло незначительное ускорение
оборачиваемости всех элементов, кроме собственного капитала, что указывает на
рост деловой активности. На замедление оборачиваемости собственного капитала с
117,78 до 20,84 влияют как внутренние (переоценка внеоборотных активов,
создание резервного капитала), так и внешние факторы (специфика спроса и
предложения, изменения тарифов на осуществление рейсов).
Сокращение периода оборота запасов и дебиторской задолженности повлияло
на сокращение операционного цикла на 19 дней. Одновременно с этим финансовый цикл
имеет отрицательное значение и увеличение продолжительности на 6 дней, то есть
авиакомпания использует заемные источники для покрытия текущей деятельности.
При этом периода оборота кредиторской задолженности превышает период оборота
дебиторской задолженности на 53 оборота, что негативно отражается на финансовой
надежности общества так как кредиторскую задолженность предприятие обязано
погашать вне зависимости от состояния дебиторской задолженности, таким образом,
ОАО подвержено кредитному риску.
Кредитный риск заключается в возникновении убытков вследствие неоплаты
или просроченной оплаты финансовых обязательств. Данный риск сложно
минимизировать в связи с тем, что основное поступление доходов от пассажирских
перевозок осуществляется из средств федерального и регионального бюджетов. В
свою очередь кассовый разрыв составляет от 60 до 90 дней, в связи с
обязательной предоплатой по обеспечению рейсов и фактическому получению
денежных средств из бюджета по возмещению данных расходов.
Таким образом, ОАО «Псковавиа» зависимо от краткосрочных кредитов,
приобретаемых для осуществления текущей деятельности - несвоевременная оплата
платежей приводит к увеличению расходной части по возникающим штрафным санкциям
за несвоевременное исполнение договорных обязательств по оплате кредиторской
задолженности.
Глава 2. Учет финансовых результатов в ОАО «Псковавиа»
.1 Теоретические аспекты учета финансовых результатов
В настоящее время специалисты в области экономики все больше уделяют
внимание в своих исследованиях изучению учета финансовых результатов и поиску
путей улучшения учета финансовых результатов, особенно в условиях перехода на
международные стандарты отчетности. Однако наблюдаются разные подходы к
определению экономического содержания понятия «финансовый результат».
Г.В. Савицкая обращает внимание на то, что финансовые результаты
деятельности предприятия характеризуются суммой полученной прибыли и уровнем
рентабельности, в свою очередь прибыль является частью чистого дохода,
полученного субъектом хозяйствования после реализации продукции, выполнения
работ, и оказания услуг [32].
О.В. Ефимова, под финансовым результатом деятельности предприятия
понимает прибыль и отмечает, что конечным результатом является тот, на который
собственники имеют право распоряжения [23].
В.В. Бочаров рассматривает порядок формирования финансовых результатов
предприятия, систематизируя статьи, которые входят в отчет о финансовых
результатах и, показывая формирование прибыли от валовой прибыли до чистой
прибыли (убытка) отчетного периода [16].
Обобщая выше изученные подходы к определению понятия «финансовый
результат», можно сделать вывод о том, что финансовый результат представляет
собой обобщающий показатель деятельности организации за определенный период
времени используемый для анализа и оценки эффективности и неэффективности
деятельности предприятия на определенных этапах его развития.
В бухгалтерском учете конечный финансовый результат деятельности
хозяйствующего субъекта выражается через показатель прибыли или убытка,
представляет собой сумму результата от реализации товаров, работ, услуг, и от
прочих внереализационных операций. При этом основной целью бухгалтерского учета
относительно финансового результата является установление достоверности
отчетных данных о финансовых результатах и выявления финансового результата для
принятия управленческих решений.
Также необходимо отметить, что в экономическом смысле прибыль (убыток)
исчисляется как разность между денежными поступлениями и выплатами, в интересах
хозяйствующего субъекта - как разность между имущественным состоянием
предприятия на конец и начало расчетного периода. Таким образом, различают
экономическую и бухгалтерскую прибыль, связь которых выражается в формулах
расчета:
БП = Д - БИ (1)
ЭП = Д - ЭИ (2)
где БП - бухгалтерская прибыль;
Д - совокупный доход;
БИ - бухгалтерские (явные) издержки;
ЭИ - экономические издержки (явные издержки + неявные издержки);
Выделим основные задачи учета финансовых результатов предприятия:
- оперативный контроль за формированием финансовых результатов от основной
и прочих видов деятельности;
- контроль за прочими доходами и расходами с целью
своевременного принятия управленческих решений по недопущению (минимизации)
прочих расходов;
- контроль за правильным и своевременным исчислением,
перечислением налога на прибыль;
- правильное исчисление неиспользованной прибыли или не
покрытого убытка отчетного периода.
Нормативное регулирование учета финансового результата деятельности
предприятия происходит на четырех уровнях и отражено в следующих документах:
) Федеральный закон о бухгалтерском учете от 06.12.2011 №402-ФЗ -
устанавливает единые правовые и методологические основы организации и ведения
бухгалтерского учета;
2) Положения по ведению бухгалтерского учета, устанавливающих
принципы и способы ведения бухгалтерского учета и формирование состава
финансовых результатов организации: ПБУ 1/2008 «Учетная политика организации»,
ПБУ 4/99 «Бухгалтерская отчетность организации», ПБУ 9/99 «Доходы организации»,
10/99 «Расходы организации»;
) План счетов, определяющий перечень счетов учета финансовых
результатов и распределения прибыли;
) Учетная политика организации, утверждающая конкретный порядок
организации первичного учета, документооборота, и рабочий план счетов.
При формировании финансового результата и последующего учета, необходимо
безошибочно определять доходы и расходы возникающие в момент совершения
хозяйственных операций.
Понятия и состав доходов в организации различны в бухгалтерском учете и в
налогообложении.
Так согласно НК РФ, доходом признается экономическая выгода в денежной
(натуральной) форме, учитываемая в случае возможности ее оценки и в той мере, в
которой такую выгоду можно оценить, при этом к доходам в целях исчисления
налога на прибыль относятся доходы от реализации товаров, оказания услуг, выполнения
работ, имущественных прав, и внереализационные доходы.
Указанные ранее ПБУ 9/99 и 10/99 разделяют доходы и расходы организаций
на две категории: доходы (расходы) по обычным видам деятельности и прочие
доходы (расходы). Таким образом совокупный финансовый результат деятельности
организации формируется из финансового результата, формирующегося по основной
деятельности компании (то есть от продажи товаров, выполнения работ, оказания
услуг) и финансового результата, формирующегося в части прочих доходов и
расходов.
Следует заметить, что для формирования финансового результата от обычных
видов деятельности определяется себестоимость реализованных товаров, работ,
услуг сформированная на основе расходов по обычным видам деятельности,
признанных в отчетном году и в предыдущие отчётные периоды, с учетом
корректировок. Так же в себестоимость могут быть включены коммерческие и
управленческие расходы, при условии, что организация относится к субъектам
малого и среднего предпринимательства, имеющих право на ведение бухгалтерского
учета упрощенным способом [6].
Согласно ПБУ 4/99 «Бухгалтерская отчетность», отчетным периодом
признается период за который организация должна составлять бухгалтерскую
отчетность: по общему правилу, прописанному в статье 13 закона №402-ФЗ, бухгалтерская
отчетность составляется за год, промежуточная отчетность составляется в
случаях, когда законодательством РФ, нормативными правовыми актами органов
государственного регулирования бухгалтерского учета, договорами, учредительными
документами экономического субъекта, решениями собственника экономического
субъекта установлена обязанность ее представления. При этом промежуточный
финансовый результат определяется сальдо на конец отчетного периода по счету 99
«Прибыль и убытки», годовой - сальдо по счету 84 «Нераспределенная прибыль
(непокрытый убыток)».
В процессе ведения бухгалтерского учета для обобщения информации о
доходах и расходах, выявления конечного финансового результата за отчетный
период применяются следующие счета бухгалтерского учета: счет 90 «Продажи» -
предназначен для учета доходов и расходов от обычных видов деятельности; счет
91 «Прочие доходы и расходы» - используется для учета доходов и расходов от
прочих видов деятельности; счет 99 «Прибыли и убытки» - применятся для
обобщения информации о формировании конечного финансового результата
деятельности организации в отчетном году.
На рисунке 2 представлена схема формирования прибыли/убытка от основного
вида деятельности.
|
Дт 90.2 Кт
|
|
|
Дт 90.1 Кт
|
Дт 90.3 Кт
|
|
Себестоимость реализованной
продукции, выполненных работ, оказанных услуг
|
|
|
Выручка
|
|
Налог на добавленную
стоимость
|
|
|
|
|
|
|
|
|
|
|
|
|
|
|
|
|
|
|
|
Дт 90.9 Кт
|
|
|
|
|
|
|
|
|
|
|
|
|
|
|
|
|
Дт 99 Кт
|
|
|
Дт 90.09 Кт
|
|
|
|
|
|
|
|
|
Сумма превышения выручки
над себестоимостью
|
|
|
|
|
|
|
Прибыль
|
|
|
|
|
|
|
|
|
|
|
|
Дт 90.09 Кт
|
|
|
Дт 99 Кт
|
|
|
|
|
|
|
|
|
Сумма превышения
себестоимости над выручкой
|
|
|
|
|
|
|
Убыток
|
|
|
|
|
|
Рисунок - 2 Схема формирования прибыли/убытка от реализации продукции,
выполнения работ, оказания услуг
Финансовый результат (прибыль или убыток) от продаж за отчетный месяц
определяется путем ежемесячного сопоставления совокупного дебетового оборота по
субсчетам 90-2 «Себестоимость продаж», 90-3 «Налог на добавленную стоимость» и
кредитового оборота по субсчету 90-1 «Выручка»
Ежемесячно, заключительными оборотами, финансовый результат списывают с
субсчета 90-09 «Прибыль (убыток) от продаж» на счет 99 «Прибыли и убытки»,
следовательно синтетический счет 90 «Продажи» сальдо на отчетную дату не имеет.
По окончании отчетного года субсчета, открытые к счету 90 «Продажи» закрываются
внутренними записями на субсчет 90-09 «Прибыль (убыток) от продаж», и на
завершающем этапе необходимо начислить налог на прибыль. В таблице 8 для больше
наглядности приведены типовые проводки по учету финансовых результатов:
Таблица 8
Корреспонденция счетов по учету финансовых результатов
|
№п/п
|
Содержание операции
|
Дебет
|
Кредит
|
|
1
|
Закрытие субсчета учёта
продаж в конце отчетного года: списание оборотов по учету выручки от продаж
списание оборотов по учету себестоимости списание оборотов по учету НДС
|
90-01 90-09 90-09
|
90-09 90-02 90-03
|
|
2
|
Отнесение суммы прибыли от
продаж на счет прибылей и убытков
|
90-09
|
99
|
|
3
|
Отнесение суммы убытков от
продаж на счет прибылей и убытков
|
99
|
90-09
|
|
4
|
Отражены доходы будущих
периодов
|
50,51,52,62,76
|
98-01
|
|
5
|
Закрытие субсчета по учету
прочих доходов и расходов: списаны обороты по учету прочих доходов списаны
обороты по учету прочих расходов
|
91-01 91-09
|
91-09 91-02
|
|
6
|
Отнесение суммы прибыли от
прочих доходов и расходов, на счет прибылей и убытков
|
91-09
|
99
|
|
7
|
Отнесение суммы убытков от
прочих доходов и расходов, на счет прибылей и убытков
|
99
|
91-09
|
|
8
|
Начислено постоянное
налоговое обязательство
|
99
|
68.пно
|
|
9
|
Начислен постоянный
налоговый актив
|
68.пна
|
99
|
|
10
|
Начислен условный расход по
налогу на прибыль
|
99
|
68.урнп
|
|
11
|
Начислен условный доход по
налогу на прибыль
|
68.уднп
|
99
|
|
12
|
Закрытие счета 99 «Прибыли
и убытки» заключительными проводками в конце отчетного года на сумму: чистой
прибыли убытка
|
99 84
|
84 99
|
Счет 99 «Прибыли и убытки» используется при формировании конечного
финансового результата деятельности организации в отчетном году. По дебету
отражают убытки (потери, расходы), а по кредиту - прибыли (доходы) организации.
Сопоставление дебетового и кредитового оборотов за отчетный период показывает
конечный финансовый результат отчетного периода.
Следует отметить, что на счете 99 в течение отчетного года отражают:
- прибыль или убыток от обычных видов деятельности - в корреспонденции со
счетом 90 «Продажи»;
- сальдо прочих доходов и расходов за отчетный месяц - в
корреспонденции со счетом 91 «Прочие доходы и расходы»;
- суммы начисленного условного расхода по налогу на прибыль,
постоянных обязательств и платежи по перерасчетам по этому налогу из
фактической прибыли, а также суммы причитающихся налоговых санкций - в
корреспонденции со счетом 68 «Расчеты по налогам и сборам».
По окончании отчетного года при составлении годовой бухгалтерской
отчетности счет 99 «Прибыли и убытки» подлежит закрытию. При этом
заключительной записью сумму чистой прибыли (убытка) отчетного года списывают
со счета 99 «Прибыли и убытки» в кредит (дебет) счета 84 «Нераспределенная
прибыль (непокрытый убыток)».
2.2 Учет доходов и расходов от основного вида деятельности в
ОАО «Псковавиа»
При ведении учета доходов и расходов от основного вида деятельности
бухгалтер в ОАО «Псковавиа» следующими положениями по ведению бухгалтерского
учета: «Доходы организации» ПБУ 9/99, «Расходы организации» ПБУ 10/99 - а также
Учетной политикой ОАО «Псковавиа», и рабочим планом счетов.
Согласно рабочему плану счетов бухгалтерского учет ОАО «Псковавиа, для
учета доходов и расходов от основного вида деятельности используются следующие
счета и субсчета:
- Счет 90 «Продажи» субсчет 90-01 «Выручка»;
- Счет 90 «Продажи» субсчет 90-02 «Себестоимость продаж»;
- Счет 90 «Продажи» субсчет 90-03 «Налог на добавленную
стоимость».
В качестве доходов от основных видов деятельности в ОАО «Псковавиа»
признается выручка от реализации услуг в результате осуществления уставной
деятельности:
- Грузовые авиаперевозки;
- Пассажирские авиаперевозки;
- Фрахт ВС
- Аэропортовые услуги;
- Производство и передача тепловой энергии.
Отношения с поставщиками и покупателями строятся на договорной основе.
Первичными документами на основании которых осуществляется ведение учетов
доходов от основной деятельности в ОАО «Псковавиа» являются акт выполненных
работ, посадочная ведомость к полетному заданию, справка-расчет; по реализации
ТМЦ - товарная накладная.
В 2014 году доход Общества от основных видов деятельности составил 272
044 тыс. руб., расход - 446 626 тыс. руб.
Далее приведем примеры признания выручки от основного вида деятельности
«пассажирские перевозки».
апреля 2014 года на основании счета-фактуры №294 признана выручка от
осуществления пассажирских авиаперевозок (см. прил.8). В течение месяца
бухгалтер составляет отчет о количестве перевезенных пассажиров и выручке от
авиаперевозок сверяя данные отчета ТКП (см. прил. 9). с Заданием на полет
Затем в конце месяца на общую сумму в бухгалтерском учете делаются
следующие записи, представленные в таблице 9.
Таблица 9
Выписка из журнала хозяйственных операций
|
№п/п
|
Содержание операции
|
Основание
|
Дебет
|
Кредит
|
Сумма, руб.
|
|
1
|
Отражена предварительная
продажа авиабилетов
|
Отчет ТКП,
21.04.2014-30.04.2014
|
76.05.ТКП
|
76.05 «Пассажиры»
|
2 788 122,58
|
|
Агентское вознаграждение
ТКП за продажу авиабилетов
|
|
20.01
|
60.01
|
57 695,98
|
|
НДС с Агентское
вознаграждение ТКП за продажу билетов
|
|
19.03
|
60.01
|
10 385,28
|
|
Удержано агентское
вознаграждение ТКП с продажи билетов
|
|
60.01
|
76.05.ТКП
|
25 635,50
|
|
4
|
Выполнены пассажирские авиаперевозки
|
Счет-фактура №294, 30.04.14
|
62.01
|
90.01
|
6 422 636,61
|
|
5
|
Начислен НДС
|
Счет-фактура №294, 30.04.14
|
90.3
|
68.02
|
583 876,06
|
|
6
|
Учтена предварительная
оплата за билеты за фактические авиаперевозки
|
Отчет ТКП,
21.04.2014-30.04.2014
|
76.05 «Пассажиры»
|
62.01 «Пассажиры»
|
6 422 636,61
|
Необходимо отметить, что списание себестоимости осуществляется
ежемесячно: определяется налет часов и его доля по каждому виду деятельности,
по итогам отчетного периода постоянные затраты (счет 20.01) распределяются
пропорционально доли налета часов между видами деятельности на счет 20.01
«Затраты переменные», затем распределение переменных затрат осуществляется
пропорционально доли налета часов между видами деятельности на счет 90.02
«Себестоимость продаж».
июня 2014 года организация ОАО «МАБ» приобрела у ОАО «Псковавиа»
авиабилеты по тарифу 3450 руб. в том числе НДС, в общей сумме 6 900 руб.
Пассажирские перевозки: рейс №1941/42 Пулково-Брянск-Пулково за
20.06.2014 и 23.06.2014 - выполнены успешно.
Бухгалтер на основании отчета кассира о продажах авиабилетов за 27 июня
2014 г. на рейс №941/42 составляет отчет о количестве перевезенных пассажиров и
выручке от авиаперевозок по разработанной форме, приведенной в таблице 10.
Таблица 9
Отчет о количестве перевезенных пассажиров и выручке от авиаперевозок
|
Рейс №941/42 Направление:
Пулково-Брянск-Пулково
|
|
дата
|
Кол-во пассажиров:
|
Сумма выручки, руб.
|
Сверхн. Багаж, кг
|
|
взрослые
|
дети
|
младенцы
|
нулевые билеты
|
|
|
|
20.06.14
|
2
|
0
|
0
|
0
|
3 450
|
0
|
|
23.06.14
|
2
|
0
|
0
|
0
|
3 450
|
0
|
|
Итого
|
2
|
0
|
0
|
0
|
6 900
|
0
|
В конце месяца признается выручка по осуществленному рейсу, в
бухгалтерском учете рассматриваемая операция учитывается на общую сумму (см.
табл. 10).
В качестве расходов по обычным видам деятельности учитываются расходы,
связанные с получение доходов по обычным видам деятельности, перечень которых
установлен в Учетной политике:
- расходы, связанные с деятельностью по авиаперевозкам, фрахтом ВС,
учитываются на счете 20;
- расходы, связанные с деятельностью по аэропортовым услугам,
учитываются на счете 23;
- расходы, связанные с производством и передачей тепловой
энергии, учитываются на счете 25.
Расходы, учитываемые по счетам 20 «Авиаперевозки (основное производство),
23 «Расходы по аэропортовому комплексу», 25 «Производство тепловой энергии» в
полном объеме относятся на уменьшение доходов от реализации отчетного периода -
списываются в дебет счета 90-02 «Себестоимость продаж»
Управленческие расходы, накопленные на счете 26 «Общехозяйственные
расходы», на конец каждого отчетного периода включаются в себестоимость услуг
основного производства, вспомогательного и обслуживающего производства.
Таблица 10
Выписка из журнала хозяйственных операций
|
№п/п
|
Содержание операции
|
Основание
|
Дебет
|
Кредит
|
Сумма, руб.
|
|
1
|
Выполнены пассажирские
авиаперевозки
|
Акт №442, 30.06.14
|
62.01
|
90.01
|
6 900,00
|
|
2
|
Начислен НДС к уплате
|
Счет-фактура №443, 30.06.14
|
90.03
|
68.02
|
1 052,54
|
Первичные документы: Счет-фактура №443 от 30.06.2014, Акт №442 от
30.06.2014.
Кроме того, ОАО «Псковавиа» оказывает услугу по теплоснабжению Общежития,
находящееся в собственности области.
Таблица 11
Выписка из журнала хозяйственных операций
|
№п/п
|
Содержание операции
|
Основание
|
Дебет
|
Сумма, руб.
|
|
1
|
Производство и передача
тепловой энергии, общежитию
|
Товарная накладная №6419
31.12.2014
|
76.09
|
90.1
|
125 103, 17
|
|
2
|
Начислен НДС к уплате
|
Счет-фактура №№6419
31.12.2014
|
90.03
|
68.02
|
22 518,57
|
В таблице 11 отражены хозяйственные операции связанные с обслуживанием
общежития.
Так же в теплоснабжении нуждается аэропортовый комплекс, поэтому
возникает расход от основного вида деятельности (см. табл. 12)
декабря ОАО «Псковавиа» осуществило грузовой чартерный рейс. На основании
заключенного договора между ОАО «Псковавиа» и ЗАО «Аэропорт Храброво» на
аэропортовое обслуживание (см. табл. 13)
Таблица 12
Выписка из журнала хозяйственных операций
|
№п/п
|
Содержание операции
|
Основание
|
Дебет
|
Кредит
|
Сумма, руб.
|
|
1
|
Производство и передача
тепловой энергии, собственное потребление
|
Товарная накладная №6419
31.12.2014
|
25
|
60.01. Расходы на газ
|
125 103, 17
|
|
2
|
Списание расходов на газ в
себестоимость продаж
|
Товарная накладная №6419
31.12.2014
|
90.02
|
25
|
125 103,17
|
Таблица 13
Выписка из журнала хозяйственных операций
|
№п/п
|
Содержание операции
|
Основание
|
Дебет
|
Кредит
|
Сумма, руб.
|
|
1
|
Расходы на аэропортовые
сборы
|
Акт №2275626.12.2014
|
20.01
|
60.01.а/п Храброво
|
82 553,38
|
Стоимость аэропортовых сборов рассчитана согласно установленным тарифам
ЗАО «Аэропорт Храброво» на услуги по обслуживанию воздушных судов.
Ежемесячно ОАО «Псковавиа» оплачивает услуги, предоставленные филиалом
«Аэронавигация Северо-запада» ФГУП «Госкорпорация по ОрВД», так за декабрь 2014
г был начислен сбор за аэронавигационное обслуживание в районе аэродрома
российских пользователей воздушного пространства РФ в размере 30 077,96 (см.
табл. 14)
Таким образом, можно выделить три основных направления, по которым ОАО
«Псковавиа» учитывает доходы и расходы как от основного вида деятельности:
- авиаперевозки;
- аэропортовые услуги;
- производство и передача тепловой энергии - на территории
аэропорта находится котельная, обслуживает аэропортовый комплекс и общежитие,
не принадлежащее ОАО «Псковавиа» и являющееся социально значимым объектом.
Таблица 14
Выписка из журнала хозяйственных операций
|
№п/п
|
Содержание операции
|
Основание
|
Дебет
|
Кредит
|
Сумма, руб.
|
|
1
|
Отражены расходы на аэронавигационное
обслуживание
|
Акт №1305154а/1601 От
31.12.2014
|
20.01
|
60.01
|
30 077,96
|
Учет доходов и расходов от основных видов деятельности ОАО «Псковавиа»
ведет в соответствии с Российскими стандартами бухгалтерского учета.
2.3 Учет доходов и расходов от прочих видов деятельности в
ОАО «Псковавиа»
В ОАО «Псковавиа» на счете 91.01 «Прочие доходы» отражаются доходы,
согласно ПБУ 9/99, связанные с реализацией имущества, которые включают в себя
все прочие доходы, которые не оговорены для учета в составе доходов по основной
деятельности:
- поступления, связанные с предоставлением за плату во временное
пользование (временное владение и пользование) активов организации;
- поступления от продажи основных средств и иных активов,
отличных от денежных средств (кроме иностранной валюты), продукции, товаров;
- штрафы, пени, неустойки за нарушение условий договоров;
- активы, полученные безвозмездно, в том числе по договору
дарения;
- поступления в возмещение причиненных организации убытков;
- прибыль прошлых лет, выявленная в отчетном году;
- суммы кредиторской и задолженности, по которым истек срок
исковой давности;
- курсовые разницы;
- прочие доходы;
Как уже было ранее отмечено, деятельность общества является
субсидируемой, субсидии предоставляются на коммерчески невыгодные направления:
из федерального бюджета на поддержание направлений Псков - Санкт-Петербург, из
регионального - Псков - Москва.
ОАО «Псковавиа» ежегодно принимает участие в конкурсе на получение
субсидии. Перевозчик (ОАО «Псковавиа») рассматривает предлагаемые Федеральным
агентством воздушного транспорта (Росавиация) направления, по которым будет
предоставлена субсидия на возмещение части расходов.
Авиаперевозчик составляет план, в котором отражает количество рейсов и
стоимость, затем подает заявку на участие в конкурсе с указанием тарифов и
планируемым количеством рейсов на рассмотрение в Министерство транспорта РФ (на
получение субсидии из федерального бюджета), или в комитет транспорта Псковской
области (на получение субсидии из местного бюджета), а также устанавливают
стоимость, за которую авиаперевозчик готов предоставлять услуги из расчета
минимальной загрузки рейса.
В случае одобрения заявки составляется договор между ОАО «Псковавиа» и
Министерством транспорта РФ (Комитетом транспорта Псковской области). Так в
2014 году на возмещение расходов по пассажирским авиаперевозкам Общество
получало субсидии в первом и втором полугодии, общая сумма субсидий составила
189 418 тыс. руб.
Затем на основании составленного договора необходимые денежные средства,
для осуществления пассажирских авиаперевозок, поступают на расчетный счет
общества, в бухгалтерском учете данная хозяйственная операция отражается
следующим образом (см. табл. 15):
В процессе хозяйственной деятельности ОАО «Псковавиа» получает прочий
доход от возмещения расходов. Например, в декабре 2014 г. по договору субаренды
ВС Ан-24 ОАО «Псковавиа» осуществлял перевозки в интересах заказчика - ООО
«Авиакомпания Аэросервис», в данном случае доходы от осуществления рейса
получает заказчик (см. табл. 16)
Таблица - 15
Выписка из журнала хозяйственных операций
|
№п/п
|
Содержание операции
|
Основание
|
Дебет
|
Кредит
|
Сумма, руб.
|
|
1
|
Отражена сумма субсидии в
составе прочих доходов
|
Договор о представлении
субсидии
|
76.05.Минтранс РФ
|
91.01
|
156 651,2
|
|
2
|
Отражена сумма субсидии в
составе прочих доходов
|
Договор о представлении
субсидии
|
76.05.Ком. тр. по Псковской
обл.
|
91.01
|
32 766,7
|
|
3
|
Возмещение расходов за счет
субсидии
|
Выписка с расчетного счета
|
51
|
76.05.Минтранс РФ
|
156 651,2
|
|
4
|
Возмещение расходов за счет
субсидии
|
Выписка с расчетного счета
|
51
|
76.05.Ком. тр. по Псковской
обл.
|
32 766,7
|
Таблица - 16
Выписка из журнала хозяйственных операций
|
№п/п
|
Содержание операции
|
Основание
|
Дебет
|
Кредит
|
Сумма, руб.
|
|
Зачет аванса покупателя
|
Акт №1108 от 26.12.2014
|
62.02
|
62.01
|
121 105
|
|
Начислен НДС
|
Счет-фактура
|
91.03
|
68.02
|
18473,64
|
|
Реализация услуг,
возмещения расходов установленных договором субаренды
|
Акт №1108 от 26.12.2014
|
62.01
|
91.01
|
121 105
|
Первичные документы, на основании которых отражено возмещение расходов
представлены в приложении 15.
Также к прочим расходам относятся штрафы, и неустойки возникающие в
процессе осуществления хозяйственной деятельности (нарушение условий договоров,
и пр.) Учитывая особенности хозяйственной деятельности ОАО «Псковавиа»
подвержено риску образования штрафов и пеней по причине нарушения условий
заключенных договоров и другим различным причинам. Проводки по учету штрафов и
пеней представлены в таблице 17.
Таблица 17
Выписка из журнала хозяйственных операций
|
№п/п
|
Содержание операции
|
Основание
|
Дебет
|
Кредит
|
Сумма, руб.
|
|
1
|
Штрафы, пени и неустойки:
начислено
|
Акт проверки
|
91.02
|
68.01
|
200 000
|
|
2
|
Штрафы за нарушение
требований пожарной безопасности
|
Постановление от 30.11.2014
|
91.02
|
68.10
|
75 000
|
Одновременно с эти по причине неисполнения своих обязательств ОАО
«Псковавиа» несет прочие расходы из-за участия в судебных разбирательствах.
В 2014 г. ООО «ВАЛАР» обратилось в Арбитражный суд Псковской области с
исковым заявлением к ОАО «Псковавиа» о взыскании процентов за пользование
чужими денежными средствами. Арбитражным судом определено следующее: установить
мировое соглашение между истцом и ответчиком, в целях урегулирования спора
ответчик - ОАО «Псковавиа» обязуется уплатить истцу ООО «ВАЛАР» 1 774 358, руб.
38 коп., частями до 11 июля 2014 года в установленном размере.
В бухгалтерском учете судебные расходы имеют следующее отражение (см.
табл.18)
Таблица 18
Выписка из журнала хозяйственных операций
|
№п/п
|
Содержание операции
|
Основание
|
Дебет
|
Кредит
|
Сумма, руб.
|
|
1
|
Начисление гос. пошлины в
федеральный бюджет по делу А52-4149 ВАЛАР
|
Исковое заявление
|
91.02
|
68.01
|
31 569,00
|
|
Перечислена госпошлина в
бюджет
|
Банковская выписка
|
68.10
|
51
|
31 569,00
|
Так же в качестве прочих расходов, рассмотрим операцию списания
задолженности по истечению срока исковой давности.
По результатам инвентаризации расчетов был выявлен сомнительный долг
покупателя ООО «Воздушный Извозчик» по операции от 25.08.2011 г. на сумму 25
300 руб. 50 коп. Согласно ст. 200 ГК РФ общий срок исковой давности составляет
три года, таким образом, дебиторская задолженность, полученная от ООО
«Воздушный Извозчик», определена как задолженность с истекшим сроком давности и
суммы списываемой задолженности были отнесены на финансовые результаты (см.
табл. 18).
Таблица 18
Выписка из журнала хозяйственных операций
|
№ п/п
|
Содержание операции
|
Основание
|
Дебет
|
Кредит
|
Сумма, руб.
|
|
1
|
Списание просроченной
дебиторской задолженности
|
Акт сверки; Приказ №14 от
10.10.2014
|
91.02
|
62.01
|
25 300,50
|
|
Отражение списанной
задолженности на забалансовом счете для дальнейшего контроля
|
Акт серки; Бухгалтерская
справка
|
007
|
|
25 300,50
|
В данном случае организация не создала резерв по дебиторской
задолженности ООО «Воздушный извозчик», вследствие чего понесла неожиданные
расходы.
На основании акта сверки составлен приказ о списании просроченной дебиторской
задолженности дебиторской задолженности Документы, на основании которых учтены
хозяйственные операции по списанию дебиторской задолженности представлены в
приложении №18.
Таблица 19
Выписка из журнала хозяйственных операций
|
№п/п
|
Содержание операции
|
Основание
|
Дебет
|
Кредит
|
Сумма, руб.
|
|
1
|
Начисление резерва по
сомнительным долгам: UAB SMART
INVEST LT
|
Акт сверки, бухгалтерская
справка
|
91.2
|
63
|
2 662,86
|
|
2
|
Агент.ру
|
|
|
|
16 950,00
|
|
3
|
Аэронавигация Северо-Запада
|
|
|
|
178 262,79
|
|
4
|
Газавиагрупп
|
|
|
|
62 432,90
|
|
5
|
Лесопожарное предприятие
|
|
|
|
795 168,17
|
|
6
|
Лизинговая компания Уралсиб
|
|
|
|
158 100,00
|
По данным расчета резерва по сомнительным долгам на 31 декабря 2014 года
выявлена предельная сумма отчислений в резерв - 27 199 361,42 руб., при этом
расчетная сумма отчислений составила 5 506 017,87 руб. В таблице 19 отражены
созданные резервы по сомнительным долгам срок долга которых составляет с 45 до
90 дней.
Исходя из вышеизложенного, следует вывод о том, что учет прочих доходов и
расходов ОАО «Псковавиа» ведется в соответствии с Российскими стандартами
бухгалтерского учета.
.4 Формирование конечного финансового результата. Реформация
баланса
Необходимо отметить, что в процессе осуществления хозяйственной
деятельности (осуществление авиаперевозок, оказание аэропортовых услуг)
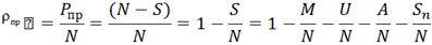
принимают участие все структурные подразделения аэропорта занятые в основном и
вспомогательном производствах, в чем и выражается специфика организации ведения
бухгалтерского учета в ОАО «Псковавиа».
R = Nпр - S = КО
90.01 - ДО (90.02, 90.03) (4)
где R - финансовый
результат;
N -
сумма выручки от продаж;
S -
себестоимость продаж;
КО - кредитовый оборот;
ДО - дебетовый оборот.
В конце отчетного периода необходимо выявить конечный финансовый
результат и провести реформацию баланса.
По данным отчета о финансовых результатах (см. прил. 1), и данным анализа
счетов 90, 91, 99, и оборотно-сальдовой ведомости оформим выписку из журнала
хозяйственных операций (см. табл. 20).
Таблица 20
Выписка из журнала хозяйственных операций
|
№п/п
|
Содержание операции
|
Дебет
|
Кредит
|
Сумма, тыс. руб.
|
|
1
|
Отнесение суммы убытков от
продаж на счет прибылей и убытков
|
99-01
|
90-9
|
174 582
|
|
2
|
Отнесение суммы прибыли от
прочих доходов и расходов на счет прибылей и убытков
|
91-09
|
99
|
177 291
|
|
3
|
Начислен условный расход по
налогу на прибыль
|
99-02-01
|
68
|
542
|
|
5
|
Начислен условный доход по
налогу на прибыль
|
68-04
|
99-02-02
|
8 559
|
|
6
|
Начислено отложенное
налоговое обязательство
|
68-04
|
77
|
85
|
|
7
|
Начислено постоянное
налоговое обязательство
|
99-02-03
|
68-04
|
10 340
|
|
8
|
Начислен текущий налог на
прибыль
|
99
|
68-04
|
2 407
|
Различие правил признания доходов и расходов в бухгалтерском и налоговом
учете привели к возникновению временных разниц. В свою очередь, после
образования налогооблагаемых временных разниц и постоянных разниц возникло
отложенное налоговое обязательство (ОНО) и постоянное налоговое обязательство
(ПНО).
Условный расход (условный доход) по налогу на прибыль равняется величине,
определяемой как произведение бухгалтерской прибыли, сформированной в отчетном
периоде, на ставку налога на прибыль, установленную законодательством
Российской Федерации о налогах и сборах и действующую на отчетную дату (20%).
Затем был определен текущий налог на прибыль определяемый исходя из
величины условного расхода (дохода), скорректированной на сумму отложенного налогового
обязательства отчетного периода.
Заключительными оборотами декабря сумма чистой прибыли (непокрытого
убытка) отчетного года списывается в кредит (дебет) счета 84 «Нераспределенная
прибыль (непокрытый убыток)» в корреспонденции со счетом 99 «Прибыли и убытки»
(см. табл. 21).
финансовый ликвидность устойчивость рентабельность
Таблица 21
Выписка из журнала хозяйственных операций
|
№п/п
|
Содержание операции
|
Дебет
|
Кредит
|
Сумма, тыс. руб.
|
|
1
|
Закрытие счета 99 «Прибыли
и убытки» заключительными проводками в конце отчетного года на сумму: чистой
прибыли
|
99
|
84
|
2 709
|
Данные заключительные проводки декабря отчетного года, определили чистую
прибыль ОАО «Псковавиа». Следующий этап после выявления конечного финансового
результата - реформация баланса.
Реформация баланса представляет собой ежегодную учетную процедуру для
определения и фиксации финансового результата отчетного года. Процессу
реформации баланса предшествуют следующие процедуры:
- проведение инвентаризации;
- сверка с дебиторами и кредиторами.
Необходимо отметить, что инвентаризации подлежат все имущество
организации независимо от его местонахождения и все виды финансовых
обязательств. А также, инвентаризации подлежат производственные запасы и другие
виды имущества, не принадлежащие организации, но числящиеся в бухгалтерском
учете (находящиеся на ответственном хранении, арендованные), а также имущество,
не учтенное по каким-либо причинам.
Завершающим этапом является составление бухгалтерской отчетности.
Информация о финансовых результатах раскрывается в отчете о финансовых
результатах. Таким образом, в отчете о финансовых результатах ОАО «Псковавиа»
на конец отчетного периода по строке 2400 отражена чистая прибыль на сумму 387
тыс. руб.
Глава 3.
Анализ финансовых результатов ОАО «Псковавиа»
.1 Финансовый
результат как показатель эффективности деятельности: экономическое содержание,
методика и задачи анализа
Положительный результат функционирования предприятия обеспечивается
поддержанием необходимого уровня прибыльности, напротив неудовлетворительная ее
динамика свидетельствует о неэффективности и рискованности деятельности.
Ведущие экономисты в области экономического анализа и финансового
менеджмента в своих исследованиях подходят к определению экономического
содержания понятия «финансовые результаты» в различных аспектах и с разной
степенью детализации. А.Д. Шеремет, изучая методику анализа финансовых
результатов предприятия, отмечает, что «финансовый результат деятельности
предприятия выражается в изменении величины его собственного капитал отчетного
периода» [39]. В данном подходе к определению финансового результата
прослеживается связь с определением выручки по Международным стандартам
финансовой отчетности. Автор перечисляет наиболее важные показатели финансовых
результатов, которые характеризуют эффективность деятельности предприятия:
прибыль (убыток) от продаж, прибыль (убыток) отчетного года, нераспределенная
прибыль (убыток) отчетного периода.
Напротив, О.В. Ефимова в своих исследованиях не рассматривает соотношение
между понятиями «финансовый результат» и «прибыль», а сразу же дает определение
прибыли: «конечный результат тот, правом распоряжаться которым, обладают
собственники, в мировой практике под ним подразумевается прирост чистых
активов». [23]
Таким образом, прибыль (убыток) как результат хозяйственной деятельности
предприятия является особым экономическим показателем, который характеризует
различные стороны деятельности предприятий: эффект хозяйственной деятельности
предприятий, конечный финансовый результат, вознаграждение за риск предпринимательской
деятельности.
Для удобства показатели прибыли могут быть систематизированы по
определённым признакам:
- по источникам формирования;
- по видам деятельности;
- по составу элементов, формирующих прибыль;
- по характеру налогообложения;
- по характеру инфляционной очистки;
- по периоду формирования;
- по регулярности формирования;
- по характеру использования [17].
Модель формирования финансового результата, с бухгалтерской точки зрения,
выглядит следующим образом:
Прибыль (убыток) = Доходы - Расходы
(5)
В соответствии с нормативными документами РФ, порядок формирования видов
прибыли представлена на рисунке 3.
Рисунок 4 - Схема формирования прибыли [14]
Чистая прибыль отчетного года, как правило распределяется на потребляемую
и капитализируемую (см. рис 5).
Рисунок 5 - Направления использования чистой прибыли [30]
Для решения использования прибыли необходимо учитывать интересы
собственников в получении дивидендов и интересы руководства в финансовой
стабильности, что является еще одним из обоснований необходимости проведения
анализа финансовых результатов.
Г.В. Савицкая предлагает осуществлять анализ финансовых результатов
деятельности предприятия, изучая: состав, структуру, динамику совокупной
прибыли и прибыли от продаж; факторы, влияющие на изменение прибыли в целом по
предприятию; состав внереализационной прибыли, ее структуру динамику;
рентабельность предприятия с выделением групп показателей рентабельности
(показатели, характеризующие окупаемость издержек производства и инвестиционных
проектов, прибыльность продаж, доходность капитала и его частей); факторы
влияющие на деятельность в целом по предприятию и по каждому виду продукции,
рентабельность продаж и рентабельность совокупного капитала [31].
Методика анализа финансовых результатов хозяйственной деятельности,
предлагаемая М.В. Мельник, включает в себя три этапа: анализ уровня и динамики
финансовых результатов; факторный анализ прибыли от продаж, в том числе по видам
услуг; факторный анализ чистой прибыли [29].
Рассматривая методологические вопросы анализа финансовых результатов О.В.
Ефимова отмечает, что важнейшим показателем, определяющим способность
организации обеспечить необходимое для ее нормального развития превышения
доходов над расходами, является прибыль. В ходе анализа финансовых результатов
должны быть решены следующие вопросы: какие элементы отчета о финансовых
результатах могут быть использованы для прогнозирования финансовых результатов;
какова эффективность вложенного капитала в предприятие; насколько эффективно
осуществляется управлением предприятием. При этом ключевой задачей анализа
является «выделение в составе доходов в организации стабильно получаемых
доходов для прогнозирования финансовых результатов [23].
Таким образом, методологический подход к содержанию экономического
анализа финансовых результатов деятельности предприятия должен заключаться в
следующем.
Анализ финансовых результатов необходимо проводить, начиная с анализа
обобщающих показателей финансовых результатов в их динамике, затем необходимо
изучить структуру, определить изменение в анализируемом периоде по отношению к
базисному периоду. Затем выявляются факторы, которые привели к изменениям,
показатели с помощью которых можно дать количественную оценить влияния факторов
на изменение финансовых результатов.
Цель анализа финансовых результатов - выявить резервы роста прибыли от
деятельности предприятия для повышения его финансовой устойчивости,
платежеспособности, и конкурентоспособности.
Все вышесказанное определяет следующие задачи анализа:
- своевременное обеспечение руководства предприятия данными, которые
позволяют сформировать объективное мнение о результатах деятельности
предприятия за отчетный период в сравнение с прошлым периодом, с бизнес-планом,
и результатами деятельности конкурентов.
- оценка достаточности достигнутых результатов для обеспечения
финансовой устойчивости и сохранение конкурентоспособности;
- изучение источников возникновения и особенностей воздействия
на результативность различных факторов;
- рассмотрение основных направлений дальнейшего развития
анализируемого объекта с точки зрения повышения его прибыльности.
Далее проведем анализ финансовых результатов на примере ОАО «Псковавиа» с
использованием методики предлагаемой Мельник М.В. дополненной анализом
рентабельности предприятия.
Анализ уровня и динамики показателей финансовых результатов хозяйственной
деятельности ОАО «Псковавиа» проводится по данным отчета о финансовых
результатах, результаты проведенного анализа приведены в таблице, где
сгруппированы показатели организации (см. табл. 22). Исходя из данных
представленных в таблице 22, следует отметить, что показатели отчета о
финансовых результатах имеют как положительные, так и негативные изменения.
Наблюдается рост выручки и себестоимости, при этом себестоимость значительно
превышает полученную выручку, о чем свидетельствует растущий убыток от продаж с
65 848 тыс. руб. в 2013 г. до 174 582 тыс. руб. в 2014 г.
Таблица 22
Анализ уровня и динамики финансовых результатов ОАО «Псковавиа»
|
Показатели
|
Значение, тыс. руб.
|
Уровень,%
|
Изменение уровня,%
|
|
2013
|
2014
|
2013
|
2014
|
|
|
Выручка
|
271 948
|
272 044
|
-
|
-
|
-
|
|
Себестоимость
|
337 796
|
446 626
|
124,21
|
164,17
|
39,96
|
|
Валовая прибыль (убыток) от
продаж
|
-65 848
|
-174 582
|
-24,21
|
-64,17
|
-39,96
|
|
Прибыль (убыток) от продаж
|
-65 848
|
-174 58
|
-24,21
|
-64,17
|
-39,96
|
|
Проценты к уплате
|
1 051
|
91
|
0,39
|
0,03
|
-0,35
|
|
Прочие доходы
|
189 915
|
259 349
|
69,84
|
95,33
|
25,50
|
|
Прочие расходы
|
117 506
|
81 967
|
43,21
|
30,13
|
-13,08
|
|
Прибыль (убыток) до
налогообложения
|
5 510
|
2 709
|
2,03
|
1,00
|
-1,03
|
|
Текущий налог на прибыль
|
2 740
|
2 407
|
1,01
|
0,88
|
-0,12
|
|
Изменение отложенных
налоговых обязательств
|
50
|
85
|
0,02
|
0,03
|
0,01
|
|
Прочее
|
208
|
|
0,08
|
0,00
|
-0,08
|
|
Чистая прибыль (убыток)
|
2 612
|
387
|
0,96
|
0,14
|
-0,82
|
Финансовый результат от прочей деятельности увеличился, и его доля составила
95,33%, оказав тем самым положительное влияние на чистую прибыль. В 2014 году
величина прочих доходов возросла на 25%, в то время как уровень прочих расходов
снизилась на 13,08%. Поскольку прибыль до налогообложения снизилась на 2 801
тыс. руб., у общества снизился текущий налог на прибыль (на 333 тыс. руб.).
Далее, используя данные пояснительной записки (см. прил. 20), проведем
анализ уровня и динамики выручки и себестоимости. Результаты анализа оформлены
в таблице 23
На конец отчетного периода выручка составила 272 044 тыс. руб., что на 97
тыс. руб. больше в сравнении с прошлым периодом.
Таблица 23
Анализ уровня и динамики выручки, себестоимости ОАО «Псковавиа»
|
Показатель
|
Значение, тыс. руб.
|
Абсолютное изменение, тыс.
руб.
|
Уровень,%
|
Изменение%
|
|
2013
|
2014
|
|
2013
|
2014
|
|
|
1
|
2
|
3
|
4
|
5
|
6
|
7
|
|
Выручка, в т.ч:
|
271 948
|
272 044
|
97
|
-
|
-
|
-
|
|
Вертолет
|
9 771
|
9 643
|
-128
|
3,59
|
3,54
|
-0,05
|
|
Услуги без НДС
|
6 066
|
5 261
|
-805
|
2,23
|
1,93
|
-0,30
|
|
Чартерные рейсы 0%
|
125 588
|
96 735
|
-28 853
|
46,18
|
35,56
|
-10,62
|
|
Чартерные рейсы 18%
|
30 157
|
15 685
|
-14 472
|
11,09
|
5,77
|
-5,32
|
|
АТБ ВВЛ
|
1 806
|
520
|
-1 286
|
0,66
|
0,19
|
-0,47
|
|
АТБ МВЛ
|
|
10
|
10
|
0,00
|
0,00
|
0,00
|
|
Аэропорт ВВЛ
|
849
|
728
|
-121
|
0,31
|
0,27
|
-0,04
|
|
Аэропорт дополнительные
услуги
|
3 546
|
3 860
|
313
|
1,30
|
1,42
|
0,11
|
|
Пассажирские перевозки
Москва
|
17 922
|
18 310
|
388
|
6,59
|
6,73
|
0,14
|
|
Пассажирские перевозки
Пулково
|
25 833
|
77 717
|
51 885
|
9,50
|
28,57
|
19,07
|
|
Производство и передача
горячей воды
|
144
|
156
|
12
|
0,05
|
0,06
|
0,00
|
|
Производство и передача
тепловой энергии
|
482
|
590
|
108
|
0,18
|
0,22
|
0,04
|
|
Фрахт 18%
|
49 783
|
36 896
|
-12 887
|
18,31
|
13,56
|
-4,74
|
|
Фрахт без НДС
|
-
|
5 932
|
5 932
|
0,00
|
2,18
|
2,18
|
|
Себестоимость, в т.ч:
|
337 796
|
446 626
|
108 830
|
-
|
-
|
-
|
|
Вертолет
|
6 688
|
6 868
|
180
|
1,98
|
1,54
|
-0,44
|
|
Услуги без НДС
|
4 580
|
3 753
|
-827
|
1,36
|
0,84
|
-0,52
|
|
Чартерные рейсы 0%
|
108 111
|
112 795
|
4 684
|
32,00
|
25,25
|
-6,75
|
|
Чартерные рейсы 18%
|
27 803
|
14 696
|
-13 107
|
8,23
|
3,29
|
-4,94
|
|
АТБ ВВЛ
|
2 723
|
244
|
-2 478
|
0,81
|
0,05
|
-0,75
|
|
Аэропорт дополнительные
услуги
|
12 336
|
18 996
|
6 660
|
3,65
|
4,25
|
0,60
|
|
Пассажирские перевозки
Москва
|
63 329
|
47 525
|
-15 804
|
18,75
|
10,64
|
-8,11
|
|
Пассажирские перевозки
Пулково
|
75 089
|
202 659
|
127 570
|
22,23
|
45,38
|
23,15
|
|
Производство и передача
тепловой энергии
|
1 770
|
2 864
|
1 094
|
0,52
|
0,64
|
0,12
|
|
Фрахт 18%
|
35 367
|
30 203
|
-5 164
|
10,47
|
6,76
|
-3,71
|
|
Фрахт без НДС
|
-
|
6 022
|
6 022
|
-
|
1,35
|
1,35
|
|
|
|
|
|
|
|
|
Наибольшую долю в выручке в 2013 году занимали грузовые и чартерные рейсы
экспорт - 46,18%, к концу 2014 года их доля снизилась до 35,56%, в тоже время
наибольшее изменение получила составляющая выручки - пассажирские перевозки в
Санкт-Петербург (Пулково), а именно доля пассажирских перевозок увеличилась на
19,07%, и составила 28,57%, данное увеличение компенсировало отрицательные
изменения. Одновременно произошел спад по остальным составляющим (в скобках
указано изменение в%): аэропортовые сборы (-0,03), вертолет и фрахт (-2,6),
грузовые и чартерные рейсы по РФ (-5,32), грузовые и чартерные рейсы экспорт
(-10,61), прочее (0,62).
К увеличению себестоимости на 108 830 тыс. руб. привело увеличение
себестоимости пассажирских перевозок и аэропортовых сборов и наземного обслуживания
на 15,02% и 0,44% соответственно.
Следует отметить, что темп роста себестоимости опережает темп роста
выручки на 32%, что ухудшает рентабельность продаж и повышает риск получения
убытков в будущем.
Результаты анализа уровня и динамики финансовых результаты по видам
деятельности (см. табл. 24) подтверждают ранее сделанные выводы.
Таблица 24
Уровень и динамика финансовых результатов по видам деятельности ОАО
«Псковавиа»
|
Показатель
|
Значение, тыс. руб.
|
Уд. Вес,%
|
Изменение,%
|
|
2013 г.
|
2014 г.
|
2013 г.
|
2014 г.
|
|
|
Аэропортовые сборы и
наземное обслуживание
|
-5 454
|
-12 613
|
8,28
|
7,22
|
-1,06
|
|
Вертолет и фрахт
|
16 498
|
9 377
|
-25,05
|
-5,37
|
19,68
|
|
Грузовые чартерные рейсы по
РФ
|
2 354
|
989
|
-3,57
|
-0,57
|
3,01
|
|
Грузовые чартерные рейсы
экспорт
|
17 477
|
-16 060
|
-26,54
|
9,20
|
35,74
|
|
Пассажирские перевозки
|
-94 663
|
-154 156
|
143,76
|
88,30
|
-55,46
|
|
Производство тепловой
энергии и передача горячей воды
|
-2 060
|
-2 119
|
3,13
|
1,21
|
-1,91
|
|
Прибыль убыток от продаж
|
-65 848
|
-174 582
|
100
|
100
|
-
|
|
Субсидия на осуществления
пассажирских перевозок
|
103 551
|
189 418
|
-
|
-
|
|
Прибыль убыток от продаж с
учетом субсидий
|
37 703
|
14 836
|
-
|
-
|
-
|
Из таблицы 24 видно, что Общество получает наибольший убыток от
осуществления пассажирских перевозок, без учета субсидий. Так же негативное
влияние на финансовый результат оказывают следующие виды деятельности:
аэропортовые сборы и наземное обслуживание; производство тепловой энергии и
передача горячей воды.
Учитывая субсидии, предоставляемые на возмещение расходов на
осуществление пассажирских авиаперевозок, Общество получает положительный
финансовый результат, но при этом наблюдается отрицательная динамика, которая
связана со снижением результатов от оказания услуг по всем видам деятельности.
Рассмотрим структуру прочего дохода и его влияние на конечный финансовый
результат. Структура прочего дохода на 31.12.2014 представлена на рисунке 6.
Рисунок 6 - Структура прочих доходов на 31 декабря 2014 г., %
Наибольшую долю в структуре прочего дохода занимают субсидии (73,04%),
получаемые на осуществления пассажирских авиаперевозок и доходы от продажи
валюты (16,44%). Общество осуществляет деятельность, которая связанна с
иностранной валютой. Пересчет обязательств (конвертация), возникающих у
организации при приобретении услуг (товаров) за иностранную валюту,
производится по курсу, обусловленному соглашением сторон; для того чтобы
совершить операцию по приобретаемой (предоставленной) услуге в иностранной
валюте, при условии, что организация-покупатель (поставщик) не имеет валюты или
ее недостаточно, должна купить необходимую сумму. Валюта приобретается по
обменному курсу, установленному банком. Как правило, этот курс выше
установленного Центробанком.
Кроме того, по причине возникновения курсовых разниц, расходы на покупку
валюты превышает доходы от её продажи в условиях нестабильности валютного
курса, соответственно имеют наибольший удельный вес в составе прочих доходов и
расходов (см. рис. 7).
Рисунок 7 - Структура прочих расходов на 31 декабря 2014 г., %
Сопоставляя структуру прочего дохода и расхода с финансовым результатом,
следует вывод о том, что значительное влияние на конечный финансовый результат
оказывают субсидии, получаемые из федерального и местного бюджетов в результате
участия ОАО «Псковавиа» в программе по развитию региональных авиаперевозок.
Уровень получаемых субсидий в структуре прочего дохода вырос с 27% в 2013 г. до
41% в 2014 г., что положительно повлияло на конечный результат хозяйственной
деятельности авиапредприятия.
В изменении уровня и динамики финансовых результатов (см. прил. 20)
отчётливо прослеживается валютный риск, возникающий вследствие изменения курсов
валют (главным образом доллара США и евро), который связан с осуществлением
внешнеторговых операций - при этом снижение данного риска не предусматривается
контрактами. Кроме того, проявляется инфляционный риск: обесценение ожидаемых
доходов в условиях постоянного кассового разрыва при неизменном росте расходов
на осуществление авиаперевозок. Факторный анализ прибыли от продаж является
обоснованием для принятия управленческих решений, главной задачей анализа
является поиск путей максимизации прибыли общества.
Так как на прибыль оказывают влияние изменения абсолютных величин выручки
и расходов, а изменение также структуры выручки, используется следующая модель
для анализа прибыли от продаж:
(6)
где Pпр - прибыль от продаж;- выручка;
- рентабельность продаж.
Для проведения факторного анализа составляется аналитическая таблица,
источником информации служат данные бухгалтерского баланса, отчета о финансовых
результатах, и пояснительная записка (см табл. 25).
Таблица 25
Исходные данные для факторного анализ прибыли от продаж ОАО «Псковавиа»
|
Показатели
|
Значения
|
Абсолютное изменение
|
|
2013
|
2014
|
|
|
Выручка, тыс. руб.
|
271 948
|
272 044
|
96,90
|
|
Индекс инфляции
|
1,00
|
1,1136
|
0,11
|
|
Рентабельность продаж
|
- 0,24
|
- 0,64
|
-0,40
|
|
Уровень себестоимости,%
|
124,21
|
164,17
|
39,96
|
|
Прибыль (убыток) от продаж,
тыс. руб.
|
- 65 848
|
- 174 582
|
-108 734
|
Определяем выручку в сопоставимых ценах:
= N1/ Iz = 272 044/1,1136 = 244 293
тыс. руб.
Определяем влияние «количества» выручки на прибыль от продаж:
ΔР(Z) = (272 044 - 244 293)
× (-0,64) = - 6 720 тыс. руб.
ΔР(Q) = (244 293 - 271 948)
× (-0,64) = 6 696 тыс. руб.
ΔР(N) = - 6 720 + 6 696 = -
23 тыс. руб.
ΔР(УС) = - 272 948 × (1 - 0,3996) = - 108 709 тыс. руб.
ΔРобщ = - 6 720 + 6 696 -
23 - 108 709 = - 108 756 тыс. руб.
где, P пр - прибыль от продаж
ΔР(Z) - изменение прибыли
от продаж от изменения цены;
ΔР(Q) - изменение прибыли
от продаж от изменения объемов продаж;
ΔР(N) - изменение прибыли
от продаж от изменения выручки;
ΔР(УС) - изменение прибыли
от продаж от изменения уровня себестоимости;
ΔРобщ - общее изменение
прибыли от продаж.
Таким образом, в 2014 году прибыль от продаж снизилась на 108 756 тыс.
руб., данному снижению способствовало увеличение уровня цен на 11,36%, которое
привело к снижению прибыли от продаж на 6 720 тыс. руб.
Рост общего объема продаж обусловил увеличение прибыли на 6 696 тыс. руб.
В то же время увеличение уровня себестоимости привело к снижению прибыли от
продаж на 108 709 тыс. руб.
Рентабельность продаж за 2014 год составила -64,17%, наблюдается
отрицательная динамика рентабельности продаж по сравнению с данным показателем
за 2013 год (-24,21%), то есть, отражен отрицательный результат, приходящийся
на каждую тысячу рублей себестоимости оказанных услуг. При этом валовая
рентабельность (рентабельность продаж до уплаты налогов и процентов) составила
1,03%, но также наблюдается отрицательная динамика. Значения рентабельности
продаж по чистой прибыли указывает на то, что в 2013 году 0,96% чистой прибыли
приходилось на 1 тыс. руб. выручки, к концу 2014 году, данный показатель
составил 0,14%. (см. табл. 26)
Таблица 26
Показатели рентабельности ОАО «Псковавиа»
|
Показатель
|
Значение,%
|
Изменение,%
|
|
2013
|
2014
|
|
|
Рентабельность продаж
|
-24,21
|
-64,17
|
-39,96
|
|
Рентабельность продаж до
уплаты процентов и налогов
|
2,41
|
1,03
|
-1,38
|
|
Рентабельность продаж по
чистой прибыли
|
0,96
|
0,14
|
-0,82
|
Рентабельность использования, вложенного в предпринимательскую
деятельность, капитала представлена в таблице 27, в расчете использована чистая
прибыль, среднегодовая стоимость активов и среднегодовая стоимость собственного
капитала.
Таблица 27
Показатели рентабельности ОАО «Псковавиа»
|
Показатели
|
Значение,%
|
Изменение,%
|
|
2013
|
2014
|
|
|
Рентабельность собственного
капитала
|
113,09
|
3,38
|
-109,72
|
|
Рентабельность активов
|
5,48
|
0,94
|
-4,55
|
Рентабельность активов на конец отчетного периода составила 0,94, в
течение анализируемого периода имело место уменьшение данного показателя на
4,55 процентных пункта, что указывает на снижение оборачиваемости активов, рост
среднегодовой стоимости основных средств.
Падение рентабельности собственного капитала указывает на снижение
оборачиваемости активов и рост собственного капитала.
Из вышесказанного с учетом того, что рентабельность продаж в отчетном
периоде отрицательная (-64,17%), следует вывод о необходимости повышения цен на
оказываемые услуги либо о поиске путей сокращения себестоимости.
Финансовый результат от прочей деятельности ОАО «Псковавиа» оказывает
положительное влияние на формирование чистой прибыли, за счет получения
областной и федеральной субсидий на осуществление пассажирских авиаперевозок
(см. рис. 8).
Рисунок 8 - Структура дохода с учетом субсидий от основных видов
деятельности ОАО «Псковавиа»,%
Как видно из построенной диаграммы доля субсидий в структуре дохода
составляет 41%, доход от прочей деятельности составил всего лишь 2% от всего
дохода.
Далее на основе данных отчета о финансовых результатах ОАО «Псковавиа»
проведем анализ чистой прибыли балансовым методом. Результаты анализа оформлены
в таблице (см. табл. 28). Модель для проведения факторного анализа имеет следующий
вид:
Pчист= Pпр
-% к уплате + Рез.пр.деят- НП - Прочее (7)
где Pчист - чистая прибыль;пр - прибыль от продаж;
Рез. пр. деят - финансовый результат от прочей деятельности;
НП - налог на прибыль;
Прочее - штрафы, пени
Таблица 28
Данные для анализа чистой прибыли ОАО «Псковавиа»
|
Показатель
|
Значение, тыс. руб.
|
Абсолютное изменение, тыс.
руб.
|
|
2013
|
2014
|
|
|
Прибыль (убыток) от продаж
|
-65848
|
-174582
|
-108 733
|
|
Проценты к уплате
|
1051
|
91
|
-960
|
|
Результат от прочей
деятельности
|
72 409
|
177 382
|
104 973
|
|
Налог на прибыль
|
2740
|
2407
|
-333
|
|
Изменение ОНО
|
50
|
85
|
35
|
|
Прочее
|
208
|
|
-208
|
|
Чистая прибыль (убыток)
|
2 612
|
387
|
-2 224
|
На основе данных таблицы 28 определим факторы роста, и факторы снижения
чистой прибыли балансовым методом (см. табл. 29):
Таблица 29
Определение факторов роста и снижения чистой прибыли ОАО «Псковавиа»,
тыс. руб.
|
1
|
2
|
|
Факторы роста
|
Факторы снижения
|
|
+ Δ Прибыль от продаж
|
- Δ Прибыль от продаж
|
|
- Δ Проценты к уплате
|
+ Δ Проценты к уплате
|
|
+ Δ Результат от прочей деятельности
|
- Δ Результат от прочей деятельности
|
|
- Δ Налог на прибыль
|
+ Δ Налог на прибыль
|
|
+ Δ ОНО
|
- Δ ОНО
|
|
- Δ Прочее
|
+ Δ Прочее
|
|
960
|
108 733
|
|
104 973
|
|
|
333
|
|
|
35
|
|
|
208
|
|
|
106 509
|
108 733
|
Из табл. 29 видно, что в отчетном периоде чистая прибыль возросла на 106
509 тыс. руб. за счет изменения нескольких факторов: снижения процентов к
уплате, налога на прибыль и прочего; увеличения результатов от прочей
деятельности, и отложенного налогового обязательства. Рост убытка от продаж
обусловил снижение чистой прибыли на 108 733 тыс. руб.
Анализ результата от прочей деятельности ОАО «Псковавиа», проведен на
основе данных пояснительной записки к бухгалтерскому балансу (см. прил. 20),
результаты анализа, проведенного так же балансовым методом оформлены в таблице
30.
Модель:
P = ПД
- ПР (8)
где, P - результат от прочей деятельности;
ПР - прочие доходы;
ПР - прочие расходы;
Таблица 30
Определение факторов роста и снижения результатов от прочей деятельности
ОАО «Псковавиа», тыс. руб.
|
Факторы роста
|
Факторы снижения
|
|
1
|
2
|
|
Доходы от сдачи имущества в
аренду
|
436
|
Прочие доходы (охрана ВС,
изготовление пропусков, комната отдыха, др.)
|
1 070
|
|
Возмещение расходов
(Нордавиа, Авиастар, Спектр, Аэросервис)
|
7 560
|
Доходы от продажи валюты
|
29 394
|
|
Курсовые разницы
|
2 578
|
Реализация и списание ОС
|
2 006
|
|
Прибыль прошлых лет
|
2 076
|
Возмещение расходов
(Нордавиа, Авиастар, Спектр)
|
9 035
|
|
Реализация ТМЦ
|
34
|
Выплаты в пользу работников
и страховые взносы
|
1 496
|
|
Списание кредиторской
задолженности
|
188
|
Курсовые разницы
|
6 349
|
|
Субсидия на осуществление
пассажирских перевозок
|
85 867
|
Расходы на ВС (а/п
Домодедово)
|
2 993
|
|
Судебные расходы,
арбитражные сборы
|
101
|
Реализация ТМЦ
|
149
|
|
Сумма восстановленных
резервов
|
3 064
|
Убытки прошлых лет
|
781
|
|
Проценты по кредиту
|
961
|
|
|
|
Прочие расходы
|
4 679
|
|
|
|
Расходы на формирование
резерва по сомнительным долгам
|
11 452
|
|
|
|
Расходы от покупки валюты
|
29 588
|
|
|
|
Расходы, связанные с
арендованным имуществом
|
1 025
|
|
|
|
Реализация и списание ОС
|
2 011
|
|
|
|
Списание дебиторской
задолженности
|
6 941
|
|
|
|
Судебные расходы,
арбитражные сборы, пени, штрафы
|
27
|
|
|
|
Услуги банка
|
619
|
|
|
|
Итого
|
159 207
|
Итого
|
53 273
|
Из таблицы 30 видно, что в отчетном периоде результат от прочей
деятельности увеличился на 105 934 тыс. руб. Наибольшее влияние на изменение
оказали следующие факторы:
- рост субсидий на осуществление пассажирских перевозок на 85 867 тыс.
руб.;
- снижение величины расходов от покупки валюты на 29 588 тыс.
руб.;
- при этом негативное влияние оказало снижение дохода от
продажи валюты на 29 394 тыс. руб.;
Модель анализа налога на прибыль:
НП = ТНП ± ΔОНО (9)
На основе данных таблицы 31 определим факторы роста, и факторы снижения
налога на прибыль, результаты оформлены в таблице 31.
Таблица 31
Данные для анализа налога на прибыль ОАО «Псковавиа»
|
Показатель
|
Значение, тыс. руб.
|
Абсолютное изменение, тыс.
руб.
|
|
2013
|
2014
|
|
|
Текущий налог на прибыль
|
2740
|
2407
|
-333
|
|
ОНО
|
50
|
85
|
35
|
Таблица 32
Определение факторов роста и снижения налога на прибыль ОАО «Псковавиа»
|
Факторы роста
|
Факторы снижения
|
|
+ Δ Текущий налог на прибыль
|
-Δ Текущий налог на прибыль
|
|
+ Δ ОНО
|
- Δ ОНО
|
|
35
|
333
|
|
35
|
333
|
По результатам расчетов в отчетном периоде чистая прибыль снизилась на 2
224,38 тыс. руб. (см. рис. 9) исключительно за счет увеличения убытка от продаж
на 108 733 тыс. руб., в то же время положительное влияние на чистую прибыль
оказало снижение процентов к уплате на 960 тыс. руб., увеличение финансового
результата от прочей деятельности на 104 973 тыс. руб., а также снижение налога
на прибыль.
Главным фактором, оказывающим положительное влияние результат от прочей
деятельности и как следствие на чистую прибыль ОАО «Псковавиа» является
получение субсидий.
Субсидии относятся к прочим доходам, следовательно, по результатам
расчетов (см. табл. 27) результат от прочей деятельности увеличился на 104 973
тыс. руб. главным образом за счет увеличения субсидий, получаемых на
осуществление пассажирских перевозок, на 85 867 тыс. руб., одновременно с этим
увеличение результатов от прочей деятельности произошло по причине снижения
расходов от покупки валюты на 29 588 тыс. руб.
В то же время значительное влияние на снижение данного показателя оказало
влияние сокращение доходов от продажи валюты на 29 394 тыс. руб.
.3 Анализ рентабельности хозяйственной деятельности ОАО
«Псковавиа»
В настоящее время нет единой методики оценки эффективности деятельности
предприятия, в теории и на практике для оценки состояния предприятия
используются показатели как ресурсного типа, так и затратного. Разнообразие
показателей является следствием многофакторной, сложной производственной
деятельности предприятия.
Несмотря на различие в подходах к оценке и анализу эффективности
предприятия наблюдается единая цель, заключающаяся в сопоставлении полученного
результата и затрат.
Система показателей рентабельности хозяйственной деятельности
характеризуют эффективность работы предприятия в целом и доходность различных
направлений его деятельности с целью оценки эффективности вложенных средств в
предприятие.
Анализ рентабельности хозяйственной деятельности ОАО «Псковавиа» проведем
в соответствии с методикой, предлагаемой М.В. Мельник.
Необходимо выделить этапы проведения анализа рентабельности хозяйственной
деятельности:
- оценка динамики основных показателей рентабельности;
- выявление и оценка факторов, влияющих на изменение
показателей рентабельности.
Результат расчета показателей рентабельности ОАО «Псковавиа» представлен
в таблице 33.
Рисунок 9 - Схема влияния факторов на изменение величины чистой прибыли
ОАО «Псковавиа»
P пр - прибыль от продаж; ΔР(Z) - изменение прибыли
от продаж от изменения цены; ΔР(Q) - изменение прибыли
от продаж от изменения объемов продаж; ΔР(N) - изменение прибыли
от продаж от изменения выручки; ΔР(УС) - изменение прибыли
от продаж от изменения уровня себестоимости; ΔРобщ - общее изменение
прибыли от продаж.
Таблица 33
Динамика показателей рентабельности
ОАО «Псковавиа»
|
Показатели
|
Значение,%
|
Абсолютное изменение
|
|
2013
|
2014
|
|
|
1
|
2
|
3
|
4
|
|
Рентабельность собственного
капитала
|
238,63
|
20,75
|
-217,88
|
|
Рентабельность активов
|
6,33
|
2,75
|
-3,77
|
|
Рентабельность чистых
активов
|
238,63
|
20,75
|
-217,88
|
|
Рентабельность основных
средств
|
17,60
|
6,69
|
-10,92
|
|
Рентабельность внеоборотных
активов
|
14,99
|
4,75
|
-10,23
|
|
Рентабельность оборотных
активов
|
11,56
|
6,55
|
-5,01
|
|
Рентабельность продаж (по
прибыли от продаж)
|
-24,21
|
-64,17
|
-39,96
|
|
Рентабельность продаж (по
бух. прибыли)
|
2,03
|
1,00
|
-1,03
|
|
Рентабельность услуг (по
прибыли от продаж)
|
-19,49
|
-39,09
|
-19,60
|
|
Рентабельность доходов (по
чистой прибыли
|
0,57
|
0,07
|
-0,49
|
|
Рентабельность расходов (по
чистой прибыли)
|
0,07
|
-0,50
|
Из таблицы 33 видно, что в отчетном периоде все показатели рентабельности
имеют отрицательную динамику. В целом это можно связать со снижением
бухгалтерской прибыли и ростом убытков от продаж.
Рентабельность собственного капитала снизилась на 217,88 процентных
пункта, что объясняется более высоким темпом роста собственного капитала по
сравнение с темпом роста бухгалтерской прибыли. Поскольку в обществе
отсутствует задолженность учредителей по вкладам в уставный капитал,
рентабельность чистых активов совпадает с рентабельностью собственного
капитала.
Экономическая рентабельность снизилась на 3,77 процентных пункта, что
свидетельствует о накоплении активов за счет роста денежных средств на конец
отчетного периода, а также наблюдается значительное увеличение по статье
материалы, которое связано с приобретением мебели в конференц-зал, кроме того
снижение экономической рентабельности свидетельствует о возможном снижении
уровня спроса на услуги.
Снижение рентабельности основных средств предприятия не свидетельствует
об ухудшении их использования, так как в ОАО «Псковавиа» разработаны и
внедряются мероприятия по повышению безопасности оказываемых услуг: в 2014 году
для производственного развития Общества была проведена реконструкция помещений
аэропорта, в целях обеспечения безопасности в аэропорту установлена
рентгенотелевизионная досмотровая установка, а также приобретена офисная
техника (см. прил. 20).
Уровень рентабельности продаж значительно выше уровня рентабельности
услуг, что говорит нам о получении большего эффекта с 1 тыс. руб. вложенных в производство
от прочей деятельности. Данные выводы подтверждаются так же снижением
показателей рентабельности внеоборотных и оборотных активов, а также снижением
рентабельности доходов и расходов.
Далее проведем сравнительный анализ показателей рентабельности
производственной деятельности по видам услуг, что позволит выявить те виды
услуг, оказание которых обеспечивает наибольшую (наименьшую) доходность.
Исходные данные и расчет показателей рентабельности по видам услуг представлены
в таблице 34.
Таблица 34
Исходные данные и расчет показателей рентабельности производственной
деятельности по видам услуг ОАО «Псковавиа»
|
№ п/п
|
Наименование услуги
|
Выручка от продаж, тыс.
руб.
|
Расходы, связан. с
производственной и реализацией, тыс. руб.
|
Валовая прибыль, тыс. руб.
|
Рентабельность
производствен. деятельности %
|
Изм. рентаб-ти, %
|
|
|
2013
|
2014
|
2013
|
2014
|
2013
|
2014
|
2013
|
2014
|
|
|
1
|
Аэропортовые сборы и
наземное обслуживание
|
10 462
|
10 380
|
15 916
|
22 993
|
-5 454
|
-12 613
|
-34,27
|
-54,86
|
-20,59
|
|
2
|
Вертолет и фрахт
|
59 553
|
52 471
|
43 055
|
43 094
|
16 498
|
9 377
|
38,32
|
21,76
|
-16,56
|
|
3
|
Грузовые чартерные рейсы по
РФ
|
30 157
|
15 685
|
27 803
|
14 696
|
2 354
|
989
|
8,47
|
6,73
|
-1,74
|
|
4
|
Грузовые чартерные рейсы
экспорт
|
125588
|
96 735
|
108 111
|
112 795
|
17 477
|
-16 060
|
16,17
|
-14,24
|
-30,40
|
|
5
|
Пассажирские перевозки
|
43 755
|
96 028
|
138 418
|
250 184
|
-94 663
|
-154 156
|
-68,39
|
-61,62
|
6,77
|
|
6
|
Прочее (производство
тепловой энергии и передача горячей воды
|
2 433
|
745
|
4 493
|
2 864
|
-2 060
|
-2 119
|
-45,85
|
-73,99
|
-28,14
|
|
Итого:
|
271948
|
272044
|
337 796
|
446 626
|
-65 848
|
- 174 582
|
-
|
-
|
-
|
Сравнительный анализ показателей рентабельности производственной
деятельности по видам услуг позволяет выявить наиболее рентабельный вид услуги.
В данном случае наиболее рентабельной услугой является «Вертолет и фрахт»
(21,76%). Уровень услуги «Грузовые чартерные рейсы экспорт» в конце прошлого
периода составила 16,17 процентных пункта, к концу отчетного периода произошло
резкое снижение на 30,40 процентных пункта, данное снижение было вызвано
падением спроса туроператоров на данный вид услуг.
В целом показатели рентабельности производственной деятельности по видам
услуг имеют отрицательную динамику, что связано с экономическим кризисом: на
значительный рост расходов повлиял рост цен на стоимость авиационного керосина,
доля которого в структуре себестоимости одного летного часа составляет 39%.
Показатель рентабельности продаж ориентирован на выявление изменения
величины отдельных элементов расходов и их соотношения на эффективность
основной деятельности.
Модель:
(10)
где
- материалоемкость продаж;
- зарплатоемкость продаж;
- амортизационная емкость;
- расходоемкость продаж по прочим расходам.
Таблица 34
Исходные данные и расчет влияния факторов на изменение показателей
рентабельности продаж ОАО «Псковавиа»
|
№п/п
|
Показатели
|
Значение
|
Изменение
|
|
|
2013
|
2014
|
|
|
1
|
2
|
3
|
4
|
5
|
|
1
|
Прибыль (убыток) от продаж,
тыс. руб.
|
-65 848
|
-174 582
|
-108734
|
|
2
|
Выручка от продаж, тыс.
руб.
|
271 948
|
272 044
|
96
|
|
3
|
Рентабельность продаж (f)
|
-0,24
|
-0,64
|
-0,4
|
|
4
|
Расходы связанные с
производством и реализацией, тыс. руб.,
|
337 796
|
446 626
|
108 830
|
|
4.1
|
В том числе: Материальные
затраты, тыс. руб.
|
160 384
|
244 019
|
83 635
|
|
4.2
|
Затраты на оплату труда и
социальные нужды
|
113 269
|
146 956
|
33 687
|
|
4.3
|
Амортизационные отчисления
по ОС и НМА
|
59 650
|
52 787
|
-6 863
|
|
4.4
|
Прочие затраты
|
4 493
|
2 864
|
-1 629
|
|
5
|
Материалоемкость продаж (x)
|
0,59
|
0,90
|
0,31
|
|
6
|
Зарплатоемкость продаж (y)
|
0,42
|
0,54
|
0,12
|
|
7
|
Показатель амортизационной
емкости продаж (z)
|
0,22
|
0,19
|
-0,03
|
|
8
|
Расходоемкость продаж по
прочим расходам (m)
|
0,02
|
0,01
|
-0,01
|
|
9
|
Влияние факторов на
изменение рентабельности продаж всего
|
х
|
х
|
-0,4
|
|
9.1
|
В том числе:
материалоемкости продаж
|
х
|
х
|
-0,31
|
|
9.2
|
зарплатоемкости продаж
|
х
|
х
|
-0,12
|
|
9.3
|
амортизационной емкости
продаж
|
х
|
х
|
0,03
|
|
9.4
|
расходоемксоти продаж по
прочим расходам
|
х
|
х
|
0,01
|
Результат факторного анализа рентабельности продаж представленный в
таблице 34 свидетельствует о том, что уменьшение рентабельности продаж на 39
процентных пункта было вызвано увеличением следующих показателей:
материалоемкость, зарплатоемкость, а также незначительным снижением
расходоемкости продаж по прочим расходам и амортизационной емкости.
Для комплексной оценки эффективности хозяйственной деятельности ОАО
«Псковавиа» следует использовать систему взаимосвязанных показателей
хозяйственной деятельности.
Обобщающим показателем является финансовая рентабельность. Для анализа
составляется таблица исходных и расчетных показателей (см. табл. 35)
Таблица 35
Исходные для комплексной оценки эффективности хозяйственной деятельности
ОАО «Псковавиа»
|
Показатели
|
Значение
|
Абсолютное изменение
|
|
2013
|
2014
|
|
|
Исходные показатели, тыс.
руб.:
|
|
Выручка
|
271 948
|
272 044
|
96
|
|
Себестоимость продаж
|
337 796
|
446 626
|
108 830
|
|
Прочие доходы
|
185 915
|
259 349
|
73 434
|
|
Прочие расходы
|
117 506
|
81 967
|
-35 539
|
|
Бухгалтерская прибыль
|
5 510
|
2 709
|
-2 801
|
|
Среднегодовая стоимость
активов
|
84 421
|
98 353
|
13 932
|
|
Среднегодовая стоимость СК
|
2 309
|
13 054
|
10 745
|
|
Расчетные показатели
|
|
Рентабельность финансовая,%
|
238,63
|
20,75
|
-217,88
|
|
Рентабельность
экономическая,%
|
6,53
|
2,75
|
-3,77
|
|
Коэффициент финансовой
независимости (автономии)
|
0,0274
|
0,1327
|
0,1054
|
|
Рентабельность продаж (по
бух. прибыли),%
|
2,03
|
1,00
|
-1,03
|
|
Коэффициент оборота активов
|
3,22
|
2,77
|
-0,46
|
Используя модель для факторного анализа:
(11)
Методом цепных подстановок было выявлено, что рентабельность в отчетном
периоде снизилась на 217,88 процентных пункта. Это связано как со снижением
экономической рентабельности на 3,77 процентных пункта, что привело к снижению
финансовой рентабельности на 137,93 процентных пункта, так и с ростом
коэффициента автономии на 0,1054, что способствовало снижению финансовой
рентабельности на 79,95 процентных пункта.
Далее проведем факторный анализ экономической рентабельности интегральным
методом с использованием следующей зависимости:
(12)
где
- оборачиваемость активов.
На первом этапе факторного анализа экономической рентабельности
определено абсолютное изменение рентабельности продаж (-0,0103) и
оборачиваемости активов (-0,45).
Второй этап - определено изменение результативного показателя за счет
эффекта синергии:
0,0023.
Изменение экономической рентабельности за счет рентабельности продаж и за
счет изменения оборачиваемости активов:
составило -3,77 процентных пункта. Это связано со снижением
рентабельности продаж на 1,03 процентных пункта, что привело к снижению
экономической рентабельности на 3,08 процентных пункта. В то же время снижение
оборачиваемости активов на 0,46 оборота привел к снижению экономической
рентабельности на 0,69 процентных пункта.
Методом цепных подстановок проведем факторный анализ коэффициента
автономии (см. табл.36), с использованием следующей модели:
(13)
Таблица 36
Факторный анализ коэффициента автономии
|
Наименование
результативного показателя
|
Значение результативного
показателя
|
Взаимосвязанные факторы
|
|
|
Активы
|
Капиталы
|
|
Кавт1
|
0,0274
|
84 421
|
2 309
|
|
Кавт2
|
0,0235
|
98 353
|
2 309
|
|
Кавт3
|
0,1327
|
98 353
|
13 054
|
Итак, в отчетном периоде коэффициент автономии вырос на 0,1054 пункта.
Это связано с ростом капитала на 10 745 тыс. руб., что привело к
незначительному росту коэффициента автономии на 0,1092 пункта, а также с
увеличением активов на 13 932 тыс. руб., что привело к сокращению коэффициента
автономии на 0,0039 пункта.
Так же, методом цепных подстановок проведем факторный анализ
оборачиваемости активов (см. табл. 37), с использованием следующей модели:
(14)
Итак, в отчетном периоде, оборачиваемость активов сократилась на 0,4553
оборота. Это связано с ростом выручки предприятия на 96 тыс. руб., что
способствовало росту оборачиваемости на 0,0011 оборота.
Таблица 37
Факторный анализ коэффициента оборачиваемости активов
|
Наименование
результативного показателя
|
Значение результативного
показателя
|
Взаимосвязанные факторы
|
|
|
Выручка
|
Активы
|
|
ЕА1
|
3,2214
|
271 948
|
84 421
|
|
ЕА2
|
3,2225
|
272 044
|
84 421
|
|
ЕА3
|
2,7660
|
272 044
|
98 353
|
В то же время увеличение среднегодовой стоимости активов на 13 932 тыс.
руб. привело к снижению оборачиваемости на 0,4565 оборота.
По результатам проведённых расчетов составим схему изменения показателей
рентабельности ОАО «Псковавиа» (см. рис. 9), которая отражает взаимосвязанные
показатели. Таким образом, Наибольшее влияние на снижение финансовой
рентабельности оказало снижение экономической рентабельности, что демонстрирует
получение убытка с каждой вложенной тысячи рублей. Главным образом на снижение
экономической рентабельности повлиял рост себестоимости услуг, за счет
увеличения материалоемкости (роста цен на авиационное топливо) и
зарплатоемкости.
3.4 Мероприятия по улучшению финансовых результатов ОАО
«Псковавиа»
Проведенный анализ финансового состояния и финансовых результатов ОАО
«Псковавиа» показал, что текущая деятельность Общества является убыточной, и
как следствие возникает риск банкротства. Таким образом в отчетном периоде был
получен убыток по основной деятельности в размере 174 582 тыс. руб., причиной
данного результата является значительное превышение себестоимости над выручкой,
при этом необходимо обратить внимание на то, что наибольший удельный вес в
структуре себестоимости летного часа занимают затраты на авиа ГСМ, аэропортовые
сборы и наземное обслуживание.
Оценка показателей платежеспособности Общества, проведенная ранее,
выявила неспособность обеспечить финансовыми ресурсами текущую деятельность.
Поэтому мы наблюдаем ранние признаки банкротства авиапредприятия: задержки
платежей по обязательствам; несвоевременное погашение кредитов; резкие
изменения в структуре баланса, разбалансирование дебиторской и кредиторской
задолженности (уровень кредиторской задолженности превышает уровень дебиторской
задолженности на 56,73 процентных пункта).
В настоящее время в зарубежной экономической литературе предлагается
множество различных методик для прогноза вероятности наступления банкротства,
но, как отмечают российские экономисты, применение иностранных моделей не
принесло достаточно точных результатов, поэтому были предложены адаптированные
к российской экономике модели прогноза вероятности наступления банкротства
предприятий.
На основе пятифакторной математической модели Альтмана (16) вероятность
банкротства ОАО «Псковавиа», составила 2,78.
Z = 0,717×X1 + 0,847×X2+3,107×X3+0,420×X4+0,998×X5 (16)
где X1 - доля оборотного капитала в
активах;
X2 -
отношение накопленной прибыли к активам;
X3 -
рентабельность активов;
X4 -
коэффициент финансовой зависимости;
X5 -
оборачиваемость активов.
Полученное значение вероятности наступления банкротства находится в
пределах значения 1,2 <
Z < 2,9, что означает среднюю вероятность
банкротства.
Рисунок - 9 Схема изменения показателей рентабельности в ОАО «Псковавиа»
ρфин - рентабельность финансовая; ρэк - рентабельность эконормическая; ρпр - рентабельность продаж; ЕА
- оборачиваемость активов; ∆Кавт - коэффициент автономии; Me
- материалоемкость; Ue - зарплатоемкось; Ae -
амортизационная емкость; Se - расходоемкость продаж по прочим
расходам.
В соответствии с предложенной системой показателей для оценки финансового
состояния предприятия с целью определения вероятности банкротства известным
финансовым аналитиком Уильямом Бивером, проведены расчеты и оформлены в таблице
38.
Таблица 38
Диагностика банкротства ОАО «Псковавиа» с использованием системы
показателей У. Бивера
|
Показатель
|
Нормативное значение
|
Значение
|
|
благоприятно
|
5 лет до банкротства
|
|
|
Коэффициент Бивера
|
0,4-0,45
|
0,17
|
-0,15
|
0,05
|
|
Рентабельность активов,%
|
6 - 8
|
4
|
-22
|
0,39
|
|
Финансовый рычаг,%
|
< 37
|
< 50
|
< 80
|
87,91
|
|
Коэффициент покрытия
активов собственными оборотными средствами
|
0,4
|
< 0,3
|
< 0,06
|
0,11
|
|
Коэффициент текущей
ликвидности
|
< 3,2
|
< 2
|
< 1
|
0,69
|
По данным таблицы 38 до банкротства менее 5 лет.
Таким образом, исходя из расчетов по двум моделям, следует вывод, что
необходимо разрабатывать и внедрять мероприятия по улучшения финансовых
результатов с целью выведения предприятия из кризисного состояния и
предотвращения банкротства в будущем.
Низкая доходность объясняется тем, что в условиях экономического кризиса
авиапредприятие вынуждено сдерживать уровень цен на авиабилеты, так как
происходит падение покупательной способности населения. Чистая прибыль
Общества, в основном, формируется за счет получения субсидий на осуществление
пассажирских перевозок, а также за счет возникновения положительных курсовых разниц,
но в то же время существует риск убытка за счет отрицательных курсовых разниц.
Вследствие неоплаты или просроченной оплаты своих финансовых обязательств
у Общества существует риск возникновения убытков от основной деятельности. А
также присутствует риск несвоевременной оплаты платежей поставщикам, что
приводит к кризису притока денежных средств и увеличению расходной части по
возникшим штрафным санкциям за несвоевременное исполнение договорных
обязательств по оплате данной кредиторской задолженности.
Общество постоянно испытывает нехватку оборотных средств, и поэтому
вынуждено использовать инструмент банковского кредита. Однако неблагоприятные
изменения на рынке кредитования приводят к увеличению расходов по обслуживанию
долга, и как следствие приводит к снижению рентабельности.
По результатам анализа рентабельности хозяйственной деятельности ОАО
«Псковавиа» выявлена отрицательная динамика показателей рентабельности
предприятия, одновременно с этим выявлены наиболее коммерчески невыгодные
услуги: производство тепловой энергии и передача горячей воды, пассажирские
перевозки (без учета субсидий), а также нерентабельной услугой является
наземное обслуживание и аэропортовые сборы.
Таким образом, следует вывод о необходимости в управлении рентабельностью
собственного капитала.
Инструментом управления рентабельностью собственного капитала является
эффект финансового рычага, который возникает в связи с использованием заемных и
временно привлеченных средств:
ЭФР = (1 - Снп)×(ρэк - ПК)×
(15)
где ЭФР - эффект финансового рычага, %;
Снп - ставка налога на прибыль, в долях;
ρэк - рентабельность экономическая,
определяемая по прибыли до налогообложения без учета процентов к уплате, %;
ПК - стоимость заемных и временно привлеченных средств,%
ЗК - заемные и временно привлеченные средства;
СК - Собственные средства.
Проведем расчет и оценку эффекта финансового рычага
Таблица 39
Расчет и оценка эффекта финансового рычага по данным бухгалтерской
отчетности ОАО «Псковавиа»
|
Показатели
|
2013
|
2014
|
|
1
|
2
|
3
|
|
Среднегодовая стоимость
активов, тыс. руб.
|
84 420
|
98352,5
|
|
Среднегодовая стоимость
собственных средств, тыс. руб.
|
2 309
|
13 054
|
|
Прибыль до налогообложения,
тыс. руб.
|
5 510
|
2 709
|
|
Прибыль до налогообложения
скорректированная, тыс. руб.
|
5 561
|
3 760
|
|
Финансовая рентабельность,%
|
238,63
|
20,75
|
|
Экономическая
рентабельность,%
|
6,53
|
2,75
|
|
ЭФР,%
|
232,10
|
18,00
|
|
Чистая прибыль, тыс. руб.
|
2612
|
387
|
|
Чистая прибыль
скорректированная, тыс. руб.
|
2 930,40
|
382,40
|
|
Финансовая рентабельность,%
|
113,10
|
2,96
|
|
Экономическая
рентабельность,%
|
3,47
|
0,39
|
|
ЭФР,%
|
110,56
|
1,79
|
Таким образом, по результатам расчетов необходимо отметить, что за счет
привлечения заемных средств Общество в 2014 г. получило на 108,77 процентных
пункта меньший уровень прибыли на собственный капитал, чем в прошлом периоде.
Следовательно, эффективность использования заемных средств авиапредприятия
существенно снизилась. Важно отметить то, что экономическая рентабельность
имеет отрицательную динамику и значительное отклонение от средневзвешенной
процентной ставки по кредитным операциям на конец отчетного периода: например,
в 2014 г. средневзвешенная процентная ставка по кредитным операциям составляла
12%, что на 11,61% большое экономической рентабельности Общества.
Следовательно, отрицательное значение дифференциала финансового рычага,
приводящее к снижению рентабельности собственного капитала (значительная часть
прибыли генерируемой собственным капиталом уходит на обслуживание используемого
заемного капитала), указывает на необходимость снизить стоимость привлечения
заемного капитала или вовсе отказаться от его использования.
На основании анализа деятельности ОАО «Псковавиа» и расчета вероятности
банкротства, можно выделить основные факторы, которые негативно влияют на
формирование финансовых результатов хозяйственной деятельности авиапредприятия,
и в соответствии с этим предложить меры по их устранению. (см. табл. 40)
Таблица 40
Факторы негативно влияющие на финансовые результаты ОАО «Псковавиа» и
возможные пути их устранения
|
№п/п
|
Факторы влияния
|
Мероприятия, направленные
на их минимизацию (или на их устранение)
|
|
1
|
Доля кредиторской
задолженности превышает долю дебиторской задолженности на 34,4%
|
Пересмотр и изменение
кредитной политики; Рефинансирование дебиторской задолженности;
|
|
2
|
Снижение доли уставного
капитала, и превышение над ним доли заемного капитала на 83,06%
|
Увеличение уставного
капитала за счет дополнительных вкладов участников;
|
|
3
|
Нерентабельные виды услуг:
аэропортовые сборы и наземное обслуживание; пассажирские перевозки;
производство тепловой энергии и передача горячей воды. Темп роста
себестоимости опережает темп роста выручки на 32%, что ухудшает
рентабельность продаж и повышает риск получения убытков в будущем.
|
Отказ от нерентабельных
видов услуг; Разработка новых, экономически выгодных маршрутов.
|
Пересмотр и изменение кредитной политики. Как уже было выявлено Общество
испытывает нехватку средств для обеспечения текущей деятельности, значительная
часть средств уходит на обслуживание используемого заемного капитала.
Рассчитаем лимит на краткосрочный заемный капитал по:
(16)
где, ОА - оборотные активы;
ДЗ - дебиторская задолженность.
Таким образом, предел краткосрочного заемного капитала составил 16 416,67
тыс. руб., сумма краткосрочных заемных средств на конец 2014 г. составила 194
тыс. руб., но общая сумма краткосрочных обязательств превышает рассчитанный
лимит в 4 раза.
Следовательно, Обществу необходимо срочно снизить долговую нагрузку и
избежать увеличения заемного капитала в будущем.
На конец отчетного периода дебиторская задолженность составила 21 565
тыс. руб.:
Таблица 40
Структура дебиторской задолженности ОАО «Псковавиа»
|
Показатель
|
Сумма по балансу, тыс. руб.
|
Уд. вес,%
|
|
Дебиторская задолженность
|
21 565
|
100,00
|
|
Расчеты с поставщиками и подрядчиками
|
9 674
|
44,86
|
|
Расчеты с покупателями и
заказчиками
|
5 181
|
24,03
|
|
Расчеты по налогам и сборам
|
4 389
|
20,35
|
|
Расчеты с подотчетными
лицами
|
850
|
3,94
|
|
Расчеты с персоналом по
прочим операциям
|
272
|
1,26
|
|
Расчеты с разными
дебиторами и кредиторами
|
1 199
|
5,56
|
Как видно из таблицы 40, наибольший удельный вес имеют следующие
показатели: расчеты с поставщиками и подрядчиками; расчеты с покупателями и
заказчиками; расчеты по налогам и сборам. В последнее время многие коммерческие
компании используют факторинг в качестве механизма рефинансирования дебиторской
задолженности и финансирования деятельности текущей деятельности, суть которого
заключается в том, что предприятие уступает банку (компании) свое требование к
кредиторам.
Предположим Обществу удалось заключить договор факторинга:
- ОАО «Псковавиа» уступает 74,4% прав на востребование дебиторской
задолженности;
- Факторинговая комиссия - 15% от суммы счета фактора
Следовательно, дебиторская задолженность, реализованная фактору, составит
16 054 тыс. руб., комиссионное вознаграждение фактору 2 408,1 тыс. руб.
ОАО «Псковавиа» получит денежные средства в размере 13 645,9 тыс. руб.,
которые, предположительно, использует на оплату собственных краткосрочных
обязательств.
Данная операция отразится на финансовом состоянии предприятия следующим
образом (см. табл. 41):
Таблица 41
Оценка текущей платежеспособности после уступки прав на востребование
дебиторской задолженности ОАО «Псковавиа»
|
Показатель ликвидности
|
Оптимальное значение
|
2013
|
2014
|
2014'
|
Изменение
|
|
L1
|
0.2-0.7
|
0.04
|
0.23
|
0.44
|
0.21
|
|
L4
|
1
|
0.26
|
0.41
|
0.50
|
0.09
|
Коэффициент общей ликвидности увеличится на 0,09 и коэффициент абсолютной
ликвидности увеличится на 0,21. Следовательно, у Общества возникает тенденция к
постепенному преодолению недостатка собственных средств, для обеспечения части
краткосрочных обязательств.
К числу важнейших показателей характеризующих хозяйственную деятельность
следует отнести себестоимость перевозок. Себестоимость перевозок является
основой для определения цен и тарифов, снижение себестоимости зависит от многих
факторов в первую очередь от технико-экономических параметров эксплуатируемого
парка воздушных судов. Воздушное судно имеющее меньший расход топлива,
требующее меньших затрат на техническое обслуживание, предполагает увеличение
количества рейсов с меньшими затратим. Учитывая финансовое состояние ОАО
«Псковавиа», возникают затруднения со снижением уровня себестоимости,
невозможностью обновления парка ВС - по причине высокой долговой нагрузки на
текущий момент. Цены на авиа ГСМ продолжают расти и не зависят от деятельности
общества. Возможный способ увеличить уровень себестоимости, это увеличить
пассажирооборот (загрузку кресел на рейс).
Общество оказывает услуги отопления рядом находящегося общежития,
находящего в собственности Псковской области. Расходы по данной услуге
составляют около 25%, рентабельность услуги по производству тепловой энергии и
передаче горячей воды на конец отчетного периода составила - 73,99%. Таким
образом, если ОАО «Псковавиа» передаст обязательства по обслуживанию общежития
Псковским тепловым сетям, то рентабельность данной услуги составит -65,32%,
следовательно, рентабельность производственной деятельности увеличится на
8,67%.
Учитывая факторы макро- и микросреды, в настоящее время мы можем
наблюдать слияние и поглощение компаний рынка авиаперевозок. Испытывая кризис
авиакомпании стремятся реструктурировать бизнес, через объединение активов
авиакомпании наращивают долю на авиарынках. С точки зрения управления
объединение компаний позволяет привлечь дополнительные инвестиции, снизить
издержки, и повысить качество услуг. Таким образом еще одним решением по
повышению финансовых результатов и предотвращению банкротства является процесс
оформления сделки по слиянию Общества с другой компанией рынка авиаперевозок.
ЗАКЛЮЧЕНИЕ
Финансовые результаты деятельности авиапредприятия характеризуются суммой
полученной прибыли и уровнем рентабельности, которые зависят от множества
факторов как макросреды, так и микросреды. В условиях экономического кризиса и
кризиса на рынке авиаслуг поиск резервов увеличения прибыли, разработка
мероприятий по улучшению финансового состояния являются одними из основных
целей проведения анализа финансовых результатов.
Таким образом, все вышесказанное сказанное определило актуальность темы
исследования выпускной квалификационной работы.
Учетно-аналитическое обеспечение финансовых результатов было рассмотрено
на основе ОАО «Псковавиа», которое испытывает кризисное состояние, в
рассматриваемом периоде 2012-2014 гг.
Основным видом деятельности Общества является оказание услуг по
осуществлению воздушных пассажирских и грузовых перевозок на внутренних и
местных линиях, важно отметить то, что расходы на осуществление пассажирских
авиаперевозок возмещаются за счет получаемых субсидий, доля которых в структуре
доходов составляет 41% на 31 декабря 2014 г.
Существенное влияние на конечный финансовый результат оказывают доходы и
расходы как от основной, так и от прочей деятельности. Поэтому был изучен учет
доходов и расходов от основного и прочего видов деятельности, а также было
изучено формирование конечного финансового результата. Учет ведется в
соответствии с Российскими стандартами бухгалтерского учета, и с применением
общей системы налогообложения.
Специфика организации ведения бухгалтерского учета в ОАО «Псковавиа»
выражается в том, что в процессе осуществления хозяйственной деятельности
принимают участие все структурные подразделения аэропорта занятые в основном и
вспомогательном производствах. Таким образом, затраты (себестоимость) по
авиаперевозкам формируются на счете 20 «Авиаперевозки», затем списываются на
счет 90-2 «Себестоимость продаж», и по окончании каждого месяца определяется
финансовый результат (прибыль или убыток) от продаж.
Изучив процесс учета и формирования финансовых результатов, был проведен
анализ финансовых результатов, который выявил причины кризисного состояния и
нестабильной платежеспособности.
На снижение чистой прибыли главным образом повлиял рост убытка от продаж
в размере 108 733 тыс. руб., в то же время положительное влияние оказывают
результаты от прочей деятельности - в основном за счет субсидирования.
Для полного представления об эффективности работы авиапредприятия и о
доходности различных направлений его деятельности был осуществлен анализ
рентабельности хозяйственной деятельности.
Оценка динамики основных показателей рентабельности показала то, что все
показатели рентабельности имеют отрицательную динамику, так как в анализируемом
периоде наблюдается снижение бухгалтерской прибыли и рост убытков от продаж.
На снижение финансовой рентабельности повлияло снижение экономической
рентабельности за счет роста материалоемкости и амортизационной емкости, кроме
этого снижение экономической рентабельности свидетельствует о возможном падении
уровня спроса на услуги.
Так же в отчетном периоде был выявлен наиболее рентабельный вид услуг
«Вертолет и фрахт» - 21,76%, и убыточные виды услуг: производство тепловой
энергии и передача горячей воды (-73,99%); пассажирские перевозки (-61,62%);
аэропортовые сборы и наземное обслуживание (-54,86%).
Результат расчета эффекта финансового рычага выявил снижение
эффективности использования заемных средств, одновременно с этим отрицательное
значение дифференциала финансового рычага указывает на необходимость снижения
стоимости привлечения заемного капитала или отказа от его использования.
Таким образом, выявлены ранние признаки банкротства авиапредприятия, и по
результатам расчетов вероятность наступления банкротства, проведенных по модели
Альтмана и с использованием системы показателей У. Бивера, наступит в следующем
отчетном периоде.
Для улучшения финансового состояния ОАО «Псковавиа» и как следствие
предотвращения банкротства в данной работе предлагаются мероприятия, которые
направлены на минимизацию влияния негативных факторов, влияющих на финансовые
результаты Общества: рефинансирование дебиторский задолженности; изменение
кредитной политики; разработка новых, экономически выгодных маршрутов, с целью
увеличения пассажиропоток, отказ от оказания нерентабельных услуг
СПИСОК ИСПОЛЬЗОВАННОЙ ЛИТЕРАТУРЫ
1. Налоговый
Кодекс РФ
2. Гражданский
Кодекс РФ
. Федеральный
закон «О бухгалтерском учете» от 06.12.2011 №402-ФЗ
. Федеральный
закон «О несостоятельности (банкротстве)» от 26.10.2002 №127-ФЗ
. Приказ
Минфина РФ от 31.10.2000 №94н (ред. от 08.11.2010) «Об утверждении Плана счетов
бухгалтерского учета финансово-хозяйственной деятельности организаций и
Инструкции по его применению»
. Приказ
Минфина РФ от 29.06.2016 №ПЗ-3/2016 «Об упрощенной системе бухгалтерского учета
и бухгалтерской отчетности»
. Приказ
Минфина России от 06.10.2008 №106н (ред. от 06.04.2015) «Об утверждении
положений по бухгалтерскому учету» (вместе с «Положением по бухгалтерскому
учету «Учетная политика организации» (ПБУ 1/2008)»
. Приказ
Минфина России от 06.05.1999 №32н (ред. от 06.04.2015) "Об утверждении
Положения по бухгалтерскому учету «Доходы организации» ПБУ 9/99
. Приказ
Минфина России от 06.05.1999 №33н (ред. от 06.04.2015) «Об утверждении
Положения по бухгалтерскому учету «Расходы организации» ПБУ 10/99
. Приказ
Минфина РФ от 31.10.2000 №94н (ред. от 08.11.2010) «Об утверждении Плана счетов
бухгалтерского учета финансово-хозяйственной деятельности организаций и
Инструкции по его применению»
. Приказ
Минфина России от 16.10.2000 №92н «Об утверждении Положения по бухгалтерскому
учету «Учет государственной помощи»» ПБУ 13/2000
. Методические
рекомендации по оценке финансового состояния и экономической эффективности
деятельности юридических лиц, имеющих сертификат эксплуатанта и выполняющих
коммерческие воздушные перевозки, утвержденным распоряжением Министерства
России от 05.05.2012 г. №ИЛ-62-р
. Доклад
о результатах в 2014 году и основных направлениях деятельности министерства
транспорта РФ на 2015-2017 год
. Бабаев
Ю.А., Макарова Л.Г. Петров А.М. Бухгалтерский финансовый учет: Учебник / под
ред. проф. Бабаева Ю.А. - М, 2015. - 463 с.
. Баскакова
О.В., Сейко Л.Ф. Экономика предприятия: Учебник. - М.: Издательско-торговая
корпорация «Дашков и К», 2013 - 372 с.
. Бочаров
В.В. Финансовый анализ. Краткий курс. 2- е изд. - СПб.: Питер, 2009. - 240 с.
. Вахрушина
М.А. Комплексный экономический анализ хозяйственной деятельности: учебное
пособие. - М.: Вузовский учебник, 2008. - 463 с.
. Гетьман
В.Г. Бухгалтерский учет и анализ: учебное пособие / Е.И. Костюкова, О.В.
Ельчанинова, С.А. Тунин; под ред. Е.И. Костюковой. - М.: КНОРУС, 2015. - 406 с.
. Грачев
А.В. Финансовая устойчивость предприятия: анализ, оценка и управление: Учебное
пособие. - М.: ДИС, 2004
. Губенко
А.В., Смуров Д.С. Экономика воздушного транспорта. - Спю.: Питер, 2009. - 288
с.
. Егорова
С.Е., Будасова В.А. Теория экономического анализа: учебное пособие. -
Издательство Псков ГУ
. Егорова
С.Е., Волкова О.А. Анализ финансовой отчетности: учебное пособие. - Псков:
Издательство ППИ, 2011. - 224 с: ил.
. Ефимова
О.В. Финансовый анализ. 4-е изд., перераб. и до. - М.: Бухгалтерский учет,
2002. - 528 с.
. Ковалев
В.В., Волкова О.Н. Анализ хозяйственной деятельности предприятия: Учебник. -
М.: ТК Велби, Изд-во Проспект, 2010 г.
. Ковалева
А.М. Финансовый менеджмент: учебник / под ред. д.э.н., А.М. Ковалевой. - М.:
ИНФРА - М, 2007. - 284 с.
. Кондраков
Н.П. Бухгалтерский учет. - М.: ИНФРА-М, 2013. - 681 с.
. Крылов
Э.И, Власова В.М., Журавкова И.В. Анализ финансовых результатов, рентабельности
и себестоимости продукции: Учеб. Пособие. - М.: Финансы и статистика, 2005, -
720 с.
. Лысов
И.А. Понятие, сущность и значение финансовых результатов предприятия // Вестник
НГИЭИ. - 2015. - №3 (46)
. Мельник
М.В., Егорова С.Е., Кулакова Н.Г., Юданова Л.А. Комплексный экономический анализ:
учебное пособие. - М.: ФОРУМ: ИНФРА - М, 2016, - 352 с.
. Пронина
Е.В. Анализ хозяйственной деятельности ГА: учебное пособие. - М, 2014 г.
. Савицкая
Г.В. Анализ хозяйственной деятельности предприятия: Учебное пособие. - 4-е
изд., перераб. и доп. - М.: ИНФРА-М, 2008 г.
. Селезнева
Н.Н., Ионова А.Ф. Финансовый анализ. - М.: ЮНИТИ-ДАНА, 2001. - 479 с.
. Суслова
Ю.А. Субсидии: учет и налогообложение // Бухгалтерский учет. - 2016. - №12
декабрь
. Гончарова
А.И. Оценка платежеспособности предприятия: проблема эффективности критериев //
Экономический анализ: теория и практика. - 2005. - №3 (36)
. Иванова
Л.И. Методические подходы к определению сущности и оценке показателей
платежеспособности организации // Экономические науки. - 2012. - №12 (97)
. Любушин
Н.П. Система показателей анализа финансового состояния организации и методы их
определения // Экономический анализ: теория и практика. - 2003. - №2
. Маслов
Б.Г. Зарубежные и Российские методики прогнозирования банкротства //
Управленческий учет. - 2005. - №5
. Шеремет
АД., Сайфулии Р.С., Негашев Е.В. Методика финансового анализа. - М, 2008 г.
Рыжкова Я.В. Значение финансовых результатов для предприятия // Экономика и
социум. - 2016. - №(6) 25
. Анализ
финансового состояния предприятия / Прогнозирование вероятности банкротства на
основе модели Бивера. - 2010. [Электронный ресурс]