Задача оптимального управления опционами
Оглавление
Введение
. Методы оценки опционов
.1 Классическая модель Блэка-Шоулза-Мёртона
.2 Неструктурные модели оценки опционов
. Теория оптимального управления для оценки опционов и
основные предпосылки
.1 Теория оптимального управления
.2 Вариационные методы в задачах об оптимальном управлении
.3 Связь между риск-нейтральной и физической плотностью
вероятности
.4 Функция полезности как функция с ограниченным изменением
. Построение модели оценки опционов и ее применение на
практике
.1 Постановка и решение задачи оптимального управления как
задачи вариационного исчисления
.2 Оценка параметров физической функции плотности вероятности
и функции полезности
Заключение
Список использованной литературы
Введение
В современной финансовой науке большая доля исследований посвящена оценке
производных финансовых инструментов. Одним из видов таких инструментов является
опцион, который представляет собой контракт, дающий его владельцу право, но не
обязательство, купить или продать подлежащий актив по заранее установленной
цене в определенный момент в будущем или на протяжении определенного промежутка
времени до наступления этого момента.
На сегодняшний день существует огромное количество моделей, с помощью
которых можно найти цену опциона. Чаще всего в рамках этих моделей опционы
оцениваются в риск-нейтральном мире, в котором ожидаемая доходность любого
актива равна безрисковой процентной ставке. Самой известной является
классическая модель ценообразования опционов Блэка-Шоулза-Мёртона. Несмотря на
всю ее популярность, эту модель едва ли можно применять на практике ввиду
большого количества нереалистичных предпосылок, одной из которых является
предположение о том, что цена подлежащего актива подчиняется логнормальному
распределению. Тем не менее, в финансовой литературе существует много
альтернативных способов и теорий, с помощью которых представляется возможным
оценивать опционы. Одним из таких способов является задача оптимального
управления, которую мы и рассмотрим в данной работе.
Теория оптимального управления появилась в 50-х годах прошлого столетия в
связи с необходимостью решения различных экономических задач, будь то поиск
наилучшего (т.е. оптимального) управления летательными аппаратами,
технологическим процессом на производстве и т.д. В настоящее время оптимальное
управление уже стало обширной самостоятельной теорией в науке, которую, кроме
всего прочего, используют для оценки таких производных контрактов как опционы.
Несмотря на то, что чаще всего в литературе по количественным финансам задачу
оптимального управления используют для оценки американских опционов и решают ее
методом динамического программирования, в данной исследовательской работе мы
решили пойти творческим путем и ставить задачу оптимального управления как
задачу вариационного исчисления.
Для того, чтобы можно было решить такую задачу, рассмотрим формализм
Якверта, согласно которому существует взаимосвязь между риск-нейтральной
плотностью, физической ожидаемой плотностью и функцией неприятия риска, которая
получается из функции полезности индивида. На функцию полезности, в свою
очередь, будут наложены некоторые ограничения. Решив задачу оптимального
управления, мы найдем вид функции плотности вероятности и первой производной
функции полезности. Подставив их вместо риск-нейтральной функции плотности в
модель, основанную на предположении о том, что цена производного финансового
инструмента представляет собой дисконтированную с безрисковой ставкой будущую
выплату по этому инструменту, мы получим готовую модель для оценки опционов.
Более того, если мы реконструируем и затем оценим функцию распределения
базисного актива, на который выставлен опцион, то сможем изучать природу
ожиданий участников рынка, т.е. извлекать информацию об ожиданиях инвесторов
относительно цены этого актива непосредственно из премий по опциону. Таким
образом, результаты данного исследования могут найти практическое применение.
Актуальность работы обусловлена тем, что эффективное прогнозирование
динамики цен на рынке всегда будет оставаться одной из важнейших проблем,
которые пытается решить финансовый аналитик. Более того, за последние 30 лет
производные финансовые инструменты получили огромную популярность на финансовых
рынках. Фьючерсы и опционы активно торгуются на биржах по всему миру. Множество
различных видов форвардных контрактов, свопов, опционов и других деривативов
выпускаются в обращение финансовыми институтами, менеджерами фондов и
корпоративными казначеями на внебиржевые рынки. Сам рынок деривативов просто
огромен, его объем во много раз превышает рынок акций, а стоимость базовых
активов, по которым выписываются контракты, в несколько раз превышает мировой
ВВП. Таким образом, мы находимся на том этапе, когда люди, работающие в
финансах, просто обязаны знать, как работают опционы, как они используются, и,
что самое главное, как их оценивать.
Объектом работы является оценка стоимости производных финансовых инструментов.
Предметом исследования является теория оптимального управления как способ оценки
опционов.
Целью данной работы является постановка и решение задачи оптимального
управления как задачи вариационного исчисления для нахождения вида функции
полезности совместно с функцией плотности вероятности, которые мы рассматриваем
в качестве функций управления в нашей задаче.
В соответствие с целью были определены следующие задачи: на основе
детального анализа существующих способов оценки опционов показать
несостоятельность классической модели Блэка-Шоулза-Мёртона; разобраться с
теорией оптимального управления, научиться решать задачу оптимального
управления в рамках задач вариационного исчисления; установить взаимосвязь
между риск-нейтральной, физической функциями плотности вероятности и функцией
полезности; для наложения необходимых ограничений на функционал представить
функцию полезности как функцию с ограниченным изменением; составить и решить
задачу оптимального управления для оценки опционов; проверить полученную модель
на практике.
Основными источниками, использованными в данной работе для подготовки
теоретической базы, послужили следующие книги: Введение в оптимальное управление
(В.Д. Ногин); Вариационное исчисление (И.М. Гельфанд, С.В. Фомин); Элементы
теории функций и функционального анализа (А.Н. Колмогоров, С.В. Фомин); Financial Modelling Under Non-Gaussian Distributions (Eric Jondeau, Ser-Huang Poon and Michael Rockinger); Options, Futures and Other Derivatives (John C. Hull).
Все расчеты были произведены в программном обеспечении MachCad 13 и MachCad 15, что позволило существенно упростить вычисления и
обработку данных.
1. Методы
оценки опционов
.1
Классическая модель Блэка-Шоулза-Мёртона
Существует множество моделей оценки справедливой стоимости опционов,
однако самой известной является модель ценообразования опционов
Блэка-Шоулза-Мёртона. Разработанная в начале 1970-х годов, эта модель имела
огромное влияние на финансовую систему в целом, а также на способы определения
теоретической стоимости и хеджирования деривативов трейдерами. Фишер Блэк и
Майрон Шоулз использовали модель CAPM,
чтобы определить связь между требуемой рыночной доходностью на опцион с
требуемой доходностью на акцию. Подход Роберта Мёртона был более общим,
поскольку не был основан на предпосылках модели CAPM. Более того, Мёртон первым опубликовал работу,
раскрывающую математическое обоснование модели, а также ввел термин
"модель ценообразования опционов Блэка-Шоулза".
Рассмотрим основные предпосылки, лежащие в основе этой модели:
· на рынке отсутствует арбитраж, то есть невозможно получить безрисковую
прибыль;
· можно брать и давать любое количество денег в долг по
безрисковой ставке;
· можно занимать и давать в долг любое количество, даже
дробное, акций (это включает возможность короткой продажи);
· по всем вышеперечисленным операциям отсутствуют
транзакционные издержки;
· ставка доходности по безрисковому активу остается постоянной
в течение всего срока действия опциона;
· по подлежащему активу не выплачиваются дивиденды;
· цена базового актива St подчиняется геометрическому
броуновскому движению, которое задается стохастическим дифференциальным
уравнением вида:
dSt = St µdt + St σdWt, (1.1)
где dSt обозначает мгновенное изменение цены,
µ - это ожидаемая доходность актива, σ - волатильность ценового процесса, и Wt - это винеровский процесс такой, что
dWt ~ N(0, dt).
В основе логики вывода этой модели лежит так называемая концепция
безрискового хеджирования. Рассмотрим ее подробнее.
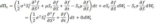
Предположим, что цена производного актива равна ft(St,t). Чтобы получить динамику ценового процесса f, применим Лемму Ито:
(1.2)
Теперь составим портфель, состоящий из 1 единицы производного актива и
короткой позиции по fS единицам подлежащего актива.
Стоимость портфеля Πt в таком случае будет равна:
Πt = f - fS St,
с ценовой динамикой
dtΠt = d f - fS dSt
.
Если подставить в данное уравнение dtf и dSt, полученные выше из уравнений (1.1)
и (1.2), мы имеем:
(1.3)
Динамика этого портфеля является безрисковой, поскольку выражение dWt имеет нулевой коэффициент. Чтобы
избежать арбитража, мгновенная доходность этого портфеля должна быть равна
безрисковой ставке доходности. Отсюда получаем, что изменение стоимости
портфеля равно:
dtΠt = rtΠt dt = r(f - fS St)
dt, (1.4)
Приравняв выражения (1.3.) и (1.4.), мы получим:
(1.5)
Это и есть фундаментальное дифференциальное уравнение в частных
производных Блэка-Шоулза-Мёртона. С помощью замены некоторых переменных можно
свести это уравнение к уравнению теплопроводности, решить которое можно,
используя преобразования Фурье. Затем, если разделить решение на две части и обратно
заменить переменные, то мы получим знаменитую формулу Блэка-Шоулза-Мёртона для
цен европейских опционов на покупку и на продажу:
ft (St, t) = Ct
(St, t) = St N (d1) -
K e -r (T - t)N (d2)
ft (St, t) = Pt
(St, t) = K e -r (T - t)N
(-d2) - St N (-d1),
где
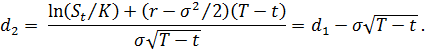
Функция N(x) - это кумулятивная функция
распределения вероятностей стандартного нормального распределения, St- текущая цена базового актива, K
- это страйк опциона, (T - t) - время до исполнения.
Главным и, пожалуй, единственным неоспоримым преимуществом модели оценки
опционов Блэка-Шоулза-Мёртона является простота ее вычисления. Однако, несмотря
на всю ее популярность, она имеет множество недостатков, которые, прежде всего,
связаны с нереалистичностью ее предпосылок. На самом деле, ни одно из
предположений, заложенных в основе этой модели, полностью не выполняется в
реальном мире. Чаще всего модель используется только как примерное приближение,
поскольку слепое использование модели приводит к недооценке множества рисков.
Например, недооценка выбросов приводит к риску экстремального изменения или
"риску хвостов"; предположение об отсутствии транзакционных издержек
недооценивает риск ликвидности; предпосылка о стационарности процесса приводит
к риску волатильности; из предпосылки о непрерывности времени и непрерывности
торговли следует так называемый "риск разрыва".
Несмотря на то, что существуют различные способы захеджировать все эти
риски, модель Блэка-Шоулза все равно можно назвать несостоятельной. Следствием
одной из предпосылок этой модели, а именно то, что цены подлежащего актива
подчиняются броуновскому движению, является логнормальность распределения цен.
В результате этого волатильность, выведенная из формулы Блэка-Шоулза-Мёртона
(так называемая вмененная волатильность), должна быть постоянной для всех цен
исполнения и на всех сроках до погашения исполнения. Однако практика
показывает, что это совсем не так. Если изобразить зависимость вмененной
волатильности σ от цены исполнения K на графике, то окажется, что опционы, чья цена
исполнения намного выше и ниже наблюдаемой цены базового актива, имеют более
высокую волатильность, чем опционы, у которых страйк примерно равен цене акции.
В результате этого график будет иметь форму так называемой "улыбки".
Таким образом, мы видим, что предположение о логнормальности
распределения цен не выполняется, а это значит, что нам нужна более общая
модель ценообразования опционов.
Существует огромное количество финансовой литературы, посвященной оценке
опционов. Все подходы, которые там описываются, можно разделить на две основные
категории: структурные и неструктурные. Модели, относящиеся к первому подходу,
предоставляют полное описание динамики цены базового актива, а иногда и их
волатильности. Напротив, неструктурные модели ничего нам не говорят о динамике
цен, поэтому являются более привлекательными для нас.
.2
Неструктурные модели оценки опционов
В литературе по количественным финансам существует подход, использующий
риск-нейтральную оценку, благодаря которому можно получить общую формулу для
оценки производных финансовых инструментов. Этот подход строится на
предположении о нейтральности инвесторов к риску (т.е. они не требуют
дополнительной премии за риск). Следовательно, в таком риск-нейтральном мире
любой актив должен приносить доходность, равную безрисковой ставке. Для того,
чтобы перейти от оценки в реальном мире к риск-нейтральной, необходимо
использовать так называемую мартингальную меру. В основе этой идеи лежит
концепция совершенного хеджирования и принцип отсутствия арбитража.
В своих работах Харрисон и Плиска показали, что отсутствие арбитража
равносильно существованию эквивалентной мартингальной меры. Если любая операция
может быть захеджирована, что возможно только при условии полноты рынка, то
существует уникальная мартингальная мера и, следовательно, цена любого
производного финансового инструмента определяется как дисконтированная по
безрисковой ставке ожидаемая выплата по этому инструменту в момент его
исполнения, под этой мартингальной мерой.
Чтобы стало более понятно, рассмотрим европейский опцион-колл. Ожидаемые
выплаты в момент исполнения опциона в риск-нейтральном мире будут равны

где

-
функция выплат для опционов на покупку (0 будет принимать в том случае, если
текущая (ST) цена меньше цены исполнения (K),
то есть когда опцион умирает),

-
некоторая функция плотности вероятности, по которой мы взвешиваем эту функцию
выплат.
Цена
опциона-пут, соответственно, будет равна:
Поскольку
считается, что опционы являются составной частью хорошо захеджированного
портфеля, заведомо приносящего безрисковую ставку (а такую ставку приносит
портфель, если его держатели не требуют вознаграждения за риск, а,
следовательно, они риск-нейтральны), то и функция плотности вероятности такая,
которая соответствует риск-нейтральному распределению. Таким образом, q(St) - это так называемая риск-нейтральная плотность
вероятности (RND).
Итак,
суть неструктурных моделей ценообразования опционов состоит в оценке риск-нейтрального
распределения и дальнейшей его подстановке в вышеописанную формулу. Сами
неструктурные подходы можно разделить на три типа моделей: непараметрические,
полупараметрические и параметрические.
Суть
параметрических моделей заключается в непосредственном выражении
функционального вида риск-нейтральной функции плотности, однако без ссылки на
какой-либо закон движения цены. К ним относятся модели-смеси различных
распределений, (например, смесь логнормальных распределений или смесь
гипергеометрических функций), а также большое количество распределений,
учитывающих моменты третьего и выше порядка (обобщенное бета-распределение и
т.д.).
Полупараметрические
и непараметрические модели предлагают некоторое приближение к истинному виду RND.
К примеру, риск-нейтральное распределение может быть получено как разложение
Эджворта вокруг логнормальной плотности или, к примеру, как разложение в
полиномы Эрмита.
Непараметрические
модели не ставят своей целью получить явный вид риск-нейтральной функции
плотности, а лишь пытаются наиболее точно описать реальный ценовой процесс. Эти
модели включают в себя принцип максимальной энтропии для получения RND,
биноминальные деревья, методы сплайновой подгонки и ядерной оценки, где вообще
не делается никаких предположений относительно вида RND.
Итак,
в данной главе мы изучили классическую модель ценообразования опционов
Блэка-Шоулза-Мёртона, разобрали ее основные достоинства и недостатки, а затем
рассмотрели альтернативный метод оценки опционов, согласно которому цену
производного финансового инструмента можно вычислить как ожидаемое значение
будущих выплат, дисконтированном по безрисковой ставке. В результате мы
получили формулу для оценки опционов, которую можно использовать, если нам
известен вид риск-нейтральной функции плотности вероятности. Забегая вперед,
можно сказать, что данная формула нам пригодится для постановки задачи
оптимального управления, теорию которой мы рассмотрим в следующей главе.
2. Теория
оптимального управления для оценки опционов и основные предпосылки
.1 Теория
оптимального управления
В данной главе будет изучена теория оптимального управления, затем
продемонстрирован метод постановки и решения задачи оптимального регулирования
как задачи вариационного исчисления, а также рассмотрены необходимые теории и
предпосылки, благодаря которым представляется возможным применение этой задачи
для оценки производных финансовых инструментов, в частности, опционов.
Математическая теория оптимального управления зародилась в 1950-х годах в
качестве специального отдела теории дифференциальных уравнений. Ее основы
заложены в работах двух школ - советского академика Л.С. Понтрягина и
американского ученого Р. Беллмана. В то время развитие современных методов в
соответствующих разделах классической математики и механики было вызвано к
жизни потребностями таких новых областей науки и техники, как освоение
космического пространства, сверхзвуковая авиация и автоматизация управления
производственными процессами с применением вычислительных машин. Именно
блестящее открытие Л.С. Понтрягина и его сотрудников - принцип максимума,
которое дает строгое математическое обоснование теории оптимального управления,
отвечающей запросам новой техники, а также метод динамического программирования
Беллмана, с успехом применяются для синтеза оптимальных режимов управления
многочисленными техническими объектами.
После того как были установлены принцип максимума и метод динамического
программирования, появилась тенденция рассматривать теорию оптимального
управления в рамках вариационного исчисления. В данной исследовательской работе
мы тоже пойдем по этому пути. Для этого в первую очередь выясним, что
представляет собой задача оптимального управления, а уже затем рассмотрим связь
теории оптимальных процессов с классическими вариационными задачами.
Фундаментальные понятия в теории оптимального управления - это система
(объекта) и управление. Не вдаваясь в детализацию понятия системы, можно
отметить, что систему обычно рассматривают как упорядоченное представление об
объекте исследования с точки зрения поставленной цели. Упорядоченность
заключается в целенаправленном выделении составляющих ее элементов,
установлении их взаимодействия и взаимосвязи между собой и с внешней средой.
Состояние системы - это еще один не менее важный термин, который непосредственно
относится к любой системе. Всякая система (которая изменяется во времени
определенным образом), может находиться в одном из некоторого числа конечных
состояний в каждый момент времени. Именно переход из одного состояния в другое
с течением времени говорит о функционировании данной системы.
Системы бывают двух типов: неуправляемые, на которые человек не способен
оказывать никакого воздействия, и управляемые, состояние которых может меняться
при определенном воздействии человека в зависимости от преследуемых им целей.
Под управлением в таком случае понимается воздействие, которое способно
изменить текущее состояние системы, а значит, и ее дальнейшее функционирование,
причем таким образом, что в результате такого изменения достигаются заранее
поставленные цели.
Итак, если у нас есть некоторая система, для которой необходимо найти
наилучший с той или иной точки зрения режим работы, то это ведет к определенной
математической задаче, которую можно записать следующим образом.
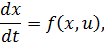
Пусть следующая система дифференциальных уравнений описывает закон
изменения состояния некоторого объекта с течением времени
(2.1)
или в форме векторов
2.2
где f i (x, u) - это определенные и непрерывные функции для всех x
Î X и всех u Î Ω (Ω - некоторая
фиксированная область k-мерного
пространства). Поскольку мы рассматриваем объект, состояние которого в каждый
момент времени может быть однозначно охарактеризовано определенным конечным
набором n числовых параметров, а наша система
эволюционирует во времени, то эти числовые параметры x1, …, xn являются функциями времени t. Далее, задав функцию u = u (t),
значения которой принадлежат Ω, мы получим новую систему
(2.2)
которая имеет определенное решение при заданном начальном значении x(t0)
= x0.
Функции
называются функциями управления. Если мы зададим эти функции
на отрезке времени от t0 до t1 и начальное
значение x0 в момент t0, то у нас получится
некоторая траектория, то есть решение нашей системы (2.1).
Совокупность функций ui (t) отрезка [t0,
t1] и начальной точки x0 называется
"управлением" и будет обозначаться следующим образом:
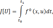
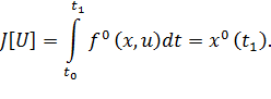
Далее, пусть у нас имеется некоторая функция f 0 (x1, …, xn, u1, …, uk), для которой определены ее частные
производные
для всех x Î X и всех u Î Ω. Тогда, если каждому управлению U поставить в
соответствие число
(2.4)
то мы получим, что J[U] будет являться функционалом (то
есть функцией, аргумент которой тоже функция), определенным на множестве
управлений. Управление U = (u(t), t0, t1,
x0) можно считать оптимальным в том случае, если для любого
произвольного управления
переводящего
данную точку x0 в точку x1 (т. е. для
которого соответствующая траектория x*(t) удовлетворяет
условию x*(
) = x1), выполняется неравенство

. (2.5)
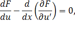
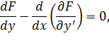
Наша задача заключается в поиске необходимых условий оптимальности
управления (и отвечающей этому управлению траектории). Для ее решения добавим к
системе уравнений
еще одно уравнение
в котором функция f0 (x, u) определяет тот функционал (2.4), который надо
минимизировать. Вместе с этим дополним начальные условия
(2.6)
еще одним условием
(2.7)
Очевидно, что если U - некоторое допустимое управление и x
= x(t) - решение системы
(2.8)
соответствующее этому управлению и начальным условиям (2.6), (2.7), то
Таким образом, задачу оптимального управления можно сформулировать
следующим образом: найти такое реализующее определенную цель допустимое
управление U, при котором решение x(t) системы (2.8),
удовлетворяющее начальным условиям (2.6), (2.7), давало бы возможно меньшее
значение x0 (t1), то есть для которого
функционал J[U] принимает наименьшее возможное значение.
Итак, мы ознакомились с теорией оптимального управления, научились
составлять задачу оптимального управления, а также выяснили, какие начальные
условия задавать и какой функционал нужно минимизировать. В следующем разделе
мы покажем, как задачу оптимального управления можно представить в виде задачи
вариационного исчисления.
2.2
Вариационные методы в задачах об оптимальном управлении
Как мы уже говорили ранее, очень часто теорию оптимального управления
рассматривают в рамках вариационного исчисления, поэтому становится необходимым
рассмотреть связь задачи об оптимальном управлении с традиционными задачами
вариационного исчисления.
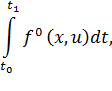
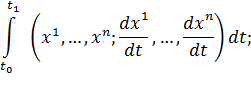
Очевидно, что интеграл
который
был рассмотрен выше в качестве функционала, зависит от n + k функций
x1, …, xn; u1, …, uk, т. е. определен на некотором классе кривых в (n+k+1)-мерном
пространстве. Наши функции x1, …, xn; u1, …, uk связаны уравнениями (2.1). В таком случае, у нас
получается задача на условный экстремум. Поскольку оптимальная траектория x(t),
которую мы ищем, начинается в точке x0 и кончается в точке x1
(это граничные условия), то в указанном (n+k+1)-мерном
пространстве допустимыми будут являться те кривые, концы которых лежат на двух
(k+1)-мерных плоскостях, определяемых заданными значениями 
и 
координат x1, …, xn.
Таким
образом, задачу об оптимальном управлении можно рассматривать как видоизменение
задачи на условный экстремум. Только ее особенность заключается в том, что в
задачах об оптимальном регулировании заранее фиксируется определенный класс
допустимых управлений, значения которых лежат в некоторой фиксированной
области.
Теперь
рассмотрим простейшую вариационную задачу и покажем, что она представляет собой
частный случай задачи об оптимальном управлении.
Допустим
у нас есть функционал вида
(2.10)
и наша задача заключается в отыскании среди кривых, проходящих через
точки

и 
той,
на которой этот функционал достигает минимума.
Чтобы
представить такую задачу как задачу оптимального управления, достаточно
функционал (2.10) переписать в виде
(2.11)
а уравнения
(2.12)
взять в качестве системы (2.1). Таким образом, мы получили задачу
вариационного исчисления, в которой подынтегральное выражение не зависит явно
от t. Как решать такие задачи нам известно, подробно рассмотреним этот
вопрос в 3 главе.
Теперь, когда мы умеем решать задачи оптимального управления как задачи
вариационного исчисления, остается выяснить, как с их помощью можно оценивать
опционы. В литературе по количественным финансам чаще всего используют задачу
оптимального управления, называемую задачей об оптимальной остановке, для
оценки американских опционов, либо, наоборот, оценивают вмененную волатильность
цены базового актива методом динамического программирования. Тем не мене, в
данном исследовании было решено пойти другим путем. Однако, прежде чем мы
приступим к постановке и решению нашей задачи оптимального управления,
необходимо изучить некоторые дополнительные теории и предпосылки.
.3 Связь
между риск-нейтральной и физической плотностью вероятности
В данной части исследования мы рассмотрим формализм Йенса Якверта,
согласно которому существует связь между агрегированным (т.е. в масштабах всего
рыка) риск-нейтральным и субъективным (наблюдаемым) распределениями
вероятностей и функцией неприятия риска. В своей работе Якверт утверждает, что
в каждом состоянии мира риск-нейтральная вероятность равна субъективной,
умноженной на поправку на неприятие риска. Субъективной вероятностью в данном
случае служит предположение инвестора о вероятности наступления определенного
события, а риск-нейтральной - это цена, умноженная на безрисковый доход,
которую инвестор заплатил бы для получения 1$ в этом состоянии мира (цена
умножается на безрисковую доходность, чтобы получить распределение
вероятностей, равное единице). Если инвестор является нейтральным к риску, то
эти две вероятности равны между собой. Когда вводится поправка на избегание
риска, то учитываются такие предпочтения инвестора, когда он ценит 1$ больше в
том случае, если его богатство находится на низком уровне.
Якверт получил свое знаменитое соотношение из условия равновесного
ценообразования, при котором риск-нейтральная функция плотности (RND) может быть выражена в терминах
стохастического дисконтирующего фактора или ядра ценообразования. В таком
случае цена актива представляет собой мартингал под физическим вероятностым
распределением агрегированного потребления, умноженный на стохастический
дисконтирующий фактор.
Рассмотрим подробнее эту идею. Предположим, что в нашей экономике
существует единственный товар S,
который можно потреблять и инвестировать, а все значения выражаются в единицах
этого товара; отсутствует дополнительный экзогенный доход; все инвесторы
стремятся максимизировать функцию полезности, при условии соблюдения обычных
бюджетных ограничений. Они могут потреблять товар в день t или же в некоторый фиксированный
день T в будущем. Существует только один
рисковый актив и одна безрисковая облигация, которыми можно торговать в любой
момент от t до T. Введем следующие обозначения: U(.) - функция полезности, WT -конечная стоимость богатства
инвестора в момент времени T. Также
предполагается, что является U
возрастающей строгой функцией для всех допустимых значений W, и дважды дифференцируемой.
Единственная информация об активах, которой руководствуется инвестор, принимая
решение - это функция плотности вероятности WT.
Тогда в день t
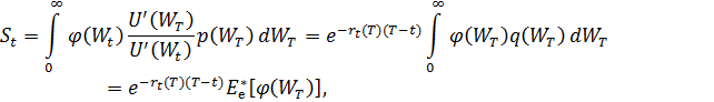
равновесная цена рискового актива St с ликвидационной выплатой в момент T равна
под
наблюдаемой (субъективной) вероятностью. 
- это
стохастический дисконтирующий фактор или предельная норма замещения между
потреблениями сегодня и в день T.
В
условиях равновесия для инвестора будет оптимальным инвестировать все свое
богатство в рисковый актив в каждый момент времени t
< T,
а затем потреблять конечную стоимость актива в день T, WT = ST.
Если
мы обозначим как p(.) субъективную функция плотности WT, то равновесную цену St
можно переписать как:
где функция
это
риск-нейтральная плотность вероятности (RND).
Таким
образом, Якверт получил свое знаменитое соотношение, приравняв два
подынтегральных выражения, равных единице. Это сделано при условии того, что
цена находится в равновесии (т.е. представляет собой мартингальный процесс).
Дробь 
- это
соотношение предельных полезностей будущего и текущего богатства, где в
знаменателе находится предельная полезность текущей цены. Поскольку текущая
цена в момент t нормированная, т.е. равна единице, то ее предельная
полезность равна некоторой постоянной C.
Теперь
рассмотрим, как Якверт восстановил функцию неприятия риска из двух
распределений. Он предполагал, что существует однопериодная экономика, где есть
один репрезентативный инвестор, обладающий одной единицей богатства, целью
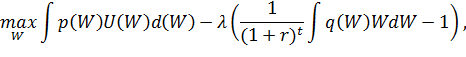
которого является максимизация полезности. Тогда задача максимизации полезности
от будущего богатства будет иметь вид:
где W - будущее богатство;
p - субъективная вероятность;
U - функция полезности;
λ - теневая цена бюджетного
ограничения, которая, по сути, является множителем Лагранжа;
r - безрисковая ставка процента;
q - риск-нейтральная вероятность;
t -
временной горизонт.
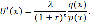
Дифференцируя по переменной W, получаем условие первого порядка, которое необходимо для равновесия.
Якверт говорит, что в условиях равновесия инвестор склонен удерживать рыночный
портфель. Тогда, если x
- это совокупные дивиденды от рыночного портфеля, которым он владеет, условие
равновесия будет выглядеть следующим образом:
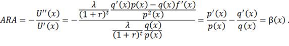
Дальнейшее нахождение функции неприятия риска приводит к проблеме,
которая заключается в том, что мы не можем оценить теневую цену λ. Однако Якверт обходит эту проблему,
просто продифференцировав функцию полезности по "x" еще раз:
Теперь можно записать функцию абсолютного неприятия риска через
распределения риск-нейтральной и субъективной вероятности:
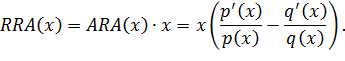
Аналогично можно получить и относительное неприятие риска RRA:
Стоить уточнить, что Якверт называл плотность вероятности объективного
процесса субъективной, потому что никто на рынке не знает на самом деле, каким
генератором в действительности порождены случайные цены. Вероятность, которая
является физической, то есть которую мы наблюдаем, он называл субъективной, тем
самым подчеркивая, что это реконструкция. Иначе говоря, это то, что получается
в представлении лиц, принимающих решения на рынке, которые наблюдают за ценами
опционов и имеют некоторую функцию полезности.
Таким образом, из формализма Якверта следует, что мы можем найти
риск-нейтральную функцию плотности, если нам известно наблюдаемая
(субъективная) функция плотности p(x), и мы знаем
функцию полезности индивида. Она будет иметь следующий вид:
где C - нормировочная постоянная.
Заметим, что в данной формуле финансовая переменная x (или как мы ее выше обозначали в
качестве богатстваWT) всегда относится к следующему периоду. То есть мы всегда
смотрим на предельную полезность в определенный момент в будущем, а функция p(x) каждый раз восстанавливается, то есть это
реконструкция также для следующей точки во времени. Таким образом, в нашей
модели и риск-нейтральная функция плотности, и наблюдаемая (субъективная) будут
относиться к будущему периоду Т (сроку экспирации опциона).
Теперь, когда мы можем получить RND, зная наблюдаемую функцию плотности и функцию полезности, остается
изучить предпосылки, исходя из которых можно будет найти функцию полезности.
.4 Функция
полезности как функция с ограниченным изменением
В данном разделе рассмотрим подход к полезности индивида как функции с
ограниченным (конечным) изменением. Такой подход к функциям полезности
обусловлен условием их аддитивности, которое рассматривали в своих работах
Фишберн, Поллак, Тверски и другие исследователи. В терминах математики, функция
U является аддитивной функцией
полезности тогда и только тогда, когда существует n функций ui(xi) таких, что
где X обозначает вектор (x1, …, xn).
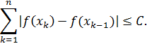
Итак, начнем с определения функции с ограниченным изменением. Функция f(x), определенная на отрезке a≤x≤b, называется
функцией с ограниченным изменением, если существует такая постоянная C, что, как бы не был разбит отрезок [a, b] точками
a = x0 < x1
< … < xn
= b,
выполнялось неравенство
Для таких функций справедлива следующая теорема: "Всякая функция с
ограниченным изменением может быть представлена как разность двух монотонно
неубывающих функций".
Обратное утверждение, кстати говоря, тоже верно: любая функция, которую
можно представить как разность двух монотонных функций, имеет ограниченное
изменение. Если говорить о функции полезности, то, к примеру, во второй главе
книжки "Handbook of the Equity Risk Premium" автор как раз представляет рекурсивно функцию
полезности в виде разности двух неубывающих сумм с параметром.
Из указанной выше теоремы следует, что "всякая функция с
ограниченным изменением имеет почти всюду конечную производную". Таким
образом, в рамках данного подхода мы накладываем на функцию полезности условие
конечного математического ожидания ее первой производной, то есть предельной
полезности.
Это условие соответствует знаменитому результату американского экономиста
Джозефа Стиглица. В своей работе Стиглиц доказал, что, для того, чтобы по
крайней мере часть торгуемых производных финансовых инструментов была информационно
эффективна, функция полезности репрезентативного лица, принимающего решения,
должна принадлежать к семейству функций с постоянной величиной относительного
неприятия риска RRA = 0 (Constant Relative Risk Aversion).
Итак, в данной главе была разобрана теория оптимального управления и
показан способ решения задачи оптимального управления как простейшей задачи
вариационного исчисления, рассмотрена связь между наблюдаемой, риск-нейтральной
функцией плотности и функцией полезности, а также введена предпосылка конечного
математического ожидания функции полезности в русле подхода к ней как функции с
ограниченным изменением. Теперь, когда все теоретические аспекты работы
изучены, можно приступить к составлению и решению задачи оптимального
управления для оценки опционов, а также проверке полученной модели на практике.
3.
Построение модели оценки опционов и ее применение на практике
.1
Постановка и решение задачи оптимального управления как задачи вариационного
исчисления
В предыдущих главах была разобрана вся необходимая теоретическая база, а
в данной главе построим модель, с помощью которой можно будет оценивать
опционы.
В нашей задаче оптимального управления будем управлять своим отношением к
риску (через функцию полезности) и вероятностной картиной мира (через
наблюдаемую функцию плотности вероятности, представляющую субъективную картину
мира с точки зрения участника рынка). Такой подход можно обосновать, ссылаясь
на литературу по методологии экономической науки, в которой присутствует идея о
выборе не только отношения к факту, но и методу выработки этого отношения.
Иными словами, лицо, принимающее решения, сам выбирает точку зрения (функцию
полезности), то есть точка зрения не привинчена к лицу, принимающему решения.
Нам известно из первой главы, что цена производного финансового
инструмента равна ожидаемым будущим выплатам, продисконтированным с безрисковой
ставкой, которые нужно взвесить по риск-нейтральной функции плотности.
Поскольку RND - это ненаблюдаемая функция
плотности, и вообще существует она только в риск-нейтральном мире, во второй
главе мы обратились к формализму Якверта, благодаря которому можно найти эту
функцию плотности, зная наблюдаемую функцию плотности и функцию полезности
индивида, точнее ее первую производную. Тогда в нашей формуле для оценки
производных финансовых инструментов мы можем заменить RND вот такой функцией:
Таким образом, инвестор может выбирать функцию полезности, а от нее же
зависит весовая функция, т.е. функция риск-нейтральной плотности. Получается,
что объективно у нас это физическая плотность, а риск-нейтральная
подстраивается под выбранную спецификацию функцию полезности.
Итак, мы получили задачу оптимального управления, которая ставится как
вариационная. Решение этой задачи подразумевает нахождение неизвестной функции
полезности, вернее ее предельной полезности, и плотности вероятности
распределения подлежащего актива, которые бы отвечали целевой задаче по
минимизации расходов на вхождение в позицию.
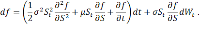
Чтобы решить задачу вариационного исчисления, первым делом необходимо
составить функционал. В нашем случае функционал будет состоять из финансовой
переменной x, ее функции распределения и функции
плотности вероятности; выражения, которым задается цена опциона; энтропии по
Шеннону; ограничений на моменты функции плотности вероятности субъективного
распределения; условия конечного математического ожидания производной функции
полезности.
Стоит уточнить, что энтропия является мерой неопределенности.
Руководствуясь принципом Infomax,
согласно которому рыночные цены несут в себе максимум информации, мы требуем,
чтобы исторические цены наблюдаемого процесса показывали наибольшую
неопределенность, что соответствуем максимуму информационной энтропии.
Информационная энтропия по Клоду Шеннону определяется выражением
где минус соответствует уменьшению неопределенности с каждым новым
сообщением, то есть уменьшению энтропии. Тогда для максимизации энтропии по
Шеннону данное подынтегральное выражение должно входить в наш минимизируемый
функционал без знака "минус".
Что касается ограничений на моменты, то они нужны для того, чтобы искомое
распределение как можно точнее описывало наблюдаемый процесс. Для этого
ограничимся первыми тремя моментами - математическим ожиданием, стандартным
отклонением и асимметрией. Поскольку ограничения по центральным и начальным
моментам дают одинаковый результат, то для упрощения дальнейших выкладок
целесообразнее использовать начальные моменты распределения.
В результате наложения всех ограничений функционал примет следующий вид:
где t - время,
x - цена подлежащего актива,
y = y(x) - функция распределения вероятности цены подлежащего
актива,

функция
плотности вероятности наблюдаемого распределения,
α, β, γ - имеют природу множителей Лагранжа при ограничениях
на первый, второй и третий центральные моменты,
u = u(x)
- функция полезности,

первая
производная функции полезности (предельная полезность),

-
функция выплат по производному финансовому инструменту,

- цена
производного финансового инструмента, где для упрощения конструкции был изъят
элемент exp(-r·τ), поскольку время все равно сохраняется через функцию плотности,

-
условие конечного математического ожидания первой производной функции
полезности в русле подхода к полезности как функции с ограниченным изменением
(поскольку наш функционал интегрируется, то такое выражение под интегралом есть
ни что иное как математическое ожидание производной функции полезности 
).
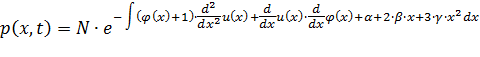
Решив
первое уравнения, которое имеет вид
относительно
функции плотности вероятности, мы получили:
Из
второго уравнения Эйлера-Лагранжа
тоже
выражаем функцию плотности как
Поскольку
функцию выплат 
для
опционов мы знаем, то остаются неизвестными функция плотности 
, которая
является производной некоторой функции распределения по "x", и функция 
, которая
является первой производная функции полезности 
, также
по "x".
Приравняв
правые части выражений, которые мы имеем для функции 
, получим
линейное неоднородное дифференциальное уравнение первого порядка для
производной функции полезности (функция 
).
Решение этого уравнения можно найти методом Бернулли.
В
результате получаем вид первой производной u(x):
где
K - константа.
Сама
функция полезности - это интеграл от такого выражения, то есть
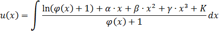
Поскольку в явном виде этот интеграл не берется, то можно, к примеру,
представить подынтегральное выражение в виде полиномиального ряда, и тогда мы
сможем легко проинтегрировать полученный многочлен.
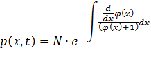
Теперь, зная вид производной функции полезности, а также вид функции
выплат для опционов, мы можем найти, как выглядит функция плотности вероятности
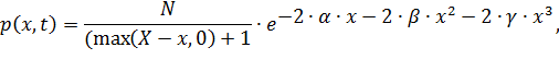
наблюдаемого распределения базового актива. Для случая, когда подставляем
функцию выплат для опционов-колл, получаем:
и для опционов-пут:
где N - нормировочная постоянная, K - страйк.
Таким образом, нам удалось решить поставленную задачу оптимального
управления как задачу вариационного исчисления. В результате мы нашли вид
первой производной функции полезности и вид функции плотности вероятности.
Подставив эти функции вместо риск-нейтральной функции плотности вероятности в
формулу для нахождения ожидаемых значений будущих выплат, дисконтированных с
безрисковой ставкой процента (из главы 1.2.), мы получим готовую модель для
оценки опционов. Остается лишь провести параметризацию этих функций на реальных
рыночных данных, чему посвящена заключительная часть этой работы.
3.2 Оценка
параметров физической функции плотности вероятности и функции полезности
Теперь, когда все теоретические аспекты работы изучены, а математический
аппарат сформирован, можно приступать к практической части исследования. В
данной главе нам предстоит оценить полученные из вариационной задачи функции
физической плотности вероятности и первой производной функции полезности,
чтобы, ссылаясь на формализм Якверта, подставить их в формулу, основанную на
риск-нейтральной оценке, вместо RND и
получить модель оценки опционов.
Параметры этих функций мы будем оценивать на основе данных по опционам на
акции компании The Goldman Sachs Group, Inc. (GS) от 13 мая 2016 года со сроком
исполнения 17 июня того же года, то есть время до экспирации опциона (τ) составляет 25/252 торговых дня.
Стоит напомнить, что в данной модели текущая стоимость портфеля равна
единице, поэтому нормируем все остальные данные, то есть делим на спотовую цену
акции, которая в этот день равнялась 155.34 долл. США. Вопрос о том, что взять
в качестве цены акции, остается открытым. В этой работе берем скорректированную
цену закрытия (т.е. с поправкой на дивиденды и дробление акций), поскольку она
считается наиболее репрезентативной. В качестве премии по опциону берутся
последние цены сделок в этот торговый день, аналогично предыдущим данным.
Поскольку наша модель подразумевает дисконтирование с безрисковой ставкой
процента ожидаемых будущих выплат по производному финансовому инструменту, то в
качестве такой ставки примем доходность 10-летних казначейских облигаций США,
которая на этот момент составляла r = 1.75%.
Для подбора оптимальных значений параметров ожидаемой физической функции
плотности вероятности и первой производной функции полезности будет использован
метод минимизации квадратов отклонений остатков наблюдаемой на рынке цены
опциона от рассчитанной по нашей модели.
Для этого предварительно зададим начальные значения параметров, а также
наложим несколько ограничений: добавим в ограничения риск-нейтральную функцию
плотности вероятности как произведение искомых функций; приравняем площади
функций плотности вероятности под интегралом единице; наложим ограничения на
хвосты распределений. В результате мы найдем значения неизвестных параметров и
получим численный вид искомых функций.
Напомним, что вид нашей функции плотности вероятности и первой
производной функции полезности различается в зависимости от того, рассматриваем
мы опционы на покупку или же на продажу, поскольку там присутствует функция
выплат, которая разная для разных опционов. Поэтому имеет смысл оценивать эти
функции на опционах-колл и опционах-пут.
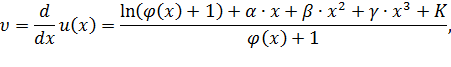
Решив вариационную задачу, мы получили, что наша функция плотности, если
мы берем опцион на покупку, выглядит следующим образом:
а первая производная функции полезности, соответственно:
Как мы видим, функция выплат зависит от страйка опциона, а,
следовательно, и эти две функции тоже будут зависеть от страйка. Получается,
что для каждой цены исполнения у нас своя частная спецификация функции
плотности и функции полезности. То есть мы тем самым разделяем всю совокупность
субъектов рынка на когорты, которые работают с разными ценами исполнения.
Получившийся результат можно соотнести с тем фактом, что на рынке наблюдается
разная вмененная волатильность для разных страйков, тот самый эффект
"улыбки". Тем самым мы возвращаемся к старому методологическому спору
между Дж. Хиксом и Фр. Модильяни в середине XX века, которые пытались объяснить "нормальный" вид
кривой доходности (т.е. привычную конфигурацию, когда доходность растет при
удалении во времени). Один утверждал, что само время влияет на предпочтения,
т.е. чем дальше во времени горизонт инвестирования, тем больше риск, а другой -
что она определяется разным отношением к риску со стороны качественно разнородных
участников рынка. Таким образом, мы будем придерживаться второй точки зрения,
то есть на разных страйках у разных участников рынка разные отношения к риску и
разные видения картины мира.
Итак, оценив функцию плотности вероятности и первую производную функции
полезности на опционах фут, получим следующие результаты, которые можно
представить графически.
На рисунках 1-3 представлена вся совокупность функций наблюдаемой
плотности вероятности pC(x,n), риск-нейтральной qC(x,n) и первой производной функции
полезности υC(x,n) для всех n=15 цен исполнения опционов (n =0…14, 0 соответствует наименьшему
страйку=130, 14 - наибольшему=200). На рисунке 4 красной линией изображена
физическая pC(x,0), а синей - риск-нейтральная функции
плотности qC(x,0) для одной цены исполнения, равной 130$ в ненормированном
виде. Как мы видим, ожидаемая функция плотности в обоих случаях немного
отклоняется от риск-нейтральной, находясь немного правее и выше, то есть имеет
большую премию за риск, что соответствует результатам, к которым приходили в
своих работах различные исследователи.
Теперь рассчитаем математическое ожидание для физической и
риск-нейтральной функций плотности, а также среднее квадратическое отклонение
для p(x) по следующим формулам:
Индекс k здесь
означает соответствие функций p(x) и q(x)
определенному страйку (k
=0…14).
На рисунке 5 по основной оси Y изображены красными сплошными столбиками математические ожидания для
всех наблюдаемых функций плотности вероятности mpk, а черными - для риск-нейтральных mpk. По дополнительной оси Y синей линией показаны страйки Xk. Как мы можем видеть на этом
рисунке, в случае оценки функций по наблюдаемым опционам на покупку, существует
прямая зависимость между страйком и математическим ожиданием. Иными словами,
функции p(x), соответствующие большей цене исполнения, имеют
большее математическое ожидание, т.е. в представлении инвесторов, к которым мы
относим эти функции, цена подлежащего актива должна вырасти сильнее. Также на
этом рисунке проиллюстрирован тот факт, что у физической функции плотности математическое
ожидание больше, чем у риск-нейтральной, которая соответствует безрисковой
оценке. Это соотношение выполняется для всех функций плотности, кроме двух,
которые соответствуют самым высоким ценам исполнения.
Что касается стандартного отклонение функций p(x),
то оно также увеличивается с ростом страйка (Рисунок 6).
Рисунок 7. Функция полезности u(x), цена исполнения = 130
Теперь восстановим вид функций полезности, зная их первые производные.
Для этого разложим функции υ(x) в полиномиальный ряд, чтобы можно было легко их
проинтегрировать. В качестве весовой функции выступает функция равномерного
распределения, определенная на отрезке от 0 до 2, что совпадает с областью
определения ликвидационной стоимости нашего портфеля и всех найденных функций.
Ортонормировка проводится методом моментов с использование матриц Гамбургера и
Ганкеля. Графический вид функции полезности, полученный инегрированием функции υ(x,0) для той же цены исполнения = 130, представлен на
рисунке 6.
Теперь для того, чтобы попытаться извлечь какую-либо общую информацию об
ожиданиях всего рынка, а не отдельных его участников, необходимо каким-то
образом объединить построенные функции распределения ликвидационной стоимости
инвестиционного портфеля, соответствующие разным страйкам. Будем считать, что
их совместное распределение представляет собой взвешенную сумма всех функций p(x), где весами выступает либо объем, либо открытая
позиция.
Если Vk - это объемы торгов по опционам с
соответствующими ценами исполнения, тогда совместная функция плотности
вероятности P(x) будет равна:
а ее график выглядит следующим образом:
Рисунок 8. Совместная функция плотности вероятности P(x)
Зная совместное ожидаемое фактическое распределение базового актива (т.е.
акции, на которую выставлен опцион), попытаемся выявить скрытую информацию об
ожиданиях рынка на будущее. Поскольку мы оцениваем теоретические цены опционов
по наблюдаемым ценам, которые соответствуют определенному горизонту
инвестирования, т.е. определенному сроку до исполнения, то мы можем получить
информацию о неявных рыночных ожиданиях в отношении того горизонта
инвестирования, который будет совпадать со временем исполнения опциона. С этой
целью посчитаем моменты первого, второго и третьего порядка для общей функции
плотности вероятности. Полученные значения представлены в таблице 1.
Как мы видим, "премия" в математическом ожидании для физической
плотности в достаточно велика, что, возможно, может нам говорить о том, что
участники рынка ждут роста текущей цены акции. Что же касается стандартного
отклонения и коэффициента асимметрии, то здесь однозначного сказать ничего
нельзя.
Таблица 1. Моменты совместной физической функции плотности.
|
Математическое ожидание
|
Стандартное отклонение
|
Асимметрия
|
|
P(x)
|
1.113
|
0.22
|
-1.344
|
Однако не будем забывать, что на рынке торгуются не только опционы на
покупку, но также и на продажу, поэтому имеет смысл оценивать распределения не
только по опционам-колл, но также принять во внимание опционы-пут. Оценив
функции плотности, которые имеют вид
и первые производные функции полезности
мы получим новые значения параметров функций плотности вероятности
физических, риск-нейтральных и первых производные функций полезности. В отличие
от функций, оцененных на опционах на покупку, эти функции имеют завышенное
математическое ожидание, как это обычно бывает. Это соответствует тому факту,
что когда мы склеиваем вмененную волатильность, наши оценки со стороны опционов
на покупку и на продажу всегда смещены в противоположные стороны. Т.е. это тот
же эффект, который прослеживается для вмененной волатильности.
Также основным отличием является то, что математическое ожидание и
среднеквадратическое отклонение этих функций, наоборот, уменьшается с ростом
цены исполнения. Это связано с тем, что инвесторы, покупая опционы со стайком
намного превышающим текущую цену ожидают снижения цены подлежащего актива, что
позволит им получить большую прибыль.
Для того, чтобы проиллюстрировать работоспособность нашей модели,
рассмотрим небольшую последовательность будущих опционов на акции компании Goldman Sachs, т.е. соответствующие разным временным горизонтам. с
двумя ценами исполнения (155 и 160), ближайшими к текущей цене самой акции. Для
страйка=160, мы имеем цепочку из 11 опционов, время исполнения первого из
которых - 20 мая 2016 года, а последнего - 19 января 2018. управление опцион вероятность вариационный
Эти функции соответствуют функция плотности вероятности с наименьшим и
наибольшим математическим ожиданием, которые мы также рассчитали по уже
известной формуле и изобразили на рисунке 10 (по оси их изображен порядковый
номер k опциона, где 0 соответствует опциону
с ближайшей ценой исполнения, а 10 - самой дальней).
Рисунок 9. Функции плотности вероятности pC(x,6) и pC(x,10) со сроком исполнения 07.01.2016
и 01.19.2018.
Как мы видим, математическое ожидание для физических функций плотности,
соответствующих разным срокам исполнения, имеют выраженную прогнозную динамику,
при этом для первых десяти опционов оно меньше единице, а для самого
отдаленного опциона со сроком исполнения 19 января 2018 года больше единицы.
Рисунок
10. Математические ожидания
физических функций плотности pC(x,k), соответствующих разным сроком исполнения
Прямолинейного здесь ничего не может быть, потому что цены опционов в
равновесном случае - это ожидаемая к моменту Т (сроку их исполнения)
стоимость базового актива, обратно продисконтированная с помощью
риск-нейтральной плотности. По идее, если рынок информационно эффективен, то
наша восстановленная функция распределения для подлежащего актива не должна
различаться в зависимости от того, какой срок исполнения у опционов, по которым
мы ее оцениваем. В противном случае можно говорить о наличии какой-то
информации.
Тогда, если у нас получается, скажем, что две реконструкции при разных сроках
исполнения разные, т.е. если норма разности этих двух функций окажется выше
какого-то критического уровня, то рынок не информационно эффективен. А раз он
неэффективен, то мы можем предугадать, куда пойдут рыночные ожидания, сравнивая
статистики этих реконструкций.
Также рассчитаем среднеквадратические отклонения наших функций. Изобразим
на рисунке 11 по основной оси X
средние квадратические отклонения sk, посчитанные нами для оцененных функций плотности
вероятности, а по дополнительной - вмененную волатильность IVk, значения которой предоставляет
финансовый портал www.finance.yahoo.com. Как мы видим, динамика и порядок
величин волатильности, полученной из нашей модели, а также предоставленной
сайтом, примерно совпадают. Однако наблюдаются некоторые несоответствия,
которые можно трактовать как то, что опционы торгуются по завышенной или же
заниженной по отношению к объективной цене.
Рисунок 11. Среднеквадратические отклонения физических функций плотности pC(x,k), соответствующих разным сроком
исполнения, и "Implied Volatility"
Проделав все то же самое для опционов на акции компании Goldman Sachs с ценой исполнения 155, мы получили аналогичные
результаты, однако посчитанная нами волатильность отличается от предоставленной
на сайте. В идеале было бы хорошо проверить правильность наших результатов,
однако мы не располагаем такой базой данных, в которой можно найти динамику цен
этих опционов.
Также нами было решено рассмотреть опционы с разными сроками исполнения
на индекс CBOE Volatility Index (VIX), представляющий собой индикатор ожидания
волатильности (изменчивости) рынка, также с ближайшими к текущей цене, равной
на тот момент 15.04, страйками.
В дополнение, поскольку мы оценили первые производные функции полезности,
из которых мы можем получить функции полезности, эволюционирующие со временем,
есть возможность порассуждать об изменении отношения к риску на различных
горизонтах инвестирования. Таким образом, открывается значительное поле для
дальнейших исследований.
Заключение
Таким образом, в данном исследовании нам удалось построить модель,
позволяющую оценивать опционы и построить реконструкции функции полезности, а
также субъективных и риск-нейтральных распределений цены подлежащего актива на
основе наблюдаемы на рынке цен опционов.
Для этого сначала мы изучили, какие вообще существуют модели оценки
опционов. Рассмотрели классическую модель ценообразования опционов
Блэка-Шоулза-Мёртона, выяснили, какие предпосылки в ней заложены, как она
выводится, и какие недостатки имеет. Было показано, что предположение о
логнормальности распределения цены, из которого следует равенство волатильности
для разных страйков и разных периодов до исполнения, не выполняется на
практике, о чем свидетельствует "улыбка" волатильности.
Также проанализировали альтернативный неструктурный подход к оценке
опционов, в соответствии с которым цена опциона в равновесном случае - это
ожидаемая к сроку их исполнения стоимость подлежащего актива, обратно
продисконтированная с помощью риск-нейтральной плотности.
Дальше мы рассмотрели задачи оптимального управления в рамках задач
вариационного исчисления, поскольку мы не стали придерживаться традиционному в
литературе по количественным финансам способу оценки американских опционов
методом динамического программирования.
Прежде чем приступить к постановке и решению задачи оптимального
управления, мы изучили дополнительные теории и предпосылки. Во-первых мы
познакомились с формализмом Якверта, согласно которому риск-нейтральная
вероятность равна субъективной, умноженной на поправку на неприятие риска.
Благодаря этому у нас появилась возможность получить RND, зная наблюдаемую функцию плотности и функцию
полезности индивида. Также была введена предпосылка конечного математического
ожидания функции полезности в русле подхода к ней как функции с ограниченным
изменением.
Составив задачу оптимального управления таким образом, что субъект рынка
управляет своим отношением к риску и вероятностной картиной мира, и решив ее
как вариационную, мы нашли вид первой производной функции полезности и вид
функции плотности вероятности. Подставив эти функции вместо риск-нейтральной
функции плотности вероятности в формулу для нахождения ожидаемых значений
будущих выплат, дисконтированных с безрисковой ставкой процента, мы получим
готовую модель для оценки опционов.
Задачей последней части данного исследования была проверка эффективности
построенной модели на реальных рыночных данных. С помощью минимизации квадратов
отклонений теоретических цен опционов от наблюдаемых на рынке была произведена
параметризация искомых функций по опционам на покупку и по опционам на продажу
на акции компании Goldman
Sachs. На основании статистик полученных
распределений были предложены различные варианты торговых стратегий, благодаря
которым представляется возможным сделать вывод об эффективности получения
информации о неявных рыночных ожиданиях из фактического распределения,
полученного с помощью построенной модели, в отношении того горизонта
инвестирования, который совпадает со временем исполнения опционов. Также
благодаря нашей модели можно оценивать среднеквадратическое отклонение для
ожидаемых функций плотности подлежащего актива, и, сравнивая ее с вмененной
волатильность опционов, делать вывод о том, торгуются ли опционы по завышенной
или заниженной цене.
Итак, выполнив ряд поставленных задач, мы достигли цели данной курсовой
работы. Кроме того, были заданы векторы для дальнейших исследований в этой
области.
Список использованной литературы
. Будылин А.М.: Вариационное исчисление (Москва, 2001).
2. Гельфанд И.М., Фомин С.В. Вариационное исчисление.
М.: Физматлит, 1961.
. Колмогоров А.Н., Фомин С.В. Элементы теории функций
и функционального анализа (4-е изд.). М.: Наука, 1976, С. 332.
. Кротов В.Ф., Лагома Б.А., Лобанов С.М. и др. Основы
теории оптимального управления / Под ред. В.Ф. Кротова. М.: Высшая школа, 1990.
. Лейтман Дж. Введение в теорию оптимального
управления. Серия: Теоретические основы технической кибернетики. Пер. с англ.
М.: Наука. 1968.
. Письменный Д.Т. Конспект лекций по высшей математике:
Полный курс. - 12-е изд. - М.: Айрис Пресс, 2014. 336 с.
. Понтрягин Л.С. Математическая теория оптимальных
процессов. М.: Наука, 1976.
. Понтрягин Л.С., Болтянский В.Г., Гамкрелидзе Р.В.,
Мищенко Е.Ф. Математическая теория оптимальных процессов. - М.: Физматгиз,
1961.
. Ногин В.Д. Введение в оптимальное управление:
Учебно-методическое пособие. - СПб: Изд-во "ЮТАС", 2008.
10. Aït-Sahalia
Y., Lo A.W., Nonparametric Estimation of State-Price Densities Implicit in
Financial Asset Prices, 1988, Journal of Finance, 53.
. Aït-Sahalia
Y., Lo A.W., Nonparametric Risk Management and Implied Risk Aversion, 2000,
Journal of econometrics, 94.
. Becker G. The Economic Approach to Human
Behavior // Rational Choice. Oxford: Blackwell. 1986. P. 111.
. Black, F., Scholes, M., 1973. The pricing of
options and corporate liabilities. Journal of Political Economy 81, P. 637-654.
. Bellman R. E., Dynamic programming, Princeton
University Press, Princeton N J, 1957.
. Coutant, S., "Implied Risk Aversion in
Options Prices Using Hermite Polynomials." Manuscript presented at
Workshop on Estimating and Interpreting Probability Density Functions, Bank of
International Settlements, Basel, Switzerland (June 14)
. Donaldson, J., & Mehra, R. Risk-Based
Explanations of the Equity Premium. In Handbook of the Equity Risk Premium
(2008), P. 48.
. Fishburn, P. C. A General Axiomatization of
Additive Measurement with Applications, 1992, Naval Research Logistics, Vol.
39, P. 741-755.
. Gale, Ian L. and Stiglitz, Joseph E., A Simple
Proof that Futures Markets are Almost Always Informationally Inefficient
(December 1989). NBER
Working Paper No. 3209. P. 3-5.
19. Jackwerth J.C. Recovering Risk Aversion from
Option Prices and Realized Returns. The Review of Financial Studies, Vol. 13,
No. 2 (Summer, 2000), P. 436.
. Harrison J. M. and Kreps D. M., Martingales
and arbitrage in multiperiod securities markets, Journal of Economic Theory 20
(1979).
. Harrison J. M. and Pliska S. R., A stochastic
calculus model of continuous trading: complete markets, Stochastic Processes
and Their Application 15 (1983), P. 313-316.
. John C. Hull. Options, Futures, and Other
Derivatives - 8th ed. Pearson Education Inc. 2012.
. Jondeau E., Poon S-H. and Rockinger M.
Financial Modelling Under Non-Gaussian Distributions. Springer Finance, 2006.
. Krantz, D. H., Luce, R. D., Suppes, P., and
Tversky, A. (1971) "Foundations of Measurement (Additive and Polynomial
Representations)", Vol. 1. Academic Press, New York.
. Pollak, R. A. The Review of Economic Studies,
Vol. 38, No. 4 (Oct., 1971), P. 401-414.
. Te Sun, H., Kobayashi, K.: Mathematics of
Information and Coding (American Mathematical Society, 2002), P. 19-20.
. Yalincak, Orhun Hakan, Criticism of the
Black-Scholes Model: But Why is It Still Used?: (The Answer is Simpler than the
Formula) (July 22, 2012).
. http://finance.yahoo.com/q/op?s=GS+Options
. http://finance.yahoo.com/q/hp?s=GS+Historical+Prices
. http://ycharts.com/indicators/10_year_treasury_rate