Проектирование тяговой подстанции №90 (рассмотрение вопросов по месторасположению подстанции, компоновки силового оборудования)
Аннотация
Тема дипломного проекта: "Проектирование тяговой подстанции №90
(рассмотрение вопросов по месторасположению подстанции, компоновки силового
оборудования).
Дипломный
проект включает в себя: введение, семь разделов, заключение и библиографический
список. Объем пояснительной записки составляет 94страницы. В пояснительной
записке дипломного проекта содержится 14 таблиц, 26 рисунков, 8 плакатов.
В
дипломном проекте рассмотрены вопросы, касающиеся месторасположения
проектируемой тяговой подстанции №90, компоновки силового оборудования.
В
первую главу включены исходные данные и задачи на проектирование.
Во
второй главе произведен выбор основного оборудования и описана компоновка
выбранного оборудования в здании подстанции.
В
третьей главе рассмотрен метод определения месторасположения тяговой подстанции
в центре электрических нагрузок и определены координаты проектируемой
подстанции на плане.
В
четвертой главе произведен расчет тяговой сети, выполнено секционирование
контактной сети трамвая и троллейбуса, рассчитаны параметры тяговой сети в
аварийных режимах.
В
пятой главе описаны основные проектные решения.
В
шестой главе выполнено технико-экономическое сравнение двух схем питания и
секционирования контактной сети трамвая и троллейбуса.
В
седьмой главе отражены мероприятия по охране труда при эксплуатации тяговой
подстанции
Содержание
Введение
. Исходные данные. Задачи проектирования
.1 Исходные данные
.2 Задачи проектирования
. Выбор основного оборудования тяговой подстанции и его
компоновка
.1 Расчет мощности и определение агрегатности тяговой
подстанции
.2 Выбор числа, типа и мощности тяговых агрегатов
.3 Выбор трансформатора собственных нужд
.4 Состав электрооборудования КРУ 10 кВ
.5 Состав электрооборудования КРУ 600В постоянного тока
.6 Компоновка силового оборудования
. Выбор месторасположения тяговой подстанции
.1 Метод определения центра электрических нагрузок
.2 Определение координат месторасположения тяговой подстанции
. Расчет тяговой сети
.1 Методы расчетов тяговой сети
.2 Исходные расчётные данные и условия для расчёта тяговой
сети
.3 Секционирование контактной сети трамвая и троллейбуса
.4 Расчет тяговой сети для варианта секционирования №1
.5 Расчет тяговой сети варианта №1 в аварийных режимах
.6 Расчет тяговой сети для варианта секционирования №2
.7Расчет тяговой сети варианта № 2 в аварийных режимах
. Основные проектные решения
. Технико-экономические расчеты
.1 Технико-экономические показатели схемы питания №1
.2 Технико-экономические показатели схемы питания №2
. Охрана труда при эксплуатации тяговой подстанции
.1 Анализ опасных и вредных производственных факторов
.2 Требования безопасности, предъявляемые к
электротехническому персоналу
.3 Молниезащита здания тяговой подстанции
.4 Расчет заземляющего устройства пункта питания и контура
заземления тяговой подстанции
Заключение
Библиографический список
Введение
Задачей данного дипломного проекта является определение месторасположения
проектируемой тяговой подстанции №90, компоновка силового оборудования в здании
подстанции.
Необходимость строительства новой тяговой подстанции определена
потребностью нового развивающегося квартала Красносельского района
Санкт-Петербурга в пассажирском транспорте.
В связи со строительством новой троллейбусной линии предусмотрено:
- строительство тяговой подстанции № 90;
- для обеспечения электроснабжения новой троллейбусной линии предусмотрена
прокладка кабелей постоянного тока от подстанции №90 до питающих пунктов на
Ленинском проспекте и у проспекта Героев;
- для обеспечения электроснабжения тяговой подстанции необходимо учесть
имеющиеся кабельный линии 10 кВ от БКРТП-2 в квартале вдоль проспекта Патриотов
с пересечением Ленинского проспекта, вдоль Ленинского проспекта, Балтийского
бульвара до проектируемой тяговой подстанции №90.
В соответствии с заданием необходимо:
а) электроснабжение троллейбусной линии от проспекта Героев до
Балтийского бульвара предусмотреть от новой тяговой подстанции №90 в квартале
29a.
б) строительство тяговой подстанции №90 в квартале 29а, где
предусмотреть:
1) в распределительном устройстве 10 кВ:
ячейки питающих фидеров;
- ячейки выпрямительных агрегатов;
ячейку трансформатора собственных нужд (ТСН);
ячейку трансформаторов напряжения;
ячейку секционного выключателя;
ячейку секционного разъединителя.
2) сборные шины секционированные.
3) в ячейках питающих фидеров и выпрямительных агрегатов установку
вакуумных выключателей ВВ/TEL-10.
) установку:
- сухих тяговых трансформаторов;
- трансформаторов собственных нужд подстанции;
- трансформаторов напряжения для учета электроэнергии.
5) в распределительном устройстве "плюс" 600 В предусмотреть:
- ячейку запасного автоматического выключателя;
- ячейку линейных автоматических выключателей;
- ячейки катодных выключателей.
6) распределительное устройство "минус" 600 В.
7) ячейки замены полярности в количестве.
) распределительное устройство собственных нужд (РУ СН)
) установку выпрямителей
) предусмотреть прокладку фидеров постоянного тока от новой
подстанции до точек питания сети (с установкой в конце фидеров питающих шкафов)
в соответствии с расчетом секционирования контактной сети.
1.
Исходные данные. Задачи проектирования
.1
Исходные данные
Строительство новой тяговой подстанции № 90, троллейбусной линии
планируется в Красносельском районе Санкт-Петербурга, по продолжению Ленинского
проспекта от проспекта Героев до Балтийского бульвара с устройством
разворотного кольца у Балтийского бульвара. В перспективе планируется продление
трамвайного маршрута № 56 по улице Маршала Казакова до проспекта Патриотов и
далее по проспекту Патриотов до конечной станции "ЛЭМЗ".
Исходными данными для электрического расчета являются план линии в
установленном масштабе, маршрутная схема движения, частота движения (или
интервал), тип подвижного состава, эксплуатационная скорость.
Исходные данные и условия для расчета тяговой сети троллейбусной и
трамвайной линий:
- рабочая частота движения троллейбусовNтм = 30 вагонов/час в каждом направлении;
- рабочая частота движения трамваяNтб = 35
машин/час в каждом направлении.
Троллейбусная линия по продолжению Ленинского проспекта от проспекта
Героев до Балтийского бульвара (временная линия до строительства моста в створе
проспекта Героев):
Планируется продление маршрутов № 32, 45, 48 с существующей частотой
движения 20 машин в час с дальнейшим увеличением до 30 машин в час в каждом
направлении. После строительства моста в створе проспекта Героев и продление
троллейбусной линии по проспекту Героев маршруты № 41, 35 будут направлены до
новой конечной станции с частотой движения 15 машин в час. На участке от улицы
Доблести до проспекта Героев проходят маршруты № 32, 35, 41, 45, 48 с
частотой движения 35 машин в час в каждом направлении.
Проектируемая трамвайная линия по продолжению Маршала Казакова до
Балтийского бульвара:
Планируется продление маршрута № 56 с частотой движения 20 вагонов в час
в каждом направлении, при значительном пассажирском потоке и продлении
трамвайной линии до конечной станции "ЛЭМЗ" планируется организация
нового маршрута с частотой движения 10 вагонов/час в каждом направлении. Итого
30 вагонов в час.
Схема действующих маршрутов городского общественного транспорта
представлена на рисунке 1.
Рисунок
1 - Схема движения маршрутов городского транспорта
Планируемый к эксплуатации подвижной состав и его
характеристики
На новых маршрутах трамвая и троллейбуса в
Красносельском районе Санкт-Петербурга планируется к эксплуатации следующий
подвижной состав: троллейбус модели ВМЗ-5298-01, представленный на рисунке 2 и
трамвайный вагон модели 71-147 (ЛВС-97), показанный на рисунке 3.
Рисунок
2 -Троллейбус модели ВМЗ-5298-01
Завод-изготовитель - Вологодский механический завод,
ОАО "Транс-Альфа ЭЛЕКТРО", г. Вологда
Полная вместимость - 105 чел.
Количество пассажирских мест для сидения - 26 шт.
Габаритные размеры (с опущенными токоприёмниками):
Длина - 12650 мм
Ширина - 2470 мм
Высота - 3370 мм
База - 5900 мм
Масса снаряженного троллейбуса - 10980 кг
Полная масса - 18120 кг
Высота подножек от уровня дороги - не более 360 мм
Площадь низкого пола - 100 %
Система управления тяговым электроприводом -
транзисторная.
Тяговый электродвигатель - асинхронный, мощностью 180
кВт
Расход электроэнергии на тягу - не более 80 Вт час / т
км
Максимальная установившаяся скорость движения
троллейбуса с полной массой и номинальном напряжении контактной сети - 60
км/час
Конструкционная скорость - 70 км/час
Время разгона с 75 % загруженностью с места до
скорости 40 км/час - неболее 14 с
Рисунок
3 - Трамвайный вагон модели 71-147 (ЛВС-97)
Завод-изготовитель - ОАО "Петербургский трамвайно-механический
завод"
Длина - 22 500 (мм);
Ширина - 2550(мм);
Высота - 3156 (мм);
База тележки- 1940 (мм);
База вагона - 2×7500 (мм);
Диаметр колеса - 710 (мм);
Напряжение контактной сети - 550 (В);
Масса - 29 500 (кг);
Наполняемость максимальная - 257 (человек);
Система управления - реостатно-контакторная;
Тип двигателя - ДК-259Г, 4 x 50 кВт;
Вид тормоза - электродинамический, пневмомеханический, рельсовый;
Тип токоприемника - пантограф.
Потребляемый расчетный ток единицы подвижного состава:
- для трамвая типа ЛВС, ЛВС-97 Iтм = 183 А;
- для троллейбуса типа ВМЗ-5298-01Iтб = 133 А.
Эксплуатационная скорость движения:
- для трамваяVтм = 30 км/ч;
- для троллейбуса Vтб = 30 км/ч.
Допустимая потеря напряжения в сети в соответствии со
СНиП 2.05.09-90 и ПТЭ трамвая и троллейбуса:
- ΔU = 90 В - в нормальном режиме;
- ΔU = 150 - 170 В - в аварийном (вынужденном) режиме.
Провод рабочий медный марки МФ-85 мм 2
Исходные данные для проектирования тяговой подстанции:
Тяговая подстанция по надежности обеспечения электроэнергией относится ко
II категории.
Внешнее электроснабжение проектируемой тяговой подстанции №90 планируется
осуществить от разных секций шин блочной комплектной распределительной
подстанции (БКРТП 2) кабельными линиями 10 кВ. Прокладка кабелей 10 кВ до
проектируемой тяговой подстанции №90 предусмотрена к ячейкам №1, №10.
Трасса кабелей 10 кВ проходит от проектируемой ТП №90 в тротуаре
продолжения Ленинского проспекта с пересечением проезжей части у проспекта
Героев, в тротуаре проспекта Героев и по внутриквартальной территории до
БКРТП-2 к ячейкам №15, 16.
В местах пересечения проезжей части и подземных коммуникаций кабели 10 кВ
прокладываются в полиэтиленовых трубах ПЭ-80.
Здание ТП №90 проектными решениями предусмотрено двухэтажное, квадратное
в плане с размерами 14,4×13,3 м в осях. Высота этажей составляет:
1-го - 3,350 м, 2-го -3,6 м. Высота здания от земли до верха парапета - 8,65 м,
от земли до верха фронтона - 9,15 м.
Здание тяговой подстанции включает в себя следующие помещения:
а) на первом этаже:
) электропомещение №1 категории В 4;
2) электропомещение №3 категории В 4;
) санитарный узелкатегории В 4,
) водомерный узелкатегории В 4,
) кладовая уборочного инвентаря категорииВ 4,
) коридор, тамбур, лестница №1 и лестница №2. Категории помещений
приняты в соответствии со сводом правилСП 12.13130.2009.
б) на втором этаже:
) электропомещение №2 категории В 3;
2) помещение дежурного категории В 4;
) подсобное помещение категории В 4;
) коридор, лестница №1 и лестница №2.
1.2 Задачи
проектирования
В дипломном проекте необходимо определить месторасположение тяговой
подстанции №90 и разработать компоновку силового оборудования тяговой
подстанции.
Для решения поставленных задач в дипломном проекте необходимо рассмотреть
следующие вопросы:
- выбрать месторасположение тяговой подстанции №90;
- разработать схемы питания и секционирования контактной сети трамвая и
троллейбуса;
- выполнить расчет тяговой сети для двух вариантов питания и
секционирования;
- выполнить расчет тяговой сети в аварийных режимах для двух вариантов
питания и секционирования;
- рассчитать мощность и определить агрегатность тяговой подстанции;
- выбрать число, тип и мощность тяговых агрегатов;
- выбрать оборудование РУ 10 кВ;
- выбрать оборудованиеРУ постоянного тока;
- выполнить расчет электрических нагрузок;
- выбрать трансформатор собственных нужд;
- указать основные проектные решения;
- выполнить технико-экономическую оценку предполагаемых проектных решений;
- разработать мероприятия по технике безопасности и охране труда.
Цель решения перечисленных выше задач - выяснение работоспособности
системы электроснабжения как в нормальных, так и вынужденных режимах.
2. Выбор
основного оборудования тяговой подстанции и его компоновка
.1 Расчет
мощности и определение агрегатности тяговой подстанции
Расчет производится в соответствии:
со схемой организации трамвайного и троллейбусного движения;
- тяговыми характеристиками подвижного состава;
частотой движения подвижного состава.
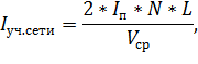
Расчётная мощность, кВт:
(1)
где
I - суммарная токовая нагрузка по участкам сети, А; U -
средний уровень напряжения на контактной сети трамвая и троллейбуса, 
Рабочая
мощность подстанции на стороне постоянного тока, кВт:
(2)
где Pрасч. - расчётная мощность, кВт; Кзм -
коэффициент зимнего максимума, равный 1,3; Кз - коэффициент
загрузки, равный 0,8.
Токовая нагрузка на участке тяговой сети, А:
(3)
где 2 - коэффициент, учитывающий движение в оба направления; Iп - токовая нагрузка подвижного состава на 1 т*км*бр.; N - частота движения на участке,
машин/час; L - протяженность контактной сети, км;
Vср - средняя скорость движения, км/ч.
От новой тяговой подстанции предполагается запитать:
- контактную сеть трамвая по улице Маршала Казакова от проспекта
Кузнецова до проспекта Патриотов и по проспекту Патриотов до улицы Адмирала
Трибуца. Общая протяженность трамвайной сети по оси улиц - 3,5 км;
- контактную сеть троллейбуса по Ленинскому проспекту от улицы
Доблести до возвратного кольца на Балтийском бульваре и по проспекту Героев от
Ленинского проспекта до Дудергофского канала. Общая протяженность по оси улиц -
2,8 км.
Токовая нагрузка на участке контактной сети троллейбуса, по формуле (3):
Суммарная токовая нагрузка на контактной сети троллейбуса, А:
Токовая нагрузка на участке контактной сети трамвая, по формуле (3):
Суммарная токовая нагрузка на контактной сети трамвая, А:


Общая токовая нагрузка на участках контактной сети:


Расчётная
мощность по формуле (1):

Рабочая
мощность тяговой подстанции на стороне постоянного тока по формуле (2):
Мощность
тяговой подстанции на стороне переменного тока 10 кВ:
.2 Выбор
числа, типа и мощности тяговых агрегатов
Определение агрегатности производится отношением мощности тяговой
подстанции к мощности выпрямительного агрегата. Необходимое число выпрямителей
определяется по формуле:
(4)
где Pтп - мощность тяговой подстанции на
стороне постоянного тока, кВт; PВА - мощность выпрямительного агрегата,
кВт.
На проектируемой подстанции предполагается установка выпрямительного
агрегата В-МПЕ-Д-2,0к-600 УХЛ 4 (см. рисунок 4) производства ООО
"НИИЭФА-ЭНЕРГО" мощностью 1200 кВт.
Рисунок
4 - Ячейка выпрямительного агрегата В-МПЕ-Д-2,0к-600 УХЛ4
Параметры выпрямительного агрегата В-МПЕ-Д-2,0к-600 УХЛ4 представлены в
таблице 1.
Таблица
1 - Параметры выпрямительного агрегата
|
Тип выпрямительного
агрегата
|
В-МПЕ-Д-2,0к-600 УХЛ 4
|
|
Номинальный выпрямленный
ток, А
|
2000
|
|
Номинальное выпрямленное
напряжение, В
|
600
|
|
Схема выпрямления
|
12 пульсная
|
|
Число вентилей в плече,
соединенных последовательно
|
2
|
|
Число вентилей в плече,
соединенных параллельно
|
2
|
|
Общее количество вентилей
|
48
|
Вывод: для электроснабжения контактной сети трамвая и троллейбуса
по вышеуказанным магистралям необходимо построить трехагрегатную подстанцию
(два агрегата в работе, один в резерве) с разрешенной мощностью 2150 кВт.
.3 Выбор
трансформатора собственных нужд
Под собственными нуждами электроустановок понимают все вспомогательные
устройства, необходимые для эксплуатации их основных агрегатов в нормальном и
аварийном режимах.
Устройства собственных нужд тяговой подстанции предназначены для
обеспечения нормальной работы силового оборудования подстанций, а также для
обеспечения условий, необходимых для ликвидации повреждений и аварий.
Устройства собственных нужд состоят из источников питания и потребителей.
Основными элементами системы собственных нужд переменного тока являются
трансформатор собственных нужд, городской ввод низкого напряжения и сборные
шины собственных нужд. Для питания шин собственных нужд применяют силовой
трансформатор, который присоединяется к шинам РУ 10 кВ через разъединитель и
кварцевые предохранители.
Трансформатор собственных нужд на тяговых подстанциях городского
электрического транспорта выбирается исходя из полной расчетной мощности всех
потребителей.
Оборудованиена проектируемой тяговой подстанции №90, которое будет
получать питание от шин собственных нужд, приведено в таблице 2:
Таблица
2 - Потребители собственных нужд
|
Наименование
электроприемников
|
Количество
электроприемников n, шт.
|
Номинальная мощность одного
электроприемника, кВт
|
Коэффициент использования,
Ки
|
Коэффициент
активной/реактивной мощности cosφ/tgφ
|
|
Вентиляторы
|
4
|
0,4
|
1
|
065/1,77
|
|
Электроконвекторы
|
18
|
1,2
|
0,9
|
1/0
|
|
Водонагреватель
|
1
|
2
|
0,6
|
1/0
|
|
Автоматика и телемеханика
|
1
|
2
|
0,6
|
0,92/0,43
|
|
Пожарная сигнализация
|
1
|
0,15
|
1
|
0,92/0,43
|
|
Цепи учета
|
2
|
0,5
|
1
|
0,90/0,48
|
|
Сварочный аппарат
|
1
|
5
|
0,5
|
0,65/1,17
|
|
Щиток рабочего освещения
|
1
|
4,1
|
1
|
0,92/0,43
|
|
Щиток аварийного освещения
|
1
|
1,8
|
1
|
0,92/0,43
|
|
Розеточная сеть
|
2
|
2,2
|
0,4
|
1/0
|
|
Наружное освещение
|
1
|
1,44
|
0,72
|
0,87/0,57
|
|
Светофорный пост
|
1
|
0,8
|
0,72
|
0,87/0,57
|
Для определения мощности собственных нужд выполняют расчет электрических
нагрузок в соответствии с РТМ 36.18.32.4-92 "Указания по расчету
электрических нагрузок".
Общая номинальная (установленная) мощность, кВт:
(5)
где n - количество электроприемников, шт.;
pн - номинальная мощность одного электроприемника, кВт.
Расчетная мощность группы электроприемников, кВт:
(6)
где Ки - коэффициент использования; Pн - общая номинальная мощность группы электроприемников, кВт.
Эффективное число электроприемников:
(7)
Активная расчетная мощность, кВт:
(8)
где Kp - коэффициент расчетной нагрузки.
Расчетная реактивная мощность, квар:
- при


, (9)
- при


, (10)
Полная расчетная мощность, кВА:

, (11)
где Pp- расчетная активная мощность, кВт; Qp-расчетная реактивная мощность, квар.
Расчетный ток, А:

, (12)
В таблице 3 представлен расчет электрических нагрузок по форме Ф 636-92.
По результатам расчета мощности нагрузок собственных нужд выбрано два
трансформатора на 40 кВА ТСЗ-40/10 производства ЗАО "Электрофизика"
г. Санкт-Петербург.
Таблица
3 - Расчет электрических нагрузок
2.4 Состав
электрооборудования КРУ 10 кВ
Строительство и оборудование тяговой подстанции предусматривается на
камерах КСО 298 завода "Союз-Электро" СПб с вакуумными выключателями BB/TEL-10-20/1000, с устройством АВР на стороне 10 кВ.
Обслуживание камер одностороннее.
Тяговая подстанция получает питание по сети 10 кВ от городской распределительной
подстанции БКРТП 2 по двум кабельным линиям.
В КРУ-10 кВ на камерах КСО 298 предусматривается установка следующего
оборудования:
а) камеры ввода (2 штуки) со встроенным оборудованием:
) разъединитель РВФЗ - 10/630-II с приводом ПР-10;
2) выключатель высоковольтный ВВ/TEL-10-20/1000;
) трансформатор тока с тремя вторичными обмотками ТОЛ-10-I-1 400/5/5/5, класс точности обмоток
0,5S/0,5S/10Р;
) трансформатор тока ТЗЛЭ-200;
) ОПН РТ/TEL-10/11,5.
б) камера секционного выключателя (1 штука) со встроенным
оборудованием:
) разъединитель РВФЗ - 10/630-II с приводом ПР-10;
2) выключатель высоковольтный ВВ/TEL-10-20/1000;
) трансформатор тока с двумя вторичными обмотками ТОЛ-10-I-1 200/5/5, класс точности обмоток
0,5S/10Р;
) трансформатор тока ТЗЛЭ-200;
) ОПН РТ/TEL-10/11,5.
в) камера секционного разъединителя (1 штука) со встроенным
оборудованием:
) разъединитель РВЗ - 10/630-II с приводом ПР-10.
г) камеры трансформатора напряжения (2 штуки) со встроенным
оборудованием:
2) предохранитель ПКН-001-10;
) трансформатор напряжения НАМИТ-10000/100V3/100/3.
д) камеры преобразовательного агрегата (3 штуки) со встроенным
оборудованием:
) разъединитель РВФЗ - 10/630-II с приводом ПР-10;
2) выключатель высоковольтный ВВ/TEL-10-20/1000;
) трансформатор тока с двумя вторичными обмотками ТОЛ-10-I-1 200/5/5, класс точности обмоток
0,5S/10Р;
) трансформатор тока ТЗЛЭ-200;
) ОПН РТ/TEL-10/11,5.
е) трансформатор ТРСЗП-1250/10-УХЛ 3 силовой сухой трехфазный
трехобмоточный с расщепленными обмотками для питания полупроводниковых
двенадцатипульсовых преобразователей, напряжением 10500±2×2,5%/448В. Схема и группа соединения обмоток Y/∆/Y-0-11. Трансформатор производства ЗАО "Электрофизика"
г. Санкт-Петербург.
ж) выпрямитель В-МПЕ-Д-2к-600-УХЛ 4 на номинальный ток 2000 А,
номинальное выпрямленное напряжение 600 В, схема соединения -
двенадцатипульсовая с естественным охлаждением.
з) камеры трансформатора собственных нужд (2 штуки) со встроенным
оборудованием:
1) разъединитель РВФЗ - 10/630-II с приводом ПР-10;
2) предохранитель ПКТ 101-10-10-31,5 У 3;
) трансформатор собственных нужд ТС-40/10-УХЛ 3 силовой сухой
трехфазный, завод изготовитель - ЗАО "Электрофизика" г.
Санкт-Петербург.
.5 Состав
электрооборудования КРУ 600В постоянного тока
Распределительное устройство +600 В постоянного тока принято с двойной
системой плюсовых шин (основная и запасная). Комплектное распределительное
устройство +600 В включает в себя: три выкатных ячейки катодных выключателей
(камеры 1, 6, 11), восемь выкатных ячеек линейных автоматов (камеры 7, 8, 9,
10, 2, 3, 4, 5),выкатную ячейку запасного автомата (камера 12) (см. чертеж 4
"Принципиальная однолинейная схема"). Во всех ячейках КРУ +600В
применяется выключатель ВАБ-209. На рисунке 5 изображена ячейка фидера
КВ-600-Ф-УХЛ 4.
Рисунок
5 - Ячейка фидера КВ-600-Ф-УХЛ 4
Ячейка катодного выключателя типа КВ-600-КВ-УХЛ 4 предназначена для
обеспечения подключения выпрямительного агрегата к главной шине + 600В.
Ячейка линейного выключателя типа КВ-600-ЛВ-УХЛ 4 предназначена для
обеспечения присоединения и коммутации под током и без тока положительных
питающих кабелей к шине +600 В.
Ячейка запасного выключателя типа КВ-600-ЗВ-УХЛ 4 предназначена для
резервирования и коммутации любой из положительных питающих линий. Так же эта
ячейка используется для подключения запасной шины к главной шине + 600В.
Распределительное устройство -600 В (РУОШ) состоит из 6 ячеек
обслуживания минусовых фидеров, подключенных к отрицательной шине, связанной
перемычкой с минусовыми выводами выпрямителей.
Ячейка отрицательной шины предназначена для обеспечения присоединения к
коммутации без тока отрицательных питающих кабелей к отрицательной (минусовой)
шине -600 В тяговых подстанций трамвая.
Ячейка заземляющего разъединителя типа РУОШ-600-ЗР-УХЛ 4 предназначена
для заземления отрицательной -600 В шины тяговых подстанций троллейбуса с целью
обеспечения безопасности проведения ремонтных работ на контактной сети.
Вышеуказанное оборудование в составе: КРУ +600В, КРУ -600В, тяговые
трансформаторы ТРСЗП-1250/10-УХЛ 3, выпрямительные агрегаты В-МПЕ-Д-2к-600-УХЛ
4, вспомогательное оборудование, изготавливается и поставляется комплектно
фирмой ООО "НИИЭФА-ЭНЕРГО" г. Санкт-Петербург.
.6
Компоновка силового оборудования
Распределительное устройство 10 кВ состоит из двух секций шин и 11
функциональных блоков:
- ячейка №1,10 - основной ввод;
- ячейка №2,9 - трансформатор собственных нужд типа ТС-40/10;
- ячейка №3,8 - трансформатор напряжения типа НАМИТ 10000/100/3;
- ячейка №4,7,11 - преобразовательно-выпрямительный агрегат;
- ячейка №5 - секционный выключатель;
- ячейка №6 - секционный разъединитель.
Каждая ячейка РУ представляет собой металлический шкаф
одностороннего обслуживания, в котором смонтированы быстродействующий
выключатель, разъединители, система шин. Рукоятка ручного привода
разъединителей расположена на лицевой левой панели. Аппаратура управления,
защиты и сигнализации размещена на лицевых панелях ячеек. Габаритные и
установочные размеры всех ячеек одинаковы, кроме ячейки катодного
переключателя, имеющей меньший размер. Для обслуживания аппаратуры, находящейся
внутри шкафа, предусмотрены двери.
Все ячейки РУ-10 кВ расположены на втором этаже здания
тяговой подстанции №90 вдоль стенки в электропомещении № 2. Там же, в
электропомещении №2, установлены выпрямительные устройства В-МПЕ-Д-2,0-600 УХЛ
4.
Установка кремниевых выпрямителей должна обеспечивать
удобства обслуживания: необходимый уровень вентиляции помещения с удалением
избыточного тепла, максимальное приближение к трансформаторной камере для
сокращения длины анодных проводов и удобства их прокладки.
С целью сокращения анодных проводов выпрямители
желательно ставить у стены трансформаторной камеры, обеспечив свободный доступ
к шкафу выпрямителя с обеих сторон. Трансформатор с выпрямителем соединяют
анодными проводами, которые прокладывают по стене и крепят специальными
зажимами из дерева (клипами).
Присоединение проводов может быть сверху и снизу
шкафа. Оба способа присоединения равноценны и определяются конструкцией
подстанции и компоновкой оборудования. Катодные кабели тоже можно подводить в
верхнюю или нижнюю части шкафа выпрямителя.
Однако при верхнем присоединении катодного кабеля
необходимо помнить, что измерительный шунт расположен внизу и в этом случае
потребуется его перенос в катодную ячейку.
В тяговой подстанции №90 установка выпрямителей
предусмотрена в электропомещении №2 на втором этаже, а установка
преобразовательных трансформаторов на первом этаже в электропомещении № 1.
Распределительное устройство выпрямленного тока состоит из сборных
положительной, отрицательной и запасной шин, выключателей и разъединителей с
приводами, измерительных приборов, устройств зашиты управления и сигнализации.
Так же, как и для РУ 10 кВ, аппараты каждой линии монтируются в самостоятельных
ячейках.
Функциональные блоки КРУ +600В (12 ячеек) расположены
на втором этаже тяговой подстанции в электропомещении №2.
В конструктивном отношении РУ выпрямленного тока могут быть однорядными
(прислонного типа) и двухрядными (отдельно стоящими), с расположением на одном
этаже и в двух ярусах, сборными, комплектными.
Распределительные устройства 600 В комплектуют из ячеек различного
назначения: для многоагрегатных подстанций из ячеек с катодным выключателем, с
запасным и секционным выключателями и с линейными выключателями.
Функциональные блоки РУОШ установлены в электропомещении №1 на первом
этаже. В электропомещении №1 размещаются панели замены полярности типа
СП-600-УХЛ 4, к которым подключаются кабели питающих линий 600 В.
Благодаря применению ячеек выкатного типа серии КВ-600 и шкафов РУОШ
удалось существенно уменьшить их габариты. Так как силовое оборудование ячеек
размещается на выкатном элементе, повышается надежность и удобство эксплуатации
при обслуживании и замене основных устройств.
Ячейки фидера, запасного выключателя и катодного выключателя оснащаются
малогабаритными быстродействующими выключателями ВАБ-209 (с магнитным
удержанием).
На втором этаже тяговой подстанции размещаются ячейки собственных нужд с
трансформаторами ТС-40/10-УХЛ 3.
3. Выбор
месторасположения тяговой подстанции
.1 Метод
определения центра электрических нагрузок
Для того чтобы решить задачу выбора месторасположения- тяговой
подстанции, необходимо иметь следующие данные:
- точный план города, с тем чтобы можно было устанавливать возможные места
расположения тяговой подстанции и возможные схемы прокладки высоковольтных и
низковольтных кабелей;
- расположение первичных источников питания; схему путей городского
электрического транспорта, месторасположения депо городского электрического
транспорта; тип подвижного состава;
- график движения (число пар поездов в час) в часы интенсивного движения.
На генеральный план наносят оси координат, сетку с шагом 10 мм. Так как
проектируемые трамвайная и троллейбусная линии имеют большую протяженность и
являются разветвленными, их делят на участки. На каждом участке находят центр
тяжести нагрузок и его координаты. Величина нагрузки на участке в
соответствующем масштабе показана в виде окружности (см. чертеж 1 "Выбор месторасположения
тяговой подстанции").
Ток на участке контактной сети, А:
(13)
где Iм - ток машины, А; l - длина участка проектируемой контактной сети, км; N-рабочая частота движения подвижного
состава, машин/час; Vср - средняя скорость на проектируемом
участке, км/ч.
Затем, путем умножения тока участка на соответствующую координату,
находят нагрузку на участке.
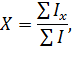
Ток на участке в зависимости от координаты нагрузки по оси абсцисс, А:
(14)
где In - ток на участке контактной сети,
вычисленный выше по формуле (13), А; Xуч.-координата
участка проектируемой линии по оси абсцисс, км.
Ток на участке в зависимости от координаты нагрузки по оси ординат, А:
(15)
где In - ток на участке контактной сети,
вычисленный выше по формуле (13), А; Yуч.-координата
участка проектируемой линии по оси, км.
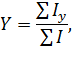
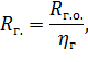
Центр тяжести электрических нагрузок определяются по методу определения
центра тяжести плоских фигур.
Координата Y
месторасположения тяговой подстанции в центре электрических нагрузок находится
по следующей формуле:
(16)
где

- сумма
токов на участках в зависимости от координаты нагрузок по оси ординат, А×км; 
- сумма
токов на участках контактной сети трамвая и троллейбуса, А.
Координата
X месторасположения тяговой подстанции в центре
электрических нагрузок:
(17)
где

- сумма
токов на участках в зависимости от координаты нагрузок по оси абсцисс, А×км; 
- сумма
токов на участках контактной сети трамвая и троллейбуса, А.
В
центре тяжести нагрузок или близко к нему, как позволяет план города, следует
располагать тяговую подстанцию. После того как установлено месторасположение
подстанции, ведется трассировка прокладки высоковольтных питающих линий
(кабелей) высокого напряжения от источников питания и проводится
секционирование контактной сети.
.2
Определение координат месторасположения тяговой подстанции
Месторасположение тяговой подстанции для городского электрического
транспорта выбирают в центре электрических нагрузок.
Проектируемые троллейбусные и трамвайные линии разбивают на участки (см.
чертеж 1 "Выбор месторасположения тяговой подстанции №90). Количество
участков и их длины приведены в таблице 4.
Таблица
4 - Участки троллейбусной и трамвайной линий
|
Количество участков
|
1
|
2
|
3
|
4
|
5
|
6
|
7
|
8
|
|
Длина участка, км
|
0,96
|
0,88
|
0,92
|
1,30
|
0,66
|
0,45
|
0,60
|
0,50
|
Ток на участке контактной сети определен по формуле (13).
- для участка 1:
- для участка 2:
- для участка 3:
- для участка 4:
- для участка 5:
- для участка 6:
- для участка 7:
- для участка 8:
Затем, путем умножения тока участка на соответствующую координату,
находят нагрузку на участке.
Ток на участке в зависимости от координаты нагрузки по оси абсцисс
определен по формуле (14).
- на участке 1:

- на участке 2:

- на участке 3:

- на участке 4:

- на участке 5:

- на участке 6:

- на участке 7:

- на участке 8:

Ток
на участке в зависимости от координаты нагрузки по оси ординат по формуле (14).
- на участке 1:

- на участке 2:

- на участке 3:

- на участке 4:

- на участке 5

- на участке 6:

- на участке 7:

- на участке 8:

Результаты
расчета сведены в таблицу 5.
Таблица
5 - результаты расчетов координат нагрузок на линии
|
№ участка
|
Ток, А
|
Координата Y,
км
|
Координата X,
км
|
Нагрузка Ix, А×км
|
Нагрузка Iy, А×км
|
|
1
|
148,96
|
0,40
|
0,84
|
59,58
|
125,13
|
|
2
|
136,55
|
1,32
|
0,86
|
180,25
|
117,43
|
|
3
|
142,75
|
0,86
|
0,38
|
122,77
|
54,25
|
|
4
|
237,9
|
1,76
|
1,32
|
418,7
|
314,03
|
|
5
|
102,41
|
0,78
|
1,33
|
79,88
|
136,21
|
|
6
|
69,83
|
0,42
|
1,11
|
29,33
|
77,51
|
|
7
|
93,10
|
0,38
|
0,57
|
35,38
|
53,07
|
|
8
|
77,58
|
0,20
|
0,19
|
15,52
|
14,74
|
|
ИТОГО:
|
1009,08
|
|
|
941,41
|
892,37
|
Координата Y
месторасположения тяговой подстанции в центре электрических нагрузок определена
по формуле (16):
Координата X
месторасположения тяговой подстанции в центре электрических нагрузок по формуле
(17):
По результатам расчета выбрано месторасположение тяговой подстанции на
пересечении Ленинского проспекта и проспекта Героев. Схема месторасположения
тяговой подстанции представлена на рисунке 6.
Рисунок
6 - Схема месторасположения тяговой подстанции
4. Расчет
тяговой сети
.1 Методы
расчетов тяговой сети
Существующие расчетные методы подразделяют на две группы:
- расчеты, основанные на конкретном графике движения (метод сечения графика
движения поездов);
- расчеты, основанные на заданных размерах движения (метод равномерно
распределенной нагрузки и обобщенный аналитический).
Для трамвая и троллейбуса из-за уличных помех
наблюдаются значительные отклонения реального графика движения от
запланированного расчетного. Поэтому нецелесообразно применять для расчета
электроснабжения методы первой группы.
Следует отметить, что для проектных расчетов методы,
основанные на конкретном графике движения, применять нецелесообразно, так как
определенный график на перспективу не может быть предугадан, т. е. область
применения этих методов - поверочные расчеты.
Метод равномерно распределенной нагрузки основывается
на замене действительных перемещающихся и изменяющихся поездных нагрузок на
эквивалентные по потреблению энергии нагрузки, неизменные во времени и
равномерно распределенные вдоль контактной сети.
Чем больше трамваев и троллейбусов на участке, чем
равномернее движение их по участку и потребление тока каждым из них, тем ближе
результаты расчетов к действительности. И, наоборот, погрешность метода будет
значительной при малом числе машин на линии и неравномерном потреблении тока
каждым из них.
Так как интенсивность движения на отдельных участках
сети может быть различной, то для приближения расчетов к действительности сеть
делят на расчетные участки, каждый из которых характеризуется своей в среднем
неизменной интенсивностью нагрузок, которая определяется числом
электроподвижного состава на единицу длины сети, скоростью и характеристиками
электроподвижного состава.
К достоинствам метода следует отнести простоту
расчетных формул, небольшую трудоемкость вычислений и возможность расчетов
сетей практически любой степени сложности.
В аналитическом наиболее полно учитываются особенности
работы системы электроснабжения электроподвижного состава: изменение значений
тяговых нагрузок и непрерывное их перемещение по участку, а также изменение во
времени числа поездов, одновременно находящихся на участке. Точный учет
перечисленных факторов весьма сложен, поэтому в данном проекте применяется
метод равномерно распределенной нагрузки.
Электрические расчеты устройств электроснабжения
выполняют для максимальных заданных частот движения при наихудших условиях
движения и максимальном расчетном потреблении тока единицами подвижного
состава. Как правило, это соответствует зимнему сезону, когда полностью
включены отопительные приборы
.2
Исходные расчётные данные и условия для расчёта тяговой сети
Для расчета тяговой сети необходимы следующие исходные данные:
а) потребляемый расчетный ток единицы подвижного состава:
1) Iтб = 133 А
для троллейбусов типа ВМЗ - 5298-01;
2) Iтм = 183 А для
трамваев типа ЛВС-97;
б) эксплуатационная скорость: V = 30 км/ч;
в) допустимая потеря напряжения в сети согласно СНиП 2.05.09-90, ПТЭ
трамвая и троллейбуса:
1) ΔU = 90 В - в нормальном режиме,
2) ΔU = 150 - 170 В - в аварийном (вынужденном) режиме;
г) провод рабочий медный марки МФ-85 мм 2;
д) питающие кабели постоянного тока марки АПв 2ЭПгу - ТС -1×800-1 ТУ 3530-001-31037770-2009;
е) рабочая частота движения:
1) для участка - продолжение Ленинского пр. от пр. Героев до
Балтийского бульвара, Nтм = 30 машин/час;
2) для участка (по Ленинскому пр. от пр. Героев до ул. Доблести), Nтб
= 35 машин/час;
ж) Iк - ток
кабельной линии;
з) Iк.с. - ток
на участке контактной сети.
В вынужденном режиме временно отключается какой-либо
элемент системы электроснабжения: питающая линия, преобразовательный агрегат
или источник питания собственных нужд тяговой подстанции. В этом случае
нормальная работа будет обеспечиваться за счет заложенного в системе резерва.
В аварийном режиме работа системы электроснабжения при
расчетных размерах движения становится невозможной из-за нарушения технических
нормативов, в связи с чем движение на линии частично или полностью
прекращается.
.3
Секционирование контактной сети трамвая и троллейбуса
Схемы секционирования контактной сети и расположение пунктов
присоединения питающих линий определяют в соответствии с результатами
электрического расчета.
Схема питания должна обеспечивать минимальные потери электроэнергии в
сети и высокое качество электроэнергии, передаваемой к подвижному составу. Средние
потери напряжения от подстанции до токоприемника в любой точке сети в
нормальных условиях не должны превышать согласно СНиП 2.05.09-90, ПТЭ трамвая и
троллейбуса 15% от номинального напряжения сети, т.е. 90 В.
В вынужденных и разгрузочных режимах средние потери напряжения от
подстанции до наиболее удаленных точек участка должны быть не более 170 В.
Эффективная нагрузка контактного провода вблизи питающего пункта в
длительном режиме работы не должна превышать значений, приведенных в таблице 6.
Таблица
6- Допустимая токовая нагрузка на контактный провод
|
Марка провода
|
Допустимая токовая нагрузка
на один провод, А
|
|
новый
|
с предельно допустимым
износом
|
|
МФ-85
|
425
|
310
|
Для провода МФ, согласно ПТЭ трамвая и троллейбуса, в расчетном
вынужденном режиме допускается повышение плотности тока до 6,5 А/мм 2,
т.е. увеличение на 30%.
Схема питания должна быть гибкой, позволяющей:
- при выводе из строя любой питающей линии быстро переключить ее участок
контактной сети на питание от одной или нескольких соседних питающих линий;
- локализовать место повреждения контактной сети с целью скорейшего его
обнаружения и организации движения на смежных участках, а при имеющихся
возможностях и по обходным путям;
- снять напряжение с небольшого участка сети для ремонтных работ при
сохранении напряжения на остальной сети.
4.4 Расчет
тяговой сети для варианта секционирования №1
Схема секционирования для варианта №1 приведена на рисунке 7.
Рисунок
7 - Схема электроснабжения троллейбусной и трамвайной линий
Фидер №1 тяговой подстанции №90:
Протяжение кабельной линии - LК 1 = 2×647 м. Протяжение участка контактной сети
- LКС = 415 м.
Фидер №1 питает участок контактной сети троллейбусной линии от
разворотного кольца на Балтийском бульваре, по Балтийскому бульвару до
Ленинского проспекта.
Ток в контактной сети троллейбуса, А:
(18)
где 2 - коэффициент, учитывающий движение в оба направления; Iтб - токовая нагрузка троллейбуса на 1
т×км×брутто, А; LКС - длина участка контактной сети, км; Nтб - частота движения на участке, тб/ч;
Vтб - средняя скорость движения
троллейбуса на участке, км/ч.
Ток в контактной сети троллейбуса на участке 1 по формуле (18):
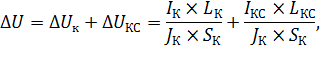
Потеря напряжения в сети, В:
(19)
где IК - ток кабельной линии, А; LК - длина кабельной линии, м; JК - допустимый длительный ток кабельной линии, А; Sк - сечение кабельной линии, мм 2; IКС - ток на участке контактной сети, А;
LКС - длина участка контактной сети, м; JКС - допустимая токовая нагрузка на
контактный провод, А; SКС - сечение контактного провода, с
учетом 10 % износа, мм 2.
Потеря напряжения на 1-м участке контактной сети по
формуле (19):
Фидер №2 от тяговой подстанции №90:
Протяжение кабельной линии - LК2 = 2×17 м. Протяжение участка контактной
сети - LКС = 646 + 781 = 1427 м.
Фидер №2 питает участок контактной сети троллейбусной
линии на Ленинском пр. от проспекта Патриотов до улицы Доблести.
Ток в контактной сети троллейбуса на участке 2, 3 по
формуле (18):
Потеря напряжения на 2-м и 3-м участке контактной сети
по формуле (19):
Фидер №3 тяговой подстанции №90:
Протяжение кабельной линии - LК3 = 2×99 м. Протяжение участка контактной
сети - LКС 4 = 863 м.
Фидер №3 питает участок контактной сети троллейбусной
линии от Ленинского проспекта, по проспекту Героев до Дудергофского канала.
Ток в контактной сети троллейбуса на участке 4 по
формуле (18):
Потеря напряжения на 4-м участке контактной сети по
формуле (19):
Фидер №4 тяговой подстанции №90:
Протяжение кабельной линии - LК4 = 2×821 м. Протяжение участка контактной сети
- LКС5 = 656 м.
Фидер №4 питает участок контактной сети троллейбусной
линии по Ленинскому проспекту, от улицы Доблести до проспекта Кузнецова.
Ток в контактной сети троллейбуса на участке 5 по
формуле (18):
Потеря напряжения на 5-м участке контактной сети по
формуле (19):
Фидер №5 тяговой подстанции №90:
Протяжение кабельной линии - LК 5 = 2×838 м. Протяжение участка контактной
сети - LКС 6 = 1030 м.
Фидер №5 питает участок контактной сети трамвайной
линии от проспекта Кузнецова до проспекта Героев по улице Маршала Казакова.
Ток в контактной сети трамвая на участке 6 по формуле
(18):
Потеря напряжения на 6-м участке контактной сети по формуле (19):
Фидер №6 тяговой подстанции №90:
Протяжение кабельной линии - LК6 = 2×422 м. Протяжение участка контактной
сети - LКС7 = 1032 м.
Фидер №6 питает участок контактной сети трамвайной
линии от улицы Доблести до проспекта Патриотов по улице Маршала Казакова.
Ток в контактной сети трамвая на участке 7 по формуле
(18):
Потеря напряжения на 7-м участке контактной сети по формуле (19):
Фидер №7 тяговой подстанции №90:
Протяжение кабельной линии - LК7 = 2×532 м. Протяжение участка контактной сети
- LКС8 = 953 м.
Фидер №7 питает участок контактной сети трамвайной
линии от улицы Маршала Казакова по проспекту Патриотов.
Ток в контактной сети трамвая на участке 8 по формуле
(18):
Потеря напряжения на 8-м участке контактной сети по
формуле (19):
4.5 Расчет
тяговой сети варианта №1 в аварийных режимах
При выводе из строя фидера №1 нагрузку принимает фидер
№2, который будет питать участок по Балтийскому бульвару от разворотного
кольца, по Ленинскому проспекту от Балтийского бульвара до улицы Доблести.
Схема электроснабжения троллейбусной и трамвайной линий, при выводе из строя
фидера №1 представлена на рисунке 8.
Рисунок
8 - Схема электроснабжения троллейбусной и трамвайной линий, при выводе из
строя фидера №1
Протяженность кабельной линии LК = 2×17 м. Протяженность участка контактной
сети - LКС = 415 м + 646 м + 781 м = 1842 м.
Ток в контактной сети на участке:

Потеря
напряжения на участке контактной сети по формуле (19):
При
выводе из строя фидера №2 нагрузку принимает фидер №1, который будет питать
участок по Балтийскому бульвару от разворотного кольца, по Ленинскому проспекту
от Балтийского бульвара до улицы Доблести. Схема электроснабжения троллейбусной
и трамвайной линий, при выводе из строя фидера №2 показана на рисунке 9.
Рисунок
9 - Схема электроснабжения троллейбусной и трамвайной линий, при выводе из
строя фидера №2
Протяженность кабельной линии LК = 2×647 м. Протяженность участка контактной
сети - LКС = 415 м + 646 м + 781 м = 1842 м.
Ток в контактной сети на участке:

Потеря
напряжения на участке контактной сети по формуле (19):
При
выводе из строя фидера №3 нагрузку принимает фидер №2, который будет питать участок
по Ленинскому проспекту от улицы Доблести до проспекта Патриотов. Схема
электроснабжения троллейбусной и трамвайной линий, при выводе из строя фидера
№3 показана на рисунке 10.
Рисунок
10 - Схема электроснабжения троллейбусной и трамвайной линий, при выводе из
строя фидера №3
Протяженность кабельной линии LК = 2×17 м. Протяженность участка контактной
сети - LКС = 646 м + 863 м + 781 м = 2290 м.
Ток в контактной сети на участке:

Потеря
напряжения на участке контактной сети по формуле (19):
При
выводе из строя фидера №4 нагрузку принимает фидер №2, который будет питать
участок по Ленинскому проспекту от Балтийского бульвара до проспекта Кузнецова.
Схема электроснабжения троллейбусной и трамвайной линий, при выводе из строя
фидера №4 показана на рисунке 11.
Рисунок
11 - Схема электроснабжения троллейбусной и трамвайной линий, при выводе из
строя фидера №4
Протяженность кабельной линии LК = 2×17 м. Протяженность участка контактной
сети - LКС = 646 м + 781 м + 656 м = 2083 м.
Ток в контактной сети на участке:

Потеря
напряжения на участке контактной сети по формуле (19):
При
выводе из строя фидера №5 нагрузку принимает фидер №6, который будет питать
участок по улице Маршала Казакова от проспекта Патриотов до улицы Доблести.
Схема электроснабжения троллейбусной и трамвайной линий, при выводе из строя
фидера №5представлена на рисунке 12.

Протяженность
кабельной линии LК = 2×422
м. Протяженность участка контактной сети - LКС = 1030 м + 1032 м =
2062 м.
Ток
в контактной сети на участке:

Потеря
напряжения на участке контактной сети по формуле (19):
При
выводе из строя фидера №6 нагрузку принимает фидер №7, который будет питать
участок по проспекту Патриотов до улицы Маршала Казакова. По улице Маршала
Казакова до проспекта Героев. Схема электроснабжения троллейбусной и трамвайной
линий, при выводе из строя фидера №6 представлена на рисунке 13.
Рисунок
13 - Схема электроснабжения троллейбусной и трамвайной линий, при выводе из
строя фидера №6
Протяженность
кабельной линии LК = 2×532
м. Протяженность участка контактной сети - LКС = 953 м + 1032 м =
1985 м.
Ток
в контактной сети на участке:

Потеря
напряжения на участке контактной сети по формуле (19):
При
выводе из строя фидера №7 нагрузку принимает фидер №6, который будет питать
участок по улице Маршала Казакова от проспекта Героев до проспекта Патриотов и
по проспекту Патриотов до улицы Маршала Захарова. Схема электроснабжения
троллейбусной и трамвайной линий, при выводе из строя фидера №7 показана на
рисунке 14.
Рисунок
14 - Схема электроснабжения троллейбусной и трамвайной линий, при выводе из
строя фидера №7
Протяженность
кабельной линии LК = 2×422
м. Протяженность участка контактной сети - LКС = 953 м + 1032 м =
1985 м.
Ток
в контактной сети на участке:

Потеря
напряжения на участке контактной сети по формуле (19):
Вывод:
потеря напряжения на участках контактной сети троллейбуса по выбранной схеме электроснабжения
от тяговой подстанции № 90 находится в пределах допустимых норм в соответствии
со СНиП 2.05.09-90 и ПТЭ трамвая и троллейбуса.
.6 Расчет
тяговой сети для варианта секционирования №2
Схема секционирования для варианта №2 приведена наРисунке 15.
Рисунок
15 - Схема электроснабжения троллейбусной и трамвайной линий
Фидер
№1 тяговой подстанции №90:
Протяжение
кабельной линии - LК1 = 2×579 м. Протяжение участка контактной сети - LКС1 = 478 м.
Фидер
№1 питает участок контактной сети троллейбусной линии от разворотного кольца на
Балтийском бульваре, по Балтийскому бульвару до Ленинского проспекта.
Ток
в контактной сети троллейбуса на участке 1 по формуле (18):
Потеря напряжения на 1-м участке контактной сети по
формуле (19):
Фидер №2 от тяговой подстанции №90:
Протяжение кабельной линии - LК2 = 2×17 м. Протяжение участка контактной сети
- LКС 2,3 = 583 + 781 = 1364 м.
Фидер №2 питает участок контактной сети троллейбусной
линии на Ленинском проспекте от проспекта Патриотов до улицы Доблести.
Ток в контактной сети троллейбуса на участке 2, 3 по
формуле (18):
Потеря напряжения на 2-м и 3-м участке контактной сети
по формуле (19):
Фидер №3 тяговой подстанции №90:
Протяжение кабельной линии - LК3 = 2×99 м. Протяжение участка контактной сети
- LКС4 = 863 м.
Фидер №3 питает участок контактной сети троллейбусной
линии от Ленинского проспекта, по проспекту Героев до Дудергофского канала.
Ток в контактной сети троллейбуса на участке 4 по
формуле (18):
Потеря напряжения на 4-м участке контактной сети по
формуле (19):
Фидер №4 тяговой подстанции №90:
Протяжение кабельной линии - LК4 = 2×821 м. Протяжение участка контактной сети
- LКС5 = 656 м.
Фидер №4 питает участок контактной сети троллейбусной
линии по Ленинскому проспекту, от улицы Доблести до проспекта Кузнецова.
Ток в контактной сети троллейбуса на участке 5 по
формуле (18):
Потеря напряжения на 5-м участке контактной сети по
формуле (19):
Фидер №5 тяговой подстанции №90:
Протяжение кабельной линии - LК5 = 2×1140 м. Протяжение участка контактной сети
- LКС6 = 708 м.
Фидер питает участок контактной сети трамвайной линии
от проспекта Кузнецова до улицы Доблести по улице Маршала Казакова.
Ток в контактной сети трамвая на участке 6 по формуле
(18):
Потеря напряжения на 6-м участке контактной сети по формуле (19):
Фидер №6 тяговой подстанции №90:
Протяжение кабельной линии - LК6 = 2×446 м. Протяжение участка контактной сети
- LКС 7 = 712 м.
Фидер питает участок контактной сети трамвайной линии
от улицы Доблести до проспекта Героев по улице Маршала Казакова.
Ток в контактной сети трамвая на участке 7 по формуле
(18):
Потеря напряжения на 7-м участке контактной сети по формуле (19):
Фидер №7 тяговой подстанции №90:
Протяжение кабельной линии - LК7 = 2×422 м. Протяжение участка контактной сети
- LКС8 = 641 м.
Фидер питает участок контактной сети трамвайной линии
от проспекта Героев до проспекта Патриотов по улице Маршала Казакова.
Ток в контактной сети трамвая на участке 8 по формуле
(18):
Потеря напряжения на 8-м участке контактной сети по
формуле (19):
Фидер №8 тяговой подстанции №90:
Протяжение кабельной линии - LК 8 = 2×532 м. Протяжение участка контактной сети
- LКС 9 = 953 м.
Фидер питает участок контактной сети трамвайной линии
от улицы Маршала Казакова по проспекту Патриотов.
Ток в контактной сети трамвая на участке 9 по формуле
(18):
Потеря напряжения на 8-м участке контактной сети по
формуле (19):
4.7 Расчет
тяговой сети варианта № 2 в аварийных режимах
При выводе из строя фидера №1 нагрузку принимает фидер
№2, который будет питать участок по Балтийскому бульвару от разворотного
кольца, по Ленинскому проспекту от Балтийского бульвара до улицы Доблести.
Схема электроснабжения троллейбусной и трамвайной линий, при выводе из строя
фидера №1 показана на рисунке 16.
Рисунок
16 - Схема электроснабжения троллейбусной и трамвайной линий, при выводе из
строя фидера №1
Протяженность кабельной линии LК = 2×17 м. Протяженность участка контактной
сети - LКС = 478 м + 583 м + 781 = 1842 м.
Ток в контактной сети на участке:

Потеря
напряжения на участке контактной сети по формуле (19):
При
выводе из строя фидера №2 нагрузку принимает фидер №1 (см. рисунок, который
будет питать участок по Балтийскому бульвару от разворотного кольца, по
Ленинскому проспекту от Балтийского бульвара до улицы Доблести. Схема
электроснабжения троллейбусной и трамвайной линий, при выводе из строя фидера
№2 показана на рисунке 17.
Рисунок
17 - Схема электроснабжения троллейбусной и трамвайной линий, при выводе из
строя фидера №2
Протяженность кабельной линии LК1
= 2×579 м.
Протяженность участка контактной сети - LКС = 478 м + 583 м + 781 м
= 1842 м.
Ток в контактной сети на участке:

Потеря
напряжения на участке контактной сети по формуле (19):
При
выводе из строя фидера №3 нагрузку принимает фидер №2, который будет питать
участок по Ленинскому проспекту от улицы Доблести до проспекта Патриотов. Схема
электроснабжения троллейбусной и трамвайной линий, при выводе из строя фидера
№3 показана на рисунке 18.
Рисунок
18 - Схема электроснабжения троллейбусной и трамвайной линий, при выводе из
строя фидера №3
Протяженность кабельной линии LК 2
= 2×17 м.
Протяженность участка контактной сети - LКС = 583 м + 863 м + 781 м
= 2227 м.
Ток в контактной сети на участке:

Потеря
напряжения на участке контактной сети по формуле (19):
При
выводе из строя фидера №4 нагрузку принимает фидер №2, который будет питать
участок по Ленинскому проспекту от проспекта Патриотов до проспекта Кузнецова.
Схема электроснабжения троллейбусной и трамвайной линий, при выводе из строя
фидера №4 показана на рисунке 19.
Рисунок
19 - Схема электроснабжения троллейбусной и трамвайной линий, при выводе из
строя фидера №4
Протяженность кабельной линии LК = 2×17 м. Протяженность участка контактной
сети - LКС = 583 м + 781 м + 656 м = 2020 м.
Ток в контактной сети на участке:

Потеря
напряжения на участке контактной сети по формуле (19):
При
выводе из строя фидера №5 нагрузку принимает фидер №6, который будет питать
участок по улице Маршала Казакова от проспекта Героев до проспекта Кузнецова.
Схема электроснабжения троллейбусной и трамвайной линий, при выводе из строя
фидера №5 показана на рисунке 20.
Рисунок
20 - Схема электроснабжения троллейбусной и трамвайной линий, при выводе из
строя фидера №5
Протяженность
кабельной линии LК 6 = 2×446 м.
Протяженность участка контактной сети - LКС = 712 м + 708 м = 1420
м.
Ток
в контактной сети на участке:

Потеря
напряжения на участке контактной сети по формуле (19):
При
выводе из строя фидера №6 нагрузку принимает фидер №7, который будет питать
участок по улице Маршала Казакова от улицы Доблести до проспекта Патриотов.
Схема электроснабжения троллейбусной и трамвайной линий, при выводе из строя
фидера №6 показана на рисунке 21.
Рисунок
21 - Схема электроснабжения троллейбусной и трамвайной линий, при выводе из
строя фидера №6
Протяженность
кабельной линии LК7 = 2×422 м.
Протяженность участка контактной сети - LКС = 641 м + 712 м = 1353
м.
Ток
в контактной сети на участке:

Потеря
напряжения на участке контактной сети по формуле (19):
При
выводе из строя фидера №7 нагрузку принимает фидер №6, который будет питать
участок по улице Маршала Казакова от проспекта Патриотов до улицы Доблести.
Схема электроснабжения троллейбусной и трамвайной линий, при выводе из строя
фидера №7 показана на рисунке 22.
Рисунок
22 - Схема электроснабжения троллейбусной и трамвайной линий, при выводе из
строя фидера №7
Протяженность
кабельной линии LК6 = 2×446 м.
Протяженность участка контактной сети - LКС = 641 м + 712 м = 1353
м.
Ток
в контактной сети на участке:

Потеря
напряжения на участке контактной сети по формуле (19):
При
выводе из строя фидера №8 нагрузку принимает фидер №7, который будет питать
участок по улице Маршала Казакова от проспекта Героев и от улицы Маршала
Казакова по проспекту Патриотов. Схема электроснабжения троллейбусной и
трамвайной линий, при выводе из строя фидера №8 показана на рисунке 23.
Рисунок
23 - Схема электроснабжения троллейбусной и трамвайной линий, при выводе из
строя фидера №8
Протяженность
кабельной линии LК 7 = 2×422 м.
Протяженность участка контактной сети - LКС = 641 м + 953 м = 1594
м.
Ток
в контактной сети на участке:

Потеря
напряжения на участке контактной сети по формуле (19):
5.
Основные проектные решения
В результате проектирования решены задачи, поставленные в первой главе.
Выбрано силовое оборудование тяговой подстанции №90. Принято решение выполнить
подстанцию в трехагрегатном исполнении с трансформаторами ТРСЗП-1250/10-УХЛ 3 и
выпрямителями В-МПЕ-Д-2к-600-УХЛ 4 производства ООО "НИИЭФА ЭНЕРГО".
Конструкция трехагрегатной подстанции позволяет при проектировании легко
менять количество агрегатов в зависимости от необходимой мощности путем
изменения длины здания.
Здание тяговой подстанции предусматривается двухэтажное, квадратное в
плане с размерами 14,4×13,3м в осях. Высота этажей составляет:
первого - 3,350 м, второго - 3,600 м. Высота здания от земли до верха парапета
- 8,65 м, от земли до верха фронтона - 9,15 м. Двухэтажное здание удобнее для
многоагрегатных подстанций, так как сокращает размеры подстанции в плане, что
очень важно при размещении ее в стесненных городских условиях. Кроме того,
сокращаются внутриподстанционные кабельные коммуникации, что позволяет также
выполнить трансформаторные камеры высокими для обеспечения возможности ремонта
трансформатора с выемкой сердечника внутри камеры. Недостатком двухэтажных
зданий является необходимость сооружения лестничной клетки.
Здание тяговой подстанции включает в себя следующие помещения:
в) на первом этаже:
) электропомещение №1 категории В 4;
2) электропомещение №3 категории В 4;
) санитарный узелкатегории В 4,
) водомерный узел категории В 4,
) кладовая уборочного инвентаря категорииВ 4,
) коридор, тамбур, лестница №1 и лестница №2. Категории помещений
приняты в соответствии со сводом правилСП 12.13130.2009.
- на втором этаже:
) электропомещение №2 категории В 3;
8) помещение дежурного категории В 4;
) подсобное помещение категории В 4;
) коридор, лестница №1 и лестница №2.
На первом этаже размещаются кабельные трассы, санузел, техническое
помещение, электропомещение №1,3.
В электропомещении № 1 тяговой подстанции размещаются силовые
трансформаторы (3 штуки), трансформаторы собственных нужд (2 штуки), РУ
отрицательной шины (6 камер), ячейки замены полярности (8 камер).
В электропомещение №3 приходят силовые кабельные линии напряжением 10 кВ.
Проектом предусматриваются крепления (полки, лотки), обеспечивающие свободные
продольные перемещения кабеля. Укладка кабеля должна быть свободной
"змейкой". В местах крепления кабеля по стенам предусматривается
провисание кабеля до 250 мм. Жесткое крепление к стенам кабелей и труб не
допускается.
Питание тяговой подстанции осуществляется с помощью двух кабельных линий
кабелем марки АПвПу 2г-10 3(1×240/70).
Питающий кабель принят марки АПв 2ЭПгу-ТС-1×800-1.
В электропомещение №2 устанавливают РУ - 10 кВ (11 ячеек), выпрямительные
агрегаты В-МПЕ-Д-2к-600-УХЛ 4 (3 штуки), комплектное распределительное устройство
постоянного тока +600В (12 ячеек).
На основании технико-экономического расчета выбран вариант № 2 схемы
питания и секционирования тяговой сети трамвая и троллейбуса, представленной на
чертеже 3 "Схема питания и секционирования (вариант 2)".
Определено месторасположение тяговой подстанции №90. Подстанцию
предложено расположить на пересечении Ленинского проспекта с проспектом Героев,
рядом с жилым комплексом "Ленинский парк" (расстояние до жилого дома
200 метров).
Питающие шкафы для трамвая и троллейбуса в проекте приняты выпускаемые
заводом-изготовителем ООО "Элси-Плюс". Внешний вид питающего шкафа
троллейбуса представлен на рисунке 24.
Рисунок
24 - питающий шкаф троллейбуса
6.
Технико-экономические расчеты
В результате проектирования определенно, что возможны две схемы питания и
секционирования троллейбусной и трамвайной линий. Схема питания и
секционирования №1 (см. рисунок 7), где показаны 7 питающих линий, 8 участков
проектируемой контактной сети трамвая и троллейбуса. Схема питания и
секционирования №2 (см. рисунок 15), где показаны 8 питающих линий, 9 участков
проектируемой контактной сети трамвая и троллейбуса.
Для оценки технико-экономической эффективности сравниваются два варианта
питания контактной сети описанные выше.
Технико-экономическое сравнение позволяет из технически равноценных
вариантов определить наиболее экономичный. Экономическим критерием, по которому
определен наиболее выгодный вариант, является минимум приведенных затрат.
(20)
где Ен - нормативный коэффициент сравнительной эффективности
капиталовложений; К - капитальные вложения, необходимые для сооружения схемы
электроснабжения контактной сети, тыс. р.; И - ежегодные эксплуатационные
расходы, тыс. р.
Нормативный коэффициент сравнительной эффективности капиталовложений
принят равным Ен = 0,3, в соответствии с Методическими указаниями по
определению экономической эффективности капитальных вложений и технических
решений в транспортном строительстве.
В расчете принято:
- работы по сооружению схемы питания контактной сети продолжаются в течение
одного года;
- ежегодные эксплуатационные расходы остаются неизменными в течение всего
рассматриваемого периода эксплуатации (1 год).
Капитальные вложения К, тыс.р., определены по формуле:
(21)
где

-
суммарные капитальные вложения на работы по прокладке кабельных линий, тыс.р.
Ежегодные
эксплуатационные расходы (издержки) И, тыс.р.:
(22)
где

-
ежегодные эксплуатационные издержки на кабельные линии, тыс. р.; 
-
стоимость годовых потерь электроэнергии в сети.
Ежегодные
эксплуатационные издержки на кабельные линии 
, тыс.
р., определены по формуле:
(23)
где ал% - нормы ежегодных отчислений на амортизацию и
обслуживание контактной сети, %.
Капитальные вложения на работы по сооружению схемы питания контактной
сети определены на основании укрупненных показателей стоимости электрических
сетей. Для расчета применен сборник "Укрупненные показатели стоимости
сооружения (реконструкции) подстанций 35-750кВ и линий электропередачи
напряжением 6, 10-750кВ" (СТО 56947007-29.240.014-2008, введен 18.04.2008
ОАО "ФСК ЕЭС")
Особенности определения стоимости работ учитывались согласно приложению №
2 к МДС 81-35.2004 "Методика определения стоимости строительной продукции
на территории Российской Федерации", утвержденной Постановлением Госстроя
РФ от 15.03.2004 г. № 15/1.
Укрупненные стоимостные показатели приведены в базисном уровне цен и не
включают НДС. В соответствии с постановлением Госстроя РФ от 08.04.2002 № 16
"О мерах по завершению перехода на новую сметно-нормативную базу
ценообразования в строительстве" за базисный уровень принят уровень цен,
сложившихся на 01.01.2000 г. Определение капитальных вложений на строительство
линии внешнего электроснабжения в текущем (прогнозном) уровне цен
осуществляется с применением индексов пересчета стоимости в текущий
(прогнозный) уровень цен. Индексы представляют собой отношение стоимости
продукции, работ или ресурсов в текущем уровне цен к стоимости в базисном
уровне цен. Согласно письму Министерства строительства и жилищно-коммунального
хозяйства РФ №4688-ХМ/05 от 19.02.2016г. индекс пересчета цен на I квартал 2016 г. составляет 5,33.
Базисные укрупненные стоимостные показатели учитывают стоимостные
показатели на 1 км воздушных и кабельных линий для нормальных условий
строительства в европейской части страны. Укрупненные стоимостные показатели
учитывают все затраты на сооружение КЛ по объектам производственного назначения
(базисные показатели стоимости).
Стоимостные показатели КЛ весьма зависимы от принятой трассы, характера и
числа пересекаемых инженерных коммуникаций, числа и конструкций переходных
пунктов и концевых устройств, сопутствующих затрат, а также способа прокладки
КЛ.
Приведенные в таблице 7 значения укрупненных стоимостных показателей КЛ
учитывают затраты на кабель, подготовку трассы, включая ее проектирование и
юридическое оформление, строительно-монтажные работы, специальные переходы
(магистральные дороги и центральные площади и т.п.), разборку и восстановление
асфальтобетонных покрытий, вывоз-завоз грунта для обратной засыпки при
прокладке кабельных линий в траншеях.
Таблица
7- Укрупненные показатели стоимости кабельной линии
|
Сечение кабельной линий, мм
2
|
Показатель стоимости 1 км,
тыс. р.
|
|
один кабель в траншее
|
два кабеля в траншее
|
|
Кабель с изоляцией из
сшитого полиэтилена типа АПв 2ЭПгу напряжением 1 кВ
|
|
1 (1 х 800)
|
697,3
|
936,4
|
Произведен расчет капитальных вложений на работы по
сооружению схемы питания и секционирования контактной сети для каждого из
сравниваемых вариантов на основании укрупненных стоимостных показателей,
приведенных выше.
.1
Технико-экономические показатели схемы питания №1
Основные показатели схемы питания для варианта №1 (см. рисунок 7),
приведены в таблице 8.
Таблица
8 - Основные показатели схемы питания №1
|
Участок контактной сети
|
Длина участка, м
|
Длина контактного провода
МФ-85, п.м.
|
Длина питающей кабельной
линии, АПв 2ЭПгу, м
|
|
1
|
415
|
1660
|
647
|
|
2,3
|
1427
|
5708
|
17
|
|
4
|
863
|
3452
|
99
|
|
5
|
656
|
1312
|
821
|
|
6
|
1030
|
2060
|
838
|
|
7
|
1032
|
2064
|
422
|
|
8
|
953
|
1906
|
532
|
|
ИТОГО:
|
6376
|
18162
|
3976
|
Расчет капитальных вложений на строительство кабельной линии представлен
втаблице 9.
Таблица
9 - Расчет капитальных вложений на строительство кабельной линии (в ценах 2000
г.)
|
Составляющие затрат
|
Укрупненные показатели
стоимости, тыс. р. (см. Таблицу 7)
|
Расчет затрат
|
Величина затрат, тыс. р.
|
|
Капитальные вложения на
строительство двух кабельных линий 1 кВ в одной траншее по базисным
показателям
|
936,4
|
3,976×936,4
|
3723,126
|
|
ИТОГО:
|
|
|
3723,126
|
6.2
Технико-экономические показатели схемы питания №2
Основные показатели схемы питания и секционирования для варианта №2 (см.
рисунок 15), приведены в таблице 10.
Таблица
10 - основные показатели схемы питания №2
|
Участок контактной сети
|
Длина участка, м
|
Длина контактного провода
МФ-85, п.м.
|
Длина питающей кабельной
линии, АПв 2ЭПгу, м
|
|
1
|
478
|
1912
|
579
|
|
2
|
583
|
2332
|
17
|
|
3
|
781
|
3124
|
99
|
|
4
|
863
|
3452
|
821
|
|
5
|
656
|
2624
|
1140
|
|
6
|
708
|
1416
|
446
|
|
7
|
712
|
1424
|
422
|
|
8
|
641
|
1282
|
532
|
|
9
|
953
|
1906
|
-
|
|
ИТОГО:
|
6375
|
19472
|
4006
|
Расчет капитальных вложений на строительство кабельной линии представлен
в таблице 11.
Таблица
11 - Расчет капитальных вложений на строительство кабельной линии (в ценах 2000
г.)
|
Составляющие затрат
|
Укрупненные показатели
стоимости, тыс. р. (см. Таблицу 7).
|
Расчет затрат
|
Величина затрат, тыс. р.
|
|
Капитальные вложения на
строительство двух кабельных линий 1 кВ в одной траншее по базисным
показателям
|
936,4
|
4,006×936,4
|
3751,218
|
|
ИТОГО:
|
|
|
3751,218
|
Нормы ежегодных отчислений на амортизацию и обслуживание линий
электроснабжения приведены в таблице 12.
Таблица
12-Нормы ежегодных отчислений на амортизацию и обслуживание кабельных линий
постоянного тока
|
Наименование
|
Норма амортизационных
отчислений, %
|
Затраты на обслуживание, %
|
Всего отчисления, %
|
|
Общая
|
В том числе
|
|
|
|
|
Кап. ремонт
|
Реновация
|
|
|
|
КЛ 1 кВ, проложенные в
земле
|
5,3
|
0,3
|
5,0
|
2,0
|
7,3
|
Годовые потери электроэнергии в кабельных линиях, кВт×ч:
(24)
где
n - число параллельных линий; Imax-
максимальный ток нагрузки, А; R0 -
удельное сопротивление кабельной линии, Ом/км; l - длина
линии, км;
- время
потери, ч.
Число
часов использования наибольших потерь, ч.:
(25)
где Тм - время использования наибольшей нагрузки, Тм
= 7534 ч.
Число часов использования наибольших потерьпо формуле (25):
Годовые потери по рассматриваемым вариантам составят:
- для варианта №1
- для варианта №2
При отпускной цене за электроэнергию 3,3 р./кВт×ч, издержки составят:
- для варианта №1
- для варианта №2

Таблица
13 - расчет приведенных затрат для двух вариантов секционирования
|
Величина
|
Номер формулы
|
Схема питания и
секционирования
|
|
|
вариант №1
|
вариант №2
|
|
|
расчет
|
стоимость, тыс. р.
|
расчет
|
стоимость, тыс. р.
|
|
Капиталовложения на
строительство в текущих ценах
|
-
|
3723,126×5,33
|
19844,261
|
3751,218*5,33
|
19993,991
|
|
Ежегодные эксплуатационные
издержки на КЛ линию, Икл
|
(23)
|
|
1448,630
|
|
1459,561
|
|
Стоимость годовых потерь
электроэнергии ИΔw
|
-
|
448407,23×3,3
|
1479,74
|
418680,19 ×3,3
|
1381,64
|
|
Приведенные затраты,
тыс.р./год, З
|
(20)
|
см. расч.ниже
|
8881,648
|
см. расчет ниже
|
8839,398
|
Приведенные затраты по формуле (20):
- для варианта №1
- для варианта №2
Результатом сравнительного расчета по приведенным затратам двух вариантов
схем питания контактной сети трамвая и троллейбуса является выбор второго
варианта. Выбранный вариант электроснабжения является более экономически
выгодным.
При оценке результатов сопоставления двух вариантов были учтены: режим
работы электрооборудования, экономия цветных металлов, уровень напряжения в
сети, степень обеспечиваемой надежности питания электроподвижного состава.
7. Охрана
труда при эксплуатации тяговой подстанции
В основной части дипломного проекта рассматривается совмещенная тяговая
подстанция для трамвая и троллейбуса. Мероприятия по обеспечению безопасных
условий труда на подстанции, требования безопасности, предъявляемые к персоналу,
а также требования по безопасности, предъявляемые к электрооборудованию,
являются ключевыми факторами, гарантирующими минимальные риски для человека.
.1 Анализ
опасных и вредных производственных факторов
В соответствии с ГОСТ 12.0.003-74 (переиздание 1999 г.) "ССБТ.
Опасные и вредные производственные факторы. Классификация" все возникающие
в производственных условиях опасные и вредные факторы подразделяются по природе
действия на следующие группы: биологические, психофизиологические, физические,
химические.
Работники тяговых подстанции постоянно находятся под действием шумов от
работающих силовых и тяговых трансформаторов, от работающих электродвигателей
принудительного охлаждения выпрямителей, переменных электромагнитных полей,
ионизации воздуха и других факторов.
Анализ опасных и вредных производственных факторов на тяговой подстанции
приведен в таблице 14.
Таблица
14 - Опасные и вредные производственные факторы влияющие на работников тяговой
подстанции
|
Опасные и вредные
производственные факторы
|
Место и условия
возникновения ОВПФ
|
Нормативные документы и
допустимый уровень
|
Средства и методы снижения
воздействия
|
|
Производственный шум
|
Работающие ДВС,
электродвигатели, подвижной состав, трансформаторы
|
ГОСТ 12.1.003-2014
|
Снижение шума в источнике
его возникновения или на пути распространения, а также применение средств
индивидуальной защиты
|
|
Недостаточное освещение в
темное время суток
|
Здания подстанций
|
Общие требования СниП.
Естественное и искусственное освещение. Нормы проектирования 23.05.95 и ОСТ
32.120.98. Нормы искусственного освещения объектов городского транспорта.
Минимально нормируемое значение - 50 лк.
|
Своевременное и
периодическое обслуживание и ремонт осветительных установок. Дополнительное
освещение (прожекторы, светильники).
|
|
Электрический ток,
напряжение прикосновения и ток, протекающий через тело человека
|
Корпуса электроустановок и
оборудования
|
Нормируется согласно ГОСТ
12.1.038-82
|
Организационными и
техническими меро-приятиями и средствами защиты (защитное заземление,
зануление, выравнивание потенциалов, защитное отключение, изоляция
токоведущих частей и др.)
|
|
- при нормальном режиме
работы
|
|
Максимально допустимые
значения: Переменный ток 50Гц U=2,0 В I=0,3 мА Постоянный ток U=8,0
В I=1,0 мА
|
|
|
- при аварийном режиме
работы
|
|
Переменный ток 50Гц U=36
В I=6 мА Постоянный ток U=40 В I=15
мА
|
|
7.2
Требования безопасности, предъявляемые к электротехническому персоналу
Безопасность работающего на подстанции персонала и предупреждение
несчастных случаев обеспечиваются строгим соблюдением "Правил технической
эксплуатации электроустановок потребителей, Минэнерго РФ, 2003 г." и,
"Правил по охране труда при эксплуатации электроустановок Минтруда РФ,
2014 г.", а также "Правил по охране труда при работе на линейных
сооружениях кабельных линий передачи, Минсвязи РФ, 2003 г. ПОТ Р
О-45-009-2003".
Правилами предусматривается определенный порядок производства операций,
регламентируются условия проведения ремонтных работ, обусловливается порядок
применения защитных средств.
В отношении мер безопасности все выполняемые в электроустановках работы
подразделяются на три категории:
- со снятием напряжения;
- без снятия напряжения на токоведущих частях и вблизи их;
- без снятия напряжения вдали от токоведущих частей, находящихся под
напряжением.
Работы в электроустановках и на оборудовании, какие-либо части которого
находятся под напряжением выше 1 кВ, допускаются при наличии наряда или
распоряжения (переданного непосредственно или с помощью средств связи с
последующей записью в оперативном журнале), лица, имеющего на это право по
распоряжению, ответственного за электрохозяйство предприятия.
В электроустановках напряжением до 1000 В работы, выполняемые дежурным и
оперативно-ремонтным персоналом по плану или графику в порядке текущей
эксплуатации, могут производиться без специального разрешения.
При подготовке рабочего места для безопасного выполнения работ с
частичным или полным снятием напряжения выполняют необходимые отключения,
снимают предохранители, ставят механические запоры на коммутационные аппараты
для предупреждения их самопроизвольного или ошибочного включения; проверяют
отсутствие напряжения на отключенной электроустановке и накладывают при
отсутствии на электроустановке разъединителей с заземляющими ножами на ее
токоведущие шины со стороны возможных источников появления напряжения
переносные заземления ("закоротки"), устанавливают временные
ограждения и вывешивают плакаты безопасности "Не включать. работают
люди", "Работать здесь", "Заземлено". При выполнении
работ без снятия напряжения вблизи токоведущих частей расстояние от людей и
применяемых ими инструментов и приспособлений и от временных ограждений до
токоведущих частей, к которым при выполнении работ возможно случайное
прикосновение, должно быть не менее 0,6 м. При необходимости это расстояние в
электроустановках напряжением 6-15 кВ может быть уменьшено до 0,35 м.
Квалификация обслуживающего персонала по технике безопасности разделяется
на пять групп. К первой группе относятся лица неэлектротехнической
специальности, которые могут работать в помещениях подстанций только под
непрерывным наблюдением квалифицированного персонала; работники этой группы
проходят периодический инструктаж один раз в год.
Ко второй группе относятся уборщицы распределительных устройств,
начинающие электромонтеры и электрослесари со стажем работы не менее 1 месяца,
а также практиканты институтов и техникумов (стаж практикантов не нормируется).
Персонал, отнесенный к этой группе, не имеет права участвовать в оперативных
переключениях в РУ напряжением выше 1 кВ.
Третью группу составляют младшие дежурные, ремонтные электромонтеры и
электрослесари с общим стажем работы от 3 до 6 месяцев в зависимости от наличия
специального обучения. Лица этой группы могут производить переключения в
распределительных устройствах до 1 кВ и быть наблюдающими в распределительных
устройствах напряжением выше 1 кВ.
В четвертую группу входят старшие дежурные, опытные электромонтеры и
электрослесари со стажем работы на тяговых подстанциях от 3 месяцев до 1 года в
зависимости от образования, специального обучения.
В пятую группу входит персонал, руководящий эксплуатацией тяговых
подстанций (мастера, инженеры).
Выполнение правил безопасности обязательно для всего персонала
подстанций. По знанию правил техники безопасности он проходит периодическую
аттестацию.
Все работники подстанций, начиная со второй группы, имеют специальное
удостоверение, в которое заносятся сведения о периодической проверке их знаний
по технике безопасности.
Конструктивные мероприятия, обеспечивающие безопасные условия
эксплуатации подстанций, включают в себя:
ограждение токоведущих частей, к которым возможно
случайное прикосновение персонала;
блокировку дверей ограждающих устройств,
препятствующую открыванию дверей без снятия напряжения с токоведущих частей
оборудования;
блокировку разъединителей с масляными выключателями,
препятствующую отключению разъединителя при включенном выключателе;
заземление каркасов и оснований всех аппаратов РУ 600
В, 6 или 10 кВ.
На подстанции, помимо защитных средств, плакатов безопасности,
необходимого инструмента, должны быть в соответствии с Правилами пожарной
безопасности ящик с песком, пожарные багор, ведро и углекислотные огнетушители.
При возникновении на подстанции пожара горящее оборудование должно быть
немедленно отключено, после чего необходимо сразу же, не дожидаясь приезда
пожарных команд, приступить к тушению пожара. При невозможности отключения
горящего электрооборудования пожар тушат без снятия напряжения (только
углекислотным огнетушителем).
Все электромонтажные работы, обслуживание электроустановок, периодичность
и методы испытаний защитных средств должны выполняться с соблюдением
"Правил технической эксплуатации электроустановок потребителей, Минэнерго
РФ, 2003 г." и "Правил по охране труда при работе на линейных
сооружениях кабельных линий передачи, Минсвязи РФ, 2003 г. ПОТ Р
О-45-009-2003", а также "Правил по охране труда при эксплуатации
электроустановок Минтруда РФ, 2014".
Монтажно-наладочные работы должны выполняться в соответствии с РД
78.145-93 МВД России "Правила производства и приемки работ. Системы и
комплексы охранной, пожарной и охранно-пожарной сигнализации".
.3
Молниезащита здания тяговой подстанции
тяговый подстанция трамвай троллейбус
В соответствии с РД 34.21.122-87 "Инструкция по устройству
молниезащиты зданий и сооружений" Минэнерго РФ и СО-153-34.21.122-2003
"Инструкция по устройству молниезащиты зданий, сооружений и промышленных
коммуникаций" предусматривается укладка молниеприемной сетки на крыше
тяговой подстанции.
Молниеприемная сетка укладывается непосредственно на крышу или под
несгораемый утеплитель из круглой стали ø = 8 мм с шагом ячеек не менее 6×6
м, которая посредством
опусков присоединяется к заземлителю в четырех местах. Заземлитель выполнен из
электродов заземления (уголок 63×63×6 длиной 3 м - забить в землю, верх на
глубине 0,7 м от уровня земли), соединенных между собой посредством сварки
полосой заземления (сталь полосовая размером 6×40 мм), проложенной по периметру здания
в земляной траншее на глубине 0,7 м от уровня планировки земли, на 1 м от
фундамента здания.
Все выступающие металлические элементы на крышах зданий присоединяются к
молниеприемной сетке.
Схема устройства молниезащиты на тяговой подстанции №90 показана на
рисунке 25.
Рисунок
25 - Схема устройства молниезащиты на тяговой подстанции №90
.4 Расчет
заземляющего устройства пункта питания и контура заземления тяговой подстанции
Заземляющие устройства в электроустановках подразделяются на рабочие и
защитные.
Рабочее заземление предназначено для защиты оборудования подстанции в
нормальных и аварийных условиях и выполняется в виде непосредственного
соединения элементов устройств с землей, либо осуществляется через пробивные
предохранители и разрядники. Кроме того, к рабочему заземлению можно отнести
также заземление технологического характера, например, соединение отрицательных
шин тяговых подстанций с трамвайными рельсами.
Защитное заземление предназначено для защиты обслуживающего персонала от
появления опасного напряжения на частях оборудования, нормально не находящихся
под напряжением.
Опасность поражения персонала тяговых подстанций электрическим током
может быть обусловлена непосредственным прикосновением к токоведущим частям или
прикосновением к металлическим конструкциям, оказавшимся под напряжением в
результате повреждения электрической изоляции. В первом случае защита персонала
осуществляется ограждением токоведущих частей или поднятием их на недоступную
для прикосновения высоту, во втором - заземлением всех металлических
конструкций, к которым возможно прикосновение.
Согласно требованиям ПУЭ заземлению подлежат все металлические корпуса
электрооборудования, металлические конструкции, на которых устанавливается
оборудование, металлические сплошные и сетчатые ограждения, трубы
электропроводок, металлические оболочки кабелей и т. п.
Расчет заземляющего устройства пункта питания, представленного на рисунке
26,выполнен по методике, предложенной в "Справочнике по проектированию
электрических сетей и электрооборудования" 1991 г., Москва,
"Энергоатомиздат", п. 7.4.
По результатам геологических изысканий грунты на данном участке
представляют собой: песок со строительным мусором, пески пылеватые.
Удельное сопротивление песчаного грунта составляет от 400 до 1000 Ом, что
не способствует получению нужного сопротивления для электроустановок до 1000 В.
В соответствии с ПУЭ (седьмое издание переработанное и дополненное с
изменениями) от 01.01.2003г., п. 1.7.106, в качестве расчетного принято
удельное сопротивление грунта суглинки ρ = 150 Ом×м.
Для устройства контура заземления пункта питания принят заземлитель
вертикальный - 14 электродов из угловой стали 63×63×5
длиной 3,0 м;
заземлитель горизонтальный - сталь полосовая 50×5 мм длиной 25 м и сталь круглая d = 10 ммдля соединения. Глубина
заложения контура заземления от поверхности земли составляет 0,9 м.
Сопротивление вертикального электрода из угловой стали, Ом:
(26)
где ρ - удельное сопротивление грунта, Ом×м; lв - длина вертикального электрода, м; bв-ширина стороны угловой стали вертикального электрода,
м; tв - расстояние от поверхности земли до середины
вертикального электрода, м.
Суммарное сопротивление вертикальных электродов, Ом:
(27)
где ɳ - коэффициент использования электродов.
Сопротивление горизонтального электрода из полосовой стали, Ом:
(28)
где lг - длина горизонтального электрода,
м; bг - ширина стороны полосовой стали горизонтального
электрода, м;tг - глубина заложения горизонтального электрода, м.
Суммарное сопротивление горизонтальных электродов, Ом:
(29)
Полное сопротивление растеканию заземлителя, Ом:
(30)
где

-
суммарное сопротивление вертикальных электродов, Ом; 
-
суммарное сопротивление горизонтальных электродов, Ом.
Сопротивление
вертикального электрода из угловой стали по формуле (26):
Суммарное
сопротивление вертикальных электродов по формуле(27):
Сопротивление
горизонтального электрода из полосовой стали, по формуле(28):
Суммарное
сопротивление горизонтальных электродов по формуле(29):
Полное
сопротивление растеканию заземлителя по формуле (30):
Величина
сопротивления единичного заземляющего устройства не превышает 4 Ом (СНиП
2.05.09-90, п.4.8).
Рисунок
26 - Заземление питающего шкафа троллейбуса
Расчет контура заземления тяговой подстанции. Конструктивно принимаем
контур заземления, состоящий из 20 уголков 63×63×6
длиной l = 3 м, соединенных стальной полосой
6×40
длиной l = 70 м. Уголки устанавливаем на
расстоянии 3,0 м друг от друга по контуру.
По результатам геологических изысканийгрунты на участке строительства
тяговой подстанции - песок со строительным мусором, пески пылеватые.
Удельное сопротивление песчаного грунта составляет 400-700 Ом×м.
Согласно ПУЭ п. 1.7.106 пункт 3 для таких случаев рекомендуется следующее
мероприятие: укладка в траншее влажного глинистого грунта с удельным
сопротивлением 100 Ом×м, при котором сопротивление заземляющего устройства
менее 4 Ом.
В соответствии с ПУЭ 1.7.96; 1.7.97 и 1.7.101 предусматривается общий
контур заземления, величина сопротивления которого, замеренная в любое время
года не должна превышать 4 Ома.
Проверочный расчет заземления выполнен в соответствии с методикой
расчета, приведенной в "Справочнике по технике безопасности" под
редакцией П.А. Долина (1985 г.)
Сопротивление одиночного вертикального заземлителя:
(31)
где

-
удельное сопротивление грунта, Ом×м; l-длина уголка, м; b- ширина
стороны угловой стали электрода, м; t - расстояние от поверхности
земли до середины угловой стали электрода, м.
Сопротивление
одиночного горизонтального заземлителя:
(32)
Сопротивление группы вертикальных электродов:
(33)
где
n - количество электродов; 
-
коэффициент использования вертикальных электродов группового заземлителя без
учета влияния полосы связи.
Сопротивление растеканию полосы связи (горизонтального электрода) с
учетом экранирующего эффекта вертикальных электродов:
(34)
где

-
коэффициент использования горизонтального полосового электрода соединяющего
вертикальные электроды группового заземлителя.
Сопротивление
группового заземлителя:
(35)
Сопротивление
одиночного вертикального заземлителя по формуле (31):
Сопротивление
одиночного горизонтального заземлителя по формуле(32):
Сопротивление
группы вертикальных электродов по формуле(33):
Сопротивление
растеканию полосы связи (горизонтального электрода) с учетом экранирующего
эффекта вертикальных электродов по формуле (34):
Сопротивление
группового заземлителя по формуле (35):
На
основании расчета, контур заземления принимается из 20 уголков 63×63×6
длиной l=3 м на
расстоянии 3 м друг от друга, соединенных между собой полосой 6×40 общей длиной l = 70 м.
Соблюдение всех рассмотренных мер и условий защиты при
работе в электроустановках позволит обеспечить безопасность рабочих при
обслуживании электроустановок, уменьшить количество несчастных случаев и
создать более комфортные условия труда для персонала тяговой подстанции.
Произведенный расчёт контура заземления тяговой
подстанции и молниезащиты позволит обеспечить безопасность деятельности
персонала, находящегося на территории тяговой подстанции.
Применение технических мероприятий по результатам
расчета заземления питающего шкафа троллейбуса обеспечит безопасность
обслуживающего персонала и пешеходов.
Заключение
Для обеспечения тягового электроснабжения новых
маршрутов трамвая и троллейбуса в Красносельском районе Санкт-Петербурга
необходимо сооружение тяговой подстанции №90.
В дипломном проекте выполнены расчеты тяговых
нагрузок, построена картограмма нагрузок и определено месторасположение
проектируемой подстанции. Разработана принципиальная однолинейная схема
подстанции.
Учитывая расположение проектируемой подстанции в
районе городской застройки, с целью обеспечения пожарной безопасности на
подстанции приняты к установке сухие трансформаторы типа ТРСЗП-1250/10-УХЛ
3производства ОАО "Электрофизика". Так же на подстанции предусмотрена
установка трех двенадцати пульсовых выпрямителей типа В-МПЕ-Д-2к-600-УХЛ 4 на
номинальный ток 2000 А, номинальное выпрямленное напряжение 600 В производства
ООО "НИИЭФА-ЭНЕРГО".
Распределительное устройстве 10 кВ состоит из 11 ячеек:
- ячейки питающих фидеров - 8 шт;
- ячейки выпрямительных агрегатов - 3 шт;
- ячейки трансформатора собственных нужд (ТСН) - 2 шт;
- ячейки трансформаторов напряжения - 2 шт;
- ячейка секционного выключателя - 1 шт;
- ячейка секционного разъединителя - 1 шт.
В ячейках РУ -10 кВ устанавливаются вакуумные
высоковольтные выключатели типа BB/TEL-10-20/1000.
В распределительном устройстве 600 В предусмотрена
установка 12 ячеек:
- ячейка запасного автоматического выключателя - 1 шт;
- ячейки линейных автоматических выключателей - 8 шт;
- ячейки катодных выключателей - 3 шт.
Так же предусмотрена установка 8 ячеек смены
полярности.
В проекте выполнен анализ вынужденных режимов, при
которых выходит из строя одна из питающих кабельных линий. В результате
расчетов установлено, что даже в случае таких режимов будет обеспечено
бесперебойное движение трамваев и троллейбусов.
В экономической части проекта приведено сравнение двух
схем питания и секционирования контактной сети трамвая и троллейбуса. В
результате выбран второй вариант схемы, так как он является более экономичным и
более надежным с точки зрения бесперебойного движения подвижного состава на
рассматриваемом участке.
В разделе охрана труда рассмотрены организационные и
технические мероприятия при эксплуатации тяговой подстанции предназначенной для
питания городского пассажирского транспорта. В частности, учтены опасные и
вредные производственные факторы, действующие на персонал подстанции и меры по
их устранению. Произведен расчет общего контура заземления тяговой подстанции,
сопротивление которого в любую погоду не превышает 4 Ом. Проектом предусмотрена
молниезащита, выполненная в виде сетки на крыше здания тяговой подстанции.
Выполнен расчет заземления питающего шкафа троллейбуса.
Технические решения, принятые в дипломном проекте,
соответствуют требованиям "Правил устройства электроустановок",
"Правил эксплуатации электроустановок потребителей", "Правил
техники безопасности при эксплуатации потребителей", экологических,
санитарно-гигиенических, противопожарных и других норм, правил, государственных
и отраслевых стандартов, действующих на территории Российской Федерации и
обеспечивают безопасную для жизни и здоровья людей эксплуатацию объекта при
соблюдении предусмотренных проектом мероприятий.
Библиографический
список
1. Федеральный закон "Об
электроэнергетике" от 26.03.2003г. №35-ФЗ. (Ред.21.07.2014).
2. Правила по охране труда при
эксплуатации электроустановок (ПОТЭУ) 2014 г.
. Правила устройства
электроустановок (ПУЭ). Седьмое издание, 2002 год.
. Тарнижевский М.В.
Проектирование устройств электроснабжения трамвая и троллейбуса / М.В.
Тарнижевский, Д.К. Томлянович. - М.: Транспорт, 1986. - 376 с.
. Шевченко В.В.
Электроснабжение наземного городского электрического транспорта: учеб.пособие
для студентов вузов / В.В. Шевченко, Н.В. Арзамасцев, С.С. Бодрухина - М.:
Транспорт, 1987. - 272 с.
. Тяговые подстанции трамвая и
троллейбуса: Справочник / Под ред. И.С. Ефремова. - М.: Транспорт, 1984. - 311
с.
. Афанасьев А.С. Контактные
сети трамвая и троллейбуса: Учебник для СПТУ - М.: Транспорт, 1988. - 264 с.
. Байрыева Л.С. Электрическая
тяга: Городской наземный транспорт: Учебник для техникумов / Л.С. Байрыева,
В.В. Шевченко. - М.: Транспорт, 1986. - 206 с.
. Ефремов И.С. Технические
средства городского электрического транспорта: учеб. пособ / И.С. Ефремов, В.М.
Кобозев, Шевченко В.В. - М.: Высшая школа, 1985. - 448 с.
. Загайнов Н.А. Тяговые
подстанции трамвая и троллейбуса: Учебник для техникумов / Н.А. Загайнов, Б.С.
Финкельштейн, Л.Л. Кривов. - 4-е изд., перераб. и доп. - М.:Транспорт, 1988. -
327 с.
. Пономарев А.А. Подвижной
состав и сооружения городского электротранспорта: Учебник для техникумов
городского электротранспорта / А.А. Пономарев, Б.К. Иеропольский. - М.:
Транспорт, 1981 - 274 с.
. Почаевец В.С. Электрические
подстанции: учебник для техникумов и колледжей ж.-д. транспорта. - М.:
Желдориздат, 2001. - 512 с.
. Марквардт К.Г.
Электроснабжение электрифицированных железных дорог. - М.: Транспорт, 1982. -
528 с.
. Карабанов А.А. Новое
поколение комплектных тяговых подстанций для городского транспорта / А.А.
Карабанов //Транспорт Российской Федерации - 2013. - № 4 (47). - С.60-61.
. ЕфановА.Н.Оценка
экономической эффективности инвестиций и инноваций на железнодорожном
транспорте: учебное пособие/А.Н. Ефанов,Т.П. Ковалёнок, А.А. Зайцев - СПб.:
ПГУПС, 2001. - 149 с.
. Долин П.А. Основы техники
безопасности в электроустановках: Учебное пособие для вузов. - 2-е изд.,
перераб. и доп. - М.: Энергоатомиздат, 1984. - 448 с., ил.13.
. Правила по охране труда при
эксплуатации электроустановок, утверждены Минтруда России и Минэнерго России -
2014 г.
. РД 34.21.122-87
"Инструкция по устройству молниезащиты зданий и сооружений" Минэнерго
РФ.
. СО-153-34.21.122-2003
"Инструкция по устройству молниезащиты зданий, сооружений и промышленных
коммуникаций" - 2003 г.
. "Правила по охране труда
при работе на линейных сооружениях кабельных линий передачи", Минсвязи РФ
- 2003 г