Проектирование котельной

  • Вид работы:
    Курсовая работа (т)
  • Предмет:
    Физика
  • Язык:
    Русский
    ,
    Формат файла:
    MS Word
    471,63 Кб
  • Опубликовано:
    2017-05-16
Вы можете узнать стоимость помощи в написании студенческой работы.
Помощь в написании работы, которую точно примут!

Проектирование котельной

Содержание

 

Введение

.         Расчет тепловой схемы отопительной котельной

.         Подбор котлов

.         Гидравлический расчет трубопроводов котельной

.         Выбор способа водоподготовки

. Подбор теплообменников

. Расчет и выбор насосного оборудования.

. Подбор дополнительного оборудования

. Аэродинамический расчет газовоздушного тракта котельной

. Расчет температурного удлинения

. Расчет взрывных клапанов

. Технико-экономические показатели

Заключение

Литература

 

 

Введение


В связи со строительством нового микрорайона, застроенного 9-ти этажными зданиями в городе Новосибирск, стала необходимость в строительстве новой водогрейной котельной. Данная котельная должна обеспечить нагрузку на ОВ и ГВС необходимую для комфортной жизни людей. Район строительства имеет ровный рельеф. Система теплоснабжения 4-х трубная, ГВС- открытая, Т1,Т2- закрытая.

Расход тепла на отопление - 10,5 МВт

Расход тепла на вентиляцию - 8,6 МВт.

Расход тепла на ГВС - 7,6 МВт.

Параметры вырабатываемого теплоносителя- горячая вода 115-70°С

Основной вид топлива природный газ =35,2 (МДж/м3)

Резервное топливо мазут М100.

Климатические характеристики г. Новосибирск:

температура наиболее холодной пятидневки: -32°С.

средняя температура наиболее холодного месяца: -13,5°С.

средняя температура отопительного периода: -5,2°С.

температура в точке излома температурного графика: -5,4°С.

средняя температура теплого периода года: +8°С.

Продолжительность отопительного периода:220 сут.

Исходная вода: река Обь.

1. 
Расчет тепловой схемы отопительной котельной


На рисунке 1 приведён график, который служит для определения температуры определения точки излома. Получена температура -10 градусов.

Рис1. Определение точки излома

Рис2. Расчетная схема водогрейной котельной

Тепловые нагрузки по видам потребления приведены в таблице 1.

Таблица 1. Тепловые нагрузки по видам потребления

Наименование нагрузки

Вода


 

Режимы


График температурный

-26

-7,8

-1,8

-10

8

Отопление и вентиляция, МВт

115-70

19,10

11,54

9,05

12,46

0

ГВС, МВт

60

7,60

7,60

7,60

7,60

6,23

Технология, МВт

-

0

0

0

0

0

Суммарная нагрузка, МВт

-

26,70

19,14

16,65

20,06

6,23


Таблица 2. Расчет тепловой схемы котельной

№ п.п.

Параметры

Метод определения

Величина




зимний

сред. наиб. хол. мес.

сред. отоп. периода

точка излома

летний

Исходные данные

1

Исходная температура наружного воздуха

tн.в., ºС

-26

-7,8

-1,8

-10

8









2

Расход теплоты (с учетом потерь в сети), МВт

 

 

 

 

 

 


на ОВ

Qров=1,1Qов(tрнв-tнв)/(tрнв-tро)

21,01

12,70

9,96

13,70

0,00


на ГВС

Qлгв=1,1*0,82Qзгв

8,36

8,36

8,36

8,36

6,86

3

Общая тепловая мощность (с учетом потерь в сети) ТГУ, МВт

Qт=Qов+Qгв

29,37

21,06

18,32

22,06

6,86

4

Температура прямой сетевой воды на выходе из ТГУ, 0С

По температурному графику t'c

115

63

70

70

70

5

Температура обратной сетевой воды на входе в ТГУ, 0С

По температурному графику t"c

70

49

49

49

49


для ГВС греющей

Gгвс=1000*Qгв/(4,19(t'c-t"c))

44,34

142,52

95,01

95,01

77,91


для Т3

GТ3=1000*Qгвс/(4,19(t3-tв1)

36,28

36,28

36,28

36,28

36,36


для Т4

GТ4=0,3*QТ3

10,88

10,88

10,88

10,88

10,91


общий

Gс=Gов+Gгв

156

359

208

251

78

7

Подпитка закрытой тепловой системе, кг/с

Gзподп=(0,75*60/100*3,6)*Qов

2,63

1,59

1,24

1,71

0,00

8

Подпитка открытой тепловой системе, кг/с

Gоподп=(0,75*30/100*3,6)*Qгв

0,52

0,52

0,52

0,52

0,43

9

Общая подпитка, кг/с

Gподп

3,15

2,11

1,77

2,24

0,43

10

Общая тепловая мощность ТГУ , МВт

Qк=Qов+Qгв

29,37

21,06

18,32

22,06

6,86

11

Расход воды , кг/с, через котельные агрегаты ТГУ

Gк=Qк/(4,19(t"к-t'к))

155,77

120,29

120,29

120,29

40,10

12

Температура воды на выходе из котельного агрегата при t'к=70 0С=const

t"к=t'к+Qк/(4,19Gк)

115,00

111,78

106,34

113,77

110,80

13

Расход воды, кг/с, на линии рециркуляции при t'к=70 0С

Gрц=Gк(t'к-t"к)/(t"к-t"к)

0,00

93,46

76,24

81,29

26,47

14

Расход воды, кг/с

 

 

 

 

 

 


по перемычке

Gпм=Gс(t"к-t'с)/(t"к-t"к)

0,00

168,19

71,72

105,24

51,44


исходной

Gисх=Gподп+GТ3

39,43

38,39

38,04

38,51

36,79

15

Расход греющей воды на теплообменник ГВС 2-ой ступени, кг/с

G2ГВС=QhSPII/4,19*(t"К-70); QhSPII=4,86МВт (принимается из расчета)

25,78

27,76

31,92

26,50

28,43

16

Расчетный расход воды, кг/с:

 

 

 

 

 

 


через котельный агрегат

Gрк=(Qов+Qгв)/(4,19(t"к-t'к)

155,77

120,29

120,29

120,29

40,10

17

Относительная погрешность расчета, %

Δ=(Gрк-Gк)/Gрк<2

0,00

0,00

0,00

0,00

0,00


Режимы работы котельной приведены в таблице 3.

Таблица 3. Режимы работы котельной

наименование нагрузки

ед. изм.

режимы работы




1

2

3

4

5

1

суммарная нагрузка потребителей

МВт

26,70

19,14

16,65

20,06

6,23

3

потери в наружных сетях

МВт

2,67

1,91

1,67

2,01

0,62

4

требуемая производительность котлов

МВт

29,37

21,06

18,32

22,06

6,86

5

количество котлов в работе КВ-ГМ-11,63-150

шт

4

3

3

3

1

6

процент загрузки котла

%

97,1

92,8

80,8

97,3

90,7


2.  Подбор котлов


Преобладающей нагрузкой являются нагрузки на отопление и вентиляцию. В котельной должна быть предусмотрена установка водогрейных котельных агрегатов. Количество водогрейных котельных агрегатов для коммунально-бытовых котельных выбирают на основании следующих требований:

а) Учитывают допустимый процент снижения теплоты для коммунально-бытовых потребителей определяется по СНиП 41.02-2003 «Тепловые сети»( ,). При выходе из строя одного котла, оставшиеся должны обеспечить 87% мощностей на горячее водоснабжение и отопление-вентиляцию соответственно от расчетной нагрузки на водоснабжение и отопление-вентиляцию, с учетом потерь в наружных сетях (10%).

 (МВт)

б) Рекомендуется устанавливать в котельной не менее 3 и не более 6 котлов.

в) Суммарная мощность котельных агрегатов должна обеспечить нагрузку потребителей с учетом потерь в наружных сетях, и собственные нужды котельной:

 (МВт)

В результате выбраны следующие котлы:

Водогрейные котлы КВ-ГМ-7,56-115

Таблица 4. Технические характеристики котла:

Показатели

КВ-ГМ-7,56-115

Теплопроизводительность номинальная, МВт

7,56

Вид топлива

газ/мазут

Рабочее давление воды, МПа

1 - 1,56

Температурный режим, °C

70 - 115

Гидравлическое сопротивление, МПа

0,12

Диапазон регулирования теплопроизводительности по отношению к номинальной, %

20-100

Масса котла без горелки, кг

26260

Габаритные размеры:


- длина, мм

6500

- ширина, мм

3000

- высота, мм

5000

Расход воды, т/ч

80

Расход топлива, м3/ч, газ/мазут

850/800

Средняя наработка на отказ, ч, не менее

Средний срок службы до списания, лет, не менее

20

КПД котла, % не менее, газ/мазут

88,3/87,0

Эквивалентный уровень шума в зоне обслуживания, ДБа, не более

80

Температура наружной (изолированной) поверхности нагрева котла, °C

45

Температура уходящих газов, °С, не более, газ/мазут

153/245

Аэродинамическое сопротивление, Па, газ/мазут

86,0/87,2


Таблица 5. Характеристики тягодутьевых машин поставляющихся с котлом:

Наименование

КВ-ГМ-7,56-115

Дымосос

Тип дымососа

ДН-10у1

Мощность установленная, кВт

11

Частота вращения, об/мин

1000

Вентилятор

Тип вентилятора

ВДН-10у1

Мощность, кВт

11

Частота вращения, об/мин

1000


К установке принимается 4 котла. Мощность котельной равна 30,24 МВт.

Проверка условий:

·        МВт > МВт (Мощности котельной достаточно, для нагрузки необходимой для потребителя)

·        При выходе одного котла из работы, мощность котельной составит 22,68 МВт.

МВт > 18,69 МВт (при выходе одного котла из строя, котельная обеспечит необходимую нагрузку).

3.       Гидравлический расчет трубопроводов котельной


Расчёт выбора диаметра труб производится по таблицам (Николаев А.А., таб. 9.11, стр. 117). Расчет выполняется на основании данных из: таблицы№2 и расчетной схемы (Рис2. «Расчетная схема»). При расчете значение скорости не должно превышать 1,5 м/с. Результаты расчёта сводятся в таблицу№4 «Подбор диаметров водяных трубопроводов».

Таблица 4. Подбор диаметров водяных трубопроводов

Наименование трубопровода или его участка

Максимальный расход, кг/с

Максимальный расход, т/ч

Скорость

ip,Па/м

диаметр








1

GОВ

216,46

779,24

1,34

36,82

478Χ7

2

GГВ

31,92

114,90

0,96

51,85

219Χ7

3

GподпТ2

2,63

9,45

1,40

714,17

57Χ3,5

4

155,77

560,76

0,96

1,94

478Χ7

5

Gрц

93,46

336,47

1,31

58,10

325Χ8

6

Gпм

168,19

605,47

1,04

22,08

478Χ7

7

Gисх

39,43

141,93

1,25

89,67

219Χ7

8

GТ3

36,36

130,89

1,45

141,26

194Χ6

9

GТ4

10,91

39,27

1,44

301,17

106Χ4

10

GОВ+GIIГВС

248,37

894,14

1,24

28,08

478Χ7


GОВ- расход сетевой воды потребителю на нужды ОВ, кг/с (Табл.2, п2).ГВ - расход греющей воды на 2-ю ступень теплообменников ГВС, кг/с (Табл.2, п16).подпТ2 - подпиточной воды в Т2, кг/с (Табл.2, п7).К - расход воды через котельный агрегат, кг/с (Табл.2, п17).рц - расход воды на рецеркуляцию, кг/с (Табл.2, п13).пм - расход воды на перемычке, кг/с (Табл.2, п14).исх - расход исходной воды, кг/с (Табл.2, п14).Т3 - расход воды в системе Т3, кг/с (Табл.2, п6).Т4 - расход воды в системе Т3, кг/с (Табл.2, п6).ОВ+GГВС - расход воды сетевой +греющей воды на 2-ую ступень теплообменников на ГВС, кг/с (Табл.2, п2+п15).

4.       Выбор способа водоподготовки

котельная отопительный насосный аэродинамический

Анализ воды реки Нева:

Сухой остаток - 67,2 мг/кг

Минеральный остаток - 40,8 мг/кг

Общая жесткость - 0,55 мг-экв/кг

Карбонатная - 0,43 мг-экв/кг

Водоподготовка исходной воды:

В качестве исходной воды используется водопроводная вода СанПиН 2.1.4.1074-01 «Питьевая вода». Она на вводе проходит магнитную обработку. Магнитный преобразователь подбирается по расходу кг/с= м3/ч (принимается из табл.2 «Расчет тепловой схемы» пункт 14), кг/с. Выбирается магнитный преобразователь МПВ MWS Dy 200.

В качестве воды для подпитки котлов используется исходная вода, прошедшая магнитную обработку + обработку через комплексон (АСДР “Комплексон®-6). Комплексон подбирается по расходу, подпиточной воды (принимается из табл.2 «Расчет тепловой схемы» пункт 7), кг/с.

 кг/с= м3/ч

Комплект поставки и технические характеристики:
Электронный блок управления, насос-дозатор, расходная емкость, водосчетчик с импульсным выходом, устройство ввода реагента, монтажный комплект армированного шланга и провода, разовая заправка реагентом Эктоскейл-450-1 (цинковый комплекс НТФ 20%-ный раствор), комплект техдокументации.

Расход подпиточной воды

Габаритные размеры Ш*Г*В

Комплект поставки

номинальный (усредненный)

максимальный


ДУ водосчетчика*1

Объем расходной емкости, л

Разовая заправка  реагентом, кг

10 м3/час

20 м3/час

570*610*1380

50

200

180

 

 

. Подбор теплообменников


Расчет параметров теплообменника горячего водоснабжения при смешанной схеме Согласно п.14.12 СниП «Тепловые сети» следует устанавливать два, параллельно включенных теплообменника, расчитанных на 50% тепловой нагрузки каждый для систем горячего водоснабжения. Тепловой поток первой ступени:

, МВт

-температура исходной воды (принимается равной 5˚С), ˚С

--температура исходной воды после первой ступени (принимается равной 60˚С), ˚С

-расход исходной воды (принимается из табл.2 «Расчет тепловой схемы» пункт 14), кг/ч

кг/с=кг/ч

 МВт

Температура теплоносителей:

Нагреваемая вода

˚С

˚С

Греющая вода. Греющий теплоноситель отбирается из коллектора до перемычки температурного регулирования

˚С

˚С

По полученным характеристикам с использование программы ТИЖ, подбираются теплообменники.

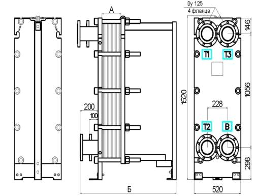
Выбран теплообменник ТИЖ-0.35

Таблица 7. Технические характеристики теплообменника

 

Греющая сторона

Нагреваемая сторона




Среда

Вода

Вода

Скорость в канале, м/с

0,003

0,003

Расход, м3/ч

0,040

0,030

Температура на входе, °С

115

5

Температура на выходе, °С

70

60

Общие потери давления, кГс/см²

0,000

0,000

Тепловая нагрузка, кВт

2,1

Коэффициент теплопередачи, Вт/(м²·°С)

17

Средний температурный напор, °С

59,9

Площадь поверхности теплообмена, м²

2,1

Запас по площади, %

0,0

Количество пластин

6

Количество ходов

1

Количество теплообменников

1

Высота теплообменника, мм

1520

Ширина теплообменника, мм

520

Монтажный размер (B), мм

 

Габаритный размер (Б), мм

478

Масса теплообменнка, кг

482




Параметр

Обозначение

Ед. изм.

Величина

Высота теплообменника, мм

-

мм

1520

Ширина теплообменника, мм

-

мм

520

Диаметр патрубков

мм

125

Монтажный размер

В

мм

 

Габаритный размер

Б

мм

478

Масса теплообменнка, кг

-

кг

482


 

. Расчет и выбор насосного оборудования


Рис.3 Расчетная схема для подбор сетевого насоса и насоса на рециркуляцию.

Подбор сетевого насоса:

Расход насоса:

 

, м3/ч

-расход воды в Т1, Т2 (принимается из табл.2 «Расчет тепловой схемы» пункт 6), кг/с

кг/с= м3/ч

-расход греющей воды в теплообменнике ГВС, второй ступени (принимается из табл.2 «Расчет тепловой схемы» пункт 15), кг/с

(кг/с)=, м3/ч

 м3/ч

-коэффициент запаса по расходу (принимается 1,1)

м3/ч

Напор насоса:

, м

 м-потери давления на в Т1 и Т2, м (принимается из задания)

 - потери в трубопроводе и арматуре, м

 

 - удельная потеря давления на трение.

 (определено по графику, исходя из величины эквивалентной шероховатости -для водяных тепловых сетей) - коэффициент гидравлического сопротивления трения;

 (из гидравлического расчета трубопроводов) - скорость теплоносителя;

(для тепловых сетей) - средний удельный вес теплоносителя;

 - ускорение свободного падения;

 (для трубопровода 478х7,0) - внутренний диаметр трубы;

 - приведенная длина трубопровода;

 - длина трубопровода по плану;

 - эквивалентная длина местных сопротивлений м;

 

 - сумма коэффициентов местного сопротивления;

Значения коэффициентов местного сопротивления:

Поворот 90°

Тройник на ответвление 90°

Тройник на проход

Для сетевого насоса:

поворотов 90°;

тройников на проход;

тройников на ответвление.

Потери напора в задвижке 0,1м.

Потери напора в обратном клапане 0,2м.

Потери напора в грязевике 0,2м

 

 

 

 

 

-коэффициент запаса по давлению (принимается 1,2)

 м

-потеря напора в узле учета, м (принимается равным 2м, по паспортным данным)

м-потери напора в котельном агрегате (принимается из паспорта котла)

Подбирается насос по следующим характеристикам:

м3/ч

м

Подобран насос: 1+1(резервный)

Наименование продукта:        WILO IL-Е 250/430-110/4;

Частота вращения: 2850 об/мин;     

Эффективность электродвигателя при полной нагрузке: 95 %;

Полный вес:         1407 кг.

Рисунок 4. Характеристика сетевого насоса

Подбор насоса на рециркуляцию:

Расход насоса:

 

-расход воды на рециркуляцию (принимается из табл.2 «Расчет тепловой схемы» пункт 13), кг/с

(кг/с)= м3/ч

-коэффициент запаса по расходу (принимается 1,1)

м3/ч

Напор насоса:

, м

-потери в трубопроводе и арматуре, м

 

 - удельная потеря давления на трение.

Для трубопровода диаметром 325х8,0:

 (определено по графику, исходя из величины эквивалентной шероховатости -для водяных тепловых сетей) - коэффициент гидравлического сопротивления трения;

 (из гидравлического расчета трубопроводов) - скорость теплоносителя;

(для тепловых сетей) - средний удельный вес теплоносителя;

 - ускорение свободного падения;

 (для трубопровода 325х8,0) - внутренний диаметр трубы;

 - приведенная длина трубопровода;

 - длина трубопровода по плану;

 - эквивалентная длина местных сопротивлений,м;

 

 - сумма коэффициентов местного сопротивления;

Значения коэффициентов местного сопротивления:

Поворот 90°

Тройник на ответвление 90°

Тройник на проход

Для рециркуляционного насоса с диаметром трубопровода 325х8,0:

поворотов 90°;

тройников на проход;

тройников на ответвление.

 

 

 м

 

Для трубопровода диаметром 478х7,0:

 (определено по графику, исходя из величины эквивалентной шероховатости -для водяных тепловых сетей) - коэффициент гидравлического сопротивления трения;

 (из гидравлического расчета трубопроводов) - скорость теплоносителя;

(для тепловых сетей) - средний удельный вес теплоносителя;

 - ускорение свободного падения;

 (для трубопровода 478х7,0) - внутренний диаметр трубы;

 - длина трубопровода по плану;

Для рециркуляционного насоса с диаметром трубопровода 478х7,0:

поворотов 90°;

тройников на проход;

 

 

 м

 

Потери напора в задвижке 0,1м.

Потери напора в обратном клапане 0,2м.

 

 

м-потери напора в котельном агрегате , м (принимается из паспорта котла).

-коэффициент запаса по давлению (принимается 1,2)

 м

Подбирается насос по следующим характеристикам:

 м3/ч

 м

Наименование продукта: Wilo-IL-E 40/170-5,5/2

Частота вращения: 2900 1/min

КПД: 83,8 %

Мощность: 42,8 кВт

Полный вес:         563 кг

Рисунок 5-Характеристика насоса на рециркуляцию

Подбор насоса исходной воды

При данной схеме на ГВС в проектируемой котельной, насос исходной воды является одновременно и насосом на ГВС.

Расход насоса:

 

-расход исходной воды (принимается из табл.2 «Расчет тепловой схемы» пункт 14), кг/с

кг/с= м3/ч

-коэффициент запаса по расходу (принимается 1,1)

 м3/ч

Напор насоса:

, м

м-потери напора в системе ГВС (принимается согласно заданию), м

 - потери в трубопроводе и арматуре.

 

 - удельная потеря давления на трение.

Для трубопровода диаметром 219х7,0:

 (определено по графику, исходя из величины эквивалентной шероховатости -для водяных тепловых сетей) - коэффициент гидравлического сопротивления трения;

 - (из гидравлического расчета трубопроводов) - скорость теплоносителя;

(для тепловых сетей) - средний удельный вес теплоносителя;

 - ускорение свободного падения;

 (для трубопровода 219х7,0) - внутренний диаметр трубы;

 - приведенная длина трубопровода;

 - длина трубопровода по плану;

 - эквивалентная длина местных сопротивлений,м;

 

 - сумма коэффициентов местного сопротивления;

Значения коэффициентов местного сопротивления:

Поворот 90°

Тройник на ответвление 90°

Тройник на проход

Для насоса исходной воды с диаметром трубопровода 219х7,0:

поворотов 90°;

тройника на ответвление;

тройника на проход;

 

 

 

 

Для трубопровода диаметром 106х4,0:

 (определено по графику, исходя из величины эквивалентной шероховатости -для водяных тепловых сетей) - коэффициент гидравлического сопротивления трения;

 - скорость теплоносителя;

=5,1 м/с

(для тепловых сетей) - средний удельный вес теплоносителя;

 - ускорение свободного падения;

 (для трубопровода 106х4,0) - внутренний диаметр трубы;

 - длина трубопровода по плану;

Для насоса исходной воды с диаметром трубопровода 106х4,0:

поворотов 90°;

тройника на проход;

тройник на ответление

 

 

 

 

Потери напора в задвижке 0,1м.

Потери напора в обратном клапане 0,2м.

Потери напора в фильтре 0,2м

Потери напора в магнитном преобразователе исходной воды 1 м.

 

 

-потеря напора в узле учета, м (принимается равным 2м, по паспортным данным),м

м-потери напора в двух теплообменниках (принимается исходя из расчета теплообменников), м

м-располагаемый напор в сети В1 (принимается исходя из задания),м

 м-геометрический напор в сети (принимается высота 9-ти этажного здания +необходимый напор в верхней точке водозабора)

-коэффициент запаса по давлению (принимается 1,2)

 м

Подбирается насос по следующим характеристикам:

м3/ч

м

Подобран насос: 1+1(резервный)

Наименование продукта:        Wilo-IL-Е 200/310-37/4

Частота вращения: 1450 1/min

КПД: 76 %

Мощность: 20,6 кВт

Полный вес:         465 кг

Рисунок 6-Характеристика насоса исходной воды

Подбор циркуляционного насоса на Т4:

Подбираются по 2-м характеристикам Q м3/ч, H м

м3/ч

м

Данные параметры рассчитываются по следующим формулам (формулы взяты из Методического пособия «Тепловые пункты» Е.В.Корепанов стр.85) :

м3/ч

-расход воды необходимой на циркуляцию (принимается из табл.2 «Расчет тепловой схемы» пункт 6), кг/с

кг/с= м3/ч

- расход исходной воды (принимается из табл.2 «Расчет тепловой схемы» пункт 14), кг/с

кг/с= м3/ч

м3/ч

м3/ч

 

м-потери напора в трубопроводах квартальных сетей в режиме циркуляции (принимается из условия на проектирование), м

м - потери в трубопроводе и арматуре, м

- потери в теплообменнике 2-ой ступени (принимается из Подбор теплообменников), м

 

 - удельная потеря давления на трение.

 (определено по графику, исходя из величины эквивалентной шероховатости -для водяных тепловых сетей) - коэффициент гидравлического сопротивления трения;

 (из гидравлического расчета трубопроводов) - скорость теплоносителя;

(для тепловых сетей) - средний удельный вес теплоносителя;

 - ускорение свободного падения;

 (для трубопровода 106х4) - внутренний диаметр трубы;

 - приведенная длина трубопровода;

 - длина трубопровода по плану;

 - эквивалентная длина местных сопротивлений,м;

 

 - сумма коэффициентов местного сопротивления;

Значения коэффициентов местного сопротивления:

Тройник на ответвление 90°

поворот на 90°

Тройник на проход

Для насоса исходной воды:

тройник на ответвление;

тройник на проход

поворотов на 90°

Потери напора в задвижке 0,1м.

Потери напора в обратном клапане 0,2м.

Потери напора в фильтре 0,2м

 

 

 

 

 

 

 м

м

Данные для подбора:

м3/ч

м

Подобран насос: 1+1(резервный)

Наименование продукта:        Wilo-IL-Е 65/270-5,5/4

Частота вращения: 1450 1/min

КПД: 71,1 %

Мощность: 5,19 кВт

Полный вес:         119 кг

Рисунок 7-Характеристика циркуляционного насоса

 

. Подбор дополнительного оборудования


Подбор грязевика для Т2

Расход воды через грязевик кг/с= м3/ч (принимается из табл.2 «Расчет тепловой схемы» пункт 6), кг/с.

Принимаем грязевик ГВ Ду350, Серии ТС-568.

Подбор расходомеров:

Расходомер на В1:

Расход воды расходомер кг/с=, м3/ч (принимается из табл.2 «Расчет тепловой схемы» пункт 14), кг/с.

Принимаем расходомер-счетчик электромагнитный ЭРСВ 420(Л/Ф)/520(Л/Ф) Ду=65мм

Расходомер на Т1, Т2:

Расход воды расходомер, кг/с= м3/ч (принимается из табл.2 «Расчет тепловой схемы» пункт 6), кг/с.

Принимаем расходомер-счетчик электромагнитный ЭРСВ 420(Л/Ф)/520(Л/Ф) Ду=150мм

Расходомер на Т3:

Расход воды расходомер кг/с=, м3/ч (принимается из табл.2 «Расчет тепловой схемы» пункт 6), кг/с.

Принимаем расходомер-счетчик электромагнитный ЭРСВ 420(Л/Ф)/520(Л/Ф) Ду=65 мм

Расходомер на Т4:

Расход воды расходомер кг/с= м3/ч (принимается из табл.2 «Расчет тепловой схемы» пункт 6), кг/с.

Принимаем расходомер-счетчик электромагнитный ЭРСВ 420(Л/Ф)/520(Л/Ф) Ду=40мм

Подбор регуляторов расхода:

Подбор регулятора на перемычке:

 - расход через клапан при реальном перепаде давления, м3/ч

 

-расход воды, проходящий через клапан (принимается из табл.2 «Расчет тепловой схемы» пункт 14), кг/с.

кг/с= м3/ч

 

м-потери напора в котельном агрегате , м (принимается из паспорта котла)

м

м

 кг/м3-плотность воды при температуре 4˚С

 кг/м3-плотность воды при температуре 70˚С

 (м3/ч)

-расход через клапан при заданном перепаде давления, м3/ч

 

 м3/ч

Принимаем клапан регулирующий КМР ЛГ Ду80  м3/ч

Подбор регулятора подпитку:

 - расход через клапан при реальном перепаде давления, м3/ч

 

-расход воды, проходящий через клапан (принимается из табл.2 «Расчет тепловой схемы» пункт 7), кг/с.

кг/с=м3/ч

, м

м-потери напора в котельном агрегате , м (принимается из паспорта котла)

м

 м-потери напора в сети Т1, Т2 (принимается по заданию на проектирование), м

м - потери напора в теплообменниках (принимается из расчета теплообменников).

м - потери напора в сети Т3 (принимается из задания на проектирование), м

 м

 кг/м3-плотность воды при температуре 4˚С

 кг/м3-плотность воды при температуре 60˚С

 м3/ч

-расход через клапан при заданном перепаде давления, м3/ч

 

 м3/ч

Принимаем клапан регулирующий КМР ЛГ Ду25  м3/ч

8. Аэродинамический расчет газовоздушного тракта котельной


Расчет воздуховода

Для газовой горелки необходимо подавать воздух с соответствующими скоростью и расходом. В данном случае, запроектирована механическая приточная установка, которая состоим из воздухоприемных устройств (решетки), воздуховода круглого сечения, клапана и дутьевого устройства-вентилятора.

Подбор воздухораспределительных устройств:

Методика расчета:

)По заданному расходу воздуха подбирают одну или несколько решеток с суммарным живым сечением.

∑f’=L/(3600*

объемный расход воздуха м3/ч,

-ориентировочная скорость движения воздуха в жилом сечении.

 - количество решеток.

-площадь живого сечения одной решетким2;

-округляем до ближайщего целого числа с учетом компановки. Определяем скорость воздуха в живом сечении решеток.

 

 

) Определяем аэродинамическое сопротивление при проходе воздуха через решетку.

, Па

Наименование помещения

Обозначение системы

f(ж)

L

V

Тип воздухораспределителей

Кол-во

f’

V’

n’

1

котельная

П

0,159

10000

8,7

РС-Г (525-425)

2

0,31

9

1,94


Аэродинамический расчет воздуховода:

Последовательность:

Определение нагрузки отдельных расчетных участков.

Нумерация участков

Определение размеров сечения расчетных участков

 

объемный расход воздуха м3/ч,

-рекомендуемая скорость движения воздуха на участке, м/с

- стандартные размеры воздуховодов. ()

Определяем фактические скорости движения воздуха

, м/с

Определение потерь давления на трение по длине

, Па

, Па

удельные потери давления на 1м длины воздуховодов, определяемые по таблицам в зависимости от V и d.длина расчетного участка, м

-коэффициент учитывающий шероховатость поверхности в зависимости от вида поверхности и скорости движения воздуха.

Определение потерь давления в местных сопротивлениях

=Z, Па

, Па

Определение потерь давления на расчетном участке

, Па

Определение потерь давления в системе

, Па

L, м3/ч

 l, м

Размеры воздуховодов

 V, м/с

R, Па/м

β

 Rnl, Па

∑ζ

 Р(с), Па

 Z, Па

 Rnl+Z, Па

 ∑(Rnl+Z), Па

Примеч.




а, мм

в, мм

d(э), мм

F, м2











1

10000

7

 

 

630

0,312

4,46

1,318

1

9,226

3,5

11,91

41,69

50,91

50,91

решетка РСГ=2,1; отвод 90=0,8; тройник на проход=0,6

2

10000

5,8

 

 

800

0,503

5,53

1,504

1

8,723

0,04

18,3

0,73

9,46

60,37

клапан=0,04


Рисунок 8 - Расчетная аэродинамическая схема воздушного тракта

Определяем аэродинамические потери по газовому тракту, для этого газовый тракт разбивается на расчетные участки, на которых расход дымовых газов не изменяется. Расчет выполняется на основе расчетной схемы (Рис9 «Расчетная схема для аэродинамики»)

 - расчетный расход дымовых газов на участке, м3/ ч:

 м3/ ч,

где - расчетный расход топлива на котельный агрегат при номинальном режиме (из паспортных данных),

- объем уходящих газов, рассчитанных на сжигание 1 м3 газообразного топлива (принимаем 10 м3);

 - присосы воздуха в газовом тракте котла;

-теоритическое количество воздуха, необходимое для сжигания 1 м3 газообразного топлива;

х- температура дымовых газов за котлом (из паспортных данных).

Подбирают стандартные размеры дымоходов, d м и F,м2/

) Определение скорости движения воздуха на участках по формуле:

, м/с

 - площадь сечения принятого стандартного воздуховода, м2

) Определение потерь давления на трение.

, Па

где - коэффициент гидравлического трения, принимаем для стальных труб и газоходов, диаметр которых не больше 2 м, то ;

- длина участка, м;

 - внутренний диаметр газохода, либо эквивалентный диаметр для газоходов прямоугольного сечения, м;

 - плотность дымовых газов, при температуре после котельного агрегата (245 0С, по паспортным данным):

 - скорость дымовых газов в газоходах и дымовых трубах, м/с.

) Определение потерь давления на местные сопротивления на расчетных участках.

, Па,

где: - сумма коэффициентов местных сопротивлений.

) Определение суммарных потерь давления на расчетных участках.

, Па

Допустимая невязка, м/у участками - 10%.

Все расчеты сведены в Таблицу 5 «Аэродинамический расчет»

Рис9. Расчетная схема для аэродинамики

Таблица 5 «Аэродинамический расчет»

№ участка

L,м3/ч

d, м

F,м2

v, м/с

λ

l,м

ρ

Σζ

∆РL,Па

∆РM,Па

∆Руч,Па

невязка,%

1

5

6

7

8

9

10

11

12

13

14

15

основная магистраль

 

1-2

21080

0,80

0,50

11,66

0,02

8,00

0,84

1,98

5,00

112,99

117,99

 

2-3

42160

1,15

1,04

11,28

0,02

5,80

0,84

1,21

4,00

64,68

186,67

 

4-3

84320

1,60

2,01

11,66

0,02

3,70

0,84

1,30

1,12

74,19

261,98

 

дымовая труба

84320

1,70

2,27

10,32

0,02

45,00

0,84

0,30

11,54

13,43

286,95

 

ответвление 5-2

 

5-2

21080

0,80

0,50

11,66

0,02

8,00

0,84

1,78

5,00

101,58

106,58

9,67

боковые ответвления 6-3

 

6-7

21080

0,80

0,50

11,66

0,02

8,00

0,84

1,98

5,00

112,99

117,99

 

7-3

42160

1,15

1,04

11,28

0,02

5,80

0,84

1,21

4,00

64,68

186,67

0,00

боковые ответвления 8-7

 

8-7

21080

0,80

0,50

11,66

0,02

7,50

0,84

1,78

5,00

101,58

106,58

9,67


Невязка меньше 10%, условие выполняется.

9. Расчет температурного удлинения


)         на участке №1, 5, 6, 8.

 мм.

где: α- коэффициент температурного расширения (для углеродистой стали α=12х10-6К-1);

l-длина участка трубопровода (7.5 м);

Δt-разность температуры теплоносителя и температуры наружного воздуха, при которой производится монтаж трубопроводов.

2)       На участке № 2,7

 мм.

3)       На участке № 9

 мм.

Устанавливаем компенсаторы в соединение между котельным агрегатом и газоходом, между газоходом и дымовой трубой.

10. Расчет взрывных клапанов


Взрывные клапаны на газовом тракте, проектируем для предохранения газоходов от разрушения при внезапных повышениях давления. В качестве легко разрушаемой поверхности применяем паронит. взр. пов. = Vгазохода х 0,05 газохода = L газохода х S попер. сеч.

На основании расчета аэродинамического расчета (сечение газохода от котельного агрегата диаметром 820 мм) - площадь поперечного сечения газохода S попер. сеч. = 3,14х0,42 =0,5м2. Длину газохода определяем с чертежа «План на отм. 0.000»

На участке №1, 5, 6, 8.

)Vгазохода=l1хS попер. сеч. = 7,5х0,5=3,7м3взр. пов.= Vгазохода х 0,05 =3,7х0,05=0,18м2

Принимаем клапан IДу600-2 диаметром 600 мм.

На участке № 2, 7

) Vгазохода=l1хS попер. сеч. = 7,5х0,98=7,35 м3взр. пов.= Vгазохода х 0,05 =7,35 х0,05=0,36 м2

Принимаем клапан IДу800-2 диаметром 800 мм.

На участке № 3

) Vгазохода=l1хS попер. сеч = 4,5х3,14=14,13 м3взр. пов.= Vгазохода х 0,05 =14,13х0,05=0,71 м2

Принимаем клапан IДу900-2 диаметром 900 мм.

11. Технико-экономические показатели


Количественные показатели:

.         Выработка теплоты

*24*+*24*(365-

на нужды отопления и вентиляции,

=9,96+8,36=18,32 МВт

=6,86 МВт

- расчетная производительность теплоты при средней температуре отопительного (табл.2 ОВ п2+ГВС п2), МВт

- расчетная производительность теплоты летом (табл.2 ОВ п2+ГВС п2), МВт

- продолжительность отопительного периода (исходные данные 220).

*24*220+6,86*24*(365-220=120601 МВт/год=434163ГДж/год

=120601 (МВт/год) (в соответствии с выбранной схемой котельной)

.         Расход натурального топлива

=120601/(35,2*0,92)=3724 м3/год

=0,92 (КПД котла)

=35,2 МДж/м3 (исходные данные).

Качественные показатели

1.       Число часов использования установленной мощности для водогрейных котлов

= ч/год

=4*7,56=30,24 МВт (4 котлa каждый 7,56 МВт)

2.       Коэффициент использования установленной мощности

 

.         Коэффициент загрузки котлов

=0,97

-принимается из таблицы 2 пункт 3, МВт

.         Экономический КПД Брутто

434163/(3724*35,2)=0,92 (92%)

.         Экономический КПД Нетто

434163/(3724*35,2)=0,92 (92%)

.         Удельный расход условного топлива Брутто

 

120601/(29,33*0,92)=4469 м3/год

=0,92 (КПД котла)

=29,33 (МДж/м3) (Условное топливо)

3724/434163=0,08 м3/ГДж

7.  Удельный расход условного топлива Нетто.

 

4469/434163=0,011 м3/ГДж

8.       Удельный расход натурального топлива Брутто и Нетто.

3724/434163=0,08 м3/ГДж

4469/434163=0,01 м3/ГДж

 

Заключение


В данном курсовом запроектирована отопительная котельная мощностью 30,24 МВт в городе Новосибирск. Основным видом топлива является природный газ с низшей теплотой сгорания 35,2 МДж/м3, резервное топливо мазут марки М100, теплоноситель - вода.

В качестве исходной воды используется водопроводная вода ГОСТ 2874-82 «Вода питьевого качества». Она на вводе проходит магнитную обработку. В качестве воды для подпитки котлов используется исходная вода, прошедшая магнитную обработку + обработку через комплексон (АСДР “Комплексон®-6).

Состав оборудования: водогрейный котел КВ-ГМ-7,56-115. Обеспечение необходимого напора для подачи оборудование обеспечивают насосы. Также предусматриваются теплообменники фирмы ТИЖ. Котел снабжается дымоходом, для выброса газо-воздушной смеси. Так как в ходе прохождения газо-воздушной смеси дымоходов, она дает температурное удлинение, то предусматриваются компенсаторы, на каждой ветви. Также предусматривается взрывной клапан, для предотвращения опрокидывания тяги, который устанавливается в местах, исключающих травмоопасность персонала.

Дымоходы теплоизолируюся для предотвращения выпадения конденсата.

 

Литература


1.  СНиП II-35-76 Котельные установки. - М.: Госстрой России, 2015 г. с изменением № 1.

2.       СНиП 23-01-99. Строительная климатология. / Госстрой СССР. − М.: Стройиздат, 2002 г. −№164.

3.       СНиП 41-02.2003. Тепловые сети. / Госстрой России от 24.06.2003 г. № 110

.         ПБ 10-573-03 Правила устройства и безопасной эксплуатации трубопроводов пара и горячей воды. Утверждены постановлением
Госгортехнадзора России от 11.06.2003 № 90. Москва, 2003.

5.       Лебедев В. И., Пермяков Б. А., Хаванов П. А. Расчет и проектирование теплогенерирующих установок систем теплоснабжения. - М.: Стройиздат, 1992. - 360 с.

.         Справочник проектировщика. Внутренние санитарно-технические устройства. Часть 1. Отопление/ В. Н. Богословский, Б. А. Крупнов А. Н. Сканави. Под. ред. И. Г. Староверова и Ю. И. Шиллера. - М: Стройиздат, 1990. - 344 с.

.         В. И. Шарапов, Д. В. Цюра. Термические деаэраторы. Ульяновск: УлГТУ, 2003. - 560 с.

8.       Е. А. Бойко «Котельные установки и парогенераторы», Красноярск, 2006 г.

.         Роддатис К.Ф.,Полтарецкий А.Н., «Справочник по котельным установкам малой производительности», Москва, «Энергоатомиздат», 1989г.

10. Методические указания к курсовым проектам, самостоятельной работе: «Проектирование теплогенерирующих установок» Часть 1. Расчет тепловой схемы теплогенерирующей установки. Выбор основного оборудования /О.И.Варфоломеева, Ижевск, 2010г.

11.     Рекомендации по проектированию установок натрий-катионирования / Госстрой СССР. − М.: ГПИ Сантехпроект Главпромстройпроекта Госстроя СССР, 1975г. − 26 с.

Похожие работы на - Проектирование котельной

 

Не нашли материал для своей работы?
Поможем написать уникальную работу
Без плагиата!
Без нейросетей!