Щодо можливості практичної реалізації засобів розвитку маршрутних пасажирських транспортних систем

  • Вид работы:
    Статья
  • Предмет:
    Транспорт, грузоперевозки
  • Язык:
    Украинский
    ,
    Формат файла:
    MS Word
    19,69 Кб
  • Опубликовано:
    2017-08-31
Вы можете узнать стоимость помощи в написании студенческой работы.
Помощь в написании работы, которую точно примут!

Щодо можливості практичної реалізації засобів розвитку маршрутних пасажирських транспортних систем

Харківський національний університет міського господарства імені О.М. Бекетова










ЩОДО МОЖЛИВОСТІ ПРАКТИЧНОЇ РЕАЛІЗАЦІЇ ЗАСОБІВ РОЗВИТКУ МАРШРУТНИХ ПАСАЖИРСЬКИХ ТРАНСПОРТНИХ СИСТЕМ




Доля К.В., Доля О.Є.

У статті досліджено нормативно-правові акти. Регулювання діяльності щодо впровадження нових міських та приміських пасажирських маршрутів загального користування суб’єктами господарської діяльності. Розглянуто питання щодо можливості виникнення правових суперечок між суб’єктами господарської діяльності - перевізниками. Відкриття нового маршруту та перерозподілу ринку пасажирських перевезень між перевізниками. Розглянуто питання забезпечення новоутвореного суб’єкту господарської діяльності, який має намір надавати послуги на пасажирських автобусних маршрутах загального користування. Ключові слова: пасажирський маршрут, маршрут, конкуренція, недобросовісна конкуренція, організація перевезень пасажирів, пасажир, закон.

Постановка завдання. Метою дослідження є вивчення нормативно-правового забезпечення діяльності суб’єктів господарської діяльності з питань впровадження засобів розвитку системи автомобільних пасажирських перевезень пасажирів на маршрутах загального користування. Одночасно дослідити питання забезпечення зберігання економічних інтересів підприємств, після введення на ринок перевезень новоутвореного маршруту. Надати рекомендації щодо внесення доповнень в діючі нормативно-правові акти направлених на урегулювання можливих правових суперечок між перевізниками. пасажирський маршрут перевізник господарський

Аналіз останніх досліджень і публікацій. Найважливішим елементом міських пасажирських транспортних систем є маршрутна мережа, що включає сукупність трас і потужностей маршрутів. Маршрутна система міського пасажирського транспорту виконує певні завдання і має свої закономірності функціонування.

Основними цілями при удосконаленні міських пасажирських перевезень, які виділялись дослідниками в різні роки були:

• мінімізація витрат підприємства [1, 2];

• мінімізація часу пасажирів на пересування [3-6];

• забезпечення максимально комфортних умов поїздки пасажирів [7-9];

Критерій мінімуму з одного боку витрат на перевезення пасажирів, а з іншого - показника, який визначається якістю перевезень, що виражається часом пересування [10-12].

Проблеми розробки методів удосконалення міських пасажирських транспортних систем займалися вчені С.Ю. Ольховський [2], О.Я. Ко- цюк [13], В.С. Марунич [3], П.Ф. Горбачов [15], В.О. Вдовиченко [16] та ін. В їх роботах роз- глядались питання підвищення ефективності маршрутної системи міського пасажирського транспорту з урахуванням видів масового міського пасажирського транспорту, що є в місті.

«Метод НИИАТ» [17] - є початком розробки евристичних алгоритмів маршрутизації. До основних переваг даного методу відносяться:

придатний для формування маршрутної мережі малих і середніх міст;

логічна побудова алгоритму;

—            при врахуванні заданих обмежень, дозволяє одержати оптимальне рішення, але з досить вузького набору допустимих маршрутів.

До недоліків даного методу [17] можна віднести:

—            оскільки в даному методі розглядається тільки автобусна маршрутна мережа, то його застосування для формування маршрутної системи великих міст є нераціональним;

—            недостатньо висока допустима розмірність завдання;

—            не коректно вирішене питання розподілу пасажиропотоків.

Збільшення діапазону маршрутів мережі в роботах О.Я. Коцюка [13], С.Ю. Ольховского [12] пропонується за рахунок включення до множини конкурентних маршрутів тих шляхів, по яких час проходження, між кінцевими пунктами, відрізняється від мінімального не більше ніж на задане значення. До переваг запропонованої методики слід віднести, що в заданих обмеженнях, запропонований алгоритм може гарантувати отримання оптимального рішення з погляду внутрішньої узгодженості виконуваних дій.

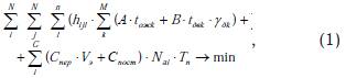
Науковий метод удосконалення міських пасажирських транспортних систем, наведений в роботах П.Ф. Горбачева [15, 18-19], виражений через цільову функцію маршрутизації, що має


де N - кількість транспортних районів в місті;

п - кількість можливих варіантів шляху проходження з району і в район і;

- кількість пасажирів, які прямують по шляху і з району і в район і;

М - кількість посадок (маршрутних поїздок);

А, В - сталі коефіцієнти;

    - тривалість к-ї маршрутної поїздки;

    - динамічний коефіцієнт використання місткості транспортного засобу;

О - кількість марок транспортних засобів, що працюють на маршруті;

- відповідно змінні та постійні витрати на експлуатацію транспортного засобу;

Ма - потрібна кількість автобусів і-ої марки;

Тп - тривалість розрахункового періоду, год.

Виділення невирішених раніше частин загальної проблеми. З проведеного аналізу можна зробити висновок, що утворення нових або перегляд існуючих маршрутів є механізмом розвитку пасажирських транспортних систем.

Держава для реалізації економічної політики, виконання цільових економічних та інших програм і програм економічного і соціального розвитку застосовує різноманітні засоби і механізми регулювання господарської діяльності.

Однак механізми впровадження таких дій досі є недостатньо розробленими.

Формулювання цілей статті. Метою даної роботи є проведення аналізу сучасного стану питання щодо забезпечення розвитку пасажирських транспортних систем засобами державного регулювання діяльності суб’єктів господарської діяльності, якими надаються послуги з перевезення пасажирів на маршрутах загального користування та органів виконавчої влади.

Виклад основного матеріалу дослідження. Основними засобами регулюючого впливу держави на діяльність суб'єктів господарювання є (у тому числі): ліцензування, патентування і квотування [20].

Умови, обсяги, сфери та порядок застосування окремих видів засобів державного регулювання господарської діяльності визначаються Цивільним Кодексом України, іншими законодавчими актами, а також програмами економічного і соціального розвитку.

Загальні положення організації та діяльності автомобільного транспорту регулюються діючими Законами України та підзаконними актами.

Законом України «Про автомобільний транспорт» визначено засади організації та діяльності автомобільного транспорту та встановлено, що органи місцевого самоврядування формують мережу міських автобусних маршрутів загального користування і здійснюють у межах своїх повноважень контроль за дотриманням законодавства у сфері автомобільного транспорту на відповідній території.

Забезпечення організації пасажирських перевезень на міських автобусних маршрутах загального користування покладається на виконавчий орган сільської, селищної, міської ради відповідного населеного пункту [22].

Наказом міністерства інфраструктури України від 15.07.2013 року № 480 «Про затвердження Порядку організації перевезень пасажирів та багажу автомобільним транспортом» зареєстрованого в Міністерстві юстиції України 31 липня 2013 р. за № 1282/23814 визначено механізм організації підготовки до відкриття автобусних маршрутів загального користування (крім міжнародних) [23].

Порядок [23] врегульовує й питання відкриття міського, приміського, міжміського внутрішньо- обласного та міжобласного автобусного маршруту.

Відповідно до вимог Закону України «Про автомобільний транспорт» документами, на підставі яких виконуються пасажирські перевезення для автомобільного перевізника - ліцензія, договір із органами виконавчої влади та органами місцевого самоврядування чи їх дозвіл, паспорт маршруту, документ, що засвідчує використання автобуса на законних підставах, інші документи, передбачені законодавством України [22].

Конституцією України визначено, що захист суверенітету і територіальної цілісності України, забезпечення її економічної та інформаційної безпеки є найважливішими функціями держави, справою всього Українського народу [24].

Господарським Кодексом України щодо конкуренції у сфері господарювання встановлено, що органи державної влади і органи місцевого самоврядування повинні здійснювати аналіз стану ринку і рівня конкуренції на ньому і вживати передбачених законом заходів щодо упорядкування конкуренції суб'єктів господарювання [20].

Регулювання питань конкуренції знайшло своє відображення й в Законі України «Про основи національної безпеки України», яким визначено, що основним напрямом є забезпечення умов для сталого економічного зростання та підвищення конкурентоспроможності національної економіки. Цим же Законом зазначено пріоритети національних інтересів, одним з яких є створення конкуренто спроможної, соціально орієнтованої ринкової економіки та забезпечення постійного зростання рівня життя і добробуту населення [25].

Законом України «Про захист від недобросовісної конкуренції» передбачено, що недобросовісною конкуренцією є будь-які дії у конкуренції, що суперечать торговим та іншим чесним звичаям у господарській діяльності, а особи, яким завдано шкоду внаслідок вчинення дій, визначених цим Законом як недобросовісна конкуренція, можуть звернутися до суду із позовом про її відшкодування [26].

Паризькою конвенцією про охорону промислової власності передбачено, що Країни Союзу зобов'язані забезпечити громадянам країн, що беруть участь у Союзі, ефективний захист від недобросовісної конкуренції. Актом недобросовісної конкуренції вважається будь-який акт конкуренції, що суперечить чесним звичаям у промислових і торговельних справах [27].

В свою чергу Цивільним Кодексом України «звичай» визначено, як правило поведінки, яке не встановлене актами цивільного законодавства, але є усталеним у певній сфері цивільних відносин [21].

Відповідно до викладеного органи державної влади мають забезпечувати економічну безпеку країни шляхом реалізації Законів України «Про захист від недобросовісної конкуренції», «Про захист економічної конкуренції» [28] та Паризької конвенції про охорону промислової власності від 20 березня 1883 року. Також зазначено, що органи місцевого самоврядування повинні здійснювати аналіз стану ринку і рівня конкуренції на ньому і вживати передбачених законом заходів щодо упорядкування конкуренції суб'єктів господарювання.

З викладеного можна зробити висновок, що виконання Порядку організації перевезень пасажирів та багажу автомобільним транспортом [23] з метою відкриття автобусних маршрутів загального користування, може призвести до настання суперечностей щодо додержання встановлених вимог іншими нормативно-правових актів, якими регулюється питання економічної конкуренції.

На підставі вимог [24-28] маються ознаки можливості оскарження у судовому порядку відкриття міського, приміського, міжміського внутрішньо- обласного та міжобласного автобусного маршруту, як такого що протирічать згаданим вище вимогам та є не забезпеченням гарантованих державою умов економічної безпеки та розвиток автомобільної галузі.

Одночасно, «звичай» визначено, як правило поведінки, яке не встановлене актами цивільного законодавства, але є усталеним у певній сфері цивільних відносин. Таке визначення не в повній мірі висвітлює порядок розуміння терміну «звичай», адже це є правило поведінки, яке не встановлене актами цивільного законодавства, а отже будь-яка поведінка не суперечить актам цивільного законодавства.

Висновки та рекомендації

На даний час новоутворений суб’єкт господарської діяльності, який має намір надавати послуги на пасажирських автобусних маршрутах загального користування, не має фактичної можливості в отриманні відповідних дозвільних документів, а існуючий процес відкриття нового маршруту має ознаки невідповідності іншим нормативно- правовим актам, що гарантують безпеку підприємницької діяльності в Україні. З метою запобігання виникнення обставин, які можуть призвести до настання правових суперечностей між перевізниками пропонується визначити термін «звичай» та забезпечити проведення конкурсу на право обслуговування новоутвореного маршруту одночасно із проведенням конкурсу на право обслуговування існуючих маршрутів.

Список літератури

1. Варелопуло Г. А. Организация движения и перевозок на городском пассажирском транспорте / Г. А. Варелопуло. М.: Транспорт, 1981. 200 с.

3.       Марунич В. С. Обоснование построения пассажирских маршрутных систем городов. Автореферат дис.... кандидата технических наук. М.: МИЭИ, 1996. 20 с.

4.       Вейцман В. М. Разработка рациональных схем городских автобусных маршрутов: Автореф. дис. канд.техн. наук. М., 1987. 20 с.

5.       Горшков Т.Ш. Вопросы планирования маршрутных систем пасажирского транспорта в городах, располо- женныцх в сложных топографических условиях (на примере г. Тбилиси) дис. на соискание научной степени канд. техн. наук. М., 1980. 193 с.

6.       Джумаев Д. Исследование вопросов составления маршрутных схем автомобильного транспорта в городах. дис. на соискание научной степени канд. техн. Наук. М.: 1986. 229 с.

7.       Аррак А. Социально-экономическая эффективность пассажирских перевозок / А. Аррак. Таллин: Ээсти раамат, 1984. 216 с.

8.       Аррак А. Развитие и эффективность пассажирских перевозок / А. Аррак - Таллин: Ээсти раамат, 1984. 218 с.

9.       Рогова Г. А. Моделирование выбора путей передвижения пассажиров на транспортных системах городов. Автореф. дис. на соискание научной степени канд. техн. Наук. Томск, 1978. 19 с.

10.   Штанов В. Ф. Организация перевозок пассажирским автомобильным транспортом / В. Ф. Штанов, Г. А. Подберезкин, В. А. Ищенко, А. И. Чумаченко. К.: Техника, 1988. 94 с.

11.     Штанов В. Управление качеством обслуживания пассажирским автомобильным транспортом в городах / В. Штанов, А. Игнатенко. К.: Знание, 1981. 24 с.

12.     Штанов В. Ф. Совершенствование организации и управления перевозочным процессом на пассажирском автотранспорте / В. Штанов, А. Коцюк. К.: Знание, 1991. 20 с.

13.     Коцюк А. Я. Совершенстование автобусных маршрутных систем в крупных и крупнейших городах: автореф. дисс. на соискание науч. степени канд. техн. наук: спец. 05.22.01 «Транспортные системы» / А. Я. Коцюк. Киев, 1990. 20 с.

14.     Горбачев П. Ф. Организация управления работой маршрутной системы города на основе оценки качества перевозок пассажиров / П. Ф. Горбачев, П. В. Луб’яный, Д. С. Котенев / Вісті Автомобільно-дорожнього інституту, 2007, № 2(5). С. 23-27.

15.     Горбачов П. Ф., Дмитриев И. А. Основы теории транспортных систем / П. Ф. Горбачов, И. А. Дмитриев. Харьков: ХНАДУ, 2002. 202 с.

16.     Гуревич Г.А. Методика организации маршрутных автобусов перевозок по периодам суток/ Г.А. Гуревич / ГосНИИАТ. М.:ЦБНТИ Минавтотранса РСФСР, 1985. 115 с.

17.     Антоношвили М. Е. Организация городских автобусных перевозок с применением математических методов и ЭВМ / М. Е. Антоношвили, Г. А. Варелопуло, М. В. Хрущев. М.: Транспорт, 1974. 103 с.

18.     Горбачов П. Ф. Совершенствование схем маршрутов автобусов в крупнейших городах: Дис...канд. техн. наук. Харьков: ХаДи, 1993. 164 с.

19.     Горбачев П. Ф. К вопросу маршрутизации пассажирских перевозок в крупнейших городах / П. Ф. Горбачев, В. К. Доля / Пути интенсификации работы автомобильного транспорта: Межвузовский научный сборник. Сарат. политехн. Ин-т. Саратов, 1989. С. 92-95.

20.   Господарський кодекс України. Від 16 січня 2003 р. № 436-ІУ. З подальшими змінами // Відомості Верховної Ради (ВВР). 2003.

21.     Цивільний кодекс України. Від 16 січня 2003 р. № 435-ІУ. З подальшими змінами // Відомості Верховної Ради (ВВР). 2003.

.        Про автомобільний транспорт: Закон України від 05. 04. 2001 р. № 2344-III // Відомості Верховної Ради України. 2001.

.        Конституція України: Закон України від 28. 06.1996 р. // Відомості Верховної Ради України. 1996.

.        Про основи національної безпеки України: Закон України // Офіційний Вісник України. 2003.

.        Про захист від недобросовісної конкуренції: Закон України від 7 червня 1996 року // Відомості Верховної Ради України. 1996.

.        Паризька конвенція про охорону промислової власності від 20 березня 1883 року (укр/рос) / Статус Парижской конвенции по охране промышленной собственности // Кожарская И. Ю., Прахов Б. Г. Патентное право. К.: 2003.

28.   Про захист економічної конкуренції: Закон України від 11 січня 2001 року // Офіційний вісник України. 2001.

Похожие работы на - Щодо можливості практичної реалізації засобів розвитку маршрутних пасажирських транспортних систем

 

Не нашли материал для своей работы?
Поможем написать уникальную работу
Без плагиата!
Без нейросетей!