Технологический процесс сборки ротора асинхронного двигателя АД160М4

  • Вид работы:
    Курсовая работа (т)
  • Предмет:
    Физика
  • Язык:
    Русский
    ,
    Формат файла:
    MS Word
    740,23 Кб
  • Опубликовано:
    2017-01-21
Вы можете узнать стоимость помощи в написании студенческой работы.
Помощь в написании работы, которую точно примут!

Технологический процесс сборки ротора асинхронного двигателя АД160М4

Министерство образования и науки Российской Федерации

Федеральное государственное автономное образовательное учреждение высшего образования

«Национальный исследовательский Томский политехнический Университет»

Институт электронного обучения








«Электроэнергетика и электротехника»

КУРСОВАЯ РАБОТА

технологический процесс сборки ротора асинхронного двигателя ад160м4

по дисциплине:

Технология производства электрических машин









Томск - 2016

Оглавление

Введение

. Анализ исходных данных

. Служебное назначение и особенности конструкции ротора

. Оценка технологичности конструкции

. Расчет усилия запрессовки ротора без вала на вал и выбор оборудования и оснастки для запрессовки

. Схема сборки ротора

. Маршрутная технология сборки

. Расчет норм времени

. Расчет количества оборудования для выполнения годовой программы

Заключение

Список литературы

Введение

Асинхронные машины являются самыми распространенными электрическими машинами в народном хозяйстве. В основном они используются как двигатели, реже - как генераторы. Более 80% всех электродвигателей, выпускаемых промышленностью, являются именно асинхронными. Столь широкое распространение данных двигателей объясняется их хорошими эксплуатационными свойствами, простотой устройства и обслуживания, надежностью в работе и невысокой стоимостью.

Значительная часть асинхронных двигателей применяется для привода механизмов с неизменной частотой вращения. Так, например, более 80% всех асинхронных двигателей общепромышленного значения используют для привода вентиляторов, насосов, транспортеров и обрабатывающих станков - устройств, не требующих регулирования частоты вращения приводного двигателя.

Электрические машины, предназначенные для массового применения, выпускаются едиными сериями. Для электрических машин единых серий характерны высокий уровень унификации деталей и узлов и их максимальная взаимозаменяемость.

В системах автоматики применяются два вида асинхронных двигателей малой мощности: силовые и управляемые.

Среди силовых асинхронных двигателей лучшие характеристики имеют трехфазные, поскольку они обладают наибольшей симметрией магнитного поля, которое во всех режимах работы остается практически круговым. Конденсаторные асинхронные двигатели уступают трехфазным того же габарита по значениям полезной мощности, вращающего и пускового моментов примерно на ⅓ [2].

Трехфазные асинхронные двигатели на частоту питающего напряжения 50 Гц имеют КПД от 15 до 85% (большие значения КПД соответствуют большим значениям полезной мощности Р2) при кратностях пускового момента от 1,7 до 4,5. Трехфазные асинхронные двигатели имеют хорошие массообъемные показатели (отношение массы и объема асинхронного двигателя к его полезной мощности). По этим показателям они уступают только коллекторным двигателям постоянного тока [2].

Конденсаторные асинхронные двигатели имеют кратности пускового момента от 0,1 до 0,5 и максимального от 1,4 до 2. Массообъемные показатели их на 40 - 60 % хуже, чем трехфазных АД (с учетом массы и объема конденсатора). Асинхронные двигатели с рабочим и пусковым конденсаторами применяются редко, хотя у них и удается получить высокие кратности пускового момента (до 5 - 6). При выборе силовых асинхронных двигателей предпочтение должно быть отдано трехфазным при наличии соответствующего источника питания.

Трёхфазные асинхронные машины наибольшее распространение получили как двигатели. Это основной двигатель, применяемый в промышленности, сельском хозяйстве и в быту. Только трёхфазных асинхронных двигателей единых серий мощностью от 0,6 до 400 кВт в нашей стране ежегодно выпускается около 10 млн. Асинхронных микродвигателей мощностью от 0,6 кВт изготовляется несколько десятков миллионов в год [1].

Электротехническая промышленность выпускает трёхфазные асинхронные двигатели в большом диапазоне мощностей. Предельная их мощность - несколько десятков мегаватт. В индикаторных системах применяются трёхфазные асинхронные двигатели мощностью от долей ватта до сотен ватт. Частота вращения двигателей общего назначения - от 3000 до 500 об/мин.

В настоящее время трёхфазные асинхронные двигатели потребляют более 40% вырабатываемой электрической энергии, на их изготовление расходуется большое количество дефицитных материалов: обмоточной меди, изоляции, электрической стали и других затрат.

На ремонт и обслуживание этих двигателей в эксплуатации средства составляют более 5 % затрат из обслуживания всего установленного оборудования [2].

Чаще всего трёхфазные асинхронные машины используют в двигательном режиме. В генераторном режиме они применяются редко. Для создания поля в зазоре асинхронной машины необходима реактивная мощность, которая забирается из сети или от других источников реактивной мощности. Асинхронные двигатели не могут работать с cosφ=1. Это существенный недостаток асинхронных машин, ограничивающий их применение в генераторном режиме.

При производстве трёхфазного асинхронного двигателя особое внимание уделяют технологическому процессу его изготовления. Ведь его производство должно быть экономически мало затратным, чтобы каждый желающий потребитель мог его приобрести за доступную цену.

В конструктивном исполнении трёхфазные асинхронные двигатели наиболее простые, обладают достаточно большим коэффициентом полезного действия, высокой удельной мощностью и надежностью, имеют сравнительно низкую стоимость и габариты - поэтому асинхронный двигатель получил наибольшее распространение по сравнению с другими электрическими машинами.

1. Анализ исходных данных

Задача курсового проекта заключается в разработке технологического процесса изготовления ротора проектируемого двигателя при заданной программе асинхронных двигателей АД160М4 в год. За основу взят типовой процесс производства асинхронных двигателей, разработанный в ОАО «Сибэлектромотор» с применением оборудования данного предприятия.

Объектом исследования рассматривается последовательность технологических операций изготовления ротора трёхфазного асинхронного двигателя АД160М4 мощностью 18,5 кВт, частотой вращения 1500 об/мин, степень защиты его - IP 54, число полюсов - М4, питание - 220/380/660В в зависимости от типа подключения. Данная последовательность технологических операций является типовой и используется для всех электрических двигателей аналогичной серии.

Для этого необходимо решить следующие задачи:

1. Служебное назначение и особенности конструкции ротора.

2. Оценка технологичности конструкции.

3. Маршрутный техпроцесс сборки ротора.

4. Выбор необходимого оборудования.

5. Определение норм времени и расчет количества оборудования необходимого для обеспечения годовой программы выпуска.

2. Служебное назначение и особенности конструкции ротора


Ротор - важная часть электрической машины, подвергающаяся большим механическим и тепловым нагрузкам. От качества исполнения ротора в большей степени зависят надежность и энергетические показатели машины.

В роторе АД используется сердечник, набранный из листов электротехнической, стали. Для скрепления пластин в единое целое пакет заливается расплавленным алюминием. На современном этапе заливка ротора алюминием является наиболее прогрессивным техпроцессом позволяющем получить обмотку из стержней в пазу и замыкающих колец на торцах ротора. Техпроцесс заливки роторов алюминием является сложным т.к. форма обмотки не удовлетворяет требованиям литейного производства. В соединении стержней и колец имеются резкие переходы от тонких колец к толстым кольцам. В местах резких переходов наблюдаются разрывы стержней в процессе остывания литья. Для улучшения качества литья используется заливка алюминия под давлением.

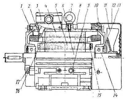
Рисунок 2.1 - Устройство асинхронного двигателя

На рисунке: 1 - вал, 2,6 - подшипники, 3,8 - подшипниковые щиты, 4 - лапы, 5 - кожух вентилятора, 7 - крыльчатка вентилятора, 9 - короткозамкнутый ротор, 10 - статор, 11 - коробка выводов.

Основными частями асинхронного двигателя являются статор (10) и ротор (9).

Роторы асинхронного двигателя бывают двух видов: короткозамкнутый и фазный ротор.

Короткозамкнутый ротор представляет собой сердечник, набранный из листов стали. В пазы этого сердечника заливается расплавленный алюминий, в результате чего образуются стержни, которые замыкаются накоротко торцевыми кольцами. Эта конструкция называется "беличьей клеткой". В двигателях большой мощности вместо алюминия может применяться медь. Беличья клетка представляет собой короткозамкнутую обмотку ротора, откуда собственно название.

Рисунок 2.2 - Устройство ротора асинхронного двигателя

Фазный ротор имеет трёхфазную обмотку, которая практически не отличается от обмотки статора. В большинстве случаев концы обмоток фазного ротора соединяются в звезду, а свободные концы подводятся к контактным кольцам. С помощью щёток, которые подключены к кольцам, в цепь обмотки ротора можно вводить добавочный резистор. Это нужно для того, чтобы можно было изменять активное сопротивление в цепи ротора, потому что это способствует уменьшению больших пусковых токов.

Принцип работы ротора и асинхронного двигателя

При подаче к обмотке статора напряжения, в каждой фазе создаётся магнитный поток, который изменяется с частотой подаваемого напряжения. Эти магнитные потоки сдвинуты относительно друг друга на 120°, как во времени, так и в пространстве. Результирующий магнитный поток оказывается при этом вращающимся.

Результирующий магнитный поток статора вращается и тем самым создаёт в проводниках ротора ЭДС. Так как обмотка ротора, имеет замкнутую электрическую цепь, в ней возникает ток, который в свою очередь взаимодействуя с магнитным потоком статора, создаёт пусковой момент двигателя, стремящийся повернуть ротор в направлении вращения магнитного поля статора. Когда он достигает значения, тормозного момента ротора, а затем превышает его, ротор начинает вращаться. При этом возникает так называемое скольжение.

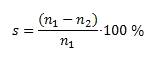
Скольжение s - это величина, которая показывает, насколько синхронная частота n1 магнитного поля статора больше, чем частота вращения ротора n2, в процентном соотношении.


Скольжение это крайне важная величина. В начальный момент времени она равна единице, но по мере возрастания частоты вращения n2 ротора относительная разность частот n1-n2 становится меньше, вследствие чего уменьшаются ЭДС и ток в проводниках ротора, что влечёт за собой уменьшение вращающего момента. В режиме холостого хода, когда двигатель работает без нагрузки на валу, скольжение минимально, но с увеличением статического момента, оно возрастает до величины sкр - критического скольжения. Если двигатель превысит это значение, то может произойти так называемое опрокидывание двигателя, и привести в последствии к его нестабильной работе. Значения скольжения лежит в диапазоне от 0 до 1, для асинхронных двигателей общего назначения оно составляет в номинальном режиме - 1 - 8 %.

Как только наступит равновесие между электромагнитным моментом, вызывающим вращение ротора и тормозным моментом создаваемым нагрузкой на валу двигателя процессы изменения величин прекратятся.

Выходит, что принцип работы асинхронного двигателя заключается во взаимодействии вращающегося магнитного поля статора и токов, которые наводятся этим магнитным полем в роторе. Причём вращающий момент может возникнуть только в том случае, если существует разность частот вращения магнитных полей.

3. Оценка технологичности конструкции

ротор сборка запрессовка вал

Рассмотрим последовательность операции изготовления трёхфазных асинхронных электродвигателей на примере двигателя серии АД160М4 с высотой оси вращения 100 мм. Общий вид изготовляемого электродвигателя представлен на рисунке 1.6.

Таблица 1.1 - Основные характеристики двигателей АД160М4 [4]

Электродвигатель

Р, кВт

Kоэф. мощн.

Ток при 380В, А

KПД, %

Iп/ Iн

m, кг

АД 160 М4

18,5

1500

0,87

36,0

90

6,8

155


Граничные условия эксплуатации электродвигателя АД 160М4

Температура рабочей среды:

+40°С при исполнении У2;

+50°С при исполнении Т2.

Относительная влажность:

до 100% при 26°С;

Степень защиты от пыли и влаги у электродвигателей АДМ - IР54.

Рисунок 3.1 − Общий вид изготовляемого электродвигателя

Производство двигателя начинают с получения заготовок.

Заготовку вала получают отрезкой круглого проката или поперечно-клиновой прокаткой. Механическую обработку осуществляют на автоматической линии. Листы статора и ротора штампуют из рулонной электротехнической стали на листоштамповочных автоматических установках. Листы ротора собирают на оправку (рисунок 1.2), прессуют, в пазы заливают алюминиевую обмотку с замыкающими кольцами (2) и вентиляционными лопатками (16). Затем оправку выпрессовывают, а в подогретый сердечник 5 запрессовывают вал (6), который удерживается от смещения натягом посадки [4].

Рисунок 3.2 − Оправка для наборки листов ротора

После сборки производят механическую обработку наружной поверхности сердечника и шеек вала под посадку подшипников (14).

Затем осуществляют динамическую балансировку ротора. Небаланс устраняется добавлением грузов (15) к замыкающему кольцу (2). После напрессовки подшипников (14) ротор готов к сборке двигателя.

Листы статора после снятия заусенцев и лакировки собирают на оправку (рисунок 1.3), прессуют и скрепляют скобами или сваркой. Наружная поверхность сердечника статора (4) обрабатывается под посадку в станину (8) [4].

В обработанный сердечник (4) на специальных станках укладывают в пазы изоляцию, обмотку и клин. Затем припаивают выводные концы, формуют лобовые части (1), скрепляют их бандажом и пропитывают обмотку в лаке.

Рисунок 1.3 - Оправка для наборки листов статора

После сушки сердечник готов к сборке. Заготовки корпуса, щитов, коробки выводов, вентилятора получают литьем алюминия в кокиль. Вентилятор может быть отлит также из пластмассы.

Механическую обработку литых деталей производят на автоматических линиях или агрегатных станках.

Сборка двигателя начинается со сборки статора. В станину (8) запрессовывают сердечник (4). Затем на базе внутреннего диаметра сердечника обрабатывают посадочные поверхности под щит и поверхности лап. Производят сборку коробки выводов (3). В собранный статор заводят ротор. На подшипники надевают щиты (10) и напрессовывают их на посадочные места станины. Щиты крепят болтами (17). Затем устанавливают вентилятор (11), кожух вентилятора (12), болты грузовой (7) и заземления (9). Пружинная шайба (13) поджимает ротор для уменьшения вибрации [4].

Собранный двигатель испытывают, окрашивают, консервируют и упаковывают.

Ротор в сборе состоит из самостоятельных элементов - сердечника ротора и вала. Это обеспечивает возможность параллельного независимого изготовления составных частей ротора в сборе и самого изделия. Ротор проектируемого двигателя имеет достаточно небольшую массу, что позволяет применять для его транспортировки стандартную тару.

Под технологичностью конструкции изделия понимают совокупность свойств конструкции определяющих ее приспособленность к достижению оптимальных затрат при производстве эксплуатации и ремонте для заданных показателей качества объема выпуска и условий выполнения работ. Технологичность конструкции имеет важное значение и охватывает вопрос качества изделия в целом, его основных частей, узлов и их взаимодействия в эксплуатации.

При конструировании изделия и разработке техпроцессов большое значение имеет правильный выбор баз. При работе с ротором, конструкторской и измерительной базой является торец шейки вала, на который крепится ротор с алюминиевой обмоткой. Технологической базой является торец вала. Такой выбор базовых поверхностей позволяет производить обработку деталей с требуемой точностью: обеспечивает быстроту установки деталей на станке, снижение номенклатуры и унификацию используемых станочных приспособлений.

Одним из важных требований является соосность поверхности ротора с поверхностями под подшипники и поверхностью рабочего конца вала. Соосность этих поверхностей определяет равномерность воздушного зазора и это соответственно в значительной мере влияет на энергетические характеристики машины. Давая оценку технологичности конструкции необходимо выделить положительные и отрицательные стороны.

Конструкцию любой электрической машины определяют, прежде всего, ее назначение и те технические характеристики, которым она должна соответствовать в эксплуатационных условиях. Однако наряду с этим к конструкциям ЭМ предъявляют также и производственные требования. В частности, конструкция должна быть такой, чтобы эксплуатационные качества машины, зависящие от сборки, были достижимы при данном объеме производства путем применения наиболее экономичного технологического процесса сборки. Такую конструкцию принято называть технологичной в сборке.

Правила отработки конструкций на технологичность определены комплексом государственных нормативно-технических документов (ЕСТПП и ЕСКД), направленным на решение задачи сокращения затрат, средств и времени во всех сферах производственной деятельности при обязательном сохранении (а там, где возможно и повышении) требуемого качества изделий.

Так как технологичность изделия определяется совокупностью свойств его конструкции, характеризующих возможность оптимизации затрат труда, средств и времени на всех стадиях создания, производства и эксплуатации изделия, то основными показателями технологичности являются трудоемкость изготовления и технологичная себестоимость изделия [6].

В конструкции предусмотрено:

.Геометрические очертания ротора значительно упрощены, что обеспечивает простоту составления управляющих программ.

.Число ступеней вала ротора минимально, что значительно уменьшает объём отходов при механической обработке.

. В конструкции вала использованы унифицированные элементы (канавки, проточки) а это сокращает набор инструментов и упрощает обработку.

.Конструкция ротора без вала не требует механической обработки торцевых поверхностей.

.Способ крепления прост и не требует фрезерования шпоночных пазов.

.Используемые материалы имеют широкое распространение.

 

. Расчет усилия запрессовки ротора без вала на вал и выбор оборудования и оснастки для запрессовки


Выбор оборудования производится на основе типового технологического процесса производства асинхронных двигателей серии АИР, изготавливаемых в ОАО “Сибэлектромотор”.

Сборка и механическая обработка ротора являются одним из важнейших процессов, определяющих качество двигателя. Данная программа производства (4200 шт./год) предусматривает серийное производство, которое характеризуется ограниченной номенклатурой изделия и сравнительно большим объемом выпуска. При серийном производстве применяется преимущественно универсальное оборудование и измерительные инструменты [4].

В данной курсовой работе принят тепловой метод сборки, т.к он существенно (в среднем в 1,2-2,5 раза) увеличивает несущую способность соединения с натягом. Это связано с тем, что при сборке под прессом микронеровности сминаются, а при тепловой сборке они, смыкаясь, заходят друг в друга, в результате чего повышаются коэффициент трения и прочность сцепления. Этот способ сборки предъявляет к соединяемым деталям ряд технологических требований. Необходимо иметь отверстия под вал с точностью не ниже 7-8 квалитета. Для этого качество штамповки и заливки алюминием должно быть высоким. Однако это не всегда удается, поэтому для обеспечения необходимой точности производится обработка внутренней поверхности отверстия. Поверхность может быть обработана протяжкой, прошивкой. В нашем случае предусмотрена протяжка отверстия на вертикально-протяжном станке модели 7Б66Н. При протяжке осуществляется охлаждение эмульсией ЭГГ-ТУ38-101149-75-20% концентрации. Ротор имеет узкую номенклатуру входящих в его состав материалов, что позволяет применять для механической обработки узкую номенклатуру режущих инструментов. Содержание операций определяет тип, основные размеры и технологическую характеристику оборудования и технологической оснастки. При сборке ротора имеются следующие операции:

1.       Нагрев сердечника ротора

Для этой операции выбираем электропечь ЭП-18

2.       Запрессовка вала в сердечник

Для этой операции выбираем гидравлический пресс ПВ-474 [5] , т.к. он обеспечивает необходимое усилие.

Характеристики гидравлического пресса ПВ-474:

Номинальная сила - 100 Кн.

Наибольший ход штока - 400 мм.

Расстояние между запрессовочным столом и штоком - 600 мм.

Размер стола 500×380 мм.

Габаритные размеры - 1250×1215 мм.

Мощность привода 3 КВт.

3.       Балансировка ротора.

Для этой цели используем балансировочный станок для динамической балансировки ДБ10 [5].

Характеристики станка ДБ10:

Наибольший диаметр ротора - 500 мм

Масса станка- 565 кг

При балансировке ротор устанавливается на опоры балансировочного станка.

Рисунок 1.4 Эскиз прессования ротора

(1-Втулка, 2-Сердечник, 3-Вал, 4-Оправка, 5-Буртик.)

Прессование ротора выполняют следующим образом, на втулку 1 устанавливают сердечник 2 и вал 3 и прессуют вал оправкой 4 до ее упора в буртик 5. Вал должен быть запрессован так, чтобы от края сердечника до края вала получился размер (26±1.0) мм. Это обеспечивается тем, что оправка имеет размер (26±0.25) мм. Т.к. в данной курсовой работе мы применяем тепловой метод сборки, то сердечник надо нагреть до температуры, при которой натяг будет отсутствовать.

Для этого определим величину натяга:

Δмах=55.0356-55.0=0.0356 мм,

Δмин=55.0201-55.018=0.0021 мм, где

Ø55 (+0.055) - диаметр отверстия в роторе без вала под вал,

Ø55и12 - посадочный диаметр вала под ротор без вала ø55и12.

, где

м - величина максимального натяга,

 м - диаметр охватываемой детали,

- коэффициент температурного линейного расширения материала охватывающей детали,

- температура помещения,

тогда:

Способ запрессовки вала в пакет листов ротора электрической машины включает рифление поверхности вала в зоне расположения на нем ротора и холодную посадку. Новым является то, что рифли образуют на участке вала длиной, составляющей 0,8 - 0,9 длины ротора, причем каждую рифлю выполняют в виде системы, содержащей не менее чем одну выемку и один выступ, по крайней мере с одной объединенной в одну плоскость, или криволинейную, или комбинированную поверхность, гранью, и по крайней мере двумя примыкающими к ней гранями, одна из которых принадлежит выемке, а другая - выступу, причем расстояние между принадлежащими только выемкам обращенными друг к другу гранями смежных рифлей составляет 0,1-0,8 диаметра вала, а расстояние между объединенными обращенными друг к другу гранями выступа-выемки смежных рифлей - 0,95-0,3 диаметра вала. Технический результат, обеспечиваемый изобретением, состоит в повышении качества запрессовки, надежности работы и увеличении сроков эксплуатации электрической машины за счет исключения проворачивания ротора на валу в процессе работы электрической машины.

Задача решается за счет того, что в способе запрессовки вала в пакет листов ротора электрической машины, включающем рифление поверхности вала в зоне расположения на нем ротора и холодную посадку, согласно изобретению рифли образуют на участке вала длиной, составляющей 0,8- 0,9 длины ротора, причем каждую рифлю выполняют в виде системы, содержащей не менее чем одну выемку и один выступ, по крайней мере с одной объединенной в одну плоскость, или криволинейную, или комбинированную поверхность, гранью, и по крайней мере двумя примыкающими к ней гранями, одна из которых принадлежит выемке, а другая - выступу, причем расстояние между принадлежащими только выемкам обращенными друг к другу гранями смежных рифлей составляет 0,1-0,8 диаметра вала, а расстояние между объединенными обращенными друг к другу гранями выступа- выемки смежных рифлей - 0,95-0,3 диаметра вала [5].

При этом рифли могут выполнять на поверхности вала попарно в верхней и нижней частях вала с симметричным расположением выемок и выступов в каждой части вала относительно оси сечения вала, перпендикулярной их граням, являющимся продолжением друг друга.

Рифли на поверхности вала могут образовывать методом холодной штамповки.

Посадочное отверстие пакета ротора под вал предварительно могут протягивать, а холодную посадку осуществляют с натягом.


Запрессовку вала в пакет ротора могут производить на гидропрессе с обеспечением стабильного линейного размера запрессовки, причем вал за пределами участка, имеющего рифления, выполняют со ступенчато уменьшающимся к его концу поперечным сечением, а при запрессовке усилие прикладывается к торцевой поверхности ступени вала и торцевой поверхности ротора.

Технический результат, обеспечиваемый приведенной совокупностью существенных признаков, состоит в повышении качества запрессовки, надежности работы и увеличении сроков эксплуатации электрической машины за счет исключения проворачивания ротора на валу в процессе работы электрической машины.

Сущность изобретения поясняется чертежами, где на фиг. 1 изображен вал, вид спереди; на фиг. 2 - то же, поперечное сечение; на фиг. 3 - вал с напрессованным на него пакетом листов ротора, вид сбоку [5].


Способ запрессовки вала 1 в пакет 2 листов ротора электрической машины включает образование рифлей 3 на поверхности 4 вала 1 в зоне расположения на нем ротора и холодную посадку. Рифли 3 образуют на участке вала 1 длиной, составляющей 0,8-0,9 длины ротора, причем каждую рифлю 3 выполняют в виде системы, содержащей не менее чем одну выемку 5 и один выступ 6, по крайней мере с одной объединенной в одну плоскость, или криволинейную, или комбинированную поверхность, гранью 7, и по крайней мере двумя примыкающими к ней гранями 8, 9, одна из которых 8 принадлежит выемке 5, а другая 9 - выступу 6. Расстояние между принадлежащими только выемкам 5 обращенными друг к другу гранями 8 смежных рифлей 3 составляет 0,1-0,8 диаметра вала 1, а расстояние между объединенными обращенными друг к другу гранями 7 выступа 6-выемки 5 смежных рифлей 3 - 0,95-0,3 диаметра вала 1.


При этом рифли 3 выполняют на поверхности вала 1 попарно в верхней и нижней частях вала 1 с симметричным расположением выемок 5 и выступов 6 в каждой части вала 1 относительно оси сечения вала 1, перпендикулярной их граням 7, являющимся продолжением друг друга.

Рифли 3 на поверхности вала 1 образуют методом холодной штамповки. Посадочное отверстие 10 пакета 2 ротора предварительно протягивают, а холодную посадку осуществляют с натягом. Запрессовку вала 1 в пакет 2 ротора производят на гидропрессе с обеспечением стабильного линейного размера запрессовки. Вал 1 за пределами участка, имеющего рифли 3, выполняют со ступенчато уменьшающимся к его концу поперечным сечением, а при запрессовке усилие прикладывается к торцевой поверхности ступени 11 вала 1 и торцевой поверхности ротора 12 [5].

. Способ запрессовки вала в пакет листов ротора электрической машины, включающий рифление поверхности вала в зоне расположения на нем ротора и холодную посадку, отличающийся тем, что рифли образуют на участке вала длиной, составляющей 0,8-0,9 длины ротора, причем каждую рифлю выполняют в виде системы, содержащей не менее чем одну выемку и один выступ, по крайней мере, с одной, объединенной в одну плоскость, или криволинейную, или комбинированную поверхность, гранью, и, по крайней мере, с двумя примыкающими к ней гранями, одна из которых принадлежит выемке, а другая - выступу, причем расстояние между принадлежащими только выемкам обращенными друг к другу гранями смежных рифлей составляет 0,1-0,8 диаметра вала, а расстояние между объединенными обращенными друг к другу гранями выступа и выемки смежных рифлей -0,95-0,3 диаметра вала.

. Способ по п.1, отличающийся тем, что рифли выполняют на поверхности вала попарно в верхней и нижней частях вала с симметричным расположением выемок и выступов в каждой части вала относительно оси сечения вала, перпендикулярной их граням, являющимся продолжением друг друга.

. Способ по любому из пп.1-2, отличающийся тем, что рифли выполняют на поверхности вала образуют методом холодной штамповки.

. Способ по любому из пп.1-3, отличающийся тем, что посадочное отверстие пакета ротора под вал предварительно протягивают, а холодную посадку осуществляют с натягом.

. Способ по любому из пп.1-4, отличающийся тем, что запрессовку вала в пакет ротора производят на гидропрессе с обеспечением стабильного линейного размера запрессовки, причем вал за пределами участка, имеющего рифли, выполняют со ступенчато уменьшающимся к его концу поперечным сечением, а при запрессовке усилие прикладывают к торцевой поверхности ступени вала и торцевой поверхности ротора [5].

5. Схема сборки ротора


Необходимо разработать последовательность технологических операций для изготовления ротора трёхфазного асинхронного, что является очень ответственным этапом проектирования, но сначала дадим определения на основные понятия и термины, непосредственно связанные с технологическим процессом.

Технологический процесс - это последовательное изменение формы, размеров и свойств материала и полуфабрикатов в целях получения изделия в соответствии с заданными техническими требованиями и чертежами.

Технологический процесс принято делить на операции, которые в свою очередь состоят из переходов и установов.

Технологической операцией является законченная часть технологического процесса обработки одной детали на одном рабочем месте одним рабочим или бригадой рабочих непрерывно до перехода к обработке следующей детали.

Технологическим переходом называется законченная часть технологической операции, в процессе которой обрабатывается одна или одновременно несколько поверхностей при неизменных инструменте и режимах обработки.

Установом является часть технологической операции, выполняемая при одном закреплении детали на станке.

Технологический процесс должен быть прогрессивным и обеспечивать повышение эффективности труда и качества изготавливаемых предметов, а также он должен обеспечивать сокращение трудовых и материальных издержек.

Технологический процесс должен соответствовать требованиям техники безопасности, промышленной санитарии и охране окружающей среды.

При проверке деталей руководствуются следующими признаками - посторонний шум при движении (вращении), треск, искрение, появление дыма и т.д.

В данном курсовом проекте мною была разработана последовательность технологических операций изготовления ротора трёхфазного асинхронного двигателя с короткозамкнутым ротором.

Схема сборки позволяет отразить маршрут сборки изделия, выделить составные части изделия, которые можно собрать отдельно (организовать параллельную сборку составных частей); оценить предварительно трудоемкость сборки отдельных составных частей; иногда выявить конструктивные неувязки; выявить и сравнить варианты технологического процесса. Процесс сборки изображают на схеме горизонтальной линией, в направлении от прямоугольника с изображением базовой детали до прямоугольника с изображением готового изделия или сборочную единицу - составную часть. Схема сборки представлена на рисунке 1.5.

Рисунок 1.5 - Схема сборки ротора

В асинхронных фазных электродвигателях на роторах имеется обмотка из медного провода, которая присоединяется к коллектору или контактным кольцам. В этих машинах конструкция сердечника якоря (ротора), собираемого на оправку, скрепляемого и напрессовываемого на вал, была бы сложной. Поэтому с целью упрощения конструкции и технологии, а также придания сердечнику большей надежности его набирают на вал.

Для сборки сердечников применяют специальные пневматические пресса (рис. 1.6 а, б) [5].

Пневматический цилиндр 4 имеет полый шток 5. По основанию пресса передвигается тележка, на ее рабочей части имеются два отверстия, в которые вставляют сменные оправки 2. Ход тележки ограничивается двусторонним упором 1 и фиксатором 3 в положениях, при которых ось оправки правой или левой части тележки совпадает с осью цилиндра. Расстояние между торцом сменного наконечника штока 5 и оправкой 2, ход поршня и усилие пресса зависят от размеров сердечников, собираемых на прессе.

Рисунок 1.6 - Схема сборки на пневматическом прессе сердечника ротора на вал: а - вид спереди, б - вид сбоку

Сборка сердечника ротора фазного асинхронного двигателя производится в таком порядке. Вставляют вал 14 в оправку 2 так, чтобы он опирался на ее буртик, и надевают нажимную шайбу 7. Если шайба должна находиться на валу с натягом, ее напрессовывают на гидравлическом прессе, поскольку усилия пневматического пресса недостаточно. Затем в шпоночный паз вала устанавливают Шпонку 13 и перемещают тележку с валом в рабочее положение - под пневматический пресс. На вал надевают крайний лист 6, который отштампован из более толстого материала. Из предварительно взвешенных и подобранных по шпонке и шихтовочному знаку листов берут пачку 8 из 50 - 60 шт. и надевают на вал. Затем включают пресс и осуществляют осаживание листов, до нажимной шайбы. Таким образом надевают остальные листы сердечника. После того как высота собираемого сердечника на валу достигнет 30 - 40 мм, устанавливают в три-четыре паза пазовые клинья 10 так же, как при сборке сердечника статора. Последующие листы при сборке базируют не только по внутреннему диаметру, но и пазам.

При наличии на роторе радиальных вентиляционных каналов сердечник делят на пакеты и между ними ставят листы с дистанционными пальцами, как и у сердечника статора. Вентиляционные каналы в сердечнике статора и ротора должны совпадать по осевому направлению. После сборки всех листов сердечника надевают крайний лист 9, верхнюю нажимную шайбу 11 и сердечник прессуют. Далее следует закрепить сердечник шпонками или втулкой во избежание его перемещения в осевом направлении. При креплении двумя полукруглыми шпонками сердечник прессуют и, когда нажимная шайба опустится ниже выточки на валу, устанавливают в выточку две полукруглые шпонки 12. После снятия давления их приваривают к валу. При креплении втулкой, которая держится на валу посадкой с натягом, сердечник прессуют, затем надевают на вал предварительно нагретую втулку. Давление не снимают, пока втулка не остынет [4].

Следующая операция - обработка пазов. Пазы можно опиливать так же, как опиливают пазы статора, или протягивать протяжками. Для протягивания вал с сердечником устанавливают у протяжного станка на две стойки, каждая из них имеет два ролика, в которых легко может вращаться вал. Сердечник торцом упирают в приспособление, которое воспринимает усилия резания и позволяет поворачивать сердечник для обработки каждого паза, совмещая при этом оси паза и ползуна протяжного станка.

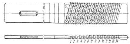
Протяжка представляет собой сложный и дорогостоящий инструмент (рис. 1.7). Зубья протяжки (1 - 14) делятся на режущие и калибрующие. Первый - режущий зуб имеет наименьшие размеры, каждый последующий больше предшествующего на 0,05 - 0,08 мм (подъем зуба). Последние четыре-пять зубьев -калибрующие, которые по форме и размерам должны соответствовать форме и размерам готового паза. При переточках размер каждого зуба понижается. Таким образом, после каждой переточки первый калибрующий зуб становится последним режущим. Размеры первого зуба определяют, исходя из наименьшего возможного размера паза, полученного при сборке. На зубьях, кроме трех последних, делают канавки для дробления стружки [4].

Рисунок 1.7 - Протяжка для протягивания пазов сердечника якоря (ротора).

Следующей операцией является установка балансировочных колец на три прилива, имеющихся на нажимных шайбах. В кольцах находится паз типа «ласточкин хвост», куда устанавливают грузики при балансировке собранного ротора. После сборки ротор продувают в вытяжных камерах сжатым воздухом и отправляют на укладку обмотки.

Сборка сердечника якоря выполняется в той же последовательности, что и сборка ротора на аналогичном оборудовании. На вал 1 (рис. 1.8) надевают нажимную шайбу 7, которая предназначена для скрепления сердечника, а также служит обмоткодержателем. Затем надевают крайние листы 6, серединные листы 5, крайние листы 4 и вторую нажимную шайбу 3.

Рисунок 1.8 - Собранный сердечник якоря перед укладкой обмотки

6. Маршрутная технология сборки


Маршрутная карта определяет путь прохождения деталей по отдельным участкам цеха. Она показывает порядок операции, согласно которому планируется расположение станков и производственных участков.

Маршрутная технология разрабатывается на базе схемы сборки, устанавливающая последовательность и содержание операций. Основной задачей на данном этапе является составление технологического маршрута, т.е. перечень, указывающих последовательность операций и их выполнение. Технологический маршрут фиксируется на маршрутных картах.

В пояснительной записке представлен маршрутный техпроцесс тепловой сборки ротора АД160М4.

7. Расчет норм времени


Технически обоснованной нормой времени называют регламентированное время выполнения технологической операции в определенных организационно-технических условиях, наиболее благоприятных для данного производства [3].

Штучное время - это отношение времени выполнения технологической операции к числу изделий одновременно собираемых на одном рабочем месте.

Штучное время:

,

где Топ = Т0 + Тв - оперативное время;

Тв - вспомогательное время;

- время обслуживания рабочего места - время, затрачиваемое рабочим на поддержание средств технологического оснащения в работоспособном состоянии и уход за ним и рабочим местом, определяемое в процентах к оперативному времени.


- время на личные надобности - это часть штучного времени, затрачиваемая на личные потребности и при тяжелых условиях труда на дополнительный отдых, определяемое в процентах к оперативному времени.


Определяем штучно время для каждой операции по вышеуказанным формулам.

При сборке изделий партиями в серийном производстве определяют штучно-калькуляционное время:

,

где -подготовительно-заключительное время.

Подготовительно-заключительное время - это время необходимое для подготовки к изготовлению партии изделия и завершения партии, определяется по нормативным справочникам [5].

,

где n- число изделий в партии;

=12000 шт./год - годовая программа выпуска;

=1,03 - коэффициент, учитывающий брак.

Определяем штучно-калькуляционное время для каждой операции по вышеуказанным формулам. Результаты расчета  для каждой операции для удобства сведем в таблицу 1.2.

Таблица 1.2 Результаты расчета  для каждой операции

Код операции

Операция

То

Тв

Топ

Тоб

Тп

Тшт

Тпз

Тшт.к

10

Нагрев

8.4

1.8

10.2

0.8

0.46

11.46

5

11.465

15

Запрессовывание

0.4

0.32

0.72

0.14

0.01

0.87

4

0.874

25

Балансировочная

4.03

0.59

4.62

0.184

0.231

5.035

5

5.04

35

Покрасочная

1

0.4

1.4

0.9

0.02

2.32

3

2.323


Определим общее штучно-калькуляционное время

 мин

8. Расчет количества оборудования для выполнения годовой программы


Технические нормы служат основой для определения требуемого количества и загрузки оборудования.

Располагая по операциям, определим необходимое количество станков или рабочих мест.


,

где - годовая программа;

- действительный годовой фонд времени


где - выходные дни;

- праздничные дни;

- предпраздничные дни.

Коэффициент загрузки печи


принимаем

Гидравлический пресс ПВ-474


Коэффициент загрузки гидропресса


принимаем

Станок для динамической балансировки ДБ10

.

Коэффициент загрузки балансировочного станка


принимаем

По результатам расчета строим график загрузки оборудования по операциям

Рисунок 1.9 График загрузки оборудования

Заключение

Разработка технологического процесса изготовления машины не должна сводиться к формальному установлению последовательности обработки поверхностей деталей, выбору оборудования и режимов. Она требует творческого подхода для обеспечения согласованности всех этапов построения машины и достижения требуемого качества с наименьшими затратами.

В данном курсовом проекте рассмотрен принцип действия и конструкция трёхфазного асинхронного двигателя АД160М4 мощностью 18,5 кВт, а то есть процесс преобразования переменного тока с помощью трёхфазной системы во вращающееся магнитное поле и из чего состоит сам двигатель. Рассмотрена также конструктивная особенность ротора, методы запрессовки и сборки ротора.

Разработана последовательность технологических операций, которая может быть использована на любом заводе или предприятии по изготовлению ротора, потому она содержит все основные положения по его производству из типовой технологической последовательности. Отличается он только тем, что используемые оборудование, приспособления и инструменты - более современны, надежны в использовании и высокоточные (то есть уменьшают возможность возникновения бракованных деталей); а что самое важное - они стоят недорого, по сравнению с оборудованием, применяемым в типовой технологической последовательности, следовательно уменьшают затраты на оборудование производственного участка.

Также мною выполнен расчет количества оборудования и места по производству ротора трёхфазного асинхронного двигателя, в котором было рассчитано оптимальное количество оборудования для выполнения каждой производственной операции и выбрана оптимальная расстановка оборудования на участке - по ходу технологического процесса, которая является самой прогрессивной и экономичной (позволяет быстрее изготавливать ротор, тратя меньше времени и средств на его производство) по сравнению с расстановкой оборудования по группам, так как эта расстановка больше подходит для производства оборудования или деталей более сложной комплектации и конфигурации. Также стоит отметить что такая расстановка требует меньшей площади участка или цеха, чтобы сократить излишние затраты на транспортировку деталей или комплектующих к рабочим местам.

При производстве ротора и любых других частей электрических машин необходимо учитывать, то чтобы их изготовление не загрязняло окружающую среду, было безопасным и не подвергало опасности жизнь человека.

Список литературы

1. Калинкин, В.С. Курсовое и дипломное проектирование по технологии машиностроения / В.С. Калинкин, Н.Г. Карельская. М.: Высшая школа, 2001. 78 с.

. Антонов, М.В. Технология производства электрических машин / М.В. Антонов, Л.С. Герасимова. М.: Энергоиздат, 2012.512 с.

. Осьмаков А.А. Технология и оборудование производства электрических машин / А. А Осьмаков. М.: Высшая школа, 1994.344 с.

4. Вольдек А.И. Электрические машины. Учебник для студентов высш.техн.учебн. заведений. 3-е изд. перераб. Л.: Энергия, 1978, с. 832.

. Петров Г.Н. Электрические машины. Учебн. для электроэнерг.вузов и факульт. в 3-х ч. Изд. 2-е перераб. ч.2. Асинхронные и синхронные машины. M.JI.: Госэнергоиздат, 1963, с. 416.

Похожие работы на - Технологический процесс сборки ротора асинхронного двигателя АД160М4

 

Не нашли материал для своей работы?
Поможем написать уникальную работу
Без плагиата!
Без нейросетей!