Анализ методов расчёта надёжности тепловых сетей при перспективном развитии систем теплоснабжения

  • Вид работы:
    Дипломная (ВКР)
  • Предмет:
    Физика
  • Язык:
    Русский
    ,
    Формат файла:
    MS Word
    905,12 Кб
  • Опубликовано:
    2017-07-10
Вы можете узнать стоимость помощи в написании студенческой работы.
Помощь в написании работы, которую точно примут!

Анализ методов расчёта надёжности тепловых сетей при перспективном развитии систем теплоснабжения

Содержание

 

Введение

. Надежность системы теплоснабжения средних городов России. Взаимосвязь инженерных систем энергетического комплекса

.1 Современное состояние систем теплоснабжения в России

.2 Влияние надежности тепловых сетей на функционирование других инженерных систем

.3 Проблема сохранения надежности тепловых сетей

. Анализ существующих методик по определению показателей надежности тепловых сетей

.1 Обзор исследований в области расчета надежности для энергетических систем, смежных с тепловыми сетями

.2 Обзор методик по расчету надежности тепловых сетей

.3 Алгоритм и методика расчета надежности тепловых сетей различных структур

. Оценка надежности тупиковой системы теплоснабжения на примере тепловых сетей Вологды

.1 Структура системы теплоснабжения города Вологды и анализ статистики по тепловым сетям

.2 Оценка надежности системы теплоснабжения третьего сетевого района Вологды

. Безопасность жизнедеятельности при строительстве тепловых сетей

.1 Безопасность жизнедеятельности при обслуживании подземных теплопроводов, камер и каналов

. Технико-экономическая оценка эксплуатации недостаточно надёжной системы тепловых сетей

. Экология при строительстве и эксплуатации тепловых сетей

Заключение

Список использованных источников

Введение


Система теплоснабжения России состоит из более чем 50 тыс. локальных систем теплоснабжения, обслуживаемых 17 тыс. предприятий. Ни одна страна в мире не может сравниться с Россией по масштабам систем теплоснабжения. Потребление тепловой энергии в Москве выше ее потребления в Голландии и Швеции вместе взятых, а потребление тепла в Санкт-Петербурге превышает потребление в Финляндии и Дании - странах, с наиболее развитым теплоснабжением [1].

На производство тепловой энергии для систем теплоснабжения расходуется около 330 млн. т. у. т., или 34 % всего потребления первичной энергии в России, что равно потреблению первичной энергии в таких странах, как Великобритания или Южная Корея [2].

Система теплоснабжения входит в состав энергетического комплекса, который включает в себя источник тепла с бойлерами, насосом и другим оборудованием, главными и внутренними городскими тепловыми сетями и внутренними системами теплоснабжения для зданий. Совокупность этих устройств обеспечивает функционирование системы в целом. В этом случае повреждение одного звена этой системы влияет на всю систему теплоснабжения. Поэтому внедрение оптимизации, корректировки и регулирования должно применяться в течение всего срока службы всех компонентов энергетических элементов, включая системы электричества, тепла, газа, водоснабжения, санитарии и т. д. [3].

Надежность энергетических объектов обеспечивается взаимосвязанной и скоординированной работой всех систем единого энергетического комплекса. Актуализация и пересмотр законодательной базы в разделах развития систем жизнеобеспечения, включая систему теплоснабжения, диктует необходимость обеспечения надежного теплоснабжения в соответствии с требованиями технических регламентов. Чтобы понять, как надежность системы в долгосрочной перспективе изменится с усложнением структуры тепловых сетей, появлением предварительно изолированных трубопроводов и прокладки каналов, необходимо знать, в каком состоянии система на данный момент. Термины ранее разработанных схем теплоснабжения, которые должны были решить эти проблемы, закончились в 1990-х годах, новые схемы долгое время не разрабатывались.

В связи с обновлением программ развития сетей инженерно-технического обеспечения в соответствии с законом №190-ФЗ «О теплоснабжении» [4],определены требования к схемам теплоснабжения, порядку их разработки и утверждения, а затем в целях обеспечения единого методологического подхода разработаны методические рекомендации по разработке схем теплоснабжения, где содержится обзор оценки надежности системы теплоснабжения. Однако данные указания охватывает крайне узкую область исследования надежности и не поясняют, каким образом рассчитываются и оцениваются те или иные показатели в случае отсутствия или нехватки исходных данных для расчета. Более углубленно вопрос оценки уровня надёжности тепловых сетей исследовался Юфа А.И., Калинин Н.В., Кикичев Н.Г., Ионин А.А., Самойленко Н.И., Плавич А.Ю., Сеннова Е.В. и др. [5]-[15]. Однако применение разработанных методик на практике по ряду причин трудноосуществимо. Вышесказанное обуславливает актуальность расширения методической базы по оценке надежности систем теплоснабжения с целью практического применения при проектировании.

Предметом исследования являются методы расчета надежности тепловых сетей при разработке схем теплоснабжения городов.

Объектом исследования в настоящей диссертационной работе является магистральные тепловые сети населенных пунктов.

Целью диссертационной работы является совершенствование методов расчета надежности тепловых сетей с точки зрения перспективного развития систем теплоснабжения, исследование влияния надежности систем теплоснабжения на живучесть энергосистемы.

Задачи исследования:

1.Выполнить анализ существующих методик оценки надежности систем теплоснабжения различных структур (кольцевой, тупиковой, разветвленной) на предмет практической применимости.

.Разработать алгоритм и методику определения зоны подключения новых потребителей с сохранением надежности системы теплоснабжения существующих потребителей.

.Разработать алгоритм и методику оценки надежности систем теплоснабжения различных типов (тупиковая, разветвленная; кольцевая) в условиях перспективного наращивания тепловой мощности.

.На основе разработанных алгоритма и методик определить надежность системы теплоснабжения г. Вологды в настоящее время и на перспективу.

.Оценить влияние надежности тепловых сетей на функционирование других составляющих энергетического комплекса.

Достоверность и обоснованность полученных результатов обусловлена применением современных методов и средств теоретических и статистических исследований, применением действующих нормативных документов оценки надежности тепловых сетей, апробацией и внедрением результатов работы при решении задач перспективного развития систем теплоснабжения различных структур при разработке схем теплоснабжения г. Вологды, а также схождением полученных значений показателей надежности, рассчитанных по разработанным методикам со статистикой отказов тепловых сетей.

Научная новизна работы:

. Разработан алгоритм развития системы теплоснабжения в среднем городе России при увеличении потребления тепла с точки зрения надежности тепловой системы.

. Разработан алгоритм поиска зоны подключения для новых потребителей, что позволяет оценить вероятность получения хладагента конкретному потребителю на основе предварительной оценки надежности системы теплоснабжения.

. Метод зон аварийного ремонта использовался для оценки надежности тупиковых тепловых сетей с учетом сбоев, что позволяет адекватно оценить надежность теплоснабжения отдельных потребителей.

Практическая ценность работы заключается в том, что полученные результаты дают возможность решать задачи формирования и последующей актуализации планов развития систем теплоснабжения городов в условиях наращивания тепловой мощности с позиций сохранения надежности теплоснабжения существующих потребителей.

1. Надежность системы теплоснабжения средних городов России. Взаимосвязь инженерных систем энергетического комплекса


1.1     Современное состояние систем теплоснабжения в России


Россия - страна с самым высоким уровнем централизованного теплоснабжения в Европе. Физическое состояние элементов и оборудования систем теплоснабжения до настоящего времени не может считаться удовлетворительным. Страну пронизывает около 260 тысяч километров отопительных сетей, и каждый год на их содержание тратятся огромные суммы денег.

Тепло - это уникальный продукт, который нельзя зарезервировать и транспортировать на очень больших расстояния. В случае повреждения нерезервированной тепловой сети увеличивается нагрузка на дополнительные местные источники тепла: газовые плиты и электронагреватели [16].

В соответствии с концепцией рассредоточенного развития поселений, принятой несколько десятилетий назад и нынешним развитием систем централизованного теплоснабжения, количество теплотрасс резко возросло, увеличились их затраты на строительство, увеличились эксплуатационные и тепловые потери [17].

Около 50% всех затрат на системы теплоснабжения можно отнести на содержание тепловых сетей. Для систем теплоснабжения, которые попадают в зону высокой эффективности централизованного теплоснабжения, доля затрат на транспортировку тепла не превышает 30-35% от общих затрат в системах теплоснабжения. Частные предприятия, которые получают тепло от централизованной системы теплоснабжения, первыми отреагировали на изменение экономических условий, изолировавшись от монополистов теплосчетчиком или при необоснованно высоких тарифах, построив свои собственные котельные.

Анализ состояния тепловых сетей показал:

•заниженный, по сравнению с реальным, уровень потерь в тепловых сетях, включаемый в тарифы на тепло, что существенно преуменьшает экономическую эффективность расходов на реконструкцию тепловых сетей;

•высокий уровень фактических потерь в тепловых сетях;

•высокий уровень затрат на эксплуатацию тепловых сетей (около 50 % всех затрат в системах теплоснабжения);

•высокую степень износа тепловых сетей и превышение в ряде населенных пунктов критического уровня частоты отказов;

•неудовлетворительное техническое состояние тепловых сетей, нарушение тепловой изоляции и высокие потери тепловой энергии;

•нарушение гидравлических режимов тепловых сетей и сопутствующие ему недотопы и перетопы отдельных зданий.

•снижение долговечности тепловых сетей, эксплуатирующихся в условиях отсутствия водоподготовки, до 6-8 лет вместо заявленных 25-30.

Таким образом, одним из основных принципов является обеспечение надежности тепловых сетей. В Федеральном законе «О теплоснабжении» понятие надежности является характеристикой состояния системы теплоснабжения, обеспечивающей качество и безопасность теплоснабжения.

Для обеспечения надежной работы тепловых сетей, включенных в системы теплоснабжения, организациям теплосетей и теплоснабжения необходимо:

•обеспечивать работоспособность эксплуатационной, диспетчерской и аварийной служб;

•организовать наладку принадлежащих им тепловых сетей;

•осуществлять контроль режимов потребления тепловой энергии;

•обеспечивать качество теплоносителей;

•организовать коммерческий учет приобретаемой и реализуемой тепловой энергии;

•обеспечивать проверку качества строительства принадлежащих им тепловых сетей;

•обеспечивать безаварийную работу объектов теплоснабжения;

•обеспечить надежное теплоснабжение потребителей.

В настоящее время задача обновления существующих тепловых сетей чрезвычайно актуальна. Несомненно, самое современное и рациональное строительство трубопроводов для систем теплоснабжения - предварительно изолированные трубопроводы с теплоизоляцией из пенополиуретана (ППУ) - должны использоваться для нового строительства и реконструкции тепловых сетей, которые являются предпочтительными для всех основных технических характеристики: величина потерь тепла; надежность; прочность; доступность, скорость диагностики утечек и т. д. [18].

Чтобы построить долгосрочный, экономичный и современный трубопровод в изоляции ППУ, необходимо строгое соблюдение трех условий:

.Использование высококачественных материалов при изготовлении.

.Грамотное проектирование тепловых сетей.

.Квалифицированное и добросовестное проведение строительно-монтажных и ремонтных работ.

Несмотря на то, что капитальные ремонты проводятся ежегодно, замена трубопроводов осуществляется на более энергоэффективные, процент износа тепловых сетей снижается медленно и большая часть тепловых сетей все же остается недоступной для непосредственного осмотра.

Для рационального использования трудовых и финансовых ресурсов уже недостаточно руководствоваться такими оценками, как «абсолютно плохие» или «все еще терпимые». Необходимо как можно точнее определить координаты мест коррозионного повреждения металла и минимально необходимых границ для производства капитального ремонта, чтобы продлить оставшийся срок службы трубопроводов, то есть время, в течение которого транспортировка охлаждающей жидкости вдоль них будет проходить без ущерба. Это можно сделать только на основе всестороннего учета различных факторов. В настоящее время нет единого метода мониторинга состояния тепловых сетей неразрушающего контроля металлического трубопровода, который объединил бы как простоту, так и широкий спектр применений в тепловых сетях, высокую эффективность и надежность результатов. В связи с этим используются несколько видов технической диагностики. Их надежность проверяется посредством визуально-измерительного контроля. Автор разработал программу FlawDefmer для акустической диагностики трубопроводов, которая также может использоваться для акустической диагностики различных линейно протяженных изделий. Программа предоставляет следующие функции:

регистрацию сигнала;

вывод и запись сигнала;

чтение записанных данных;

суммарный счет АЭ и определение координат источников АЭ по

разнице во времени прихода сигнала (РВП).

запись в отчет и вывод информации по классификации источника АЭ

(о состоянии исследуемого участка трубопровода).

Метод акустической эмиссии хорошо известен. Он основан на принципе генерации (другими словами: излучения, эмиссии) акустических сигналов в местах, где структура металла нарушается внезапным увеличением давления рабочего тела. Этот метод нашел широкое применение в диагностике состояния энергетических агрегатов, включая корпус ядерных реакторов. Метод акустической эмиссии имеет несколько особенностей:

•при проведении диагностики в несколько этапов в каждом последующем эксперименте можно переходить только к более высоким значениям давления теплоносителя;

•при более высоких значениях давления источники акустической эмиссии (дефекты), выявленные ранее как неопасные, могут соответствовать более высокому классу;

• для возобновления диагностики при более низком давлении на участке, где уже проводился эксперимент, металл трубопровода должен длительно «отдыхать».

Учитывая трудоемкость подготовительной работы по обследованию подземного трубопровода этим методом, представляется более целесообразным использовать его только на участках надземной кладки.

Метод ультразвукового сканирования Wavemaker, разработанный в Великобритании для обследования магистральных нефтепроводов. Особенность метода заключается в том, что его можно использовать как на трубопроводах, заполненных рабочей средой, так и на трубопроводах без заполнения, потому что для возбуждения акустических колебаний используется автономный генератор. Так как температура поверхности металла не должна превышать 50° C, в отопительный сезон могут быть диагностированы только отключенные области. Однако следует отметить, что применение этого метода для теплоснабжения сетей требует значительных усилий для подготовки рабочего места и, кроме того, необходимо восстанавливать разрушенную изоляцию. Результаты диагностики представлены в табличной форме в отчете, где координаты местоположения дефектов расположены с точностью до сантиметра и категорией их опасности. Учитывая соотношение результата и затрат, для линейной части трубопроводов, метод следует считать недействительным. Что касается достоверности результатов, то она составляет около 90%.

Акусто-эмиссионный метод, разработанный NPK Vector (Москва). Этот метод имеет некоторые ограничения. Его можно использовать только в отопительный сезон, так как необходимо иметь ток воды и давление не менее 2,5 кгс / см2. Кроме того, длина диагностированной области должна составлять от 40 до 150 м. Не должно быть сильных внешних шумов. В то же время преимущество этого метода заключается в том, что он дает практическую возможность непрерывно диагностировать оба трубопровода на больших расстояниях вдоль пути нагрева, определяет не только координаты коррозионного повреждения, но также и количество прореживания металла, позволяет обнаруживать утечки, эффективность метода можно считать высокой. Не нарушая технологического режима, не открывая трубопроводы тепловых сетей, при небольшом количестве подготовительных работ были получены десятки километров диагностированных участков. Однако к полученным результатам следует относиться с осторожностью. Анализ данных, полученных в ходе обследования и последующего открытия тепловых сетей, подтвердил, что лучше идентифицировать протяженные зоны коррозии, а для обнаружения локальных язвенных дефектов в металле этот метод малопригоден.

Строго говоря, с помощью метода, разработанного NPK Vector, выявлены места механических перенапряжений конструкции трубопровода, которые в некоторых случаях могут быть вызваны не утончением стенки трубы, а другими факторами, например, разрушением скользящих опор, температурных деформаций и так далее. В результате достоверность составляет 40%.

В дополнение к использованию этого типа диагностики рекомендуется проводить тепловые аэрофотосъемки и фотографии тепловых сетей два раза в год в те узкие интервалы времени, когда технологические и погодные условия совпадают. Персонал операционных зон должен незамедлительно совершать незапланированные раунды тепловых сетей в доступных местах для выявленных аномалий температуры, а в некоторых случаях проводить внеплановые перетасовки. Систематическая тепловая аэрофотосъемка должна быть важной частью мониторинга, позволяющей не только определять места разрушения изоляции и разгерметизации трубопроводов, но и отслеживать развитие с течением времени таких изменений.

Наиболее широко используемым методом повышения надежности тепловых сетей сегодня является разрушающий метод гидравлических испытаний (опрессовок) трубопроводов с повышенным давлением. Практика ежегодного применения опрессовок показывает, что этот метод не обеспечивает полного обнаружения мест со значительным коррозионным повреждением, что связано с различием напряжений, возникающих в трубах во время опрессовок и эксплуатации, поэтому число аварий в течение отопительного периода все еще остаётся неприемлемо высоким [19].

1.2     Влияние надежности тепловых сетей на функционирование других инженерных систем


Современный потребитель, чьи основные потребности удовлетворяются продуктами и услугами коммунальных предприятий, должен, прежде всего, иметь как минимум стандартный набор следующих услуг: электричество, тепло, газ, горячая вода, канализация. Логично, что если вы исключите хотя бы один элемент из вышеуказанного стандартного набора, некоторые другие могут в некоторой степени потерять свою необходимость. Взаимосвязь между крупными инженерными структурами очевидна и естественна, поэтому безопасная и надежная работа одного из них может быть «аннулирована» функционированием другого, менее надежным.

Эти факты приводят к тому, что обеспечение надежности крупных энергетических систем является ключевой проблемой современной энергетики. Связь между энергетической системой, ее элементами и внешней средой носит вероятностный характер, и можно говорить только о вероятности полного достижения энергетической системой своей цели - передачи энергии потребителю. Потому что концепция надежности энергосистемы всегда включает в себя отказ (нарушение). Незавершенностью надежности энергосистемы является потеря выходного эффекта ее эксплуатации, на практике - недостаточное энергопотребление потребителей.

На основе имеющихся данных из интернет-источников и средств массовой информации о сбоях на энергетических объектах можно проследить взаимозависимость важнейших энергетических систем. Несмотря на то, что на официальном сайте Министерства Энергетики Российской Федерации нет статистических данных об аварийности на энергетических объектах, заинтересованные специалисты осуществляют индивидуальный мониторинг.

На карте России в ряде городов отмечены аварии на крупных энергосистемах. Для каждой ситуации указывается дата ее появления; количество домов, объектов или потребителей, которые были отключены от систем отопления или электроснабжения, а также других инженерных систем, если отказ от тепловой или электрической сети спровоцировал их ненадлежащую работу [20].

Летом в двух городах (Москве и Петрозаводске) были отмечены крупномасштабные аварии, под воздействием которых более 6500 человек были отключены от систем электроснабжения или теплоснабжения. Как обычно, обстоятельства и причины серьезных убытков в жизненно важных инженерных сетях чаще всего расследуются специальными комиссиями, созданными теми организациями, к которым они принадлежат. Поэтому информация, которая может быть использована для исключения таких ситуаций, часто недоступна. Более того, раскрытие такого рода информации является признанием некомпетентности одной из служб: эксплуатирующей, монтажной - строительной, проектной или иной, поэтому реального виновника трудно определить.

На основе примеров, можно оценить степень взаимосвязи крупных инженерных систем. Мы можем полностью объяснить тот факт, что при отрицательных температурах воздуха наиболее важным является исправность системы теплоснабжения. Поскольку при отсутствии избыточности отказ в отопительной сети может повлиять на электрическую сеть (когда подключены потребители нагревательных электроприборов), а неисправность в работе электросети может привести к замораживанию сетей водоснабжения и теплоснабжения (из-за неисправности циркуляционных насосов) и т. д.

Одним из примеров влияния качества проектирования и строительно-монтажных работ на функционирование тепловых сетей является авария на вновь переложенном участке в районе города Петрозаводска - Кукковке республики Карелия, когда без горячей воды остались около 50 тыс. человек.

Допущения инженеров-конструкторов, которые разрабатывают проект и монтажников, которые прокладывают трассу, могут привести к негативным последствиям, в том числе к снижению надежности объектов.

Фактически, прокладка новых участков теплотрассы с изоляцией из пенополиуретана проводится с грубыми нарушениями технологических норм и правил. Каков срок службы таких трубопроводов? И разве они не являются бомбой замедленного действия?

Т.к. переход на предизолированные системы трубопроводов в тепловых сетях производится сравнительно недавно, то ответить на эти вопросы достаточно сложно, хотя возможно предположить результаты функционирования участков теплотрассы с отклонениями от технологических норм прокладки.

В лучшем случае необходимо удалить влажную изоляцию труб, которая практически не поддается сушке, и всю площадь, заполненную влажностью, очищают и заполняют пенополиуретаном. В худшем случае влага, накопленная в изоляции, будет испаряться при подаче хладагента. Конструкция предварительно изолированных труб обеспечивает внешнюю оболочку из полиэтилена, выход испаренной влаги не будет. Следовательно, при самом неблагоприятном исходе оболочка и сама трубка могут сломаться. Бесканальная прокладка, экономически выгодная по сравнению с канальной, приведет к эрозии грунта и утечке хладагента на большие площади, если труба достаточно велика. Высокая температура хладагента может привести к ожогам или более тяжелым последствиям, как это произошло в некоторых городах [21].

Обеспечение надежности зависит не только от мероприятий, проводимых на всех стадиях жизненного цикла тепловодов, но и от характеристик, заложенных в само понятие «надежности».

Рекомендации, разработанные в методике МДС41-6.2000 «Организационно-методические рекомендации по подготовке к проведению отопительного периода и повышению надежности систем коммунального теплоснабжения в городах и населенных пунктах РФ» по расчету и оценке надежности систем теплоснабжения на сегодняшний день явно недостаточны и носят скорее ознакомительный, нежели прикладной характер, по сравнению с методикой, предложенной для расчета надежности магистральных газопроводов РД 51-4.2.003-97 «Методические рекомендации по расчетам конструктивной надежности магистральных газопроводов» [22] (таблица 1).

Таблица 1 - Сравнение методик для расчета надежности тепловых и газовых сетей

Методика для теплосетей (ТС)

Методика для магистральных газопроводов (МГ)

Термины Условия обеспечения надежного теплоснабжения (подготовка к отопительному периоду) Падение температуры воздуха в помещении коэффициенты аккумуляции зданий Давление воды в элементах ТС Сроки включения, отключения ТС, перечень первоочередности объектов включения/отключения Показатели надежности (интенсивность отказов, относительная аварийность, недоотпуск тепла)

Технико-экономическая постановка задачи Назначение, структура и область применения Основы стандартизации и нормирования показателей надежности сложных технических систем Основы стандартизации и нормирования показателей надежности сложных технических систем Методика расчета показателей конструктивной надежности линейных частей магистральных газопроводов Перечень программных продуктов, предназначенных для расчетного прогнозирования показателей надежности и долговечности линейных частей магистральных газопроводов


Нельзя утверждать, что до настоящего времени не заполнена ниша по научным изданиям, которые бы затрагивали положения по разработке рекомендаций для расчета функциональной надежности тепловой сети. На сегодняшний день авторами Юфа А.И., Ионин А.А., Самойленко Н.И., Плавич А.Ю., Сеннова Е.В. [5] - [15] и др. предложены несколько вариантов расчета показателей надежности систем теплоснабжения, причем все приведенные способы расчетов освещают данные показатели либо с экономической, либо с технической точки зрения. Однако обычным инженерам-проектировщикам, либо специалистам эксплуатирующих служб руководствоваться ими затруднительно, в связи с тем, что данные издания выпущены малым тиражом и недостаточно популяризованы. Поэтому зачастую определить оптимальные коэффициенты функциональной надежности тепловых сетей при новом проектировании или реконструкции сложно. Кроме того, исходя из принципа обеспечения безотказности тепловых сетей, следует руководствоваться показателями надежности не отдельного участка теплотрассы, а системы теплоснабжения «источник-потребитель» в целом.

1.3     Проблема сохранения надежности тепловых сетей


Основной производственной задачей в работе тепловых сетей является обеспечение надежного, бесперебойного теплоснабжения потребителей с заданными технологическими параметрами. Несмотря на формулировку учебника, эта задача остается актуальной и, наконец, не решена до сих пор [19].

Среди наиболее распространенных причин, влияющих на снижение надежности тепловых сетей, выделяют следующие:

·   материал применяемых труб;

·   способ прокладки и конструкция тепловых сетей;

·   гидроизоляция и защитные покрытия:

·   теплоизоляция;

·   коррозионная активность грунта и грунтовых вод;

·   температура теплоносителя;

·   воздействие механических усилий;

·   воздействие блуждающих токов;

·   уровень эксплуатации теплопроводов;

·   уровень резервирования.

Долговечность тепловых сетей (ресурса) зависит от условий их эксплуатации. Существует два подхода к определению остаточного ресурса и срока службы тепловых сетей: технический (по причине отказа) и экономический (равный или превышающий годовые затраты на устранение сбоев за годовые затраты при строительстве новой тепловой трубы или секции тепловой трубы). Всегда выгодно использовать экономический подход. Однако чрезвычайно сложно выделить затраты на ремонтные работы (в первую очередь затраты на ремонт повреждений) в тепловых сетях из существующей документации теплоснабжающих компаний, и сравнивать эти затраты с картой тепловой сети практически невозможно. Для некоторых муниципальных образований около 10% затрат тратится на аварийно-ремонтные работы и еще столько же расходуется на капитальный ремонт [2].

Проблема экономической эффективности, долговечности и надежности энергосберегающих мероприятий с использованием современных нагревателей тесно связана с проблемой производства и использования высококачественных защитных покрывных материалов и конструктивных решений для теплоизоляции. Результаты опроса рабочих изолированных объектов показывают, что срок службы изоляции в первую очередь зависит от того, насколько надежно защищена сама теплоизоляция от внешних воздействий. Показатели оценки эффективности системы управления в части обеспечения надежности и энергоэффективности работы тепловых сетей приведены в таблице 2 [23].

Таблица 2 - Эффективность системы управления с целью обеспечения надежности и энергоэффективности тепловых сетей

1.  Качество обслуживания технического состояния тепловых сетей

1.1. Контроль и мониторинг технического состояния, диагностика и анализ. Методы диагностики тепловых сетей. Внедрение системы мониторинга 1.2. Контроль и мониторинг технического состояния, диагностика и анализ. Методы диагностики тепловых сетей. Внедрение системы мониторинга 1.3. Электрохимическая защита трубопроводов и металлоконструкций теплопроводов 1.4. Вентиляция 1.5. Водопонижение

2. Управление надежностью на предприятии

5.1.Мониторинг показателей надежности (готовность, безотказность, живучесть) 5.2.Полнота выполнения функций, обеспечивающих надежность 5.3.Отчетность подразделений и предприятия в вышестоящую организацию 5.4.Качество раздела «Надежность» в схеме теплоснабжения

3. Режимная надежность

2.1.Схемные решения и режимы работы 2.2.Обеспечение водно-химического режима 2.3.Защита от гидроударов 2.4.Контроль наличия застойных зон 2.5.Возможность оперативного расчета аварийных режимов

4. Качество аварийно-восстановительных работ

3.1.Наличие аварийного запаса материалов и заготовок 3.2.Оперативность устранения повреждений 3.3.Предотвращениеповторных разрывов. Конкретизация ресурса поврежденного участка

5. Качество строительства и замены тепловых сетей

4.1.Учет в ТЗ на проектирование причин замены теплопровода и коррозионных факторов 4.2.Надежность применяемых конструкций тепловых сетей 4.3.Система контроля проектирования и строительства ТС, включая меры воздействия 4.4.Гарантии качества


При расчете критериев надежности для теплоэнергетических систем следует учитывать следующие характерные особенности:

·        взаимосвязь с другими системами народного хозяйства;

·        территориальную распределенность и сложность;

·        непрерывность и инерционность развития;

·        непрерывность функционирования взаимосвязь режимов работы элементов системы;

·        многоцелевой характер и практическую невозможность полного отказа системы;

·        неравномерность процесса потребления продукции;

·        подверженность крупным внешним воздействиям -непреднамеренным и преднамеренным;

·        возможность каскадного развития аварий;

·        зависимость пропускных способностей связей от их местоположения, режимов работы системы и состава работающего оборудования;

·        иерархичность;

·        разнообразие технических средств обеспечения надежности;

·        активное участие человека в процессе управления;

·        неполноту, недостаточную достоверность информации о параметрах и режимах системы.

·        невозможность использования статистических методов, применяемых в других видах промышленности.

Обеспечение надежности теплоснабжения состоит из ряда факторов, которые вместе составляют основу энергетической безопасности страны, особенно с учетом взаимосвязи инженерных систем.

Согласно проведенным исследованиям, тепловые сети являются особенно уязвимым элементом системы теплоснабжения. Это произошло под влиянием нескольких факторов: сложной структуры и топологии, ветхости (для замены требуется каждый пятый километр теплотрассы, заложенной на территории России), влияние кризисного периода 1990-х годов, нестабильная ситуация Законодательной базы. Все это привело к тому, что надежность системы теплоснабжения, в частности тепловых сетей, сказывается на надежности энергосистемы в целом. Принимая во внимание сохранение достаточно высокой надежности источников тепла, наиболее важна оценка функциональной надежности тепловых сетей.

Во многих городах в связи с постепенной стабилизацией экономической ситуации и принятием законов, регулирующих теплоснабжение, можно наблюдать улучшение ситуации, связанной с отказами. Чтобы сохранить надежность системы теплоснабжения и устранить причины, которые могут повлиять на нее, необходимо точно знать, в каком состоянии эта система находится в данный момент. При проведении сертификации энергообъектов в соответствии с Законом об энергосбережении многие предприятия теплоснабжения проводят диагностические проверки состояния трубопроводов и создают централизованные базы статистических данных о повреждении сети. Эти обстоятельства предполагают использование информации, полученной для последующего исследования секций сети, для обеспечения надежности.

Однако следует учитывать тот факт, что в последнее время установка новых и реконструированных секций тепловых сетей осуществляется с помощью труб с индустриальной изоляцией. С каждым годом объемы переселения увеличиваются. Тип прокладки изменяется, поскольку индустриальная изоляция позволяет прокладывать трубопроводы без канала. Из-за изменений условий укладки требования к показателям надежности должны измениться. Для применения показателей в связи с новыми требованиями и условиями для определения коэффициентов надежности требуются утвержденные методы.

Как замечено выше, в рекомендациях по повышению показателей надежности МДС 41-6.2000 не содержится конкретных методик для расчета надежности, поэтому возможно расширить область использования методических рекомендаций, обращаясь к научным исследованиям. Рассмотрим существующие методики на предмет практического применения специалистами по профилю тепловой энергетики.

Исследуем выбранную методику методом апробирования на реальной системе теплоснабжения одного из средних городов России с целью сопоставимости результатов исследования и статистической базы данных.

 


2. Анализ существующих методик по определению показателей надежности тепловых сетей


2.1     Обзор исследований в области расчета надежности для энергетических систем, смежных с тепловыми сетями

За последние годы, с улучшением материалов и методов укладки инженерных сетей, все больше и больше специалистов заинтересованы в обеспечении надежности действующих систем, введенных в эксплуатацию при строительстве территорий и транспортных систем, которые выводятся на новые объекты. Строительство новых городских кварталов обязательно предполагает проектирование и строительство коммунальных систем распределения трубопроводов с различными целевыми продуктами (газ, вода, тепло, сжатый воздух и прочие) [29]. В связи с этим научные исследования появились в области расчета надежности наиболее социально зависимых систем: газа, тепла, электричества, водоснабжения и водоотведения. Такие системы предназначены для непрерывной доставки потребителю по протяженным напорным трубопроводам целевого продукта в заданном количестве и заданного качества в течение длительного периода времени.

Существенной особенностью этих систем является наличие в их структуре длинных участков трубопровода протяженностью в несколько километров и транспортировка продукта из некоторого источника (водозаборная станция, перерабатывающая установка, насосная станция, насосная установка, скважина, точка отбора проб, И т. Д.) Потребителю продукта. В роли потребителя могут действовать как отдельные лица и организации, так и целые предприятия. Любая транспортная трубопроводная система соединяет производителя целевого продукта и потребителя.

Поскольку системы трубопроводного транспорта имеют сходство между собой, важно исследовать ситуацию с определением надежности систем энергоснабжения, прилегающих к системам теплоснабжения. Системы электропитания имеют существенное отличие от систем трубопроводов. Отметим тот факт, что для расчета надежности в электроэнергетике в последние годы было довольно много методических рекомендаций, позволяющих рассчитывать показатели надежности электрических сетей.

Газоснабжение.

Для системы газораспределения, согласно [22], оценка надежности всей системы газопроводов подразумевает выделение однородных групп элементов системы (компрессорных станций, линейных частей магистральных газопроводов и пр.) С последующим анализом сбоев подсистемы. Расчет срока службы газопровода, выполненного в соответствии с указанными Методическими рекомендациями, предназначен для обеспечения оптимального выбора его проектной схемы на требуемом уровне эксплуатационной надежности и безопасности.

Применяется методология теории надежности системы, которая, применительно к магистральным газопроводам, предполагает несколько уровней разукрупнения системы. Рассматривается уровень, для которого предмет исследования является линейной частью магистрального газопровода (ЛЧМГ). На этом уровне выделяются следующие подсистемы: 1) группа А -основный металл (трубы) со сварными соединениями (сварные швы) и конструктивные элементы, такие как ветви, ветви, тройники и т. д., 2) группа В - компоненты конструкционного оборудования, Включая средства электрохимической защиты, прокладки (фундамент сваи, метод засыпки почвы и т. Д.), Антикоррозионные покрытия и тому подобное. Надежность всей системы в целом (при заданном уровне дезагрегации) зависит от надежности составляющих ее компонентов (выделенных подсистем). Между отказами групп A и B существует очевидная статистическая зависимость, которая подразумевает применение методов надежности для оценки показателей надежности. Этот приблизительный подход определяется отсутствием полной информации о распределении условной вероятности сбоев в группе А в случае отказа в группе В. С другой стороны, при рассмотрении конструктивной схемы конкретной газопроводной системы необходимо провести структурный анализ, в котором газопровод рассматривается как расширенная механическая система, состоящая из однородного метода укладки, наземно-геологических, климатических и эксплуатационных условий участков. Выделение однородных участков осуществляется в соответствии с принципом равной надежности. Для выбранной группы областей ошибки имеют одинаковую природу (причина отказа описывается одним и тем же критерием начала предельного состояния).

Третий момент классификации предусматривает изучение физико-механической природы возможных отказов выделенных участков по группам оборудования газопровода А и В. При этом обращается внимание на причину отказа, степень критичности (несущественный, существенный, критический), возможности восстановления работоспособности конструктивных элементов после отказа. Последнее предполагает выделение резервируемых участков, а, следовательно, применение для прогнозирования показателей безотказности методов теории надежности систем с резервированием.

На уровне методологического обеспечения необходимы:

1.       Классификатор возможных (наблюдаемых в аналогах) дефектов и геометрических несовершенств.

.        Наличие статистической информации о типе и уровне нагрузок и воздействий в районе эксплуатации будущего объекта.

.        Выбор, разработка и применение расчетных методов оценки напряженно-деформированного состояния конструктивных элементов ЛЧМГ с дефектами и геометрическими несовершенствами.

.        Накопленная диагностическая информация об аналогичных дефектах.

Применительно к тепловым сетям выделение подсистем на сам трубопровод (группа А) и его конструктивные элементы (группа В) достаточно интересный подход, который вполне осуществим на тепловодах, проложенных надземно и в каналах. Для оценки надежности трубопровода с учетом данного фактора необходима база данных не только по повреждениям на тепловых сетях, но и на конструктивных элементах. Однако, сбор такой информации большинством теплоснабжающих предприятий не осуществляется, т.к. предусматривает детальную проработку каждого повреждения, а в сводках по аварийным ситуациям практически в 90% случаях причиной повреждения указывается «свищ».

Водоснабжение и водоотведение.

Гальпериным Е.М. в основу положений теории надежности систем водоснабжения в [24], положена математическая модель функционирования сложных технических систем в пространстве состояний. Рассматриваются показатели надежности таких систем и процедура их определения, а также конкретизируется для отдельных сооружений, частей и и систем водоснабжения и водоотведения: кольцевой водопроводной сети, водоотводящей сети, насосных станций, водозаборов и очистных сооружений.

Главное отличие систем водоотведения от других инженерных систем - движение воды по напорно-самотечному принципу.

Существует несколько исследований, в которых обсуждается необходимость разработки конкретных показателей качества и методологий для оценки надежности дренажных систем в чрезвычайных ситуациях. Предложены подходы к использованию различных модификаций традиционной теории надежности, оценки экономического ущерба, вызванного авариями, введения избыточности в систему на этапе проектирования и т. Д. Все многочисленные публикации по надежности систем удаления сточных вод подразделяются на две категории: Наблюдения за реальными объектами и чисто прикладной природы, а также теоретические работы, в которых предпринимаются попытки определить общие закономерности, которые определяют надежность функционирования элемента и В системах. Более того, эти недавние исследования, как правило, работают с довольно сложным математическим аппаратом и, как следствие, вызывают своеобразное психологическое «отвержение», когда они используются практиками. Работы, которые объединяют эти две области, встречаются очень редко; Между тем их производительность и полезность ясны.

В одной из недавних публикаций [25] авторами предлагается метод последовательной декомпозиции и эквивалентирования, использующий топологические особенности структуры сети - ее древовидность. Метод учитывает характерную особенность структуры городской канализационной сети - древовидность, и предполагает стационарность потоков отказов и восстановлений ее элементов. На основании предложенного метода разработан способ учета влияния стареющих элементов системы на ее показатель надежности. С точки зрения выбранного критерия оказалось возможным количественно оценить надежность канализационной насосной станции и обосновать подход к выбору структуры комплекса очистных сооружений. Результаты исследования доведены до формул и соотношений, удобных для использования в инженерных расчетах.

Здесь актуальным является подход к созданию универсальной методики, применимой обычными инженерами, не обладающими академическими знаниями.

2.2     Обзор методик по расчету надежности тепловых сетей

Неслучайно затронута тема надежности тепловых сетей, а под влиянием того факта, что запас надежности оборудования, установленного 30-50 лет назад, с новым строительством систем теплоснабжения, постепенно израбатывает себя. Хрупкость отдельных участков и агрегатов как на магистральных линиях, переносящих теплоноситель, так и на агрегатах тепловых источников достигает 55%. Поскольку процесс обновления довольно длительный и требует больших капиталовложений, то сокращение общего процента устаревшего оборудования происходит очень медленно.

В СССР существовала система, обеспечивающая надежное теплоснабжение. Весь процесс контролировался Государственным комитетом по планированию( Госплан). Были разработаны программы развития городов, и на их основе были созданы общие схемы систем жизнеобеспечения, в том числе системы теплоснабжения населенных пунктов. Эти программы и схемы регулярно корректировались один раз в пять лет.

С началом реструктуризации система рухнула, а процесс развития инженерных систем до недавнего времени был хаотичным. Строительство коммуникаций и головных сооружений состоялось для решения частных задач «малого города», и в ряде случаев это были экономически необоснованные решения. В настоящее время развитие энергетических систем происходит с постоянным структурным усложнением схемы магистральных и квартальных трубопроводов.

При высоком уровне износа существующих транспортных систем, увеличении их аварий и угрозе техногенных катастроф введение новых участков тепловых сетей не может гарантировать повышение надежности всей системы.

Существует два способа создания надежных систем. Первый способ - улучшить качество элементов, входящих в систему; второй - резервирование элементов. Повышают надежность, реализуя в первую очередь первый способ. Но когда технические возможности для улучшения качества элементов исчерпаны или когда дальнейшее улучшение качества экономически невыгодно, следуют по второму пути. Второй способ необходим, когда надежность системы должна быть выше, чем надежность элементов, из которых она состоит. Повышение надежности достигается путем резервирования. Для систем теплоснабжения используется дублирование, а для тепловых сетей - дублирование, кольцевание и разбиение (секционирование) [5].

Надежность системы теплоснабжения может характеризоваться различными показателями. В зависимости от иерархического уровня, на котором эта задача решается, используются следующие показатели надежности: комплексные показатели - коэффициент доступности продукта, коэффициент готовности; единичные - вероятность безотказной работы, интенсивность и параметр потока отказов, среднее время восстановления; специальные - вероятность реализации уровня располагаемой емкости и прочие.

При перспективном проектировании на достаточно отдаленный период возрастающая неопределенность условий развития и функционирования систем теплоснабжения приводит к целесообразности применения упрощенных оптимизационных математических моделей (в первую очередь, линейных и непрерывных).

В процессе эксплуатации и развития магистральных трубопроводных систем (МТТС) распределение потока охлаждающей жидкости имеет большое значение. Возможность управления потоковым распределением обеспечивает рациональную работу сетей, то есть позволяет экономить материальные, трудовые, временные и финансовые ресурсы предприятий и организаций, работающих в сети трубопроводов. Аналогичная ситуация наблюдается при управлении функциональной надежностью системы. Возможность управления функциональной надежностью в процессе эксплуатации и разработки МТТС позволяет:

выбирать в трубопроводной транспортной сети маршрут поставки ЦП конкретному потребителю с минимальными затратами при обеспечении должной надёжности поставки;

выбирать трубопроводные участки и запорную арматуру для проведения ремонтно-профилактических работ при соблюдении должной надёжности без прерывания процесса транспортирования ЦП конкретным потребителям.

К сожалению, в действующих тепловых сетях не предусмотрена реализация механизма управления функциональной надёжностью по четырём основным причинам:

нет инженерной методики точного расчета данного показателя для сложных систем теплоснабжения в реальном масштабе времени;

имеет место временная зависимость показателей функциональной надёжности в сторону их ухудшения, вызванная износом и старением всех конструктивных элементов трубопроводной сети;

существует недооценка показателя функциональной надежности на этапе проектирования и начальных этапах эксплуатации в виду малого износа и отсутствия старения для всех конструктивных элементов трубопроводной сети;

имеет место невысокая степень свободы трубопроводной системы по отношению к управлению функциональной надёжностью, которая обеспечивается изменением положения запорной арматуры или проведением ремонтно-профилактических работ [10], [14].

Надежность тепловых сетей оценивается индексом надежности системы, значение которого должно быть не меньше установленного уровня. Поскольку ущерб, вызванный авариями, прогрессирует с ростом системы, уровень надежности для больших систем устанавливается на порядок выше. Вопрос об оптимальном уровне надежности систем теплоснабжения в настоящее время не решен. Предварительный уровень надежности систем теплоснабжения от квартальных котельных и станций централизованного теплоснабжения может быть взят не ниже 0,85, а от ТЭЦ - не ниже 0,90. Такой относительно низкий уровень надежности объясняется большими значениями параметра потока отказов элементов тепловых сетей [9].

Вероятностно-статистические методы основаны на реальных статистических данных. Для апробации таких методов необходима база данных о сбоях элементов систем теплоснабжения. В то же время ситуация осложняется тем, что характеристики производительности не всегда фиксируются в случае сбоев или аварий, поэтому методы расчета становится сложнее применять.

В экономической оценке надежности многими авторами [9], [26] расчет показателей сводится к поиску минимума затрат, что также не дает однозначной оценки для любой системы теплоснабжения в отсутствии суммы затрат на аварийную работу в случае сбоев.

Аналитические методы расчета более удобны для анализа статистических данных и поэтому могут быть использованы для расчета показателей надежности.

Ниже рассматриваются более подробно научные разработки в области расчета, повышения и оптимизации коэффициентов надежности системы теплоснабжения. Согласно анализу автора в [11] литературы и апробации расчетных моделей надежности тепловых сетей, например города Калининграда и Калининградской области показывает, что вычисления одних и тех же параметров различными методами показывают разные результаты, которые иногда несколько отличаются друг от друга. Кроме того, во многих публикациях предлагаемые способы применения связаны с некоторыми трудностями в использовании. Эта ситуация возникает чаще всего из-за того, что нет конкретных статистических данных.

Целью этой работы является обеспечение того, чтобы расчет надежности тепловых сетей мог применяться инженерами, осуществляющими деятельность в области теплоснабжения. В этом случае предполагается, что для этой цели статистическая информационная база должна по меньшей мере состоять из следующих частей:

схема тепловой сети с привязкой к карте местности с указанием протяженности, диаметра, тепловых камер и узлов, секционирующих задвижек в электронном и бумажном виде;

база данных по повреждениям на каждом участке тепловых сетей с указанием даты, места, причины повреждения;

база данных либо альбом по диагностике участков тепловых сетей;

паспорт тепловых сетей;

база данных по техническому оборудованию тепловых сетей (опоры, арматура и т.д.) с указанием года введения в эксплуатацию и год последней проверки;

программа развития системы теплоснабжения за последний год или пять лет с перспективой на 5 лет и выше.

Расширим диапазон исследования в области надежности тепловых сетей с учетом проделанной работы в [11].

. Согласно [5], одним из способов повышения надежности тепловых сетей является их рациональное разделение - выбор оптимального расстояния между секционными задвижками ( км). Задачей оптимального секционирования является минимизация математического ожидания годового ущерба от недоотпуска теплоты, связанного с неготовностью системы, с учетом времени восстановления в виде (1):

, (1)

где- удельный ущерб от недоотпуска тепловой энергии, руб./МВт;

 - отношение средней за отопительный период и расчетной тепловой мощности, передаваемой по участку сети;

 - вероятность отказа участка сети между секционирующими задвижками.

Вероятность отказа участка между секционирующими задвижками равна (2):

, (2)

Максимально допустимое расстояние между секционирующими задвижками (3):

, (3)

Предположим, что можно определить оптимальное расстояние между секционными клапанами на основе условий, описанных в номограмме (рисунок 1), как один из способов повышения надежности тепловых сетей. Фактически этот показатель применим только в случае нового строительства тепловых сетей или подключения потребителей с достаточно протяженными тепловыми сетями. В годы развития строительства централизованного теплоснабжения на территории бывшего СССР эта практика является целесообразной и продуктивной, но в настоящее время в условиях жесткого строительства крупных городов с уже установленными частыми сообщениями она вряд ли эффективна и трудно реализуема.

. Из источника [27] следует, что надежность зависит от параметра потока отказов элементов тепловых сетей , расчетного значения времени t и величины относительной тепловой нагрузки , отключаемой при аварийных ситуациях на сетях (4):

,

Вычисленное значение параметра для элементов тепловых сетей, спроектированных и построенных в соответствии с действующими нормами, достаточно стабильно. теплоснабжение энергетический вологда

Рисунок 1 - Номограмма для определения максимально допустимого расстояния между секционирующими задвижками и минимально допустимой долей отпуска на отопление

Уменьшение параметра ω может быть достигнуто за счет использования более совершенных материалов и конструкций тепловых труб и сетевого оборудования, возможность их использования связана с общим техническим прогрессом. То есть, обосновывая схему тепловых сетей в процессе проектирования, параметр представляет собой значение предопределенного и определяющего надежность нерезервированных систем. Расчетное значение времени t принимается за продолжительность отопительного сезона.

Расчет надежности тепловой сети проводится в два этапа. На первом этапе необходимый структурный резерв оправдан, на втором этапе - резерв мощности (мощности) сети. На первом этапе расчета надежности учитываются только те элементы, ремонт которых превышает допустимое прерывание подачи тепла, поэтому трубы и фитинги малого диаметра не учитываются при расчете системы (предварительно, что соответствует трубе диаметром 200 мм).

Второй этап заключается в расчете резерва диаметров трубопроводов для наиболее неблагоприятных аварийных ситуаций. Такие ситуации связаны с отключением элементов головки. В результате этих расчетов все не связанные потребители должны получать по крайней мере ограниченное количество тепла в любой чрезвычайной ситуации.

В соответствии с вариантом, предложенным в [6], проблема оптимизации системы теплоснабжения была сведена к построению «идеальной» схемы теплоснабжения, которая могла бы быть реализована для конкретного местоположения потребителей с их тепловыми нагрузками. В качестве объективной функции в процессе оптимизации используются общие дисконтированные затраты на систему теплоснабжения для расчетного периода. В качестве исходных данных принимаются: а) из плана города или отдельной анализируемой площади - количества потребителей и их привязки к местности в декартовых координатах. B) описание тепловой нагрузки отопления, вентиляции (максимальный расчет, график Россандера) и подачи горячей воды для каждого потребителя. Остальные значения, определяющие целевую функцию, устанавливаются заранее и могут быть изменены в зависимости от местных условий, а именно: стоимости котельного оборудования, насосных агрегатов, метода укладки и стоимости тепловых и газовых сетей, стоимости электроэнергии , топлива, воды, учетная ставка, срок службы оборудования и т. д.

Автор [7] рассматривает для оценки надежности транспортировки теплоносителя по тепловым сетям вероятностный метод, в рамках которого надежность системы трубопроводов оценивается показателем вероятности безотказной работы (5):

, (5)

Где Р - показатель вероятности безотказной работы;

n - параметр потока отказов как отношение числа отказов за год на трубопроводах определенного диаметра к общей протяженности трубопровода рассматриваемого диаметра;

l - протяженность теплотрубопровода;

 - длительность во времени расчётного периода, для которого оценивается безотказность работы.

Методология и программный алгоритм, представленный в [28], предназначены для расчета показателей надежности в тепловых сетях систем централизованного теплоснабжения при разработке схем теплоснабжения с целью выбора решений, обеспечивающих нормативные требования к надежности теплоснабжения потребителей на основе резервирования тепловых сетей. Показатели надежности рассчитываются для отопительного периода. При определении показателя . временной резерв потребителей;

его зависимость от температуры наружного воздуха;

продолжительность стояния температур наружного воздуха, при которых время восстановления элементов превышает временной резерв потребителей, т.е. доля отопительного периода, в течение которой отказ каждого элемента нарушает теплоснабжение каждого потребителя.

Интенсивность отказов запорно-регулирующей арматуры (ЗРА) (одной единицы) (6):

, (6)

Параметр потока отказов элементов тепловых сетей:

Параметр потока отказов участков тепловых сетей (7):

 1/ч, (7)

Где L - длина участка тепловых сетей, км.

Параметр потока отказов ЗРА (8):

, 1/ч(8)

Среднее время до восстановления элементов тепловых сетей:

Среднее время до восстановления участков тепловых сетей [4] (9):

, ч, (9)

где- расстояние между секционирующими задвижками, км;

d - диаметр теплопровода, м.

Для реализации методологии используются вероятностные модели функционирования системы и расчета показателей узловой надежности, детерминированные модели теплообмена в зданиях и расчеты гидравлических режимов в многоконтурных транспортных средствах. Их эффективное внедрение возможно только в геоинформационных системах, в которых разрабатываются электронные модели схем теплоснабжения.

В основе метода [29] положено разбиение трубопроводных транспортных систем (ТТС) на аварийно-ремонтные зоны (АРЗ) и замены структуры ТТС макроструктурой АРЗ.

Метод АРЗ включает семь последовательных этапов:

.Формирование математической модели трубопроводной транспортной сети со сложной топологической структурой в виде взвешенного графа.

.Разбиение исходного взвешенного графа сложной трубопроводной транспортной сети на подграфы (макроэлементы), каждый из которых соответствует одной АРЗ.

.РасчеттехническойнадежностиАРЗкакнезависимого

макроэлемента в функционировании ТТС.

.Преобразование исходного взвешенного графа сети большой размерности во взвешенный макрограф АРЗ малой размерности (замена микрографа каждой АРЗ одной вершиной).

.Построение упрощенного макрографа АРЗ относительно конкретного потребителя трубопроводной транспортной сети.

.Построение расчётной модели функциональной надёжности трубопроводной транспортной сети относительно конкретного потребителя.

.Формирование математической модели функциональной надежности сети по отношению к конкретному потребителю с использованием классических методов теории надежности технических систем и прямого расчета функциональной надежности.

Основным отличием всех вышеперечисленных методов является практическая возможность использования полученных результатов. В первых четырех методах численное значение индекса надежности, полученного при расчетах, предполагает использование этой информации только в том случае, когда система централизованного теплоснабжения находится в разработке. Другими словами, это создание высоконадежной системы энергоснабжения, где тепловые сети из нового источника закладываются с нуля, и в настоящее время наиболее актуальным является изучение надежности тепловых сетей при разработке городских схем теплоснабжения.

. К утвержденным методикам (в соответствии с 190-ФЗ 22 февраля 2012 г. постановление Правительства РФ №154), которыми предлагается руководствоваться при анализе показателя надежности схемы теплоснабжения города, можно отнести методические рекомендации по разработке схемы теплоснабжения раздел X (срок введения 29 декабря 2012 г.), к рекомендуемым методикам относится методика.

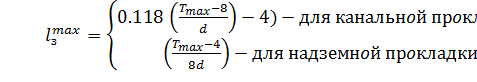
К примеру, эмпирическая зависимость для нахождения времени восстановления теплоснабжения в случае отсутствия достоверных данных не несет логической информации о работе тепловых сетей, т.к. значение используемых в формуле коэффициентов a,b, зависящих от способа укладки трубопровода, приведены только для канальной прокладки (10).

, (10)

Где a, b - постоянные коэффициенты, зависящие от способа укладки теплопровода.

Кроме того, одним из основных требований для расчета показателей надежности является возможность определения оптимальной транспортировки теплоносителя из одного или нескольких источников без изменения существующей топологии тепловой сети. То есть, в результате вычислений инженер мог определить точку подключения нового потребителя на ветке, функциональная надежность которой будет иметь максимальное значение.

2.3     Алгоритм и методика расчета надежности тепловых сетей различных структур

Исторически сложилось так, что в некоторых населенных пунктах тепловые сети «закольцовываются», другие имеют «древовидную» структуру. Следует отметить, что расчет надежности тупиковых и кольцевых систем теплоснабжения имеет свои отличия.

Для этого разработан алгоритм оценки перспективного развития системы теплоснабжения с учетом структуры тепловых сетей (рисунок 2). Алгоритм начинается с определения типа схемы и сбора исходных данных (расчетная схема с указанием диаметров, длин, тепловых узлов, секционирующих задвижек и расходов теплоносителя у потребителя). Далее производится циклическая обработка данных, связанная с эквивалентированием тепловой сети и выделением участков, отсекаемых секционирующими задвижками. Затем производится расчет по одной из апробированных методик и сверка полученного значения с нормативным. При этом учитывается, что для кольцевой сети нормативный показатель надежности принимается равным 0,86 (как для всей системы теплоснабжения, т.к. при расчете учитываются тепловые нагрузки потребителей), а для тупиковой - 0,9 (как для системы тепловых сетей, т.к. при этом расчет производится без гидравлической увязки). Циклическая обработка завершается, когда полученное значение показателя надежности будет соответствовать нормативному. В этом случае подключение новых потребителей позволит сохранить надежность и безопасность теплоснабжения всех потребителей.

Рисунок 2 - Алгоритм оценки перспективного развития системы теплоснабжения с различными типами структуры тепловых сетей.

Уникальность и специфичность систем теплоснабжения приводят к передаче исследований их надежности в области теории, расчетов, моделирования и прогнозов. Термин «надежность» включает в себя набор свойств и характеризует их с любой стороны (структурная надежность, режим, живучесть, устойчивость и т. д.). В связи с тем, что далее указаны конкретные показатели надежности, в зависимости от того, какой критерий надежности надежности принимается за основу.

Методика расчета надежности тепловых сетей тупиковой разветвленной структуры основана на [29]. Отличия предлагаемой методики:

разбиение графа исходной тепловой сети на АРЗ производилось с условием транспортировки теплоносителя до ТК, а не до потребителя. Т.е. влияющими повреждениями оказались только отказы на магистральных тепловых сетях;

в связи с принципиальными отличиями тепловых систем от других инженерных систем, методика впервые апробирована для расчета надежности систем теплоснабжения;

в соответствии с СанПиН 2.1.4. 2496-09 «Гигиенические требования к обеспечению безопасности систем горячего водоснабжения» и введением ограничения срока отключения горячей воды в период профилактических ремонтов (п. 3.1.11), отказы в летний период также приравниваются к влияющим.

После преобразований формулы Самойленко И.Н. с учтёнными отличиями, техническая надёжность каждой из зон (АРЗ) определяется по формуле (11):

, (11)

Где - длина участка,

n-количество потребителей,

W - суммарное количество задвижек,

o - количество отказов.

Применение метода аварийно-ремонтных зон для определения вероятности работоспособного состояния системы теплоснабжения позволяет учитывать особенности структуры сети, позволяет адекватно оценивать надежность теплоснабжения отдельных потребителей при:

· проектировании, строительстве и реконструкции участков тепловых сетей;

· выборе точки подключения новых потребителей к тепловым сетям;

· выборе наиболее «сложного» потребителя, находящегося в самых неблагоприятных условиях;

· обосновании или планировании резервирования участка;

· разработке схемы теплоснабжения поселений и городских округов.

Методика расчета показателя надежности системы теплоснабжения позволяет сопоставить полученный коэффициент с нормативным при:

·        разработке схемы теплоснабжения поселений и городских округов;

·        определении секционирования тепловой сети с целью распределения величины отключаемой мощности при авариях.

Повреждения тепловых сетей напрямую связаны с отказами других инженерных систем. Исследование состояния вопроса о надежности расчета имеет значение в смежных областях (в частности, расчет надежности магистральных трубопроводных систем, таких как поставка газа, водоснабжение и водоотведение). Разработка методологии оценки надежности системы теплоснабжения позволит регулировать надежность тепловых сетей при различных условиях эксплуатации и способе транспортировки теплоносителя.

На сегодняшний день нет утвержденных методов расчета надежности систем теплоснабжения, которые регулируют их использование в качестве основы для разработки новых участков тепловых сетей или при планировании подключения новых потребителей. Несмотря на это, в методологии MДС 41-6.2000 в зависимости от показателей надежности отдельные системы и муниципальные системы теплоснабжения города (населенного пункта) можно оценить с точки зрения надежности как:

·   высоконадежные - более 0,9;

·   надежные - 0,75 - 0,89;

·   малонадежные - 0,5 - 0,74;

·   ненадежные - менее 0,5.

Разработан алгоритм оценки перспективного развития системы теплоснабжения и методика расчета надёжности тепловых сетеq, которые позволят инженеру-проектировщику на первом этапе работы оценить структуру тепловой сети, выбрать методику для расчета надежности и определить нормативный показатель надежности в соответствии с требованиями законодательства.

3. Оценка надежности тупиковой системы теплоснабжения на примере тепловых сетей Вологды


3.1     Структура системы теплоснабжения города Вологды и анализ статистики по тепловым сетям

На территории г. Вологда в настоящее время единого централизованного источника теплоснабжения нет. Но основным поставщиком тепловой энергии в г. Вологде является муниципальное унитарное предприятие «Вологдагортеплосеть» (далее МУП «ВГТС»). Более 85% всей тепловой энергии реализуется через тепловые сети этого предприятия.

Теплоснабжение г. Вологда обеспечивают достаточно большое количество теплоисточников, самыми крупными из которых являются ГУ ОАО «ТГК-2» по Вологодской области, ООО «ЗАПАДНАЯ КОТЕЛЬНАЯ», ТЭЦ ОАО "ВОМЗ". Значительный совокупный вклад в теплоснабжение города вносят котельные МУП «Вологдагортеплосеть».

По состоянию на конец 2013 г. только МУП «ВГТС» эксплуатирует 25 котельных общей установленной мощностью 364,3 Гкал/ч. В качестве топлива используется только природный газ.

В котельных города установлены котлы различных видов и мощности, в эксплуатации остается большое количество устаревших морально и физически котлов, установленных в 70-80-х годах прошлого века. Износ непосредственно котлоагрегатов составляет в среднем по городу 55-60%. Практически повсеместно отсутствует автоматика поддержания режимов горения и отпуска тепла за исключением недавно построенных котельных и реконструированных. На некоторых котельных имеется дефицит тепловой мощности.

В течение ряда лет на предприятии МУП «ВГТС» накапливались данные по повреждениям (иначе: дефектам) на тепловых сетях, выборочно опробовались различные методы технического диагностирования. На основании накопленных статистических данных, произведена обработка и систематизация тепловых сетей по различным признакам.

На основании даных МУП «ВГТС» город разделен на 5 теплосетевых районов (рисунок 3). Каждый из них отличается характеристиками почвы и уровнем грунтовых вод, а также протяженностью трубопроводов по типам изоляции и году прокладки.

Расчеты, прогнозы возможных ситуаций в сложном инженерном хозяйстве предприятия выполнялись и ранее, но необходимость обработки огромных массивов информации, в ряде случаев ее отсутствие, сложность сопоставления различных баз данных, выполненных в разных форматах, приводили к тому, что задача оптимального адресного выбора участков капитального ремонта не всегда решалась правильно. Пришло понимание того, что необходимо создать, поддерживать, развивать и наращивать мониторинг - комплексную систему наблюдений, оценки и прогноза состояния тепловых сетей. Реализации такого замысла способствовало и появление соответствующих технических и программных средств.

Рисунок 3 - Схема теплосетевых районов г. Вологда

В таблице 3 указана протяженность тепловых сетей в однотрубном исполнении для пяти сетевых районов г. Вологды.

Таблица 3 - Распределение протяженности тепловых сетей в сетевых районах

Наименование района

Протяженность теплосетей в однотрубном исполнении, км

Р-н № 1

78,029

Р-н № 2

121,289

Р-н № 3

82,37

Р-н № 4

118,609

Р-н № 5

186,985

ИТОГО:

587,282


Процент износа тепловых сетей по состоянию на 01.01.2013 года составляет 72,0%. Следствием достаточно высокого уровня износа сетей является повышенный уровень потерь воды и тепловой энергии.

Наиболее существенными факторами, которые оказывают влияние на снижение надежного теплоснабжения потребителей и распространены на территории г. Вологды являются:

. Физический износ оборудования систем теплоснабжения.

. Наличие и состояние тепловой изоляции трубопроводов тепловых сетей.

. Среда, в которой содержатся трубопроводы.

Рассмотрим их более подробно.

Физический износ составляет более 50% всех тепловых сетей города (рисунок 4) является первым из трех рассматриваемых критериев.

Рисунок 4 - Распределение тепловых сетей по срокам ввода в эксплуатацию

Исходя из данных МУП «ВГТС» установлено, что сети наиболее ранней прокладки в первом и втором сетевых районах, более поздней прокладки в третьем и пятом.

Вторым существенным фактором определен тип изоляции проложенных трубопроводов (рисунок 5). Из приведенных на диаграмме данных видно, что на территории г. Вологды преобладает традиционная (минераловатная) изоляция тепловодов.

Рисунок 5 - Тип изоляции трубопроводов по сетевым районам города

Тем не менее, в последние годы производится планомерная реконструкция участков тепловых сетей и замена труб в минераловатной изоляции на предизолированные трубы в ППУ-изоляции, которая является энергоэффективнее традиционной.

Третьим существенным фактором, влияющим на отказы в тепловых сетях, принят состав среды, в которой находятся трубопроводы.

Известно, что основной причиной повреждений на тепловых сетях являются коррозионные процессы металла трубопроводов в результате физико-химических воздействий окружающей среды на трубопроводы.

Т.к. более 70% теплопроводов в г. Вологды подземной прокладки, следовательно доминирующей средой, в которой располагаются трубы, являются грунты. Несмотря на то, что прокладка труб в традиционной изоляции предусматривается в лотках с параллельным дренажем, не редки случаи попадания грунтовых вод и частичное или полное затопление каналов, а также тепловых камер.

Структура, влажность, воздухопроницаемость, окислительно-восстановительный потенциал, общая кислотность и общая щелочность почв и грунтов обуславливает коррозионную активность среды, в которой прокладывается тепловая сеть. Помимо почвенной коррозии, подземные теплопроводы подвержены электрокоррозии, вызываемой блуждающими токами, и внутренней коррозии.

Воздействие блуждающих токов на трубопроводы наиболее интенсивно в области функционирования электротранспорта.

Выясним динамику отказов на тепловых сетях различных районов (рисунок 6, 7).

Рисунок 6 - Общее количество повреждений, зафиксированных на тепловых сетях г. Вологды за период 2008-2013 гг.

При определении параметра потока отказов были учтены не все повреждения, зафиксированные в районах. Из рассмотрения были изъяты повреждения, повлекшие за собой отключения участков и абонентов в течение менее 3 ч.

В целом количество аварий с каждым годом растёт. В 2010 году зафиксирован всплеск аварийных ситуаций на тепловых сетях г. Вологды. Число перебоев в работе тепловых сетей продолжает оставаться достаточно высоким, что объясняется большим количеством ветхих сетей.

Рисунок 7 - Количество повреждений, зафиксированных на тепловых сетях различных районов г. Вологды за 2008-2013 г.

Обозначим результаты, полученные на основании данных, отраженных на (рисунок 7) с последующим их обоснованием:

.        Воздействие перечисленных выше влияющих факторов в первом сетевом районе является минимальным. Количество аварийных ситуаций в период с 2008 по 2013 года находится на самом низком значении.

.        Напряженная ситуация во втором сетевом районе, связанная с наличием в ней промышленной зоны, собственники предприятий которой не заинтересованы в перекладке тепловых сетей, находящихся на их балансе ввиду сложной экономической ситуации. А также напряжённой ситуации способствует истёкший срок эксплуатации тепловых сетей.

.        Наиболее сложная аварийная ситуация тепловых сетей состоит в сетевом районе № 3, которая затрудняется сложной топологией систем теплоснабжения от ТЭЦ ОАО «ТГК-2», частой застройкой времён 60-70-х годов, что подразумевает высокий износ тепловых сетей.

4.      Четвертый сетевой район занимает лидирующее положение по стабильной работе тепловых сетей. Этому обстоятельству способствует простая топология системы теплоснабжения - наличие нескольких закольцованных источников теплоснабжения. Также стабильной работе способствует тот факт, что срок службы тепловых сетей не превышает 25 лет, так как в последние годы реконструкция отдельных участков в этом районе с заменой стальных труб магистральных и отопительных сетей на предизолированные в ППУ-изоляции составила свыше 25% от общей протяженности.

.        Несмотря на то, что сети пятого сетевого района имеют сравнительно невысокий процент износа, а также наименее подвержены воздействию причин, снижающих надежность систем теплоснабжения, количество выявленных повреждений на магистральных и отопительных сетях достаточно велико по сравнению с другими районами. Это обусловлено большим размером сетевого района, сложной топологией сети от Западной котельной.

Изложенные ниже рекомендации для эксплуатирующих организаций получены на основе результатов проведенного анализа для каждого сетевого района.

1. Сети теплоснабжения первого сетевого района с точки зрения аварийности находятся в наилучшем состоянии, но из-за загрязнённости попутного дренажа и сбросных колодцев тепловые камеры и лотки тепловых сетей заполнены сточными водами, что повышает риск коррозии трубопроводов. Рекомендуется произвести прочистку дренажной системы и системы ливневой канализации.

. Результирующим обстоятельством, влияющим на аварийную работу системы теплоснабжения второго сетевого района, является ветхость оборудования. С целью сохранения безотказного транспортирования теплоносителя рекомендуется планомерная замена труб на предизолированные с ППУ изоляцией. Также рекомендуется произвести прочистку дренажной системы и системы ливневой канализации.

Ввиду ветхости тепловых сетей напор, создаваемый сетевыми насосами приводит к напряжениям в трубе, которые являются причиной разрывов.

.В связи с тем, что в третьем сетевом районе процент износа наиболее высокий, наблюдается наибольшее количество аварий. Рекомендуется в оперативном порядке разработать программу по замене трубопроводов, срок эксплуатации которых истёк на трубопроводы с применение ППУ изоляции. С целью сохранения надежности необходимо своевременное снятие показаний о состоянии изоляции труб с целью предотвращения разрывов (регистрация с терминалов системы оперативно-диспетчерского контроля). Также рекомендуется произвести прочистку дренажной системы и системы ливневой канализации.

4.В сетевом районе № 4 предполагается повсеместное применение предварительно изолированных трубопроводов тепловых сетей либо дополнительная организация дренажа ливневых вод в обход каналов теплотрассы. Контрольная проверка участков, на которых обнаружена коррозия, должна осуществляться не реже одного раза в год.

.Сложная топология пятого сетевого района является одной из причин аварийных ситуаций, поэтому следует увеличить количество осмотров состояния изоляции и диагностики состояния стальной трубы ультразвуком или другими способами диагностирования.. С целью сохранения безотказного транспортирования теплоносителя рекомендуется планомерная замена труб на предизолированные с ППУ изоляцией. А также рекомендуется произвести прочистку дренажной системы и системы ливневой канализации.

Так как в третьем сетевом районе наиболее сложные условия эксплуатации тепловых сетей и часты случаи возникновения отказов, то проведено более детальное исследование статистических данных, с увязкой их по месту на карте города в программно-расчётном комплексе Zulu Thermо.

3.2     Оценка надежности системы теплоснабжения третьего сетевого района Вологды

В дальнейшем произведен расчет вероятности работоспособного состояния теплоснабжения третьего сетевого района и поставлена следующая задача: выяснить, как будет развиваться исследуемая тупиковая тепловая сеть, если в перспективе будет происходить последовательное наращивание тепловой мощности?

Для этого сформирован алгоритм поиска зоны подключения новых потребителей к системе теплоснабжения (рисунок 8).

Алгоритм поиска зоны подключения новых потребителей к системе теплоснабжения начинается с ввода исходных данных (местоположение потребителя, тепловая нагрузка, нормируются показатель надёжности и величина остаточного ресурса трубопровода). В блоках 3-8 организована циклическая обработка результатов исследования участка на соответствие трубопровода остаточному ресурсу (результаты диагностики) и на соответствие показателя надежности нормативному.

При выполнении цикла происходит перебор возможных участков подключения с различными характеристиками (рабочий ресурс трубопровода и показатель надежности участка). Циклическая обработка завершается, когда выбирается участок, величина остаточного ресурса которого не ниже нормированной и показатель надежности которого не ниже нормативного.

Расчет функциональной надежности магистральной системы теплоснабжения потребителей третьего сетевого района проводился методом аварийно-ремонтных зон (метод АРЗ), который позволяет оценить вероятность поступления теплоносителя конкретному потребителю с учетом структуры сети и надежности функционирования отдельных ее элементов.

Рисунок 8 - Алгоритм поиска зоны подключения новых потребителей к системе теплоснабжения.

Расчёт производится по методике АРЗ известной Самойленко Н. И. с внесёнными изменениями. Основное отличие предлагаемой методики:

расчёт производился только на магистральном трубопроводе до ТК (а не до потребителя, как в методике Самойленко Н. И., так как влияющими повреждениями оказались только отказы на магистральных тепловых сетях.

После преобразований формулы Самойленко И.Н. с учтёнными отличиями, техническая надёжность каждой из зон (АРЗ) определяется по формуле (12):

, (12)

Где - длина участка,

n - количество потребителей,

o - количество отказов.

На рисунке (рисунок 9) представлена схема магистральных трубопроводов тепловых сетей, осуществляющих транспортировку теплоносителя от ТЭЦ ОАО «ТГК-2», которая была рассчитана на надёжность и на нахождение точки подключения перспективных потребителей (розовым цветом выделен тепловод, рассчитанный на надёжность).

Рисунок 9 - Магистраль, рассчитанная на надёжность

Результаты расчётов сведены в таблицу 4.

Таблица 4 - Расчёт надёжности аварийно - ремонтных зон

№ уч.

Наименование ТК

Наименование ТК

Длина (L), м

Количество потреб. (n)

Кол - во задвижек

Отказы

Надежность

1

Вол.ТЭЦ ГУ ОАО ТГК-2

ТК-1Ц

20

850

4

1

0,981

2

ТК-1Ц

ТК-2Ц

87,3

841

3

0

0,999

3

ТК-2Ц

ТК-3Ц

24,5

840

3

0

0,999

4

ТК-3Ц

ТК-4Ц

4,3

795

2

0

0,985

5

ТК-4Ц

ТК-6Ц

490,8

795

3

0

0,999

6

ТК-6Ц

ТК-4-10

17,7

402

2

0

0,996

7

ТК-4-10

ТК-4-9

43,3

402

2

0

0,997

8

ТК-4-8

ТК-4-7

91,3

402

2

1

0,979

9

ТК-4-9

ТК-4-8

7

402

2

0

0,994

10

ТК-4-7

ТК-4-6

55,9

402

2

0

0,997

11

ТК-4-5

ТК-4-4

76,15

402

2

0

0,997

12

ТК-4-6

ТК-4-5

9,45

402

2

0

0,995

13

ТК-4-5

ТК-4-4

76,15

352

2

0

0,996

14

ТК-4-4

ТК-4-3

45

352

3

0

0,997

15

ТК-4-3

ТК-4-2

125,2

322

2

0

0,996

16

ТК-4-2

ТК-4Ю

22

322

2

2

0,952

17

ТК-4Ю

ТК-6ю

188,6

291

3

0

0,997

18

ТК-6ю

ТК-8Ю

201

246

2

0

0,995

19

ТК-8Ю

ТК-9ю

227,07

211

2

0

0,994

20

ТК-9ю

ТК-9АЮ

90

211

2

0

0,994

21

ТК-9АЮ

ТК-10ю

40

180

2

0

0,993

22

ТК-10ю

ТК-11ю

337

178

3

1

0,943

23

ТК-11ю

ТК-11аю

125,3

161

3

0

0,994

24

ТК-11аю

ТК-12АЮ

202

161

2

0

0,993

25

ТК-12АЮ

ТК-12Ю

84,9

157

4

0

0,994

26

ТК-12Ю

ТК-13Ю

152,9

142

2

3

0,891

27

ТК-13Ю

ТК-13аю

161,5

125

3

0

0,992

28

ТК-13аю

ТК-14Ю

166

97

2

1

0,989

29

ТК-14Ю

ТК-15ю

150,3

97

2

0

0,989

30

ТК-15ю

ТК-16Ю

259,5

62

2

1

0,984

31

ТК-16Ю

ТК-16аю

148

55

2

0

0,981

32

ТК-16аю

ТК-17ю

131,6

52

2

1

0,981


На графике (рисунок 10) показаны результаты произведенных расчетов вероятности работоспособного состояния для потребителей участков 1-32.

Рисунок 10 - Показатели функциональной надежности системы «источник-потребитель»

Результаты расчёта свидетельствуют, что потребители, обозначенные на схеме (рисунок 11) на участке 26, обеспечивается целевым продуктом с наименьшей надёжностью. Расчёт показал, что при трёх отказах и более в течение обозначенного времени показатель надёжности становится ниже нормативного, что предполагает, как минимум, невозможность подключения нового потребителя к системе и, как следствие необходимость замены трубопровода на данном участке.

Рисунок 11 - Участок магистрали с наименьшей надёжностью

На основе проведенного анализа определена структура системы теплоснабжения города Вологды. Исследования проведены по тепловым сетям транспортирующей организации МУП «ВГТС» по виду прокладки, типу изоляции и сроку эксплуатации. Наибольшее число повреждений зафиксировано на трубопроводах квартальных систем отопления. Причиной этого является отсутствие жестких регламентированных требований к качеству мониторинга немагистральных тепловых сетей. Безусловно, на магистральных тепловых сетях регистрируется меньшее количество отказов, но именно они в большей степени влияют на надежность всей системы теплоснабжения.

На основании сравнительных таблиц и диаграмм произведён анализ надёжности тепловых сетей в сетевых районах г. Вологды.

В качестве экспериментального обоснования выбранной методики оценки надежности тепловых сетей произведена сверка рассчитанной вероятности безотказной работы со статистикой повреждений. Установлено, что наиболее часто отказы возникают именно там, где функциональная надежность сети имеет наиболее низкие показатели. Таким образом, можно определить наиболее рациональные участки, подключение к которым обеспечит сохранение надежности теплоснабжения на перспективу.

Сформулированы рекомендации по повышению надёжности по каждому сетевому району для организации, эксплуатирующей тепловые сети.

4. Безопасность жизнедеятельности при строительстве тепловых сетей


4.1     Безопасность жизнедеятельности при обслуживании подземных теплопроводов, камер и каналов

При обслуживании подземных теплопроводов, камер и каналов должны соблюдаться требования правил.

Обходы (объезды) теплотрассы без спуска в подземные сооружения должны осуществляться группой, состоящей не менее чем из 2 человек. При спуске в камеру или выполнении работы в ней бригада должна состоять не менее чем из 3 человек.

При прохождении пути нагрева персонал, отличный от слесарного инструмента, должен иметь ключ для открытия люка камеры, крючок для открытия камер, ограждения для их установки в открытых камерах и на проезжей части, осветительное оборудование (фонари батарей, ручные фонари с напряжением не более 12В во взрывозащищенном исполнении), а также газоанализатор.

Группа должна поддерживать связь с дежурным офицером во время смены, сообщая ему о проделанной работе. Если есть дефекты в оборудовании, представляющем опасность для людей и оборудования, персонал должен принять меры, чтобы немедленно отключить его.

Работы, связанные с вводом в эксплуатацию водо- или паровых тепловых сетей, а также испытания сети или отдельных ее элементов и конструкций, должны выполняться в соответствии со специальной программой, утвержденной главным инженером предприятия и согласованной организацией энергоснабжения.

Программа должна предусматривать необходимые меры безопасности для персонала.

В течение периода запуска необходимо контролировать заполнение и нагрев трубопроводов, состояние запорных клапанов, сальников, дренажных устройств. Последовательность и скорость запуска операции должны быть такими, чтобы исключить возможность значительных тепловых деформаций трубопроводов. В случае повреждения начатых трубопроводов или связанного с ним оборудования необходимо принять меры для немедленного устранения этого ущерба.

Гидропневматическая промывка трубопроводов и тестирование сетей для расчетного давления и расчетной температуры должны проводиться под непосредственным наблюдением начальника цеха (участка). Разрешается выполнять промывку под руководством другого специалиста, назначаемого приказом начальника цеха (участка).

При запуске тепловых сетей тепловые трубы должны заполняться под давлением, превышающим статическое давление заполненной части теплотрассы сети не более 0,2 МПа (2 кгс / см2), с отключенными потребительскими системами.

Трубопроводы тепловых сетей должны быть заполнены водой при температуре не выше 70 ° C с отключенными системами теплопотребления.

Рабочие, наблюдающие воздушные каналы в тепловой камере при заполнении сети, должны находиться вдали от фланцевых соединений. Воздушные фитинги должны иметь изгибы, направленные к яме. Расстояние от конца ветки до вершины не должно превышать 50 мм.

Открывать и закрывать вентиляционные отверстия вручную маховиками. Использование ключей и других рычажных устройств для этой цели запрещено.

Вентиляция с открытым воздухом с повторной продувкой после наполнения отопительной сети должна быть очень осторожной, не дожидаясь большой утечки воды.

При гидропневматическом промывке отопительных сетей и тестировании тепловой сети для расчетного давления следует отключить потребительские системы и тепловые точки.

Совместная гидропневматическая промывка тепловых сетей и систем потребителей запрещается.

Запрещается производство ремонтных и других работ на участках тепловой сети при их гидропневматической промывке, а также присутствие лиц, которые непосредственно не участвуют в промывке вблизи промытых трубопроводов.

Места выгрузки воздушной смеси из промытых трубопроводов должны быть защищены и не допускать к ним посторонних лиц.

Трубопроводы, из которых выпускается водно-воздушная смесь, должны быть надежно закреплены.

При использовании шлангов для подачи сжатого воздуха из компрессора в промывочные трубопроводы они должны быть соединены с фитингами специальными зажимами; На фитингах должна быть отметка, предотвращающая скольжение шланга с них. На каждом суставе должно быть не менее двух зажимов. Для плотности и прочности соединения шлангов с фитингами следует соблюдать в течение всего периода стирки.

Запрещается использование шлангов, которые не предназначены для требуемого давления.

Обратный клапан на воздушной линии должен быть хорошо заземлен и проверен на плотность с помощью гидравлического пресса.

Пребывание людей, в камерах и проходах промывочной секции отопительной сети во время подачи воздуха на трубопроводы запрещено.

Перед началом испытания тепловой сети на расчетное давление необходимо тщательно удалить воздух из проверяемых трубопроводов.

При испытании при расчетной температуре они должны быть отключены от тепловой сети системы отопления детских и медицинских учреждений, систем прямого подключения, открытых систем горячей воды, кондиционеров, а также неавтоматизированных закрытых систем для горячей воды поставка.

Во время тестирования тепловой сети для проектного давления, тепловых точек и местных потребительских систем следует отключить от тестируемой сети. В случае нарушения плотности разъединительных фитингов в тепловой точке потребители должны быть отключены клапанами, установленными в соединительных камерах, в тепловую сеть или с помощью пробок, установленных в точках нагрева.

Во время тестирования тепловой сети для расчетных параметров хладагента необходимо организовать постоянную работу абонентского персонала в точках нагрева и в потребительских системах. Кроме того, при тестировании тепловой сети при расчетной температуре необходимо организовать мониторинг всего ее маршрута, для которого необходимо разместить наблюдателей от обслуживающего персонала тепловой сети и абонентов, а также соответствующие Услуг промышленных предприятий, на маршруте по направлению опытного лидера и на основе местных условий.

Особое внимание следует уделять разделам сети в местах передвижения пешеходов и транспорта, участках неканальной укладки, в районах, где были случаи коррозионного разрушения труб и т. Д.

При тестировании тепловой сети для конструктивных параметров хладагента запрещается:

Работа над испытанными областями работы, не связанная с тестом;

Быть и спускаться в камеры, каналы и туннели;

Расположен напротив фланцевых соединений трубопроводов и фитингов;

Для устранения выявленных неисправностей.

При тестировании тепловой сети для расчетного давления хладагента резко повышайте давление и поднимайте его выше предела, указанного в программе испытаний.

Во время теста при расчетной температуре камеры и туннели следует избегать в верхней части маршрута.

Контроль за состоянием неподвижных опор, компенсационных швов, фитингов, фланцев и т. Д. Должен осуществляться через люки, не попадая в камеру.

Одновременная проверка расчетного давления и расчетной температуры запрещена.

При работе в трубопроводе должны быть обеспечены условия работы и отсутствие газа в самом трубопроводе и камерах тепловой сети.

Разрешается забираться в трубопровод для осмотра и очистки посторонних предметов только на прямолинейных участках длиной не более 150 м с диаметром трубы не менее 0,8 м. В то же время должен быть предусмотрен свободный выход с обоих концов участка трубопровода, подлежащего проверке и очистке.

Отводы, мосты и соединения с другими трубопроводами на участке должны быть надежно отключены.

Для осмотра и очистки трубопровода необходимо назначить не менее 3 человек, из которых два должны быть на обоих концах трубопровода и наблюдать за работником.

Работы в трубопроводе должны быть в брезентовом костюме и рукавицах, в сапогах, коленных подушках, очках и шлеме. Конец жизненного цикла ремня безопасности должен находиться в руках входа в трубопровод, который наблюдает сбоку. Наблюдатели от выхода из трубопровода должны иметь фонарик, который освещает всю площадь.

Помещения тепловых пунктов, в которых нет постоянного дежурного офицера, должны быть заперты; Ключи от них должны быть расположены в четко определенных местах и выдаваться персоналу, указанному в списке, утвержденном руководителем магазина (сайта).

При выполнении текущих ремонтов на тепловой станции, когда температура хладагента не превышает 75 ° C, оборудование должно быть отключено запорными клапанами на тепловой станции.

При температуре теплоносителя в тепловой сети выше 75 ° C допускается ремонт и замена оборудования на тепловой станции после отключения системы запорными клапанами на тепловой станции и клапанами на ветке потребителю (В ближайшей ячейке).

Система отключает персонал, обслуживающий отопительные сети предприятия.

Менять конус элеватора необходимо путем снятия болтов с двух ближайших фланцев вставки перед элеватором.

Запрещается снимать конус лифтов, вытягивая секции труб перед лифтом.

Когда включается тепловая точка и паровая система, необходимо предварительно открыть соответствующие пусковые стоки, а трубопроводы и оборудование нагреваться со скоростью, с которой исключается возможность гидравлических ударов.

Работы по заземлению подземных прокладок должны выполняться в соответствии с требованиями Правил.

На предприятии должна храниться схема тепловой сети, на которой должны быть размещены места и результаты запланированных дрейфов, места аварийного повреждения, затопление маршрута и сдвинутые участки и на которых соседние подземные коммуникации (газопровод , Канализация, кабели), железные дороги электрифицированного транспорта и тяговые подстанции.

Если трубопровод разрывается с поливом земли и вытекает горячая вода, следует охранять опасную зону и, при необходимости, наблюдать за наблюдателями. На заборе должны быть установлены защитные ограждения, а ночью - сигнальные огни.

При демонтаже отдельных участков трубопроводов необходимо следить за тем, чтобы остальная часть трубопроводов находилась в устойчивом положении. Консольные концы трубопроводов должны поддерживаться временными постами.

При прокладке пространственных узлов трубопроводов запрещается оставлять свои ветви по весу свободными.

Перед установкой трубопроводов необходимо проверить устойчивость склонов и прочность крепления траншей, в которых будут укладываться трубопроводы, а также прочность стеновых крепежных деталей, а также склонов и траншей, требуемых по безопасным условиям, по которым машины Должен двигаться.

Перед тем как опустить трубы и фитинги в скважины и траншеи, работники должны быть удалены из соответствующих колодцев и из траншей.

5. Технико-экономическая оценка эксплуатации недостаточно надёжной системы тепловых сетей


Федеральное законодательство о теплоснабжении и повышении энергетической эффективности одной из своих задач в среднесрочной перспективе ставит задачу повышения надежности систем теплоснабжения, в том числе снижения числа аварий на тепловых сетях.

Убытки теплоснабжающей организации при эксплуатации недостаточно надежной системы тепловых сетей возникают из-за не получения запланированного дохода вследствие сниженной реализации тепловой энергии, а также из-за необходимости компенсации затрат на индивидуальное отопление (например, электроотопление), возникающих у потребителей при отключении их от системы централизованного теплоснабжения (СЦТ). При осуществлении проектов повышения надежности и уменьшения суммарного времени отключения потребителей от СЦТ у теплоснабжающей организации формируется дополнительная прибыль из-за уменьшения вышеуказанных убытков.

Выражение для определения максимальной величины удельных инвестиций в проект повышения надежности тепловых сетей в зависимости от основных показателей проекта и системы теплоснабжения согласно [7]:

, (13)

Выражение (13) позволяет выявить закономерности, присущие показателю удельных максимальных инвестиций в проект повышения надежности, в частности, зависимость данного показателя от заданного срока окупаемости инвестиций, коэффициента возмещения затрат потребителей на индивидуальное теплоснабжение при отказах системы, а также интегрального показателя надежности системы, достигаемого в результате реализации проекта.

Проиллюстрируем использование выражения (12) на примере проекта повышения надежности тупиковой тепловой сети протяженностью 20 км путем ее резервирования с применением двухтрубной перемычки протяженностью 4 км.

Исходные данные для расчета: тепловая мощность системы Q0=1000 МВт; величина тарифа на тепловую энергию принята равной 1500 руб./Гкал без НДС; число часов использования установленной мощности - 2000 час/год; доля переменных затрат в тарифе на тепловую энергию составляет 70%. Величина тарифа на электроэнергию в руб./кВт·ч без НДС для теплоснабжающей организации - 4.39; а для населения - 3.0. Удельная величина затрат трудовых ресурсов, машин и механизмов - 1879.9 руб./час без НДС. Срок освоения инвестиций (продолжительность работ по строительству перемычки) принят равным одному году. Ставка дисконта - 10% годовых. Прочие исходные данные для расчета приняты в соответствии с действующим законодательством. Стоимость трубы в ППУ изоляции рассчитана по диаметру перемычки 920 мм по аппроксимационной зависимости в соответствии с [7] (рисунок 12).

Рисунок 12 - Зависимость стоимости 1 погонного метра трубы в ППУ изоляции от внутреннего диаметра

Математическое ожидание отключаемой тепловой мощности до осуществления проекта резервирования составляет 378 МВт, после осуществления проекта - 12 МВт. Интегральный показатель надежности в результате реализации проекта увеличивается на 0.4%.

В результате расчетов получена зависимость максимальной величины удельных частных инвестиций в данный проект от срока окупаемости проекта и коэффициента возмещения затрат на индивидуальное теплоснабжение потребителей в случае отказа системы (рисунок 13), так как именно эти факторы оказывают наибольшее влияние на результирующий показатель.

Рисунок 13 - Максимальная величина удельных частных инвестиций в проект повышения надежности тепловых сетей в зависимости от срока окупаемости

Как следует из рисунка, при сроке окупаемости проекта 15 лет и коэффициенте возмещения затрат, равном 1, максимальная величина частных инвестиций, которые можно вложить в данный проект, составляет 142.9 млн. руб. В то же время величина инвестиционной стоимости, рассчитанная на основе данных [7] и приведенная к современному уровню с использованием индексов изменения стоимости строительства на 01.01.17 составляет 384 млн. руб., то есть за счет частных инвестиций можно профинансировать только 37% стоимости данного проекта. Остальные инвестиции необходимо производить за счет бюджетных средств.

Похожие работы на - Анализ методов расчёта надёжности тепловых сетей при перспективном развитии систем теплоснабжения

 

Не нашли материал для своей работы?
Поможем написать уникальную работу
Без плагиата!
Без нейросетей!