Сравнение нечёткого регулятора и пропорционально-интегрального регулятора

  • Вид работы:
    Контрольная работа
  • Предмет:
    Информатика, ВТ, телекоммуникации
  • Язык:
    Русский
    ,
    Формат файла:
    MS Word
    219 Кб
  • Опубликовано:
    2016-10-01
Вы можете узнать стоимость помощи в написании студенческой работы.
Помощь в написании работы, которую точно примут!

Сравнение нечёткого регулятора и пропорционально-интегрального регулятора

МИНОБРНАУКИ

ФГБОУВПО «Тульский государственный университет»

Кафедра Информационной Безопасности










«Сравнение нечёткого регулятора и пропорционально-интегрального регулятора»

Контрольно-курсовая работа по курсу

«Современная теория управления»

Выполнил: ст. гр. 240191/09

Уваров С.Г.

Проверил: д. т. н.

Фомичев А. А.





Тула 2013 г.

Оглавление

Введение

.        Общие положения

.        Системы, основанные на принципах

.        Базовые понятия нечеткой логики

.        Общая структура устройств нечеткой логики

.1 Микроконтроллер нечеткой логики

.2 Процессор нечеткой логики

.        Исследование системы управления с нечетким ПИ-подобным регулятором

Заключение

Список использованных источников

Введение


Для описания неопределенностей в задачах автоматического управления используются три метода:

         вероятностный (стохастический);

         использование нечеткой логики (fuzzy logic);

         хаотические системы.

Более подробно остановимся на втором пункте.

Впервые термин нечеткая логика (fuzzy logic) был введен амерканским профессором азербайджанского происхождения, Лотфи Заде в 1965 году в работе “Нечеткие множества” в журнале “Информатика и управление”.

Очевидной областью внедрения алгоритмов нечеткой логики являются всевозможные экспертные системы, в том числе:

         нелинейный контроль за процессами ( производство );

         самообучающиеся системы ( или классификаторы ), исследование рисковых и критических ситуаций ;

         распознавание образов;

         финансовый анализ ( рынки ценных бумаг ) ;

         исследование данных ( корпоративные хранилища );

         совершенствование стратегий управления и координации действий, например сложное промышленное производство.

Мощь и интуитивная простота нечеткой логики как методологии разрешения проблем гарантирует ее успешное использование во встроенных системах контроля и анализа информации. При этом происходит подключение человеческой интуиции и опыта оператора.

В отличие от традиционной математики, требующей на каждом шаге моделирования точных и однозначных формулировок закономерностей, нечеткая логика предлагает совершенно иной уровень мышления, благодаря которому творческий процесс моделирования происходит на наивысшем уровне абстракции, при котором постулируется лишь минимальный набор закономерностей.

Нечеткие числа, получаемые в результате “не вполне точных измерений”, во многом аналогичны распределениям теории вероятностей, но свободны от присущих последним недостатков: малое количество пригодных к анализу функций распределения, необходимость их принудительной нормализации, соблюдение требований аддитивности, трудность обоснования адекватности математической абстракции для описания поведения фактических величин. В пределе, при возрастании точности, нечеткая логика приходит к стандартной, Булевой. По сравнению с вероятностным методом, нечеткий метод позволяет резко сократить объем производимых вычислений, что, в свою очередь, приводит к увеличению быстродействия нечетких систем.

1.       Общие положения


Нечеткая логика является одним из наиболее перспективных направлений современной теории управления. В мире ежегодно выходят сотни книг и десятки специализированных журналов, посвященных, как теории нечеткой логики, так и вопросам ее применения, выпускаются специальные нечеткие контроллеры и микрочипы. Разработано множество программных пакетов, позволяющих реализовывать нечеткие алгоритмы.

В основе нечеткой логики лежит теория нечетких множеств, где функция принадлежности элемента множеству не бинарна, а может принимать любое значение в диапазоне 0-1. Это дает возможность определять понятия, нечеткие по самой своей природе: "хороший", "высокий", "слабый" и т.д. Нечеткая логика позволяет выполнять над такими величинами весь спектр логических операций: объединение, пересечение, отрицание и др. Нечеткая логика дает возможность строить базы знаний и экспертные системы нового поколения, способные хранить и обрабатывать неточную информацию.

Другая область применения нечеткой логики - электронные системы различного назначения, от систем оценки глобального загрязнения атмосферы и предсказания землетрясений до АСУ заводских цехов и технологических процессов.

По сравнению с традиционными методами анализа и вероятностным подходом методы нечеткого управления позволяют быстро производить анализ задачи и получать результаты с высокой точностью. Характерными чертами алгоритмов решения задач методами нечеткой логики является наличие некоторого набора правил, каждое правило состоит из совокупностей событий и результатов.

После постановки задачи в терминах правил, состоящих из условий и выводов, производится их обработка по специальным алгоритмам. Идея обработки состоит в преобразовании нечетких значений условий и выводов в количественную форму. Для этого используются различного рода функции принадлежности: треугольные, трапециидальные, колоколообразные и другие. Выбор типа функции зависит от решаемой задачи. Операция fz, по аналогии с интегральными преобразованиями Лапласа, Фурье и другими, может быть интерпретирована, как переход в другое пространство. В новом пространстве производится обработка нечетких переменных с использованием логических операций. В теории управления наиболее часто используется принцип максимина (алгоритм Мамдани). Затем полученный результат логической обработки с использованием обратного преобразования (дефазификации - dfz) переводится в исходное пространство числовых переменных.

Основные преимущества применения нечеткой логики для решения задач автоматизации по сравнению с традиционными подходами теории автоматического управления состоят в следующем:

·   значительное повышение быстродействия процессов управления при использовании нечетких контроллеров;

·   возможность создания систем управления для объектов, алгоритмы функционирования которых трудно формализуемы методами традиционной математики;

·   возможность синтеза адаптивных регуляторов на базе классических регуляторов;

·   повышение точности алгоритмов фильтрации случайных возмущений при обработке информации от датчиков;

·   снижение вероятностей ошибочных решений при функционировании управляющих алгоритмов, что позволяет увеличить срок службы технологического оборудования.

Традиционные системы автоматизированного управления технологическими процессами строятся на основе линейных моделей объектов, построенных по некоторым критериям оптимальности. Полученные таким образом регуляторы являются оптимальными и устойчивыми по отношению к заложенным в их основу моделям реальных технологических процессов - объектов управления и регулирования. Однако часто методы упрощения и линеаризации, применяемые к нелинейным, динамическим, нечетко определенным объектам не дают ожидаемых результатов устойчивого управления и желаемого качества управления реальным технологическим процессом. С увеличением сложности структуры объекта и выполняемых им функций становится все сложнее использовать классические методы управления.

Одним из альтернативных методов построения систем управления и регулирования объектами, нечетко определенными с точки зрения классической теории (для которых не получена аналитическая модель), является использование так называемых контроллеров нечеткой логики.

Данный подход предполагает использование знаний экспертов об объекте управления, представляемых в виде правил, выраженных на естественном языке. При описании объекта используются лингвистические переменные, определяющие состояние объекта. Дальнейшие процедуры формализации направлены на получение так называемых нечетких множеств, определяющих параметры объекта управления. Дальнейший расчет управления производится с помощью применения бинарных операций - t-норм - к нечетким множествам. t-нормы, или триангулярные нормы, реализуют логические операции "И", "ИЛИ", "НЕ", а также операции взятия минимума, максимума над нечеткими множествами. Последним этапом является обратное преобразование управления, полученного в виде нечеткого множества, в реальное значение выхода регулятора. Базовыми типами такого рода регуляторов являются контроллеры Мамдани и Суджено.

2.       Системы, основанные на принципах


Современный математический аппарат предоставляет целый спектр методов, приемов и инструментов для решения практически любой задачи. Все они воплощены в виде алгоритмов в разнообразных программных продуктах.

Приступая к решению очередной задачи и выбирая для нее подходящую основу, мы беспокоимся не только о самом факте существования решения, но и о эффективности собственно основы, то есть о том, за какое время и с какими затратами задача будет решаться.

Существующие подходы к эффективному решению задач таковы:

. Если мы знаем правила, по которым действует объект нашего внимания, мы можем их обобщить и свести в некоторую систему, действующую и генерирующую выводы по схеме "если - то - иначе". Такой подход реализован, например, в техническом анализе и успешно применяется достаточно давно.

. Если мы правил поведения объекта не знаем, но подразумевается их присутствие, то мы создаем систему, которая вначале обучается на некотором множестве примеров (представленных в виде "набор входных значений - критерии оценки - правильные выводы"), а затем адекватно строит выводы на новых входных данных. Такой подход реализован в применении нейросетей и показывает высокие результаты точности оценок и прогнозов.

. Если мы не знаем ни правил поведения объекта, ни того, известны ли они вообще и могут ли быть получены, мы пытаемся смоделировать объект, применяя известные нам правила и зависимости, что называется, "по аналогии", а затем делаем выводы о том, насколько объект соответствует модели. Такой подход реализован в современной "теории хаоса" и позволяет оценивать события, качественно изменяющиеся за малые промежутки времени.

. Если правил, примеров и моделей достаточно много, возникают принципы действия объекта - "правила взаимодействия правил (примеров, моделей и т.д.)". То есть мы можем оценивать и управлять объектом не только на микро-уровне (правила), но и на макро-уровне (принципы). Эти принципы также можно обобщать и сводить к некоторым системам. Этот подход реализован с помощью применения fuzzy-математики в разнообразных инструментальных пакетах: от несложных электронных таблиц до совершенных экспертных систем.

Решение конкретной задачи предполагает комбинации перечисленных подходов.

Коротко перечислим отличительные преимущества fuzzy-систем по сравнению с прочими:

         возможность оперировать входными данными, заданными нечетко: например, непрерывно изменяющиеся во времени значения, которые невозможно задать однозначно (результаты статистических опросов, рекламные компании и т.д.);

         возможность нечеткой формализации критериев оценки и сравнения: оперирование критериями "большинство", "возможно", предпочтительно" и т.д.;

         возможность проведения качественных оценок, как входных данных, так и выводимых результатов: вы оперируете не только собственно значениями данных, но их степенью достоверности и ее распределением;

         возможность проведения быстрого моделирования сложных динамических систем и их сравнительный анализ с заданной степенью точности: оперируя принципами поведения системы, описанными fuzzy-методами, во-первых, не тратится много времени на выяснение точных значений переменных и составление уравнений, которые их описывают, во-вторых, можно оценить разные варианты выходных значений.

3.       Базовые понятия нечеткой логики


Рассмотрим пример, связанный с возрастом человека. До 16 лет нельзя однозначно утверждать, что человек молодой (например, 15-летие относится к термину молодой с рангом около 0,9). Зато диапазону от 16 до 30 лет можно смело присвоить ранг 1, т.е. человек в этом возрасте молодой. После 30 лет человек вроде уже не молодой, но еще и не старый, здесь принадлежность (ранг) термина молодой возрасту будет принимать значения в интервале от 0 до 1. И чем больше возраст человека, тем меньше становится его принадлежность к молодым, т.е. ранг будет стремиться к 0.

Рисунок 1 - Нечеткое множество для термина молодой

Таким образом, было получено нечеткое множество, описывающее понятие молодости для всего диапазона возрастов человека. Если ввести остальные термины (например, очень молодой, старый и т.д.), то можно охарактеризовать такую переменную как возраст, состоящую из нескольких нечетких множеств и полностью перекрывающую весь жизненный период.

К нечетким множествам можно применять следующие операции:

         пересечение

         дополнение

         концентрация

         размывание (или размытие)

Фаззификация - сопоставление множества значений х ее функции принадлежности М(х), т.е. перевод значений х в нечеткий формат (пример с термином молодой).

Дефаззификация - процесс, обратный фаззификации.

Все системы с нечеткой логикой функционируют по одному принципу: показания измерительных приборов фаззифицируются (переводятся в нечеткий формат), обрабатываются (см. ниже), дефаззифицируются и в виде привычных сигналов подаются на исполнительные устройства.

Степень принадлежности - это не вероятность, т.к. неизвестна функция распределения, нет повторяемости экспериментов. Так, если взять из рассмотренного ранее примера прогноза погоды два взаимоисключающих события: будет дождь и не будет и присвоить им некоторые ранги, то сумма этих рангов необязательно будет равна 1, но если равенство все-таки есть, то нечеткое множество считается нормированным. Значения функции принадлежности M(x) могут быть взяты только из априорных знаний , интуиции (опыта) , опроса экспертов.

4.       Общая структура устройств нечеткой логики

 

.1 Микроконтроллер нечеткой логики


Общая структура микроконтроллера, использующего нечеткую логику, показана на рисунке 2. Она содержит:

         блок фаззификации;

         базу знаний;

         блок решений;

         блок дефаззификации.

Блок фаззификации преобразует четкие величины, измеренные на выходе объекта управления, в нечеткие величины, которые описаны лингвистическими переменными в базе знаний.

Блок решений использует нечеткие условные (if - then) правила, заложенные в базу знаний, для преобразования нечетких входных данных в необходимые управляющие влияния, которые также носят нечеткий характер.

Блок дефаззификации превращает нечеткие данные с выхода блока решений в четкую величину, которая используется для управления объектом.

Рисунок 2 - Общая структура нечеткого микроконтроллера

В качестве примера известных микроконтроллеров, использующих нечеткую логику можно назвать 68HC11, 68HC12 фирмы Motorola, MCS-96 фирмы Intel, а также некоторые другие.

Все системы с нечеткой логикой функционируют по одному принципу: показания измерительных приборов: фаззифицируются (превращаются в нечеткий формат), обрабатываются, дефаззифицируются и в виде обычных сигналов подаются на исполнительные устройства.

Рассмотрим случай управления мобильным роботом, задачей которого является объезд препятствий. Введем две лингвистические переменные: «дистанция» (расстояние от робота до препятствия) и «направление» (угол между продольной осью робота и направлением к препятствию).

Рассмотрим лингвистическую переменную «дистанция». Ее значения можно определить термами «далеко», «средне», «близко» и «очень близко». Для физической реализации лингвистической переменной необходимо определить точные физические значения термов этой переменной. Пусть переменная «дистанция» может принимать любые значения из диапазона от нуля до бесконечности. Согласно теории нечетких множеств, в таком случае каждому значению расстояния из указанного диапазона может быть поставлено в соответствие некоторое число от нуля до единицы, которая определяет степень принадлежности данного физического расстояния (допустим 40 см) до того или другого терма лингвистической переменной «дистанция». Степень принадлежности определяем функцией принадлежности М(d), где d - расстояние до препятствия. В нашем случае расстояние 40 см. Можно задать степень принадлежности до терма «очень близко» равное 0,7 , а до терма «близко» - 0,3 (рисунок 3). Конкретное определение степени принадлежности проходит только при работе с экспертами.

Рисунок 3 - Лингвистическая переменная и функция принадлежности

Переменной «направление», которая принимает значения в диапазоне от 0 до 360 градусов, зададим термы «левый», «прямой» и «правый».

Теперь необходимо задать исходные переменные. В данном примере достаточно одной, которую назовем «рулевой угол». Она может содержать термы: «резко влево», «влево», «прямо», «вправо», «резко вправо». Связь между входом и выходом запоминается в таблице нечетких правил.

Рисунок 4 - Таблица нечетких правил

Каждая запись в данной таблице соответствует своему нечеткому правилу, например "Если дистанция близко и направление правое, тогда рулевой угол резко влево".

Таким образом, мобильный робот с нечеткой логикой будет работать по следующему принципу: данные от сенсоров про расстояние до препятствия и направление к нему будут фаззифицированы, обработаны согласно табличным правилам, дефаззифицированы, и полученные данные, в виде управляющих сигналов поступают на приводы робота.

4.2 Процессор нечеткой логики


Не так давно (в начале 90-х) компания Adaptive Logic из США (к сожалению на данный момент их сайт отсутствует в интернете) выпустила кристалл, сделанный по аналогово-цифровой технологии. Он позволит сократить сроки конструирования многих встроенных систем управления реального времени, заменив собой традиционные схемы нечетких микроконтроллеров. Аппаратный процессор нечеткой логики второго поколения принимает аналоговые сигналы, переводит их в нечеткий формат, затем, применяя соответствующие правила, преобразует результаты в формат обычной логики и далее - в аналоговый сигнал. Все это осуществляется без внешних запоминающих устройств, преобразователей и какого бы ни было программного обеспечения нечеткой логики.

Этот микропроцессор относительно прост по сравнению с громоздкими программными обеспечениями. Но так как его основу составляет комбинированный цифровой/ аналоговый кристалл, он функционирует на очень высоких скоростях ( частота отсчетов входного сигнала - 10 кГц, а скорость расчета - 500 тыс. правил/с), что во многих случаях приводит к лучшим результатам в системах управления по сравнению с более сложными, но медлительными программами.

5.       Исследование системы управления с нечетким ПИ-подобным регулятором


Создадим нечеткую систему, реализующую типовой аналоговый ПИ-регулятор. Лингвистические правила для такого ПИ-подобного fuzzy- регулятора приведены в таблице 1.

Таблица 1


Переходные процессы для модели с аналоговым ПИ-регулятором и модели с ПИ-подобным fuzzy-регулятором представлены на рисунке 5.

Рисунок 5 - Переходный процесс для системы, представленной одним инерционным звеном 1-го порядка и интегрирующим звеном: а) с ПИ-регулятором; б) с ПИ-подобным fuzzy-регулятором

Очевидно, колебательность несколько выше в системе с fuzzy-регулятором, однако динамическая ошибка значительно меньше.

По аналогичному алгоритму выполнен анализ использования нечетких регуляторов для объектов, описываемых комбинацией элементарных звеньев: интегральных и апериодических с большими и малыми постоянными времени.

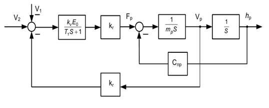
В качестве примера реализации нечеткого регулятора рассмотрим использование fuzzy-регулятора в системах управления натяжением гибкого транспортируемого материала. В большинстве случаев при проектировании систем управления натяжением требуется модель, отражающая лишь наиболее общие характеристики системы и отличающаяся достаточной для анализа точностью при ее максимальной простоте. В практике проектирования автоматических систем регулирования натяжения, построенных на базе петлеобразователей, традиционно используются скоростная и метрическая модели зоны деформации. В основу их положено известное дифференциальное уравнение деформации материала в петлеобразователе:


где L - длина материала в зоне деформации;

ε1, ε0 - относительное удлинение в зоне деформации и на ее входе соответственно; vр1,р2 - линейные скорости материала на входе и выходе зоны; vк - линейная скорость перемещения измерительного ролика; kг - коэффициент, учитывающий геометрию охвата измерительного ролика ветвями материала.

В скоростной модели относительное удлинение вычисляется непосредственно по скоростям vр1 и vр2, в метрической - на основе длин нерастянутого материала на входе и выходе зоны деформации. Возьмем за основу скоростную модель петлеобразователя (рисунок 7) как наиболее отвечающую цели управления с точки зрения формирования управляющего воздействия по каналу регулирования скорости ведомого двигателя.

Рисунок 7 - Структурная схема петлеобразователя

Определение входных и выходных переменных системы, так же как и правил нечеткого регулятора, основано на практических знаниях о системе и на интуиции. Поскольку регулируемой величиной является положение измерительного ролика петлеобразователя, то целесообразно выбрать одной из входных переменных ошибку по положению ролика:

∆h = hз - hр,

где hр - текущее положение ролика; hз - заданное положение. Причем ошибка может принимать как положительные, так и отрицательные значения.

Регулирование положения ролика петлеобразователя происходит путем изменения рассогласования линейных скоростей движения материала в зоне за счет изменения скорости вращения электродвигателя ведомого канала, причем величина рассогласования зависит от положения ролика: чтобы уменьшить натяжение материала, рассогласование следует снизить, а с другой стороны, если натяжение находится на заданном уровне, рассогласование также должно соответствовать заданному значению.

Таким образом, выходной переменной регулятора имеет смысл назначить сигнал управления скоростью ведомого электропривода, который и определяет рассогласование линейных скоростей приводных точек, а еще одной дополнительной входной величиной будем считать скорость перемещения измерительного ролика или, соответственно, скорость изменения ошибки регулирования положения, что эквивалентно использованию пропорционально-интегрального регулятора.

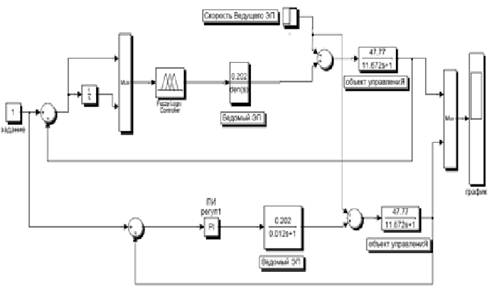
Структурная схема системы управления с fuzzy-регулятором положения ролика представлена на рисунке 8.

Рисунок 8 - Структурная схема системы управления с fuzzy-регулятором положения

Петлеобразователь представлен редуцированной передаточной функцией:


Канал ведомого электропривода представляем, также пренебрегая старшими производными в оптимизированной структуре:


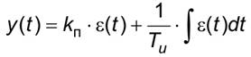
Рассмотрим систему с fuzzy-регулятором положения и систему, использующую аналоговый ПИ-регулятор при работе на объект, содержащий два апериодических звена с существенно различными постоянными времени. При разработке fuzzy-регулятора количественное задание параметров регулятора на его входе преобразуем в коррекцию диапазона изменения его входных координат: диапазона изменения ошибки положения ролика x1_pr (соответствующей пропорциональной составляющей регулятора) и диапазона возможных значений скорости изменения ошибки положения ролика x2_int (соответствующей интегральной составляющей). Формирование базы правил fuzzy-регулятора ведется на основе уравнения для линейного непрерывного ПИ-регулятора


которое можно заменить близким по логике управления fuzzy-регулятором, если в качестве его выходной переменной рассматривать приращение управляющего воздействия ∆y. Тогда закон регулирования ПИ-регулятора можно представить в дифференциальной форме


или в разностной форме


Таким образом, для входных переменных ε(k) и ∆ε(k) и выходной ∆y(k) может быть синтезирован fuzzy-регулятор, реализующий нелинейный закон


эквивалентный в определенном смысле аналоговому ПИ-регулятору.

Для нашего случая x1_pr = ∆h соответствует сигналу рассогласования ε(k), x2_int = ∆h/∆t соответствует приращению сигнала рассогласования ∆ε(k), а y соответствует ∆h(k). Лингвистические правила для такого ПИ-подобного fuzzy регулятора приведены в таблице 2.

Таблица 2


Структурная схема математической модели системы в комплексе MatLab представлена на рисунке 9.

Рисунок 9 - Структурная схема математической модели системы управления натяжением с нечетким регулятором

На рисунке 10 представлена реакция системы с fuzzy-регулятором и аналоговым ПИ-регулятором на единичное задание положения. В момент времени t = 6 с происходит отработка возмущающего воздействия в виде увеличения скорости ведущего электропривода. Следует отметить, что перерегулирования для обоих типов регуляторов примерно одинаковы, а по быстродействию нечеткий регулятор более эффективен. При отработке возмущения по каналу скорости ведущего электропривода очевидна более быстрая и качественная реакция нечеткого регулятора. На рисунке 11 представлена реакция системы с fuzzy-регулятором и аналоговым ПИ-регулятором на единичное задание положения при уменьшенном на 50 % коэффициенте усиления объекта регулирования.

Рисунок 10 - Реакция системы на единичное задание положения и возмущение по каналу скорости ведущего двигателя: 1 - ПИ-регулятор; 2 - ПИ-подобный fuzzy-регулятор

Рисунок 11 - Реакция системы на единичное задание положения при двукратной вариации коэффициента усиления объекта регулирования: 1 - ПИ-регулятор; 2 - ПИ-подобный fuzzy-регулятор

Заключение

нечеткий логика микроконтроллер переменный

В заключение можно сказать, что преимущества применения нечеткой логики для решения задач автоматизации по сравнению с традиционными подходами теории автоматического управления состоят в следующем:

·   значительное повышение быстродействия процессов управления при использовании нечетких контроллеров;

·   возможность создания систем управления для объектов, алгоритмы функционирования которых трудно формализуемы методами традиционной математики;

·   возможность синтеза адаптивных регуляторов на базе классических регуляторов;

·   повышение точности алгоритмов фильтрации случайных возмущений при обработке информации от датчиков;

·   снижение вероятностей ошибочных решений при функционировании управляющих алгоритмов, что позволяет увеличить срок службы технологического оборудования.

Список использованных источников


1. Заде Л.А. Понятие лингвистической переменной и его применение к принятию приближенных решений. - М.: Мир, 1976.

2. Takagi T., Sugeno M. Fuzzy identification of systems and its applications to modeling and control // IEEE Trans. Systems Man Cybernet. - 1985. - Vol. 15. - Nо. 116. - P. 116-132.

. Глазунов В.Ф., Тарарыкин С.В., Спичков Ю.П. О рациональном построении датчика натяжения ткани в поточных линиях текстильной промышленности // Изв. вузов. Технология текстильной промышленности. - 1981. - № 1. - С. 78-82.

. Глазунов В.Ф., Куленко М.С. Редуцирование математических моделей петлеобразователей в системе управления натяжением ткани // Изв. вузов. Технология текстильной промышленности. - 2008. - № 6. - С.101-104.

Похожие работы на - Сравнение нечёткого регулятора и пропорционально-интегрального регулятора

 

Не нашли материал для своей работы?
Поможем написать уникальную работу
Без плагиата!
Без нейросетей!