Проект комплексного автотранспортного предприятия на 120 автобусов МАЗ 203с

  • Вид работы:
    Курсовая работа (т)
  • Предмет:
    Транспорт, грузоперевозки
  • Язык:
    Русский
    ,
    Формат файла:
    MS Word
    284,69 Кб
  • Опубликовано:
    2016-12-13
Вы можете узнать стоимость помощи в написании студенческой работы.
Помощь в написании работы, которую точно примут!

Проект комплексного автотранспортного предприятия на 120 автобусов МАЗ 203с

МИНИСТЕРСТВО ОБРАЗОВАНИЯ РЕСПУБЛИКИ БЕЛАРУСЬ

БЕЛОРУССКИЙ НАЦИОНАЛЬНЫЙ ТЕХНИЧЕСКИЙ УНИВЕРСИТЕТ

Автотракторный факультет

Кафедра «Техническая эксплуатация автомобилей»




Курсовой проект

по дисциплине «Проектирование предприятий автомобильного транспорта и автосервиса»

на тему «Проект комплексного автотранспортного предприятия на 120 автобусов МАЗ 203с»

Выполнил: студент группы 101111-12/04

А.В. Боровко

Проверил: ст. преподаватель

П.В. Иванис



Минск 2016

ОГЛАВЛЕНИЕ

ВВЕДЕНИЕ

. НАЗНАЧЕНИЕ И СТРУКТУРА ПРОЕКТИРУЕМОГО ПРЕДПРИЯТИЯ

. ТЕХНОЛОГИЧЕСКИЙ РАСЧЕТ КОМПЛЕКСНОГО АВТОТРАНСПОРТНОГО ПРЕДПРИЯТИЯ

2.1 Расчет производственной программы по техническому обслуживанию и ремонту подвижного состава

.2 Определение численности производственных рабочих

.3 Определение численности вспомогательных рабочих, водителей, инженерно-технических работников и служащих

.4 Расчет постов технического обслуживания, ео, диагностирования и текущего ремонта автомобилей

.5 Расчет площадей производственных помещений

.6 Расчет площадей складских помещений

.7 Расчет площадей административно-бытовых и общественных помещений

.8 Расчет площадей зон хранения подвижного состава

3. ОРГАНИЗАЦИЯ ТЕХНОЛОГИЧЕСКОГО ПРОЦЕССА ТО И ТР АВТОБУСОВ В АТП2

ОБОСНОВАНИЕ, РАСЧЁТ И ОПИСАНИЕ ПЛАНИРОВОЧНЫХ РЕШЕНИЙ

4.1 Генеральный план автомобильного предприятия

.2 Объемно-планировочные решения зданий АТП

5. ТЕХНИКО-ЭКОНОМИЧЕСКАЯ ОЦЕНКА ПРОЕКТА

. ОПИСАНИЕ ТЕХНОЛОГИЧЕСКОГО ПРОЦЕССА В РАЗРАБАТЫВАЕМОМ ОТДЕЛЕНИИ, ПОДБОР ОБОРУДОВАНИЯ, РАСЧЁТ ПЛОЩАДИ, ОХРАНА ТРУДА

6.1 Организация технологического процесса технического обслуживания и текущего ремонта газового оборудования

.2 Подбор оборудования

.3 Расчет площади

.4 Охрана труда при выполнении ремонта и технического обслуживания автомобилей

7. ИССЛЕДОВАНИЕ СОСТАВА ВЫБРОСОВ ОТРАБОТАВШИХ ГАЗОВ И СРАВНЕНИЕ С ДРУГИМИ ТИПАМИ СИСТЕМ ПИТАНИЯ

ЗАКЛЮЧЕНИЕ

СПИСОК ИСПОЛЬЗОВАННОЙ ЛИТЕРАТУРЫ

ВВЕДЕНИЕ


Главной задачей автобусного транспорта является полное, качественное и своевременное удовлетворение потребностей народного хозяйства и населения в перевозках при возможно минимальных материальных затратах и трудовых ресурсах.

Решение этой задачи требует преимущественного развития автобусного транспорта общего пользования, повышения пассажирооборота, укрепление материально-технической базы и концентрации транспортных средств на крупных автотранспортных предприятиях, улучшение технического обслуживания и ремонта подвижного состава.

Существующий рост объектов автобусных перевозок предопределяет опережающие темпы развития автобусного транспорта по сравнению с другими его видами. При этом следует иметь в виду, что из всех видов транспорта автобусный является самым трудоемким, а издержки народного хозяйства превышают издержки по всем другим видам транспорта. Трудовые и материальные затраты на поддержание подвижного состава в технически исправном состоянии значительно и в несколько раз превышает затраты на его изготовление. Так за нормативный срок службы грузового автобуса средней грузоподъемности примерная структура трудовых затрат в процентах от общих затрат составляет:

-       техническое обслуживание и текущий ремонт -31%;

-       капитальный ремонт автобусов и агрегатов -7%;

-       изготовление автобуса -2%.

В известной степени высокие затраты на техническое обслуживание и текущий ремонт связаны с отсутствием производственно-технической базы автотранспорта или отставанием ее роста от темпов роста парка подвижного состава.

Анализ производственно-технической базы предприятий автотранспорта показывает, что ее состояние во многих случаях не соответствует нормативному уровню: низок уровень обеспеченности автотранспортных предприятий производственными помещениями, уровень механизации технологических процессов ТО и ремонта. Производственно-техническая база автотранспортных предприятий в своем развитии отстает от требований, определенных изменением в структуре парка подвижного состава. В решении проблемы улучшения производственно-технической базы, приведение ее в соответствие с потребностями динамично развивающегося автотранспорта важное место должны занимать вопросы совершенствования проектирования автотранспортных предприятий, включая строительство новых, расширение, реконструкцию и техническое перевооружение действующих автотранспортных предприятий. Поэтому темой данного проекта является разработка автотранспортного предприятия на 120 автобусов МАЗ-203c с детальной разработкой отделения по ремонту газовой аппаратуры.

1. НАЗНАЧЕНИЕ И СТРУКТУРА ПРОЕКТИРУЕМОГО ПРЕДПРИЯТИЯ

автотранспортный ремонт подвижный рабочий

Проектируемое АТП предназначено для обслуживания населения, предприятий, комбинатов и малых предприятий. Кроме того, предприятие выполняет работы ТО и ТР, хранение и материально-техническое обеспечение подвижного состава.

В проектируемом АТП будут использоваться газобаллонные автобусы по этому структура такого предприятия будет иметь следующий вид:

-       зона ТО и ТР базовых автобусов;

-       зона ТО и ТР газобаллонного оборудования автобусов

-       производственные участки ТР (агрегатный, электротехнический, сварочный и т.д.);

-       склады (агрегатов, запасных частей, шин, смазочных материалов и т.д.);

-       зоны хранения;

-       вспомогательные помещения (административные, бытовые, зоны отдыха и т.д.).

Структура комплексного АТП представлена на рисунке 1.















Рисунок 1 - Структура комплексного АТП

Зоны ТО и ТР предназначены для проведения технического воздействия на автобус с целью поддержания его в технически исправном состоянии воздействия подразделяются на ежедневное обслуживание - ЕО, техническое обслуживание ТО-1, техническое обслуживание ТО-2, общее диагностирование Д-1, углубленное диагностирование Д-2, текущий ремонт.

Производственные участки ТР предназначены для выполнения отдельных видов работ ТР, которые не могут выполняться на постах текущего ремонта.

Зона ТО ГБО автобуса совмещена с производственным участком ТР ГБО автобуса.

Склады предназначены для хранения, выдачи и приема материальных средств.

Зона хранения (стоянка) предназначена для хранения подвижного состава.

Структура и организация ТО и ремонта автобусов, а также развитие материально-технической базы (МТБ) в значительной мере зависит от организации работы АП. При этом могут применяться следующие методы организации ТО и ТР: метод специализированных бригад, организационно участковый метод. При внедрении метода спецбригад все работы по ЕО, ТО-1, ТО-2, ТР выполняются соответствующими специализированными бригадами, укомплектованными рабочими разных специальностей. Основным недостатком является то, что отдельные исполнители не несут ответственности за работу автобуса на линии, отсутствует моральная и материальная заинтересованность исполнителей. Более современным методом является агрегатно-участковый метод. Основным звеном производства является участок, который выполняет все работы по ТО и ТР определенного агрегата или системы всех автобусов предприятия. При этом методе значительно возрастает количество выполняемых работ, материальная и моральная ответственность.

Основной недостаток: применение субъективных и малоэффективных методов контроля качества автобусов на контрольно-технических пунктах, а также трудности распределения работ на участки, на линии и посты ТО-1 и ТО-2. ПТО занимается вопросами внедрения новой техники и технологии, реконструкции помещений и оборудования, разрабатывает мероприятия по охране труда и ТБ, составляет технические нормативы и инструкции, руководит изобретательной и рационализаторской деятельностью, организовывает и руководит подготовкой и переподготовкой рабочих и ИТР.

ОТК контролирует техническое состояние ПС, проверяет качество работы всех подразделений производства, руководит работой станции диагностики.

ОГМ занимается ремонтом производственного оборудования и инструмента, помещений, энергосилового и санитарно-технического хозяйства

ОТС осуществляет материально-техническое снабжение различными материалами и запчастями и организует работу складского хозяйства.

2. ТЕХНОЛОГИЧЕСКИЙ РАСЧЕТ КОМПЛЕКСНОГО АВТОТРАНСПОРТНОГО ПРЕДПРИЯТИЯ

2.1 Расчет производственной программы по техническому обслуживанию и ремонту подвижного состава


В соответствии с ТКП 248-2010 «Техническое обслуживание и ремонт транспортных средств. Нормы и правила проведения» [1] и ТКП ХХХ/ОР (02190) «Автобусы с двигателями, работающими на компримированном природном газе [3]. Нормы и правила эксплуатации» осуществляются следующие технические воздействия на автомобили: ежедневное обслуживание (ЕО), первое техническое обслуживание (ТО-1), второе техническое обслуживание (ТО-2), сезонное техническое обслуживание (СО), текущий ремонт (ТР), капитальный ремонт (КР).

Сезонное техническое обслуживание, проводимое два раза в год, совмещается с очередным ТО-2 и отдельно не планируется. Капитальный ремонт автобусов на комплексном автотранспортном предприятии не предусматривается в соответствии с ТКП 248-2010. Капитальный ремонт выполняется на специализированных авторемонтных предприятиях.

Автобус МАЗ-203/МАЗ-203с относится к автобусам особо большого класса. В соответствии с ТКП 248-2010 (приложение Г) нормативный пробег до ТО-1 () принимается 10000 км, нормативный пробег до ТО-2 () -30000 км, нормативный ресурсный пробег автобуса()-600000км. В соответствии с начальными данными среднесуточный пробег автобуса  составляет 300 км.

Выбранные нормативные пробеги автобусов до ТО-1, ТО-2, списания приводятся к конкретным условиям эксплуатации с помощью коэффициентов, учитывающих категорию условий эксплуатации (), модификацию подвижного состава и организацию его работы (), климатических условий ():

, (2.1)

, (2.2)

, (2.3)

где  - соответственно скорректированные пробеги до ТО-1, ТО-2, списания для автобуса данного класса.

Значения коэффициентов , ,  для конкретных условий выбираются из приложения П [1].

Принимается:

, т.к. 2-я категория условий эксплуатации;

, т.к. ТС является автобусом;

, т.к. климат умеренный.

Получаем:

(км),

(км),

(км).

Все пробеги кратны среднесуточному пробегу автобуса и не нуждаются в корректировке.

Годовой пробег автобусов определяется по формуле:

(2.4)

где - списочное количество автобусов,  (автобусов);

- среднесуточный пробег автобусов,  (км),

- продолжительность работы подвижного состава,  (дней),

 - коэффициент технической готовности парка:

 (2.5)

где - скорректированная продолжительность простоя автобуса в ТО и ТР в днях на 1000 км пробега.

 - скорректированная продолжительность простоя автобуса в КР.

Скорректированная продолжительность простоя автобуса в ТО и ТР в днях на 1000 км пробега определяется по формуле:

 (2.6)

где - номинальная продолжительность простоя автобуса в ТО и ТР, по рекомендациям приложения Р принимается ,

- коэффициент корректирования продолжительности простоя автобуса в ТО и ТР, по рекомендациям приложения П [1] принимается , тогда:

 (дней/1000 км).

Определяется коэффициент технической готовности парка по формуле (2.5):

.

Определяется годовой пробег парка:

(км).

Рассчитывается количество списаний автобусов  в год и годовую производственную программу по видам ТО и ЕО по следующим формулам:

 (2.7)

 (2.8)

 (2.9)

 (2.10)

 (2.11)

 (2.12)

Суточная программа по видам обслуживания определяется по формуле:

(2.13)

где: годовая программа по -ому виду обслуживания,

годовое число дней работы зоны, предназначенной для выполнения -ого вида ТО (таблица 2.6[1])

Результаты расчетов приведены в таблице 2.1.

Таблица 2.1 - Результаты расчета производственной программы по ТО и ТР

Показатель

Значение

1

2

Число автобусов, Аи

120

Годовой пробег, Lг, км

11861513

Дней рабочих в году зоны ТО-1, Dргто1

252

Дней рабочих в году зоны ТО-2: Dргто2

252

Дней рабочих в году зоны ЕО, Dргео

365

Число списаний в год: Nгсп

21

Число ТО-2 в год: Nг2

407

Число ТО-1 в год: Nг1

857

Число ЕОс в год: Nгeoс

38539

Число ЕОт в год: Nгeoт

2021

Число ТО-1 в сутки: Nс1

4

Число ТО-2 в сутки: Nс2

2

Число ЕО в сутки:Nсeo

111


Годовой объем работ по ЕО, ТО-1, ТО-2 определяется исходя из годовой производственной программы и трудоемкости обслуживания, а по ТР исходя из годового пробега автобусов парка и удельной трудоемкости ТР на 1000 км пробега.

 (2.14)

 (2.15)

 (2.16)

 (2.17)

 (2.18)

 (2.19)

где - годовой объем работ соответственно по ЕОС, ЕОТ, ТО-1, ТО-2, ТР в чел.-ч.

, , , , - нормативные и скорректированные трудоемкости ЕОС, ЕОТ, ТО-1, ТО-2, ТР в чел-час. Значения приведены в технологическом процессе для МАЗ-203с [4] и представлены в таблице 2.2.

Таблица 2.2 Нормативные и скорректированные трудоемкости

Нормативная трудоемкость

Значение


Годовая трудоемкость представлена в таблице 2.3

Талица 2.3 Годовые трудоемкости

Годовая трудоемкость

Значение


Распределение работ по ТО и ТР по видам работ будем проводить в соответствии с рекомендациями таблицы 2.7 [2].

Численные значения трудоемкостей ТО и ТР приведены в таблице 2.4

Таблица 2.4 - Распределение трудоемкостей ЕО, ТО и ТР по видам работ

Наименование работ ТО и ТР

Относительная трудоемкость работ, %

Трудоемкость работ ЕО, ТО и ТР, чел-ч

1

2

3

ЕО: Уборочные работы Моечные работы (включая обтирочные) Всего:

 45 55 100

 27378 33462 60841

ТО-1: Общее диагностирование Крепежно-регулировочные, смазочно-окрасочные работы Всего:

 8 92 100

 1205 13854 15059

ТО-2 + СО: Углубленное диагностирование Крепежно-регулировочные, смазочные и другие работы Всего:

 7  93 100

 839  11150 11989

ТР постовые работы: Общее диагностирование Углубленное диагностирование Регулировочные и регулировочно-сборочные работы Сварочные работы Жестяницкие работы Окрасочные работы ТО и ТР ГБО автобуса Итого:

 1 1  27 5 2 8 3 48

 1480 1480  39955 7399 2960 11838 4439 69551

ТР участковые работы:  Агрегатные работы Слесарно-механические работы

 17 8

 25157 11838

Электротехнические работы Аккумуляторные работы Шиномонтажные работы Вулканизационные работы Кузнечно-рессорные работы Медницкие работы Сварочные работы Жестяницкие работы Арматурные работы Обойные работы Итого:

7 2 2 1 3 2 2 2 3 3 52

10359 2960 2960 1480 4439 2960 2960 2960 4439 4439 76950

Всего:

100

146501


Моечно-обтирочные работы по ЕО выполняются механизированным способом.

Годовой объем вспомогательных работ принимается равным 28% от общего объема работ по ТО и ТР автомобилей:

 (2.20)


Таблица 2.5 - Распределение трудоемкостей вспомогательных работ

Наименование вида работ

Относительная трудоемкость работ, %

Трудоемкость вспомогательных работ, чел-ч.

Ремонт и обслуживание технологического оборудования, оснастки и инструмента Ремонт и обслуживание инженерного оборудования, сетей и коммуникаций Транспортные работы Прием хранение и выдача материальных ценностей Перегон подвижного состава Уборка производственных помещений Уборка территорий

34  20  7 11 15 6 7

22589  13288  4651 7308 9966 3986 4651

Всего:

100

66440

 

.2 Определение численности производственных рабочих


Расчет численности производственных рабочих осуществляется по каждому из видов технических воздействий на автомобили, по производственным участкам, зонам.

Находим технологически необходимое (явочное)  и штатное (списочное)  число рабочих:

 (2.21)

 (2.22)

где  - годовой объем работ данной зоны, участка, чел-ч;

 - годовой фонд времени явочного рабочего, ч;

 - годовой фонд времени штатного рабочего, ч.

Годовой фонд времени явочного рабочего определяется продолжительностью смены и числом рабочих дней в году:

(2.23)

где  - продолжительность работы рабочего в течение недели, ч ();  - число рабочих дней в неделе. .

 - число дней в году соответственно календарных, выходных, праздничных. .

Годовой фонд времени явочного рабочего:

Величина Фш определяет фактическое время, отработанное штатным рабочим непосредственно на рабочем месте. Это время меньше фонда времени явочного рабочего:

(2.24)

где  - продолжительность отпуска рабочего при 6-и дневной рабочей неделе,  дней;  - число дней невыхода на работу по уважительным причинам  дней.

Годовой фонд времени рабочего:

Определяем число рабочих по каждому виду технических воздействий, по производственным зонам и участкам, и заносим в таблицу 2.6.

Таблица 2.6 - Количество производственных рабочих предприятия

Наименование работ ТО и ТР

Годовая трудоемкость работ, чел-ч

Количество рабочих



По расчету

Принято



1

2

3

4

5

6

ЕО: Уборочные работы Всего:

 27378 27378

 13, 47

 15, 35

 13 13

 15 15

ТО-1: Общее диагностирование Крепежно-регулировочные, смазочно-окрасочные работы Всего:

 1205 13854  15059

 0, 59 6, 82

 0, 68 7, 77

 1 7  8

 1 8  9

ТО-2 + СО: Углубленное диагностирование Крепежно-регулировочные, смазочные и другие работы Всего:

 839 11150  11989

 0, 41 5, 49

 0, 47 6, 25

 1 6  7

 1 6  7

ТР постовые работы: Общее диагностирование Углубленное диагностирование Регулировочные и разборочно-сборочные работы Сварочные работы Жестяницкие работы Окрасочные работы ТО и ТР газобаллонного оборудования Всего:

 1480 1480 39955  7399 2960 11838 4439

 0, 73 0, 73 19, 66  3, 64 1, 46 5, 83 2, 18

 0, 83 0, 83 22, 40  4, 15 1, 66 6, 64 2, 49

 1 1 20  4 1 6 2  35

 1 1 22  4 2 7 3  40

Участковые работы Агрегатные работы (моторные в том числе) Слесарно-механические работы Электротехнические работы Аккумуляторные работы Шиномонтажные работы Вулканизационные работы Кузнечно-рессорные работы Медницкие работы Сварочные работы Жестяницкие работы Арматурные работы Обойные работы Всего:

 25157  11838 10359 2960 2960 1480 4439 2960 2960 2960 4439 4439 76950

 12, 38  5, 83 5, 10 1, 46 1, 46 0, 73 2, 18 1, 46 1, 46 1, 46 2, 18 2, 18

 14, 10  6, 64 5, 81 1, 66 1, 66 0, 83 2, 49 1, 66 1, 66 1, 66 2, 49 2, 49

 12  6 5 1 1 1 2 1 1 1 2 2 38

 14  7 6 2 2 1 3 2 2 2 3 3 47

Итого:

146501



101

118


2.3 Определение численности вспомогательных рабочих, водителей, инженерно-технических работников и служащих


Количество вспомогательных рабочих рассчитывается по ранее представленным формулам. Результаты расчетов представлены в таблице 2.7.

Таблица 2.7 - Количество вспомогательных рабочих

Наименование вида работ

Годовая трудоемкость работ, чел-ч

Количество рабочих



По расчету

Принято



РШ

РШ

Ремонт и обслуживание технологического оборудования, оснастки и инструмента Ремонт и обслуживание инженерного оборудования, сетей и коммуникаций Транспортные работы Прием и выдача материальных ценностей Перегон подвижного состава Уборка производственных помещений Уборка территорий

22589  13288  4651 7308 9966 3986 4651

11, 1  6, 5  2, 28 3, 6 4, 9 1, 9 2, 2

12, 6  7, 44  2, 6 4, 1 5, 6 2, 2 2, 6

11  7  2 4 5 2 2

13  7  3 4 6 2 3

Всего:

66440



3

38


Численность водителей определяется из выражений:

 (2.25)

 (2.26)

где  - продолжительность работы автомобиля на линии в течение суток,

Численность персонала управления предприятием (кроме эксплуатационной и производственно-технической службы), младшего обслуживающего персонала и пожарно-сторожевой охраны зависит от мощности предприятия и типа подвижного состава (таблица 2.9 [2]) и представлена в таблице 2.8.

Таблица 2.8 - Численность персонала

Персонал

Численность, чел

Общее руководство Технико-экономическое планирование, маркетинг Материально-техническое обеспечение Организация труда и заработной платы Бухгалтерский учет и финансовая деятельность Комплектование и подготовка кадров Общее делопроизводство и хозяйственная деятельность МОП ПСО

2 2 1 2 5 1 1 1 4

Всего:

19


Численность персонала эксплуатационной и производственно-технической служб в соответствии с рекомендациями [2]:

Общая численность производственных и вспомогательных рабочих, водителей, ИТР и служащих определяется по формуле:

 (2.27)


2.4 Расчет постов технического обслуживания, ЕО, диагностирования и текущего ремонта автомобилей


Первое и второе техническое обслуживание и общее диагностирование могут производиться на поточных линиях и на индивидуальных специализированных постах. Углубленное диагностирование должно производиться на индивидуальных специализированных постах.

Число постов ТО-1, ТО-2, Д-1, Д-2 определяется из выражения:

(2.28)

где  - годовой объем работ по видам ТО и диагностирования, чел-ч;

 - коэффициент резервирования постов для компенсации неравномерности загрузки (таблица 2.14 [2]);

 - число рабочих дней в году зоны ТО, Д;

 - время рабочей смены, ч;

 - число рабочих смен в сутки;

 - численность рабочих, одновременно работающих на одном посту, чел (таблица 2.15 [2]);

 - коэффициент использования рабочего времени поста (таблица 2.16[2]).

Определяем число постов ТО-1.

Для ТО-1:, , Тсм =8 ч, , чел,

.

Так как то работы ТО-1 будем выполнять на линии.

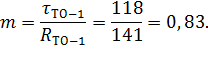
Определим ритм производства:

(2.29)

где  - продолжительность работы зоны в течение смены, ч.

Такт производства:

(2.30)

где среднее число рабочих на посту линии (таблица 2.15 [2]);

 - число постов на линии;

 - время передвижения автомобиля с поста на пост, определяется из выражения:

(2.31)

где  - длина транспортного средства, ;

 - расстояние между автомобилями на постах,

 - скорость конвейера,

Количество линий:

Принимаем число линий ТО-1

Определяем число постов ТО-2.

Для ТО-2: , , Тсм =8 ч, , чел, .

Определяем число постов Д-1.

Для Д-1: , , Тсм =8 ч, ,  чел, .

Определяем число постов Д-2:

Для Д-2: , , Тсм =8 ч, ,  чел, .

Исходя из полученных данных принимаем 1 пост для Д-1 и Д-2

Количество механизированных моечных и сушильных постов определяем из выражения:

 (2.32)

где  - коэффициент пикового возврата подвижного состава (;

Т - продолжительность работы поста, ч. (таблица 2.17 [2]);

 - часовая пропускная способность моечной установки. Принимаем .

Принимаем 1 моечную установку

Количество рабочих постов для работ по ЕО, кроме механизированных моечных определяется по формуле:

(2.33)

где в - доля работ данного вида в общем объеме работ ЕО

Постовые работы ТР выполнятся на отдельных универсальных постах. Расчет количества постов ТР по видам работ выполняемых на них вычисляется по формуле (2.33)

Число постов для выполнения разборочно-сборочных, сварочных, малярных работ определяется по формуле:

(2.34)

где  - коэффициент учитывающий долю работ по ТР, выполняемых в наиболее загруженную смену (принимается равным 0, 5-0, 6)

Число постов ТР для сварочно-жестяницких работ:

Число постов для выполнения малярных работ:

Число постов для выполнения ТО ГБО

Количество постов контрольно-пропускного пункта (КПП) определяется по формуле:

 (2.35)

где  - коэффициент пикового возврата подвижного состава

 - продолжительность работы поста (таблица 2.17[2]);

 - пропускная способность поста (таблица 2.19[2]).

Результаты расчета постов приведены в таблице 2.9

Таблица 2.9 - Количество постов

Наименование поста

Количество

ТО-1

3

ТО-2

2

Постов Д-1

1

Постов Д-2


ЕО(мех)

1(моечная установка)

ЕО

2

ТР (разборочно-сборочные)

10

ТР (сварочно-жестяницкие)

2

ТР (малярные)

2

ТО и ТР ГБО

1

КПП

1

Ожидание ТО и ТР

4

 

2.5 Расчет площадей производственных помещений


Для расчета площадей производственных помещений применяется два способа:

-       по удельной площади на единицу оборудования (применяется при предварительных расчетах на стадии выбора объемно-планировочных решений);

-       графически-планировочный (применяется при разработке планировочных решений зон, участков).

Для предварительного расчета площадей зон ТО и ТР будем использовать способ расчета по удельным площадям. Для этого используется следующее выражение:

(2.36)

где  - площадь, занимаемая автомобилем в плане,

 - число постов в зоне;

 - коэффициент плотности расстановки оборудования постов.

Значения  зависит от габаритов автомобиля, расположения постов и оборудования. При односторонней расстановке постов значение  принимается равным 6…7, при двусторонней и поточном методе обслуживания - 4…5. Для крупногабаритного подвижного состава берутся меньшие значения .

Площадь зоны ЕО:

Число постов в зоне ЕО с механизированным обслуживанием ,

Принимаем

Число постов в зоне ЕО с ручным обслуживанием ,

Принимаем

Площадь зоны Д-1, Д-2:

Принимаем

Площадь зоны универсальных постов ТР:

Принимаем

Площадь зоны сварочно-жестяницких постов ТР:

Принимаем

Площадь зоны окрасочных постов ТР:

Принимаем

Площадь линии ТО-1:

Принимаем

Площадь зоны ТО ГБО определяется по формуле:

(2.37)

где  - площадь оборудования (таблица 2.10).

Принимаем

Площадь цеха для ТР ГБО:

Принимаем

Полученные данные заносим в таблицу 2.11

Таблица 2.10 - Технологическое оборудование зоны ТО и ТР ГБО

Оборудование

Наименование

Длинна, мм

Ширина, мм

Площадь,

Общая площадь,

1

2

3

4

5

6

Мотор-тестер

Мотор-Тестер МТ10К

300

200

0, 06

0, 06

Стеллаж для хранения газовой аппаратуры

СТ-030

1200

600

0, 72

0, 72

Верстак

ВД-1

1300

700

0, 91

0, 91

Передвижная установка для проверки и регулировки ГА

К-277

1430

600

0, 858

0, 858

Подставка под оборудования

ППО-140/6П-В57

1400

600

0, 84

0, 84

Газоанализатор

ГАММА-100

485

435

0, 210975

0, 210975

Станок сверлильный

2Н118

870

590

0, 5133

0, 5133

Стол канцелярский

П297.03

1000

576

0, 576

0, 576

Ящик для мусора

ТБО-3

600

800

0, 48

0, 96

Ящик для песка

ЯП-0, 2

800

400

0, 32

0, 64

Огнетушители

ОП-10(з) МИГ

1240

240

0, 2976

0, 2976

Тележка для перевозки газовых баллонов

КП-2У

920

835

0, 7682

0, 7682

Передвижной пост слесаря-ремонтника

Пост Р-991

1200

600

0, 72

0, 72

Подъемник

ПП-15

960

1290

1, 2384

1, 2384

Стол приемки;

СТ-010

1200

600

0, 72

0, 72

Стеллаж;

СТ-030

1200

600

0, 72

0, 72

Мойка наружная;

RPW-20R

500

420

0, 21

0, 21

Точило;

ЭТ-200

380

250

0, 095

0, 095

Пост для ТР РВД РНД;

Пост Р-991

1200

650

0, 78

0, 78

Стенд для контроля и регулировки ГА;

К-278

1200

620

0, 744

0, 744

Площадь оборудования занимаемого на посту ТО ГБО

8, 5

Площадь оборудования занимаемого в цеху для ТР ГБО

4


Таблица 2.11 - Расчет площадей зон ТО, ТР, ЕО, Д

Наименование зоны

Принятая площадь, м2

Зона ЕО

360

Д-1, Д-2

120

ТО-1

367

ТО-2

204

Зона ТР

1734

ТО ГБА

120

Цех ТР ГБА

16


Площади производственных участков выбираем по рекомендациям таблицы 2.22 [2].

Таблица 2.12 - Площади производственных участков

Участки

Принятая площадь, м2



Агрегатный (моторный)

216

Слесарно-механический

81

Электротехнический

54

Аккумуляторный

36

Шиномонтажный

27

Вулканизационный

18

Кузнечно-рессорный

52

Медницкий

18

Сварочный

18

Жестяницкий

27

Арматурный

18

Обойный

36

Всего:

464


2.6 Расчет площадей складских помещений


Площади складских помещений рассчитываются по отдельным нормативам на 10 единиц подвижного состава, приводимых к конкретным условиям эксплуатации с помощью корректирующих коэффициентов:

(2.38)

где - удельная нормативная площадь складских помещений на 10 единиц подвижного состава, таблица 2.23 [2]);

 - коэффициент корректирования в зависимости от соответственно:

-       среднесуточного пробега

-       подвижного состава (таблица 2.24 [2]),

-       численности технически совместимого подвижного состава (таблица 2.25 [2]),

-       типа подвижного состава (таблица 2.26 [2]),

-       высота складирования (таблица 2.27 [2]),

-       категорий условий эксплуатации (таблица 2.28 [2])

Результаты расчета площадей складских помещений заносим в таблицу 2.13.

Таблица 2.13 - Результаты расчета площадей складских помещений.

Наименование складских помещений

fуд

Площадь помещений, м2

Запасных частей, эксплуатационных материалов

4, 4

1, 15

1, 15

1, 4

1, 6

1, 05

164, 235456

Двигателей, агрегатов и узлов

3






111, 97872

Смазочных материалов

1, 8






67, 187232

Лакокрасочных материалов

0, 6






22, 395744

Инструмента

0, 15






5, 598936

Кислорода, азота и ацетилена






7, 465248

Металла, металлолома и ценного утиля

0, 3






11, 197872

Автомобильных шин

2, 6






97, 048224

Подлежащих списанию автомобилей, агрегатов

7






261, 28368

Промежуточного хранения

0, 9






33, 593616

Порожних дегазированных баллонов

0, 25






9, 33156

Итого

791, 3


2.7 Расчет площадей административно-бытовых и общественных помещений


Общая площадь административно-бытовых и общественных помещений приближённо может быть определена по удельным нормам на одного работающего (рис 2.1).

Рисунок 2.1 - Зависимость удельной площади вспомогательных помещений () от числа работающих P

Площадь АБП определим по формуле:

(2.39)

где  - численность вспомогательных рабочих, инженерно-технических работников и служащих.

Примем,

2.8 Расчет площадей зон хранения подвижного состава


Площадь зоны хранения зависит от числа автомобиле-мест, типа стоянки и способа расстановки автомобилей. При укрупненных расчетах площадь зоны хранения автомобилей может быть определена по коэффициенту плотности их расстановки:

(2.40)

Где  - число автомобиле-мест хранения;

 - принимается равным 2.5…3.0 в зависимости от способа размещения мест хранения.

Принимаем

3. ОРГАНИЗАЦИЯ ТЕХНОЛОГИЧЕСКОГО ПРОЦЕССА ТО И ТР АВТОБУСОВ В АТП


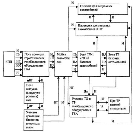
Под технологическим процессом производства понимается последовательность технических воздействий на автомобиль в АТП. Схема технологического процесса на проектируемом АТП изображена на рисунке 3.1.

Рисунок 3.1 - Схема технологического процесса технического обслуживания и ремонта в АТП

Где И - движение исправных автобусов; Пл - движение автобусов при плановом ТО; НГ - движение автобусов при неисправной газовой аппаратуре (остальное исправно); НА - движение неисправных автобусов при исправной газовой аппаратуре; Н -движение автобусов с неисправностями газового и другого оборудования.

В зависимости от технического состояния газобаллонного автобуса применяются необходимые технические виды воздействия согласно приведенной на рисунке 3.1 технологической схеме проведения ТО и ТР.

Возможные варианты технического состояния газобаллонного автобуса и соответствующие им технические виды воздействия:

Газовая аппаратура исправна, автобус исправен.

Автобус при возвращении в парк после прохождения технического осмотра на контрольно-пропускном пункте направляют для проверки герметичности газобаллонного оборудования на специализированный пост. Проверке герметичности подвергаются все соединения газовых трубопроводов, резьба горловины газовых баллонов, запорно-предохранительная арматура и т.п. При проверке на герметичность давление в баллонах должно быть не менее 2, 0 МПа (20 кгс/см2), что определяется по показанию манометра газовой системы питания.

При отсутствии неисправностей и при наличии герметичности газовой системы питания автобус направляют на мойку, далее (при необходимости) на заправку КПГ и стоянку.

. Плановое техническое обслуживание.

При проведении планового ТО-1 и ТО-2 автобус, после возвращения с линии, поступает на пост проверки герметичности газобаллонного оборудования. При наличии герметичности газобаллонного оборудования автобус направляют на мойку и, в зависимости от плановых технических воздействий, в соответствующую зону ТО.

После выполнения регламентных работ на общих постах и линиях автобус поступает на участок ТО, ремонта и диагностики газобаллонного оборудования.

Если при проведении регулировочных работ питание автобуса газом происходит от внешнего источника, то этот источник (аккумуляторная батарея с КПГ или передвижное газозаправочное средство) должен быть расположен вне здания на открытой площадке.

После выполнения регламентных работ газовый автобус направляют на заправку КПГ (в случае необходимости) и стоянку исправных автобусов.

. Газовая аппаратура исправна, автобус неисправен.

После проверки герметичности газобаллонного оборудования автобус направляют на мойку, далее в зону ТР базовых автобусов для устранения неисправности.

После выполнения ремонтных работ исправный автобус направляют на заправку КПГ (при необходимости) и стоянку исправных автобусов.

. Газовая аппаратура неисправна, автобус исправен.

В случае обнаружения неисправностей газовой аппаратуры, в т.ч. и связанной с ее негерметичностью, автобус направляют на пост выпуска (аккумулирования) газа и освобождают баллоны от газа.

Выпуск газа производят через открытый наполнительный или специальный вентиль, у которого должен быть снят предохранительный колпачок. Контроль за выпуском газа из баллонов осуществляют по манометру газовой системы питания. При этой операции магистральный клапан (вентиль) должен быть закрыт, а баллонные (расходные) вентили - открыты. Газ из системы питания двигателя должен быть предварительно выработан.

После выпуска газа в некоторых случаях необходима дегазация баллонов (продувка негорючим инертным газом).

Выпуск газа и дегазацию баллонов проводят в следующих случаях:

нарушение герметичности запорно-предохранительной арматуры и газопроводов, связанных с газовыми баллонами;

текущего ремонта, связанного с заменой баллонов, газопроводов, проведением сварочных и окрасочных работ;

снятие баллонов с автобуса для их технического освидетельствования;

технологической или технической необходимости, в т.ч. при опрессовке (испытании) газовой системы питания сжатым воздухом.

После выпуска газа автобус направляют на мойку и затем на участок ТО и ТР газовой аппаратуры, где производят устранение неисправностей или замену отдельных узлов.

После устранения неисправностей автобус направляют на заправку КПГ и стоянку исправных автобусов.

. Газовая аппаратура неисправна, автобус неисправен.

В этом случае после проверки герметичности автобус направляют на пост выпуска (аккумулирования) газа и дегазации баллонов и выполняют операции по выпуску газа и дегазации баллонов.

Далее автобус направляют на мойку и зону ТР, для устранения неисправностей, не связанных с газобаллонным оборудованием. После устранения неисправностей автобус направляют на участок ТО и ТР газобаллонного оборудования, где устраняют неисправности газобаллонного оборудования. Исправный автобус направляют на заправку КПГ и стоянку.

Участок ТО и ТР газовой аппаратуры автобусов включает в себя пост с одним автобусо-местом и цех для ремонта и регулировки газового оборудования. Участок рекомендуется размещать в основном производственном корпусе в отдельном специально оборудованном помещении, изолированном от других помещений перегородками (стенами). Допускается производить регулировку газовой системы питания на постах диагностирования при их размещении в отдельных изолированных помещениях. ТР газовой системы питания допускается выполнять в помещениях ремонта приборов питания бензиновых и дизельных двигателей. На участке выполняются работы по ТО и ТР газового оборудования автобусов, включающие в себя:

-       ТО и ТР газового оборудования на автобусе;

-       регулировку и ремонт газового оборудования, снятого с автобуса;

-       мойку и хранение газового оборудования;

-       проверку герметичности газовой системы питания.

4. ОБОСНОВАНИЕ, РАСЧЁТ И ОПИСАНИЕ ПЛАНИРОВОЧНЫХ РЕШЕНИЙ


4.1 Генеральный план автомобильного предприятия

Предварительно для построения генерального плана потребная площадь участка определяется по следующей формуле:

(4.1)

где  - площадь застройки производственно-складскими зданиями, м2;

 - площадь застройки вспомогательными зданиями, м2;

 - площадь открытых площадок для хранения ТС, м2;

 - плотность застройки территории, %.

 принимается в соответствии с таблицей 3.1[1], принимаем .

Принимаем для застройки участка под АТП - блокированный тип застройки, т.е. все основные производственные помещения будем располагать в одном здании.

Для производственных зданий принимаем одноэтажную схему застройки.

Все производственные и вспомогательные зоны и здания на генеральном плане располагаются в соответствии с функциональной схемой и схемой технологического процесса ТО и ТР.

На территории АТП движение транспортных средств осуществляется по принципу кольцевого одностороннего движения. При этом исключается возможность встречных потоков и их пересечение.

Для въезда и выезда автомобилей принимаем 1 пост КПП. Кроме того предусматриваются запасные ворота.

Так как на территории АТП будет осуществляться одностороннее движение - принимаем ширину проездов не менее трех метров.

Административно-бытовой корпус проектируем как отдельное здание, соединенное с производственным корпусом отапливаемым коридором. Вход в административно-бытовой корпус осуществляется извне территории АТП.

Для очистки сточных вод перед поступлением их в наружную канализацию или для повторного использования предусматривается очистная установка «кристалл». Самотечный трубопровод для отвода сточных вод от постов мойки автомобилей располагаются под уклоном не менее 0, 03.

Ширину проездов на открытых площадках хранения автомобилей определяем с помощью шаблонов с учетом условий постановки автомобилей на места хранения передним или задним ходом, при установке автомобилей на места задним ходом допускается их поворот в проезде с однократным включением заднего хода, расстояние между движущимися автомобилями и стоящими, а также автомобиля и зданиями и сооружениями должно быть не менее внешней защитной зоны.

На территории предприятия предусматривается озеленение общей площадью примерно 20 % от площади предприятия.

Площадь застройки определяется как суммарная площадь зданий и сооружений в плане навесов, открытых площадок для хранения автомобилей, складов, резервных участков.

Плотность застройки территории предприятия определяется как отношение площади застройки к площади участка (в процентах).

Коэффициент использования территории определяется как отношение площади, занятой зданиями, сооружениями, дорогами, тротуарами, отмостками, площадками для отдыха, открытыми площадками, озеленением и площадью участка озеленения предприятия.

Коэффициент озеленения - отношение площади зеленых насаждений к площади участка предприятия.

Генеральный план АТП представлен на листе 1.

4.2 Объемно-планировочные решения зданий АТП


Под объемно-планировочным решением здания понимается размещение в нем производственных подразделений в соответствии с их функциональным предназначением, а также технологическими условиями, санитарно-гигиеническими и другими требованиями.

Ориентировочно суммарная площадь главного производственного корпуса равна:

(4.2)

где  - соответственно суммарные площади производственных зон, отделений, складов которые будут размещены в корпусе.

Определяем ориентировочную площадь главного производственного корпуса:

Принимаем

Выбираем сетку колонн. Шаг колонн для всего здания должен быть постоянным. Принимаем шаг равным 6 м. Длину одной стены принимаем равной , а второй - .

Для проектируемого производственно-складского помещения размерами 48 x 60 м принимаем стандартный размер перекрытий 12 x 24.

Колонны принимаем следующих размеров: 400х400 мм. Толщина наружных стен 300 мм, внутренних 200 мм.

Участки и посты ТР имеют естественное освещение. В зоне ТО-1 размещена одна поточная линия с тремя рабочими постами. В целях наилучшего использования дневного освещения все производственные участки размещаются по периметру здания, т. е. вдоль наружных стен.

Участки, обслуживающие зону ТО (ТО-1, ТО-2): электротехнический, топливной аппаратуры, аккумуляторной, шиномонтажный размещены вблизи этой зоны.

Участки, обслуживающие зону ТР: слесарно-механический, агрегатный, сварочно-жестяницкий, кузнечно-медницкий расположены вблизи от постов ТР.

Склады запасных частей и агрегатов и промежуточный склад расположены вблизи зоны ТР.

Склад шин располагается под шиномонтажным отделением.

Чертеж производственного корпуса представлен на листе 2.

5. ТЕХНИКО-ЭКОНОМИЧЕСКАЯ ОЦЕНКА ПРОЕКТА


Главными задачами, стоящими перед проектированием являются: снижение себестоимости перевозок, экономия топливно-энергетических ресурсов, сокращение трудовых затрат и сокращение производственных площадей, повышение качества выполняемых работ и т.д.

Необходимо принять во внимание перспективы дальнейшего развития и расширение АТП, т.е. в результате проектирования или выбора типовых проектов может оказаться несколько вариантов проекта. Для сравнения этих вариантов, а также анализа результатов расчета принимается методика сопоставления удельных показателей конкретного проекта с эталонными.

В качестве таких показателей используют:

число производственных рабочих на 1млн. км пробега парка;

число постов на 1млн. км пробега парка;

площадь производственно-складских помещений на 1 автомобиль;

площадь вспомогательных помещений на 1 автомобиль;

площадь территории на 1 автомобиль.

Эталонные значения перечисленных показателей берутся из таблицы 5.1 [2]. Эти показатели сводим в таблицу 5.1.

Таблица 5.1 Числовые значения удельных показателей для эталонных условий.

Наименование показателя

Показатели

Численность производственных рабочих, чел. на 1 млн. км пробега,

5, 5

Количество рабочих постов на 1 млн. км пробега,

1, 15

Площадь производственно-складских помещений, м2 на единицу ПС,

27, 0

Площадь вспомогательных (административно-бытовых) помещений, м2 на единицу ПС,

9, 5

Площадь территории предприятия, м2 на единицу ПС,

160, 0

Площадь стоянки на одно автомобиле-место хранения

53, 0


Числовые значения удельных показателей для эталонных условий корректируются следующими коэффициентами, учитывающими:

К1 - списочное число автомобилей;

К2 - тип подвижного состава;

К3 - наличие прицепов;

К4 - среднесуточный пробег;

К5 - способ хранения;

К6 - категорию условий эксплуатации;

К7 - климатический район;

Коэффициенты приведены в таблицах [2]. Сведем эти коэффициенты в одну таблицу 5.2.

Таблица 5.2 - Значения корректирующих коэффициентов

Коэффициенты

Значения коэффициентов для определения


Численность производственных рабочих

Число рабочих постов

Площади




Производственно-складские помещения

Вспомогательные помещения

Стоянка

Территория

1, 13

1, 3

1, 26

1, 32

-

1, 26

1, 5

1, 4

1, 5

1, 14

1, 7

1, 6

-

-

-

-

-

-

1, 25

1, 29

0, 62

0, 77

-

0, 86

-

-

-

-

1, 32

1, 17

1, 08

1, 07

1, 07

1, 04

-

1, 03

1, 0

1, 0

1, 0

1, 0

-

1, 0


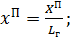
 (5.1)

 (5.2)

 (5.3)

 (5.4)

; (5.5)

 (5.6)

Подставляя значения коэффициентов в вышеперечисленные формулы, получаем:

Значения удельных технико-экономических показателей, приведенных к условиям работы проектируемого предприятия, определяются из выражений:

 (5.7)

 (5.8)

 (5.9)

 (5.10)

 (5.11)

 (5.12)

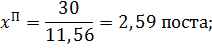
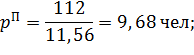
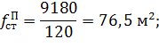
Определяем удельные значения технико-экономических показателей:

Сравнивая значения, полученные при проектировании, с эталонными, можно сделать вывод, что основные технико-экономические показатели, ниже соответствующих эталонных. Показатель площади вспомогательных помещений немного выше эталонного, это связано с тем, что на предприятии предусмотрены дополнительные сооружения для обслуживания газобаллонных автобусов. А при расчете эталонных показателей это никак не учитывалось.

Исходя из таблицы 5.3, можно сделать вывод что данный проект является экономически эффективным.

Таблица 5.3 - Результаты технико-экономической оценки проекта

Удельный показатель

Эталонное значение

Расчётное

р

12, 58

9, 68

х

2, 88

2, 59

fпр

33, 85

25

fвс

11, 44

11, 66

118, 9

76, 5

fт

334, 3

333



6. ОПИСАНИЕ ТЕХНОЛОГИЧЕСКОГО ПРОЦЕССА В РАЗРАБАТЫВАЕМОМ ОТДЕЛЕНИИ, ПОДБОР ОБОРУДОВАНИЯ, РАСЧЁТ ОХРАНА ТРУДА, ПЛОЩАДИ.


6.1 Организация технологического процесса технического обслуживания и текущего ремонта газового оборудования


В процессе эксплуатации автобуса работающего на компримированном природном газу приходится проверять газовую аппаратуру на герметичность, и так же проверять ее работоспособность. Организация ТО-1 и ТО-2 для базовых автобусов производится в основном производственном на участках или линиях соответственно перечню регламентных работ. Помимо этого в производственном корпусе есть специально оборудованный участок, на котором производится ТО автобуса работающего на компримированном природном газу, а так же цех, для ремонта газовой аппаратуры, что в совокупности с участком для ТО создает возможность текущего ремонта в это зоне.

В течение жизненного цикла газобаллонного автобуса помимо неисправностей базового автобуса таких как: испаряется или вытекает охлаждающая жидкость и надо ежедневно контролировать ее уровень; снижается уровень электролита в аккумуляторной батарее и уровень тормозной жидкости в системе гидравлического привода тормозов, возникают неисправности связанные с газовой системой. В основном это нарушение герметичности и ослабление соединений. В случае с газовой аппаратурой неисправности гораздо опасней. Как показывает многолетняя практика, через определенное время ослабевают крепежные соединения, нарушаются регулировочные размеры, а также герметичность многих соединений. Замечено, что перечисленные изменения в легковом происходят приблизительно через определенное время, поэтому их можно заранее предусмотреть и устранить, при этом все отклонения устраняются без больших затрат. Как правило, достаточно провести крепежные, регулировочные и смазочные работы. Эти работы можно заранее планировать как профилактические.

Но обходиться только профилактическими работами можно не всегда. Иногда появляются непредвиденные работы по ремонту узлов и агрегатов, связанные с заменой отдельных деталей. Однако такие работы тоже имеют свою периодичность. Работы, связанные с поддержанием автомобиля в исправном состоянии, называются техническим обслуживанием (ТО). Работы по ремонту узлов и агрегатов называются текущим ремонтом (ТР).

Для автобусов периодичность проведения ТО-1 и ТО-2 и объем выполняемых при этом работ устанавливается в зависимости от назначения и марок, а также от условий его эксплуатации. В перечень работ, выполняемых при ТО-2, обязательно входят в полном объеме все работы, выполняемые при ТО-1, так же как и работы ЕО полностью выполняются при ТО-1.

Операции технического обслуживания № 1 обычно проводят через 9000 км, но не менее 2 раз в год. При этом выполняют следующие виды работ:

-       уборочно-моечные;

-       контрольно-диагностические;

-       осмотровые;

-       крепёжные;

доведение до нормы давления воздуха в шинах и уровней тормозной жидкости в питательных бачках главного тормозного цилиндра и привода выключения сцепления.

очищают от грязи и проверяют приборы системы питания и герметичность их соединений;

проверяют действие привода, полноту закрывания и открывания дроссельной и воздушной заслонок;

регулируют работу карбюратора на режимах малой частоты вращения коленчатого вала двигателя.

очищают аккумуляторную батарею и ее вентиляционные отверстия от грязи;

проверяют крепление, надежность контакта наконечников проводов с клеммами и уровень электролита;

очищают приборы электрооборудования от пыли и грязи;

проверяют изоляцию электрооборудования, крепление генератора, стартера и реле-регулятора.

Операции технического обслуживания № 2 рекомендуют проводить через 27000 км пробега для разных моделей автомобилей, но не менее 1 раза в год. Перед выполнением ТО-2 или в процессе его необходимо проводить углубленное диагностирование всех основных агрегатов, узлов и систем автомобиля для установления их технического состояния, определения характера неисправностей, их причин, а также возможности эксплуатации данного агрегата, узла или системы.

Операции ТО-2, производимые примерно после 30 000 - 45 000 км пробега автомобиля, включают:

-       замену масла в автоматической трансмиссии;

-       промывку системы смазки двигателя;

-       замену масла в картере ведущего моста;

-       зачистку коллектора стартера;

-       проверку износа и прилегания щеток;

-       очистку и смазку деталей привода стартера.

-       Кроме того, необходимо:

-       проверить работоспособность вакуумного усилителя тормозов;

-       отрегулировать направления световых пучков фар;

-       зачистить контактные кольца генераторов;

-       проверить износ и прилегание щеток;

-       заменить тормозную жидкость;

-       заменить охлаждающую жидкость.

Операции ТО-2, производимые примерно после 65 000-75 000 км пробега, включают:

замену масла в коробке передач;

замену зубчатого ремня привода механизма газораспределения.

Кроме того обязательно к выполнению перечень регламентных работ первого технического обслуживания (то-1) газобаллонного оборудования автобуса маз-203 (дополнение к перечню регламентных работ то-1 автобуса маз-203)

Проверить герметичность газовой системы питания (на специальном посту, перед въездом в помещение)

Установить автобус на линию (пост) ТО

Закрыть ручными запорными кранами вентили всех газовых баллонов

Подключить автобус к системе вытяжки отработавших газов

Закрыть ручной запорный кран «ДВИГАТЕЛЬ» и полностью выработать газ из системы питания до автоматического выключения двигателя

Проверить состояние и крепление декоративного аэродинамического кожуха

Проверить состояние и крепление газовых баллонов, вентилей, трубок, кассеты и кронштейнов

Проверить состояние и крепление газового редуктора питания двигателя. Проверить отсутствие подтекания охлаждающей жидкости из газового редуктора питания двигателя

Проверить состояние и крепление газового редуктора питания ПЖД. Проверить отсутствие подтекания охлаждающей жидкости из газового редуктора питания ПЖД

Заменить фильтрующий элемент газового фильтра высокого давления (при отсутствии других указаний по периодичности обслуживания)

(Дополнение для газобаллонного автобуса МАЗ-203) Переезд автобуса по линии ТО с поста на пост

Отключить автобус от системы вытяжки отработавших газов

Снять автобус с линии (поста) ТО

Перечень регламентных работ второго технического обслуживания (то-2) газобаллонного оборудования автобуса маз-203 (дополнение к перечню регламентных работ то-2 автобуса маз-203)

Дополнение для газобаллонного автобуса МАЗ-203)

Проверить герметичность газовой системы питания (на специальном посту, перед въездом в помещение)

Установить автобус на линию (пост) ТО

Закрыть ручными запорными кранами вентили всех газовых баллонов

Подключить автобус к системе вытяжки отработавших газов

Закрыть ручной запорный кран «ДВИГАТЕЛЬ» и полностью выработать газ из системы питания до автоматического выключения двигателя

Проверить состояние и крепление декоративного аэродинамического кожуха

Проверить состояние и крепление газовых баллонов, вентилей, трубок, кассеты и кронштейнов

Проверить состояние и крепление газового редуктора питания двигателя. Проверить отсутствие подтекания охлаждающей жидкости из газового редуктора питания двигателя

Проверить состояние и крепление газового редуктора питания ПЖД. Проверить отсутствие подтекания охлаждающей жидкости из газового редуктора питания ПЖД

Заменить фильтрующий элемент газового фильтра высокого давления (при отсутствии других указаний по периодичности обслуживания)

Переезд автобуса по линии ТО с поста на пост

Отключить автобус от системы вытяжки отработавших газов

Снять автобус с линии (поста) ТО

6.2 Подбор оборудования


Перечень технологического оборудования представлен в таблице 6.1.

Таблица 6.1 - Технологическое оборудование

Оборудование

Наименование

Длинна, мм

Ширина, мм

Площадь,

Общая площадь,

Мотор-тестер

Мотор-Тестер МТ10К

300

200

0, 06

0, 06

Стеллаж для хранения газовой аппаратуры

СТ-030

1200

600

0, 72

0, 72

Верстак слесарный

ВД-1

1300

700

0, 91

0, 91

Передвижная установка для проверки и регулировки ГА

К-277

1430

600

0, 858

0, 858

Подставка под оборудования

ППО-140/6П-В57

1400

600

0, 84

Газоанализатор

ГАММА-100

485

435

0, 210975

0, 210975

Станок сверлильный

2Н118

870

590

0, 5133

0, 5133

Стол канцелярский

П297.03

1000

576

0, 576

0, 576

Ящик для мусора

ТБО-3

600

800

0, 48

0, 96

Продолжение таблицы 6.1

Ящик для песка

ЯП-0, 2

800

400

0, 32

0, 64

Огнетушители

ОП-10(з) МИГ

1240

240

0, 2976

0, 2976

Тележка для перевозки газовых баллонов

КП-2У

920

835

0, 7682

0, 7682

Передвижной пост слесаря-ремонтника

Пост Р-991

1200

600

0, 72

0, 72

Подъемник

ПП-15

960

1290

1, 2384

1, 2384

Стол приемки;

СТ-010

1200

600

0, 72

0, 72

Стеллаж;

СТ-030

1200

600

0, 72

0, 72

Мойка наружная;

RPW-20R

500

420

0, 21

0, 21

Точило;

ЭТ-200

380

250

0, 095

0, 095

Пост для ТР РВД РНД;

Пост Р-991

1200

650

0, 78

0, 78

Стенд для контроля и регулировки ГА;

К-278

1200

620

0, 744

0, 744

Площадь оборудования занимаемого на посту ТО ГБО

8, 5

Площадь оборудования занимаемого в цеху для ТР ГБО

4


6.3 Расчет площади


Для предварительного расчета площади зоны ТО ТР ГБО используем способ расчета по удельной площади.

Принимаем

Площадь цеха для ТР ГБО:

Принимаем

6.4 Охрана труда при выполнении ремонта и технического обслуживания автомобилей


Оборудование, инструмент и приспособления, применяемые при ТО автобуса, в течение всего срока эксплуатации должны отвечать требованиям безопасности согласно ГОСТ 12.2.003, СТБ 960, а также «Межотраслевым правилам охраны труда на автомобильном и городском электрическом транспорте» и «Правилам охраны труда при работе на высоте». Подъемники и страховочные подставки должны быть испытаны в установленном порядке.

Исправность инструментов и приспособлений проверяется не реже 1 раза в квартал.

Помещения для ТО автобуса должны обеспечивать безопасное и рациональное выполнение всех технологических операций при полном соблюдении санитарно-гигиенических норм и должны быть оборудованы первичными средствами пожаротушения (огнетушителями, песком, ведрами и т. п.), пожарной сигнализацией, средствами противопожарной защиты в соответствии с требованиями ГОСТ 12.1.004, ППБ Беларуси 01.

НЕ ДОПУСКАЕТСЯ:

проводить обслуживание автобуса неквалифицированным персоналом;

вносить недопустимые конструктивные изменения автобуса или проводить его переоборудование.

Для газобаллонного автобуса не производить никаких изменений и работ на газотопливной системе и баллонах для природного газа, не описанные в дополнении 203065-0000020-10 ДРЭ (для автобуса МАЗ-203 с газобаллонным оборудованием) и руководстве по эксплуатации двигателя Мерседес-Бенц М 906 LAG (газового). Газ находится под высоким давлением! Давление в трубопроводах газотопливной системы для природного газа сохраняется также и при выключенном двигателе!

Во избежание повреждения двигателя, его элементов и жгута проводов, а также для предотвращения травмирования персонала необходимо соблюдать следующие меры безопасности:

запускать двигатель только при надежном соединении клемм аккумуляторной батареи (далее - АКБ);

не отсоединять клеммы АКБ во время работы двигателя;

запускать двигатель только с подключенным датчиком частоты вращения;

для запуска двигателя нельзя применять пуско-зарядные устройства для ускоренного заряда АКБ;

при проведении электросварочных работ отключить АКБ от бортовой сети, соединить провода «+» и «-» между собой и разъединить разъемы электронных блоков управления (управления двигателем, ГМП, АБС, ЭФУ, ПЖД, управления подвеской, управления гидропривода вентилятора). Провод «массы» сварочного аппарата необходимо присоединять в непосредственной близости от места сварки. ЗАПРЕЩАЕТСЯ прокладывать кабель сварочного аппарата параллельно электропроводке автобуса.

Автобус, устанавливаемый на пост ТО, необходимо затормозить стояночным тормозом, при этом на пульте управления ГМП должна быть нажата кнопка «N» («нейтраль»). После этого необходимо надежно зафиксировать автобус от перемещения вдоль оси, путем установки не менее двух противооткатных упоров с обеих сторон колеса. Извлечь ключ из замка зажигания и убедиться в фиксации рулевого колеса от проворачивания, при этом цепи приборов и потребителей будут отключены. На рулевое колесо должна быть вывешена табличка с надписью «ДВИГАТЕЛЬ НЕ ЗАПУСКАТЬ! РАБОТАЮТ ЛЮДИ!».

На газобаллонном автобусе к установке на пост ТО допускаются только линейные водители и водители-перегонщики, прошедшие соответствующее обучение и имеющие действующее удостоверение на право работы на газовых автобусах. Для въезда в помещение и перемещения по нему необходимо переключить питание на «маневровый» баллон! Вентили остальных баллонов должны быть закрыты ручными запорными кранами! Установку газобаллонного автобуса на пост ТО следует осуществлять после обязательной проверки герметичности вентилей, переходников, соединительных трубопроводов газобаллонного оборудования. Герметичность запорной и соединительной арматуры необходимо проверять на специальных площадках или контрольно-пропускных пунктах (КПП) специальными приборами (течеискателями) или визуально - путем омыливания мест соединений арматуры водомыльной эмульсией. При наличии нарушения герметичности газобаллонного оборудования газ из баллонов должен быть выпущен на площадке выпуска газа или посту аккумулирования газа с последующей (в случае необходимости) дегазацией газовых баллонов инертным или негорючим газом (азот, углекислый газ и др.), давлением от 0, 2 до 0, 3 МПа (от 2 до 3 кгс/кв.см).

При выполнении работ по ТО автобуса на подъемнике модели ПТО-16 М необходимо соблюдать требования техники безопасности, указанные в руководстве по эксплуатации подъемника. ЗАПРЕЩАЕТСЯ: Выполнять вывешивание автобуса без фиксации колес подъемника с помощью двух ручных тормозов. Устанавливать посторонние предметы между стойкой подъемника и автобусом.

При обслуживании автобуса на подъемнике на пульте управления подъемником должна быть вывешена табличка с надписью «НЕ ТРОГАТЬ - ПОД АВТОБУСОМ РАБОТАЮТ ЛЮДИ!».

После вывешивания подъемником под мосты передней или задней частей автобуса необходимо установить страховочные подставки под опорные площадки кузова, на которых должна быть указана максимально допустимая нагрузка.

Перед проведением любых работ в моторном отсеке и отсеке ПЖД, с целью исключения срабатывания системы автоматического пожаротушения, отключить АКБ от бортовой сети, отсоединив провод «массы» от клемм АКБ.

При ТО газового автобуса технический персонал ДОЛЖЕН:

проверить перед началом работ исправность инструмента и оборудования, включить вентиляцию;

производить обслуживание газовой аппаратуры на автобусе только при отсутствии давления газа в газопроводах;

производить обслуживание газовой аппаратуры на автобусе только при неработающем двигателе;

выполнять работы по снятию и установке газовой аппаратуры специальными инструментами, а не случайными подручными средствами; агрегаты можно снимать только в остывшем состоянии;

При ТО автобуса ЗАПРЕЩАЕТСЯ:

выполнять работы по ТО и ремонту автобуса с запущенным двигателем, за исключением случаев проведения контрольных и регулировочных работ, требующих включения двигателя (если работы проводятся в отсеке двигателя и ПЖД, то перед проведением работ необходимо отключить разъем питания базового блока системы автоматического пожаротушения);

запускать двигатель без подсоединения газоотвода к выхлопной трубе и установки не менее двух противооткатных упоров с обеих сторон колеса;

открывать пробку системы охлаждения двигателя при температуре охлаждающей жидкости более плюс 90 °С;

пользоваться открытым огнем для прогрева топливопроводов и масляного картера двигателя в холодное время года;

применять бензин и другие взрывоопасные растворители в процессе ремонта приборов электрооборудования. При проведении таких работ следует пользоваться огнебезопасными растворителями. Сборку необходимо выполнять после предварительной сушки деталей. Избегать попадания различных моечных растворов в соединительные панели, пучки проводов и обмотки приборов электрооборудования;

выполнять работы по ремонту пневмосистемы при наличии давления в системе, а также при выполнении работ, связанных со сваркой и сверлением.

При ТО газобаллонного автобуса ЗАПРЕЩАЕТСЯ:

производить обслуживание газовой аппаратуры при наличии людей в кабине и салоне автобуса;

запускать двигатель при утечке газа;

выпускать газ из баллонов вне установленного места;

производить снятие газовой аппаратуры при наличии в ней газа;

пользоваться неисправным инструментом;

применять дополнительные рычаги при открывании и закрывании вентилей;

проверять пламенем герметичность соединений и пользоваться открытым огнем для каких либо технологических целей;

применение огня, открытого пламени, искрообразование и курение при обращении с природным газом и в непосредственном окружении автобуса. Природный газ - легковоспламеняющееся вещество, образующее с воздухом взрывоопасную смесь! При возникновении утечки газа на автобусе, находящемся в помещении, и невозможности её устранения, автобус необходимо отбуксировать наружу, а помещение проветрить! В повышенной концентрации природный газ вытесняет кислород, оказывая усыпляющее и удушающее действие!

ЗАПРЕЩАЕТСЯ: проводить разборку огнетушителей системы пожаротушения и проводить другие действия, приводящие к деформации или механическим повреждениям корпуса, диафрагмы и комплектующих, проводить сварочные работы, а также пользоваться открытым пламенем при проведении работ в моторном отсеке и отсеке подогревателя.

ВНИМАНИЕ: Во время работы двигателя вблизи выпускного коллектора, турбокомпрессора и глушителя не должны находиться легковоспламеняющиеся материалы.

Заправку горюче-смазочными материалами проводить механизированным способом с соблюдением правил пожарной безопасности.

В случае воспламенения топлива необходимо пламя засыпать песком или накрыть брезентом (войлоком). Использовать углекислотный огнетушитель. ЗАПРЕЩАЕТСЯ: Заливать горящее топливо водой.

Для защиты работающих от опасных и вредных производственных факторов необходимо своевременно обеспечивать работников исправными средствами индивидуальной защиты (спецодеждой, спецобувью и т.д.).

Рабочие должны пройти обучение (инструктаж) по ТО автобуса.

Рабочие допускаются к самостоятельной работе по ТО автобуса только после прохождения соответствующего обучения (инструктажа) и проверки знаний по охране труда и пожарной безопасности в соответствии с требованиями ГОСТ 12.0.004.

К техническому обслуживанию газобаллонного автобуса допускаются лица, прошедшие соответствующее обучение по программе «Эксплуатация и ремонт автотранспортных средств, работающих на компримированном природном газе», и имеющие соответствующие действующие удостоверения.

При выполнении работ на крыше газобаллонного автобуса соблюдать требования «Правил охраны труда при работе на высоте» !

Предприятие должно иметь сертификат на выполнение регламентных работ по системе питания газобаллонных транспортных средств, ремонт топливной аппаратуры газобаллонных транспортных средств, проверку герметичности и «опрессовку» газовой системы питания транспортных средств с газобаллонным оборудованием.

При проведении ТО автобуса необходимо также соблюдать меры безопасности, приведенные в технологических требованиях и указаниях к конкретным технологическим операциям ТО настоящего технологического процесса.

Требования безопасности к рабочим местам должны соответствовать ГОСТ 12.2.061.

7. ИССЛЕДОВАНИЕ СОСТАВА ВЫБРОСОВ ОТРАБОТАВШИХ ГАЗОВ И СРАВНЕНИЕ С ДРУГИМИ ТИПАМИ СИСТЕМ ПИТАНИЯ


Охрана атмосферного воздуха и озонового слоя является наиболее приоритетной проблемой экологии и ей уделяется пристальное внимание во всех развитых странах.

Вредные вещества при эксплуатации подвижных транспортных средств такие как оксид углерода, оксиды серы, азота, соединения свинца, сажа, углеводороды, в том числе канцерогенный бензапирен С20Н12, несгоревшие частицы топлива и т.п. поступают в воздух с отработавшими газами, испарениями из топливных систем, а так же с картерными газами. Значения выбросов вредных веществ в отработавших газах автотранспорта зависят от целого ряда факторов: отношения в смеси воздуха и топлива, режимов движения автотранспорта, рельефа и качества дорог, технического состояния автотранспорта и др.

При ускорении и торможении в отработавших газах увеличивается содержание оксида углерода почти в 8 раз. Минимальное количество оксида углерода выделяется при равномерной скорости автомобиля 40 км/ч.

Выбросы оксидов азота максимальны при отношении воздух - топливо.

Состав и объёмы выбросов зависят также от типа двигателя. В таблице 7.1. показаны выбросы ряда вредных веществ карбюраторного и дизельного двигателей.

Таблица 7.1. - Выбросы ряда вредных веществ бензинового и дизельного двигателей.

Компоненты выхлопного газа

Содержание по объему, %

Примечание


Двигатели



Бензиновые

Дизельные


Азот

74, 0 - 77, 0

76, 0 - 78, 0

нетоксичен

Кислород

0, 3 - 8, 0

2, 0 - 18, 0

нетоксичен

Пары воды

3, 0 - 5, 5

0, 5 - 4, 0

нетоксичны

Диоксид углерода

5, 0 - 12, 0

1, 0 - 10, 0

нетоксичен

Оксид углерода

0, 1 - 10, 0

0, 01 - 5, 0

токсичен

Углеводороды не канцерогенные

0, 2 - 3, 0

0, 009 - 0, 5

токсичны

Альдегиды

0 - 0, 2

0, 001 - 0, 009

токсичны

Оксид серы

0 - 0, 002

0 - 0, 03

токсичен

Сажа, г/м3

0 - 0, 04

0, 01 - 1, 1

токсична

Бензопирен, мг/м3

0, 01 - 0, 02

до 0, 01

канцероген


Как видно из данных таблицы 7.1., выбросы основных загрязняющих веществ значительно ниже в дизельных двигателях. Поэтому принято считать их более экологически чистыми. Однако дизельные двигатели отличаются повышенными выбросами сажи, образующейся вследствие перегрузки топлива. Сажа насыщена канцерогенными углеводородами и микроэлементами; их выбросы в атмосферу недопустимы.

При современном уровне развития техники наиболее эффективным способом снижения токсичности выхлопа является нейтрализация токсичных компонентов отработавших газов с использованием химических реакций окисления и (или) восстановления. С этой целью в выпускную систему двигателя устанавливают специальный термический реактор (нейтрализатор).

Нормирование выбросов автомобильного транспорта.

Введение норм выбросов в первую очередь мотивируется качеством окружающего нас воздуха. Значительно возросла доля дизельного и газового транспорта, который наносит менее значительный урон экологии, чем бензиновый. В 1990 г. среди приобретаемых автомобилей доля дизельных в Западной Европе составляла всего 14%. Уже в 2006 г. был превышен 50%-ный рубеж, и разница в пользу «дизелей» с каждым годом нарастает.

Таблица 7.2. - Нормы содержания токсичных составляющих в ОГ легковых автомобилей с дизельными двигателями

Норма

Дата введения, год

СО, г/кВт*ч

СН, г/кВт*ч

NOx, г/кВт*ч

PM, г/кВт*ч

Евро 1

1992

2, 72

0, 97


0, 14

Евро 2

1999

1

0, 7


0, 08

Евро 3

2000

0, 64

0, 56

0, 5

0, 05

Евро 4

2005

0, 5

0, 3

0, 25

0, 025

Евро 5

2008

0, 5

0, 23

0, 18

0, 005

Евро 6

2015

0, 5

0, 17

0, 08

0, 005


Таблица 7.3. - Нормы содержания токсичных составляющих в ОГ легковых автомобилей с бензиновыми и газобаллонными двигателями.

Норма

Дата введения, год

СО, г/кВт*ч

СН, г/кВт*ч

NOx, г/кВт*ч

PM, г/кВт*ч

Евро 1

1992

2, 72

0, 97



Евро 2

1999

2, 2

0, 5



Евро 3

2000

2, 3

0, 2

0, 15


Евро 4

2005

1

0, 1

0, 08


Евро 5

2008

1

0, 1

0, 06

0, 005

Евро 6

2015

1

0, 1

0, 06

0, 005


Современная методика расчета выбросов вредных веществ от легковых автомобилей.

Общий массовый выброс в тоннах i-го загрязняющего вещества легковыми автомобилями  определяется по формуле:


где - Массовый выброс загрязняющего вещества, тонн;

 - Коэффициент учитывающий срок эксплуатации;

 - Коэффициент учитывающий класс экологичности;

Таблица 7.4 - Значение  в зависимости от срока эксплуатации.

Срок эксплуатации

Углерода оксид (СО)

Углеводороды (СН)

Азота двуокись (NO2)

Сажа (С)

До 3 лет

1

1

1

1

От 3 до 7 лет

1, 2

1, 1

1

1, 2

От 7 до 10 лет

1, 5

1, 25

1

1, 5


Таблица 7.5. - значение коэффициента  в зависимости от класса и типа топлива.

Тип топлива

Класс экологичности

Углерода оксид (СО)

Углеводороды (СН)

Азота двуокись (NO2)

Сажа (С)

Дизельное топливо

Евро 1

1

1

-

1


Евро 2

0, 367647059

0, 721649485

-

0, 57142857


Евро 3

0, 235294118

0, 577319588

1

0, 35714285


Евро 4

0, 183823529

0, 309278351

0, 5

0, 17857142


Евро 5

0, 183823529

0, 237113402

0, 36

0, 03571428


Евро 6

0, 183823529

0, 16

0, 03571428

Бензин и газ

Евро 1

1

1

-

-


Евро 2

0, 808823529

0, 515463918

-

-


Евро 3

0, 845588235

0, 206185567

1

-


Евро 4

0, 367647059

0, 103092784

0, 5333

-


Евро 5

0, 367647059

0, 103092784

0, 4

1


Евро 6

0, 367647059

0, 103092784

0, 4

1


Массовый выброс загрязняющего вещества  рассчитывается по формуле:


где  - Суммарный расход топлива легкового автомобиля, за расчетный период, тонн;

 - Удельное содержание i-го компонента в отработавших газах в зависимости от вида используемого топлива, тонн/тонну;

 - Коэффициент, учитывающий изменение выбросов загрязняющих веществ при движении по территории населенных пунктов;

Таблица 7.6. - значение удельного содержания выбросов загрязняющих веществ от вида используемого топлива .

Вид используемого топлива

Углерода оксид (СО)

Углеводороды(СН)

Азота двуокись (NO2)

Сажа (С)

Бензин

0, 205

0, 028

0, 029

0, 0003

Дизтопливо

0, 03

0, 0073

0, 054

0, 0045

Сжиженный газ

0, 205

0, 028

0, 029

0, 0003

Сжатый газ

0, 1

0, 0109

0, 022

-


Таблица 7.7. - значение коэффициента  при движении по территории населенных пунктов.

Тип населенного пункта Город с числом жителей более 1млн человек

Оксид углерода (CO)

Углеводороды (CH)

Двуокись азота (NO2)

Сажа(С)






Город с числом жителей более 1млн человек

1

1

1

1

Город с числом жителей от 100 тыс. до 1 млн человек

0, 87

0, 92

0, 94

0, 8

Город с числом жителей от 30 до 100 тыс. человек

0, 7

0, 79

0, 81

0, 5

Прочие населенные пункты

0, 41

0, 59

0, 6

0, 3


Исходя из современной методики расчета выбросов, можно заметить что не смотря на то, что норма выбросов у бензиновых и газовых двигателей одинакова, массовый выброс у двигателей на газу будет немного меньше. Это связано с различными коэффициентами , для разных видов топлива.

Стоит отметить, что в двигателях на сжатом газу в отработавших газах совершенно нет твердых частиц, что является большим плюсом. Остальные показатели в 2 раза меньше чем у бензиновых двигателей.

Что касается двигателей на сжиженном газу показатели выбросов точно такие же как и у бензиновых двигателей.

Наиболее актуальные классы это ЕВРО 4 и ЕВРО 5, для этих классов на листе 4 представлены гистограммы массовых выбросов основных загрязняющих веществ для бензиновых и дизельных двигателей.

ЗАКЛЮЧЕНИЕ


В ходе курсового проектирования были определены назначение и структура проектируемого предприятия, проведён расчёт производственной программы, определено необходимое число рабочих и постов (. Предварительно рассчитаны и графически скорректированы площади складских , производственных , административно-бытовых  помещений, а также стоянка для хранения транспортных средств предприятия .

Была разработана и построена схема технологического процесса осуществления ТО и ТР ГБО автобуса на АТП. Представлен расчёт, а также дано обоснование и описание планировочных решений генерального плана и производственно-бытового корпуса.

Технико-экономическое обоснование проекта выявило отклонения некоторых показателей от эталонных, однако причины этого раскрыты.

Был детально разработан участок для проведения ТО и ТР ГБО, подобрано соответствующее оборудование и рассчитана необходимая площадь для его расположения, и расположения рабочих в соответствии с предъявляемыми требованиями.

Таким образом, было спроектировано комплексное автотранспортное предприятие на 120 автобусов работающих на компримированном природном газу МАЗ-203с.

СПИСОК ИСПОЛЬЗОВАННОЙ ЛИТЕРАТУРЫ


1.ТКП 248-2010 (02190) Техническое обслуживание и ремонт автомобильных транспортных средств. Нормы и правила проведения.

.Болбас, М. М. Проектирование предприятий автомобильного транспорта: учеб. Для студентов специальности «Техн. эксплуатация автомобилей» учреждений, обеспечивающих получение высш. образования / М. М. Болбас, Н. М. Капустин, А. С. Савич, В. И. Похабов, Е. Л. Савич, И. М. Флерко, В. К. Ярошевич. - Мн.: Адукацыя i выхаванне, 2004. - 528 с.

.ТКП ХХХ/ОР (02190) «Автобусы с двигателями, работающими на компримированном природном газе. Нормы и правила эксплуатации.

.Технологический процесс технического обслуживания автобусов маз-203 с двигателем, работающим на компримированном природном газе.

.Соболевский, С.Б. Выпускная квалификационная работа: организация подготовки и защиты дипломного проекта: учебно-методическое пособие для студентов специальности 1-37 01 06 «Техническая эксплуатация автомобилей» (по направлениям), 1-37 01 07 «Автосервис» / С.Б. Соболевский, В.С. Ивашко. - Минск: Изд. Центр БГУ, 2014. - 76 с.

. Ярошевич В.К. Оформление дипломных проектов. - Минск: Изд. БНТУ, 2008.

Похожие работы на - Проект комплексного автотранспортного предприятия на 120 автобусов МАЗ 203с

 

Не нашли материал для своей работы?
Поможем написать уникальную работу
Без плагиата!
Без нейросетей!