Расчёт основных параметров и характеристик элементов твердотельной электроники
Министерство образования и науки Российской Федерации
Санкт-Петербургский государственный электротехнический университет
"ЛЭТИ" им. В.и. Ульянова (ленина)
Кафедра микро- и наноэлектроники
Пояснительная
записка
к курсовой
работе
по
дисциплине «Твердотельная электроника»
Тема:
«Расчёт основных параметров и характеристик элементов твердотельной
электроники»
Студентка группы 3205: Жильцова А.В.
Преподаватель: Изумрудов О.А.
Санкт-Петербург
2016
Задание
на курсовой проект по дисциплине «Твердотельная
электроника»
Группа: 3205 Курс: 3 Студентка: Жильцова А.В.
Наименование работы: «Расчёт основных параметров
и характеристик элементов твердотельной электроники».
Исходные данные:
. Тип активного элемента (прибора): p+n-переход.
. Заданные параметры (материал,
структура, электрические параметры, режим работы и др.): кремний,
планарно-эпитаксиальный, Nа
= 1018 см-3, Nд = 1014 см-3, Sp-n
= 0,25 мм2, Т = (-60 … +100) °С, U
= (-20 … +3) В.
. Расчётные параметры и характеристики:
Сбар (Uобр); φкон;
ВАХ при Т = -60 °С и Т = +100 °С; Rстат
(U = 0) и rдиф
(U = 0); Uпроб;
Imax; Сдиф.
Дата выдачи задания: 22.02.2016
Дата 1 контрольной точки: 28.03.2016
Дата 2 контрольной точки: 25.04.2016
Дата сдачи работы: 12.05.2016
Дата защиты: 12.05.2016
Руководитель: Изумрудов О.А. __________
Студентка: Жильцова А.В. __________
Введение (цель работы, назначение прибора,
методы получения)
Цель работы:
Закрепление теоретических знаний и развитие
навыков проектирования и расчёта активных элементов интегральных микросхем.
Назначение прибора:
Электронно-дырочным переходом (p-n-переходом)
называется переходный слой между двумя областями полупроводника с разным типом
электропроводности, в котором существует диффузионное электрическое поле. Если
линейные размеры площади перехода намного больше толщины, переход называется
плоскостным, если размеры соизмеримы - точечным.
По характеру распределения примесей переходы
делятся на резкие и плавные. Плавные получают путём диффузии акцепторной
примеси в полупроводник n-типа
или донорной примеси - в p-тип.
Так как концентрация легирующей примеси при диффузии уменьшается вглубь образца
плавно, образуется переход, границей которого будут границы областей
полупроводника с электронным или дырочным типом электропроводности.
Резкие переходы можно получить с помощью ионной
имплантации, металлургического сплавления или эпитаксии.
Методы получения перехода:
Электронно-дырочные переходы в зависимости от
технологии изготовления разделяются на точечные, сплавные, диффузионные,
эпитаксиальные, планарные и другие.
· Точечные переходы.
Рис. 1. Получение точечного перехода
Образуются точечно-контактным способом (рис.
2.). К полированной и протравленной пластине монокристаллического
полупроводника n-типа подводят иглу, например, из бериллиевой бронзы с острием
20-30 мкм. Затем через контакт пропускают мощные кратковременные импульсы тока.
Место контакта разогревается до температуры плавления материала зонда, и медь
легко диффундирует внутрь полупроводника образуя под зондом небольшую по объему
область p-типа. Иногда перед электрической формовкой на конец иглы наносят
акцепторную примесь (In или Аl), при этом прямая проводимость контакта доходит,
до 0,1 см. Таким образом, электронно-дырочный переход образуется в результате
диффузии акцепторной примеси из расплава зонда и возникновения под ним области
p-типа в кристаллической решетке полупроводника n-типа. Точечные переходы
применяют при изготовлении высококачественных диодов для радиотехнического
оборудования.
· Сплавные переходы.
Рис. 2. Сплавной переход
Обычно получают вплавлением примеси в
монокристалл полупроводника (рис. 3.). Монокристалл, например, германия n-типа
распиливают на пластины толщиной 200-400 мкм и затем после травления и
полировки разрезают на кристаллы площадью в два-три миллиметра и больше. На
кристаллы, помещенные в графитовые кассеты, накладывают таблетку акцепторного
материала, чаще всего индия. Затем кассета помещается в вакуумную печь
(температура в ней достигает 2000 °С), в которой таблетка индия (температура
плавления 157 °С) и слой германия (плавится при 938 °С) под ней расплавляются.
Нагрев прекращается и при охлаждении расплав из германия и индия
кристаллизуется, образуя слой германия p-типа (легированный индием). Застывшая
часть индия (не входящая в p-n-переход)
представляет собой омический (невыпрямляющий) контакт, на нижнюю часть пластины
наносят слой олова, который служит омическим контактом к германию n-типа. К
индию и олову припаивают выводы обычно из никелевой проволочки.
Иногда, для образования омического контакта с
областью n-типа, на неё напыляют сплав Au-Sb, содержащий примерно 0,17% сурьмы,
и вплавляют его при температуре приблизительно 800 °С.
· Диффузионные переходы.
Рис. 3. Процесс создания диффузионного перехода:
a) исходная
заготовка, б) заготовка с внесённой примесью, в) p-n-переход
Диффузионные переходы получают диффузией
примесного вещества в исходную полупроводниковую пластинку (рис. 4.). Это один
из наиболее широко используемых методов получения p-n-перехода, он имеет
несколько разновидностей.
При планарном методе диффузии переходы получают,
используя изолирующий слой, препятствующий диффузии примесей. На поверхности
кремния n-типа выращивается тонкий (около 3 мкм) слой двуокиси кремния SiO2
(рис. 4.). Фотолитографическим методом в определенных местах окисла получают
«окна», через которые диффундирующие примеси проникают в n-слой, образуя
переход.
Методы диффузии обеспечивают получение плавных
p-n-переходов и используются при изготовлении интегральных микросхем.
· Эпитаксиальные переходы.
Рис. 4. Планарно-эпитаксиальный переход
Для проведения эпитаксии необходимо создавать
условия для конденсации атомов осаждаемого вещества на поверхности подложки. Конденсация
происходит перенасыщением пара или жидкого раствора, а также при испарении
осаждаемого вещества в вакууме в специальных реакторах. При наращивании плёнки
с проводимостью противоположной подложке, образуется p-n-переход.
При изготовлении интегральных схем широко
используют планарно-эпитаксиальный метод. Особенность такого технологического
процесса заключается в том, что путём наращивания на подложку из низкоомного
кремния наносят тонкий слой высокоомного полупроводника, повторяющего структуру
подложки. Этот слой, называемый эпитаксиальным, покрывают плотной защитной
пленкой SiO2 толщиной 1 мкм. В плёнке протравливают «окно», через которое путем
диффузии бора или алюминия создается p-n-переход, выход которого на поверхность
оказывается сразу же надежно защищенным пленкой окисла. Следует отметить, что в
последние годы широкое распространение получили такие методы формирования
p-n-переходов, как ионное легирование и молекулярно-лучевая эпитаксия.
барьерный ёмкость микросхема контактный
1. Принцип действия прибора, его основные
параметры и характеристики
Принцип действия перехода:
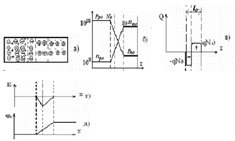
Рассмотрим два полупроводника, находящихся в
контакте.
) р-n-переход в равновесном состоянии
Равновесное состояние перехода - это состояние,
при котором отсутствует внешнее напряжение (Uвнеш= 0).
Соединяем два полупроводника p- и
n-типа (см. рис. 5,а). Начальная концентрация примесей, следовательно,
носителей неодинакова (см. рис. 5,б): 
. Кроме этого, переход
несимметричен: 
. На границе перехода имеется
градиент концентрации носителей заряда, который вызывает диффузию дырок из
p-области в n-область и, наоборот, диффузию электронов из n-области в
p-область. Вблизи перехода дырки рекомбинируют с электронами и в p-области
образуется отрицательный объемный заряд ионизированных акцепторов, а в
n-области - положительный объемный заряд ионизированных доноров (см. рис. 5,в).
Рис. 5. Равновесное состояние p-n-перехода
Таким образом, вблизи границы двух
полупроводников образуется слой l0, обедненный подвижными носителями заряда, и
поэтому обладающих высоким электрическим сопротивлением, так называемый
запирающий слой. Толщина запирающего слоя обычно не превышает нескольких
микрометров.
Из условия электронейтральности:
объемные плотности пространственного заряда доноров и акцепторов равны:

.
За счет объемного заряда на p-n
переходе образуется поле Е (см. рис. 5,г), напряжённость его максимальна на
границе перехода. Это поле препятствует диффузии основных носителей
(уменьшается диффузионный ток), но способствует перемещению неосновных носителей
заряда. Под действием поля E возникает дрейфовый ток за счёт движения
неосновных носителей заряда в противоположном направлении, т.е. дырок из
n-области в p-область, а электронов из p-области в n-область. В изолированном
полупроводнике сумма токов равна нулю. Устанавливается динамическое равновесие.
В области перехода происходит искривление энергетических диаграмм и на границе
слоёв возникает потенциальный барьер (см. рис. 5,д), называемый контактной
разностью потенциалов φк = ΔЕ/q.
Изменение напряженности
электрического поля ΔЕ можно
определить, например, для электронов по смещению дна зоны проводимости на
энергетической диаграмме, q - заряд электрона.
Потенциальный барьер:

При Т = 300 К 
Следует обратить внимание на то, что
так как количество рекомбинирующих зарядов с обеих сторон одинаково, а
концентрация неодинакова, то переход практически сосредоточивается в n-области.
2) Прямое смещение p-n-перехода
Рис. 6. Прямое включение p-n-перехода: а) схема
подключения источника; б) энергетическая диаграмма
Подадим на p-n-переход напряжение прямого
смещения Uпр (см. рис. 6,а), т.е. к p-области плюс, а к n-области - минус. Uпр
уменьшает потенциальный барьер φкон
перехода Uпер = φкон - Uпр.
Ширина перехода уменьшается, основные носители
идут к переходу, увеличивается диффузионный ток за счёт инжекции. Инжекция -
введение основных носителей заряда через переход в область, где они становятся
неосновными, при прямом смещении.
По мере возрастания положительного напряжения на
p-n-переходе прямой ток резко возрастает. Поэтому незначительное изменение
прямого напряжения приводит к значительному изменению тока, что затрудняет
задание требуемого значения прямого тока с помощью напряжения. Вот почему для
p-n-перехода характерен режим заданного прямого тока.
Обычно Uпр - десятые доли вольт, Iпр - единицы и
десятки миллиампер.
) Обратное смещение p-n-перехода
Рис. 7. Обратное включение p-n-перехода: а)
схема подключения источника; б) энергетическая диаграмма
Подадим обратное смещение на переход (см. рис.
7,а). Подключим к p-области минус, а к n-области - плюс. Потенциальный барьер
увеличивается. Запирающий слой расширяется, Uпер = φкон
+ Uобр. Носители заряда идут от перехода, сопротивление перехода увеличивается.
Диффузионный ток уменьшается. Увеличивается обратный ток. При обратном смещении
имеет место экстракция - введение неосновных носителей в область, где они
становятся основными, за счёт обратного смещения.
При |Uобр | > kT/q обратный ток Iобр
стремится к экстракционному I0 обратному току насыщения p-n перехода. I0
обусловлен только неосновными носителями и поэтому почти не зависит от
напряжения Uобр.
Величина Uобр может быть равна десяткам и сотням
вольт (ограничена пробоем полупроводника, его вид зависит от степени
легирования), обратный ток Iобр - единицы и сотни микроампер.
Из рассмотрения прямого и обратного смещения
можно сделать существенный вывод: так как концентрация неосновных носителей
намного меньше концентрации основных носителей, то обратный ток, обусловленный
неосновными носителями, намного меньше прямого тока, обусловленного основными
носителями (Iобр << Iпр), т.е. p-n-переход обладает односторонней
проводимостью или выпрямительным свойством.
Энергетическая диаграмма p-n-перехода
представлена на рис. 8.
Рис. 8. Энергетическая диаграмма
p-n-перехода: a) состояние равновесия; b) при приложенном прямом напряжении; c)
при приложенном обратном напряжении
Основные параметры и характеристики перехода:
· Характеристические сопротивления:) Статическое
сопротивление - сопротивление по постоянному току:

b) Дифференциальное сопротивление -
сопротивление по переменному току:

· Ёмкости p-n перехода
Различают барьерную и диффузионную емкости p-n
перехода:) Барьерная (зарядная) ёмкость Cбар обусловлена наличием зарядов
(положительных и отрицательных ионов) в запирающем слое в условиях равновесия и
при обратном смещении перехода, т.е. отражает перераспределение зарядов в переходе

где ε -
диэлектрическая проницаемость полупроводника;
ε0 - диэлектрическая
проницаемость в вакууме;- площадь перехода;
Uобр -
абсолютное значение обратного напряжения.
С увеличением Uобр барьерная емкость
уменьшается пропорционально 
Величина барьерной емкости равна
десяткам и сотням пикофарад;
b) Диффузионная ёмкость Сдиф обусловлена
изменением зарядов в переходе за счёт инжекции основных носителей при прямом
смещении (отражает перераспределение зарядов вблизи перехода):

Зависимости барьерной и диффузионной ёмкостей
перехода от приложенного внешнего напряжения представлены на рис. 9:
Рис. 9. Вольт-фарадная характеристика p-n-перехода
· Температурная зависимость обратного
тока
Тепловой обратный ток 
зависит от температуры, так как при
нагреве полупроводника увеличивается генерация неосновных носителей, при этом
тепловой ток удваивается при нагреве на 8 ºС у германиевых приборов или
на 10ºС - у
кремниевых приборов:

где I0 - тепловой ток при начальной
температуре;
ΔT- приращение температуры;
α - температурный коэффициент
тока, α = 0,081 (ºС)-1.
· Вольтамперная характеристика
p-n-перехода
Зависимость тока через p-n-переход от
приложенного напряжения называется вольтамперной характеристикой (ВАХ)
электронно-дырочного перехода. Она имеет вид

,
где I0 - обратный ток насыщения при
|-U| >> (mkT/q);
m -
коэффициент, отражающий нелинейность ВАХ.
На рис. 10 приведена ВАХ p-n-перехода при
различных масштабах по осям для положительных (миллиамперы) и отрицательных
(микроамперы) значений токов.
Рис. 10. Вольт-амперная характеристика p-n-перехода
Вольт-амперная характеристика имеет две ветви:
прямую, расположенную в первом квадранте графика, и обратную, расположенную в
третьем квадранте. Обратный ток создается экстракцией через p-n-переход
неосновных носителей заряда. Поскольку концентрация неосновных носителей заряда
на несколько порядков ниже, чем основных, обратный ток несоизмеримо меньше
прямого.
При небольшом увеличении обратного напряжения от
нуля обратный ток сначала возрастает до значения, равного значению теплового
тока (I0), а с дальнейшим увеличением Uобр ток остается постоянным. Это
объясняется тем, что при очень малых значениях обратного напряжения еще есть
незначительная диффузия основных носителей заряда, встречное движение которых
уменьшает результирующий ток в обратном направлении. Когда эта диффузия
прекращается, значение обратного тока определяется только движением через
переход неосновных носителей, количество которых в полупроводнике не зависит от
напряжения. Повышение обратного напряжения до определенного значения,
называемого напряжением пробоя (Uобр. проб) приводит к пробою
электронно-дырочного перехода, т.е. к резкому уменьшению обратного
сопротивления и, соответственно, росту обратного тока.
Свойство p-n-перехода проводить электрический
ток в одном направлении значительно больший, чем в другом, называют
односторонней проводимостью. Электронно-дырочный переход, электрическое
сопротивление которого при одном направлении тока на несколько порядков больше,
чем при другом, называют выпрямляющим переходом.
Влияние температуры на прямую и обратную ветви
вольт-амперной характеристики p-n-перехода показано штриховой линией (см. рис.
8). Прямая ветвь при более высокой температуре располагается левее, а обратная
- ниже. Таким образом, повышение, температуры при неизменном внешнем напряжении
приводит к росту как прямого, так и обратного токов, а напряжение пробоя, как
правило, снижается. Причиной такого влияния повышения температуры является
уменьшение прямого и обратного сопротивлений из-за термогенерации пар носителей
заряда, а также из-за снижения потенциального барьера (φкон)
и увеличение энергии подвижных носителей зарядов.
Рассмотрим причины, вызывающие пробой
p-n-перехода и процессы, которые при этом происходят.
· Пробой p-n-перехода
Рис. 11. Виды пробоя p-n-перехода: 1 - лавинный;
2 - туннельный; 3 - тепловой
Пробоем p-n-перехода (рис. 11) называют резкое
уменьшение обратного сопротивления, вызывающее значительное увеличение тока при
достижении обратным напряжением критического для данного прибора значения
(Uобр. проб). Пробой p-n-перехода происходит при повышении обратного напряжения
вследствие резкого возрастания процессов генерации пар «свободный электрон - дырка».
В зависимости от причин, вызывающих дополнительную интенсивную генерацию пар
носителей заряда, пробой может быть электрическим и тепловым.
Тепловой пробой возникает в результате
недостаточного теплоотвода, когда рассеиваемая мощность на переходе больше
мощности отводимой. Пробой необратим, прибор выходит из строя;
Электрический пробой связан с увеличением
напряженности в запирающем слое.
Электрический пробой подразделяется на два
вида:) лавинный пробой заключается в размножении носителей в сильном электрическом
поле за счёт ударной ионизации. Имеет место в широких переходах.
Ток равен

,
здесь M - коэффициент ударной
ионизации или размножения:

где Uпроб - напряжение лавинного
пробоя;
b = 5 для
кремния n-типа и германия p-типа, n = 3 - для
кремния p-типа и
германия n-типа;
b) туннельный пробой (зенеровский)
развивается в узких переходах. В полупроводниках с высокой концентрацией
примеси под действием напряженности поля возникает туннельный эффект, т.е.
просачивание электронов сквозь потенциальный барьер (если толщина барьера мала)
без затраты дополнительной энергии. Туннельный эффект возможен при обратном и
небольшом прямом напряжениях, пока дно зоны проводимости ниже потолка валентной
зоны.
2. Примеры практического применения прибора
Электрические процессы в p-n-переходах являются
основой работы полупроводниковых диодов, транзисторов и других электронных
полупроводниковых приборов с нелинейной вольт-амперной характеристикой.
Многие свойства перехода нашли применение в
диодах - полупроводниковых приборах с одним p-n-переходом
и двумя выводами, в котором используется то или иное свойство перехода.
Диоды по своему назначению подразделяются на
выпрямительные диоды, стабилитроны и стабисторы, туннельные, лавинные и
обращённые диоды, свето- и фотодиоды, варикапы и др.
· Выпрямительный диод -
полупроводниковый диод, служащий для преобразования переменного тока в
постоянный.
· Стабилитрон - полупроводниковый
диод, напряжение на котором в области электрического пробоя при обратном
смещении слабо зависит от тока в заданном диапазоне тока.
· Стабистор - полупроводниковый диод,
напряжение на котором в области электрического пробоя при прямом смещении слабо
зависит от тока в заданном диапазоне тока.
· Туннельный диод - полупроводниковый
диод, на вольт-амперной характеристике которого существует участок
отрицательного дифференциального сопротивления, появляющийся за счёт
туннельного эффекта (туннелирования носителей заряда сквозь потенциальный
барьер p-n-перехода).
· Обращённый диод - полупроводниковый
диод на основе полупроводника с критической концентрацией примесей, в котором
электрическая проводимость при обратном напряжении вследствие туннельного
эффекта значительно больше, чем при прямом.
· Варикап - полупроводниковый диод,
действие которого основано на зависимости ёмкости p-n-перехода
от обратного напряжения и который предназначен для применения в качестве
элемента с электрически управляемой ёмкостью.
· Лавинный диод - полупроводниковый
диод, работа которого основана на обратимом лавинном пробое p-n-перехода при
обратном включении, то есть при подаче на слой полупроводника с p-типом проводимости
(анода) отрицательного относительно n-слоя (катода) напряжения.
· Светодиод - полупроводниковый диод,
создающий оптическое излучение при пропускании через него электрического тока в
прямом направлении.
Также p-n-переход
наличествует в тиристорах - полупроводниковых приборах, выполненных на основе
монокристалла полупроводника с тремя или более p-n-переходами и имеющих два
устойчивых состояния:
«закрытое» состояние - состояние низкой
проводимости;
«открытое» состояние - состояние высокой
проводимости.
На основе p-n-перехода
созданы транзисторы, или полупроводниковые триоды.
Подразделяются на полевые и биполярные.
· Биполярный транзистор -
полупроводниковый прибор с двумя взаимодействующими p-n-переходами
и тремя или более выводами, усилительные свойства которого обусловлены
явлениями инжекции и экстракции неосновных носителей заряда.
· Полевой транзистор (униполярный) -
полупроводниковый прибор, через который протекает поток основных носителей
зарядов, регулируемый поперечным электрическим полем, которое создаётся
напряжением, приложенным между затвором и стоком или между затвором и истоком.
3. Расчёт параметров и характеристик прибора
.0 Заданные параметры прибора
Для прибора, параметры которого рассчитываются в
настоящей работе, были заданы исходные характеристики, представленные в таблице
1.
Таблица 1. Исходные характеристики исследуемого
прибора
|
Параметр
|
Обозначение
в формулах
|
Значение
|
|
Тип
элемента
|
-
|
p+-n-переход
|
|
Материал
|
|
кремний
(Si)
|
|
Метод
получения перехода
|
|
планарно-эпитаксиальный
|
|
Площадь
перехода
|
Sp-n
|
0,25
мм2 = 25·10-8 м2
|
|
Концентрация
доноров
|
Nд
|
1014
см-3 = 1020 м-3
|
|
Концентрация
акцепторов
|
Nа
|
1018
см-3 = 1024 м-3
|
|
Рабочий
диапазон температур
|
Т
|
-60
÷ +100 °С =
213 ÷ 373 К
|
|
Диапазон
прямых напряжений
|
Uпр
|
0
÷ +3 В
|
|
Диапазон
обратных напряжений
|
Uобр
|
-20
÷ 0 В
|
Структура планарно-эпитаксиального p-n-перехода
представлена на рисунке 12.
Рис. 12. Структура p-n-перехода
.1 Контактная разность потенциалов
В рабочем диапазоне температур атомы примесей
полностью ионизированы, значит, концентрации основных носителей заряда вдали от
металлургического контакта можно считать равными концентрациям соответствующих
легирующих примесей:

Контактная разность потенциалов p-n-перехода
(высота потенциального барьера основных носителей заряда) определяется
формулой:

Квадрат собственной концентрации
носителей заряда может быть определена из выражения:



Значения постоянных, используемых при
вычислениях:
Пример расчёта квадрата собственной
концентрации носителей заряда при T1 = 213 К:
Пример расчёта контактной разности
потенциалов при

:
Значения собственной концентрации
носителей заряда и контактной разности потенциалов для температур 
и комнатной 
представлены в таблице 2.
Таблица 2. Значения собственной
концентрации НЗ и контактной разности потенциалов для различных температур
|
T, К
|
213
|
373
|
300
|
|
|
|
|
|
|
|
0,871
|
0,561
|
0,705
|
.2 Зависимость барьерной ёмкости перехода от
обратного напряжения
Барьерная ёмкость резкого несимметричного
электронно-дырочного перехода может быть рассчитана по следующей формуле:
Значения постоянных, используемых при
вычислениях:
Пример расчёта барьерной ёмкости при

:
Значения барьерной ёмкости p-n-перехода
для температур Т1 = 213 К и Т2 = 373 К в зависимости от приложенного обратного
напряжения представлены в таблице 3.
Таблица 3. Значения барьерной
ёмкости перехода для Т1 = 213 К и Т2 = 373 К в зависимости от Uобр
|
Uобр, В
|
Сбар,
пФ
|
Uобр, В
|
Сбар,
пФ
|
Uобр, В
|
Сбар,
пФ
|
Uобр, В
|
Сбар,
пФ
|
|
213
К
|
373
К
|
|
213
К
|
373
К
|
|
213
К
|
373
К
|
|
213
К
|
373
К
|
|
0,00
|
7,810
|
9,725
|
-0,1
|
7,396
|
8,959
|
-2
|
4,301
|
4,553
|
-12
|
2,031
|
2,056
|
|
-0,01
|
7,765
|
9,639
|
-0,2
|
7,043
|
8,350
|
-3
|
3,704
|
3,861
|
-13
|
1,956
|
1,979
|
|
-0,02
|
7,722
|
9,556
|
-0,3
|
6,735
|
7,851
|
-4
|
3,302
|
3,412
|
-14
|
1,890
|
1,910
|
|
-0,03
|
7,679
|
9,475
|
-0,4
|
6,465
|
7,431
|
-5
|
3,007
|
3,090
|
-15
|
1,829
|
1,847
|
|
-0,04
|
7,636
|
9,396
|
-0,5
|
6,224
|
7,073
|
-6
|
2,780
|
2,845
|
-16
|
1,774
|
1,791
|
|
-0,05
|
7,595
|
9,319
|
-0,6
|
6,009
|
6,761
|
-7
|
2,597
|
2,650
|
-17
|
1,724
|
1,739
|
|
-0,06
|
7,554
|
9,243
|
-0,7
|
5,814
|
6,488
|
-8
|
2,447
|
2,490
|
-18
|
1,677
|
1,691
|
|
-0,07
|
7,514
|
9,170
|
-0,8
|
5,638
|
6,245
|
-9
|
2,319
|
2,356
|
-19
|
1,647
|
|
-0,08
|
7,474
|
9,098
|
-0,9
|
5,476
|
6,027
|
-10
|
2,210
|
2,242
|
-20
|
1,595
|
1,607
|
|
-0,09
|
7,435
|
9,028
|
-1,0
|
5,328
|
5,831
|
-11
|
2,115
|
2,143
|
|
График зависимости барьерной ёмкости p-n-перехода
для температур Т1 = 213 К и Т2 = 373 К от приложенного обратного напряжения
представлен на рисунке 13.
Рис. 13. График зависимости барьерной ёмкости от
обратного напряжения
.3 Напряжение пробоя
Напряжение пробоя кремниевого
электронно-дырочного перехода может быть рассчитано по следующей формуле:
Для p+-n-перехода
В = 96, а базовая область n-типа.
Тогда удельное сопротивление базы может быть
определено из следующего соотношения:
Пример расчёта удельного сопротивления базы n-типа
при

:
Пример расчёта напряжения пробоя
перехода при

:
Значения напряжения пробоя для
температур 
и комнатной 
представлены в таблице 4.
Таблица 4. Значения напряжения
пробоя для различных температур
|
T, К
|
213
|
373
|
300
|
|
|
-1153,838
|
-2765,276
|
-1968,710
|
.4 Вольт-амперная характеристика при различных
температурах
.4.1 Прямая ветвь ВАХ
Максимально возможным прямым напряжением для p-n-перехода
является контактная разность потенциалов: Uпр
max = φкон.
Толщина перехода изменяется с изменением
приложенного к переходу напряжения и рассчитывается по формуле:
Она будет наибольшей при максимальном
приложенном обратном напряжении, равном Uобр
max = -20 В:
Значения постоянных, используемых при
вычислениях:
Расчёт максимальной толщины перехода для

:
Толщина базы может быть рассчитана
из соотношения 
Для 
:
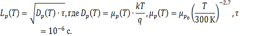
Диффузионная длина неосновных
носителей заряда в базовой области n-типа
определяется выражением:
Значения постоянных, используемых
при вычислениях:
Пример расчёта диффузионной длины
для 
:
Значения толщины базы и диффузионной
длины неосновных носителей заряда для температур 
представлены в таблице 5.
Таблица 5. Значения толщины базы и
диффузионной длины ННЗ для различных температур
|
T, К
|
213
|
373
|
|
|
20,807
|
20,653
|
|
|
48,123
|
29,890
|
Из данных, представленных в таблице 5, можно
заключить, что толщина базы меньше диффузионной длины ННЗ для обеих температур,
из чего следует, что база тонкая.
Основным процессом образования прямого тока
через электронно-дырочный переход является инжекция основных носителей заряда,
т.е. их введение через переход при понижении высоты потенциального барьера.
При низком уровне инжекции 
прямая ветвь ВАХ перехода
подчиняется следующей зависимости:
Значения постоянных, используемых
при вычислениях:
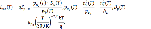
Пример расчёта тока насыщения при

:
Значения тока насыщения для
температур 
представлены в таблице 6.
Таблица 6. Значения тока насыщения
для различных температур
|
T, К
|
213
|
373
|
|
|
1,174·10-20
|
4,562·10-8
|
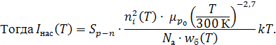
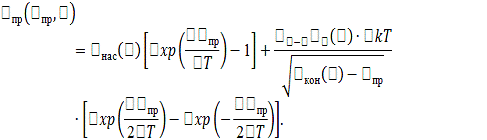
При высоком уровне инжекции 
прямая ветвь ВАХ перехода
подчиняется следующей зависимости:
Так как кремний является
полупроводником с большой шириной запрещённой зоны, прямой ток включает в себя,
помимо инжекционной составляющей, ещё и рекомбинационную. Её расчёт может быть
выполнен по следующей формуле:
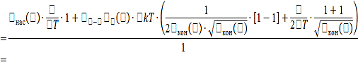
Полный ток в прямой ветви
вольт-амперной характеристики кремниевого p-n-перехода
представляет собой сумму инжекционной и рекомбинационной составляющей и может
быть описан следующим выражением:
Граничные ток и напряжение,
определяемые переходом из низкой инжекции в высокую, находим из условия
стыковки двух участков характеристики (низкая инжекция + рекомбинация) -
(высокая инжекция + рекомбинация):
Значения постоянных, используемых
при вычислениях:
Пример расчёта граничного напряжения
при

:
Пример расчёта граничного тока при

:
Значения граничных токов и напряжений
для температур 
представлены в таблице 7.
Таблица 7
Значения граничных токов и
напряжений для различных температур
|
T, К
|
213
|
373
|
|
|
0,727
|
0,310
|
|
|
1,782
|
0,694
|
Для напряжений, меньших граничного, инжекция
считается низкой, для Uпр
> Uгр - высокой.
Значения постоянных, используемых при
вычислениях:
Пример расчёта тока низкой инжекции при

:
Значения постоянных, используемых
при вычислениях:
Пример расчёта толщины перехода при

:
Пример расчёта тока рекомбинации при

:
Пример расчёта тока высокой инжекции
при

:
Пример расчёта полного прямого тока
при

:
Значения полных прямых токов для
температур 
представлены в таблицах 8 и 9
соответственно.
Таблица 8. Значения прямых токов для

|
|
|
 , А , А , А , А
|
|
|
|
|
0,000
|
3,400
|
0,000E+00
|
0,000E+00
|
|
0,000E+00
|
|
0,010
|
3,380
|
8,168E-16
|
8,493E-21
|
|
8,168E-16
|
|
0,020
|
3,360
|
1,704E-15
|
2,313E-20
|
|
1,704E-15
|
|
0,030
|
3,341
|
2,730E-15
|
4,835E-20
|
|
2,730E-15
|
|
0,040
|
3,321
|
3,973E-15
|
9,183E-20
|
|
3,973E-15
|
|
0,050
|
3,301
|
5,529E-15
|
1,668E-19
|
|
5,530E-15
|
|
0,060
|
3,280
|
7,520E-15
|
2,959E-19
|
|
7,520E-15
|
|
0,070
|
3,260
|
1,010E-14
|
5,184E-19
|
|
1,010E-14
|
|
0,080
|
3,240
|
1,347E-14
|
9,020E-19
|
|
1,347E-14
|
|
0,090
|
3,219
|
1,789E-14
|
1,563E-18
|
|
1,789E-14
|
|
0,100
|
3,198
|
2,371E-14
|
2,702E-18
|
|
2,372E-14
|
|
0,150
|
3,093
|
9,601E-14
|
4,126E-17
|
|
9,605E-14
|
|
0,200
|
2,984
|
3,882E-13
|
6,275E-16
|
|
3,888E-13
|
|
0,250
|
2,870
|
1,574E-12
|
9,541E-15
|
|
1,583E-12
|
|
0,300
|
2,752
|
6,399E-12
|
1,451E-13
|
|
6,544E-12
|
|
0,350
|
2,629
|
2,612E-11
|
2,206E-12
|
|
2,833E-11
|
|
0,400
|
2,499
|
1,071E-10
|
3,354E-11
|
|
1,407E-10
|
|
0,450
|
2,363
|
4,419E-10
|
5,100E-10
|
|
9,520E-10
|
|
0,500
|
2,218
|
1,836E-09
|
7,755E-09
|
|
9,591E-09
|
|
0,550
|
2,063
|
7,697E-09
|
1,179E-07
|
|
1,256E-07
|
|
0,600
|
1,895
|
3,267E-08
|
1,793E-06
|
|
1,826E-06
|
|
0,650
|
1,711
|
1,411E-07
|
2,726E-05
|
|
2,740E-05
|
|
0,700
|
1,505
|
6,257E-07
|
4,145E-04
|
|
4,152E-04
|
|
0,727
|
1,381
|
1,412E-06
|
1,781E-03
|
1,781E-03
|
1,781E-03
|
|
0,750
|
1,265
|
2,902E-06
|
|
3,350E-03
|
3,353E-03
|
|
0,800
|
0,968
|
1,479E-05
|
|
1,306E-02
|
1,308E-02
|
|
0,850
|
0,522
|
1,069E-04
|
|
5,094E-02
|
5,105E-02
|
|
0,870
|
0,115
|
8,240E-04
|
|
8,665E-02
|
8,747E-02
|
Таблица 9. Значения прямых токов для

|
|
|
 , А , А , А , А
|
|
|
|
|
0,000
|
2,730
|
0,000E+00
|
0,000E+00
|
|
0,000E+00
|
|
0,010
|
2,706
|
3,200E-09
|
1,663E-08
|
|
1,983E-08
|
|
0,020
|
2,681
|
6,536E-09
|
3,932E-08
|
|
4,586E-08
|
|
0,030
|
2,656
|
1,010E-08
|
7,029E-08
|
|
8,039E-08
|
|
0,040
|
2,631
|
1,397E-08
|
1,125E-07
|
|
1,265E-07
|
|
0,050
|
2,606
|
1,826E-08
|
1,702E-07
|
|
1,885E-07
|
|
0,060
|
2,580
|
2,309E-08
|
2,489E-07
|
|
0,070
|
2,554
|
2,858E-08
|
3,563E-07
|
|
3,848E-07
|
|
0,080
|
2,528
|
3,488E-08
|
5,028E-07
|
|
5,376E-07
|
|
0,090
|
2,502
|
4,217E-08
|
7,027E-07
|
|
7,449E-07
|
|
0,100
|
2,475
|
5,066E-08
|
9,755E-07
|
|
1,026E-06
|
|
0,150
|
2,337
|
1,210E-07
|
4,786E-06
|
|
4,906E-06
|
|
0,200
|
2,191
|
2,829E-07
|
2,281E-05
|
|
2,309E-05
|
|
0,250
|
2,033
|
6,639E-07
|
1,081E-04
|
|
1,088E-04
|
|
0,300
|
1,863
|
1,577E-06
|
5,116E-04
|
|
5,132E-04
|
|
0,310
|
1,828
|
1,869E-06
|
6,921E-04
|
6,921E-04
|
6,921E-04
|
|
0,350
|
1,675
|
3,814E-06
|
|
2,421E-03
|
1,298E-03
|
|
0,400
|
1,464
|
9,494E-06
|
|
1,145E-02
|
2,825E-03
|
|
0,450
|
1,216
|
2,486E-05
|
|
5,419E-02
|
6,149E-03
|
|
0,500
|
0,903
|
7,282E-05
|
|
2,564E-01
|
1,339E-02
|
|
0,550
|
0,390
|
3,672E-04
|
|
1,213E+00
|
2,934E-02
|
|
0,560
|
0,115
|
1,460E-03
|
|
1,677E+00
|
3,553E-02
|
График прямой ветви вольт-амперной
характеристики p-n-перехода
для температур Т1 = 213 К и Т2 = 373 К представлен на рисунке 14.
Рис. 14. График прямой ветви ВАХ перехода
.4.2 Обратная ветвь ВАХ
Максимально возможным обратным напряжением для p-n-перехода
является напряжение пробоя: Uобр
max = Uпроб.
Так как кремний является полупроводником с большой
шириной запрещённой зоны, основным процессом образования обратного тока через
переход является тепловая генерация носителей в переходе. Расчёт генерационной
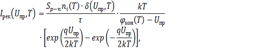
составляющей обратного тока может быть выполнен по следующей формуле:
Обратный ток перехода также включает в себя и
экстракционную составляющую, обусловленную вытягиванием неосновных НЗ из
областей полупроводника, прилегающих к переходу. Ток экстракции подчиняется
следующей зависимости:
Полный ток в обратной ветви вольт-амперной
характеристики кремниевого p-n-перехода
представляет собой сумму генерационной и экстракционной составляющей и может
быть описан следующим выражением:
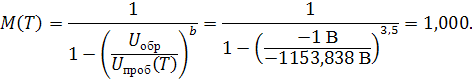
коэффициент лавинного размножения.
Для p+-n-переходов
b = 3,5.
Значения постоянных, используемых при
вычислениях:
Пример расчёта тока экстракции при

:
Значения постоянных, используемых
при вычислениях:
Пример расчёта толщины перехода при

:
Пример расчёта тока генерации при

:
При отсутствии приложенного
напряжения на переходе толщина его не нулевая, соответственно, не равна 0 и генерационная
составляющая обратного тока. Однако, для правдивости построения ВАХ, примем 
Пример расчёта коэффициента
лавинного размножения при

:
Пример расчёта полного обратного
тока при

:
Значения полных обратных токов для
температур 
представлены в таблицах 10 и 11
соответственно.
Таблица 10. Значения обратных токов
для 
|
|
|
 , А , А  , А
|
|
|
|
|
0,000
|
3,400
|
0,000E+00
|
0,000E+00
|
1,000
|
0,000E+00
|
|
-0,010
|
3,419
|
-4,928E-21
|
-7,023E-14
|
1,000
|
-7,023E-14
|
|
-0,020
|
3,438
|
-7,787E-21
|
-7,062E-14
|
1,000
|
-7,062E-14
|
|
-0,030
|
3,458
|
-9,446E-21
|
-7,102E-14
|
1,000
|
-7,102E-14
|
|
-0,040
|
3,477
|
-1,041E-20
|
-7,141E-14
|
1,000
|
-7,141E-14
|
|
-0,050
|
3,496
|
-1,097E-20
|
-7,180E-14
|
1,000
|
-7,180E-14
|
|
-0,060
|
3,515
|
-1,129E-20
|
-7,219E-14
|
1,000
|
-7,219E-14
|
|
-0,070
|
3,534
|
-1,148E-20
|
-7,258E-14
|
1,000
|
-7,258E-14
|
|
-0,080
|
3,552
|
-1,159E-20
|
-7,297E-14
|
1,000
|
-7,297E-14
|
|
-0,090
|
3,571
|
-1,165E-20
|
-7,335E-14
|
1,000
|
-7,335E-14
|
|
-0,100
|
3,590
|
-1,169E-20
|
-7,373E-14
|
1,000
|
-7,373E-14
|
|
-0,500
|
4,266
|
-1,174E-20
|
-8,761E-14
|
1,000
|
-8,761E-14
|
|
-1,000
|
4,983
|
-1,174E-20
|
-1,024E-13
|
1,000
|
-1,024E-13
|
|
-2,000
|
6,173
|
-1,174E-20
|
-1,268E-13
|
1,000
|
-1,268E-13
|
|
-3,000
|
7,168
|
-1,174E-20
|
-1,472E-13
|
1,000
|
-1,472E-13
|
|
-4,000
|
8,041
|
-1,174E-20
|
-1,652E-13
|
1,000
|
-1,652E-13
|
|
-5,000
|
8,828
|
-1,174E-20
|
-1,813E-13
|
1,000
|
-1,813E-13
|
|
-6,000
|
9,551
|
-1,174E-20
|
-1,962E-13
|
1,000
|
-1,962E-13
|
|
-7,000
|
10,222
|
-1,174E-20
|
-2,100E-13
|
1,000
|
-2,100E-13
|
|
-8,000
|
10,852
|
-1,174E-20
|
-2,229E-13
|
1,000
|
-2,229E-13
|
|
-9,000
|
11,447
|
-1,174E-20
|
-2,351E-13
|
1,000
|
-2,351E-13
|
|
-10,000
|
12,013
|
-1,174E-20
|
-2,468E-13
|
1,000
|
-2,468E-13
|
|
-11,000
|
12,554
|
-1,174E-20
|
-2,579E-13
|
1,000
|
-2,579E-13
|
|
-12,000
|
13,072
|
-1,174E-20
|
-2,685E-13
|
1,000
|
-2,685E-13
|
|
-13,000
|
13,570
|
-1,174E-20
|
-2,787E-13
|
1,000
|
-2,787E-13
|
|
-14,000
|
14,051
|
-1,174E-20
|
-2,886E-13
|
1,000
|
-2,886E-13
|
|
-15,000
|
14,516
|
-1,174E-20
|
-2,981E-13
|
1,000
|
-2,981E-13
|
|
-16,000
|
14,966
|
-1,174E-20
|
-3,074E-13
|
1,000
|
-3,074E-13
|
|
-17,000
|
15,403
|
-1,174E-20
|
-3,164E-13
|
1,000
|
-3,164E-13
|
|
-18,000
|
15,828
|
-1,174E-20
|
-3,251E-13
|
1,000
|
-3,251E-13
|
|
-19,000
|
16,242
|
-1,174E-20
|
-3,336E-13
|
1,000
|
-3,336E-13
|
|
-20,000
|
16,646
|
-1,174E-20
|
-3,419E-13
|
1,000
|
-3,419E-13
|
Таблица 11. Значения обратных токов
для 
|
|
|
 , А , А  , А
|
|
|
|
|
0,000
|
2,730
|
0,000E+00
|
0,000E+00
|
1,000
|
0,000E+00
|
|
-0,010
|
2,754
|
-1,219E-08
|
-1,789E-07
|
1,000
|
-1,911E-07
|
|
-0,020
|
2,778
|
-2,112E-08
|
-1,804E-07
|
1,000
|
-2,016E-07
|
|
-0,030
|
2,802
|
-2,766E-08
|
-1,820E-07
|
1,000
|
-2,097E-07
|
|
-0,040
|
2,826
|
-3,246E-08
|
-1,835E-07
|
1,000
|
-2,160E-07
|
|
-0,050
|
2,849
|
-3,598E-08
|
-1,850E-07
|
1,000
|
|
-0,060
|
2,872
|
-3,855E-08
|
-1,865E-07
|
1,000
|
-2,251E-07
|
|
-0,070
|
2,895
|
-4,044E-08
|
-1,880E-07
|
1,000
|
-2,285E-07
|
|
-0,080
|
2,918
|
-4,182E-08
|
-1,895E-07
|
1,000
|
-2,313E-07
|
|
-0,090
|
2,941
|
-4,284E-08
|
-1,910E-07
|
1,000
|
-2,338E-07
|
|
-0,100
|
2,963
|
-4,358E-08
|
-1,925E-07
|
1,000
|
-2,360E-07
|
|
-0,500
|
3,754
|
-4,562E-08
|
-2,438E-07
|
1,000
|
-2,894E-07
|
|
-1,000
|
4,553
|
-4,562E-08
|
-2,957E-07
|
1,000
|
-3,413E-07
|
|
-2,000
|
5,831
|
-4,562E-08
|
-3,787E-07
|
1,000
|
-4,244E-07
|
|
-3,000
|
6,876
|
-4,562E-08
|
-4,466E-07
|
1,000
|
-4,922E-07
|
|
-4,000
|
7,782
|
-4,562E-08
|
-5,054E-07
|
1,000
|
-5,510E-07
|
|
-5,000
|
8,593
|
-4,562E-08
|
-5,581E-07
|
1,000
|
-6,037E-07
|
|
-6,000
|
9,333
|
-4,562E-08
|
-6,062E-07
|
1,000
|
-6,518E-07
|
|
-7,000
|
10,019
|
-4,562E-08
|
-6,507E-07
|
1,000
|
-6,963E-07
|
|
-8,000
|
10,661
|
-4,562E-08
|
-6,924E-07
|
1,000
|
-7,380E-07
|
|
-9,000
|
11,267
|
-4,562E-08
|
-7,317E-07
|
1,000
|
-7,774E-07
|
|
-10,000
|
11,841
|
-4,562E-08
|
-7,691E-07
|
1,000
|
-8,147E-07
|
|
-11,000
|
12,389
|
-4,562E-08
|
-8,046E-07
|
1,000
|
-8,503E-07
|
|
-12,000
|
12,914
|
-4,562E-08
|
-8,387E-07
|
1,000
|
-8,843E-07
|
|
-13,000
|
13,418
|
-4,562E-08
|
-8,715E-07
|
1,000
|
-9,171E-07
|
|
-14,000
|
13,904
|
-4,562E-08
|
-9,030E-07
|
1,000
|
-9,486E-07
|
|
-15,000
|
14,374
|
-4,562E-08
|
-9,335E-07
|
1,000
|
-9,791E-07
|
|
-16,000
|
14,828
|
-4,562E-08
|
-9,630E-07
|
1,000
|
-1,009E-06
|
|
-17,000
|
15,269
|
-4,562E-08
|
-9,917E-07
|
1,000
|
-1,037E-06
|
|
-18,000
|
15,698
|
-4,562E-08
|
-1,020E-06
|
1,000
|
-1,065E-06
|
|
-19,000
|
16,115
|
-4,562E-08
|
-1,047E-06
|
1,000
|
-1,092E-06
|
|
-20,000
|
16,522
|
-4,562E-08
|
-1,073E-06
|
1,000
|
-1,119E-06
|
График обратной ветви вольт-амперной
характеристики p-n-перехода
для температур Т1 = 213 К и Т2 = 373 К представлен на рисунке 15.
Рис. 15. График обратной ветви ВАХ перехода
.5 Статическое и дифференциальное сопротивление
перехода при отсутствии напряжения
Статическое сопротивление p-n-перехода
при отсутствии внешнего напряжения можно найти из зависимости полного прямого
тока от напряжения при 
:
Значения постоянных, используемых
при вычислениях:
Расчёт константы a:
Тогда полный прямой ток равен:
Статическое сопротивление перехода
есть отношение приложенного напряжения к вызванному им току, и обратно
пропорционально статической проводимости.
Статическая проводимость может быть
рассчитана как предел отношения прямого тока к прямому напряжению при
стремлении этого напряжения к 0:
Дифференциальное сопротивление
перехода есть частная производная приложенного напряжения по вызванному им
току, и обратно пропорционально статической проводимости.
Дифференциальная проводимость может
быть рассчитана как предел отношения производной прямого тока по прямому
напряжению при равенстве этого напряжения 0:
Сопротивление является величиной,
обратной проводимости и вычисляется по формуле:
Значения постоянных, используемых
при вычислениях:
Пример расчёта статического и
дифференциального сопротивления для U = 0 при

:
Значения статического и
дифференциального сопротивления при U = 0 для температур

представлены в таблице 12.
Таблица 12. Значения статического и
дифференциального сопротивления при U = 0 для
различных температур
|
T, К
|
213
|
373
|
|
|
|
576775,553
|
.6 Максимальный прямой ток через переход
Максимально допустимой плотностью тока для
кремниевых p-n-переходов
является
Прямой ток рассчитывается из
соотношения 
, т.е. максимально допустимый прямой
ток при 
равен 
.7.Диффузионная ёмкость перехода
Диффузионная ёмкость перехода может
быть рассчитана по формуле:
Рассчитаем диффузионную ёмкость
перехода для наибольших токов на прямой ветви ВАХ перехода.
Значения постоянных, используемых
при вычислениях:
Пример расчёта диффузионной ёмкости
для

:
Значения диффузионной ёмкости для
температур 
представлены в таблице 13.
Таблица 13. Значения диффузионной
ёмкости для различных температур
|
T, К
|
213
|
373
|
|
|
4,761
|
1,105
|
Выводы по работе
В настоящей курсовой работе были рассчитаны
такие параметры кремниевого резкого несимметричного p+-n-электронно-дырочного
перехода, как:
. Контактная разность потенциалов -
максимально возможное прямое напряжение, приложенное к переходу - 0,871 В для
температуры -60 °С и 0,561 В для +100 °С. Как видно из анализа зависимости
контактной разности потенциалов от температуры, она уменьшается с ростом
температуры;
. Напряжение пробоя - максимально
возможное обратное напряжение перехода. Оно равно 1153,838 В для температуры
-60 °С и 2765,276 В для +100 °С. При комнатной температуре оно составляет
1968,710 В, что соответствует справочным данным[7] (согласно им, напряжение
пробоя при 300 К равно примерно 2000 В). С ростом температуры пробивное
напряжение увеличивается;
. Максимально допустимый прямой ток через
переход, он составляет 500 мА и не зависит от температуры. Как видно из прямой
ветви вольт-амперной характеристики перехода (п. 3.4.1), прямые токи не
превышают максимального;
. Вольт-фарадная характеристика перехода
- зависимость барьерной ёмкости от приложенного к переходу обратного
напряжения. Ёмкость перехода уменьшается с увеличением абсолютного значения
обратного напряжения. С ростом температуры ёмкость при одном и том же
напряжении увеличивается. Значение ёмкости составляет единицы пикофарад, что
соответствует параметрам реальных переходов;
. Вольт-амперная характеристика перехода
- зависимость тока на переходе от вызвавшего его внешнего напряжения:
.1. Один и тот же прямой ток при более
высоких температурах может быть получен при меньшем прямом напряжении. Это
обусловлено тем, что прямой ток в диоде в основном определяется высотой
потенциального барьера p-n-перехода, которая, в свою очередь, уменьшается
пропорционально повышению прямого напряжения. При увеличении температуры высота
потенциального барьера понижается. Прямые токи достигают десятков миллиампер,
что соответствует токам реальных кремниевых диодов;
.2. Обратные токи диодов растут с
увеличением температуры, т.к. увеличиваются тепловая генерация основных
носителей заряда в p-n-переходе и генерация неосновных носителей заряда в
прилегающих к нему областях полупроводника. Значения обратного тока для
температуры -60 °С достигают десятых долей пикоампер, в то время как для +100
°С они составляют единицы микроампер;
.3. Прямой ток значительно больше
обратного, т.к. прямой ток обусловлен переходом через потенциальный барьер
основных носителей заряда, а обратный - движением неосновных носителей заряда,
концентрация которых в полупроводнике значительно меньше концентрации основных;
. Статическое сопротивление и равное ему
при отсутствии внешнего напряжения дифференциальное сопротивление. Статическое
сопротивление перехода - это сопротивление постоянному току, дифференциальное -
переменному. Они составляют 12,467 ТОм для -60 °С и 0,577 МОм для +100 °С.
Разница в 7 порядков обусловлена тем, что при очень малых или нулевых
напряжениях на прямой ток большое влияние оказывает его рекомбинационная составляющая,
которая пропорциональна собственной концентрации носителей заряда в
полупроводнике, сильно зависящей от температуры.
. Диффузионная ёмкость перехода в прямом
направлении. Составляет 4,761 мкФ и 1,105 мкФ для -60 °С и +100 °С
соответственно. С повышением температуры уменьшается незначительно. Значения
ёмкости соответствуют экспериментальным характеристикам диодов.
Список использованной литературы
1. Пасынков
В.В., Чиркин Л.К. Радиоэлектронные приборы. - М.: Лань, 2003.
. Петров
К.С. Радиоматериалы, радиокомпоненты и электроника: Учебное пособие. - СПб.:
Питер, 2003.
. Маллер
Р., Кейминс Т. Элементы интегральных схем. - М.: Мир, 1989.
. Росадо
Л. Физическая электроника и микроэлектроника. - М.: Высш. шк., 1991.
. Тилл
У.С., Лаксон Д.Т.. Интегральные схемы: Материалы, приборы, изготовление. - М.:
Мир, 1985.
. Зятьков
И.И., Изумрудов О.А., Марасина Л.А. Расчёт параметров активных элементов
твердотельной электроники: Метод. указания по курсовому проектированию. - СПб.:
Изд-во СПбГЭТУ «ЛЭТИ», 2006.
. Зи
С. Физика полупроводниковых приборов. Т. 1. - М.: Мир, 1984.