Расчет и моделирование работы волнового режекторного фильтра

  • Вид работы:
    Курсовая работа (т)
  • Предмет:
    Информатика, ВТ, телекоммуникации
  • Язык:
    Русский
    ,
    Формат файла:
    MS Word
    646,33 Кб
  • Опубликовано:
    2017-08-27
Вы можете узнать стоимость помощи в написании студенческой работы.
Помощь в написании работы, которую точно примут!

Расчет и моделирование работы волнового режекторного фильтра

Введение


Одной из наиболее важных проблем современной радиоэлектронной промышленности является защита средств связи и различной радиоаппаратуры от всевозможных частотных помех и обеспечение их нормального функционирования в условиях шумового электромагнитного поля. В этом плане в системах передачи информации, радарах, измерительном оборудовании, а также средствах радиоэлектронной борьбы, работающих в сантиметровом и миллиметровом диапазоне длин волн, удобно применять волноводные фильтры. Их основным преимуществом является высокая собственная добротность, а значит, минимальный уровень потерь и более качественная частотная селективность. Это позволяет существенно улучшить характеристики многих СВЧ-устройств, делая их с меньшими массогабаритными показателями и более низким волновым сопротивлением.

Яркие изменения в технологиях производства и конструкциях радиоэлектронных устройств привели к существенной их компактности и миниатюризации. Однако в настоящее время прежние технологии, которые были настолько многообещающими примерно два десятилетия назад, достигли своих пределов в уменьшении размеров СВЧ-устройств, поэтому поиск инновационных подходов к развитию микроволновой техники на сегодняшний момент является бурно развивающейся областью исследований, о чем свидетельствуют многочисленные публикации известных ученых.

Одним из возможных решений существующих проблем является использование искусственных периодических структур - метаматериалов. Метаматериалы - это новая и перспективная область развития радиотехнологий. Возможное существование таких структур было теоретически доказано советским физиком Виктором Веселаго в 1967 году. С тех пор накоплен широкий спектр теоретических исследований, и в настоящее время метаматериалы активно изучаются как приложения радиотехники. Уникальные свойства, которые демонстрируют метаматериалы различной конструкции, предлагают большие возможности их практического применения в рассматриваемой области.

Метаматериалы стали потенциальными кандидатами для применения в устройствах передачи энергии для повышения их качества и производительности. Представленное исследование подтверждает теоретически выведенные свойства искусственных периодических структур. Полученные результаты позволяют сделать выводы о преимуществах использования метаматериалов в различных типах волноводных фильтров с целью улучшения их параметров. Среди прочего, этот научный проект открывает новые перспективы для модернизации волноводной техники в направлении уменьшения размеров устройств.

Стоит отметить, что полоса запирания волноводных фильтров, основанных на метаматериалах, является довольно узкой, что накладывает некоторые ограничения на области возможной реализации искусственной периодической структуры. Однако в данной работе предлагаются возможные варианты решения этой проблемы посредством применения диэлектрических материалов в основании грибовидных структур, что также дает предпосылки для дальнейших исследований в этом направлении.

1. Обзор проблематики и постановка задачи исследования

1.1     Историческая справка


Современное представление о метаматериалах как композитных сред, обладающих уникальными свойствами, сложилось благодаря нескольким обширным направлениям в научных исследованиях. Во-первых, понимание особенностей формирования метаматериалов было бы невозможно без работ в области изучения искусственных структур. А во-вторых, значительным шагом к созданию метаматериалов стали предположения о возможности существования отрицательного коэффициента преломления и распространения обратной волны.

Так еще с XIX века известен эксперимент Джагадиса Чандры Бозе, который показал наличие поляризационных свойств у созданных им объектов с особой конфигурацией. Затем уже в 1914 году Карл Фердинанд Линдман стремился выявить взаимодействие волн с искусственной киральной средой, состоящей из маленьких металлических спиралей, расположенных с хаотичной ориентацией на фиксирующей поверхности. Также стоит упомянуть микроволновые линзы, впервые созданные Уинстоном Е. Коком в 1946-1948 годах. Они представляли собой совокупность периодически расположенных проводящих дисков и сфер, а также металлических полосок. Данная искусственно созданная структура имела необычный по величине эффективный индекс преломления и являлась фактически первым метаматериалом.

Тем не менее, без обнаружения эффекта отрицательного преломления и распространения обратных волн дальнейшее развитие физики метаматериалов было бы затруднено. Возможно, первым, кто предположил существование подобных волн, фаза которых движется в направлении, противоположном направлению движения потока энергии, был Х. Лэмб. Однако Лэмб изучал чисто механические, а не электромагнитные волны. Инициатором аналогичного обсуждения в электромагнетизме был А. Шустер, который в своей книге «Введение в теорию оптики» выдвигает предположения об обратных волнах и вытекающих из этого последствиях для оптического преломления. Примерно в то же время, Г.К. Поклингтон в заметке «Рост волновой группы при групповой скорости отрицателен» показал, что в конкретной среде внезапно активированный источник может создать волну, групповая скорость которой будет направлена от источника, в то время как фазовая скорость, наоборот, обращена к нему.

О предполагаемых эффектах вспомнили лишь через несколько десятилетий, когда в 1940-х годах обратные волны получили свое применение в СВЧ-устройствах. Большой прорыв в этой области совершили лекции Л.И. Мандельштама, где физик, обстоятельно изучив вопрос, сообщает об особенностях инверсного распространения волн и характерном для этого случая отклонении луча в противоположную от нормали к поверхности среды сторону. Но наиболее важный вклад в развитие теории отрицательного преломления бесспорно внес советский физик В.Г. Веселаго. В своих публикациях он раскрыл концепцию, посвященную веществам с отрицательными значениями одновременно и ε, и μ, а также выведенным из уравнений Максвелла отрицательным коэффициентом преломления. Более того, ученый не просто предложил свою гипотезу, но и дал подробное объяснение явлениям, характерным для прохождения электромагнитных волн через подобные среды, а также ввел понятие «леворуких» и «праворуких» сред.

Поскольку в природе веществ с отрицательными магнитной и диэлектрической проницаемостями нет, существенным рывком на пути к становлению современного представления о метаматерилах стали искусственные микроструктуры. Они построены из разрезных колец и прямоугольных проводящих отрезков, которые могут иметь значения эффективной магнитной и диэлектрической проницаемостей, недоступные в естественных материалах. Примечательно, что именно в этой научной публикации упоминается, что размеры исследуемой структуры намного меньше длины волны излучения, что позволяет воспринимать композит из разрозненных элементов как непрерывный материал в некоторой частотной полосе.

Основываясь на идее Дж. Пендри и используя комбинацию из описанных им структур, американский ученый Дэвид Смит сумел впервые создать материал с отрицательным показателем преломления для волн сантиметрового диапазона. Двойные разрезные кольца и медные стержни, располагающиеся в определенном порядке в диэлектрической основе, вместе создавали метаматериал. Проведенные измерения показали, что предложенный композит обладает отрицательными эффективными значениями ε и μ. Таким образом, были экспериментально подтверждены гипотезы, выдвинутые В.Г. Веселаго, что привело к всплеску научного интереса к разработке различных конфигураций метаматериалов и изучению их свойств.

1.2     Обзор литературы


Последние несколько лет повышается внимание к метаматериалам и их применению, что приводит к появлению многочисленных книг и статей, касающихся данного вопроса. Для создания надежного фундамента для проведения настоящего исследования было изучено и переработано значительное количество литературы, посвященной метаматериалам и их уникальным свойствам. В этом разделе будут рассмотрены и описаны основные научные источники, в которых данная проблема поднимается как в теоретической, так и в экспериментальной сферах.

Упоминая предмет научного обсуждения, нельзя обойти стороной обзор И.Б. Вендик и О.Г. Вендик «Метаматериалы и их применение в микроволновой технике». В статье описываются наиболее значимые исследования по разработке метаматериалов в сантиметровом диапазоне, опубликованные за последние 8-10 лет. Авторы смогли собрать обширные данные по физике метаматериалов и их использованию в микроволновой технике, обобщив основные свойства искусственных сред и приведя примеры разработанных резонаторов и фильтров на их основе. Однако данная статья дает лишь общее представление о степени изученности рассматриваемой области, а предмет исследования требует более тщательного исследования, поэтому для полноты анализа и глубины понимания необходимы фундаментальные работы.

Общая теоретическая база была получена из нескольких ресурсов. Авторами наиболее полного объяснения концепции метаматериалов «Электромагнитные метаматериалы - от фундаментальной физики до современных инженерных приложений» Кристофом Калозом, Тацуо Ито совершено глубокое погружение в фундаментальную физику и экзотические свойства, так называемых, леворуких метаматериалов. В данной книге также предложен оригинальный обобщенный подход к метаматериалам как к линии передачи, связанный с периодическими структурами, которые позволяют получить большую пропускную способность, меньшие потери и лучшую гибкость проектирования. В дополнение ко всему, разработчики предоставляют множество новаторских инженерных приложений, которые ведут к созданию новых устройств и систем с волноводными, излучаемыми и преломленными волнами.

Еще одним полезным материалом, подготавливающим почву для моего исследования, стала книга «Частотно-селективные поверхности: теория и дизайн» Б.А. Мунка. В этой работе детально разбираются основные начала физики поверхностей с частотной избирательностью. Автор приводит различные типы структур и представляет их подробный анализ. Кроме того, он обращается к вопросу использования периодических структур для полосовых и режекторных фильтров и сообщает о том, каких результатов можно ожидать. По этой причине проработанный материал из данной книги чрезвычайно полезен для моей исследовательской работы, но для подтверждения теоретических выкладок необходимо проведение экспериментальных исследований.

Одним из основных источников практических знаний стал научный труд Дэниэла Сивенпайпера, в котором он разработал новый тип металлической электромагнитной структуры с высоким поверхностным импедансом. В данной работе впервые предлагается двумерная решетка из периодических включений, геометрия которых напоминает форму гриба. Рассматриваемый массив резонансных элементов действует как фильтр, предотвращая распространение электрического тока на определенных частотах, и может быть описан с помощью модельной схемы с сосредоточенными параметрами, которая достаточно точно предсказывает поведение системы в целом. В отличие от обычных проводников эта новая поверхность не поддерживает распространение поверхностных волн и отражает электромагнитные волны без сдвига фаз.

Изучению свойств метаматериала на практике уделили свое внимание авторы следующей публикации С. Авасти, А. Бисвас и М.Х. Ахтар, которые продвигают идею использования треугольной структуры грибов в полосовых фильтрах с широкой полосой заграждения. Перед непосредственной разработкой прямого сдвоенного заграждающего фильтра с центром диапазона на 7,4 ГГц было проведено моделирование в программном продукте Ansoft HFSS. Исследование существенно отличается от предыдущих тем, что этот пример подтверждает предложенные раннее идеи путем реально изготовленного фильтра. Привлекательной особенностью этой экспериментальной модели является ее компактный размер, который может использоваться в миниатюризации электронных устройств.

Стоит отметить статью «Исследование прямоугольного волновода с магнитной стенкой из грибовидного метаматериала», написанную профессорами Высшей школы экономики А.А. Елизаровым и И.В. Назаровым совместно с А.С. Кухаренко из сборника. Авторы, исходя из выдвинутых гипотез, решили рассмотреть приведенную в работах Сивенпайпера грибовидную структуру метаматериала для выявления перспектив её использования в СВЧ-технике. В статье представлены результаты компьютерного моделирования распространения электромагнитных волн в волноводе с магнитной стенкой из грибовидного метаматериала и показана возможность создания на метаматериалах волноводных фильтров с улучшенными параметрами и характеристиками.

В статье «Анализ физических особенностей метаматериалов и частотно-селективных СВЧ устройств на их основе» уже упоминавшимися российскими исследователями А.А. Елизаровым и А.С. Кухаренко была продолжена научная работа над теоретическим и экспериментальным изучением методов расширения полосы запирания полосно-заграждающих фильтров. Авторами были предложены два метода увеличения ширины полосы, которые были подтверждены результатами компьютерного моделирования и экспериментальными исследованиями СВЧ-устройств на основе структуры из грибовидных метаматериалов. Это исследование имеет далеко идущие последствия для будущих исследований возможностей расширения полосы фильтрования на основе грибовидных метаматериалов и, в частности, для моего собственного исследования.

Как можно заметить, современное состояние академических работ, касающихся метаматериалов, подтверждает преимущества их использования в создании частотно-избирательных поверхностей и СВЧ-фильтров с улучшенными характеристиками. Эти условия являются предпосылкой для дальнейшего создания и изучения эффективных конструкций метаматериалов, в частности, микроволнового заграждающего фильтра, рассматриваемого в данной дипломной работе.

1.3     Теория метаматериалов


Метаматериал - искусственно созданная структура, образованная периодическими включениями (обычно в виде полосок, спиралей, крестов, разорванных колец) из материалов с высокой проводимостью. Для того чтобы электромагнитная волна воспринимала данный массив из множества разрозненных объектов как сплошную электромагнитную среду, как это происходит в отношении молекул и атомов в обычных материалах, необходимо, чтобы размеры этих составляющих элементов и расстояния между ними были много меньше длины волны излучения. Соответственно, исходя из особенностей строения метамериалов, удобнее всего изучать физические явления, происходящие в них, в области сверхвысоких частот, поскольку в таком случае при длине волны равной нескольким сантиметрам размеры объектов в составе метаматериала должны составлять порядка миллиметра.

Степень взаимодействия электромагнитного поля волны с материалом определяется диэлектрической и магнитной проницаемостями, характеризующими степень реакции электронов на электрическую и магнитную составляющие поля, соответственно. У классических материалов данные показатели имеют значения больше нуля. Отрицательные или близкие к нулю значения этих параметров могут возникнуть в том случае, если электроны движутся в материале в противоположном направлении к силам, создаваемым магнитным и электрическим полями. Подобный эффект достигается в условиях резонанса, когда наблюдается отклик вещества на магнитное или электрическое поле. В метаматериале резонанс вводится искусственно с помощью миниатюрных электромагнитных резонаторов, их которых формируется вся структура с определенными величинами эффективной диэлектрической и магнитной проницаемостей. Меняя размер, форму периодических включений и их расположение относительно друг друга, можно целенаправленно формировать метаматериал с определенными свойствами.

В зависимости от значений диэлектрической и магнитной проницаемостей различают DPS (double positive), DNG (double negative), ENG (ε-negative), MNG (μ-negative) среды. Соответственно, для DPS-сред обе характеристики положительны (I четверть на графике рис.1) и электромагнитные волны в них распространяются свободно. В средах, у которых отрицателен только один из показателей проницаемости (либо ε, либо μ), электромагнитное изучение экспоненциально затухает. Среды с отрицательной диэлектрической, но положительной магнитной проницаемостью называются ε-negative (ENG) и представлены на II четверти рис. 1. При отрицательном показателе магнитной, но одновременно положительной диэлектрической проницаемости имеет место MNG (μ-negative) среда (IV четверть на рис.1). Наибольший интерес представляют бинегативные среды (DNG), которым свойственны отрицательные значения диэлектрической и магнитной проницаемостей. Это обуславливает отрицательность коэффициента преломления электромагнитных волн, а значит, и возможность распространения в таких средах обратной волны, где источник колебаний порождает волну, групповая и фазовая скорость которой направлены в противоположные друг другу стороны (III-четверть на рис. 1).

Рисунок 1. Классификация сред в зависимости от значений диэлектрической и магнитной проницаемостей

Чтобы понять электродинамические закономерности, присущие материалам в зависимости от знака ε и μ, следует обратиться к уравнениям Максвелла и материальным уравнениям, поскольку в них ε и μ выступают раздельно, а не в качестве произведения:


Для плоской монохроматической волны приведенные законы сводятся к выражениям:

 

из которых видно, что если ε>0 и μ>0, то вектора E, H и k образуют правую тройку и такая среда является обычной и называется «праворукой», а если ε<0 и μ<0, то тройка векторов E, H и k становится левой и такие среды «леворукие».

Поток энергии, которую переносит электромагнитная волна, характеризуется вектором Пойнтинга S, который всегда образует с векторами E и H правую тройку:


Соответственно, для правых веществ направления вектора Пойнтинга S и волнового вектора k совпадают, а для левых противоположны. Этот факт как раз и определяет параллельны или антипараллельны фазовая и групповая скорости, что влияет на распространение электромагнитной волны.

1.4     Фильтры СВЧ


В высокочастотной технике избирательные устройства, как правило, имеют в своей основе разнообразные отрезки линий передачи (коаксиальных кабелей, полосковых линий, металлических волноводов), являющихся по существу распределёнными колебательными системами. Исходя из этого, СВЧ фильтры могут быть разными по конструкции в зависимости от исполнения на микрополосковых, полосковых и волноводных линиях. В сантиметровом диапазоне частот обычно используют фильтры на металлических волноводах. Коаксиальные фильтры чаще всего применяются в дециметровом и метровом диапазонах. Полосковые фильтры применяются в сантиметровом и дециметровом диапазонах.

Волноводные фильтры широко применяются в системах передачи информации, средствах радиоэлектронной борьбы, радарах и измерительном оборудовании. Основным преимуществом фильтров волноводного исполнения является минимальный уровень потерь и, следовательно, наивысшая собственная добротность особенно в сантиметровом и миллиметровом диапазоне длин волн.

В физике СВЧ принято под фильтрами понимать пассивные четырехполюсники, которые действуют как избирательные устройства и при передаче электромагнитных волн в согласованную нагрузку пропускают волны с определенной частотой колебаний, а все остальные сильно подавляют. В зависимости от пропускаемой части частотного спектра фильтры делятся на фильтры низких частот (рис. 2а), верхних частот (рис. 2б), полосовые фильтры (рис. 2в) и режекторные (полосно-запирающие - рис. 2г).

Рисунок 2. Классификация СВЧ-фильтров: а) - фильтр нижних частот (ФНЧ), б) - фильтр верхних частот (ФВЧ), в) - полосовой фильтр (ППФ), г) - полосно-запирающий фильтр (ПЗФ)

Поскольку СВЧ фильтры рассматриваются как пассивные четырехполюсники, то при описании и анализе их работы удобнее всего пользоваться матричным аппаратом, в котором имеется три вида матриц: матрица проводимостей, матрица сопротивлений и матрица рассеяния. Каждая из этих матриц может быть получена из другой при помощи ряда простых преобразований.

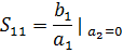
Наиболее полную картину процесса прохождения электромагнитной волны через СВЧ-устройство можно получить из матрицы рассеяния S, которая связывает линейной зависимостью комплексные амплитуды падающей и отражённой волн на входах (портах) эквивалентного многополюсника. Колебательный процесс представляется в виде суммы падающей и отражённой волн с нормированными амплитудами ai и bi соответственно для каждого входа.

В многополюснике с N портами они связаны следующими линейными зависимостями:


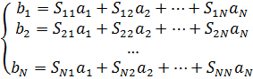
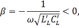
В частном случае для системы с двумя портами параметры рассеяния S определяются как:


Записав данные выражения в матричном виде, получим:


где матрица, содержащая S-параметры, называется матрицей рассеяния или S-матрицей. Эти параметры могут быть напрямую измерены на микроволновых частотах.

В работе для исследуемого волноводного режекторного фильтра рассматриваются количественные значения параметров матрицы рассеяния  и , характеризующих комплексный коэффициент отражения и передачи. Данных параметров достаточно для получения представления о частотной избирательности устройства.

1.5     Цели и задачи исследования


Современные приемо-передающие системы требуют оптимальной мощности, низкой стоимости, высокой избирательной способности и производительности. При этом не стоит забывать об одной из важнейших задач - миниатюризации, занимающей центральное место в производстве средств радиосвязи. Важность создания качественных и малогабаритных фильтров и антенн тесно связана с проблемой увеличения пропускной способности канала, повышения качества приема сигналов и снижения шума в системах связи. В этом отношении изучение частотно-селективных поверхностей на метаматериалах и проектирование на их основе фильтров становится определяющим фактором для реализации новых решений в данной области. В свете вышесказанного основная цель выпускной квалификационной работы заключается в исследовании волноводного режекторного фильтра со стенкой из грибовидного метаматериала и выявления перспектив для дальнейшего применения данных устройств в микроволновой технике. Для достижения поставленной цели в ходе предлагаемого исследования решены следующие задачи:

·        анализ современного состояния научных работ о свойствах метаматериалов и их практическом применении в устройствах СВЧ-диапазона;

·        изучение принципов построения искусственных композитных структур с частотной селективностью;

·        разработка конструкции прямоугольного волновода со стенкой из метаматериала;

·        создание компьютерной модели объекта;

·        получение количественных характеристик влияния метаматериала на распространение электромагнитных волн в волноводе;

·        анализ и сравнение полученных результатов.

2. Разработка модели волноводного режекторного фильтра с магнитной стенкой на метаматериале

.1 Методика расчетов в HFSS

волноводный фильтр диэлектрический магнитный

При решении задачи компьютерного моделирования волноводного режекторного фильтра со стенкой из метаматериала использовалось программное обеспечение High Frequency System Simulator (HFSS) компании AnSoft. Данная программа предназначена для моделирования всевозможных антенн, делителей мощности, схем коммутации, волноводных элементов, фильтров СВЧ и различных неоднородностей и расчета этих сложных трехмерных СВЧ структур. HFSS позволяет решать граничные задачи в частотной области, с высокой точностью вычисляя электрические и магнитные поля внутри и вне рассматриваемой конструкции, матрицы рассеяния и импедансы.

Процесс проектирования в программе HFSS можно разбить на несколько операций:

)        создание модели исследуемого устройства, включая ее трехмерный чертеж и задание материалов, из которых оно выполнено;

)        установка электродинамических параметров структуры:

определение и калибровка портов;

введение параметров решения;

)        параметрический анализ рассматриваемого объекта и анализ в полосе частот, параметрическая оптимизация;

)        визуализация результатов расчета с помощью:

графиков;

3D-диаграмм;

анимаций.

В основе электродинамического моделирования в HFSS лежит метод конечных элементов (Finite Element Method, FEM), что гарантирует универсальность численных алгоритмов, применяющихся при анализе самых разнообразных устройств. Метод основывается на разбиении пространства на множество простейших элементов, форма которых представляет собой тетраэдр (рис. 3). Размеры тетраэдра малы настолько, что в его пределах электромагнитное поле можно описать с помощью простой функции или системы из нескольких функций с неизвестными коэффициентами. Нахождение неизвестных коэффициентов осуществляется из уравнений Максвелла с учетом граничных условий. В конечном итоге исходная задача электродинамики сводится к решению обычной системы линейных алгебраических уравнений (СЛАУ), с которой ЭВМ достаточно легко справляется.

Рисунок 3. Дискретизация пространства внутри прямоугольного волновода на систему тетраэдров в программе HFSS

Поскольку рассматриваемые модели могут иметь искривленную поверхность, то при разбиении на тэтраэдры необходима высокая точность аппроксимации, чтобы исходная структура и ее свойства существенно не искажались. Для получения оптимальной ячейки для дискретизации пространства в HFSS применяется итерационный процесс, каждый шаг которого нацелен на уменьшение размеров ячеек и увеличение их количества в критических областях. На первом этапе программа получает приближенное решение для грубого начального разбиения и на его основе выделяет те области, в которых электромагнитное поле претерпевает значительные и резкие изменения, после чего в выделенных местах происходит дальнейшее уплотнение сетки. Шаг между простейшими элементами учащается до тех пор, пока не будут выполнены заданные критерии погрешности, то есть сходимость данного итерационного процесса определяется разницей между значениями параметров поля, вычисленными на данном и предыдущем циклах расчета. Очевидно, что чем меньше размеры элементарных тетраэдров, составляющих исследуемую конструкцию, и выше их число, тем в большей степени поле, рассчитанное с помощью МКЭ, соответствует истинному полю в структуре.

В общем случае решение всех задач электродинамики методом конечных элементов базируется на единым образом установленных свойствах и состоит из следующих этапов:

)        Формулируется основное уравнение, решение которого будет находится методом конечных элементов, и устанавливаются необходимые граничные условия.

)        Производится деление расчетной области на непересекающиеся подобласти - конечные элементы (КЭ), вершины которых являются узлами тетраэдральной сетки и предназначены для задания неизвестных компонент решения.

)        Выбирается набор базисных функций для описания неизвестной функции в каждом КЭ. Как правило, в качестве базисных функций выступают полиномы различного порядка. Например, линейные, квадратичные, кубические и т.д.

)        Осуществляется переход от функциональных уравнений с бесконечно большим числом неизвестных к СЛАУ конечной размерности с помощью метода Ритца или метода Галеркина.

)        Полученная система уравнений решается одним из методов численного расчета относительно параметров аппроксимации, что в конечном итоге дает приближенное решение задачи.

)        Используя решение СЛАУ, получаем интересующие параметры рассматриваемой структуры.

.2 Выбор типа элементов частотно-селективной поверхности

При проектировании полосно-пропускающих или полосно-заграждающих фильтров важную роль играет правильный выбор макроэлементов, составляющих конструкцию метаматериала. Некоторые из типов элементарных включений по своей природе широкополосные, другие, наоборот, обеспечивают более узкую полосу пропускания частот, в то время как параметры остальных могут значительно варьироваться в зависимости от структуры. Также существенное влияние на полосу пропускания или заграждения оказывает пространство между отдельными ячейками метаматериала, наличие диэлектрика, размеры элементов и другие конструктивные особенности.

В основном все типы элементов частотно-избирательных поверхностей делятся на 4 больших группы (рис. 4):

)        Центрально-связанные элементы или N-полюсники. К таким конструкциям относятся, например, элементы якорного типа, простой прямой диполь, а также треногий элемент, квадратная спираль или иерусалимский крест.

)        «Петли» (замкнутые элементы) такие, как: типичные круглые, квадратные, гексагональные петли или нагруженные элементы с тремя или четырьмя ножками.

)        Сплошные и планарные элементы различных форм.

)        Комбинированные, сочетающие в себе формы элементов разных групп.

Рисунок 4. Группы частотно-селективных элементов

В результате анализа различного типа макроэлементов для поверхностей с частотной селекцией в качестве метаматериала была выбрана искусственная периодическая структура, составные элементы которой имеют форму иерусалимского креста, центр которого опирается на цилиндрическую ножку. Такая структура называется грибовидным метаматериалом и представлена условно на ниже (рис. 5). Геометрические размеры элементов выражены в миллиметрах.

Рисунок 5. Конструкция «гриба» в основе метаматериала

Выбор формы периодических включений мотивирован тем, что описание объекта легко свести к простой физической модели в виде обычного LC-контура. Индуктивность заключена в «ножке» гриба, а емкость появляется за счет расстояния между «шляпками» (рис. 6).

Рисунок 6. Эквивалентная модель грибовидного метаматериала в виде линии передачи

Такая линия передачи обладает отрицательной фазовой скоростью и положительной групповой скоростью и характерной для этого случая отрицательной дисперсией. Постоянная распространения электромагнитной волны γ, постоянная распространения , характеристический импеданс , фазовая скорость  и групповая скорость  в данном случае определяются по формулам:

Последние два уравнения сразу и однозначно показывают, что фазовая и групповая скорости в такой линии передачи антипараллельны. Величина фазовой скорости , связанная с направлением распространения фазы , отрицательна, тогда как групповая скорость , описывающая направление распространения энергии или вектора Пойнтинга S, положительна. Таким образом, структура грибовидного метаматериала, представленного в виде простейшей модели (рис. 6), при условии, что средний размер элементарной ячейки будет намного меньше, чем длина волны, является «леворукой» средой в соответствии с определением, данным В.Г. Веселаго.

.3 Описание конструкции волноводного режекторного фильтра с широкой стенкой из метаматериала

Для проведения исследования взят стандартный волновод прямоугольного сечения R32, геометрические размеры которого составляют 72,14х34,04 мм, критическая частота передачи электромагнитных колебаний составляет 2,079 ГГц. В данном прямоугольном волноводе распространяется поперечно-электрическая электромагнитная волна основного типа Н10.

Для изучения влияния грибовидного метаматериала на распространение электромагнитной волны было проведено моделирование при помощи программного обеспечения Ansoft HFSS Ver.14. Узкие стенки волновода выступают в роли входа и выхода фильтра: одна из них задана в качестве порта, другая как радиационная стенка, а одна из широких стенок была заменена на массив «грибов» (рис. 7), на поверхности которого выполняются граничные условия, соответствующие идеальной магнитной стенке. Это означает, что нормальные составляющие электрического поля и тангенциальные составляющие магнитного поля равны нулю на ней. Наличие такой стенки в прямоугольном волноводе, в котором могут распространяться волны электрического и магнитного типа с характерной дисперсией фазовой скорости, указывает на то, что касательное электрическое поле на поверхности данной структуры претерпевает скачок.

Рисунок 7. Компьютерная модель волновода с широкой стенкой из метаматериала без диэлектрической прослойки

Разбиение конструкции на тетраэдры осуществлялось на частоте 5 ГГц. Для получения характеристик был задан дискретный расчет электромагнитного поля в частотном диапазоне от 2 до 8 ГГц с шагом 0,1 ГГц.

Также для определения изменений параметров волноводного режекторного фильтра, вносимых диэлектриком, была составлена модель аналогичного волновода с диэлектрическим заполнением в основании метаматериала толщиной 1 мм (рис. 8). Надо отметить, что обеспечение связанности макроэлементов между собой является необходимым условием при формировании структуры метаматериала, поэтому диэлектрическая подложка располагается в основании «ножек» грибов, не нарушая их контакта со стенкой волновода.

Рисунок 8. Компьютерная модель волновода с широкой стенкой из метаматериала без с диэлектриком в основании ножек «грибов» толщиной 1 мм

Еще одной рассматриваемой моделью полосно-зараждающего фильтра стал прямоугольный волновод с широкой стенкой из грибовидного метаматериала, ножки «грибов» которого были полностью погружены в диэлектрик, то есть толщина диэлектрической прослойки в основании частотно-селективной поверхности составляет 6 мм (рис. 9). Контакт элементарных включений метаматериала между собой также не нарушен.

Рисунок 9. Компьютерная модель волновода с широкой стенкой из метаматериала с диэлектриком толщиной 6 мм в основании «грибов» (вид спереди)

Для получения более полного представления о влиянии диэлектрической прослойки на распространение электромагнитной волны в прямоугольном волноводе, выполненного на метаматериале, было решено также исследовать конструкцию волновода, в котором «шляпки» грибовидного метаматериала, расположенного вместо широкой стенки, покрыты сверху тонким слоем диэлектрика толщиною 1 мм (рис. 10).

Рисунок 10. Компьютерная модель волновода с широкой стенкой из метаматериала с нанесенным поверх метаматериала слоем диэлектрика толщиной 1 мм (вид сбоку)

Для всех прямоугольных волноводов с широкой стенкой на метаматериале, имеющих диэлектрическую прослойку, расчет был произведен для нескольких типов диэлектрика (табл. 1).

Таблица 1. Список исследуемых в работе диэлектриков

Название материала

Обозначение

Диэлектрическая проницаемость (ε)

Оксид кремния

SiO2

4

Стеклотекстолит

FR-4

4.4

Корунд

Al2O3

9.8


.1 Результаты расчета волноводного режекторного фильтра без диэлектрической прослойки и с диэлектрической прослойкой в основании грибов толщиной 1 мм

После проведения компьютерных расчетов построенных моделей были получены зависимости комплексных коэффициентов передачи S21 (рис. 11), отражения S11 (рис. 12) и коэффициента стоячей волны по напряжению КСВН (рис. 13) от частоты. Для удобства представления и сравнения характеристик между собой графики показателей для волновода с диэлектриком и без сведены вместе.

Рисунок 11. Расчетные зависимости комплексного коэффициента передачи S21 для волновода без диэлектрического заполнения и с диэлектрическим заполнением в основании метаматериала толщиной 1 мм

Рисунок 12. Расчетные зависимости комплексного коэффициента отражения S11 для волновода без диэлектрического заполнения и с диэлектрическим заполнением в основании метаматериала толщиной 1 мм

Рисунок 13. Расчетные зависимости КСВН для волновода без диэлектрического заполнения и с диэлектрическим заполнением в основании метаматериала толщиной 1 мм

Из графиков можно определить, что влияние метаматериала в волноводе без диэлектрической прослойки наблюдается в районе 4,5 - 5,5 ГГц. В этом частотном диапазоне волновод проявляет свойства режекторного фильтра с полосой заграждения не менее 300 МГц. Надо отметить, что полученная частота среза выше предыдущего значения 4 ГГц, рассчитанного для грибовидной структуры с 7 «грибами» в ряду в работе. Это объясняется изменением эквивалентных погонных параметров индуктивности и емкости фильтра за счет уменьшения количества элементов и увеличения расстояния между ними.

Сравнение полосы заграждения волноводного фильтра с грибовидным метаматериалом и фильтра, дополненного диэлектрической прослойкой, позволяет сделать вывод, что применение диэлектрика в волноводе с широкой стенкой из метаматериала сдвигает резонансную частоту в сторону меньших значений. Наблюдается расширение полосы режекции примерно на 100 МГц в случае волновода с диэлектриком. Это объясняется тем, что добротность каждого LC-контура, представленного в метаматериале ножкой и шляпкой отдельно взятого гриба, при внесении диэлектрика ухудшается.

Также введение слоя диэлектрика в основании метаматериала позволяет обеспечить лучшее затухание. Так для структуры без диэлектрика затухание находится на уровне 17 дБ, а с диэлектриком оно достигает 20 дБ (для Al2O3). Это говорит о возможности варьирования параметров фильтра путем применения диэлектрических материалов в основании грибовидных конструкций, то есть осуществлять подстройку режекторного фильтра.

.2 Результаты расчета волноводного режекторного фильтра с диэлектрической прослойкой толщиной 6 мм в основании селективной поверхности

Ниже представлены зависимости комплексных коэффициентов передачи S21 (рис. 14), отражения S11 (рис. 15) и коэффициента стоячей волны по напряжению КСВН (рис. 16) от частоты, рассчитанные в результате компьютерного моделирования для волноводного режекторного фильтра с магнитной стенкой на метаматериале для случая с увеличенной толщиной диэлектрика в основании «грибов» до 6 мм.

Рисунок 14. Расчетные зависимости комплексного коэффициента передачи S21 для волновода без диэлектрика и с диэлектрическим заполнением в основании метаматериала толщиной 6 мм

Рисунок 15. Расчетные зависимости комплексного коэффициента отражения S11 для волновода без диэлектрического заполнения и с диэлектрическим заполнением в основании метаматериала толщиной 6 мм

Рисунок 16. Расчетные зависимости КСВН для волновода без диэлектрика и с диэлектрическим заполнением в основании метаматериала толщиной 6 мм

Из полученных результатов видно, что увеличение толщины диэлектрической прослойки в основании грибовидного метаматериала дает более изрезанную характеристику. Резонансная частота сместилась в область более низких частот. В частности, для FR-4 и SiO2 она располагается в области частот 3,5-4 ГГц, а для случая с заполнением Al2O3 резонансная частота уменьшилась почти вдвое и составляет около 2,7 ГГц.

Стоит отметить, что для исследуемого устройства с диэлектриком, в частности, со стеклотекстолитом или кремнием подавление распространения волны происходит на частотах от 3,2 до 6,4 ГГц с затуханием более 20 дБ, то есть полоса режекции существенно расширяется по сравнению с волноводом, частично заполненным только метаматериалом. При внесении в волноводный режекторный фильтр диэлектрической прослойки из корунда частотная зависимость коэффициента передачи сильно отличается от показателей других исследуемых конструкций. Отсутствие ярко выраженных полос пропускания и запирания у данного волноводного фильтра предположительно связано с тем, что из-за сильного влияния диэлектрика метаматериал не оттягивает на себя электромагнитное поле, а начинает его отражать.

Сопоставление графиков частотных зависимостей коэффициента передачи, построенных для прямоугольного волновода, в котором ножки грибовидного метаматериала погружены в диэлектрик на 1 мм, и для волновода с диэлектрическим заполнением в основании метаматериала толщиной 6 мм, позволяет сделать выводы о том, что толщина прослойки влияет на ширину полосы заграждения. Заметим, что при увеличении толщины диэлектрика в основании «грибов» в 6 раз полоса режекции стала шире почти в 10 раз. Также в случае толстой прослойки диэлектрика затухание возросло, а значит, волна стала сильнее прижиматься к диэлектрику.

.3 Результаты расчета волноводного режекторного фильтра с нанесенным на «шляпки» грибов диэлектриком толщиной 1 мм

На представленных графиках отражены зависимости комплексных коэффициентов передачи S21 (рис. 17), отражения S11 (рис. 18) и коэффициента стоячей волны по напряжению КСВН (рис. 19) от частоты, рассчитанные для волноводного режекторного фильтра с магнитной стенкой на метаматериале, который сверху покрыт тонким слоем диэлектрика толщиной 1 мм.

Рисунок 17. Расчетные зависимости комплексного коэффициента передачи S21 для волновода без диэлектрического заполнения и с диэлектрическим покрытием поверх метаматериала толщиной 1 мм

Рисунок 18. Расчетные зависимости комплексного коэффициента отражения S11 для волновода без диэлектрика и с диэлектрическим покрытием поверх метаматериала толщиной 1 мм

Рисунок 19. Расчетные зависимости КСВН для волновода без диэлектрика и с диэлектрическим покрытием поверх метаматериала толщиной 1 мм

Полученные в результате компьютерного моделирования характеристики показывают, что диэлектрическое покрытие на метаматериале незначительно влияет на ширину полосы режекции, расширяя ее примерно на 200 МГц, по сравнению с рассмотренной ситуации без наличия диэлектрика в конструкции фильтра. Также отмечается небольшой сдвиг резонансной частоты в сторону низких частот. Если в волноводе, заполненного только метаматериалом, резонанс наблюдается в области 4,5 ГГц, то для волновода, в котором на поверхность «шляпок» грибов нанесен диэлектрик, резонанс наступает на частоте приблизительно 4,3 ГГц.

Результаты похожи на характеристики, рассмотренные для случая с диэлектриком толщиной 1 мм в основании ножек грибовидной структуры, однако можно предположить, что существенное влияние будет оказывать нанесенный подобным образом на шляпки «грибов» магнетик при аналогичной конструкции волновода, что планируется исследовать в дальнейших работах.

Таким образом, полученные результаты программного моделирования подтверждают теоретически выведенные свойства искусственных периодических структур и свидетельствуют о потенциальном использовании метаматериалов в волноводной технике для создания различного типа фильтров, в частности, режекторных. Помимо прочего, открываются перспективы совершенствования сверхвысокочастотной техники в направлении уменьшения массы и геометрических размеров устройств, улучшения их характеристик.

Также полученные в ходе исследования результаты говорят о возможности регулирования полосы режекции волноводного фильтра с магнитной стенкой на метаматериале путем применения диэлектрических материалов в сочетании с грибовидными конструкциями. Все это открывает перспективы для дальнейших исследований в данном направлении.

Однако надо учитывать, что данные фильтры в полосе пропускания имеют осциллирующую частотную характеристику с вносимым затуханием, достигающим 7...10 дБ. Такой эффект нежелателен при экономном использовании радиочастотного ресурса в приемопередающих устройствах систем связи и телекоммуникаций и оправдан лишь в радиоизмерительной аппаратуре, где эти пульсации можно не принимать во внимание после качественной калибровки нулевого уровня измеряемого параметра устройства.

Заключение

В ходе работы были решены следующие задачи:

изучены свойства метаматериалов и принципы построения частотно-селективных поверхностей на их основе;

была разработана конструкция режекторного фильтра на базе прямоугольного волновода с широкой стенкой из метаматериала;

создана компьютерная модель фильтра и произведены количественные расчеты электромагнитного поля в программе Ansoft HFSS.

было проведено исследование волноводного режекторного фильтра со стенкой из грибовидного метаматериала на основе компьютерной модели:

получены основные параметры распространения электромагнитных волн в волноводе.

В результате осуществленной работы и анализа количественных характеристик частотных зависимостей коэффициентов передачи и отражения, а также КСВН были сделаны выводы о влиянии метаматериала на распространение электромагнитных волн в прямоугольном волноводе, выявлены возможности практического применения устройств, выполненных с использованием метаматериалов, в устройствах СВЧ-диапазона и определены перспективы для проведения дальнейших исследований в этой области. Отдельно стоит отметить возможность создания на базе рассмотренной конструкции Т-волновода, в котором будет распространяться поперечная волна.

Литература

1.       Веселаго В.Г. Электродинамика веществ с одновременно отрицательными значениями ε и μ / В.Г. Веселаго // Успехи физических наук, 1967. № 9. С. 517-526.

.        Слюсар В. Метаматериалы в антенной технике: история и основные принципы / В. Слюсар // Электроника: НТБ, 2009. № 7. С. 70-79.

.        Кухаренко А. Практическое использование метаматериалов в конструкциях устройств СВЧ / Кухаренко А., Елизаров А. Германия: LAP LAMBERT Academic Publishing, 2016.

4.       Bose J.C. On the rotation of plane of polarization of electric waves by a twisted structure / J.C. Bose // Proc. Roy. Soc., 1898. №. 63. P. 146-152.

.        Kock W.E. Metal-lens antennas / W.E. Kock // Proc. Inst. Radio. Engrs. and Waves and Electrons, 1946. № 34. Р. 828-836.

.        Kock W.E. Metallic delay lenses / W.E. Kock // Bell Sys. Tech. J., 1948. № 27. Р. 58-82.

.        Pocklington H.C. Growth of a wave-group when the group velocity is negative / H.C. Pocklington // Nature, 1905. № 71. Р. 607-608.

.        Pendry J.B. Magnetism from conductors and enhanced nonlinear phenomena / J.B. Pendry, A.J. Holden, D.J. Robbins, W.J. Stewart // IEEE Trans. Microw. Theory. Tech, 1999. V 47. № 11. P. 2075-2084.

.        Smith D.R. Composite Medium with Simultaneously Negative Permeability and Permittivity / D.R. Smith // Physical Review Letters, 2000. V. 84. №. 18 P. 4184-4187.

10.     Вендик И.Б. Метаматериалы и их применение в технике сверхвысоких частот / И.Б. Вендик, О.Г. Вендик // Журнал технической физики, 2013. Т. 83. Вып. 1. С. 3-28.

11.     Caloz Ch. Electromagnetic metamaterials: transmission line theory and microwave applications: the engineering approach / Ch. Caloz, T. Itoh // Wiley and IEEE Press, 2006. - Р. 376.

.        Munk B.A. Frequency Selective Surfaces: Theory and Design / B.A. Munk // New York: John Wiley & Sons, 2000. - Р. 440.

.        Sievenpiper D.F. High-impedance electromagnetic surfaces / D.F. Sievenpiper // Los Angeles, University of California, 1999. - P. 162.

.        Awasthi S. Compact bandstop filter using triangular metamaterial mushroom resonators / S. Awasthi, A. Biswas, M.J. Akhtar // Microwave Conference Proceedings (APMC), 2012. - Р. 217-219.

15.     Лебедев И.В. Техника и приборы СВЧ / Лебедев И.В. - Т. 1. - М. : Высшая школа, 1970. - 440с.

.        Фуско В. СВЧ цепи. Анализ и автоматизированное проектирование / В. Фуско : пер. с англ. - М. : Радио и связь, 1990. - 288с.

.        Курушин А.А. Проектирование СВЧ структур с помощью HFSS. Учебное пособие / Курушин А.А., Титов А.П. - М., МГИЭМ, 2003. - 176с.

.        Банков С.Е. Электродинамика и техника СВЧ для пользователей САПР / Банков С.Е., Курушин А.А. - М., 2008. - 276с.

Похожие работы на - Расчет и моделирование работы волнового режекторного фильтра

 

Не нашли материал для своей работы?
Поможем написать уникальную работу
Без плагиата!
Без нейросетей!