Проектирование и расчет эксплуатационных свойств автомобиля
ФЕДЕРАЛЬНОЕ ГОСУДАРСТВЕННОЕ БЮДЖЕТНОЕ
ОБРАЗОВАТЕЛЬНОЕ УЧРЕЖДЕНИЕ
ВЫСШЕГО ОБРАЗОВАНИЯ
«НАЦИОНАЛЬНЫЙ
ИССЛЕДОВАТЕЛЬСКИЙМОРДОВСКИЙ ГОСУДАРСТВЕННЫЙ УНИВЕРСИТЕТ ИМ. Н. П. ОГАРЁВА»
ИНСТИТУТ МЕХАНИКИ И ЭНЕРГЕТИКИ
КАФЕДРА МОБИЛЬНЫХ ЭНЕРГЕТИЧЕСКИХ
СРЕДСТВ И СЕЛЬСКОХОЗЯЙСТВЕННЫХ МАШИН ИМ. ПРОФЕССОРА
А.И. ЛЕЩАНКИНА
КУРСОВОЙ ПРОЕКТ
на тему: «Проектирование и расчет
эксплуатационных свойств автомобиля»
Реферат
Цель курсового проекта: систематизация, закрепление и расширение знаний
теоретических методов расчета оценочных показателей и анализ влияния
конструктивных и эксплуатационных факторов на эксплуатационные свойства
автомобиля
Автомобиль, двигатель, шины, расход топлива, ускорение, тормозной путь.
Полученные результаты: подобран двигатель, построена внешняя скоростная
характеристика, определены передаточные числа главной передачи и ступеней
трансмиссии, построена динамическая характеристика, построен график ускорении
автомобиля по передачам, построен график времени и пути разгона, построен
график тормозного пути, построена топливно-экономическая характеристика.
Введение
двигатель
тормозной автомобиль скоростной
МАЗ-5432
- семейство советских
<https://ru.wikipedia.org/wiki/%D0%A1%D0%A1%D0%A1%D0%A0> и белорусских
<https://ru.wikipedia.org/wiki/%D0%91%D0%B5%D0%BB%D0%BE%D1%80%D1%83%D1%81%D1%81%D0%B8%D1%8F>
седельных тягачей
<https://ru.wikipedia.org/wiki/%D0%A1%D0%B5%D0%B4%D0%B5%D0%BB%D1%8C%D0%BD%D1%8B%D0%B9_%D1%82%D1%8F%D0%B3%D0%B0%D1%87>
с колёсной формулой 4×2, выпускающееся на Минском автомобильном заводе
<https://ru.wikipedia.org/wiki/%D0%9C%D0%B8%D0%BD%D1%81%D0%BA%D0%B8%D0%B9_%D0%B0%D0%B2%D1%82%D0%BE%D0%BC%D0%BE%D0%B1%D0%B8%D0%BB%D1%8C%D0%BD%D1%8B%D0%B9_%D0%B7%D0%B0%D0%B2%D0%BE%D0%B4>
с 1981 года <https://ru.wikipedia.org/wiki/1981_%D0%B3%D0%BE%D0%B4>.
МАЗ-543202- модификация с двигателем ЯМЗ-236НЕ2 мощностью 230 л.с. МАЗ-543202 -
седельный тягач двухосного типа. Прочный, мощный и неприхотливый. Предназначен
для перевозки различных грузов в составе автопоезда.
1. Выбор
исходных данных
Техническое задание на проектирование
тип автомобиля -грузовой;
грузоподъемность - 12000кг;
область использования - дороги I - IV категорий;
максимальная скорость движения - 95 км/ч;
тип двигателя - дизельный с турбо надувом, с промежуточным охлаждением
надувочного воздуха
тип трансмиссии - механическая, пятиступенчатая коробка перемены передач;
Передаточные числа: 5.22 2.90 1.52 1.00
V 0.664
главная передача 6.59
колесная формула 4˟2.
Полная масса ma грузового автомобиля:
Из
технической характеристики автомобиля известно, что полная максимальная масса 
Шины
автомобиля:
Выбираем
шины 11,00R20 (прил. 1), для которых радиус качения 
Коэффициент
обтекаемости и лобовая площадь:
Коэффициент обтекаемости Cx и
лобовую площадь Fможно выбрать
исходя из предварительной эскизной компоновки по аналогии с существующими
автомобилями родственного типа:
Для грузовых автомобилей Сх=0,95 (прил. 4)

(1.1)
где:

-
поправочный коэффициент 
базовая
высота автомобиля, в м; 
базовая
ширина, в м; 
2. Подбор и
построение внешней скоростной характеристики двигателя
Мощность Ne двигателя,
необходимая для движения полностью нагруженного автомобиля с установившейся
максимальной скоростью vmax
определяется по формуле (1)
где:

-
суммарный коэффициент сопротивления дороги;
угол
подъема дороги; 
коэффициент
суммарного дорожного сопротивления
скорость
движения автомобиля; км/ч
сила
тяжести автомобиля;
-
коэффициент обтекаемости; 
к.п.д.
трансмиссии (для режима максимальной скорости 
);
Подставив
их в формулу (2.1) получим
Для
обеспечения необходимого динамического фактора определяем максимальную мощность
двигателя:
Расчет
показателей внешней скоростной характеристики двигателя производится в
диапазоне частот от nmin до nmax (nmax - максимальная частота вращения двигателя)с
интервалом 100 об/мин.
nдmax=2100мин-1,
nдmin=700 мин1
Эффективная
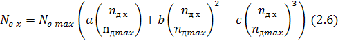
мощность рассчитывается с использованием эмпирической зависимости (2.6).
Приняв
для данного типа двигателя а=0,53b=1,56с=1,09n дmax=2100об/мин и
подставив их в формулу (2.6) подсчитаем значения Nе для различной
частоты вращения двигателя. Полученные данные заносим в табл. 1 и используем их
для построения зависимости Nе=f(nд).
На
график также наносится кривая крутящего момента двигателя, каждая точка,
которой определяется по формуле (2.7)
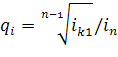
Текущий
удельный расход топлива qex рассчитаем по формуле
Где:
-
статические коэффициенты; для дизеля:
; 
удельный
расход топлива при номинальной мощности двигателя;
Часовой
расход топлива для каждого значения частоты вращения коленчатого вала двигателя
подсчитывается по формуле
Полученные
значения Мкх ,gех, GTX также заносим в таблицу 1 и используем для построения
характеристик Мкх = f (nд),gех = f (nд), GTX = f (nд)
Таблица
1 - Данные для построения скоростной характеристики двигателя
|
ne
|
Ne
|
Mk
|
qe
|
Gт
|
|
700
|
290,74
|
3966,55
|
319,44
|
92,88
|
|
800
|
345,59
|
4125,45
|
320,62
|
110,80
|
|
900
|
401,77
|
4263,24
|
323,41
|
129,94
|
|
1000
|
458,63
|
4379,92
|
327,82
|
150,35
|
|
1100
|
515,50
|
4475,49
|
333,84
|
172,09
|
|
1200
|
571,72
|
4549,96
|
341,48
|
195,23
|
|
1300
|
626,63
|
4603,31
|
350,74
|
219,78
|
|
1400
|
679,56
|
4635,55
|
361,61
|
245,74
|
|
1500
|
729,85
|
4646,69
|
374,10
|
273,04
|
|
1600
|
776,83
|
4636,72
|
388,21
|
301,57
|
|
1700
|
819,85
|
4605,63
|
403,93
|
331,17
|
|
1800
|
858,24
|
4553,44
|
421,28
|
361,56
|
|
1900
|
891,34
|
4480,14
|
440,23
|
392,40
|
|
2000
|
918,48
|
4385,73
|
460,81
|
423,24
|
|
2100
|
939,00
|
4270,21
|
483,00
|
453,54
|
Рисунок 2.1 - Скоростная характеристика двигателя
3. Выбор
передаточных чисел трансмиссии
.1
Определение передаточного числа главной передачи
Передаточное число главной передачи i0определяется из условия обеспечения движения автомобиля с
максимальной скоростью Vmaxна
высшей передаче. Иногда Vmaxсоответствует
движению не на высшей, а на предшествующей передаче. У таких автомобилей
передачу с минимальным передаточным числом используют для улучшения топливной
экономичности.
Пользуясь выражением для определения теоретической скорости автомобиля
можно вычислить передаточное число i0главной передачи
где rk- радиус качения колеса, м;
iдк-
передаточное число высшей передачи дополнительной коробки (при ее отсутствии iдк=1);
Vmax-
максимальная скорость, км/ч;
iKB
-передаточное число высшей передачи (при использовании трехвальных КПП у
грузовых автомобилей, с числом передач не превышающим 6 -iKB=1, реже iKB= 0,6...0,7).
Найденное передаточное число i0сравнивают с существующими передаточными числами автомобилей-аналогов.
Для получения достаточного дорожного просвета и простой конструкции главной
передачи рекомендуется для грузовых автомобилей, имеющих грузоподъемность до 8т
при грузоподъемности свыше 8 т.
.2 Выбор
числа ступеней и передаточных чисел коробки передач
Число ступеней коробки передач зависит от типа, удельной мощности и
предполагаемых условий эксплуатации.
Для автомобилей-тягачей и полноприводных автомобилей распространены пяти-
шести- ступенчатые коробки передач в сочетании с двух - трехступенчатой
дополнительной коробкой.
Передаточное
число iK1первой передачи определяется из условия обеспечения
возможности движения по дороге с заданным коэффициентом сцепления 
и
отсутствием буксования
где:

-коэффициент
нагрузки ведущих колес (для грузовых автомобилей -
, для
полноприводных 
);

-
коэффициент сцепления ведущих колес с дорогой (проверку ведут на сухом шоссе в
хорошем состоянии 
;
Мкмах
- максимальный крутящий момент двигателя, Н*м.
Нужно
подобрать передаточные числа промежуточных передач.
Где
n- число передач передаточное число на высшей передаче.

=1,29
У
большинства выпускаемых в настоящее время автомобилей передаточные числа высших
передач сближены на 5... 15%, по сравнению со значениями, полученными по
геометрической прогрессии, а соотношение между низшими передачами на 5... 15 %
больше. У пятиступенчатых коробок перемены передач «сближены» четвертая и пятая
передачи и «раздвинуты» вторая с первой и третья со второй.
У
коробок передач, имеющих повышающую передачу, передаточное число последней из
конструктивных соображений выбирается в пределах 0,6…0,8. Это передаточное
число иногда не входит в геометрический ряд и в формуле высшей передачей
следует считать следующую за повышающей. Обычно эта передача делается прямой.
Таким
образом, передаточные числа главной передачи и коробки передач имеют следующие
значения: главная передача -6,59; первая передача -2,8; вторая передача -2,17;
третья передача -1,68; четвертая передача - 1,3; пятая передача -1.
Определяем
передаточные числа трансмиссии iтр = iк·i0, а затем и скорость движения автомобиля на разных
передачах при заданной частоте вращения коленчатого вала двигателя по формуле
(12).
Значения
Vх заносим в таблицу (2), по данным которой строим
характеристику двигателя и автомобиля.
Таблица
2 - Данные для построения скоростной характеристики автомобиля
|
ne
|
V1
|
V2
|
V3
|
V4
|
V5
|
|
700
|
11,33
|
14,63
|
18,90
|
24,41
|
31,73
|
|
800
|
12,95
|
16,72
|
21,60
|
27,90
|
36,26
|
|
900
|
14,57
|
18,81
|
24,30
|
31,38
|
40,80
|
|
1000
|
16,19
|
20,90
|
27,00
|
34,87
|
45,33
|
|
1100
|
17,81
|
22,99
|
29,71
|
38,36
|
49,86
|
|
1200
|
19,43
|
25,08
|
32,41
|
41,84
|
54,40
|
|
1300
|
21,05
|
27,17
|
35,11
|
45,33
|
58,93
|
|
1400
|
22,66
|
29,26
|
37,81
|
48,82
|
63,46
|
|
1500
|
24,28
|
31,35
|
40,51
|
52,30
|
67,99
|
|
1600
|
25,90
|
33,44
|
43,21
|
55,79
|
72,53
|
|
1700
|
27,52
|
35,53
|
45,91
|
59,28
|
77,06
|
|
1800
|
29,14
|
37,62
|
48,61
|
62,76
|
81,59
|
|
1900
|
30,76
|
39,71
|
51,31
|
66,25
|
86,13
|
|
2000
|
32,38
|
41,80
|
54,01
|
69,74
|
90,66
|
|
2100
|
34,00
|
43,89
|
56,71
|
73,23
|
95,19
|
Рисунок 3.1 - Скоростная характеристика автомобиля
4. Расчет и
построение динамической характеристики автомобиля
С целью получения данных для построения динамической характеристики
автомобиля по формуле проводим ряд расчетов в следующей последовательности. Для
удобства построения всех последующих характеристик эксплуатационных свойств
автомобиля, расчетные данные будем заносить в таблицу 3
В начале определим величину касательной силы тяги по передачам
Величину Мкр при каждом значении частоты вращения коленчатого вала
двигателя определяем по ранее построенной внешней скоростной характеристике
двигателя табл. 1. Полученные значения Рк заносим в табл. 3.
Подсчитываем значения силы сопротивления воздуха автомобиля,
соответствующей исходным значениям частоты вращения коленчатого вала двигателя
по формуле:
Данные заносим в табл. 3.
Определяем величину динамического фактора для каждой скорости на всех
передачах по формуле:
Полученные данные заносим в табл. 3 и строим по ним динамическую
характеристику автомобиля.
Дополнительно на график динамической характеристики в масштабе принятом
для D наносим кривые сопротивления качению
fv и суммарного коэффициента
сопротивления дороги φ в функции скорости.
Коэффициент fv при различных
скоростях движения подсчитываем по формуле:
Суммарный коэффициент сопротивления дороги находится из выражения
где

- угол
подъема дороги.
Таблица
3 - данные для построения динамической характеристики автомобиля
|
nдв
|
Pk
|
Pw
|
D
|
fv
|
|
1
|
2
|
3
|
4
|
5
|
|
1-я передача
|
|
700
|
83133
|
82,4
|
0,30
|
0,0074
|
|
800
|
86463
|
107,6
|
0,31
|
0,0075
|
|
900
|
89351
|
136,1
|
0,33
|
0,0077
|
|
1000
|
91796
|
168,1
|
0,33
|
0,0079
|
|
1100
|
93799
|
203,4
|
0,34
|
0,0080
|
|
1200
|
95360
|
242,0
|
0,35
|
0,0082
|
|
1300
|
284,0
|
0,35
|
0,0084
|
|
1400
|
97154
|
329,4
|
0,35
|
0,0087
|
|
1500
|
97387
|
378,1
|
0,35
|
0,0089
|
|
1600
|
97178
|
430,2
|
0,35
|
0,0092
|
|
1700
|
96527
|
485,7
|
0,35
|
0,0095
|
|
1800
|
95433
|
544,5
|
0,35
|
0,0098
|
|
1900
|
93897
|
606,7
|
0,34
|
0,0101
|
|
2000
|
91918
|
672,3
|
0,33
|
0,0104
|
|
2100
|
89497
|
741,2
|
0,32
|
0,0108
|
|
2-я передача
|
|
700
|
64400
|
137,2
|
0,23
|
0,0077
|
|
800
|
66979
|
179,2
|
0,24
|
0,0079
|
|
900
|
69216
|
226,9
|
0,25
|
0,0082
|
|
1000
|
71111
|
280,1
|
0,26
|
0,0084
|
|
1100
|
72663
|
338,9
|
0,26
|
0,0087
|
|
1200
|
73871
|
403,3
|
0,27
|
0,0091
|
|
1300
|
74738
|
473,3
|
0,27
|
0,0094
|
|
1400
|
75261
|
548,9
|
0,27
|
0,0098
|
|
1500
|
75442
|
630,1
|
0,27
|
0,0102
|
|
1600
|
75280
|
717,0
|
0,27
|
0,0107
|
|
1700
|
74775
|
809,4
|
0,27
|
0,0111
|
|
1800
|
73928
|
907,4
|
0,27
|
0,0116
|
|
1900
|
72738
|
1011,0
|
0,26
|
0,0121
|
|
2000
|
71205
|
1120,3
|
0,26
|
0,0127
|
|
2100
|
69330
|
1235,1
|
0,25
|
0,0133
|
|
3-я передача
|
|
700
|
49837
|
229,1
|
0,18
|
0,0082
|
|
800
|
51834
|
299,3
|
0,19
|
0,0085
|
|
900
|
53565
|
378,8
|
0,19
|
0,0089
|
|
1000
|
55031
|
467,6
|
0,20
|
0,0094
|
|
1100
|
56232
|
565,8
|
0,20
|
0,0099
|
|
1200
|
57167
|
673,4
|
0,21
|
0,0104
|
|
1300
|
57838
|
790,3
|
0,21
|
0,0110
|
|
1400
|
58243
|
916,6
|
0,21
|
0,0117
|
|
1500
|
58383
|
1052,2
|
0,21
|
0,0124
|
|
1600
|
58257
|
1197,2
|
0,21
|
0,0131
|
|
1700
|
57867
|
1351,5
|
0,21
|
0,0139
|
|
1800
|
57211
|
1515,2
|
0,20
|
0,0147
|
|
1900
|
56290
|
1688,2
|
0,20
|
0,0156
|
|
2000
|
55104
|
1870,6
|
0,19
|
0,0165
|
|
2100
|
53652
|
2062,3
|
0,19
|
0,0175
|
|
4-я передача
|
|
700
|
38597
|
382,0
|
0,14
|
0,0089
|
|
800
|
40144
|
499,0
|
0,14
|
0,0095
|
|
900
|
41484
|
631,5
|
0,15
|
0,0102
|
|
1000
|
42620
|
779,7
|
0,15
|
0,0110
|
|
1100
|
43550
|
943,4
|
0,16
|
0,0118
|
|
1200
|
44274
|
1122,7
|
0,16
|
0,0127
|
|
1300
|
44793
|
1317,6
|
0,16
|
0,0137
|
|
1400
|
45107
|
1528,1
|
0,16
|
0,0148
|
|
1500
|
45216
|
1754,2
|
0,16
|
0,0159
|
|
1600
|
45118
|
1995,9
|
0,16
|
0,0172
|
|
1700
|
44816
|
2253,2
|
0,16
|
0,0185
|
|
1800
|
44308
|
2526,1
|
0,15
|
0,0199
|
|
1900
|
43595
|
2814,6
|
0,15
|
0,0213
|
|
2000
|
42676
|
3118,7
|
0,14
|
0,0229
|
|
2100
|
41552
|
3438,3
|
0,14
|
0,0245
|
|
5-я передача
|
|
700
|
29690
|
645,6
|
0,11
|
0,0103
|
|
800
|
30880
|
843,3
|
0,11
|
0,0113
|
|
900
|
31911
|
1067,3
|
0,11
|
0,0124
|
|
1000
|
32784
|
1317,6
|
0,11
|
0,0137
|
|
1100
|
33500
|
1594,3
|
0,12
|
0,0151
|
|
1200
|
34057
|
1897,4
|
0,12
|
0,0167
|
|
1300
|
34456
|
2226,8
|
0,12
|
0,0183
|
|
1400
|
34698
|
2582,6
|
0,12
|
0,0202
|
|
1500
|
34781
|
2964,7
|
0,12
|
0,0221
|
|
1600
|
34707
|
3373,1
|
0,11
|
0,0242
|
|
1700
|
34474
|
3808,0
|
0,11
|
0,0264
|
|
1800
|
34083
|
4269,1
|
0,11
|
0,0287
|
|
1900
|
33535
|
4756,7
|
0,10
|
0,0312
|
|
2000
|
32828
|
5270,5
|
0,10
|
0,0338
|
|
2100
|
31963
|
5810,8
|
0,10
|
0,0366
|
|
|
|
|
|
|
|
|
|
|
|
Рисунок 4.1 - Динамическая характеристика автомобиля
5. Построение
графиков ускорения, времени разгона и пути разгона
.1
Максимально возможное ускорение
Ускорение автомобиля j
определяется по передачам на сухом асфальтобетонном покрытии полностью
груженого автомобиля по формуле
Предварительно определяем коэффициент учета вращающихся масс на каждой
передаче по формуле
Где:

-
коэффициенты вращающихся масс колес
коэффициент
вращающихся масс маховика (
Значения
D динамического фактора берем из ранее построенной
динамической характеристики (табл. 3).
Полученные
данные заносим в табл. 4 и строим по ним графики ускорений автомобиля по
передачамj = f(V).
5.2 Время и
путь разгона автомобиля
Время tp и путь Sp разгона автомобиля определим при его движении с места до
максимальной скорости с переключением передач в следующей последовательности.
Определяем время, за которое автомобиль разгоняется до скорости Vа, соответствующей определенной
частоте вращения коленчатого вала двигателя из выражения (5.4)
Подсчитаем путь разгона Sp до
максимальной скорости по формуле(5.5).
Определяем скорости, при которых будет происходить переключение передач
по выражению
В момент переключения передач, соответствующей скорости nднк времени разгона прибавляем время
переключения передач tп =
0,5 с, принимая допущение, что снижение скорости и путь, проходимый автомобилем
за время переключения незначительны.
Данные, полученные при расчете tp и Sp заносим в таблицу табл. 4 и строим
по ним графики времени и пути разгона автомобиля в зависимости от скорости по
передачам. Полное время разгона от t0 до конечного времени разгона tmо определяют
как сумму времени разгона нарастающим итогом по всем участкам.
Таблица 4 - Данные для построения графиков ускорение автомобиля по
передачам, времени и пути разгон
|
nдв
|
va
|
jp
|
tp
|
Sp
|
|
1
|
2
|
3
|
4
|
5
|
|
1-я передача
|
|
700
|
11,33
|
1,7
|
1,9
|
21,4
|
|
800
|
12,95
|
1,8
|
2,1
|
26,6
|
|
900
|
14,57
|
1,8
|
2,2
|
32,4
|
|
1000
|
16,19
|
1,9
|
2,4
|
38,7
|
|
1100
|
17,81
|
1,9
|
2,6
|
45,7
|
|
1200
|
19,43
|
2,0
|
2,7
|
53,4
|
|
1300
|
21,05
|
2,0
|
2,9
|
61,9
|
|
1400
|
22,66
|
2,0
|
3,1
|
71,3
|
|
1500
|
24,28
|
2,0
|
3,4
|
81,7
|
|
1600
|
25,90
|
2,0
|
3,6
|
93,3
|
|
1700
|
27,52
|
2,0
|
3,9
|
106,4
|
|
1800
|
29,14
|
1,9
|
4,2
|
121,1
|
|
1900
|
30,76
|
1,9
|
4,5
|
137,9
|
|
2000
|
32,38
|
1,9
|
4,9
|
157,2
|
|
2100
|
34,00
|
1,8
|
5,3
|
179,5
|
|
2-я передача
|
|
700
|
14,63
|
1,4
|
3,0
|
44,0
|
|
800
|
16,72
|
1,4
|
3,3
|
54,6
|
|
900
|
18,81
|
1,5
|
3,5
|
66,4
|
|
1000
|
20,90
|
1,5
|
3,8
|
79,3
|
|
1100
|
22,99
|
1,6
|
4,1
|
93,6
|
|
1200
|
25,08
|
1,6
|
4,4
|
109,3
|
|
1300
|
27,17
|
1,6
|
4,7
|
126,7
|
|
1400
|
29,26
|
1,6
|
5,0
|
146,1
|
|
1500
|
31,35
|
1,6
|
5,4
|
167,8
|
|
1600
|
33,44
|
1,6
|
5,7
|
192,1
|
|
1700
|
35,53
|
1,6
|
6,2
|
219,6
|
|
1800
|
37,62
|
1,6
|
6,7
|
250,9
|
|
1900
|
39,71
|
1,5
|
7,2
|
286,9
|
|
2000
|
41,80
|
1,5
|
7,9
|
328,7
|
|
2100
|
43,89
|
1,4
|
8,6
|
377,7
|
|
3-я передача
|
|
700
|
18,90
|
1,0
|
5,2
|
98,2
|
|
800
|
21,60
|
1,1
|
5,6
|
121,7
|
|
900
|
24,30
|
1,1
|
6,1
|
147,6
|
|
1000
|
27,00
|
1,1
|
6,5
|
176,3
|
|
1100
|
29,71
|
1,2
|
7,0
|
208,0
|
|
1200
|
32,41
|
1,2
|
7,5
|
243,4
|
|
1300
|
35,11
|
1,2
|
8,1
|
282,8
|
|
1400
|
37,81
|
1,2
|
8,7
|
327,2
|
|
1500
|
40,51
|
1,2
|
9,3
|
377,3
|
|
1600
|
43,21
|
1,2
|
10,1
|
434,4
|
|
1700
|
45,91
|
1,2
|
10,9
|
499,9
|
|
1800
|
48,61
|
1,1
|
11,8
|
575,8
|
|
1900
|
51,31
|
1,1
|
13,0
|
664,9
|
|
2000
|
54,01
|
1,1
|
14,3
|
770,9
|
|
2100
|
56,71
|
1,0
|
15,9
|
898,9
|
|
4-я передача
|
|
700
|
24,41
|
0,7
|
9,7
|
237,3
|
|
800
|
27,90
|
0,7
|
10,5
|
293,1
|
|
900
|
31,38
|
0,8
|
11,3
|
355,4
|
|
1000
|
34,87
|
0,8
|
12,2
|
425,1
|
|
1100
|
38,36
|
0,8
|
13,1
|
503,5
|
|
1200
|
41,84
|
0,8
|
14,2
|
592,4
|
|
1300
|
45,33
|
0,8
|
15,3
|
693,8
|
|
1400
|
48,82
|
0,8
|
16,6
|
810,4
|
|
1500
|
52,30
|
0,8
|
18,1
|
946,1
|
|
1600
|
55,79
|
0,8
|
19,8
|
1105,8
|
|
1700
|
59,28
|
0,8
|
21,9
|
1296,3
|
|
1800
|
62,76
|
0,7
|
24,3
|
1527,5
|
|
1900
|
66,25
|
0,7
|
27,4
|
1814,1
|
|
2000
|
69,74
|
0,6
|
31,2
|
2178,5
|
|
2100
|
73,23
|
0,6
|
36,3
|
2657,2
|
|
5-я передача
|
|
700
|
31,73
|
0,4
|
21,7
|
687,5
|
|
800
|
36,26
|
0,4
|
23,4
|
849,3
|
40,80
|
0,4
|
25,4
|
1036,0
|
|
1000
|
45,33
|
0,5
|
27,7
|
1253,7
|
|
1100
|
49,86
|
0,5
|
30,3
|
1511,0
|
|
1200
|
54,40
|
0,5
|
33,4
|
1819,5
|
|
1300
|
58,93
|
0,4
|
37,3
|
2196,3
|
|
1400
|
63,46
|
0,4
|
42,0
|
2666,8
|
|
1500
|
67,99
|
0,4
|
48,1
|
3270,8
|
|
1600
|
72,53
|
0,4
|
56,2
|
4074,7
|
|
1700
|
77,06
|
0,3
|
67,4
|
5197,1
|
|
1800
|
81,59
|
0,3
|
84,2
|
6874,2
|
|
1900
|
86,13
|
0,2
|
112,1
|
9651,9
|
|
2000
|
90,66
|
0,2
|
167,0
|
15143,1
|
|
2100
|
95,19
|
0,1
|
326,9
|
31119,0
|
|
|
|
|
|
|
|
|
|
|
|
|
Рисунок 5.1 - График ускорения автомобиля по передачам
Рисунок 5.2 - Время разгона автомобиля
Рисунок 5.3 - Путь разгона автомобиля
6. Тормозные свойства автомобиля
Графики тормозного пути автомобиля в зависимости от скорости начала
торможения построим для двух типов дорожных покрытий: для сухого асфальтобетона
и снега рыхлого.
Выбираем для данного типа автомобиля, оборудованного гидравлическим
приводом тормозов, недостающие данные для расчета тормозного пути:
-
коэффициент сцепления шин с дорогой - асфальтобетон 
;
коэффициент
эффективности торможения - асфальтобетон
,;
время
срабатывания тормозного привода - 
.
время
нарастания замедления - на асфальтобетоне 
коэффициент
сцепления шин с дорогой - мокрый асфальтобетон 
;
коэффициент
эффективности торможения - асфальтобетон
,;
время
срабатывания тормозного привода - 
.
время
нарастания замедления - на мокром асфальтобетоне 
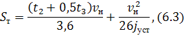
Вначале
подсчитаем установившееся замедление
Тормозной путь автомобиля для различных скоростей начала торможения
находим с использованием выражения
Данные расчетов заносим в табл.5 и строим график тормозного пути в
зависимости от скорости начала торможения Sт=f(vн)
Таблица 5 - данные для построения тормозного пути в зависимости от
скорости начала торможения
|
Va
|
Sт (сухое)
|
Sт (мокрое)
|
|
0
|
0
|
0
|
|
7
|
1,483489
|
1,755382
|
|
14
|
3,211733
|
4,299306
|
|
21
|
5,184732
|
7,631772
|
|
28
|
7,402486
|
11,75278
|
|
35
|
9,864996
|
16,66233
|
|
42
|
12,57226
|
22,36042
|
|
49
|
15,52428
|
28,84706
|
|
56
|
18,72106
|
36,12223
|
|
63
|
22,16259
|
44,18595
|
|
70
|
25,84887
|
53,03821
|
|
77
|
29,77991
|
62,67901
|
|
84
|
33,95571
|
73,10836
|
|
91
|
38,37626
|
84,32624
|
|
95
|
41,01218
|
91,0905
|
Рисунок 6.1 - Тормозной путь автомобиля
7. Топливная
экономичность
Расчет топливно-экономической характеристики автомобиля следует проводить
для автомобиля, двигающегося по дороге, характеризуемой суммарным коэффициентом
дорожного сопротивления φ с полной нагрузкой на прямой передаче в следующей
последовательности.
С учетом данных внешней скоростной характеристики двигателя определяем
скорости движения автомобиля на прямой передаче для разных частот вращения коленчатого
вала двигателя.
Определяем мощность двигателя, требуемую для движения автомобиля при
заданной скорости на одной из заданных дорог до полной загрузки двигателя по
формуле 2.1
Зная частоту вращения коленчатого вала двигателя для разных скоростей движения
автомобиля, определяем отношениеnдi/nдmax, используя
которое, вычисляем значения коэффициента Кn
По графику внешней скоростной характеристики двигателя, для принятых
частот вращения коленчатого вала двигателя находим значение эффективной
мощности Nе(вн) и по отношению Nе/Nе(вн) устанавливаем согласно типу двигателя значения
коэффициента КN.
Подсчитываем удельный расход топлива для разных скоростей движения
автомобиля
Согласно полученным значениям gе и Ne для разных скоростей движения на
прямой передаче автомобиля определяем расход топлива на 100 км пути по формуле
(7.2)
На основании полученных расчетных данных строятся графики Qs= f(V).
Таблица 6 - данные для построения топливной экономичности автомобиля
|
V1
|
QS1
|
V2
|
QS2
|
V3
|
QS3
|
V4
|
QS4
|
V5
|
QS5
|
|
11,33
|
993,40
|
14,63
|
769,55
|
18,90
|
587,70
|
24,41
|
455,15
|
31,73
|
350,12
|
|
12,95
|
1037,00
|
16,72
|
803,32
|
21,60
|
613,49
|
27,90
|
475,13
|
36,26
|
365,48
|
|
14,57
|
1080,96
|
18,81
|
837,37
|
24,30
|
639,50
|
31,38
|
495,27
|
40,80
|
380,98
|
|
16,19
|
1125,67
|
20,90
|
872,01
|
27,00
|
665,95
|
34,87
|
515,76
|
45,33
|
396,74
|
|
17,81
|
1171,37
|
22,99
|
907,42
|
29,71
|
692,99
|
38,36
|
536,70
|
49,86
|
412,84
|
|
19,43
|
1218,12
|
25,08
|
943,63
|
32,41
|
720,64
|
41,84
|
558,11
|
54,40
|
429,32
|
|
21,05
|
1265,81
|
27,17
|
980,57
|
35,11
|
748,86
|
45,33
|
579,97
|
58,93
|
446,13
|
|
22,66
|
1314,20
|
29,26
|
1018,06
|
37,81
|
777,48
|
48,82
|
602,13
|
63,46
|
463,18
|
|
24,28
|
1362,86
|
31,35
|
1055,75
|
40,51
|
806,27
|
52,30
|
624,43
|
67,99
|
480,33
|
|
25,90
|
1411,22
|
33,44
|
1093,21
|
43,21
|
834,88
|
55,79
|
646,59
|
72,53
|
497,37
|
|
27,52
|
1458,54
|
35,53
|
1129,87
|
45,91
|
862,87
|
59,28
|
668,27
|
77,06
|
514,05
|
|
29,14
|
1503,92
|
37,62
|
1165,02
|
48,61
|
889,72
|
62,76
|
689,06
|
81,59
|
530,05
|
|
30,76
|
1546,29
|
39,71
|
1197,85
|
51,31
|
914,79
|
66,25
|
708,48
|
86,13
|
544,98
|
|
32,38
|
1584,45
|
41,80
|
1227,41
|
54,01
|
937,37
|
69,74
|
725,96
|
90,66
|
558,43
|
|
34,00
|
1617,02
|
43,89
|
1252,64
|
56,71
|
956,63
|
73,23
|
740,88
|
95,19
|
569,91
|
Рисунок 7.1 - Графики топливной экономичности автомобиля
Заключение
В процессе выполнения курсового проекта закреплены знания по
аналитическому расчета эксплуатационных свойств автомобиля.
Полученные результаты: подобран двигатель, построена внешняя скоростная
характеристика, определены передаточные числа главной передачи и ступеней
трансмиссии, построена динамическая характеристика, построен график ускорении
автомобиля по передачам, построен график времени и пути разгона, построен
график тормозного пути, построена топливно-экономическая характеристика.
Список
использованных источников
1. Кутьков
Г.М. Тракторы и автомобили. Теория и технологические свойства - М.: КолосС,
2004. - 504с.
2. Поливаев
О.И. и др. Тракторы и автомобили. Конструкция - М.: КноРус, 2010. - 256 с.
3. Родичев
В.А., Родичева Г.И. Тракторы и автомобили - 2-е издание. - М.: Агропромиздат,
1986. - 251 с. с иллюстрациями.
4. Вахламов
В.К. Автомобили.
5. Артамонов
М.Д. и др. Основы теории и конструкции автомобиля.
-М.:Машиностроение,1974.-288с.