Тепловой расчёт двигателя Д-120 и расчет эксплуатационных показателей трактора Т-30А
Содержание
Введение
. Выбор номинальной мощности
тракторного двигателя.
. Тепловой расчет двигателя.
.1 Выбор и обоснование исходных
данных для теплового расчета.
.2 Основной расчет параметров
действительных процессов двигателя.
.3 Определение основных показателей,
характеризующих работу двигателя.
.4 Тепловой баланс двигателя
.5 Определение основных параметров
двигателя.
.6 Построение индикаторной
диафрагмы.
.7 Кинематика кривошипно-шатунного
механизма.
.8 Динамический расчет двигателя.
.9 Определение данных для построения
регуляторной характеристики двигателя.
. Тяговый расчет трактора.
.1 Выбор основных (рабочих)
скоростей трактора.
.2 Построение лучевых диаграмм.
.3 Расчет передаточных чисел
агрегатов тракторами.
.4 Расчет воздушных моментов
.5 Расчет тяговых усилий.
.6 Расчет тяговых усилий.
.7 Определение тягового КПД
трактора.
.8 Расчет действительных рабочих
скоростей двигателя трактора.
,9 Расчет тяговой мощности трактора.
.10 Определение удельного крюкового
расхода топлива
.11 Проверочный расчет тягового КПД
трактора.
.12 Построение теоретической тяговой
характеристики трактора со ступенчатой трансмиссией.
.13 Расчет мощностного баланса
трактора.
.14 Построение потенциальной тяговой
характеристики трактора с бесступенчатой трансмиссией
Литература
Введение
Основной задачей курсовой работы является
приобретение промышленных навыков инженерных расчетов при проектировании или
модернизации тракторов и автомобилей на основе технического задания.
Курсовая работа состоит из двух частей:
I - теплового расчета
тракторного или автомобильного двигателя.
II - тягового
расчета трактора или автомобиля.
Исходными данными для расчета трактора и его
двигателя является также показателем как номинальная сила тяги, число рабочих
передач, а также назначение и тип проектируемого трактора при известных степени
сжатия и нагнетательной части вращения коленчатого вала тракторного двигателя.
Основной задачей расчета трактора является
определение основных параметров двигателя и трансмиссии, обеспечение требуемых
тягово-скоростных свойств, тягово-мощные и экономические показатели трактора в
заданных условиях эксплуатации.
При выполнении I
и II части работы по
трактору производится расчет и построение тепловых и динамических диаграмм,
расчеты построения регуляторной характеристики двигателя, тяговый расчет и
построение теоретической тяговой характеристики трактора.
Расчёт мощности двигателя
. Выбор номинальной мощности тракторного
двигателя
.1 Расчёт теплового диапазона трактора и
минимальной тяги на крюке
Тяговый диапазон трактора рассчитывается по
формуле:
где Pкр
max , Pкр
min
соответственно
максимальное и минимальное тяговое усилие трактора, кН;
ξ
коэффициент
расширения тяговой зоны, который можно принять в среднем равным, 1,3;
Pн и
соответственно
номинальное тяговое усилие рассчитываемого трактора и трактора предыдущего
класса,
6,2.
Для трактора тяги 0,2…0,6 тяговый диапазон
принимается равным
Определяем минимальную силу тяги трактора:
.2 Выбор эксплуатационной массы трактора
Максимальная эксплуатационная масса для
колёсного трактора равна:
, Н
где φдоп
коэффициент
использования сцепного веса, которого можно достичь в данных почвенных условиях
при допустимой величине буксования ведущих колёс, который принимают для колёсных
тракторов 0,50…0,65. Принимаем
коэффициент
нагрузки ведущих колёс, принимается для тракторов 4к4(4=4) равным 1,0.
коэффициент
сопротивления качению, соответствующий принятым условиям работы (стерня),
который принимаем по таблице , f=0,1.
.3 Расчёт требуемой номинальной мощности
тракторного двигателя
Требуемая мощность тракторного двигателя можно
определить, как:
, кВт
где V1
заданная скорость движения трактора на 1-ой рабочей передаче, соответствующей
номинальной силе тяги, км/ч.
где z
число рабочих передач, z=4.
V4
скорость движения трактора на 4-ой передаче, V4
км/ч
V1=11,7×0,88(4-1)=7,97
км/ч
ηтр
механический КПД трансмиссии, соответствующий кинематической схеме
трактора-прототипа;
где
КПД,
учитывающий потери мощности при работе трактора под нагрузкой;
КПД соответственно
цилиндрической и конической пар шестерён, принимается равным
n1, n2
число пар соответственно цилиндрической и конической шестерён, находящихся в
зацеплении на данной передаче;
n1= 5, n2 = 4
КПД, учитывающий
потери холостого хода,
КПД, учитывающий
потери в движителе,
χэ
коэффициент эксплуатационной нагрузки тракторного двигателя χэ
;
Принимаем Nm=25
кВт
2. Тепловой расчёт двигателя
2.1 Выбор и обоснование исходных данных для
теплового расчета
Принимаем во внимание назначение и тип
двигателя, особенности условий его работы и степень формирования, обоснованно
выбором для проведения теплового расчета следующие исходные данные:
α = 1,45 - коэффициент избытка
воздуха;
ηv
= 0,8 - коэффициент пополнения;
Р0 = 0,1 мм/м2 и Т0 = 288 К - давление и
температура; окружающей среды ∆t
= 18◦К - повышение температуры заряда при всасывании;
Рr
= 0,110 мн/м2 и Тr = 800◦К
- температура и давление газов в конце выпуска;
n1 = 1,35; n2
= 1,2 показатели политропы сжатия и расширения; ξ = 0,8
- коэффициент выделения тепла при сгорании;
λ = 1,8 - степень
повышения давления;
ηm=
0,75 - механический КПД;
υ = 0,93 - коэффициент
скругления индикаторной диаграммы;
Нu
= 41800 кДж/кг - теплотворная способность топлива.
С = 0,860; Н2 = 0,130; О2 = 0,010 - элементарный
состав топлива.
.2 Расчёт основных параметров действительных
процессов двигателя
Процесс впуска (всасывания).
Давление (мН/м2) и температура (к) в конце
впуска
где
коэффициент
наполнения,
давление и
температура окружающей среды,
мН/м2,
К
давление и
температура газов в конце выпуска.
мН/м2,
мН/м2
К
Процесс сжатия.
Давление и температура в конце сжатия.
где
показатель
политропы сжатия,
мН/м2
Процесс сгорания.
Теоретически необходимое количество воздуха (кг)
для сгорания 1 кг топлива.
Это же количество в молях:
где C,
H2, O2
элементарный состав топлива
C=0,860; H2=0,130;
О2=0,010.

Коэффициент остаточных газов
Число молей остаточных газов (кмоль)
Мr
= γ∙М1 = 0,0335∙0,748 = 0,025
кмоль
Число молей газа, находящегося в цилиндре
двигателя в конце сжатия (кмоль)
Мс = М1 + Мr
= 0,748 + 0,025 = 0,773 кмоль
Число молей продуктов сгорания (кмоль), если
,
то
Число молей продуктов сгорания и
остаточных газов в точке:
кмоль.
Действительный коэффициент
молекулярного измерения:
Теплоемкость свежепоступившей
рабочей смеси или воздуха
кДж/кмоль∙град
Теплоемкость продуктов сгорания для
дизельных двигателей (кДж/моль∙град)
Полученное значение Сpz подставляем
в уравнение и определяем температуру в конце процесса сгорания Tz
где λ
степень
повышения давления λ
коэффициент выделения тепла при
сгорании
теплотворная способность топлива,
кДж/кг
Tz=1817,24 К
Давление в конце сгорания.
Рz = λ×Рс = 1,8×3,57 = 6,426
мН/м2
Процесс расширения.
Степень предварительного расширения
для дизельных двигателей
Давление и температура в конце
расширения
показатель политропы расширения,
Степень последующую расширения
.3 Определение основных показателей,
характеризующих работу двигателя
Среднее индикаторное давление по
нескруглённой диаграмме для дизельных двигателей
Среднее индикаторное давление
действующего цикла
Рi = υ∙Р′i - (Рr - Ра) =
0,93∙1,214 - (0,11 - 0,086) = 1,105 мН/м2
коэффициент скругления индикаторной
диаграммы,
Среднее эффективное давление
Рl = Рi∙ηm = 1,105∙0,75
= 0,829 мН/м2
где ηm
механический КПД, ηm= 0,75
Индикаторный коэффициент полезного
действия
Эффективный коэффициент полезного
действия
Эффективный удельный и часовой
расход топлива
.4 Тепловой баланс двигателя
Распределение тепла, выделяемого при
сгорании топлива происходит на следующие составляющие:
Qе = Nе = 25 кДж/с
- тепло превращенное в эффективную работу.
-
тепло теряемое с отработавшими
газами, в котором средние молекулярные теплоемкости продуктов сгорания и
свежего заряда при постоянном давлении определяются следующим образом при α =1,5>1
Температура газов в выхлопной трубе
Средняя молекулярная теплоемкость
светового заряда при постоянном давлении.
где Qн
тепло
потерянное в результате неполноты сгорания топлива. Для дизельных двигателей Qн

тепло неучтенных тепловых потерь
охл = Qт
- (Qн+Ql
+ Qг
+ Qост)
= 55,85-(25+13,65+5,585)=11,615 кДж/С
охл.- тепло отведенное в систему
охлаждения двигателя. После чего все составляющие теплового баланса выражаются
в процентах.
gr = 100%
2.5 Определение основных параметров
двигателя
Литраж (л) одного цилиндра
проектируемого четырехтактного двигателя:
где i - число
цилиндров двигателя (об/мин)
n
частота
вращения коленчатого вала двигателя,
об/мин
Диаметр цилиндра двигателя
мм
где
, принимаем К=1,4
Диаметр цилиндра двигателя, с целью
унификации двигателей, округляем до диаметра прототипа Д=105 мм
Ход поршня двигателя (м)
= К∙Д = 1,4×0,105 =
0,147 м
Площадь поршня (м2)
Уточненный литраж цилиндра
двигателя:
= Fn∙S∙103 =
0.00866×0.147×103 = 1.275
л
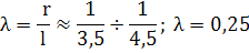
Радиус кривошипа - r и длина
шатуна - l (м)
Радиус кривошипа:
где
отношение радиуса кривошипа к длине
шатуна
Длина шатуна:
.6 Построение индикаторной диаграммы
Проводим координатные оси P - V и отметим
их пересечение буквой О. Давление газов откладывается по линии ординат, масштаб
которого выбирается в пределах 0,2…0,3 мН/м2 в 1 см. Условно принимаем для
дизельного двигателя объем камеры сгорания Vс = 1 см,
тогда полный объем цилиндра равен:
Vа = Е×Vс = Vс =15,8см.
Откладываем по оси абсцисс отрезки:
с = ОД = 1 см и Vа = ОС = Е =
15,8 см.
При этом масштаб по оси абсцисс
будет
Проводим атмосферную линию 1 - 1 с
ординатой Р0 = 0,1МПа = const
Проводим через точку Д и С вертикали
на которых откладываем от оси абсцисс, в принятом масштабе, значения давлений в
характерных точках цикла:

, 
,
,
,
.
Соединение прямыми точками; C и Z; Z
и Z′; а и в. Из точки r и а проводим прямые ad и zl
параллельные оси абсцисс. Для дизельного двигателя из точки z/ проводим
горизонталь, по которой откладывают
z =
=1,71
Для построения линий давления сжатия
ас и расширения zb воспользуемся уравнением политропы
расширения:
В которых
(текущие
координаты) параметры производных точек, которые и определяем из вышеуказанных
уравнений:
Для линии сжатия
|
1
|
2
|
3
|
4
|
5
|
6
|
7
|
8
|
9
|
10
|
11
|
12
|
13
|
14
|
15
|
|
3,6
|
1,4
|
0,8
|
0,6
|
0,4
|
0,3
|
0,3
|
0,2
|
0,2
|
0,18
|
0,16
|
0,14
|
0,12
|
0,11
|
0,101
|
Для линии расширения
|
2
|
3
|
4
|
5
|
6
|
7
|
8
|
9
|
10
|
11
|
12
|
13
|
14
|
15
|
15,8
|
|
5,32
|
3,27
|
2,32
|
1,77
|
1,42
|
1,18
|
1,01
|
0,88
|
0,77
|
0,69
|
0,62
|
0,36
|
0,52
|
0,48
|
0,45
|
Придавая отношению Vх/Vе
последовательно числовые значения 1,2,3…, Е получим соответствующие значения
давлений для объемов 1Vе;
2Vе; 3Vе…и
восстанавливаем перпендикуляры полученных точках, на которых в приятном
масштабе откладываем давление соответствующее этим объемам. Полученные ряды
точек принадлежащих искомым кривым сжатия и расширения соединяем плавными
кривыми.
Начало скругления диаграммы близ верхней мёртвой
точки производить с учётом угла опережения зажигания или начала подачи топлива,
близ нижней мёртвой точки с учётом опережения открытия выпускного клапана
двигателей прототипов.
.7 Кинематика кривошипно-шатунного механизма
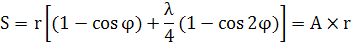
.7.1 Путь поршня S
Построение выполняется внизу под индикаторной
диаграммой. Перемещение поршня - S
в зависимости от угла поворота коленчатого вала
может
быть определено по формуле:
где
радиус
кривошипа, м.
длина шатуна, м
Значение А в зависимости от λ
и
α
берутся
из приложения.
|
Поворот
кривошипа
|
0
|
10
|
20
|
30
|
40
|
50
|
60
|
70
|
80
|
90
|
100
|
110
|
120
|
130
|
140
|
150
|
160
|
170
|
180
|
|
S поршня
|
0
|
0,019
|
0,075
|
0,165
|
0,286
|
0,431
|
0,595
|
0,770
|
0,950
|
1,127
|
1,297
|
1,454
|
1,595
|
1,717
|
1,818
|
1,897
|
1,954
|
1,989
|
2,00
|
Построение выполняется внизу под
индикаторной диаграммой. За ход поршня - S в
определённом масштабе принимается длина индикаторной диаграммы, соответствующая
рабочему объему цилиндра Vh. Для центрального
кривошипно-шатунного механизма перемещение поршня в зависимости от угла
поворота коленчатого вала можно построить графически. Для этого на отрезке
равным длине индикаторной диаграммы из центра
проводим полуокружность. Вправо от
О откладываем величину
равную О -
О/. Из точки О′ произвольным радиусом вписываем полуокружность в первую.
Полуокружность с центром О/ разбиваем на 12 равных частей, через которые
проводим лучи из центра О/ до пересечения с первой полуокружностью, получая
соответственно точки 1/, 2/,....12/, которые будут соответствовать перемещению
поршня при повороте коленчатого вала на каждые 15о.
На вертикальной оси через каждые 15о
откладываем градусы поворота коленчатого вала от 0о до 360 о. Через которые и
проводятся тонкими линиями горизонтали до пересечения их с вертикальными линиями,
проведенными соответственно из точек 1/, 2/,....12/. Соединяя точки пересечения
вертикальных и горизонтальных прямых 1//, 2//, 3//, … 12//, получаем график
перемещения поршня в зависимости от угла поворота кривошипа S = f(
).
.7.2 Скорость поршня
где
n - число
вращений вала, мин-1
Значение (sinφ+λ/2
sin2φ) берем
из приложения.
|
α
|
0
|
10
|
20
|
30
|
40
|
50
|
60
|
70
|
80
|
90
|
100
|
110
|
120
|
130
|
140
|
150
|
160
|
170
|
180
|
|
|
0
|
0,2164
|
0,4224
|
0,6083
|
0,7659
|
0,8891
|
0,9749
|
1,0200
|
1,0276
|
1,0000
|
0,9421
|
0,8593
|
0,7578
|
0,6429
|
0,5197
|
0,3917
|
0,2617
|
0,1309
|
0
|
|
Cп
|
0
|
2,77
|
5,40
|
7,77
|
9,79
|
11,36
|
12,45
|
13,04
|
13,13
|
12,78
|
12,04
|
10,98
|
9,68
|
8,22
|
6,64
|
5,01
|
3,34
|
1,67
|
0
|
Справа от вертикальной оси откладываем в
определённом масштабе скорость поршня Сп и определяя через каждые 15о её
значение откладываем в зависимости от перемещения поршня для данных градусов
поворота коленчатого валя. Соединяя полученные точки, получим графики Сп = f(S).
.7.3 Ускорение поршня
Ускорение поршня строится на том же графике, что
и скорость и перемещение поршня.
Для этого определяем максимальное jmax
и минимальное jmin значений
ускорений, которые затем откладываем в определённом масштабе на оси
В-В.
Соединяя прямой точки Е и F находим
точку пересечения ее с осью абсцисс точку G. Из точки G вниз
откладываем по перпендикуляру к оси абсцисс отрезок GH, равный
величине
. Соединяем
прямыми точки Е и F с точкой Н. Полученные отрезки EH и FH делим на
одинаковое число частей обозначения отрезки цифрами 1,2,3,4,5,6,7,8. Соединяем
точки, имеющие одинаковые цифры прямыми 1 - 1; 2 - 2;…8 - 8 и выписываем к
прямым касательную ЕαF, которая и
будет графиком измерения ускорения в зависимости от перемещения поршня.
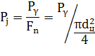
.8 Динамический расчет двигателя
.8.1 Расчет сил, действующих на
кривошипно-шатунный механизм
На поршень действуют силы давления
газов Pг и силы
инерции Pj от масс
совершающих возвратно-поступательное движение, которые складываясь с учётом
направления их действия, дают нам суммарную силу P1, т.е.
Значение
берётся из
индикаторной диаграммы, а Pj определяется по формуле:
Масса возвратно-поступательного
движущихся частей включает массу поршневого комплекта (поршня, поршневых и
стопорных колец и поршневого пальца) и часть массы шатуна. Обычно её
определяют:
Величины масс или весов поршневого
комплекта и шатуна выбираются по соответствующим значениям прототипов:
;
кг
Силы инерции подобно силам давления
газов определят как нагрузку, действующую на 1 м2 днища поршня
Определяем силы инерции:
при φ = 0о;
при φ = 180о;
отнесённых к площади днища поршня Fn
В том же масштабе, что и давление
газов на индукторной диаграмме от атмосферной линии с учетом знаков по
вертикали dM откладываем
Pjmax и по
вертикале РК откладываем Pjmin. Соединяем прямой точки М и
К. Из точки пересечения МК с атмосферной линией N откладываем перпендикуляр, на
котором откладываем отрезок NR, равный величине
Соединяя точку R с М и К и продолжая построение
подобно получения кривой ускоренья, получим кривую силы инерции Мα/К.
.8.2 Построение развернутой диаграммы суммарных
сил Р1, действующих на поршень
Развёрнутая диаграмма суммарных сил строится от
угла поворота коленчатого вала на участке 720о для 4-х тактного двигателя и
360о для двухтактного.
На оси абсцисс 0-4 наносим шкалу с интервалом в
15о поворота коленчатого вала и масштабом µ=15о/1 см.
Принимаем за ось абсцисс кривую изменения сил
инерции и делаем замеры раствором циркуля между кривой сил инерции и линией
впуска на индикаторной диаграмме в точках пересечения поршня, соответствующих
последовательности поворота коленчатого вала на каждые 15о построим суммарную
Р1 по времени впуска. Осуществим замеры между линией сил инерции и линией
сжатия, расширения и выпуска получим соответственно Р1 для процессов сжатия,
рабочего хода и выпуска. При этом учитывается следующее правило знаков,
направление силы к центру коленчатого вала считается положительным, от центра
отрицательным. Масштаб сил Р1 остаётся без изменения масштаба сил давления
газов на индикаторной диаграмме.
.8.3 Построение диаграммы тангенциальных сил
Для построения диаграммы касательных усилий в
масштабе радиусом кривошипа описываем окружность, которую разбиваем на 24
ровных участка. В этом же масштабе наносим положение шатуна при
последовательном повороте кривошипа на каждые 15о. Касательные усилия определяются
для каждого из 24 положений следующим образом. Из центра шатунной шейки по
направлению продолжения радиуса кривошипа в принятом масштабе сил от точки
давления на окружность откладывается величина силы Р1 , соответствующая данному
положению механизма.
Из конца вектора Р1 - точки Д на ось цилиндров
опускается перпендикуляр до пересечения с положением шатуна в точке В. Отрезок
ВД и будет представлять в принятом масштабе касательную силу t.
Силы Р1 для различных положений механизма в
процессах впуска, сжатия, рабочего хода и выпуска берётся из диаграммы P1=f(φ).
Спрямив путь, описываемый центром шатунной шейки
за цикл и разделив его на установленное ранее число частей проводим через точки
деления ординаты и на них откладываем найденные касательные усилия с учетом
направления.
Если направление силы t
совпадает с направлением вращения, то эту силу считают положительной, при
построении диаграммы откладывают вверх от оси абсцисс.
Если сила направлена противоположно направлению
вращения коленчатого вала, то эту силу считают отрицательной и откладывают вниз
от оси абсцисс.
Для многоцилиндровых двигателей приходится иметь
дело с суммарной диаграммой тангециальных сил, которая определяется тактностью
двигателя, числом цилиндров и расположением кривошипов коленчатого вала
относительно друг друга. Поэтому в этом случае необходимо произвести сложение
тангециальных сил от всех процессов, одновременно происходящих в различных
цилиндрах.
Так для 4-х тактного 2-ух цилиндрового двигателя
за период поворота коленчатого вала на 180о ещё 2 такта и закономерность
изменения суммарной силы Т через каждый оборот будет повторятся. Для этого типа
двигателя ΣТ подсчитывают на
участке, соответствующем 360о поворота коленчатого вала.
Для чего кривые Т в процессах сжатия, расширения
и выпуска переносятся на процесс впуска с последующем графическим сложением
этих кривых. Затем определяется суммарная величина сопротивления ρ
(равная
сопротивлению трения, сопротивлению машины-орудия или приводимого в движение
экипажа) принимается постоянным. Для этого определяют на суммарной Т
отрицательную площадь -F
и положительную площадь +F
в м2 делят на длину L (м) и
умножают на масштаб давления µр
мН/м2
Откладывают ρ вверх
от оси абсцисс и проводят горизонтальную прямую. Площадь, лежащая, выше ρ
представляет
избыточную площадь или работу, которую поглощает маховик, поэтому из уравнения
Определим Jм, а затем размеры маховика
где
масштаб давления
длина диаграммы
тангециальных сил (в нашем случае
)
радиус кривошипа в
(м);
степень
неравномерности вращения коленчатого вала для тракторов σ
угловая скорость;
Jм - приведенный момент инерции всех движущих
масс двигателя, определяемого из вышеуказанного уравнения
Затем определяется момент инерции
маховика:
Задаваясь из конструктивных
соображений маховика из нижеприведённого уравнения определяют его вес
,
где G
вес маховика
в кг;
Дм
диаметр окружности, приведённый
через центр тяжести сечения маховика, м; Д=400 мм=0,4м.
.8.4 Построение полярной диаграммы сил,
действующих на шатунную шейку
Для проведения теплового расчёта
подшипника, решения вопросао месте подвода смазки, а также суждения о
невозможности выдавливания смазки необходимо знать максимальное и среднее
значение равнодействующей всех сил, нагружающих шейку, а также область
наименьшей нагрузки. В дальнейшем для упрощения построений все силы нагружаюшие
шейку коленчатого вала, приняты отнесёнными к одному квадратному сантиметру
площади поршня.
Шатунную шейку нагружает сила Pt и
центробежная сила инерция Pс = =0,725∙mш∙ω2∙r
Путём геометрического сложения эти
силы приводятся к равнодействующей R.
Для определения максимального и
среднего значения равнодействующей R необходимо
построить диаграмму её изменения за цикл. Эта диаграмма строится в полярных координатах
в следующей последовательности.
Радиусом равным длине шатуна
описываем окружность с центром О˝. От центра О˝ по
направлению вниз откладываем в масштабе отрезок О˝ - О, равный
радиусу кривошипа. Из центра О́ произвольно радиусом описывается
окружность, которая делится на 24 часа.
Через точки А,В,С, и Д из центра О́ проводятся
лучи до пересечения их с окружностью, описанной из центра О˝. Точка О˝ соединяется
с точками 1,2,3 и т.д. Нетрудно увидеть, что лучи О́1, О́2, и т.д. будут
представлять положения оси цилиндра двигателя, вращающегося вокруг
закреплённого коленчатого вала, а отрезки О˝1, О˝2 и т.д.
положения
шатуна.
В каждом из 24 положений откладываем
от точки О˝
по
направлению шатуна силу Pt. Силу
предварительно
для каждого положения определяют и наносят на диаграмму P1, откуда
затем берут и с учётом направления наносят от точки О˝ по шатуну (к
центру шейки или от центра). Соединив концы векторов Pt кривой,
получают полярную диаграмму силы Pt. Для построения диаграммы R необходимо
сложить силы Pt и Р́с.
Сила Р́с всегда
направлена из центра по радиусу кривошипа и при данном числе оборотов
постоянная по величине. Для сложения силы Р́с с силами Pt достаточно
от точки О˝
по
направлению вниз откладываем (в масштабе сил) силу Р́с, равную:
׳ш
масса
шатуна, отнесённая к вращающимся частям, может быть принята равной 0,725
m׳ш
= 0,725
2,7 = 1,9575
кг
ω
угловая скорость вращения
коленчатого вала; ω=172,7
с-1
r
радиус
кривошипа в м; r=0,074 м
Fп
площадь
поршня в м2; Р́с=0,5 мН/мм2
Найденная таким образом точка О1
является полюсом диаграммы R. Полярная диаграмма позволяет
определить величину и направление силы R, а также
найти точку приложения этой силы на поверхности шатунной шейки
.8.5 Построение развернутой полярной
диаграммы
Построение развернутой полярной
диаграммы производим без учета знака в зависимости от угла поворота коленчатого
вала. Размеры снимаем с полярной диаграммы раствором циркуля и без изменения
масштаба переносим на график развернутой полярной диаграммы.
где F- площадь в
м2, ограниченная осью абсцисс двумя крайними ординатами и кривой R=f(φ)
длина диаметра в м;
µ
масштаб сил; 1мм= µ мПа
Величина среднего удельного давления
варьирует в пределах:
дизельные двигатели
2,0…7,0 мПа
2.9 Определение данных для построения регулярной
характеристики двигателя
Построение кривых регуляторной характеристики в
безрегуляторной зоне ведется в интервале от nmin
= 800 - 1000 мин-1 до nmax
=(1,05…1,20)nm=1,1
1650=1815
мин-1. Расчётные точки кривых на безрегуляторной ветви определяют по
эмпирическим формулам:
Эффективная мощность
двигатель трактор топливо
Эффективный крутящий момент.
Удельный расход топлива.
Часовой расход топлива
Gti = gli·Nli·10-3 кг/ч
1 = 264,90·2,02·10-3 = 0,54 кг/ч
Gt2 =
237,23·4,88·10-3 = 1,16 кг/ч
Gt3 =
215,22·8,30·10-3 = 1,78 кг/ч
Gt4 =
198,86·12,03·10-3 = 2,39 кг/ч
Gt5 = 188,15·15,79·10-3
= 2,97 кг/ч
Gt6 =
183,10·19,31·10-3 = 3,54 кг/ч
Gt7 =
183,70·22,33·10-3 = 4,10 кг/ч
Gt8 =
189,95·24,59·10-3 = 4,67 кг/ч
9 = Gtn= 4,81 кг/ч
Построение кривых регуляторной
характеристики в регуляторной зоне ведётся в интервале от nен до nxx.
Частоту вращения коленчатого вала на
холостом ходу определяют по формуле
, об/мин
об/мин
где
коэффициент неравномерности
регулятора частоты вращения.
Для тракторных дизелей принимают
т.е. частота
nxx превышает
номинальную на 7…8 % или 180…240 об/мин.
На регуляторной ветви регуляторной
характеристики: изменение мощности Nli принимают
по закону прямой линии от
(при nlн) до Nl=0 (при nxx);
Эффективный крутящий момент
Кривая крутящего момента опускается
вниз от Mlн (при nlн) до Ml=0 (при nxx);
Часовой расход топлива на холостом
ходу Gтхх =
(0,25…0,30)∙Gтмах, кг/ч
где Gtmax
максимальный часовой расход топлива, определяемый по формуле Gтмах = gln∙Nln∙10-3
кг/ч
Gтхх = 0,30∙4,81
=1,44
Изменение часового расхода топлива Gтi принимают
по закону прямой линии от Gтmaх (при nlн) до Gтхх (при nxx).
где Gi
текущие
значения часового расхода топлива в регуляторной зоне, определяемые по формуле
тi = glн∙Nli∙10-3
кг/ч
Кривая удельного расхода топлива gli поднимается
вверх от glн (при nlн) по мере
снижения нагрузки дизеля.
Для построения регуляторной
характеристики тракторных двигателей результаты расчётов показателей работы
дизеля заносят в таблицу.
|
Точ-
ки
|
|
Технико-экономические
показатели дизеля
|
|
Nli мин-1
|
Nli кВт
|
Μli
Н∙м
|
Gтi
кг/ч
|
gli г/кВт∙ч
|
|
1
|
800
|
13,47
|
160,87
|
2,68
|
198,86
|
|
2
|
1000
|
17,78
|
168,91
|
3,33
|
188,15
|
|
3
|
1200
|
21,63
|
172,21
|
3,96
|
183,10
|
|
4
|
1400
|
25,01
|
170,68
|
4,59
|
183,70
|
|
5
|
1600
|
27,53
|
164,45
|
5,23
|
189,95
|
|
6
|
1650
|
28
|
163,13
|
5,38
|
192,4
|
|
7
|
1700
|
16,2
|
90
|
3,5
|
290
|
|
8
|
1774
|
0
|
0
|
1,45
|
-
|
|
|
|
|
|
|
|
3. Тяговый расчет трактора
.1 Выбор основных (рабочих) скоростей трактора
При наличии ступенчатой коробки передач
передаточные числа на всех рабочих передачах могут выбираться из двух условий:
а) одинакового изменения крутящего момента
двигателя и всех передачах - геометрический ряд передаточных чисел;
б) одинакового интервала измерения касательных
сил тяги при работе трактора на различных передачах - арифметический ряд передаточных
чисел.
При геометрическом ряде расчет основных
(рабочих) скоростей трактора сводят к определению знаменателя геометрической
прогрессии.
а) При переходе с высших рабочих передач на
низшие сила тяги на крюке увеличивается с минимального до максимального(g
<1).
б) При переходе с пониженных рабочих
передач на повышенные силы тяги на крюке уменьшается с максимального значения
до минимального(g >1).
Зная знаменатель геометрической
прогрессии g и заданную
скорость движения на высшей V2 или первой V1 передачах,
определяют рабочие скорости на остальных передачах по формулам:
а) для g<1:
км/ч
км/ч
км/ч
б) для g>1:
км/ч;
км/ч
км/ч
Пониженные и транспортные скорости в
геометрическую прогрессию не входят и принимаются согласно технологическому
процессу.
При арифметическом ряде передаточных чисел
расчёт основных (рабочих) скоростей трактора сводится к определению разности
арифметической прогрессии:
а) при переходе с высших рабочих передач на
низшие
б) при переходе с низших рабочих
передач на высшие
где rк
радиус
качения ведущего колеса
; м
наружный
диаметр обода колеса d=51 дюйм.
b
ширина профиля шины, b=9,5 дюймов.
коэффициент
деформации шины ведущего колеса,
=0,846 м
Расчетный
крутящий момент двигателя определяется по формуле:
где
nен -
номинальная частота вращения коленчатого вала двигателя, мин-1, nен=1650
мин-1
z - заданное число рабочих передач, z=4
а)
б)
Зная
разность арифметической прогрессии da и скорость
на высшей или низшей V2(V1) рабочих
передачах, определяют рабочие скорости на остальных передачах по формулам:
а)
при переходе с высших рабочих передач на низшие передачи.


б)
при переходе с пониженных рабочих передач на повышенные.
…;
где
Высшая
транспортная скорость в геометрическую или в арифметическую прогрессию не
входят. Промежуточную транспортную скорость определяют как среднюю
геометрическую величину между высшей транспортной и высшей скоростью основного
рода по формуле:
Пониженные
скорости так же не входят в геометрическую или арифметическую прогрессии.
Величина этих скоростей принимается согласно технологическому процессу.
Окончательный
ряд скоростей корректируется в соответствии с практическими возможностями
подбора чисел зубьев шестерён коробки передач проектируемого трактора.
.2
Построение лучевых диаграмм
Для
наглядного представления об изменение зависимости крутящего момента двигателя Ml от
развиваемой (мощности) трактором касательной силы тяги Pk при работе на разных
передачах строят лучевые диаграммы:
а)
лучевая диаграмма при геометрическом ряде передач. При построение лучевой
диаграммы при геометрическом ряде передаточных чисел трансмиссии по оси ординат
откладывают величины Mlн и Mlmin = Mlн·g, а по оси
абсцисс величины касательной силы тяги Рк (для g<1) или
Mlmin = Mlн/g (для g>1).
Отложив
от точки О в соответствующем масштабе величину
=f·G=0,1∙15,5=1,55кН,
из точки О1 отсчитываем величину изменения силы тяги Ркр на заданных передачах.
Луч
первой передачи получены, соединив прямой линией начало координат с точкой 1,
абсцисса которой
Ркmax = Pkpmax + f·G=6,2+1,55=7,75
кН.
Для
графического построения луча второй передачи необходимо из точки А восстановить
перпендикуляр и соединить точки 2 с точкой О. Аналогично сторон лучи третий,
четвертой передач и т.д..
Точки
А,В,С (точки пересечения лучей соответствующих передач с горизонталью Mlmin) являются
граничными точками перехода на другие передачи.
Из
лучевой диаграммы следует, что по геометрическому ряду передаточных чисел
трансмиссии имеется неравенство интервалов изменения силы тяги при изменении в
одинаковых пределах загрузки двигателя на отдельных передачах. Наиболее широк
интервал касательных сил тяги на первой передаче с повышением номера передачи
интервал уменьшается.
б)
лучевая диаграмма при арифметическом ряде передач.
При
построении лучевой диаграммы при арифметическом ряде передаточных чисел
трансмиссии на оси ординат откладывают значение Mln, а по оси абсцисс -
величины касательной силы тяги Рк.
Отложив
от точки О в соответствующем масштабе величину Pf из точки
О1, отсчитываем величины изменения сил тяги должны быть одинаковыми на
различных передачах, рассчитывают интервал:



и восстанавливаем перпендикуляры из
точек 

до пересечения с горизонтально Mln (получаем
точки 1,2,3,4).
Луч первой передачи получим,
соединив прямой линией начало координат (точка О) с точкой 1, луч второй
передачи с т. 2 и т.д. Точки А,В,С,Д (точки пересечения лучей 1,2,3,4 с
вертикальными 

) являются граничными точками
перехода на другие передачи соответствуют минимальным моментам Mlmin на данной
передаче.
Из лучевой диаграммы следует, что
при арифметическом ряде передаточных чисел трансмиссии наблюдается равенство
интервалов касательных сил тяги при изменении в неодинаковых пределах загрузки
двигателя на различных передачах. При работе на высших передачах минимальный
коэффициент загрузки Хэ уменьшится. Расчёт этих коэффициентов производят по
формуле:
;
;
;
.3 Расчет передаточных чисел
агрегатов трансмиссии
Расчет передаточных чисел при
переходе с высшей на низшие рабочие передачи.
Передаточное число трансмиссии на
высшей рабочей передаче определяется по формуле:
где nk(z) - частота
вращения ведущего органа на высший передаче:
- расчётная скорость движения
трактора на высшей рабочей передаче, км/ч; Vr = 11,7 км/ч
Остальные передаточные числа
трансмиссии на рабочих передачах определяются из соотношений:
для геометрического ряда:
;
;…;

для арифметического ряда:

В связи с тем, что продолжительность
работы трактора при любых значениях силы тяги на крюке в заданном диапазоне от Pкрmax до Pкрmin примерно
одинакова, то этому предположению соответствует такой ряд передаточных чисел
трансмиссии, который расположен между геометрическим и арифметическим рядами.
Поэтому определяем среднее значение
Зная расчетные передаточные числа
трансмиссии на каждой передаче iz и передаточные числа
шестерен с постоянным зацеплением i0
трактора-прототипа определяют передаточные числа коробки передач по формуле:


…;
где i0 -
передаточное число шестерен с постоянным зацеплением трактора - прототипа
где ir, iкп-
передаточное число соответствующей главной и конечной передачи трактора-прототипа.
;
;
;
.
.4 Расчет ведущих моментов
Ведущий момент трактора Мк, приложен
к движителем подводится от коленчатого вала к двигателю.
Расчет ведущего момента производят
для каждой задней передачи в интервале частот вращающиеся от ne (Mе max) до n x.x.
где Mli - величина
крутящего момента двигателя при i частоте вращения коленвала.
Значение Mli будет из
данных для построения регуляторной характеристики двигателя.
Число расчётных точек «i» по
оборотам двигателя следует брать не менее пяти ne (Me ), neн,между ne (Me max) и neн, neн, между neн и nхх.
При неизменном фоне поля величина
коэффициента f=const, поэтому
при приближённых расчётах можно принять
= 160,87∙0.87∙63.27
= 8855,1Нм
|
Mki,нм
Mli,нм
|
1
|
2
|
3
|
4
|
|
Mk800=160,87
|
8855,1
|
7936,96
|
7086,02
|
6292,5
|
|
Mk1200=172,21
|
9479,3
|
8496,4
|
7585,5
|
6736,03
|
|
Mk1650=162,13
|
8924,4
|
7999,1
|
7141,5
|
6341,7
|
|
Mk1700=90,00
|
4954,04
|
4440,4
|
3964,3
|
3520,4
|
|
Mk1774=0
|
0
|
0
|
0
|
0
|
3.5 Расчет касательных сил тяги
Расчет касательных сил тяги Рк осуществляется из
условия движения трактора по горизонтальному пути для каждой заданной передачи:
.6 Расчет тяговых усилий
Расчет тяговых усилий Ркр
осуществляется из условия движения трактора по горизонтальному пути для каждой
заданной передачи
3.7 Определение тягового КПД
трактора
Тяговый КПД трактора можно
представить в виде:
где
- КПД, учитывающий потери при
буксовании ведущих движителей на каждой передаче и определяются по формуле:
- коэффициент, учитывающий потери
от буксования движителей при работе трактора с наибольшей силой тяги на крюке.
Средняя величина коэффициента
составляет
= 0,14.
При расчете
величина
берется для
каждой расчетной i - й точки на соответствующей
рабочей передаче, а величина
остается величиной постоянной для
каждой z - й
передачи
- КПД
учитывающий потери на качение трактора на каждой рабочей передаче и определяется
по формуле:
|
ηδi
ηl,мин-1
|
1
|
2
|
3
|
4
|
|
800
|
0,871
|
0,879
|
0,889
|
0,898
|
|
1200
|
0,860
|
0,871
|
0,881
|
0,891
|
|
1650
|
0,868
|
0,879
|
0,888
|
0,897
|
|
1700
|
0,927
|
0,933
|
0,938
|
0,943
|
|
1774
|
1
|
1
|
1
|
1
|
|
ηfi
ηl,мин-1
|
1
|
2
|
3
|
4
|
|
800
|
0,717
|
0,693
|
0,667
|
0,637
|
|
1200
|
0,736
|
0,714
|
0,689
|
0,661
|
|
1650
|
0,7195
|
0,696
|
0,669
|
0,640
|
|
1700
|
0,495
|
0,452
|
0,404
|
0,351
|
|
1774
|
0
|
0
|
0
|
0
|
3.8 Расчет действительных рабочих
скоростей движения трактора
Действительная скорость Vg движения
трактора на рабочей передачи меньше рассчитанной V на величину
и
определяется для каждой передачи по формуле:
где
- расчетные теоретические скорости
движения трактора на соответствующих передачах, км/ч
- коэффициент буксования ведущих
органов, определяемый по формуле:
|
vi, км/ч
ηl,мин-1
|
1
|
2
|
3
|
4
|
|
800
|
3,66
|
3,97
|
4,31
|
4,70
|
|
1200
|
5,49
|
5,95
|
6,47
|
7,05
|
|
1650
|
7,54
|
8,18
|
8,85
|
9,70
|
|
1700
|
7,77
|
8,43
|
9,16
|
9,99
|
|
1774
|
8,11
|
8,80
|
9,56
|
10,42
|
.9 Расчет тяговой мощности трактора
Тяговая (крюковая) мощность трактора
.10 Определение удельного крюкового
расхода топлива
Удельный расход топлива,
соответствующий тяговой мощности трактора, определяется по формуле:
где
- соответствующий часовой расход
топлива на данной передаче берется по регуляторной характеристике тракторного
двигателя из низшей части тяговой характеристике соответственно нагрузки
трактора
;
;
.11 Проверочный расчет тягового КПД
трактора
С целью проверки правильности
расчетов тягового КПД трактора определяют из соотношения:
где Nli(z) -
соответствующая эффективная мощность двигателя на данной передаче.
Результаты расчётов
по обеим
формулам должны совпадать или быть близкими.
.12 Построение теоретической тяговой
характеристики трактора со ступенчатой трансмиссии
Для построения теоретической тяговой
характеристики трактора, полученные расчетные тягово-экономические показатели
для каждой передачи заносятся в таблицу.
|
№
Пере- дачи z
|
Расчёт-
ные точки по оборо- там об/мин
|
Тягово-экономические
показатели трактора
|
|
|
|
|
|
км/ч
|
кВт
|
г/кВт
|
кВт
|
|
|
|
|
|
|
|
|
|
|
Расчё-
ный
|
Прове-
рочный
|
|
1
|
1200
1400 1650 1700 1774
|
12354,17
12244,4 11631,04 645651 0
|
9091,67
8981,9 8368,54 3194,01 0
|
0,14
0,139 0,132 0,073 0
|
4,72
5,51 6,55 7,20 8,11
|
11,92
13,75 15,23 6,39 0
|
332
334 353 579 -
|
21,63
25,01 28 16 0
|
0,551
0,590 0,543 0,399 -
|
0,551
0,590 0,543 0,399 -
|
|
2
|
1200
1400 1650 1700 1774
|
11389
11287.82 10722,38 5952,09 0
|
8125,5
8025,32 7459,88 2689,59 0
|
0,129
0,128 0,122 0,068 0
|
5,18
6,052 7,19 7,87 8,8
|
11,69
13,49 14,9 5,88 0
|
339
340 361 629 -
|
21,63
25,01 28 16 0
|
0,541
0,539 0,532 0,367 -
|
0,541
0,539 0,532 0,367 -
|
|
3
|
1200
1400 1650 1700 1774
|
10478,74
10382,64 9865,38 5476,37 0
|
7216,24
7123,14 6602,88 2213,87 0
|
0,119
0,118 0,112 0,062 0
|
5,7
6,66 7,89 8,59 9,56
|
11,43
13,18 14,47 5,28 0
|
346
348 372 756 -
|
21,63
25,01 28 16 0
|
0,528
0,526 0,517 0,33 -
|
0,528
0,526 0,517 0,33 -
|
|
4
|
1200
1400 1650 1700 1774
|
9612,74
9527,33 9050,07 5023,78 0
|
6350,24
6264,83 5787,57 1761,28 0
|
0,109
0,108 0,103 0,057 0
|
6,28
7,34 8,7 9,42 10,42
|
11,078
12,77 13,99 4,61 0
|
358
359 385 803 -
|
21,63
25,01 28 16 0
|
0,512
0,511 0,499 0,288 -
|
0,512
0,511 0,499 0,288 -
|
Построение теоретической тяговой характеристики
начинается с нанесения на лист осей координат: с повёрнутой осью координат вниз
и с осью координат, направленной вверх. Затем на общей оси абсцисс откладывается
для каждой передачи максимальная Pкmax
и номинальная Pкн касательные силы
тяги, выбираемые из таблицы.
Учитывая, что касательная сила тяги трактора
прямо пропорциональна крутящему моменту двигателя, по оси абсцисс от точки О
для каждой заданной передачи в принятом масштабе наносятся крутящие моменты
и
.
Соответственно касательным силам тяги Pкmax
и Pкн через точки
и
проводим
вертикали.
Затем по оси ординат вниз наносятся масштабные
шкалы технико-экономических показателей Ne,
GT и ne
с таким расчётом чтобы графики( Ne,
GT,ne)=f(Me)
в регуляторной зоне не пересекались. При этом образуются пучки кривых: кривые Ne
с общим центром в точке О/, кривые GT
с общим центром в точке GTхх=(0,25…0,30)
GTmax=0,28 и кривые ne
с общим центром nхх=(1+δl)×neн.
Точки перегиба ,вершины кривых всех показателей регуляторной характеристики
двигателя, должны находится на горизонтальных прямых Neн=
Neнmax,
neн, GTmax
и по вертикали соответствовать номинальным крутящим моментам Meн
на соответствующих передачах.
Кривые Ne,
GT и ne
расположенные в координатной зоне в пределах от
до
на
данной передаче, стремятся по расчётным точкам регуляторной характеристики
двигателя, а в зоне действия регулятора в пределах от О до Mен
эти показатели изображаются прямыми линиями.
Определяем величину силы сопротивления качения Pf=f×G
и откладывая по оси абсцисс вправо от точки О/ получают начало координат
непосредственно тяговой характеристики трактора. По оси абсцисс в масштабе
касательной силы от точки О откладывается тяговое усилие на крюке Pкр
, а по оси ординат вверх изображаются в своих масштабах тягово-экономические
показатели трактора: буксование движителей
,действительные
скорости движения
,тяговые мощности
на крюке
,
тяговый КПД
и удельный
крюковой расход топлива
на заданных
передачах.
Точность построения всех кривых на теоретической
тяговой характеристике зависит от числа выбранных расчётных точек «i»
по оборотам двигателя nei.
3.13 Расчет мощностного баланса трактора
После построения теоретической тяговой
характеристики трактора составляется баланс мощности трактора для
установившегося движения, пологая α = 0, j
= 0, Nm = 0, Nпр
= 0.
Уравнение баланса в этом случая примет вид:
= Nтр
+ Nδi+ Nfi +
Nkri, кВт
где Nтр
- мощность затрачиваемая на преодоление механических потерь в трансмиссии,
определяется по формуле:
тр = Nln(1
- ηтр) = 25·(1 - 0,87)
= 3,25 квт
Nδ
i - мощность, затрачиваемая
на преодоление буксования ведущих движителей определяется по формуле:
Nδ
i = δi·Nk
= δi·ηтр·
Nln, кВт
- мощность, подводимая к ведущим движителям,
кВт
Nfi - мощность,
затрачиваемая на самопередвижение трактора определяется по формуле:
Для наглядного представления
мощностного баланса строим потенциальную тяговую характеристику трактора при
условии, что трактор имеет бесступенчатую трансмиссию, которая позволяет всегда
загружать двигатель на номинальную мощность благодаря автоматическому изменению
скорости движения в соответствии с изменением тягового усилия.
Расчётные данные для построения потенциальной
тяговой характеристики заносят в таблицу.
|
Расчетные
точки по тяговому усилию Pki,
кН
|
Показатели
трактора
|
|
Nln, кВт
|
Nтр, кВт
|
Ркр,
кН
|
δi,
%
|
N δi,
кВт
|
Vi, км/м
|
Nfi, кВт
|
Nkpi, кВт
|
|
|
9,09
|
25
|
3,25
|
12,35
|
0,14
|
3,41
|
7,1
|
5,53
|
15,42
|
0,55
|
|
8
|
25
|
3,25
|
11,26
|
0,13
|
3,17
|
7,79
|
6,14
|
15,05
|
0,54
|
|
6
|
25
|
3,25
|
9,26
|
0,11
|
2,68
|
9,47
|
7,64
|
14,04
|
0,501
|
|
4
|
25
|
3,25
|
7,26
|
0,08
|
1,95
|
12,08
|
10,07
|
12,34
|
0,441
|
|
2
|
25
|
3,25
|
5,26
|
0,05
|
1,46
|
16,67
|
14,20
|
8,7
|
0,311
|
|
0
|
25
|
3,25
|
3,26
|
0,04
|
0,97
|
26,9
|
0
|
0
|
|
|
|
|
|
|
|
|
|
|
|
|
|
|
|
|
|
|
|
.14 Построение потенциальной тяговой
характеристики трактора с бесступенчатой трансмиссией
На оси абсцисс графика откладываем в выбранном
масштабе значение Ркрi
тяговых усилий на крюке в диапазоне от 0 до Рkmax.
Число расчетных точек «i»
принимаем не менее 6. Затем строим две вспомогательные кривые - буксирования δi
и коэффициент f - сопротивление
качения. Для этого используют расчётные и справочные данные, соответствующие
рассматриваемому типу трактора и выбранному почвенному фонду. По оси ординат
откладывают отрезок изображающий в выбранном масштабе номинальную мощность Nlн
двигателя и через его вершину проводят прямую, параллельную оси абсцисс вниз от
прямой Nlн откладывают
отрезок изображающий в принятом масштабе величину Nтр
и через его конец проводят вторую прямую, параллельную оси абсцисс.
Участок на графике, заключённый между обеими
параллельными прямыми соответствует в масштабе затратам мощности Nтр
в трансмиссии.
Разность отрезков Nlн
и Nтр соответствует
мощности Nк, передаваемой
ведущими движениями передаваемой ведущими движениями.
Используя вспомогательную кривую буксования δi,
определяем по формуле значения Nδi
для ряда точек и откладывают их в виде соответствующих отрезков вниз от прямой Nк.
Соединив затем концы отрезков кривой, получим
участок, ординаты которого соответствуют затратам мощности на буксование по
формуле:
Подсчитав значения теоретической
скорости движения трактора в зависимости от нагрузки на крюке Pкр и по этим
данным строят кривую δ=f(Pкр). Она
нанесена на график сплошной тонкой линией.
Подсчитав по формуле значение δfi для ряда
значений скоростей, откладывают их в виде отрезков вниз от ранее построенных
кривых мощностного баланса и соединяют концы отрезков толстой линией. На
графике получается третий участок, ординаты которого соответствуют затратам
мощности на качение.
Ординаты толсто-очерченной кривой
соответствуют значениям мощности Nкрi для ряда
точек Pкрi. Точность
построения всех кривых на потенциальной тяговой характеристике в которой сумма
мощностей затрачиваемых на буксование Nδi и качения Nfi, имеем
минимальное значение в указанной точке произведение ηδi×ηfi достигает
наибольшего значения.
Литература
1. Китанин
В.Ф., Уханов А.П. «Методические указания к курсовой работе по тракторам и
Автомобилям»; Пенза, «Полиграфист» 1990 г. 95 стр.; ил.
. Тяговые
характеристики сельскохозяйственных тракторов. Альбом справочник. -М.;
Россельхозиздат, 1979 г.