|
Порядковый номер в ранжированной
последовательности
|
Показатель технологичности
|
φi
|
|
1
|
Коэффициент применяемости
(использования) микросхем и микросборок
|
1
|
|
2
|
Коэффициент автоматизации и
механизации подготовки ЭРЭ к монтажу
|
1
|
|
3
|
Коэффициент механизации и
автоматизации сборки и монтажа ЭРЭ на ПП
|
0,75
|
|
4
|
Коэффициент повторяемости
компонентов (унификации конструкции изделия)
|
0,5
|
|
5
|
Коэффициент применяемости
компонентов (стандартизации конструкции изделия)
|
0,3
|
|
6
|
Коэффициент механизации и
автоматизации контроля, регулировки
|
0,2
|
Коэффициент механизации и автоматизации
подготовки ЭРЭ к монтажу:
, (3)
где Nп.ма - количество ЭРЭ, подготовка которых к
монтажу может осуществляться на предприятии-изготовителе имеющимися средствами
механизации и автоматизации; Nп - общее количество ЭРЭ в изделии, которые
должны подготавливаться к монтажу.
Коэффициент механизации и автоматизации сборки и
монтажа ЭРЭ на печатную плату:
(4)
где Nэрэ.ма - количество навесных ЭРЭ в узле,
устанавливаемых на печатную плату механизированным и автоматизированным
способом; Nэрэ - количество навесных ЭРЭ в узле; N´эрэ
- количество монтажных соединений, которые могут осуществляться или
осуществляются механизированным или автоматизированным способом
(N´эрэ=60);
Коэффициент повторяемости компонентов
(унификации конструкции изделия):
(5)
где
общее
количество типоразмеров составных частей изделия;
общее количество
составных частей изделия.
(Кн = 0,8)
Коэффициент применяемости компонентов
(стандартизации конструкции изделия):
(6)
где
количество
типоразмерных оригинальных составных частей изделия;
общее
количество типоразмерных составных частей изделия.
Коэффициент механизации и автоматизации
контроля, регулировки:
(7)
где
количество
операции контроля и регулировки, которые можно осуществить механизированным или
автоматизированным способом;
общее количество
операций контроля и регулировки.
Исходя из полученных данных, комплексный
показатель технологичности будет равен:
Комплексный показатель технологичности Кн,
равный 0.95, соответствует серийному производству (Кн=0,5...0,8) и
свидетельствует о высокой технологичности изделия.
.3 Оценка подготовленности изделия к
автоматизированному производству
В основу методики, позволяющей оценить
возможность автоматизации производства, положен принцип поэлементного анализа
конструкции изделия по классификатору конструктивно технологических признаков с
точки зрения возможности и технической целесообразности автоматического
выполнения дискретных операций ориентации деталей в пространстве и во времени,
подачи их в рабочие органы, базирования (установки) в рабочей позиции, съёма,
послеоперационного транспортирования. При этом предполагается, что
автоматическое выполнение непосредственного соединения обосновано и оправдано.
Согласно классификатору присвоим каждому
элементу конструкции коды и сведём их в таблицу 2:
Таблица 2
Таблица кодов и категории сложности
|
Наименование
|
Кол-во элементов,
|
Код
|
Сумма баллов,
|
|
Категория сложности,
|
|
Печатная плата
|
1
|
60008070
|
21
|
21
|
3
|
|
Наименование
|
Кол-во элементов,
|
Код
|
Сумма баллов,
|
|
Категория сложности,
|
|
Диод Д223
|
7
|
20006070
|
6
|
6
|
1
|
|
Конденсатор К50-6 25В 50 мкф
|
2
|
40005060
|
15
|
45
|
2
|
|
Конденсатор К50-6 25В
|
1
|
40004030
|
15
|
15
|
2
|
|
Резистор C2-33-0,125-2кОм
|
2
|
70003000
|
9
|
9
|
1
|
|
Резистор C2-23 -0,125-10кОм
|
2
|
70005060
|
9
|
18
|
1
|
|
Резистор C2-33 -0,125-1,3кОм
|
1
|
70004000
|
9
|
27
|
1
|
|
Резистор C2-33 - 0,25-750Ом
|
1
|
70002090
|
9
|
27
|
1
|
|
Резистор C2-33H-0,125-200Ом
|
1
|
70003090
|
9
|
45
|
1
|
|
Резистор C2-33-0,125-2,2кОм
|
1
|
70004090
|
9
|
9
|
1
|
Таблица кодов и категории сложности
|
Наименование
|
Кол-во элементов,
|
Код
|
Сумма баллов,
|
|
Категория сложности,
|
|
Резистор C2-33 - 0,25-5,1кОм
|
1
|
70005090
|
9
|
9
|
1
|
|
Реле РЭС-9
|
1
|
30007050
|
5
|
10
|
1
|
|
Стабилитрон Д814А
|
1
|
20006070
|
6
|
6
|
1
|
|
Транзистор KT315Б
|
1
|
60003060
|
7
|
14
|
1
|
|
Транзистор KT361Б
|
1
|
60002060
|
7
|
14
|
1
|
|
Транзистор KT603Б
|
2
|
60006060
|
7
|
14
|
1
|
Сложность автоматизации сборки изделия оценивают
по итоговому и среднему значению суммы балов и категорий сложности:
, (8)
(9)
где
сумма
баллов i-ой детали (материального элемента);
категория
сложности i-ой детали;
количество деталей
(материальных элементов), входящих в изделие.
Воспользовавшись выражениями 8, 9, рассчитаем
итоговое и среднее значения суммы баллов и категории сложности изделия:
Так как категория сложности составляет
изделие имеет подготовленность к автоматизации изготовления средней сложности.
Однако рекомендуется экспериментальная проверка принимаемых технических решений
с целью достижения наименьшей сложности автоматизации.
Глава3. РАЗРАБОТКА ТЕХНОЛОГИЧЕСКОГО ПРОЦЕССА
.1 Определение такта выпуска изделия
Такт выпуска рассчитывается по формуле:
(10)
где
действительный
годовой фонд рабочего времени, ч;
годовая
программа выпуска изделия: N=60000шт.
Действительный годовой фонд рабочего времени с
учётом потерь времени на ремонт оборудования составляет:
(11)
где
коэффициент,
учитывающий потери времени на ремонт оборудования: для неавтоматизированной
сборки
,
для автоматизированной
;
номинальный
(календарный) годовой фонд рабочего времени, значение которого при режиме
работы в одну смену, составляет: Fн=2080 часов.
Таким образом, действительный годовой фонд
рабочего времени:
(час) при ручной
сборке,
(час) при
автоматизированной сборке.
Такт выпуска изделия:
(мин/шт.) при
ручной сборке,
(мин/шт.) при
автоматизированной сборке.
.2 Определение штучного времени операций
автоматизированной сборки и соответствующего ей типа производства
Различие ручного и автоматизированного вариантов
сборки заключается в различии способа установки ЭРЭ на плату. Операции
подготовки платы, подготовки ЭРЭ, отмывки и контроля для обоих вариантов
идентичны.
Сборка селектора импульсов базируется на
маршрутно-операционной технологии.
Оперативное время основных автоматизированных
операций помимо времени работы оборудования (tмаш) включает в себя время
ручного труда оператора (tруч), которое при определении оперативного времени,
как правило, суммируется со временем работы оборудования.
Расчет оперативного времени по каждой из
операций:
Операция 1 - Подготовка печатной платы к сборке
Операция 1.1 - Распаковка печатной платы
руч= 0,3 (мин/шт.)
Операция 1.2 - Сушка печатных плат групповая
Сушка осуществляется групповым способом в
сушильном шкафу.

Характеристики сушильного шкафа:
габариты
(LxH), м .....................................2,2х0,9
количество
противней (n), шт. ................10
количество
плат на противне...................30
потребляемая
мощность, кВт ..................8
стоимость
шкафа, руб. ........................... 150000
время
сушки, мин .....................................17.
С учетом габаритов шкафа и размеров печатной
платы при групповом методе одновременно сушится:
где
количество
ПП на противне;
количество
противней.
Время, затрачиваемое автоматом на сушку одной ПП
из группы, составит:
(мин/шт.)
Оперативное время операции 1 (подготовка ПП)
складывается из времени распаковки ПП и времени сушки:
(мин)
Операция 2 - Подготовка ЭРЭ к электромонтажу
(мин)
где
время
подготовки одного ЭРЭ (
мин/эрэ
;
количество
ЭРЭ.
Операция 3 -Вклейка неполяных ЭРЭ
Для операции вклейки неполярных ЭРЭ используется
автомат со следующими характеристиками:
габариты
м,
потребляемая мощность
кВт, стоимость
оборудования
28000 руб., производительность
ЭРЭ/час,
ёмкость ленты
ЭРЭ, время ручной
установки ленты в аппарат
мин/л.
Время работы аппарата над одной лентой вычисляют
по формуле:
час/л
мин/л
.
Тогда время ручного труда и машинной работы,
затраченное на вклейку ЭРЭ (одной платы), можно рассчитать по формулам:
(мин/шт.),
(мин/шт.),
где
количество
неполярных ЭРЭ.
Оперативное время этой операции составит:
(мин).
Операция 4 -Вклейка полярных ЭРЭ
Для операции вклейки полярных ЭРЭ используем
автомат со следующими характеристиками:
габариты
м,
потребляемая мощность
кВт, стоимость
оборудования
руб, производительность
ЭРЭ/час, ёмкость ленты
ЭРЭ, время ручной
установки ленты в аппарат
мин/л.
Время работы аппарата над одной лентой:
т
На ЭРЭ одной платы время ручного и машинного
труда составит:
(мин/шт.),
(мин/шт.),
где
количество
полярных ЭРЭ.
Оперативное время этой операции составит:
(мин).
Операция 5 - Переклейка ЭРЭ по заданной
программе
Для операции переклейки ЭРЭ используем автомат
со следующими характеристиками: габариты
м; потребляемая
мощность
кВт;
стоимость оборудования
руб.;
производительность
ЭРЭ/ч; ёмкость
ленты
ЭРЭ;
время ручной установки ленты в аппарат
мин/л.
Переклейка ЭРЭ по заданной программе задействует
ранее сформированные ленты с вклеенными в них полярными и неполярными
элементами. Поэтому общее количество ЭРЭ составит:
(шт)
где
количество
неполярных ЭРЭ;
количество полярных
ЭРЭ.
При указанной производительности аппарата время
работы оборудования над одной лентой составит:
В этом случае ручное, машинное и операционное
время составят:
(мин/шт.),
(мин/шт.),
(мин).
Операция 6 - Автоматическая установка ЭРЭ
Время подготовительно-заключительного вида
работ, выполняемых вручную, учитывает установку и снятие ПП:
мин/шт.)
и заправку новой ленты с полярными и неполярными
ЭРЭ
.
Заправка новой ленты в автомат происходит на
каждое 15-е изделие:
где
ёмкость
ленты с ЭРЭ;
количество ЭРЭ,
устанавливаемых на ПП автоматически.
Поскольку заправка каждой новой ленты в автомат
требует
мин/л,
то на каждую ПП это время будет распределено по формуле:
(мин/шт.)
где
частота,
с которой происходит замена использованной ленты на новую (единица измерения ПП
[шт.]).
(мин/шт.)
Учитывая продолжительность цикла укладки (
мин), время установки ЭРЭ на ПП автоматом составит:
(мин/шт.),
где
количество
ЭРЭ, устанавливаемых на ПП автоматически.
Оперативное время этой операции составит:
(мин).
Операция 7 - Пайка волной припоя
Время подготовительно-заключительного вида
работ, выполняемых вручную, учитывает установку и снятие ПП с ленты аппарата:
(мин/шт.).
Время, затрачиваемое автоматом на одно изделие
при пайке волной припоя, определяется скоростью движения транспортёра (среднее
значение
м/мин),
длиной ленты транспортёра (
м), расстоянием
между лежащими на нём платами (
м при определяющем
размере платы 62 мм).
Тогда количество ПП, размещающихся группой на
ленте транспортёра составит:
На каждую группу затрачивается:
(мин/гр.)
Время, затрачиваемое автоматом на одно изделие:
(мин/шт.).
Оценив время загрузки ПП в автомат (
мин)
и время пайки одной ПП автоматом (
),
имеем, что
не влияет на
,
поскольку ожидание окончания работы автомата в данном случае не требуется.
Тогда оперативное время этой операции составит:
(мин).
Операция 8 - Отмывка узлов
Время подготовительно-заключительного вида
работ, выполняемых вручную, учитывает загрузку и выгрузку ПП из рабочей зоны:
(мин/шт.).
При расчёте времени, затрачиваемом на одно
изделие, надо учесть скорость отмывки автомата
м2
/час =
м2
/мин) и коэффициент заполнения рабочей зоны платами (
).
Площадь ПП:
(м2).
При групповом размещении в рабочей зоне количество
ПП, которое один рабочий способен загрузить в рабочую зону автомата за одну
минуту, составляет:
(шт./мин).
Количество ПП, которое автомат способен отмыть в
своей рабочей зоне за одну минуту, составляет:
(шт./мин).
Оценив
и
,
становится очевидным, что человек загружает ручную зону автомата печатными
платами несколько медленнее, чем тот способен отработать, а значит, оперативное
время будет зависеть только от ручного труда:
(мин).
Операция 9 - Контроль
(мин).
Штучное время при сборке определяется по
следующей формуле:
(12)
где
оперативное
время;
коэффициент,
учитывающий категорию сложности РЭС и тип произдства (
0,75);
коэффициент,
учитывающий время на организационно-техническое обслуживание рабочего места,
отдых и личные надобности рабочего.
Значение К2 берут по нормативам в зависимости от
условий выполнения операции (К2 = 3...10,5%, задаем К2 = 7%).
Оперативное время определяют по нормативам,
представляющим собой продолжительность выполнения отдельных элементов работы.
Результаты расчёта оперативного времени операций
автоматизированной сборки сведены таблицу 3.
Таблица 3
Расчет оперативного времени операций
автоматической сборки
|
№ операции
|
Операция
|
tруч, мин
|
tмаш, мин
|
tоп, мин
|
|
1
|
Подготовка ПП:
|
|
|
0,36
|
|
1.1
|
Распаковка ПП
|
0,3
|
|
|
|
1.2
|
Сушка ПП групповая в сушильном
шкафу
|
|
0,06
|
|
|
2
|
Подготовка ЭРЭ
|
|
|
|
|
3
|
Вклейка неполярных ЭРЭ
|
0,11
|
0,66
|
0,77
|
|
4
|
Вклейка полярных ЭРЭ
|
0,14
|
0,18
|
0,32
|
|
5
|
Переклейка ЭРЭ по заданной
программе
|
0,25
|
1,25
|
1,5
|
|
6
|
Автоматическая установка ЭРЭ
|
0,55
|
0,25
|
0,8
|
|
№ операции
|
Операция
|
tруч, мин
|
tмаш, мин
|
tоп, мин
|
|
|
7
|
Пайка волной припоя
|
0,3
|
(0,04)
|
0,35
|
|
|
8
|
Отмывка
|
0,3
|
|
0,3
|
|
|
9
|
Контроль
|
|
|
1,5
|
|
|
Итого:
|
|
|
9,9
|
|
|
|
|
|
|
|
|
В итоге таблицы 4 суммарное оперативное время
мин,
тогда штучное время составит:
(мин).
Среднее операционное время:
, (13)
где
количество
операций (
).
В нашем случае
(мин/шт).
Согласно ГОСТ 14.004-74 ЕСТПП тип производства
характеризуется коэффициентом закрепления операции:
(14)
где
такт
выпуска изделия при автоматической сборке (
мин/шт.);
среднее штучное
время при автоматической сборке.
Полученный коэффициент (
)
больше 1, но меньше 10, что относит рассматриваемый технологический процесс
сборки к крупносерийному производству. [1]
.3 Определение штучного времени операций ручной
сборки и соответствующего ей типа производства
Результаты расчёта оперативного времени операций
ручной сборки сведены таблицу 4:
Таблица 4
Расчёт оперативного времени операций ручной
сборки
|
№ операции
|
Операция
|
мин
|
мин
|
мин
|
|
1
|
Подготовка ПП:
|
|
|
0,36
|
|
1.1
|
Распаковка ПП
|
0,3
|
|
|
|
1.2
|
Сушка ПП групповая в сушильном
шкафу
|
|
0,06
|
|
|
2
|
Подготовка ЭРЭ
|
|
|
4
|
|
3
|
Ручная установка ЭРЭ
|
|
|
5,52
|
|
4
|
Пайка волной припоя
|
0,3
|
(0,07)
|
0,35
|
|
5
|
Отмывка
|
0,3
|
|
0,3
|
|
6
|
Контроль
|
|
|
1,5
|
|
Итого:
|
|
|
12,03
|
Операция 1 - Подготовка печатных плат(аналогично
Операции 1 по п. 2.2)
Операция 2 - Подготовка ЭРЭ(аналогично Операции
2 по п. 2.2)
Операция 3- Ручная установка ЭРЭ
(мин)
где
время
ручной установки одного ЭРЭ (
мин/ЭРЭ);
количество ЭРЭ,
устанавливаемых вручную.
Операция 4- Пайка волной припоя(аналогично
Операции 8 по п. 2.2)
Операция 5- Отмывка узлов(аналогично Операции 9
по п. 2.2)
Операция 6- Контроль(аналогично Операции 10 по
п. 2.2)
В итоге таблицы 5 получаем 16,16 мин.
Штучное время при ручной сборке составит:
), мин
Где
оперативное
время;
коэффициент,
учитывающий категорию сложности РЭС и тип производства (
);
коэффициент,
учитывающий время на организационно-техническое обслуживание рабочего места,
отдых и личные надобности рабочего (
).
)=12,97 (мин),
Среднее операционное время рассчитаем по
формуле:
(мин/шт.).
где
количество
операций (
).
Для определения типа производства рассчитаем
коэффициент закрепления операций при ручной сборке:
где
такт
выпуска изделия при ручной сборке (
2,038
мин/шт.);
среднее штучное
время при ручной сборке.
Полученный коэффициент (
)
больше 1, но меньше 10, что относит рассматриваемый технологический процесс
сборки к крупносерийному производству. [1]
Примечание [1]:
Различают три типа производства: единичное,
серийное, массовое.
Единичное производство характеризуется малым объемом
выпуска одинаковых изделий, повторное изготовление и ремонт которых, как
правило, не предусматриваются. Коэффициент закрепления операций (КЗО) для
единичного производства обычно выше 40.
Серийное производство характеризуется
изготовлением или ремонтом изделий периодически повторяющимися партиями. В
зависимости от количества изделий в партии или серии и значения КЗО различают
мелкосерийное, среднесерийное и крупносерийное производство.
Для мелкосерийного производства КЗО составляет
от 21 до 40 (включительно), для среднесерийного производства - от 11 до 20
(включительно), для крупносерийного производства - от 1 до 10 (включительно).
Массовое производство характеризуется большим
объемом выпуска изделий, непрерывно изготовляемых или ремонтируемых продолжительное
время, в течение которого на большинстве рабочих мест выполняется одна рабочая
операция. Коэффициент закрепления операций для массового производства принимают
равным 1.
.4 Организация рабочих мест при
автоматизированной и ручной сборках
Количество работников на одном рабочем месте
(операции) можно определить, исходя из трудоёмкости операции и ритма выпуска
продукции:
(15)
где
-
трудоемкость 1-й операции (для автоматизированной или ручной сборки); R - ритм
выпуска продукции (для автоматизированной: R=1,955 мин/шт.; для ручной сборки:
R=2,038 мин/шт.).
Результаты расчёта для автоматизированной сборки
сведены в таблицу 5.
Таблица 5
Количество рабочих на технологических операциях
|
№ операции
|
Операция
|
мин
|
|
|
1
|
Подготовка ПП (распаковка ПП,
сушка ПП)
|
0,36
|
0,18
|
|
2
|
Подготовка ЭРЭ
|
4
|
2,04
|
|
3
|
Вклейка неполярных ЭРЭ
|
0,77
|
0,39
|
|
4
|
Вклейка полярных ЭРЭ
|
0,32
|
0,16
|
|
5
|
Переклейка ЭРЭ по заданной
программе
|
1,5
|
0,76
|
|
№ операции
|
Операция
|
мин
|
|
|
6
|
Автоматическая установка ЭРЭ
|
0,8
|
0,4
|
|
7
|
Пайка волной припоя
|
0,35
|
0,17
|
|
8
|
Отмывка
|
0,3
|
0,15
|
|
9
|
Контроль
|
1,5
|
0,76
|
|
Итог:
|
9,9
|
5,01
|
|
|
|
|
|
Для выполнения основных операций
технологического процесса автоматизированной сборки потребуется:
(чел.) (16)
Результаты расчёта для ручной сборки сведены в
таблицу 6.
Таблица 6
Количество рабочих на технологических операциях
|
№ операции
|
Операция
|
мин
|
|
|
1
|
Подготовка ПП (распаковка ПП,
сушка ПП)
|
0,36
|
0,17
|
|
2
|
Подготовка ЭРЭ
|
4
|
1,96
|
|
3
|
Ручная установка ЭРЭ
|
5,52
|
2,7
|
|
4
|
Пайка волной припоя
|
0,35
|
0,17
|
|
5
|
Отмывка
|
0,3
|
0,14
|
|
6
|
Контроль
|
1,5
|
0,73
|
|
Итог:
|
12,03
|
5,87
|
Для выполнения основных операций
технологического процесса ручной сборки потребуется:
(чел.) (17)
Для выполнения основных операций при ручной
сборке требуется большее число рабочих , чем при автоматизированной.
4. КОМПАНОВКА УСТРОЙСТВА
.1 Анализ конструкции печатной платы
Печатная плата является конструктивной основой
типового элемента замены. На ней крепятся все необходимые элементы и детали,
соединяемые между собой печатными проводниками.
При конструировании печатной платы определяются
ее конфигурация и габаритные размеры, осуществляются рациональное размещение
элементов и трассировка соединений между ними, разрабатывается конструкторская
документация. При этом следует руководствоваться ГОСТ 10.317-79 «Печатные
платы. Основные размеры», ГОСТ Р 53429-2009 «Платы печатные. Основные параметры
конструкции». Чертежи на печатные платы должны выполняться по ГОСТ 2.417-78.
Выбор и обоснование способа изготовления
печатной платы
В зависимости от назначения и от возможности
производства печатные платы выполняют односторонними, двусторонними или
многослойными, на жестком или гибком основании.
Основные технологические принципы изготовления
печатных плат:
субстрактивный
аддитивный
комбинированный или полуаддитивный, сочетающий
преимущества субстрактивного и аддитивного методов.
В данном курсовом проекте применена однослойная
печатная плата, изготовленная комбинированным методом, который позволяет
полностью автоматизировать процесс изготовления, обладает высокой
производительностью и низкой себестоимостью.
Для изготовления плат по полуаддитивной
технологии используются фольгированные диэлектрики. Однако есть существенная
разница: при производстве полуаддитивным методом толщина применяемой фольги
значительно меньше (в современных технологических процессах изготовления ПП с
применением полуаддитивных методов используется фольга толщиной 18 мкм, 12 мкм,
9 мкм и 5 мкм).
Преимущества комбинированного позитивного
метода:
возможность создания элементов печатного рисунка
с высокой точностью. При использовании фольги толщиной 9 мкм достижимая степень
разрешения проводников и зазоров между ними - 75 мкм;
практически на всех этапах техпроцесса фольга
защищает диэлектрическое основание от воздействия технологических растворов.
Этим достигается высокое качество поверхности диэлектрика и, как следствие,
высокая надежность изоляции;
хорошая адгезия (прочность сцепления) элементов
печатного рисунка и диэлектрического основания платы.
Недостатки комбинированного позитивного метода:
наличие операций травления приводит к
возникновению бокового подтрава проводников. Это ограничивает разрешающую
способность процесса;
травление рисунка по металлорезисту ограничивает
свободу выбора травящих растворов, что влечет за собой рост стоимости
изготовления по сравнению с применением типовых субтрактивных методов.
Чертеж печатной платы выполняют на бумаге
имеющей координатную сетку, нанесённую с определённым шагом. Наличие сетки
позволяет не ставить на чертеже размеры на все элементы печатного проводника.
Координатная сетка нанесена на чертёж с шагом 2,5 мм. Центры монтажных и
переходных отверстий расположены в узлах (точках пересечений линий)
координатной сетки.
Диаметр отверстий в печатной плате на 0,1 мм
больше диаметра вставляемого в него вывода, что обеспечит возможность свободной
установки электрорадиоэлемента.
Диаметр металлизированного отверстия зависит от
диаметра вставляемого в него вывода и от толщины платы. Диаметр
металлизированного отверстия должен составлять не менее половины толщины платы.
Отверстия на плате нужно располагать таким
образом, чтобы расстояние между краями отверстий было не меньше толщины платы.
В противном случае перемычка между отверстиями не будет иметь достаточной
механической прочности.
Печатные проводники рекомендуется выполнять
прямоугольной конфигурации, располагая их параллельно линиям координатной
сетки.
Проводники на всём их протяжении должны иметь
одинаковую ширину. Если один или несколько проводников проходят через узкое
место, ширина проводников может быть уменьшена. При этом длинна участка, на
котором уменьшена ширина, должна быть минимальной.
Если проводник проходит в узком месте между
двумя отверстиями, то нужно прокладывать его так, чтобы он был перпендикулярен
линии, соединяющей центры отверстий. При этом можно обеспечить максимальную
ширину проводников и максимальное расстояние между ними.
Кроме перечисленных данных в технических
требованиях чертежа должны быть указаны:
а) метод изготовления платы;
б) номер ГОСТа или ТУ, которым должна
соответствовать плата;
в) шаг координатной сетки;
г) предельное отклонение расстояний между
центрами отверстий (кроме оговоренных особо на чертеже);
д) суммарная площадь металлизации платы;
е) указания о гальваническом покрытии
проводников печатной платы;
ж) материал маркировки ПП.
Размеры на чертеже печатной платы указывают
одним из следующих способов: с помощью размерных и выносных линий; нанесением
координатной сетки в прямоугольной или в полярной системе координат;
комбинированным способом.
При задании размеров координатной сетки её линии
нумеруют.
Проводники шириной более 2,5 мм можно изображать
двумя линиями, при этом, если они совпадают с линиями координатной сетки,
числовое значение ширины на чертеже не указывают. Отдельные элементы рисунка
печатной платы можно выделять штриховкой, чернением.
Круглые отверстия, имеющие зенковку, и круглые
контактные площадки с круглыми отверстиями изображают одной окружностью.
.2 Обоснование компоновки печатной платы
Компоновка печатной платы - это процесс, при
котором находят оптимальное размещение навесных элементов на печатной плате.
Компоновку обычно выполняют с помощью шаблонов
элементов, устанавливаемых на плате, изготовленных из бумаги или из другого
материала. Шаблоны выполняют в том же масштабе, в котором оформлялся чертёж
печатной платы. Эти шаблоны размещают на листе бумаги или другого материала с
нанесённой координатной сеткой и ищут такое расположение элементов, при котором
длина соединяющих их проводников минимальна.
В результате компоновки находят положение
контактных площадок для подключения всех элементов.
Печатную плату с установленными на ней
электрорадиоэлементами называют печатным узлом.
При размещении ЭРЭ на печатной плате необходимо
учитывать следующее:
‒полупроводниковые приборы и микросхемы не
следует располагать близко к элементам, выделяющим большое количество теплоты,
‒должна быть предусмотрена возможность
конвекции воздуха в зоне расположения элементов, выделяющих большое количество
теплоты;
‒должна быть предусмотрена возможность
лёгкого доступа к элементам, которые подбирают при регулировании схемы.
Так как печатные платы имеют малые расстояния
между проводниками, то воздействие влаги может привести к таким ухудшениям
сопротивлениям изоляции, при которых будет нарушаться нормальная работа схемы.
Поэтому печатные узлы, которые будут работать в сложных климатических условиях,
необходимо покрывать слоем лака.
Используемые для этого лаки должны иметь
следующие свойства:
а) хорошую адгезию к материалу платы и печатным
проводникам;
б) малую влагопоглощаемость;
в) большое сопротивление изоляции;
г) способность быстро высыхать при невысокой
плюсовой температуре;
д) отсутствие растрескивания в диапазоне рабочих
температур.
Вариант конструкции печатной платы, исходя из
того, что изделие будет содержать одну плату прямоугольной формы, показан на
рисунке 3.
Рисунок 3 - Конструкция печатной платы, S1’ -
зоны крепления; S2, S2’ - зоны коммутации и контроля;- функциональная зона.
Плата расположена в корпусе горизонтально и
закреплена в 4-х точках винтами. Диаметр 2,5. Корпус изготовлен из ударопрочной
пластмассы.
.3 Выбор материала ПП
В качестве материала для изготовления печатной
платы выбираем фольгированный с одной стороны стеклотекстолит, как наиболее
технологичный, хорошо обрабатываемый и один из наиболее дешевых материалов,
обладающий удовлетворительными электроизоляционными свойствами, марки
СФ-2-35-1,5.
Фольгированные материалы должны соответствовать
требованиям ГОСТ 10316-78 «Гетинакс и стеклотекстолит фольгированные.
Технические условия». Стандарт устанавливает требования к фольгированным
материалам, изготавливаемым для нужд производства и для поставок на экспорт.
Характеристики стеклотекстолита марки
СФ-2-35-1,5 представлены в таблице 7.
Таблица 7
Характеристики стеклотекстолита
|
Наименование показателей
|
Норма для классов точности
|
|
1
|
2
|
|
1. Поверхностное электрическое
сопротивление, Ом, не менее, после кондиционирования в условиях: а)
96ч/40°С/93%* б) 1ч/100°С/<20%
|
5,0·1010 1,0·109
|
5,0·1010 1,0·109
|
|
2. Удельное объёмное электрическое
сопротивление, Ом·м, не менее, после кондиционирования в условиях: а)
96ч/40°С/93%* б) 1ч/100°С/<20%
|
5·109 1,0·109
|
5·109 1,0·109
|
|
3. Тангенс угла диэлектрических
потерь при частоте 1 МГц после кондиционирования в условиях: 96ч/40°С/93%, не
более
|
0,035
|
0,035
|
|
Наименование показателей
|
Норма для классов точности
|
|
1
|
2
|
|
4. Диэлектрическая проницаемость
при частоте 1 МГц после кондиционирования в условиях: 96ч/40°С/93%, не более
|
5,5
|
5,5
|
|
5. Водопоглощение, мг, не более,
при толщине, 1,5 мм
|
20
|
20
|
|
6. Прочность на отрыв контактной
площадки, Н, не менее
|
60
|
60
|
Измерения проводят в условиях комнатной среды,
при этом время с момента извлечения образцов из камеры влажности до окончания
измерения не должно быть более 3 мин.
Стеклотекстолит СФ-2-35-1,5 представляет собой
ткань из стеклянного волокна, пропитанного термореактивными связующими и
облицованного с двух сторон гальвано стойкой фольгой толщиной 35 мкм.
Предельно допустимая рабочая температура
стеклотекстолита в виде печатной платы составляет до плюс 850С. Кроме того, этот
материал допускает воздействие температуры до минус 600С.
Смонтированную печатную плату устройства крепим
в корпусе на 4-х винтах М2,5 ГОСТ 1491/DIN 84.
.4 Технические требования к проектированию ПП
Согласно ГОСТ Р 53429-2009 «Платы печатные.
Основные параметры конструкции» установлены семь классов точности печатных плат
в зависимости от совокупности применяемых размеров и предельных отклонений
элементов конструкции. Классы точности и соответствующие им предельные
отклонения элементов конструкции представлены в таблице 8.
Таблица 8
Наименьшие номинальные размеры элементов
проводящего рисунка печатных плат в зависимости от класса точности
|
Наименование параметра
|
Наименьшие номинальные значения
параметров для класса точности, мм
|
|
1
|
2
|
3
|
4
|
5
|
6
|
7
|
|
Ширина проводника (t)
|
0,75
|
0,45
|
0,25
|
0,15
|
0,10
|
0,075
|
0,050
|
|
Расстояние между проводниками(S)
|
0,75
|
0,45
|
0,25
|
0,15
|
0,10
|
0,075
|
0,050
|
|
Гарантийный поясок контактной
площадки (b)
|
0,30
|
0,20
|
0,10
|
0,05
|
0,025
|
0,020
|
0,015
|
|
Отношение номинального диаметра
металлизированного отверстия к толщине платы (γ)
|
0,40
|
0,40
|
0,33
|
0,25
|
0,20
|
0,15
|
0,10
|
Размеры каждой из сторон печатной платы должны
быть кратными: 2,5 мм - при длине до 100 мм включительно (в курсовом проекте
размер ПП 70х70 мм).
Принимаем для проектируемого изделия класс точности
печатной платы 3.
.5 Минимальный диаметр контактной площадки
Согласно ГОСТ Р 53429-2009 «Платы печатные.
Основные параметры конструкции» (таблицы 1...4) 3-й класс точности ПП
характеризуется следующими параметрами:
минимальное значение ширины проводника t=0,25
мм;
номинальное расстояние между проводниками S=0,25
мм;
отношение номинального диаметра отверстия к
толщине платы γ =0,33;
- предельное отклонение диаметра отверстия (при
диаметре отверстия от 0,3 до 1,0 мм включительно) ∆d=±0,05 мм;
допуск на ширину проводника ±0,10 мм;
допуск на расположение осей отверстий (при
размере большей стороны ПП до 180 мм включительно) ±0,08 мм.
Проводим расчёт диаметра контактной площадки для
3-го класса точности ПП. Расчёт осуществляется для каждого элемента в отдельности
по формуле:
) D = d + 2B + c = 0.6 + 2 · 0.15 + 0.5 = 1.4
) D = d + 2B + c = 0.8 + 2 · 0.15 + 0.5 = 1.6
) D = d + 2B + c = 1.3 + 2 · 0.15 + 0.5 = 2.1
где d - номинальное значение диаметра отверстия,
мм (для всех ЭРЭ диаметр отверстий равен 0,8 мм); b - гарантийный поясок, мм
(0,10 мм
.6 Расчёт габаритов ПП
Для расчета габаритов ПП необходимо знать
количество и габариты устанавливаемых ЭРЭ. Количество ЭРЭ установлено схемой
устройства и представлено в спецификации. Габариты и массу ЭРЭ находим по
справочникам для радиолюбителей.
Указанные данные сведены в таблицу 9.
Таблица 9
Некоторые характеристики и размеры РЭА
|
Типы элементов
|
Размеры, мм
|
Количество элементов, шт.
|
|
1 Диоды Д223
|
12,0 4,0
|
7
|
|
2 Конденсаторы К50-6
|
12,0 8,0
|
3
|
|
3 Стабилитрон Д814А
|
15,0 7,0
|
1
|
|
Типы элементов
|
Размеры, мм
|
Количество элементов, шт.
|
|
3 Резисторы C2-33
|
6,0×2,2
|
9
|
|
4 Реле РЭС-9
|
26,0×21,3
|
1
|
|
5 Транзисторы KT315Б KT361Б KT603Б
|
5,0 3,0
5,0 3,0
8,0 11,7
|
1 1 2
|
. Общая площадь, занимаемая элементами на плате,
рассчитывается по формуле 3:
ЭЛ. = SVD+ SC +SVD+SR+ SK+SVT(3)ЭЛ =(12
4)·
7 + (12
4)
3+
(15 · 7)· 1 + (6 · 2,2)
9 + (26
21,3) ·1+ +(5 ·3)
+ (5 · 3) ·
1 + (8 · 11,7) · 2 = 1474,8(мм2)
Площадь печатной платы рассчитывается по формуле
4:
ПП. = а · в(4)ПП = 62 · 42 = 2604 мм2
.Коэффициент заполнения печатной платы
определяем по формуле 5:
КЗАП =
(5)
КЗАП =
0,56
.7 Расчёт платы на вибропрочность
Так как при совпадении собственных
частот печатной платы с частотами внешних возмущающих воздействий значительно
увеличиваются нагрузки, то необходимо, чтобы собственная частота колебаний
платы находилась вне спектра частот внешних воздействий.
Определение частот собственных
колебаний ведется с учетом характера закрепления печатной платы в модуле.
Печатная плата расположена в корпусе горизонтально и закреплена в 4-х точках.
Схема закрепления показана на рисунке 4.
Рисунок 4 - Схема крепления платы
Данные для расчёта печатной платы=
0,062 м -длина платы= 0,042м -ширина платы= 0,0015м - толщина платы
Материал платы - стеклотекстолит СФ1
- 35Г - 1,5= 1,83
- плотность
стеклотекстолита
Е = 32 · 109
- модуль
Юнга
ξ = 0,22 -
Коэффициент Пуансона
.Определяем соотношение длин сторон
платы
Отношение длин сторон платы
рассчитывается по формуле 6:
β =
(6)
β =
= 1, 476
Коэффициент α зависит от
способа крепления печатной платы
для плат закрепляющихся в 4-х точках
:
Коэффициент α рассчитывается
по формуле 7
α = g · ( 1 + β2
)(7)
α = 9,87 · ( 1 + 1,476 2) = 21,5
Определяем цилиндрическую жесткость пластины
Цилиндрическая жесткость пластины рассчитывается
по формуле 8
D =
(8)=
= 9,46
Определим массу элементов на плате
Типы и массы элементов приведены в
таблице 5
Таблица 10
Типы и масса элементов
|
Тип элементов
|
Масса одного элемента (г)
|
Количество элементов
|
Общая масса (г)
|
|
1 Диоды Д223
|
0,53
|
7
|
3,71
|
|
2 Конденсаторы К50-6
|
1,2
|
3
|
3,6
|
|
3 Резисторы C2-33
|
0,15
|
9
|
1,35
|
|
4 Реле РЭС-9
|
3,5
|
1
|
3,5
|
|
Тип элементов
|
Масса одного элемента (г)
|
Количество элементов
|
Общая масса (г)
|
|
5 Стабилитрон Д814А
|
1,0
|
1
|
1,0
|
|
|
6 Транзисторы KT315Б KT361Б KT603Б
|
0,18 0,3 1,75
|
1 1 2
|
0,18 0,3 0,35
|
|
|
Итого
|
|
|
13,99
|
|
|
|
|
|
|
|
|
|
Общая масса элементов на плате рассчитывается по
формуле 9:ЭЛ = МR+ МC +МVD+МVT+ МDD(9)ЭЛ = 3,71 + 3,6 + 1,35 + 3,5 + 1,0 + 0,18
+ 0,3 + 0,35 = 13,99г =
= 0, 01399(кг)
Масса пластины печатной платы рассчитывается по
формуле 10:
МПП = р · а · b · h (10)
МПП = 1,83 · 0,062 · 0,042 ·
0,0015 =0,00715кг
Определим приведенную площади массу элементов
Приведенная площади масса элементов
рассчитывается по формуле 11:
М =
(11)
М =
10,2
Рассчитаем частоту основного тона
колебаний f, кГц, по формуле
(12)
1838 кГц
Определяем допустимую стрелу прогиба
Допустимая стрела
прогибарассчитывается по формуле 13
δр= δдоп· (
а2 )(13)
гдеа - длинна большой стороны платы
δр = 0,01 · ( 0,062 )2 =
3,84· 10-5 м
где δ = 0,01 согласно
ГОСТ10.317-79.
Определяем реальный прогиб печатной
платы
=
(14)=
101,0
где g =9,8
Рассчитав распределение нагрузки q,
можем рассчитать реальный прогиб печатной платы
δ максимум рассчитывается по
формуле 15:
δмакс=К·
(15)
где b - величина малой стороны платы
δмакс =
2,41·
10-7
где К - коэффициент зависящий от
крепления печатной платы и равный
К = 0,084 для 4-х точечного
крепления.
Так как δр>δmax, то печатная
плата выдержит выбранную перегрузку.
4.8 Расчёт на электромагнитную совместимость
Для оценки электромагнитной устойчивости
проектируемого изделия проверяют емкостную и индуктивную составляющие от
паразитной связи, которые зависят соответственно от паразитной емкости между
печатными проводниками и от паразитной взаимной индуктивности между ними .
Паразитная емкость С, пФ, между 2 печатными
проводниками определяется по формуле
С = Спог. · l1, (16)
где Спог = Кп ·
- погонная
емкость между 2 проводниками;- длина взаимного перекрытия проводников.
ξ’ =
, (17)
где εп -
диэлектрическая проницаемость печатной платы (
= 4.5);
ξb - диэлектрическая проницаемость
воздуха (
=1).
ξ’ =
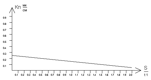
Коэффициент пропорциональности
определяем по графику, приведенному на рисунке 5.
Для плат выполненных по 3 классу
точности, толщина проводников при комбинированном позитивном методе
изготовления 60 мкм, а толщина будет равна S1 =1,5 мм, то Кп будет равно
0,05пф/см.
Рисунок 5 - График зависимости параметров
ОСТ4.Г0.10.009
Рассчитаем Погонная емкость между
двумя проводниками Спог , пФ, по формуле
Спог = Кп ·
= 0,05 ·
2,75 = 0,1375 пФ/см;
При длине взаимного перекрытия
проводников l1 = 2 см рассчитаем паразитную ёмкость по формуле
С = Спог · l1 = 0,1375 · 2 = 0,275
пФ
Паразитная взаимоиндукция между
печатными проводниками М, нГн, определяется по формуле:
М =
, (18)
где t1 - ширина печатного проводника
(0,08 см);- расстояние между проводниками (0,02 см).
М =
= 0,07 нГн
Определим индуктивность печатных
проводников L, мкГн, по формуле
= Lпог ·
(19)
пог - погонная индуктивность,
определяется по графику изображенному на рисунке 20.
Для печатного проводника шириной 0,2
мм погонная индуктивность печатного проводника составит Lпог= 0,0168 мкГн/см
В результате индуктивность печатного
проводника составит:
= 0,0168·2 = 0,033 мкГн
Резонансная частота контура,
образуемая паразитными связями,
рассчитывается по формуле
Полученная частота контура лежит вне
диапазона рабочих частот проектируемого устройства.
5. РАСЧЁТ НАДЁЖНОСТИ
Надежность - свойство изделия выполнять заданные
функции в определенных условиях эксплуатации при сохранении значении основных
параметров в заранее установленных пределах. Надежность зависит от количества
элементов входящих в состав устройства, условий эксплуатации и т.д.
Надежность в зависимости от изделия может
включать в себя такие понятия как: безотказность, ремонтопригодность,
долговечность, сохраняемость и др.
Показатели надежности являются задачей, решение
которой существенным образом зависит от характера изделия, его назначение и
общих требований техническому процессу.
При анализе надежности существенное значение
имеет решение, которое должно быть принято при отказе изделия. Существуют две
основные формы показателей надежности:
Вероятная
Статистическая
Вероятная форма удобнее при априорных анализах
расчета. Статистическая применяется при эксплуатационных формах расчета
надежности изделия. В связи с тем, что изделия разрабатываются вновь, для
расчета надежности применяют вероятную форму, для которой характерны следующие
критерии надежности:
Вероятность безотказной работы в течение
заданного времени Р( t
Среднее время наработки на отказ Т0
Интенсивность отказов λ
( t )
При рассмотрении надежности применяются
следующие допущения:
а) Справедлив экспоненциальный закон надежности.
б) Отказы элементов взаимно независимы.
В этом случае надежность изделия рассчитывается
с учетом таких параметров как коэффициент нагрузки, которая зависит от
назначения радиоустройства. Например для БРА коэффициент нагрузки равен 1, а
для РА установленной в летательных аппарате коэффициент нагрузки равен 10.
При эксплуатационном законе распространение
времени возникновения отказов зависит от внешних воздействующих факторов, при
этом основной количественный характер надежности определяется следующим соотношением
Р( t ) = = е
-
вероятность безотказной работы
Т0 =
- наработка на отказ
Расчет интенсивности отказов
проводиться по формуле 21:
λ ОБЩ =
,(21)
где λi - интенсивность
отказов i элементаколичество этих элементов
м - количество элементов
Проведем расчет интенсивности
отказов проектируемого устройства, с учетом того, что коэффициент нагрузки
входит в интенсивность отказов каждого радиоэлемента.
Таблица 11
Интенсивность отказа радиоэлементов
|
Наименование радиоэлемента
|
Интенсивность отказов λi
(13·10-6
1/час)
|
Количество элементов Ni
|
Интенсивность отказов общее по
каждой группе элементов λi общ
|
|
1 Диоды Д223
|
0,2
|
7
|
1,4
|
|
Наименование радиоэлемента
|
Интенсивность отказов λi(13·10-6
1/час)
|
Количество элементов Ni
|
Интенсивность отказов общее по
каждой группе элементов λi общ
|
|
2 Конденсаторы К-50-6
|
0,035
|
3
|
0,105
|
|
3 Резисторы С2-33
|
0,159
|
9
|
1,431
|
|
4 Реле РЭС-9
|
0,09
|
1
|
0,09
|
|
5 Стабилитрон Д814А
|
0,2
|
1
|
0,2
|
|
6 Транзисторы KT315Б KT361Б KT603Б
|
0,15 0,14 0,16
|
1 1 2
|
0,15 0,14 0,32
|
Итого: 2,8
Расчет общего числа отказов
λ ОБЩ =
(22)
λ ОБЩ = 9,2 ·10-6
Т0 =
(23)
Т0 =
357142 часов
Рассчитаем вероятность безотказной
работы Р(t) и Q(t) для промежутка времени от 0 до 360000 часов
Р= е
(24)
Р1= е
= 0,904 Р6= е
= 0,546
Р3= е
= 0,739 Р8= е
= 0,446
Р4= е
=0,668 Р9= е
= 0,403
Р5= е
= 0,604 Р10= е
=0,364
Определяем вероятность отказа
устройства =1 - P(25)
Q1 =1 - P= 1
- 0,904 = 0,096 Q6 =1 - P= 1 - 0,546 = 0,454 =1 - P= 1 - 0,817 = 0,183 Q7 =1 -
P= 1 - 0,493 = 0,507=1 - P= 1 - 0,739 = 0,261 Q8 =1 - P= 1 - 0,446 = 0,554
Q4 =1 - P= 1 - 0,668 = 0,332 Q9 =1 -
P= 1 - 0,403 = 0,597=1 - P= 1 - 0,604 = 0,392 Q10 =1 - P=1 - 0,364 = 0,636
Рисунок 12 - график вероятности
неисправной работы
6. ВЫБОР ТЕХНОЛОГИЧЕСКОГО ОБОРУДОВАНИЯ,
ПРИМЕНЯЕМОГО ДЛЯ СБОРКИ ПЕЧАТНЫХ ПЛАТ
Выбор производится согласно ГОСТ 14.304-73.
Выбор должен быть основан на анализе затрат на реализацию технологического
процесса в установленный промежуток времени при заданном количестве изделий.
Анализ предусматривает сравнение оборудования отвечающего одинаковыми
требованиями, для этого используется метод весовых параметров сравниваемых типов.
Ранжируются параметры с учетом их важности и значимости. По наибольшей
суммарной взвешенной оценке выбирают лучший тип оборудования.
.1 Выбор оборудования для автоматизированной
подготовки ЭРЭ
Перечень оборудования для автоматизированной
подготовки ЭРЭ приведен в таблице 12.
Таблица 12
Перечень технологического оборудования
|
Тип оборудования
|
АКПР - 1
|
АКПР - 3
|
ЛПМ - 901
|
|
Производительность
|
900
|
0,5
|
100
|
0,4
|
1800
|
0,8
|
|
Габариты ЭРЭ (мм)
|
4...14
|
0,5
|
1,8...14
|
0,7
|
2...7
|
0,5
|
|
Выполняемая операция
|
Лужение, рихтовка, обрезка,
П-образная формовка, флюсование
|
0,7
|
Лужение, рихтовка, П-образная
формовка, флюсование
|
0,6
|
Лужение, обрезка, П-образная
формовка, флюсование
|
0,6
|
|
Потребляемая мощность (кВт)
|
0,5
|
0,5
|
0,6
|
0,4
|
0,4
|
0,7
|
|
Стоимость ($)
|
500
|
0,5
|
700
|
0,4
|
1000
|
0,2
|
Перечень технологического оборудования
|
Тип оборудования
|
АКПР - 1
|
АКПР - 3
|
ЛПМ - 901
|
|
Весовой коэффициент
|
2,5
|
2,7
|
2,8
|
Исходя из анализа технико-экономических
показателей, выбираем установку ЛПМ-901, имеющую наибольший суммарный весовой
коэффициент.
.2 Выбор оборудования, применяемого для
автоматизированной пайки ЭРЭ
Таблица 13
Характеристики установок для пайки волной припоя
|
Тип оборудования Параметры
|
АП-10
|
Telmi
|
Electrovert
|
|
Ширина волны припоя, мм
|
230
|
0,7
|
280
|
0,8
|
300...500
|
1,0
|
|
Точность поддержания высоты припоя
|
±1,5
|
0,3
|
±0,4
|
0,9
|
±0,35
|
1,0
|
|
Высота волны припоя
|
15
|
0,7
|
15
|
0,7
|
13...32
|
1.0
|
|
Время разогрева, мин
|
120
|
1,0
|
120
|
1,0
|
150
|
1,0
|
|
Скорость конвейера, м/ч
|
0,5...3,9
|
0,8
|
0,4...1,5
|
0,5
|
0...6
|
1,0
|
|
Потребляемая мощность, Вт
|
7
|
0,9
|
6
|
1,0
|
6
|
1,0
|
|
Стоимость, $
|
5000
|
1,0
|
15000
|
0,7
|
7000
|
0,8
|
|
Взвешенная оценка
|
5,4
|
5,6
|
6,3
|
Выбираем установку Electrovert, имеющую
наибольше количество баллов
7. ВЫБОР ПРИПОЯ И ФЛЮСА, ПРИМЕНЯЕМЫХ ДЛЯ ПАЙКИ
.1 Выбор припоя
В качестве припоя применяют различные цветные
металлы и сплавы, имеющие более низкую температуру плавления, чем соединяемые
металлы. По температуре плавления все припои делятся на низко-, средне- и
высокотемпературные. Для пайки монтажного соединения применяют преимущественно
низко- и среднетемпературные припои с температурой плавления меньше 450°С.
Основными компонентами этих припоев являются
олово или свинец, к которым для придания специальных свойств могут добавляться
присадки сурьмы, серебра, висмута или кадмия.
В таблице 14 приведены свойства основных марок
припоев.
Таблица 14
Свойства основных марок припоев
|
Припой
|
Температура плавления, 0С
|
Применение
|
|
1. ПОС-40: олово - 40%, свинец -
60%
|
190...238
|
Лужение, пайка проводов, деталей и
т.д.
|
|
2. ПОС-61: олово - 61%, свинец -
39%
|
180...190
|
Лужение, пайка проводов, деталей и
т.д.
|
|
3. ПОСК 50-18: олово - 50%, кадмий
- 18%, висмут - 32%
|
145...147
|
Лужение, пайка ЭРЭ, чувствительных
к температуре
|
|
4. Сплав Розе: олово - 18%, свинец
- 32%, висмут - 50%
|
93...96
|
Лужение, пайка ЭРЭ, чувствительных
к температуре
|
|
Припой
|
Температура плавления, 0С
|
Применение
|
|
5. Сплав Вуда: олово - 9%, кадмий
- 10%, свинец - 41%, висмут - 40%
|
66...70
|
Лужение, пайка ЭРЭ, чувствительных
к температуре
|
Выбор припоя определяется назначением и
конструктивными особенностями изделия, типом основного материала и
технологического покрытия, максимально допустимой температурой пайки ЭРЭ.
К припою предъявляют следующие технические
требования:
Хорошая смачиваемость применяемых материалов.
Малый интервал температур кристаллизации для
исключения появления пор и трещин паяных соединений.
Для осуществления процесса пайки ЭРЭ в основном
применяют припой ПОС-61 по ГОСТ 21 931-76.
.2 Выбор флюса
Выбор флюса производится исходя из требуемой
химической активности, которая должна быть наименьшей в интервале температур,
определяемых температурами плавления припоя и флюса.
Флюс должен быстро и равномерно растекаться по
паяющемуся материалу, хорошо проникать в зазоры и хорошо удаляться из них.
Легко вытеснять расплавленный припой, быть термически стабильным, не вызывать
коррозии паяемых материалов и припоя, не выделять вредных для человека паров.
Для монтажной пайки ЭРЭ используются специальные
флюсы:
. Канифоль сосновая марки А или В
. Флюс ФКСп: содержит 10...60% канифоли
. Флюс ФКТ: состоит из 20% канифоли сосновой
марки А или Б, 2...3% тетрабромида, растворенного в этилацетате, все остальное
- спирт.
. ФКЭТ: 10...60% раствор канифоли
сосновой в этилацетате.
Выбор припоя и флюса производится в соответствии
с отраслевым стандартом ОСТ 4.ГО.033.200.
Выбираем припой ПОС-61 по ГОСТ 21 931-76,
имеющий температуру плавления около 190°С, который рекомендован для пайки и
лужения выводов ЭРЭ. В качестве флюса выбираем 30% раствор спирто-канифольной
смеси марки ФКСп, данный флюс достаточно активен в диапазоне рабочих температур.
8. ВЫБОР ЖИДКОСТИ ДЛЯ ЧИСТКИ ПП
Жидкости предназначены для отмывки изделий от
флюсов после пайки. При выборе очистной жидкости необходимо учитывать остаток,
растворяющую способность, время и условие отмывки, влияние на элементы
конструкции, токсичность и пожароопасность.
Водорастворимые флюсы отмываются в проточной
холодной и горячей воде с использованием мягких щеток. Канифольные флюсы в
процессе индивидуальной пайки промывают этиловым спиртом; при групповой пайке
применяют ультразвуковую очистку щетками со спирто-бензиновой смесью; в
трихлорэтане или хлористом метилене.
Выбранный припой ПОС-61 по ГОСТ 21 931-76 легко
удаляется спиртом или спиртовой смесью, горячей водой, не обладает
коррозионными свойствами, что особенно важно при длительной эксплуатации
изделия.
В качестве очистной жидкости выбираем этиловый
спирт.
9. ВЫБОР МАТЕРИАЛА ЗАЩИТНОГО ПОКРЫТИЯ
Радиоэлектронную аппаратуру используют в
различных климатических условиях, и на надежность её работы оказывают влияние
такие параметры окружающей среды как температура, влажность, наличие пыли.
Для защиты радиоаппаратуры широко применяется
герметизация отдельных элементов сборочных единиц или всего изделия в целом.
Она позволяет стабилизировать процессы, происходящие на поверхности или в
объеме. Основную часть материалов, использующихся для герметизации, составляют
органические полимеры, полистирол и фторопласт, которые обладают высокими
диэлектрическими и механическими свойствами.
По виду герметизирующие полимерные материалы
разделяют на компаунды, лаки и эмали. Пропиточные лаки состоят из
плёнкообразующих веществ (масел, натуральных и синтетических смол) и
растворителей, в которые при необходимости вводят пластификаторы, ускорители
отвердевания (сиккативы), фунгициды (противогрибковые вещества). Наибольшее
распространение для пропитки гетинакса, текстолита и стеклотекстолита получили
алкидно-фенольный лак ФЛ-98, кремнийорганический лак КЛ-835,
полиэфирноэпоксидный лак ПЭ-933 и др.
Компаунды представляют собой смесь, не
содержащую растворителей, на основе полимерных материалов, отвердителей,
наполнителей, пластификаторов, пигментов и других специальных добавок, к
которым относят:
эпоксидные компаунды, применяющиеся для заливки
низко- и высоковольтных трансформаторов, выпрямителей, функциональных блоков;
эпоксиднотиоколовые компаунды 10-200 и 12-200
для заливки линий задержки, импульсных трансформаторов и дросселей, магнитных
матриц ЭВМ;
эпоксидные компаунды на основе
высокомолекулярного каучука (30-317Д, 31-138ДФ);
порошкообразные герметизирующие материалы, к
которым относятся компаунды ЭП-49, ЭПВ-10, ПЭП-177, порошкообразные
таблетированныекомпаунды, а также быстроотвердевающие материалы «премиксы» -
КЭП-2, КФ-1 и др.;
Пенокомпаунды: к этой группе герметизирующих
материалов относятся пенополиуретаны (ПУ-101Т, ППУ-3М-1), вспенивающийся
полистирол (ПСВ), кремнийорганический пенопласт (К-40), пеногерметики на основе
низкомолекулярных кремнийорганических каучуков («Силпен», ВПГ-2), пеноэпоксиды
(ПЭ-9, ПЭН-И-80К) и др.
Также для герметизации широко применяются эмали:
составы, в которые кроме плёнкообразующих веществ, введены частицы наполнителей
и пигментов.
В связи с тем, что аппаратура используется во
всех климатических зонах, в том числе и в зонах с повышенной влажностью, для
защиты от воздействий внешних факторов плату этой аппаратуры предлагается
покрывать защитным лаком, который должен обладать следующими свойствами:
Высокой влагостойкостью.
Эластичностью.
Малыми диэлектрической проницаемости и тангенсом
угла потерь.
Температурной ёмкостью.
Всем перечислимым требованиям соответствует лак
УР-231 по ТУ-10-863-84. Он отличается повышенной эластичностью,
влагостойкостью, является дешевым, обеспечивает достаточную влагозащиту. Лак
наносят на поверхность погружением либо кисточкой в два-три слоя с последующей
сушкой при температуре 18...23°С.
10. КОНТРОЛЬ ПЕЧАТНОЙ ПЛАТЫ
Технический процесс изготовления печатных плат
состоит из большого числа взаимосвязанных операций, при выполнении которых
возникают неучтенные и труднопредсказуемые возмущения приводящие к отклонению
выходных параметров от номинальных
Контроль и испытание печатных плат предназначены
для определения качества изготавливаемых изделий, по которым понимают степень
их соответствия требованиям чертежа, техническим условиям, отраслевых и
государственных стандартов.
На повышения качества влияет:
Входной контроль исходных материалов.
Строгое соблюдение режима и последовательности
операций процесса производства.
Использование автоматизированного
технологического оборудования со встроенными средствами активного контроля.
Проведение испытаний
Организация системы управления качеством
Входному контролю подвергается каждая партия,
поступающая на производство диэлектрика, фоторезиста, трафаретной печатной
краски. Особое внимание уделяется технологическим свойствам материала.
Операционный контроль качества производиться
более ответственно из - за технологических операций, тщательно проверяется
качество фотошаблонов, сетчатых трафаретов, монтажных отверстий межслойных
соединений МПП.
Высокая надежность операционного контроля сводит
число дефектных изделий на минимум при выходном контроле.
Основными видами выходного контроля печатных
плат являются:
Контроль внешнего вида.
Инструментальный контроль геометрических
параметров и степени точности выполнения отдельных элементов.
Определение целостности токопроводящей цепи,
сопротивления изоляции.
При проведении контроля печатных плат могут быть
выявлены такие дефекты как : отслоение элементов печатного монтажа, выход
отверстий за пределы контактных площадок, вздутие, коробление, короткое
замыкание между элементами печатного монтажа, разрыв токопроводящих цепей.
Для контроля печатных плат используют
специальное оборудование, например геометрические характеристики печатных плат
-толщина , диаметр отверстий, расстояние между их центрами, величина их
коробления, габаритные размеры, Смещения отверстий контролируются с помощью
стандартных инструментов, таких как КПП - 1 (РФ), VS/4 (Великобритания).
ЗАКЛЮЧЕНИЕ
В данном курсовом проекте я разработал технологический
процесс сборки печатной платы устройства защиты акустической системы. Была
произведена оценка технологичности конструкции изделия, оценка подготовленности
изделия к автоматизированному производству, определен такт выпуска изделий и
штучное время, при автоматизации штучной сборки и штучное время операций ручной
сборки. Были произведены расчеты печатной платы на вибропрочность,
электромагнитную проницаемость и расчет надежности устройства, а также выбор
технологического оборудования для сборки печатной платы. Благодаря этому
появилась возможность изготовления устройства по разработанному техпроцессу.
СПИСОК ЛИТЕРАТУРЫ
.
Автоматизация производства РПУ. Технология сборки РПУ/ Конспекты лекций..
.
Технология радиоэлектронных устройств и автоматизация производства: Учебник/ А.
П. Достанко, В. Л. Ланин, А. А. Хмыль, Л. П. Ануфриев; Под общ. ред. А. П.
Достанко. − Мн.: Высш. шк., 2002. − 415 с.: ил.
.
Охрана труда: учеб. пособие / А.А. Челноков, Л.Ф. Ющенко.− 2-е изд.,
испр. − Минск: Высш. шк., 2016. − 463 с.
.
Типы, формы и методы организации производства (из книги «Организация
производства и управление предприятием»)
.
Устройства защиты громкоговорителей