Организация и технология строительства автомобильной дороги поточным методом

  • Вид работы:
    Курсовая работа (т)
  • Предмет:
    Строительство
  • Язык:
    Русский
    ,
    Формат файла:
    MS Word
    70,48 Кб
  • Опубликовано:
    2017-04-01
Вы можете узнать стоимость помощи в написании студенческой работы.
Помощь в написании работы, которую точно примут!

Организация и технология строительства автомобильной дороги поточным методом














Курсовой проект

Организация и технология строительства автомобильной дороги поточным методом

Введение

земляной железобетонный строительство дорога

В ходе работы над курсовым проектом нужно сделать следующие разделы:

-     Ведомости объемов работ

-        Организацию работ по строительству сборных железобетонных водопропускных труб

-        Расчет скорости потока

-        Расчет ресурсов для выполнения линейных земляных работ

-        Технологическая карта

-        Проектирование линейного календарного графика


1. Ведомости объемов работ

.1 Ведомость линейных земляных работ

Qp = Qn*k1, м3, (1)

Где - Qp - рабочий объем земляных работ, м3

Qn - профильный объем земляных работ, м3

K1 - коэффициент относительного уплотнения грунта.      

Kyn - 1,1 для песка

Таблица 1. Ведомость линейных земляных работ

Пикет

Рабочий объем, м3

Перемещение грунта прицепным скрепером ДЗ-23 в цепке с тр ДЭТ - 250, м3, из выемок и сосредоточенных резервов в насыпи на расстояние, м


Насыпь

Выемка

100

160

200

0 - 72

97900



97900


78 - 80


6380




80 - 125

96690


52690


44000

130 - 171

119570


55000

44000

20570

177 - 180


8074




180-250

191070



191070


Итого:

505230

14454

107690

332970

64570


1.2 Ведомость сосредоточенных земляных работ

Правила те же что и при составлении ведомости линейных земляных работ.

Таблица 2. Ведомость сосредоточенных земляных работ

Пикет

Рабочий объем, м3


Всего

В том числе при дальности возки, м, Авто скрепером ДЗ-13



300

400

800

72-78

69850

69850



125-130

50160



50160

171-177

66550


66550


Итого

186560

69850

66550

50160


1.3 Ведомость искусственных сооружений

Таблица 3. Ведомость искусственных сооружений

Пикет

Круглые сборные железобетонные водопропускные трубы с отверстиями, м


1,0

2 × 1,0

1,5

2 × 1,5

2,0


Длина, м

10 + 15

18





54 + 20

19





92 + 50


20




101 + 70



18



114 + 30




21


144 + 00



17



161 + 50

18





190 + 40



19



203 + 50





15

214 + 00





16

235 + 90

17





250 +00

18





Итого: Пог.м Количество сооружений

 90 5

 20 1

 54 3

 21 1

 31 2



1.4 Сводная ведомость объемов работ

Расчет численных параметров насыпи.

B1=7,50 + 2 * 0,75 = 9,00 м

Для обеспечения устойчивости кромок верхнего слоя основания и асфальтобетонного покрытия предусмотрим размер нижнего слоя основания поверху на 10 см шире вышележащих слоёв (с каждой стороны). Таким образом:

B2 = 9,00 + 2 * 0,10 = 9,20 м  

Ширина щебеночного основания понизу:

B3 = B2 + 2 * n * h3, м (2)

Величину n принимаем равной 1,5. Тогда:

B3 = 9,20 + 2 * 1,5 * 0,15 = 9,65 м

B5 = B +2 * ∆       B, м,

а поскольку:

∆B = m * ∆H, м,

то:

B5 = B + 2 * m * ∆H, м. (3)

Значение ∆H с достаточной точностью можно принять равным суммарной толщине дорожной одежды, т.е.:

ΔH = h1 + h2 +h3 +h4 + h5, м (4)

ΔH = 0,05 + 0,06 + 0,10 + 0,15+ 0,18 = 0,54

Тогда согласно формуле (3):

B5 = 15,00 + 2 * 4 * 0,54 = 19,36 м

B4 = B5 - 2 * 3 * h4 (5)

B4 = 19,32 - 2 * 4 * 0,18 = 17,88 м   

Объём сплошного дренирующего слоя из дресвы (в плотном теле) составит:

Qпс*h4*L м3, (6)

Где - L - длина строящегося участка автомобильной дороги, м (пункт 4 задания).

Подставив значения в формулу (6) получим:

Qпс = *0,18*25000= 83700 м3

Средняя площадь щебёночного основания:

Fщ = * L, м2 (7)

Fщ = 25000 = 235625 м2

Площадь верхнего слоя основания, устраиваемого из щебня, пропитанного битумом и площадь покрытия:

Fn = B1 * L, м2 (8)

Fn = 9,00 * 25000 = 225000 м2

Площадь укрепления обочин:

Fyo = byo * L* 2, м2,       (9)

Где byo - ширина укрепления, м (пункт 9 задания);

L - длина строящегося участка, м;

- количество обочин.

Fyo = 3 * 25000 * 2 = 150000м2

Площадь дополнительного слоя основания:

FB = В5 * L, м2 (10)

FB = 19,32 * 25000 = 483000 м2

Таблица 4. Сводная ведомость объемов работ

Наименование работ

Единица измерения

Количество

1. Искусственные сооружения  Строительство сборных железобетонных водопропускных труб с отверстиями: 1,0 м 2 × 1,0 м 1,5 м 2 × 1,5 м 2,0 м 2. Землянное полотно Срезка растительного слоя грунта Уплотнение естественного основания насыпи Линейные земляные работы (рабочий объем), всего, В т.ч. при дальности возки грунта 100 м 160 м 200 м

   шт. / пог. м      м2 м2 м3

    5/90 1/20 3/54 1\21 2/31 711480 646800 505230    107690 332970 64570

Сосредоточенные земляные работы (рабочий объем), всего, в т.ч. при дальности возки грунта 300 м 400 м 800 м 3. Дорожная одежда Строительство дополнительного слоя основания, дресва толщиной 18 см Строительство основания толщиной 15 см Щебень рядовой Строительство основания толщиной 10 см, пропитанного битумом БНД 60/90 Строительство покрытия 6 см Горячий крупнозернистый асфальтобетон Строительство покрытия 5 см Горячий мелкозернистый асфальтобетон 4. Отделочные работы Отделка верха земляного полотна Отделка откосов насыпей Отделка откосов выемок 5. Рекультивация земель Углаживание откосов при средней дальности перемещения грунта 20 м Возврат растительного слоя грунта при средней дальности перемещения грунта 30 м

 м3      пог. м / м3  пог. м / м2  пог. м / м2  пог. м / м2 пог. м / м2   м2 м2 м2 м2 м2

 186560  69850 66550 50160  25000 / 83700  25000 / 235625  25000 / 225000  25000 / 192000 25000 / 192000   483000 326260 8415 41300 90722

6. Укрепительные работы Укрепление обочин дресвой на толщину 11 см

 пог. м / м2

 50000 / 150000





2. Организация работ по строительству сборных железобетонных водопропускных труб

.1 Состав отряда

Строительство сборных железобетонных водопропускных труб (в дальнейшем - труб) должно осуществляться до сооружения земляного полотна на этом участке.

Состав отряда определяется в зависимости от конкретных условий строительства, конструкций труб и в общем случаев в него рекомендуется включать следующие ресурсы.

Бригада рабочих

Включает 3 звена.

Звено подготовительного цикла

Монтажники конструкции: 4 разряд - 1

разряд - 1

разряд - 1

Землекоп…………. 2 разряд - 1    

Звено монтажников

Монтажники конструкции: 4 разряд - 1

разряд - 2

разряд - 1

Звено изолировщиков

Гидроизолировщики:  4 разряд - 1

разряд - 1

разряд - 2

Машинист передвижного

распылительного агрегата: 4 разряд - 1

Специализированный отряд должен быть оснащен машинами, оборудованием, инструментами и приспособлениями, примерный перечень, которых приведен в таблице 5.

Таблица 5. Машины, оборудование и инструменты специализированного отряда по строительству водопропускных труб.

Наименование

Количество

Автомобильный кран КС - 35715 Бульдозер ДЗ - 42 В Экскаватор ЕК - 06 Самоходный каток на пневмоходу ДУ - 65 Электротрамбовка ИЭ - 4502 ИЭ - 4505 Электровибратор Передвижная электростанция ЭСД - 5 - Т/230 Битумный котел ДС - 16 Передвижной распылительный агрегат Ёмкость для воды Ёмкость для битумного лака Лопата копальная Лопата подборочная Лом Топор плотничный Молоток Переносное кружало Пила поперечная Ножовка Уровень Рулетка Стальная шуровка Плоская воронка Стальная конопатка Ведро Нивелир с штативом и рейками Мастерок (кельма)

1 1 1 1 1 1 1 1 1 1 1 1 3 3 2 2 2 2 1 2 1 1 2 2 2 2 1 2


Количество автомобилей и водителей рассчитывается в зависимости от объемов и дальности возки материалов.

.2 Расчет сроков строительства водопропускных труб

Расчет сроков строительства труб произведем в следующей последовательности.

Nтр = Nфт * Lтр + Nог + Nур, отрядо-смен, (12)

Где - Nтр - трудоёмкость строительства трубы, отрядо-смены;

Nфт - трудоёмкость строительства 1 пог. м фундамента и тела трубы, отрядо-смены;

Lтр - длина трубы, м;

Nог - трудоёмкость строительства оголовков трубы, отрядо-смены;

Nур - трудоёмкость укрепительных работ, отрядо-смены.

Таблица 6. Расчет сроков строительства водопропускных труб

Местоположение трубы, ПК

Основные размеры, м

Срок выполнения работ, смены


Отверстие

Длина

Строительство фундамента и тела трубы

Строительство оголовков

Укрепительные работы Боками П-2

Всего на трубу

10+15

1,0

18

3,60

4,11

2,80

11

54+20

1,0

19

3,80

4,11

2,80

11

92+50

2x1,0

20

8,00

5,85

3,90

18

101+70

1,5

18

5,40

5,50

3,80

15

114+30

2x1,5

21

12,60

7,72

5,20

26

144+00

1,5

17

5,10

5,50

3,80

15

161+50

1,0

18

3,60

4,11

2,80

11

190+40

1,5

19

5,70

5,50

3,80

15

203+50

2,0

15

5,25

6,92

4,60

17

214+00

2,0

16

5,60

6,92

4,60

18

235+90

1,0

17

3,40

4,11

2,80

11

250+00

1,0

18

3,60

4,11

2,80

11

Итого:






179




3. Расчет скорости потока

.1 Расчет средней высоты насыпи

Площадь поперечного сечения отсыпаемой части насыпи:

, м2 (13)

Где - Qлзр - профильный объем линейных земляных работ, м3

Lлзр - длина участков линейных земляных работ объемом Vлзр, пог. м.

Подставив в формулу (13) значения получим:


Величина 22800 получена следующим образом:

000 - (600 + 500 + 600) - (200+300) = 22800 м

Г - 25000 - общая длина строящегося участка (пункт 4 задания), пог. м;

600 + 500 + 600 - сумма протяженностей участков сосредоточенных земляных работ (ПК 72 - ПК 78; ПК 125 - ПК 130; ПК 171 - ПК 177; см. пункт 14 задания), пог. м;

+300 - сумма протяжённостей участков выемок (ПК 78 - 80; ПК 177 - 180; см. пункт 13 задания), пог. м;

Схема к расчету средней высоты насыпи

Путем несложных математических исследований можно вывести формулу для расчета Hср.

Средняя высота отсыпаемой части насыпи:

(14)

По формуле (14):

Ширина насыпи по низу:

(15)

Для проверки достоверности результата подставим её в формулу:

 (16)

Где - F - площадь поперечного сечения трапеции, F=20,09 м2

Подставив в формулу (16) значения получим:

Сравниваем расчеты по формулам (13) и (16), приходим к выводу, что погрешность составляет:

,14 - 20,09 = 0,05 м2

В дальнейших расчетах будем считать средней высотой насыпи:

Нср = 0,88 м.

3.2 Расчет минимальной скорости потока

Минимальная скорость потока, необходимая для завершения дорожно - строительных работ в заданные сроки, может быть определена по формуле:

Vmin = , пог. м/смену, (17)

Где - L - длина строящегося участка автомобильной дороги, пог. м;

Tcp - среднее количество рабочих смен в строительном сезоне.

Величину Тср определяют по формуле:

Тср = (Тк - Тв - Тм) * kc - Tp, смен, (18)

Где - Тк - календарная продолжительность строительного сезона, дни;

Тв - количество выходных и праздничных дней в сезоне;

Тм - количество нерабочих дней по метеорологическим условиям за период Тк;

kc - коэффициент сменности;

Tp - период развертывания потока, смены.

Таблица 7. Продолжительность строительного сезона в Курганской области

Наименование работ

Начало строительного сезона

Конец строительного сезона

Количество нерабочих дней по метеорологическим условиям (Тм)

Сооружение земляного полотна

03.05

10.10

161

4

Строительство дополнительного слоя основания из дресвы

03.05

10.10

161

4

Строительство основания из щебня рядового

03.05

10.10

161

4

Строительство основания из щебня фракцией 20-40 мм, пропитанного битумом БНД 60/90

03.05

06.09

127

12

Строительство асфальтобетонного покрытия

03.05

16.09

137

12


За начало строительного сезона принимаем 3 мая, а за окончание 6 сентября.

Принятые даты начала и окончания строительного сезона позволяют определить Тк и Тм, которые равны, соответственно, 127 и 12 дням.

Количество выходных и праздничных дней устанавливаем по календарю. В данном случае в промежутке с 3 мая по 6 сентября содержится 55 выходных и праздничных дня.

Тв = 55 дня.

Период развертывания потока (Тр) - это время, необходимое для последовательного ввода в работу всех специализированных подразделений, участвующих в технологическом процессе.

Период развертывания линейных земляных работ рассчитывается учитывая, что уплотнение грунта в насыпи пневмокатками желательно вести слоями до 30 см, а средняя высота насыпи составляет 0,88 м, её можно возвести в 4 слоя: 3 слоя по 0,21 м и 1 по 0,25 м.

Величина периода развертывания земляных работ:

 (19)

Где- а - количество слоев грунта отсыпаемого в насыпь.

Подставив значение в формулу (19), для насыпи высотой 0,88 м получим:

Эту величину и примем за период развертывания линейных земляных работ.

Период развертывания потока удобнее и нагляднее рассчитывать в табличной форме (см. таблицу 8)

Таблица 8. Расчет периода развертывания потока

Наименование работ

Период развертывания специализированного потока, смены

Технологический разрыв, смены

Задел, смены

Разрыв между началами работ, смены

Линейные земляные работы

6

-

10

16

Подготовка поверхности земляного полотна и строительство подстилающего слоя из дресвы толщиной 18 см

2

-

1

3

Строительство нижнего слоя основания толщиной 15 см из щебня рядового

2

-

1

3

Строительство покрытия, горячим мелкозернистым асфальтобетоном, толщиной 6 см

3

-

1

4

Строительство покрытия, горячим мелкозернистым асфальтобетоном, толщиной 5 см

2

-

1

3

Досыпка и укрепление обочин

3

-

-

3

Итого:




32


Таким образом, период развертывания потока составит:

Тр = 32 смен

Коэффициент сменности принимаем равным 2, то есть, планируем вести работы в 2 смены.

kc = 2

Все данные для расчета минимальной скорости потока имеются.

Среднее количество рабочих смен в строительном сезоне по формуле (18):

Тср = (127 - 55 - 12) * 2 - 32 = 88 смен.

Минимальная скорость потока по формуле (17) равна:

Vmin = 284 пог. м / смену.

.3 Определение расчетной скорости потока

Определение нормы выработки ведущей машины - ГВК BW 216 D-4 на уплотнения покрытия.

Сменная норма выработки:

Где - Т - продолжительность смены, Т = 8 час;

Q - измеритель (указан над таблицей в ЕНиР1-3 Т2 п5), Q = 100 м3;

Нвр - норма времени на измеритель, Нвр = 1 час.

Тогда максимальная скорость потока по укатке основания, которую обеспечивают ГВК BW 216 D-4:

Окончательно принимаем за расчетную скорость потока:

Vp = 300 пог. м / смену.

Расчет сроков выполнения работ:

Срок выполнения линейных земляных работ (протяжённость 22800 пог. м):

Тлзр = = 76 смены.

Срок строительства основания (протяжённость 25000 пог. м):

Тдо =  = 84 смен.

. Расчет ресурсов для выполнения линейных земляных работ

.1 Расчет потребности основных машин

Основной машиной на линейных земляных работах согласно пункту 13 задания является прицепной скрепер ДЗ - 23.

Таблица 9. Расчет потребности основных машин для выполнения линейных земляных работ

Дальность перемещения грунта, м

Рабочий объём, м3

Группа грунта по трудности раз-работки

Норма выработки, м3 / смену

Источник обоснования норм выработки

Трудоемкость, маш.-смены

Требуется машин при 76 сменах работы

Принятое количество машин и коэффициент их загрузки

100  160  200

107690  332970  64570

 II

860  650  559

§Е2-1-21 таб. 2, п. 2а, 2в.

125,22  512,26  115,50


Принято 10 скреперов с kз = 0,99

Итого:

505230




752,98

9,90



Потребное количество машино-смен (трудоемкость работ):

 (20)

Где - Q - объем работ, м3;

П - норма выработки машины, м3 / смену.

4.2 Расчет потребности вспомогательных машин и комплектование отряда

Срезка растительного слоя грунта

По ЕНиР, § Е2-1-5 устанавливаем, что нормы времени даны на 1000 м2 очищен-ной поверхности. Поэтому сменный объем работ по срезке растительного слоя грунта необходимо знать в м2. Таким образом, общая площадь растительного слоя грунта (пункт 17 задания) составляет 711480 м2.

Сменная норма выработки бульдозера ДЗ - 25 на срезке растительного слоя грунта

(I группа по трудности разработки) согласно § Е2-1-5, п. 1б находим по формуле (19):

Трудоемкость работ по срезке растительного слоя грунта согласно формуле (20):

Потребное количество бульдозеров согласно формуле (28):

Уплотнение естественного основания насыпи

Объем работ по уплотнению естественного основания насыпи составляет 646800 м2.

Сменная норма выработки прицепного катка на пневмоходу ДУ-39А при уплотнении площадей и поверхностей за 6 проходов по следу согласно § Е2-1-29, табл. 3, п. 1в, 2в, по формуле (19) составляет:


В § Е2-1-29, табл. 3, норма времени даётся в зависимости от двух факторов, в том числе, и в зависимости от длины гона, которую следует принимать численно равной расчетной скорости потока, то есть в данном случае - свыше 200 м, так как расчетная скорость 300 пог. м/смену.

По данным этих расчетов составляем таблицу, содержащую основные сведения об отряде, который должен быть укомплектован для выполнения линейных земляных работ.

Квалификацию рабочих на машинах определяем по данным параграфа ЕНиР, по которому рассчитывалась норма выработки соответствующей машины.

Количество рабочих при машинах (дорожные рабочие) принимаем без расчета в количестве 2 человек.

Таблица 10. Состав отряда земляных работ при скорости потока 300 пог. м/смену (на одну смену).

Машины

Профессия и разряд рабочего

Потребность в машинах

Коэфф. загрузки

Количество рабочих

Скрепер ДЗ-23 в сцепе с трактором ДЭТ-250 Трактор-толкач Т-330  Бульдозер ДЗ-25  Каток прицепной ДУ-39А Автогрейдер ДЗ-14

Тракторист 6 разряда Тракторист 6 разряда Машинист 6 разряда Машинист 6 разряда Машинист 6 разряда

 10  4  6  5  1

 0,99  0,83  0,83  0,92  0,57

 10  4  6  5  1

Всего рабочих на машинах: Дорожных рабочих 2 разряда: Всего рабочих на смену:

26 2 28



5. Расчет ресурсов для выполнения сосредоточенных земляных работ

Для выполнения земляных работ в качестве основной машины в соответствии с пунктом 14 задания принимаем автоскрепер ДЗ-13 (вместимость ковша 15 м3).

Таблица 11. Расчет потребности основных машин для выполнения сосредоточенных земляных работ.

Пикет

Дальность перемещения грунта, м

Рабочий объем, м3

Норма выработки, м3/смену

Источник обоснования норм выработки

Трудоемкость работ, маш.-смены

Принятое количество ма-шин

Время выполнения работ








Смен

Дней

Разработка и перемещение грунта автоскрепером ДЗ-13

72-78

300

6985

414

§ Е2-1-21, табл. 3, п. 12, 32.

16,87

11



Итого: 6985


16,87 278,66


2

1

125-130

800

50160

180






Итого: 50160


278,66 202,27


25

12,5

171-177

400

66550

523






Итого: 66550 202,27 Всего: 123695 497,8


18 45

9 22,5


Разравнивание грунта

Норма выработки бульдозера ДЗ-25 на разравнивание грунта составляет 2051 м3/смену.

При разравнивании исходим из рабочего объема, то есть всего необходимо разровнять 186560 м3.

Потребность в бульдозерах:

Уплотнение грунта

Объем работ - профильный (169600 м3).

Норма выработки пневмокатка ДУ-39А составляет 1818 м3/смену, следовательно трудоемкость работ:

Потребность в катках:

Потребность в тракторах-толкачах

Для рассматриваемых условий (согласно таблице 2 и формуле (22)):

Таким образом, для обслуживания автоскреперов в среднем потребуется на каждые 4 автоскрепера 1 трактор-толкач, т.е. всего:

Остальные технологические процессы: отделочные работы, рекультивация и др. планируется осуществлять силами отряда линейных земляных работ.

Таблица 12. Состав отряда сосредоточенных земляных работ при среднем темпе 300 м3/смену (на одну смену).

Машины

Профессия и разряд рабочего

Потребность в машинах

Коэфф. загрузки

Количество рабочих

Автоскрепер ДЗ-13  Трактор-толкач Т-330  Бульдозер ДЗ-25  Каток прицепной ДУ-39А

Машинист 6 разряда Тракторист 6 разряда Машинист 6 разряда Машинист 6 разряда

 11  3  2  2

 1,00  0,91  1,01  2,07

 13  3  2  2

Всего рабочих на машинах: Дорожных рабочих 2 разряда: Всего рабочих на смену:

18 2 20


Коэффициент загрузки автоскрепера ДЗ-13:


6. Технологическая карта

Расчеты к технологической карте на устройство дополнительного слоя основания

Расчет №1. Расчет средней дальности возки материалов с асфальтобетонного завода.

Расчетная формула:

, км (26)

Схема к расчету средней дальности возки Асфальтобетонной смеси

Средняя дальность возки асфальтобетонна составляет:

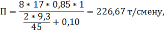
Расчет №2. Расчет производительности автосамосвала Hyundai HD 270

Грузоподъемностью 17 т.

Расчетная формула:

(27)

Где - Т - продолжительность смены, час;

q - грузоподъемность автосамосвала, т;

k2 - коэффициент загрузки;

L - дальность возки, км;

V - средняя скорость движения, км/час,

Tm - время простоя под загрузкой за один рейс, час;

tp - время простоя на загрузке за один рейс, час;

Подставив в формулу (27) значения, получим:

Расчет №3. Расчет производительности автогудранатора, ДС-43253 грузоподъемностью 7,5 т.

Расчетная формула: (28)


Где - Т - продолжительности смены, час;

q - грузоподъемность, т/смену;

tп - время на 1 км пробега, час

L - средняя дальность возки воды, км;

tпр - время погрузочно-разгрузочных работ, час.




Таблица 14. Состав отряда

Машины

Профессия и разряд рабочего

Потребность в маш-сменах на захватку l = 300

Потребность в машинах

Коэффициент загрузки

Кол-во рабочих

Примечание

Поливомоечная машина КО-713-01

IV Разряд






Автогудранатор ДС-43253

V Разряд






Автосамосвал Hyundai HD 270

V Разряд






Асфальтоукладчик ДС-191

VI Разряд






Легкий гладковальцевый каток ДУ-82

V Разряд






Тяжелый гладковальцевый каток BW 216D-4

V Разряд






Итого:








7. Проектирование линейного календарного графика

Определение среднего количества нерабочих дней по метеорологическим условиям в каждом месяце:


Таблица 15. Расчет количества рабочих дней в строительном сезоне

Месяц

Количество календарных дней

Количество выходных и праздничных дней

Количество нерабочих дней по метеорологическим условиям

Количество рабочих дней

Количество рабочих смен

Апрель Май Июнь Июль Август Сентябрь

30 31 30 31 31 30

10 11 9 10 8 9

3 3 3 3 3 3

17 17 18 18 20 18

34 34 36 36 40 36


- количество не рабочих дней по метеорологическим условиям (см. таблицу 9);

- количество дней в месяце;

- календарная продолжительность летнего строительного сезона (см. таблицу 9).

Подготовка переводного табеля календаря

Расчет сроков выполнения линейных земляных работ

Сроки выполнения земляных работ:

на ПК 0 - 72:

- на ПК 80 - 125


на ПК 130 - 171:

- на ПК 180 - 250:


Таблица 17. Продолжительность выполнения линейных земляных работ

Участок, ПК

Продолжительность работ, смены


На участке

Всего от начала земляных работ

0 - 72

15,21

15

80 - 125

14,13

29

130 - 171

16,99

46

180 - 250

29,63

76


Таким образом, общая продолжительность линейных земляных работ (76) совпала с величиной, рассчитанной в подразделе 3.3, что подтверждает правильность выполнения расчетов.


Заключение

В работе надо курсовым проектом на тему: «Проект производства работ», выполнены следующие разделы:

-   Ведомости объемов работ

-        Организация работ по строительству сборных железобетонных водопропускных труб

-        Расчет скорости потока

-        Расчет ресурсов для выполнения линейных земляных работ

-        Технологическая карта

-        Проектирование линейного календарного графика

В ходе работы выполнен:

Расчет рабочих объемов земляных работ.

Выполнен расчет скорости потока который составил 300 пог. м/смену.

Разработана технологическая карта.

В графической части оформлены чертежи


Список литературы

1. Строительство автомобильных дорог и аэродромов. Методические указания по курсовому проектированию для студентов-заочников образовательных учреждений среднего профессионального образования. М.: 2001.

. Разработка технологических карт на строительство автомобильных дорог. Методическое пособие для курсового и дипломного проектирования. Е.: 2007.

. Технологические карты на устройство земляного полотна и дорожной одежды. М.: 2004.

. ЕНиР Единые нормы и расценки на строительные монтажные, и ремонтно-строительные работы. Сборник Е2. Земляные работы. Выпуск 1. Механизированные и ручные земляные работы. М.: Стройиздат, 1988.

. ЕНиР. Единые нормы и расценки на строительные монтажные, и ремонтно-строительные работы. Сборник Е1. Внутрипостроечные транспортные работы. М.: Стройиздат, 1986.

. Кубасов А.У., Чумаков Ю.Л., Широков С.Д. Строительство, ремонт и содержание автомобильных дорог: Учебник для автомобильно-дорожных техникумов. 3-е издание, переработанное и дополненное - М.: Транспорт, 1985.

. Каменев С.Н. Транспортные сооружения: Учебное пособие для средних специальных учебных заведений. М.: Ин-Фолио, 2010.

. Автомобильные дороги. СП 78.13330.2012. М.: ЗАО «СоюздорНИИ», 2013.

Похожие работы на - Организация и технология строительства автомобильной дороги поточным методом

 

Не нашли материал для своей работы?
Поможем написать уникальную работу
Без плагиата!
Без нейросетей!