Расчет параметров участка рудника
Введение
рудник кровля закладка
крепь
Целью данного курсового проекта
является расчет параметров предлагаемого варианта системы разработки участка
рудника с дальнейшим сравнением параметров системы разработки шахтного и
предлагаемого вариантов. В ходе выполнения курсового проекта необходимо
выполнить следующие расчеты:
¾ определение
размеров целиков;
¾ расчет
параметров крепи;
¾ определение
максимально допустимой величины оседания пород;
¾ определение
параметров зон смягчения;
¾ расчет
параметров закладки;
¾ расчет
времени устойчивого состояния кровли.
Курсовой проект выполнен для 3 блока
панели № 9 СКРУ-3.
1. Геологическая
характеристика участка отработки
Панель 9 расположена севернее
отработанной панели 7, в северной части шахтного поля и является одной из
пограничных панелей у северо-западной границы горного отвода. В
геоморфологическом плане панель находится в пределах долины река Усолка.
Абсолютные отметки рельефа на площади панели 9 колеблются: от +120-125 м на юге
(площадь блоков 1-8), до +120-140 м на севере (площадь блоков 9-10). В
геоструктурном плане район ведения горных работ тяготеет к северо-западному
борту Тверитинской мульды. Залегание пластов пологое, с незначительным падением
на юг под углом 1-2° (до 3°).
По данным детальной и эксплуатационной
разведки на участке ведения горных работ, в пределах блоков 7-10 глубина
залегания пласта КрII колеблется от 250.0 м в север-северо-западной части, до
307.5 м в южной части панели; пласта АБ - от 242.5 м на северо-западе, до 302.5
м на юге панели. Абсолютные отметки кровли промышленных пластов варьируют: по
пласту КрII от -130.0 м до -187.5 м, по пласту АБ от -122.5 м до -177.5 м.
Мощность промышленных пластов незначительно возрастает в северо-западном и
северном направлениях, и изменяется по пласту КрII от 2.80 м до 4.00 м,
составляя в среднем 3.50 м, пласта АБ - от 2.20 до 3.05 м, в среднем - 2.51 м.
Качественный и вещественный состав
пластов на участке ведения горных работ является следующим: пласт В на площади
блоков 1, 2, 3, 4, 6, 8, 10 сложен карналлитовой породой с мощностью 6.0 - 7.30
м, на площади блоков 5, 7, 9 как карналлитовой породой, так и смешанными солями
со средней мощностью 5.40 м, в северо-западной части блока 9 пласт В
сильвинитового состава, мощностью до 4.0 м, с содержанием КCl - 36.75%. Пласт АБ в
пределах блоков 8, 10 представлен смешанными солями (сильвинит - карналлитовый
состав), которые не подлежат отработке. Содержание КСl в пласте АБ
сильвинитового состава изменяется от 26.55 до 40.29%. Пласт КрII сильвинитового
состава, содержание КСl в пласте изменяется от 20.20 до 25.44%. В
северо-западной части панели 9, в блоках 7, 9, по пластам АБ и КрII зафиксированы
субмеридианальные зоны некондиционной мощности и замещения каменной солью,
площадь которых достигает 10 тыс. м2.
Средние мощности междупластий на
планируемых площадях ведения горных работ составляют: В-Г - 1.97 м, Б-В - 1.33
м, А'-КрII - 3.72 м, КрII-КрIII - 1.20 м, КрII - МГ - 22.10 м.
На площади панели 9, в краевых
частях блоков, как западных, так и восточных, выделяются зоны горизонтального
сдвига субмеридианального простирания, отнесенные к IV группе аномальных зон в строении
ВЗТ.
По данным геофизических исследований
методом электрометрии, проведённым в 2011-12 гг, выявлена высокоомная
геофизическая аномалия по ЮВШ в блоках 5-6. Для выявления природы аномальности
на данном участке были проведены сейсмометрические исследования. По заключению
ГИ УрО РАН природа аномалии связана с интенсивной складчатостью карналлитовых
пластов в ВЗТ1, поэтому дополнительных мер охраны не требуется.
Мощность ВЗТ над пластом АБ
составляет 113.9 м. Разрез ВЗТ полный (ВЗТ1 + ВЗТ2 + ВЗТ3),
в ВЗТ3 2-4 ритмопачки.
На площадях планируемого ведения
горных работ в 2015 году региональная и локальная потенциально выбросоопасные
зоны по пластам промышленной толщи согласно приложения 3 «Спец. мероприятий...»
выявлены в блоках 3, 5-7 и 9 панели 9.
В данном курсовом проекте
рассматривается 3 блок 9 панели с вынимаемой мощностью пластов КрII и АБ 3,2 м
и 2,7 м соответственно.
Характеристика промышленных пластов
на площадях отработки в 2015 г представлена в таблице 1.
Таблица 1
|
Участок
|
Панель
|
Блок
|
Пласт
|
Мощность, м
|
Содержание,%
|
Объемный вес, т/м3
|
|
|
|
|
|
KCl
|
MgCl2
|
Н.О.
|
|
|
ГУ-4
|
9
|
3
|
АБ
|
2.5
|
32.18
|
0.13
|
1.22
|
2.070
|
|
|
|
КрII
|
3.2
|
24.38
|
0.13
|
1.18
|
2.084
|
Таблица 2. Характеристика вмещающих
пород и междупластий
|
Участок
|
Панель
|
Блок
|
Пласт
|
Мощность, м
|
Краткое описание
|
Объемный вес, т/м3
|
|
ГУ - 4
|
9
|
3
|
Б - В
|
1.15
|
Порода слабоустойчива,
включает два глинистых прослоя, залегание ровное, пологое.
|
2.16
|
|
|
|
А¢- КрII
|
3.10
|
Породы слабоустойчивы,
включают ряд характерных глинистых прослоев мощностью от 0.5 до 4 см,
залегание ровное, пологое.
|
2.16
|
|
|
|
КрII - КрIII
|
1.08
|
Породы слабоустойчивы,
имеют несколько глинистых прослоев мощностью до 1 см залегание ровное,
пологое.
|
2.16
|
2. Вскрытие и
подготовка участка при шахтном варианте системы разработки
Шахтное поле вскрыто тремя
вертикальными стволами, расположенными в центре шахтного поля.
В 1979 году была начата проходка еще
одного скипового ствола (ствола №4), которая была остановлена на глубине 356,5
м. В связи с ограничением сбыта готовой продукции, дальнейшие работы по
проходке ствола были временно приостановлены. В настоящее время на стволе
восстановлен шахтный подъем для производства визуальных осмотров тюбинговой
колонны, произведен тампонаж закрепного пространства. Ведутся подготовительные
работы по бурению контрольно-стволовой скважины.
Таблица 3. Характеристики стволов
|
№п
|
Наименование показателей
|
Ствол №1
|
Ствол №2
|
Ствол №3
|
Ствол №4
|
|
1
|
Назначение
|
Скиповой,
вентиляционный
|
Клетьевой,
воздухоподающий
|
Скипо-клетьевой,
воздухоподающий
|
Нейтральный
|
|
2
|
Диаметр в свету, м.
|
7
|
7
|
7
|
7
|
|
3
|
Сечение в свету, м2
|
38,48
|
38,48
|
38,48
|
38,48
|
|
4
|
Абсолютная отметка
устья ствола, м.
|
+181,15
|
+180,05
|
+178,18
|
+176,15
|
|
5
|
Абсолютная отметка
пола зумпфа, м.
|
- 291,35
|
- 213,95
|
- 206,32
|
-180,45
|
|
6
|
Глубина ствола, м
|
472,5
|
394,0
|
384,5
|
356,5
|
|
7
|
Глубина до покровной
каменной соли, м
|
284,0
|
284,1
|
247,6
|
-
|
|
8
|
Глубина сопряжения с
транспортным горизонтом, м
|
428,7 445,3
|
387,5
|
360,5
|
-
|
|
9
|
Количество скипов, шт.
|
4
|
-
|
1
|
-
|
|
10
|
Грузоподъемность
скипа, т.
|
25,0
|
-
|
10,0
|
-
|
|
11
|
Количество клетей, шт.
|
-
|
2
|
1
|
-
|
|
12
|
Вместимость клети,
чел.
|
-
|
48
|
48
|
-
|
|
13
|
Дата последнего
обследования
|
Февраль 2013 г.
|
Июнь 2013 г.
|
Июнь 2013 г.
|
Апрель 2014 г.
|
По результатам обследований стволов,
согласно требований п.214 Федеральных норм и правил в области промышленной
безопасности «Правила безопасности при ведении горных работ и переработке
твердых полезных ископаемых» утверждены приказом Федеральной службы по
экологическому, технологическому и атомному надзору от 11.12.2013 N 599,
состояние тюбинговой крепи и затюбингового пространства удовлетворительное.
Водоприток в ствол №1 - отсутствует, водопритоки в стволы составляют: ствол № 2
- не более 0,0022 куб.м/сутки, в ствол №3 не более 0,002 куб.м/сутки, в ствол
№4 - 1,03 куб.м/сутки. По материалам обследований стволов проводились работы по
гидроизоляции закрепного пространства.
Шахтное поле, площадь которого
составляет 110,3 км2, разделено на три выемочных участка: северный,
южный и центральный. В западном и восточном направлениях от стволов пройдены
главные транспортные и конвейерные штреки в подстилающей каменной соли и
главные вентиляционные штреки по пласту КрII.
Способ подготовки пластов панельно -
блоковый, который предусматривает разделение пластов на панели и выемочные
блоки. Шахтное поле разбито в широтном направлении на панели шириной 1200м (в
отдельных случаях до 2100 м) и длиной 2000 м и более (до 4000м). Каждая панель
разбивается на блоки шириной по 400 м, длина блока составляет, как правило, 600
м.
Порядок отработки шахтного поля
прямой, при обратном или комбинированном порядке отработки панелей. Блоки во
всех панелях отрабатываются обратным порядком.
Подготовка панелей комбинированная,
т.е. осуществляется как пластовыми, так и полевыми выработками. Панельные
выработки проходят по оси панели, при этом конвейерный штрек располагается в
подстилающей соли, панельный транспортный штрек - на Кр2, вентиляционный штрек
- на АБ.
Панель №9 расположена в
северо-западной части шахтного поля СКРУ-3. Панель №9 вскрыта панельными
выработками, пройденными по оси панели №7 - панельный конвейерный штрек пройден
по каменной соли, панельный транспортный штрек пройден по пласту КрII, панельный
вентиляционный штрек пройден по пласту АБ.
Подготовка блока к очистной выемке
включает в себя:
проходку стартовой
выработки и заездов на блоковые выемочные штреки пласта АБ и КрII;
проходку блоковых выемочных
штреков по пласту АБ и КрII;
проходку блокового
заглубленного конвейерного штрека (пл. кам. соль);
проходку блоковых вентиляционных
штреков по пл. АБ и КрII.
Проходка выемочных штреков
осуществляется осуществляется заходками, затем осуществляется проходка
разрезных камер, далее заходки по вентиляционным штрекам.
Схема подготовки очистного блока к
выемке представлена на рисунке 1.
Рисунок 1. Схема подготовки блока к
очистной выемке
3. Шахтный вариант
системы разработки
На рудниках Верхнекамского калийного
месторождения принята камерная система разработки с поддержанием пород ВЗТ
ленточными междукамерными целиками (МКЦ).
Параметры системы разработки
выбираются исходя из условий безопасной подработки ВЗТ и объектов,
расположенных на земной поверхности, в соответствии. Параметры системы
разработки по выбранному участку приведены в таблице 4.
Очистные камеры, как правило,
располагаются в меридиональном направлении. Такое расположение очистных камер
определяется тем, что гипсометрия почвы пластов на месторождении весьма сложная
и оси складок имеют направление, близкое к меридиональному. Расположение
очистных камер в направлении, близком к направлению осей складок, значительно
снижает разубоживание добываемой руды.
Очистные работы производятся
механизированным способом проходческими комбайнами типа Урал-10А, Урал-10Р,
Урал-20Р, Урал-20А в комплексе с бункерами - перегружателями БП-15, БПС-22 и
самоходными вагонами 5ВС-15М, 10ВС-15М. Очистные работы в блоках панелей
ведутся обратным порядком.
При разработке на блоке нескольких
пластов правилами требуется, чтобы очистные работы по верхнему пласту опережали
очистные работы по нижнему пласту не менее чем на 50 метров. Помимо этого,
должно быть соосное расположение очистных камер и подготовительных выработок на
всех пластах.
Добытая в очистных камерах руда
самоходным вагоном транспортируется по камере до выемочного штрека, затем через
ближайшую рудоспускную скважину перегружается на ленточный конвейер,
установленный на блоковом конвейерном штреке.
По блоковому конвейерному штреку в
блок поступает свежая струя воздуха, который затем передается по уклонам на
выемочные блоковые штреки. С выемочных штреков свежая струя поступает в камеру
до очистного забоя и удаляется по вентиляционным штрекам.
Таблица 4
|
Участок
|
Панель
|
Блок
|
Способ выемки, тип
комбайна
|
Пласт
|
Глубина залегания
пласта, H, м
|
Ширина камер, a, м
|
Расчетная вынимаемая
мощность, м
|
Степень нагружения
целика
|
Ширина целика, м
|
Количество ходов в
камере
|
Конструкция очистной
камеры
|
|
ГУ-4
|
9
|
3
|
Урал-10А
|
АБ
|
286.0
|
4.4
|
2.7
|
0.225
|
4.8
|
1
|
|
|
|
|
Урал-20Р
|
КрII
|
291.0
|
5.5
|
3.2
|
0.340
|
3.7
|
1
|
|
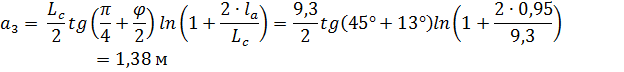
. Предлагаемый
вариант системы разработки с расчетом параметров
Предлагается отработка запасов
пласта АБ комбайном Sandvik MF-220 в один ход по высоте и ширине, на пласте КрII комбайном Sandvik MF-320 в один ход по
высоте и ширине.
Определение размеров породных
целиков различного назначения
Расчет производится при известной
ширине камеры и степени нагружения целиков.
В пределах рассматриваемого участка
расстояние от земной поверхности до кровли отрабатываемых пластов составляет:
до кровли пласта Кр-2 - 291 м; до кровли пласта АБ - 286 м.
) Определим расчетную ширину целиков
по пласту Кр-2
где
- вынимаемая мощность пласта Кр-2
-
расчетное приращение высоты целиков, м;
где
- ширина камеры;
-
устойчивый пролет камер;
-
коэффициент, учитывающий влияние ширины камер и степени заполнения
выработанного пространства закладкой на величину приращения расчетной высоты
целиков,
≤ 0,7;
- при
отсутствии фактических данных в рассматриваемых горно-геологических условиях
значение принимается равным 0,262
-
суммарная мощность коржей, оставляемых в кровле камер.
Расчетная высота целика по пласту Кр-2
равна 3,2 м.
) Определим эквивалентную прочность
пород в пределах расчетной высоты целиков по пласту Кр-2:
где
- мощность i-го слоя горной породы, м;
-
предел прочности при сжатии i-го слоя горной породы, тс/м2.
Пласт Кр-2 сложен семью слоями, из
которых нечетные (при нумерации сверху вниз) представлены красным сильвинитом,
а четные - каменной солью с вкраплением сильвинита и тонкими прослойками
красного сильвинита.
) Определим среднее значение
содержания НО (глинистых прослойков) в пределах расчетной высоты целиков по
пласту Кр-2 из выражения
) Определим значение коэффициента
по формуле, учитывая, что должно выполнятся условие
,
при
где
= 0,86;
=
0,7281.
Определим значение агрегатной
прочности пород в пределах расчетной высоты целиков по пласту Кр-2 по формуле:
где
- коэффициент, учитывающий влияние глинистых прослойков;
-
коэффициент, учитывающий влияние масштабного фактора;
= 1,25
- коэффициент, учитывающий влияние прорезки целиков,
) Определим расчетную ширину
междукамерных целиков по пласту Кр-2 при параметре
,
где
- расчетная ширина целика, м;
-
расчетная высота целика, м.
Расчетная ширина междукамерных
целиков определится по формуле:
где
,
-
эмпирические коэффициенты, значение которых принимаются равными:
;
;
-
ширина камеры. При отработке пластов одноходовыми по ширине камерами в качестве
расчетной ширины камеры принимается значение
, где
-
ширина камеры на уровне ее почвы.
-
объемный вес пород;
-
расстояние от земной поверхности до кровли целиков на рассматриваемом участке;
С = 0,4 - степень нагружения
междукамерных целиков;
-
коэффициент, учитывающий изменение нагрузки на целики в следствии влияния
горнотехнических факторов.
Условие
выполняется.
Определим межосевое расстояние по
пласту Кр-2:
Исходя из соосного расположения
камер, полученное значение межосевого расстояния принимается в качестве
исходных данных при определении параметров отработки пласта АБ.
Ширина камеры на пласте АБ а = 4,8
м, отсюда следует, что ширина междукамерного целика в = l-а = 8,4-4,8 = 3,6 м.
) Определим расчетную высоту целиков
по пласту АБ:
где
- вынимаемая мощность пласта Кр-2
-
расчетное приращение высоты целиков, м;
-
вынимаемая мощность пласта АБ;
-
ширина камеры;
- устойчивый
пролет камер;
-
коэффициент, учитывающий влияние ширины камер и степени заполнения
выработанного пространства закладкой на величину приращения расчетной высоты
целиков,
≤ 0,7;
-
суммарная мощность коржей, оставляемых в кровле камер.
Расчетная высота целика по пласту АБ
равна 2,7 м.
) Определим эквивалентную прочность
пород в пределах расчетной высоты целиков по пласту АБ:
где
- мощность i-го слоя горной породы, м;
-
предел прочности при сжатии i-го слоя горной породы, тс/м2.
) Определим среднее значение
содержания НО (глинистых прослойков) в пределах расчетной высоты целиков по
пласту АБ из выражения
) Учитывая, что должно выполнятся
условие
, определим значение коэффициента
по формуле
при
где
= 0,86;
=
0,7281.
7
) Определим значение агрегатной
прочности пород в пределах расчетной высоты целиков по пласту АБ по формуле
где
- коэффициент, учитывающий влияние глинистых прослойков;
-
коэффициент, учитывающий влияние масштабного фактора;
-
коэффициент, учитывающий влияние прорезки целиков
Выполним проверку выполнения условия
при отработке пласта АБ с шириной междукамерных целиков 3,6 м при
ширине камеры 4,8 м.
Для этого определим значение
коэффициента
и
расчетную прочность пород
.
Подставляя значение коэффициента
в формулу, получим
Степень нагружения междукамерных
целиков по пласту АБ составит:
-
коэффициент, учитывающий изменение нагрузки на целики в следствии влияния
горнотехнических факторов.
-
объемный вес пород;
-
расстояние от земной поверхности до кровли целиков на рассматриваемом участке;
Таким образом, предлагаемые
параметры отработки сильвинитовых пластов АБ и Кр-2 удовлетворяют требованиям
безопасности горных работ по критерию допустимой степени нагружения междукамерных
целиков. Параметры системы разработки представлены в таблице 5.
Таблица 5
|
Пласт
|
Вынимаемая мощность
пласта, м
|
Расчетная высота МКЦ,
м
|
Ширина камеры, м
|
Ширина МКЦ, м
|
Межосевое расстояние,
м
|
Степень нагружения
МКЦ, С при [C]=0,4
|
|
АБ
|
2,7
|
2,7
|
4,8
|
3,6
|
8,4
|
0,33
|
|
КрII
|
3,2
|
3,2
|
5,3
|
3,1
|
8,4
|
0,4
|
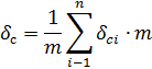
Обоснование способы управления
кровлей в очистных выработках
Для поддержания устойчивого
состояния горных выработок, при котором в течение необходимого по условиям
производства периода времени (технологического срока службы) не происходит
обрушения пород и смещение контура выработки (или ее частей) не превышает
предельно допустимых, выполняется комплекс мероприятий:
оставление целиков, расчет размеров
которых выполняется специалистами ОАО «Галургия» и ГИ УрО РАН;
размещение горных выработок на
расстоянии, исключающем их взаимное влияние;
рациональное расположение выработок
относительно слабых слоев (прослойков);
крепление кровли горных выработок;
Паспорта управления кровлей
разрабатываются на основании технологического регламента по охране и креплению
горных выработок на рудниках ОАО «Уралкалий» (г. Пермь-Березники, 2012 г).
Проходка выработок и управление
кровлей осуществляется согласно альбома типовых паспортов крепления, управления
кровлей и бурения дегазационных шпуров при проходке горных выработок на руднике
СКРУ-3 ПАО «Уралкалий» (Пермь, 2014).
Непосредственно для управления
кровлей в очистных камерах наибольшее распространение получил способ с
оставлением ленточных междукамерных целиков, которые позволяют поддерживать
кровлю очистной камеры на протяжении расчетного времени устойчивости
междукамерных целиков.
В случаях, когда пролет очистной
камеры значительно больше устойчивого пролета или же отработка ведется на
площадях с неустойчивой кровлей, для охраны от обрушения применяют анкерную
крепь со сплошным креплением кровли. Но крепление анкерной крепью очистных
камер применяют редко, так как этот способ характеризуется высокой
трудоемкостью и большими денежными затратами.
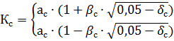
Расчет параметров анкерной крепи
сопряжений выработок
Пласт АБ:
Исходные данные: Выработки пройдены
комбайном Sandvik MF 220 и пересекаются под углом 90°. Ширина выемочного штрека L1=8 м, ширина камеры L2=4,8 м, высота h = 2,7м, глубина залегания (до
кровли) Н=286 м.
) Расчетная ширина сопряжения:
2) Зона возможного обрушения:
3) Вычисли агрегатную прочность
пород в пределах зоны их возможного обрушения:
4) Вычислим коэффициент формы:
где h - высота выработки, м; L - расчетная ширина выработки.
5) Найдем время устойчивого
состояния незакрепленного сопряжения определяется по формуле:
где К - коэффициент формы выработки;
γ - средний объемны вес
вышележащих пород; Н - глубина расположения горной выработки (до кровли), м;
- агрегатная прочность пород на одноосное сжатие, МПа;
- площадь поперечного сечения сопряжения, м2.
6) Подберем параметры анкерной крепи
для узла сопряжения выработок.
Примем
:
7) Значение высоты зоны предельных
деформаций принимаем
Тогда
следовательно,
9) Крепь работает по схеме
«подвешивания».
Принимаем
Тогда активная длина анкера определяется как:

Определим расчетное расстояние ар
между анкерами в ряду:
Примем φ=26°. Тогда
Условие
выполняется, тогда
10) Число анкеров в ряду для
выработок при
определяется
по формуле:
Примем
11) Анкера на сопряжених выработок
следует располагать по прямоугольно сетке. Следовательно,
12) Расстояние d между крайними рядами анкеров и
стенками выработки:
Проверим выполнение условия
Условие выполняется.
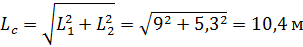
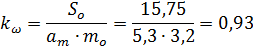
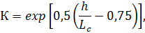
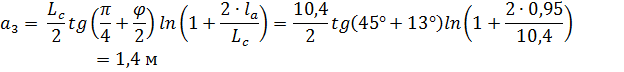
Пласт КрII:
Исходные данные: Выработки пройдены
комбайном Sandvik MF 320 и пересекаются под углом 90°. Ширина выемочного штрека L1=9 м, ширина камеры L2=5,3 м, высота h = 3,2м, глубина залегания (до
кровли) Н=291 м.
) Расчетная ширина сопряжения:
2) Зона возможного обрушения:
3) Вычисли агрегатную прочность
пород в пределах зоны их возможного обрушения:
4) Вычислим коэффициент формы:
где h - высота выработки, м; L - расчетная ширина выработки.
5) Найдем время устойчивого
состояния незакрепленного сопряжения определяется по формуле:
где К - коэффициент формы выработки;
γ - средний объемны вес
вышележащих пород; Н - глубина расположения горной выработки (до кровли), м;
- агрегатная прочность пород на одноосное сжатие, МПа;
- площадь поперечного сечения сопряжения, м2.
6) Оценим время устойчивого
состояния оставляемого «коржа» в кровле незакрепленного сопряжения:
7) Подберем параметры анкерной крепи
для узла сопряжения выработок.
Примем
:
8) Значение высоты зоны предельных
деформаций принимаем
Тогда
следовательно,
9) Крепь работает по схеме
«подвешивания».
Принимаем
Тогда активная длина анкера определяется как:
Определим расчетное расстояние ар
между анкерами в ряду:
Примем φ=26°. Тогда
Условие
выполняется, тогда
10) Число анкеров в ряду для
выработок при
определяется
по формуле:
Примем
11) Анкера на сопряжених выработок
следует располагать по прямоугольно сетке. Следовательно,
12) Расстояние d между крайними рядами анкеров и
стенками выработки:
Проверим выполнение условия
Условие выполняется.
Определение максимально допустимой
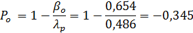
величины оседания пород в кровле отрабатываемых пластов
Критерием безопасности подработки
водозащитной толщи является условие, в соответствии с которым суммарная
мощность отдельных слоев каменной соли, в которых при деформации толщи пород не
возникает трещин разрыва, больше или равна их минимально допустимой суммарной
мощности:
где
- суммарная мощность слоев каменной соли, в которых не возникает
трещин разрыва, м;
-
минимально допустимая суммарная мощность слоев каменной соли ВЗТ, м.
Суммарная мощность слоев каменной
соли на площади отработки двух пластов - 10 м.
Определение максимально допустимой
величины оседаний пород в кровле отрабатываемых пластов выполняется с учетом
= 10 м.
Геологический разрез, начиная от
кровли пласта АБ по скважине №266 следующий:
Б-В - 1,1 м; В - 7,2 м; В-Г - 2,05
м; Г - 7,35 м; Г-Д - 2 м; Д - 10,7 м; Д-Е - 2,5 м; Е - 6,6 м; Е-Ж - 5,6 м; Ж -
0,8 м; Ж-З - 2,7 м; З - 0,5 м; З-И - 2,8 м; И - 0,8 м; И-К - 6,35 м; К - 0,3 м.
ПКС - 17,95 м
Допустимы прогиб последнего слоя
каменной соли m=5,6, при суммировании которого начинает выполняться условие
, равен 2,52:
Параметры системы разработки должны
обеспечивать выполнения условия, ограничивающего величину максимального прогиба
слоев ВЗТ при принятых параметрах системы разработки:
где
- расчетное значение максимального прогиба слоев ВЗТ,
соответствующее принятым параметрам отработки пластов;
-
величина допустимого прогиба слоев ВЗТ в рассматриваемых горно-геологических
условиях.
,
- значение максимального
прогиба слоев водозащитной толщи отработки i-го
пласта.
,
- коэффициент,
характеризующий изменение отношения максимальных прогибов слоев водозащитной
толщи,
;
,
,
,
- расчетный коэффициент
извлечения;
- вынимаемая мощность
при отработки пластов;
- параметр, учитывающий
влияние закладки очистных камер, р=1
- коэффициент заполнения
очистных камер закладкой;
- коэффициент усадки
закладочного массива(при гидравлической закладки-0,18).
Пласт АБ:
=1
Пласт КрII:
=1
Условие
выполняется.
Определение параметров зон смягчения
Зону смягчения необходимо создавать
в случае, когда принятые параметры отработки не удовлетворяют критерию
безопасной подработки ВЗТ. На выбранном участке условие
выполняется, поэтому нет необходимости создавать зону смягчения.
Расчет параметров закладки
отработанных камер
Определим среднюю степень заполнения
камер двух пластов АБ и КрII. На пласте АБ камеры заполняются по схеме а), на пласте КрII через скважины,
пробуренные в междупластье по схеме б).
а)
б)
Исходные данные:
Длина камеры Lк = 190м, угол откоса закладочного масива φ=2,5°, угол наклона камеры α=1,5°;
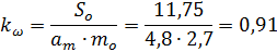
Пласт АБ: высота камеры hк.в =2,7 м, площадь поперечного сечения камеры пSк.в.=11,75 м2, расстояние от кровли до закладочного массива
у порога hп.п.=0,5м, колличество
порогов nп=3;
Пласт КрII: высота камеры hк.н = 3,2 м, площадь поперечного сечения камеры Sк.н.= 15,75 м2, количество скважин nскв=3.
Определение времени устойчивого
состояния кровли очистных камер
Пласт АБ:
Ширина камеры а = 4,8 м, ширина
целика b = 3,6 м, высота камеры h = 2,7 м, глубина расположения камеры Н = 286 м.
) Примем
,
-
расчетный пролет очистной камеры;
2) Вычислим:
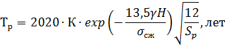
3) Вычислим время Тр устойчивого
состояния очистной выработки из условия U(Тр)=Uкр
Пласт КрII:
Ширина камеры а = 5,3 м, ширина
целика b = 3,1 м, высота камеры h = 3,2 м, глубина расположения камеры Н = 291 м, lпл = а.
В кровле камеры имеются неустойчивые
слои:
) Находим расчетный пролет
выработки:
2) Определяем высоту зоны возможного
обрушения пород кровли камеры:
3) Находим расчетную прочность пород
при сжатии в пределах высоты зоны их возможного обрушения:
4) Критически прогиб кровли
выработки:
Если кровле очистной выработки
является междупластовая потолочина и разрабатываемые пласты сближены, то
величина
должна умножатся на коэффициент
, рассчитываемый по формуле:
Отсюда
5) Определим значение времени устойчивого
состояния очистной выработки Тр из условия U(Тр)=Uкр:
6) Оценим время устойчивого
состояния первого «коржа» мощность
Тогда
5. Сравнение шахтного и
предлагаемого варианта системы разработки
Сравнение шахтного и предлагаемого
варианта системы разработки осуществляется с помощью сравнения коэффициентов
извлечения рудной массы.
Расчетные значения коэффициента
извлечения определяются по формуле:
-
поперечное сечение очистной камеры на i-том пласте;
-
коэффициент, учитывающий просыпи и другие потери, принимается равным 1,02;
-
вынимаемая мощность на i-том пласте;
-
межосевое расстояние на i-том пласте, м
При шахтном варианте:
При предлагаемом варианте:
При предлагаемом варианте системы
разработки расчетный коэффициент извлечения рудной массы больше, чем при
шахтном варианте.
Заключение
Шахтный и предлагаемый вариант
системы разработки сравнивались по расчетному коэффициенту извлечения рудной
массы. В предлагаемом варианте на пласте АБ была увеличена ширина камер, при
этом уменьшена ширина междукамерного целика, в связи с чем увеличился
коэффициент извлечения рудной массы, на пласте КрII ширина камер
уменьшилась, но при этом уменьшилась и ширина междукамерного целика,
коэффициент извлечений рудной массы также увеличился по сравнению с шахтным
вариантом.
Исходя из проведённых расчетов можно
сделать вывод, что предлагаемый вариант предпочтительнее, чем шахтный.
Список литературы
1. План развития горных работ рудника СКРУ-3 ОАО «Уралкалий» на
2015 год. Книга 1. - Березники, 2014 - 159 с.
2. Указания по защите рудников от затопления и охране
подрабатываемых объектов в условиях Верхнекамского месторождения калийных солей
(технологический регламент). - Санкт-Петербург, 2008. - 46 с.
3. Методические рекомендации к «Указаниям по защите рудников
от затопления и охране подрабатываемых объектов в условиях Верхнекамского
месторождения калийных солей». - Санкт- Петербург, 2008. - 93 с.
. Технологический регламент по охране и креплению горных
выработок на рудниках ОАО «Уралкалий». - Пермь - Березники, 2012. - 169 с.
. Технологический регламент на закладочные работы на
рудниках ОАО «Уралкалий». - Пермь - Березники, 2013. - 50 с.