Моделирование и изготовление высокочастотного усилителя на МОП транзисторе
Оглавление
Введение
1. Обзор литературы
1.1 Методы моделирования характеристик КМОП транзисторов с
учетом высокочастотных эффектов
.2 Модели КМОП транзисторов для анализа схем с учетом
высокочастотных эффектов
.3 Методы измерения характеристик КМОП транзисторов с учетом
высокочастотных эффектов
2. Экспериментальная часть
2.1 Измерительное оборудование для измерений статичных и
динамических параметров высокочастотных КМОП схем
.2 Программное обеспечение для моделирования и исследования
высокочастотных схем
2.3 Описание тестового транзистора
.4 Измерение характеристик и параметров КМОП элемента
2.5 Проектирование высокочастотного усилителя на МОП
транзисторе с использованием S-параметров
.6 Изготовление высокочастотного усилителя на МОП транзисторе
и измерение его характеристик и параметров
2.7 Сравнение измеренных и рассчитанных характеристик
усилителя на МОП транзисторе
Заключение (выводы)
Список литературы
Введение
высокочастотный усилитель
транзистор
В настоящее время, многие электронные приборы работают на высоких и
сверхвысоких частотах (до 1 ГГц). В связи с этим появляется потребность в
быстродействующем транзисторе. Таким элементов является МОП транзистор, так как
он имеет высокую скорость переключения и малую мощность потребления, что также
является несомненным плюсом.
Проблемой моделирования высокочастотных схем и элементов занимались и
занимаются многие ученные. Например, Ali M. Niknejad из Калифорнийского
университета в Беркли, Trond Ytterdal из Норвежского университета науки и
технологий.
Объектом исследования дипломной работы являются высокочастотные КМОП
схемы. Предметом исследования являются моделирование и исследование
высокочастотного усилителя на МОП транзисторе.
Целью дипломной работы является моделирование и изготовление
высокочастотного усилителя на МОП транзисторе, а также сравнение теоретических
и экспериментальных данных, полученных в результате проектирования усилителя.
Задание на дипломную работу:
. Обзор литературы по высокочастотным эффектам в элементах КМОП схем и
методам их исследования
. измерение статических и динамических характеристик и параметров
элементов КМОП схем
. Определение параметров моделей элементов КМОП схем с учетом
высокочастотных эффектов
. моделирование характеристик высокочастотных элементов и фрагментов КМОП
схем с использованием SPICE - моделей
. моделирование характеристик высокочастотных элементов и фрагментов КМОП
схем с использованием S-параметров
1.
Обзор литературы
Высокочастотное моделирование является актуальной темой в настоящее
время. На данную тему посвящено много статей и книг. В книге «Device Modelling for ANALOG and RF CMOS Circuit Design» [1] автор Trond Ytterdal описывает
процесс моделирования КМОП схем, а высоких частотах. Также приводится описание
моделей МОП транзисторов, описываются эффекты в МОП транзисторах, возникающих
на высоких частотах.
В статье «A Comparative Study of Various MOSFET Models at Radio» [2]
авторы проводят эксперимент с целью определения наиболее точно модели КМОП
транзистора на высоких частотах. В данной работе исследуются такие модели как: BSIM 3v3, EKV, MOS9, LEVEL 3.
В статье «A High-Frequency MOS Transistor Model and its Effects on Radio-Frequency Circuits» [3]
авторы описывают эффекты, возникающие в МОП транзисторах на высоких частотах и
проверяют экспериментально степень влияния данных эффектов.
На сайте калифорнийского университета “Berkley” #"902724.files/image001.gif">
Рис 1.1.1 Упрощенная модель для с схем с малым сигналом. Собственные узлы
устройства представлены обведенными в круг
Рассмотрим поведение S
параметров в схемах с переменным током, основываясь на схеме на рисунке 1.1.1.
Самый главный фактор влияющий на коэффициент S11 падающей волны является входное сопротивление Rin, которая формируется с основном за
счет сопротивления затвора Rg и
входной емкости Cin, которая
является суммой емкостей Cgd, Cgs, Cgb.. Емкость Cin найдена как:
(1.1.1)
где: COX емкость оксида;и Leff эффективная
ширина и длина затвора соответственно.
Индекс «0» указывает на нулевое смещение. С другой стороны, в области
насыщения Cin может быть найдена как:
(1.1.2)
С помощью Rin и Cin параметр S11 может быть выражен как
(1.1.3)
где: Z0 базовый импеданс (обычно 50 Ом).
Уравнение (1.1.3) хорошо описывает параметр S11 на частотах в несколько ГГц, в случае с типовыми
высокочастотными транзисторами. В области отсечки уравнение (1.1.3) корректно
даже на частотах в десятки ГГц. Так же следует учитывать, что при увеличении
частоты, эффект, вызываемый объемным сопротивлением, становится значительным.
Из уравнения (1.1.3) можно также увидеть, что при низких частотах S11 приближается к нулю.
Наиболее важным компонентом, влияющим на S-параметр S12,
является Cdg. Приближенная формула для вычисления S12 может быть получена в области насыщения и в области
отсечки как:
(1.1.4)
где Cdg ≈ Cdg0
Адмиттанс Yt может быть
найден как
(1.1.5)
-параметр S21 наиболее
значительно зависит от области смещения. Для типичных высокочастотных МОП транзисторов
можно воспользоватся упрощением: Rs=Rd=Rg=0. Следовательно S21 может приближенно равна:
(1.1.6)
Уравнение (1.1.6) для типичных высокочастотных МОП транзисторов
справедлива вплоть до 1-2 ГГц и даже выше. Также следует отметить, что в схеме
на рисунке 1.1.1 емкость Cgd не взаимообратное, поэтому параметры S12 и S21
считаются по-разному. При малых сигналах модели с взаимообратной емкостью Cgd,
не могут одновременно точно реализовать параметры S12 и S21. Емкость Cdg практически эквивалентно к емкости Cgd0 при насыщении, и является намного
меньшим, чем Cgd. Это является причиной, почему
емкость Cdg не может быть использована в
уравнении (1.1.6) так как это бы привело к недооценке прямой связи между
затвором и стоком.
Наконец параметр S22
может быть найден с помощью параметра y22, который может быть найдет как:
(1.1.7)
Из уравнения (1.1.7) как это видно, на высоких частотах параметр y22 также как S22 определяются с помощью последовательных сопротивлений и
проводимости gds, которая является наиболее
доминирующим фактором. На низких частотах уравнение (1.1.7) точна только если Rs и gm очень маленькие, но если это условие выполняется, то формула
точна на частотах в несколько ГГц для типовых МОП транзисторов.
Аналитические выражения могут быть получены только с помощью
аппроксимации и в основном описывают поведение S-параметров МОП транзисторов в схемах с переменным током. С
целью сравнения экспериментально полученных данных моделей МОП транзисторов на
всем диапазоне исследуемых частот необходимо использовать инструменты
симуляции, которые предоставляются системами проектирования схем.
В книге «Device Modelling for ANALOG and RF CMOS Circuit Design» [1] рассмотрено какие паразитные емкости возникают в
МОП транзисторах на высоких частотах. На рисунке 1.1.2 представлены паразитные
емкости. Рассмотрим все компоненты, на которые можно разделить паразитные
емкости:
1. CFO - внешняя ёмкость между поликремнием затвора и стоком\истоком;
2. CFI - внутренняя ёмкость между поликремнием затвора и стоком/истоком;
3. CDO/CSO емкость перекрытия между
поликремнием затвора и сильно легированными областями стока/истока
соответственно, которые не зависят от смещения затвора;
4. CDOL/CSOL емкость перекрытия между
поликремнием затвора и слабо легированными областями стока/истока
соответственно, которые зависят от смещения затвора;
. CJD / CJS емкость стокового/истокового перехода;
6. Csub емкость подложки;
7. CFI емкость между затвором и границей между каналом и стоком/истоком;
8. CGSI/CGDI емкость между затвором и канатом
истокока/стока;
9. CGBI внутренняя емкость между затвором и подложкой;
10. CGBO внешняя емкость между затвором и подложкой.
Рис. 1.1.2 Паразитные емкости в МОП транзисторах на высоких частотах.
1.2 Модели
КМОП транзисторов для анализа схем с учетом высокочастотных эффектов
Модель
BSIM 3v3. Данная модель
описана в книге «Device Modelling for ANALOG and RF
CMOS Circuit Design» [1]. Модели bsim совершили большой скачок в сложности скачок по сравнению с
его предшественниками. BSIM
представляет модель, состоящую из внутренней структуры и внешней структуры для
описания геометрии транзистора. Модели bsim также стали использовать полиномные
выражения. С помощью этого появилась возможность более точно моделировать
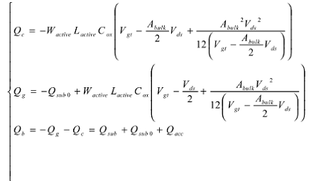
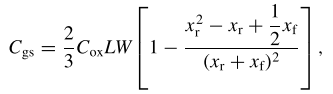
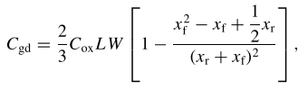
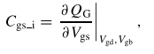
емкости каналов, а также других параметров. Рассмотрим емкостную модели bsim МОП транзистора. Для определения
емкости используются три фундаментальных параметра: заряд на затворе QG, заряд объемных слоев QB, заряд в области канала QINV. Существуют следующие зависимости в
МОП транзисторах:

(1.1.1)
Где QD и QS - заряды канала, связанные с областями стока и истока,
соответственно.
Емкость между двумя любыми из четырех областей (исток S, сток D, затвор G и
собственный объем области B)
может быть найден как:
(1.1.2)
(1.1.3)
Где V - напряжение между областями.
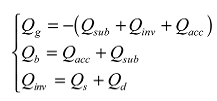
Поэтому для емкостной модели необходима зарядовая модель транзистора.
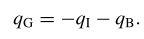
Накопленный заряд и заряд на подложке, который возникает при прохождении
заряда по каналу может быть подсчитан как:
(1.1.4)
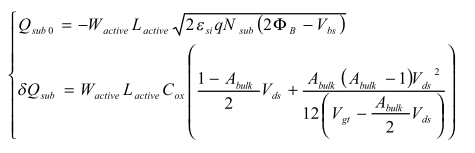
Где Qacc - накопленный заряд, Qsub - заряд, связанный с подложкой.
Заряд на подложке может быть разделен на два компонента - заряд на
подложке при нулевом смещении между стоком и истоком (Qsub0) и переменным зарядом
(dQsub). Теперь заряд на затворе можно представить в виде:
(1.1.5)
Для определения прошедшего заряда необходимо проинтегрировать заряд вдоль
всего канала. При этом пороговое напряжение модифицировано с помощью неоднородного
заряда на подложке:
(1.1.6)
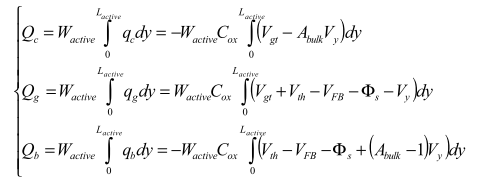
Следовательно, заряд можно найти из следующей систем уравнений:
(1.1.7)
Подставляя формулы
(1.1.8) и
(1.1.9)
В уравнение 1.1.7 и проинтегрировав получаем сисему:
(1.1.10)
(1.1.11)
Используя эти формулы можно найти все емкости с помощью формул 1.1.2 и
1.1.3 [7]
На высоких частотах необходимо включить сопротивление в затворе. В bsim данное условие может быть выполнено
при включении rgateMod. На рисунке 1.1.1 представлена эквивалентная схема
данного дополнения.
Сопротивление Rgeltd может быть найдено как:
(1.1.12)
Рис. 1.1.1 Модель с добавленными узлами для учета эффектов на затворе при
rgateMod = 3
На высоких частотах сигнал, который уходит на подложку должен быть также
учтен. Для учета этого эффекта необходимо использовать параметр rbodyMod.
Эквивалентная схема показана на рисунке 1.1.1.
Рис. 1.1.2 пяти-резистивная модель работы подложки
Также к каждому сопротивлению включается параллельно емкость GBMIN для
учета нелинейности сопротивлений, возжигаемых в процессе моделирования. Iii - ударный ток ионизации, IGIDL -
GIDL ток [3].
Модель EKV Модель описана в книге «Device Modelling for ANALOG and RF CMOS Circuit Design». Данная модель была разработана С. Энцем, Ф.
Круменахером и Е. Виттосом и является математической моделью МОП-транзистора.
Данная модель входит в состав многих схемотехнических пакетов. Рассмотрим какие
динамические параметры необходимо учитывать для работы с данной моделью. В первую
очередь необходимо выяснить как эта модель учитывает емкостные эффекты.
Для того чтобы учесть емкостные эффекты необходимо знать уравнения для
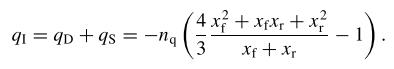
определения зарядов. Начальной точкой для определения заряда является
коэффициент наклона nq. Оно
определяется как:
(1.1.13)
Для того, чтобы разделить общий заряд на составляющие между истоком и
стоком, можно воспользоваться следующими уравнениями:
(1.1.14)
(1.1.15)
Из этих коэффициентов можно теперь получить нормированные заряды стока и
истока:
(1.1.16)
(1.1.17)
Общий нормализированный заряд получается как сумма стокового и истокового
заряда:
(1.1.18)
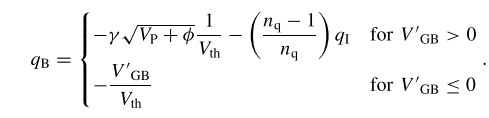
Объемный заряд в этой модели учитывается как:
(1.1.19)
Для выполнения закона сохранения заряда вводят нормированный заряд
затвора, который является отрицательным, и рассчитывается как сумма:
(1.1.20)
Для нахождения зарядов, в различных областях используют нормализированный
заряд, а геометрические параметры области:
(1.1.21)
(1.1.21)
(1.1.21)
(1.1.21)
(1.1.21)
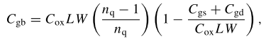
Внутреннее сопротивление теперь может быть найдено как:
(1.1.22)
Где x, y = B, D, G, S. Знак плюс
используют, когда x=y, в противном
случае берется отрицательный знак.
Таким образом получаем емкости:
(1.1.22)
(1.1.23)
(1.1.24)
(1.1.25)
(1.1.25)
Внешние емкости также учитываются, и эквивалентная схема представлена на
рисунке 1.1.3
Рис 1.1.3 Эквивалентная схема емкостей МОП транзистора
Емкость изолятора находится как:
(1.1.26)
Где S-площадь.
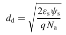
Емкость обеднённого слоя находится как:
(1.1.27)
(1.1.28)
Емкость, которую вносит свободный заряд может быть определена как:
(1.1.29)
Сопротивление Rs это
последовательное сопротивление нейтрального полупроводникового слоя и
контактов.
Также на высоких частотах необходимо учитывать эффекты, которые отвечают
за задержку. Это делается с помощью коэффициентов RGR и Cfc.
Модель MOS9. Данная модель
описана в книге «Device Modelling for ANALOG and RF
CMOS Circuit Design» [1]. Данная модель разработана компанией Philips. Данная модель работает с
параметрами. Рассмотрим, как в этой модели учитываются высокочастотные эффекты.
Для расчета емкостей используют зарядовые модели. Для определения заряда
для стока и истока используют следующие формулы:
(1.1.30)
(1.1.31)
Для определения емкости затвора и емкости активной зоны, используются
формулы:
(1.1.32)
(1.1.32)
(1.1.33)
(1.1.34)
Где напряжение VFB:
(1.1.35)
Емкость COX:
(1.1.35)
Внедрение емкости между областями находятся по формуле
(1.1.36)
(1.1.37)
(1.1.38)
Индекс i указывает, что это внутренние
емкости. Для учета полной емкости необходимо добавить дополнительную емкость перекрытия,
как показано ниже:
(1.1.39)
(1.1.40)
Эквивалентная емкостная схема представлена на рисунке 1.1.4
Рис. 1.1.4 Эквивалентная емкостная схема МОП транзистора
(1.1.41)
Вывод. В статье «A Comparative Study of Various MOSFET Models at Radio» [2] приводится сравнение моделей МОП транзистора.
Результаты представлены в таблице 1.1.1.
Погрешность моделирования на высоких частотах измеряли с помощью S-параметров. МОП транзистор, который
изучался, был представлен как четырёхполюсник. Исток соединялся с землей, на
затвор подавался входной сигнал, а на стоке измерялся выходной сигнал. Ширина
МОП транзисторов лежала в пределах от 50 до 100 мкм, а длина 0.4, 0.6 и 0.8
мкм. Схема измерений S-параметров
представлена на рисунке 1.1.5. Общий вид установки приведен на рисунке 1.1.6.
Рис. 1.1.6 Схема измерения S-параметров
МОП транзистора
Рис. 1.1.6 Вид установки для измерения S-параметров
|
Погрешность %
|
EKV
|
Bsim3v3
|
MOS9
|
|
S11 амплитуда
|
31
|
31.8
|
30.7
|
|
S11 угол
|
11.1
|
13.4
|
9.9
|
|
S21 амплитуда
|
10.8
|
12
|
14.3
|
|
S21 угол
|
30
|
23.8
|
24.3
|
|
S12 амплитуда
|
9.8
|
10.9
|
6.7
|
|
S12 угол
|
7.3
|
8.5
|
6.4
|
|
S22 амплитуда
|
21.2
|
17
|
27.5
|
|
S22 угол
|
16.4
|
17.4
|
13.6
|
|
Средняя
|
17.2
|
16.9
|
16.7
|
Как видим по средней погрешности, лучшей моделью оказалась MOS9, хотя модель BSIM3v3 отличается всего на 0.2%. Модель EKV показала худший результат, но результат хуже всего на
0.5 от модели MOS9. Видим что все модели дают хороший
результат с погрешностью в районе 16%.
Если рассмотреть по отдельности каждый S параметр, то видим что конкретные погрешности для них могут
сильно отличатся от средней. К примеру, при измерении погрешности амплитуды
параметра S22 наихудший результат показала
модель MOS9, а лучшим стала модель BSIM3v3.
Приходим к выводу, что на высоких частотах лучше всего пользоваться
моделью MOS9, но использование других моделей
также обосновано и не влечет за собой сильное уменьшение погрешности.
.3 Методы
измерения характеристик КМОП транзисторов с учетом высокочастотных эффектов
На сайте
#"902724.files/image066.gif">
Рис. 1.3.1
Падающий, отраженный и выходной сигнал
Для
определения S параметры необходимо как прямые, так и обратные сигналы. Прямые
можно измерить с помощью нахождения амплитуды и фазы, сигналов (падающего,
переданного и отраженного), при условии, что на выходе тестируемой системы
установлена точно согласованная нагрузка. При прямой подачи согнала мы
определяем параметры S11 и S21. При обратной подачи сигнала мы
можем найти параметры S22 и S12, рис 1.3.1.

Рис. 1.3.2
Схема измерения S параметров
Параметр S11 - комплексный коэффициент
отражения. Он определяется как отношение отражённого и падающего сигнала в
прямом измерении, и выражается в виде комплексной величины.
Параметр S21 - комплексный коэффициент
передачи. Определяется как отношение переданного и падающего сигнала в прямом
измерении, и выражается в виде комплексной величины.
Параметры S22 и S21 определяются также как S11 и S21
соответственно, только при обратном измерении, рис. 1.3.1. В результате
получается матрица S параметров
1.3.1
Такая матрица
строится для каждой и эти данные являются описанием элемента, которые можно
экспортировать в программы автоматического проектирования, например, Microwave Office.
В руководству
к пользованию векторным анализатором «Обзор-304/1» [9] показано общая схема
тестового образца. Для того чтобы определить данные, необходимо подготовить
тестовый образец. Целью этого шага является минимизирование влияния схемы на
результаты эксперимента. Данное условие связано с тем обстоятельством, что в
результате эксперимента необходимо получить данные только МОП транзистора, без
влияния паразитных сопротивлений и ёмкостей дорожек и внешних элементов.
На рисунке
1.3.3 представлена схема измерения образца на высоких частотах. Контролер
передает сигнал инструменту, векторному анализатору и тестовому образцу, после
чего векторный анализатор подает сигнал и считывает обратный сигнал. Все это
происходит под управлением контролера. Данные записываются в память векторного
анализатора. Данные передаются в программные обеспечения для дальнейшего
анализа. В настоящее время контролеры встроены в векторные анализаторы.

Рис. 1.3.3
Схема измерения тестового образца
Перед
использование системы необходимо откалибровать векторный анализатор. Для
измерения S параметров используют двухшаговую
калибровку, которая представлена на рисунке 1.3.4.

Рис. 1.3.4.
Двухшаговая калибровка установки для измерения S параметров образца, (а) схема для измерения параметров
образца, (b) измерения поведения сигнала, когда
порты не соединены друг с другом, (с) измерения поведения сигнала, когда порты
соединены друг с другом.

Рис. 1.3.5
Общая схема тестового образца
После
калибровки снимаются данные с тестового образца, рисунок 1.3.5. Сигнал с
первого порта подается на затвор. Сигнал со второго порта подается на сток, а
исток и подложка подключены к земле. Порты соединяются с векторным
анализатором, который подает и снижает сигналы.
2.
Экспериментальная часть
2.1
Измерительное оборудование для измерений статичных и динамических параметров
высокочастотных КМОП схем
Keithley 2602. Данные взяты из технической документации [10]. Источник/Измеритель
KEITHLEY 2602 состоит из 6 1/2 разрядного прецизионного, высокостабильного
источника питания постоянного тока с высокоимпедансным мультиметром. Прибор
Keithley 2602 обладает высокой стабильностью, а также имеет высокий класс
точности. Также KEITHLEY 2602, имеет встроенный TSP (Test Script Processor)
процессор. Это позволяет увеличить пропускную способность и скорость прибора.
Островные характеристики приведены в таблице 2.1.1. Внешний вид генератора представлен
на рисунке 2.1.1.
Таблица 2.1.1 Основные характеристики Keithley 2602
Рис. 2.1.1 Внешний вид источника/измерителя Keithley 2602
ГСС 120. Для формирования высокочастотных сигналов использовался
генератор сигналов специальной формы ГСС 120. Данный генератор может
генерировать сигналы следующих типов: синус, пилообразный, прямоугольный,
импульсный и другие. Основные характеристики генератора взяты из руководства по
эксплуатации [11] и приведены в таблице 2.1.2. Внешний вид генератора
представлен на рисунке 2.1.2.
Tektronix TDS 3032B. Для измерения входных и выходных
сигналов на высокочастотный усилитель использовался осциллограф TDS 3032B.
Осциллограф имеет два канала, что позволяет сразу снимать входной и выходной
сигнал. Основные характеристики осциллографа взяты из руководства по
эксплуатации [12] и приведены в таблице 2.1.2. Внешний вид генератора
представлен на рисунке 2.1.2.
Таблица 2.1.2. Основные параметры ГСС 120
Рис. 2.1.2. генератор сигналов специальной формы ГСС 120
Таблица 2.1.2. Основные параметры Tektronix TDS 3032B
Рис.
2.1.2. осциллограф Tektronix TDS 3032B
-73303D. Для подачи постоянного напряжения
смещения и питания использовался источник напряжения GPD-73303D. Источник имеет
два канала, которые плавно регулируются и дают возможность ограничивать
максимальный ток. Основные характеристики генератора постоянного напряжения
взяты из руководства по эксплуатации [13] и приведены в таблице 2.1.4. Внешний
вид представлен на рисунке 2.1.4.
Таблица 2.1.4 Основные характеристики GPD-73303D
|
Характеристики
|
Значения
|
|
Диапазон тока
|
0...3 А
|
|
Диапазон напряжения
|
0...30В
|
|
Нестабильность при
изменении напряжения питания
|
<0,01%+3 мВ
|
|
Нестабильность при
изменении тока нагрузки
|
<0,01%+3 мВ
|
Рис. 2.1.4. Внешний вид источника постоянного напряжения
Обзор-304/1. Для измерения динамических характеристик в данной работе
будет использоваться векторный анализатор «Обзор-304/1». Описание прибора
приведено в руководстве к пользованию [9]. Данный прибор с помощью USB кабеля соединяется с компьютером, а
установленное программное обеспечение обрабатывает получаемый сигнал. На
рисунке 2.1.5 представлен внешний вид векторного анализатора.
Данный прибор позволяет снимать одновременно четыре S-параметра. Данные полученные в
результате эксперимента могут быть представлены в виде: прямоугольных
координат, полярной диаграммы, либо диаграммы Вольперта - Смита.
Рис. 2.1.5 Векторный анализатор «Обзор-304/1»
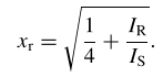
При выведении информации в виде прямоугольных координат, по оси OX откладывается стимул, а по оси OY откладывается измерение,
преобразованное в определенный формат. S параметр является векторной величиной, поэтому для вывода на
экран её необходимо преобразовать в скалярную величину.
(2.1.1)
Существует несколько форматов, основные из них описаны в таблице 2.1.2.1.
Для калибровки четырехполюсника используют двухпортовая модель ошибок. При этом
появляется два графа воздействия измерения на итоговую ошибку. Первый граф
относится к первому порту, а второй ко второму, рисунок 2.1.6.
Где:
S11a, S21a, S12a, S22a - истинные значения S параметров;
S11m, S21m, S12m, S22m - измеренные значения S параметров;
Таблица 2.1.5
2.1.6 Сигнальные графы для двухпортового измерения ошибок
На результаты измерения влияют двенадцать систематических ошибок,
представленные в таблице 2.1.6
Таблица 2.1.6 Двенадцать систематических ошибок при измерении S параметров
Рис 2.1.7 Схема двухпортовой калибровки
Векторный анализатор автоматически устраняет эти ошибки и в результате
калибровки появляется возможность мерить истинное значение S параметров. На рисунке 2.1.7
представлена схема двухпортовой колибровки, где КК - короткое замыкание, а ХХ -
холостой ход.
Для автоматической калибровки применяются калибровочные модули, например,
модуль представленный на рисунке 2.1.8
Рис 2.1.8 Автоматический модуль для двухпортовой калибровки
Параметры, которые были установлены на приборе, калибровка, а также
результаты измерений могут быть сохранены в следующих форматах: CSV, s2p, s1p,
которые в дальнейшем могут быть использованы программными обеспечениями,
например, Microwave Office.
2.2.
Программное обеспечение для моделирования и исследования высокочастотных схем
С помощью современных программных обеспечений можно не только
просчитывать готовые схемы, но синтезировать прибору внутри программ, использую
электродинамические свойства приближенные к реальности. Развитие методов
исследования нелинейных устройств позволяет быстро и точно просчитывать многие
электродинамические эффекты возникаемые в высокочастотных схемах. Одним из
наиболее мощных инструментов моделирования высокочастотных и
сверхвысокочастотных схем является AWR Microwave Office.
Внешний вид программы имеет стандартный стиль Windows программ. Сам проект содержит электрические схемы,
подсхемы, графики измеренных параметров, топологию и другие данные, рисунок
2.2.1.
Рис. 2.2.1. Внешний вид программы Awr Microwave office
Панели разбиваются на три пункта: Project - содержит все данные и файлы проекта, Elements - содержит все элементы для
формирования схем, Layout - содержит
в себе топологию проекта.
В папке Circuit Schematics хранится файл созданной схемы. В
папке Graphs - находится графики и измеренные
параметры. Графики могут быть представлены в различных форматах: прямоугольные,
полярные, в виде диаграммы Смита и другие. Во вкладке меню Project Options есть возможность изменить диапазон частот, на которых
будет происходить измерение, рисунок 2.2.2.
В данной программе используются метод объединения матриц, которые
рассчитываются с помощью теории цепей, что позволяет программе стать на новый
уровень. Программа позволяет просчитывать и строить графики для многих
параметров таких как:
. Матрицы S, Z,H,Y,G параметров;
. Коэффициенты усиления и устойчивости;
. Электродинамические параметры и др.
Рис 2.2.2 Вкладка меню Project Options
Также следует описать те элементы, которые будут использоваться для
моделирования усилителя. Описания элементов взяты с сайта
#"902724.files/image088.gif">
Рис 2.2.3 Символ элемента TLIN
Таблица 2.2.1 Параметры элемента TLIN
|
Имя
|
Описание
|
Тип данных
|
По умолчанию
|
|
ID
|
Имя
|
Текст
|
TL1
|
|
Z0
|
Импеданс линии
|
Сопротивление
|
50 Om
|
|
EL
|
Электрическая длина на
частоте F0
|
Угол
|
900
|
|
F0
|
Используемая частота для EL
|
Частота
|
10 GHz
|
· MLIN - элемент моделирует реальную линию, которая
учитывает потери на диэлектрике и емкостные потери. Параметры элементра
представлены в таблице 2.2.2.
Таблица 2.2.2 Параметры элемента MLIN
|
Имя
|
Описание
|
Тип данных
|
По умолчанию
|
|
ID
|
Имя
|
Текст
|
TL1
|
|
W
|
Ширина линии
|
Длина
|
W
|
|
L
|
Длина линии
|
Длина
|
L
|
|
MSUB
|
Подложка
|
Текст
|
MSUB#
|
Рис. 2.2.4 Символ и топология элемента TLIN
· MSUB - элемент моделирующий подложку на которой находится
микрополосковая линия. Параметры приведены в таблице
Таблица 2.2.3 Параметры элемента MSUB
|
Имя
|
Описание
|
Тип данных
|
По умолчанию
|
|
Er
|
Относительная
диэлектрическая проницаемость
|
Число
|
Er
|
|
H
|
Толщина подложки
|
Длина
|
H
|
|
T
|
Толщина проводника
|
Длина
|
T
|
|
Rho
|
Объемное сопротивление,
приведённое к золоту
|
Число
|
Rho
|
|
Tand
|
Тангенс угла
потерь диэлектрика
|
Число
|
0
|
Номинальная
относительная диэлектрическая проницаемость
|
Число
|
Er
|
|
Name
|
Имя подложки
|
Текст
|
SUB
|
Рис 2.2.5 Символ и описание параметров элемента MSUB
· MTEE$ - элемент для разветвления микрополосковых линий.
Как видно по рисунку 2.2. 6, этот элемент имеет три узла, к которым
подключаются микрополосковые линии. Ширина каждого узла принимается в
зависимости
Рис 2.2.6 Символ элемента MTEE$
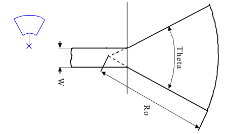
· MRSTUB2W - элемент моделирует высокочастотные заглушки,
которые завершают микрополосковые линии.
|
Имя
|
Описание
|
Тип данных
|
По умолчанию
|
|
ID
|
Номер элемента
|
Текст
|
|
|
W
|
Ширина контактирующей линии
|
Длина
|
|
|
R0
|
Внешний радиус
|
Длина
|
|
|
Theta
|
Угол заглушки
|
Угол
|
|
|
MSUB
|
Подложка
|
Текст
|
|
Рис 2.2.6 Символ и топология элемента MRSTUB2W
Программа AWR предоставляет
широкий спектр инструментов по оптимизации. Параметры элемента можно
оптимизировать вручную. Для этого необходимо воспользоваться инструментом Tune Tool, который выбирает те параметры что будут
оптимизироваться в панели инструментов. Следующим шагом является использование
инструмента Tune, который выводим ползунки для
каждого выбранного параметра. Изменяя положения ползунка, меняется значение
параметра с выбранным шагом, рисунок 2.2.7. Программа просчитывает
автоматически схемы и результаты выводит на графики, с помощью которых
подбирается необходимые параметры схемы.
Рис 2.2.7 Ручная оптимизация в AWR Microwave Office
В программе реализован расчет волнового сопротивления микрополосковых
линий. Эта функция появляется после установки улиты TXLine. В TXLine есть
возможность просчитывать волновое сопротивление таких элементов как
симметричные микрополосковые линии, несимметричные микрополосковые линии,
копланарные линии, копланарные круглые коаксиальные линии, щелевые линии и др.
Общий вид программы представлен на рисунке 2.2.8.
Рис. 2.2.8 программа для расчета волнового сопротивления TXLine
позволяет зная параметры линии, такие как импеданс, рабочая частота,
электрическая длина линии, находить параметры реальной микрополосковой линии.
2.3 Описание
тестового транзистора
В качестве тестового МОП транзистора была взята модель BF998. Описание МОП транзистора взято
из технической спецификации[15]. Транзистор произведен компанией NXP
Semiconductor. Он имеет короткий канал и высокий прямой адмиттанс по отношению
к входной емкости. Вплоть до 1 ГГц транзистор имеет низкий уровень шумов.
Область применения этого транзистора: ВЧ и СВЧ приборы с питание до 12 В, такие
как профессиональное коммуникационное оборудование и телевизионные тюнеры.
Транзистор помещен в пластмассовый корпус типа SOT143B. Транзистор защищен от
скачков напряжений с помощью интегрированных диодов, которые направлены друг к
другу между затвором и истоком, рисунок 2.2.1.
Рис. 2.2.1 Схема транзистора BF998, вид сверху
Таблица 2.2.1 Номера пинов
|
PIN
|
Символ
|
Описание
|
|
1
|
s, b
|
Исток
|
|
2
|
d
|
Сток
|
|
3
|
g1
|
Затвор 1
|
|
4
|
g2
|
Затвор 2
|
Таблица 2.2.2 Общие характеристики BF998
|
Символ
|
Параметры
|
TYP.
|
MAX.
|
Ед. измерения
|
|
|
|
|
|
|
VDS
|
Напряжение сток истока
|
|
12
|
V
|
|
ID
|
Ток стока
|
|
30
|
mA
|
|
Ptot
|
Общая потребляемая мощность
|
|
200
|
mW
|
|
yfs
|
Адмитанс прямой передачи
|
24
|
|
mS
|
|
Cig1-s
|
Входная емкость на затворе
1
|
2.1
|
|
pF
|
Таблица 2.2.2 Ограничения BF998
|
Символ
|
Параметры
|
MIN.
|
MAX.
|
Ед. измерения
|
|
IG1
|
Ток на затворе 1
|
|
10
|
mA
|
|
IG2
|
Ток на затворе 2
|
|
10
|
mA
|
|
Ptot
|
Максимальная мощность
|
|
200
|
mW
|
Таблица 2.2.3 Статические характеристики BF998
|
SYMBOL
|
Параметры
|
УСЛОВИЯ
|
MIN.
|
MAX.
|
Ед. изм.
|
|
|
|
|
|
|
|
V(BR)G1-SS
|
Напряжение пробоя на
затворе 1
|
VG2-S = VDS = 0;
IG1-SS = 10 mA
|
6
|
20
|
V
|
|
V(BR)G2-SS
|
Напряжение пробоя на
затворе 2
|
VG1-S = VDS = 0;
IG2-SS = 10 mA
|
6
|
20
|
V
|
|
V(P)G1-S
|
Напряжение отсечки на
затворе 1
|
VG2-S = 4 V; VDS
= 8 V; ID = 20 A
|
|
2.0
|
V
|
|
V(P)G2-S
|
Напряжение отсечки на
затворе 2
|
VG1-S = 0; VDS =
8 V; ID = 20 A
|
|
1.5
|
V
|
|
IDSS
|
Ток сток истока
|
VG2-S = 4 V; VDS
= 8 V; VG1-S = 0
|
2
|
18
|
mA
|
|
IG1-SS
|
Ток отсечки на затворе 1
|
VG2-S = VDS = 0;
VG1-S = 5 V
|
|
50
|
nA
|
|
IG2-SS
|
Ток отсечки на затворе 2
|
VG1-S = VDS = 0;
VG2-S = 5 V
|
|
50
|
nA
|
Таблица 2.2.4 Динамические характеристики
|
SYMBOL
|
PARAMETER
|
УСЛОВИЯ
|
MIN.
|
TYP.
|
MAX.
|
Ед. Изм.
|
|
|
|
|
|
|
|
|
yfs
|
forward transfer
admittance
|
f = 1 kHz
|
21
|
24
|
|
mS
|
|
Cig1-s
|
Входная емкость затора 1
|
f = 1 MHz
|
|
2.1
|
2.5
|
pF
|
|
Cig2-s
|
Входная емкость затора 2
|
f = 1 MHz
|
|
1.2
|
|
pF
|
|
Cos
|
Выходная емкость
|
f = 1 MHz
|
|
1.05
|
|
pF
|
|
Crs
|
Обратная передаточная
емкость
|
f = 1 MHz
|
|
25
|
|
fF
|
Таблица 2.2.1 S параметры МОП
транзистора BF998
S
параметры модели разработаны компанией SIEMENS AG Semiconductor Group, таблица2.2.2.
2.4 Измерение
характеристик и параметров КМОП элемента
Для измерения статический характеристик bf998 был разработан и произведен тестовый образец, рисунок
2.4.1. Этапы подготовки:
· Создание топологии тестового образца в программе Layout
Sprint 6;
· Перевод этой топологии на подложки из текстолита;
· Травление платы;
· Монтаж МОП транзистора на подложку и проводов для выхода на
измерительные приборы.
Рис. 2.4.1 (а) Протравленный образец, (б) Спаянная плата
Для измерения статических характеристик был использован прибор Keytley 2400. Он позволяет одновременно
подавать и снимать напряжение и ток с двух каналов. Генератор постоянного тока
был подключен ко второму затвору и подавал напряжение 4 В на затвор 2.
Сток-затворная и выходная характеристики представлены на рисунках 2.4.2 и 2.4.3
соответственно.
Условия измерения сток-затворной характеристики:
· Напряжение на затворе 1: от -0.5 В до 0.5 В с шагом 0.1;
· Напряжение на затворе 2: 4 В;
· Напряжение стоке: от 0 В до 7 В с шагом 0.1 В;
· Ограничения по мощности: 200 Вт;
· Температура измерения: 300 K.
Рис. 2.4.2 Сток-затворная характеристика BF998
Условия измерения выходной характеристики:
· Напряжение на затворе 1: от -1 В до 0.6 В с шагом 0.05;
· Напряжение на затворе 2: 4 В;
· Напряжение стоке: от 0.05 В до 4 В с шагом 0.79 В;
· Ограничения по мощности: 200 Вт;
· Температура измерения: 300 K.
Рис. 2.4.2. Выходная характеристика BF998
2.5
Проектирование высокочастотного усилителя на МОП транзисторе с использованием
S-параметров
При проектировании усилителя необходимо учитывать параметры МОП
транзистора, на котором будет работать эта схема, поэтому для этого необходимы S параметры МОП транзистора, которые
описаны в таблице 2.2.1. Максимум усиления будет приходиться на частоту 0.5
ГГц. Разработка будет проходить в программе AWR Microwave Office.
Для начала проектирования возьмем принципиальную схему, рисунок 2.5.1.
Необходимо согласовать входной и выходные цепи с четырехполюсником, который
является набором S параметров.
Согласование может быть сделано двумя способами или введение в схему емкостных
и индуктивных элементов или с помощью подбора микрополосковых линий, которые
обеспечивают такой же эффект как и дискретные элементы. В данной работе будет
использован усилитель на микрополосковых линиях. Схема усилителя взята из
статьи “Design Of Low Noise Amplifier using AWR Microwave Office”[6].
Для того чтобы согласовать выходной импеданс кабеля и входной импеданс
необходимо подобрать параметры микрополосковых линий усилителя. Для этой цели я
воспользовался инструментами Tune и
Tune Tools, которые были описаны в главе посвященной AWR Microwave Office.
Нахождение параметров линии будут проводиться в программе “TXLine” из
программы AWR.
Рис 2.5.1 Усилитель мощности на активном четырехполюснике
С помощью программного обеспечения AWR Microwave Office. Была построена схема усилителя на идеальных линиях TLIN. Общий вид представление на рисунке
2.5.2. С помощью инструментов оптимизации были подобраны те параметры, которые
давали наибольшее усиление.
В результате этих действий было найдены параметры элементов, при которых
входные и выходные импедансы были согласованы. Результаты измерения S-параметров в программе представлены
на рисунке 2.5.2. Как видно на всем диапазоне получается усиление с максимумом
в 10.2 dB на частоте 0.67 ГГц.
После построения идеального усилителя необходимо просчитать параметры
усилителя на микрополосках. Для этой цели была использована программа TXLine, которая позволяет найти параметры
микрополоской линии, зная параметры идеальной линии.
Рис. 2.5.2 Модель идеального высокочастотного усилителя
Рис. 2.5.3 S параметры
идеального высокочастотного усилителя
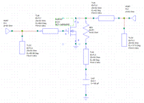
В результате получился усилитель, представленный на рисунке 2.2.4
Рис 2.5.4 Микрополосковый усилитель на МОП транзисторе BF998
Также в усилителе были выведены два ответвления с заглушками для подачи
напряжения смещения и питания усилителя. В результате максимальное усиление
получилось равным 10.4 dB на
частоте 0.62 Ггц, рисунок 2.5.5. Параметры S11 и S22
приведены на рисунке 2.5.6.
Рис. 2.5.5. Параметр S21
усилителя в AWR Microwave Office
Рис. 2.5.6 Параметры S11 и S22 на диаграмме Смита
2.6
Изготовление высокочастотного усилителя на МОП транзисторе и измерение его
характеристик и параметров
Высокочастотный усилитель спроектирован на микрополосковых линиях,
поэтому для его изготовления использовался текстолит и элементы в SMD корпусах. Первым делом была
спроектирована топология подложки в AWR Microwave Office, рисунок 2.6.1. После чего эта же
топология была реализована в программе Layout Sprint
6 для того чтобы распечатать на глянцевой бумаге, рисунок 2.6.1.
Рис. 2.6.1 Топология высокочастотного усилителя разработанная в AWR Microwave Office
Рис 2.6.2 Топология высокочастотного усилителя разработанная в Layout Sprint 6
Часть, закрашенная черным цветом будет служить маской при травлении.
После печати чернила были переведены на текстолит с помощью теплового и
механического воздействия, рисунок 2.6.2.
Рисунок 2.6.2. Маска усилителя на текстолите
После того как была изготовлена маска, текстолит был помещен в раствор
для травления. В результате получилась подложка, представленная на рисунке
2.6.4.
Рис. 2.6.4. Подложка высокочастотного усилителя
После изготовления платы, следующим шагом идет монтаж SMD элементов и SMA разъемов. Паяние элементов происходило при защите от
статического заряда, который может повредить МОП транзистор.
Рис 2.6.5. Готовая схема высокочастотного усилителя на МОП транзисторе BF998 с разъемами SMA
Для проверки работоспособности усилителя использовался генератор
синусоидального сигнала ГСС 120, источник постоянного напряжения GPD-73303D и осциллограф Tektronix TDS 3032B. Подавая напряжение смещения и
питание на затвор и сток, с помощью источника напряжения, снимались
осциллографом входящий и выходящий сигнал высокочастотного усилителя. При
частоте генератора равной 0,1 МГц получилось усиление равное 6 dB, рисунок 2.6.6. Напряжение,
подаваемое на затвор 1В, а на сток 10В.
После нахождения рабочей точки, высокочастотный усилитель был подключен к
векторному анализатору “Обзор 304/1” для измерения S-параметров, рисунок 2.6.7. С помощью источника постоянного
напряжения GPD-73303D на МОП транзистор подавалось питание, а “Obzor-304/1” измерял S параметры. Результаты измерения S параметров представлены на рисунке
2.6.8.
Рис. 2.6.6. Усиление выходного сигнала изготовленным усилителем, масштаб
одинаковый для входного и выходного сигнала
Рис. 2.6.7 Измерение S
параметров высокочастотного усилителя на МОП транзисторе
Рис. 2.6.8. Измеренные S21 параметра высокочастотного усилителя на МОП
транзисторе
.7 Сравнение
измеренных и рассчитанных характеристик усилителя на МОП транзисторе
Теперь, обладая смоделированными характеристиками S-параметров в AWR Microwave Office и измеренными в “Обзор 304-1”, можно сравнить
полученные данные, рисунок 2.7.1.
Как видно, до частоты 0.4 ГГц характеристики хорошо согласуются.
Погрешность между характеристиками не более чем 20%. На частотах от 0.4 до 1 ГГц
графики, смоделированные в AWR Microwave Office и измеренными в “Обзор 304-1”, не
совпадают. Измеренный параметр S21
уходит в минус и перестает усиливать сигнал.
Рис. 2.7.1 Сравнение измеренных и смоделированных параметров S21 высокочастотного усилителя на МОП
транзисторе
Причиной того, что сигнал начинает резко падать является то, что схема
высокочастотного усилителя изготовлена не идеально. Во время работы не было
возможности изготовить дорожки с большой точностью, а также обеспечить
равномерную толщину микрополосковых линий. Но эти недостатки начинают сильно
сказываться только на частотах выше 0.4 ГГц. На более низких частотах, когда
выше перечисленные факты играют меньшую роль, смоделированный и измеренный S21 параметры совпадают, что
доказывает правильность расчетов.
Заключение
(выводы)
В результате работы была изучена и проанализирована литература по
высокочастотным эффектам в КМОП схемах и по проектированию высокочастотных
учителей на МОП транзисторах.
Были изучены модели МОП транзисторов, используемые для анализа КМОП схем
на высоких частотах, которые показали, что наименьшую погрешность моделирования
имеет модель MOS9.
Измерены статистические и динамические характеристики МОП транзистора BF998, который впоследствии был
использован в качестве основного элемента высокочастотного усилителя. С помощью
модели МОП транзистора в виде S-параметров
был разработан высокочастотный усилитель.
Разработка и оптимизация высокочастотного усилителя проводилось в
программах AWR Microwave Office и TXLine.
Согласование выходного импеданса кабеля генератора и входного импеданса схемы
проводилось с помощью микрополосковых линий. Были промоделированы
характеристики полученного усилителя и найдена зависимость усиления схемы от
частоты.
Спроектированная схема усилителя была реализована в виде схемы с SMD компонентами и SMA разъемами. Описан подробный процесс
изготовления схемы. Схема была изучена и проанализирована. С помощь генератора
синусоидального сигнала ГСС 120, источника постоянного напряжения GPD-73303D и осциллограф Tektronix TDS 3032B была найдена рабочая точка
усилителя. Получены: коэффициент усиления (6 дБ) на частоте 120 МГц.
С помощью “Обзор 304-1” исследованы S параметры высокочастотного усилителя на МОП транзисторе.
Проведено сравнение измеренных характеристик в “Обзор 304-1” и смоделированной
в AWR Microwave Office. В диапазоне от 0.1 до 0.4 ГГц обе характеристики
хорошо соответствовали друг другу и погрешность между ними не превышала 20%.
Список литературы
[1] Trond Ytterdal /
Device Modelling for ANALOG and RF CMOS Circuit Design // Trond Ytterdal, Yuhua
Cheng, Tor Fjeldly / John Wiley & Sons Ltd / England. - 2003. - p. 291
[2] J.SAIJETS / A
Comparative Study of Various MOSFET Models at Radio /J.SAIJETS, M. ANDERSSON,
M. ̊ABERG // Analog Integrated Circuits and Signal Processing. - 2002. -
p. 5-17
[3] H. JEN / A
High-Frequency MOS Transistor Model and its Effects on Radio-Frequency Circuits
// Steve H. Jen, Christian Enz, David R. Pehlke, Michael Schroter, Bing J. Sheu
/ Swiss Center for Electronics and Microtechnology (CSEM) / Neuchatel,
Switzerland. 1999 / p. 9
[4] Электронный ресурс /
Калифорнийский университет “Berkeley” http://rfic.eecs.berkeley.edu/142/index.html
[5] Дьяконов В.П. / Энциклопедия
устройств на полевых транзисторах // Дьяконов В.П., Максимчук А.А., Ремнев
А.М., Смердов В.Ю. / Солоно-Р - М:. 2002 / стр. 512
[6] Maganti Akhil Chandra
/ Design Of Low Noise Amplifier using AWR Microwave Office// Maganti Akhil
Chandra, Rahul Enishetty / Hochschule Bremen / 2013 - p. 5
[7] Weidong Liu /
BSIM3v3.3 MOSFET Model // Weidong Liu, Xiaodong Jin, Xuemei Xi, James Chen /
The Regents of the University of California / USA. - 2005. - p. 200
[8] Сайт научно-производственного
предприятия ЗАО ПФ «ЭЛВИРА» http://www.elvira.ru/
[9] Руководство по эксплуатации:
Измерители комплексных коэффициентов передачи и отражения «Обзор - 304».: Planar, 2012. - 277 стр.
[10] Series 2600 System
SourceMeter // Keithley / Manual / Berkshire England/ 2015 / p. 108
[11] Генераторы сигналов специальной
формы ГСС 120 // Руководство по эксплуатации / Акин / М:. 2015 с. 58
[12] Источник питания GPD-73303D / Good Will Instrument. 2015 p.1
[13] Digital Phosphor
Oscilloscopes // Tektronix / Manual / Berkshire England. 2015 p. 8
[14] Microwave Office Element
Catalog // NI AWR Design Environment / El Segundo USA:.2016 - p. 1766
[15] BF998 datasheet /
Infineon // datasheet / 2007 p.9
[16] D.Foty / Effective
MOSFET Modeling for SPICE Circuit Simulation / D.Foty // Gilgamesh Associates
Black Mountain Road Fletcher VT 05444 / USA. - 2001. - p. 228 - 235