Тепловизионное обследование квартиры в жилом доме средней этажности
СОДЕРЖАНИЕ
ВВЕДЕНИЕ
ТЕОРЕТИЧЕСКИЕ ОСНОВЫ ИССЛЕДОВАНИЯ
1.1 История
открытия инфракрасного излучения
.2 Краткие
сведения по теории инфракрасного излучения
.3
Теплообмен излучением между двумя телами
ТЕПЛОВИЗОРЫ.
ОСНОВНЫЕ ПРАВИЛА ПРОВЕДЕНИЯ ТЕПЛОВИЗИОННОГО ОБСЛЕДОВАНИЯ СТРОИТЕЛЬНОГО ОБЪЕКТА
.1
Тепловизоры. Классификация тепловизоров
.2
Технические характеристики современных тепловизоров
.3 Основные
правила проведения тепловизионного обследования строительного объекта
ТЕПЛОВИЗИОННОЕ
ОБСЛЕДОВАНИЕ КВАРТИРЫ В ЖИЛОМ ДОМЕ СРЕДНЕЙ ЭТАЖНОСТИ (Г. ВОЛОГДА)
.1
Обработка термограмм в прикладной программной среде IRSoft
.2
Результаты тепловизионного обследования жилой квартиры
ОЦЕНКА
СТОИМОСТИ ПРОВЕДЕНИЯ ТЕПЛОВИЗИОННОГО ОБСЛЕДОВАНИЯ ОБЪЕКТА КОНТРОЛЯ
АВТОМАТИЗАЦИЯ
ТЕПЛОВИЗИОННОГО ОБСЛЕДОВАНИЯ
ЭКОЛОГИЧНОСТЬ
ИНФРАКРАСНОГО ИЗЛУЧЕНИЯ
.1
Особенности инфракрасного излучения
.2
Воздействие инфракрасного излучения на человека
.3
Воздействие инфракрасного излучения на окружающую среду
ЗАКЛЮЧЕНИЕ
СПИСОК ИСПОЛЬЗОВАННЫХ ИСТОЧНИКОВ
ПРИЛОЖЕНИЕ 1
ВВЕДЕНИЕ
Температура, в физическом смысле этого слова,
это мощность инфракрасного излучения. Это излучение для глаза человека
невидимо, и только очень сильно нагретые тела начинают испускать волны, лежащие
в пределах светового диапазона. Температура - самое универсальное отражение
состояния физического тела. При практически всех «заболеваниях» теплового
объекта, изменение температуры является самым первым симптомом, указывающим нам
на «болезнь». Температурные реакции, на те или иные режимы работы в силу своей
универсальности, возникают на всех этапах эксплуатации оборудования. Применение
тепловизионной диагностики основано на том, что наличие практически всех видов
дефектов оборудования вызывает изменение температуры дефектных элементов и, как
следствие, изменение интенсивности инфракрасного излучения, которое может быть
зарегистрировано тепловизионным прибором. Важно, чтобы измерялось собственное
излучение обследуемого объекта, связанное с наличием и степенью развития
дефекта. Присутствие дефекта выявляется сравнением температуры аналогичных
участков поверхности аппаратов, работающих в одинаковых условиях нагрева и
охлаждения.
Тепловизионная диагностика обладает огромным
потенциалом для оценки теплового состояния зданий и сооружений. Она выявляет дефекты
на самой ранней стадии их развития, что позволяет планировать объемы и сроки
проведения ремонтных работ по фактическому состоянию строительного объекта.
Плановый вывод из эксплуатации дефектного теплового оборудования (на основе
современных средств диагностики) значительно повышает надежность и безопасность
эксплуатации инженерных коммуникаций, существенно сокращает потери
энергоресурсов. Особая ценность тепловидения в том, что диагностика
осуществляется без вывода всей теплопотребляющей системы из работы.
К настоящему времени также накоплен значительный
опыт тепловизионной диагностики на объектах электроэнергетики. Опыт применения
тепловидения показал его значительную эффективность, особенно при контроле
контактных соединений на предприятиях электроэнергетики. К примеру, в РАО «ЕЭС
России» разработаны методики тепловизионной диагностики практически для всех
видов электрооборудования. Метод стал нормативным и включен в шестое издание
сборника «Объем и нормы испытаний электрооборудования».
Тепловизионное обследование ограждающих
конструкций зданий проводится согласно ГОСТ 26629-85 «Здания и сооружения.
Метод тепловизионного контроля качества теплоизоляции ограждающих конструкций»
и позволяет осуществлять тепловизионный контроль качества изоляции и герметичности
здания, выявить участки повышенного содержания влаги и провести испытания
ограждающих конструкций зданий: наружных стен, покрытий, чердачных перекрытий,
перекрытий над проездами, холодными подпольями и подвалами, ворот и дверей в
наружных стенах, а также оконных и балконных дверных блоков и других
ограждающих конструкций, разделяющих помещения с различными
температурно-влажностными условиями. Энергетическое обследование зданий и
сооружений предусматривает, наряду с энергоаудитом инженерных сетей, проведение
тепловизионного обследования ограждающих конструкций.
В выпускной квалификационной работе рассмотрены
следующие вопросы:
) история открытия инфракрасного излучения,
основные свойства и законы лучистого теплообмена, теплообмен между телами;
) классификация тепловизоров и их технические
характеристики, основные требования по организации и проведению тепловизионной
диагностики объектов теплового потребления
) обработка тепловых изображений (термограмм) в
программных средах на примере IRSoft (компания Testo AG,
Германия);
) тепловизионное обследование объекта контроля
на примере квартиры в жилом здании и составление технического отчета-протокола
о результатах термографирования строительного объекта;
) метрологическая карта средств измерений,
экономические и экологические аспекты тепловизионной съемки зданий и
сооружений.
1. ТЕОРЕТИЧЕСКИЕ ОСНОВЫ ИССЛЕДОВАНИЯ
1.1 История открытия
инфракрасного излучения
Гипотеза о существовании невидимых «тепловых»
лучей является весьма древней. Еще римский философ-материалист Тит Лукреций Кар
(ок. 99-55 гг. до н. э.) в своем сочинении «О природе вещей» писал [1-3]:
«Может быть, также небес светильник розовый -
Солнце
Множеством жарких огней обладает, невидимых
нами,
Что окружает его совершенно без всякого блеска,
Лишь умножая своей теплотою лучей его силу».
Тем не менее, систематическое исследование
теплового излучения началось только в последней четверти XVIII в., когда
широкое применение паровых машин в металлургической и химической
промышленности, тесно связанных с тепловыми процессами, стимулировало развитие
учения о теплоте.
Впервые понятие «тепловое излучение» было
введено выдающимся шведским химиком Карлом Шееле (1742-1786), посвятившим
свойствам «лучистой теплоты» отдельную главу в «Химическом трактате о воздухе и
огне».
Через два года после опубликования трактата К.
Шееле посмертно вышла «Пирометрия» немецкого математика и физика Иоганна
Ламберта (1728-1777). И. Ламберт впервые экспериментально доказал, что тепловые
лучи распространяются прямолинейно и что их интенсивность убывает обратно
пропорционально квадрату расстояния. Следует отметить, что как И. Ламберт, так
и К. Шееле видели и подчеркивали сходство между тепловыми и световыми лучами
(прямолинейное распространение, отражение), но о тождестве их не могло быть и
речи. Лишь дальнейшее развитие теории теплового излучения и ее подтверждение
экспериментальными данными привело к более глубокому пониманию взаимосвязи
теплового и светового излучений.
Швейцарский натуралист Марк-Август Пикте
(1752-1825) при проведении знаменитого опыта с «отраженным холодом» установил,
что если во взаимодействии находятся два тела неодинаковой температуры, то
более теплое тело отдает теплоту и его температура понижается и наоборот. Когда
температура обоих тел одинакова, никакой отдачи и поглощения теплоты не
существует. Этим объяснением М.-А. Пикте устранялось понятие «лучей холода».
Профессор Женевской Академии Пьер Прево
(1751-1839) в 1771 г. высказал мысль о том, что тела, имеющие одинаковую
температуру, все же обмениваются излучением. Он первый показал, что
энергетическое равновесное состояние носит динамический характер. Согласно П.
Прево всякое нагретое тело испускает тепловые лучи, подобно тому, как всякое
светящееся тело испускает световые лучи. Тепловые лучи представляют собой
тепловые частицы, движущиеся в пространстве прямолинейно с большой скоростью.
Все пространство пронизано этими лучами из тепловых частиц. Каждую точку на
поверхности нагретого тела можно рассматривать как центр, из которого
испускаются тепловые частицы во всех направлениях и к которому эти частицы
притекают со всех сторон. Иными словами, каждое тело постоянно излучает теплоту
и получает ее благодаря такому же тепловому излучению от окружающих тел.
Отношение между этими количествами теплоты определяет температуру тела.
Английский астроном немецкого происхождения
Уильям Гершель (1738-1822) в начале 1800 г. заметил, что стекла различных
цветов, употребляемые как светофильтры телескопов, по-разному поглощают свет и
теплоту солнечных лучей. Помещая чувствительный термометр с зачерненным шариком
в каждую цветную полосу солнечного спектра, ученый обнаружил, что показания
термометра увеличиваются по мере продвижения от фиолетовой полосы к красной.
Таким образом, была обнаружена зависимость между интенсивностью поглощения
инфракрасных лучей телом и цветом его поверхности. Через некоторое время У.
Гершель показал, что невидимые тепловые лучи отражаются и преломляется так же,
как и видимый свет. Однако, противники У. Гершеля и даже он сам, сомневались в
результатах экспериментальных исследований. Наиболее рьяные оппоненты, как Джон
Лесли (1766-1832) и сэр Дэвид Брюстер (1781-1868), отрицали существование
инфракрасных лучей и считали, что «воображаемые невидимые солнечные лучи
являются ничем иным, как нагретым воздухом, окружающим светящееся тело». Дж.
Лесли, повторяя научный эксперимент У. Гершеля, не обнаружил увеличение
показаний ртутного термометра за пределами красной полосы. Критика Дж. Лесли и
Д. Брюстера, несмотря на ошибочное отрицание реального существования инфракрасных
лучей, имела и положительное значение. Она вскрыла непоследовательность в
рассуждениях У. Гершеля и явилась толчком для развязывания дискуссии,
способствовавшей выяснению природы теплового излучения.
Одним из первых, кто признал открытие У. Гершеля,
был П. Прево. Идеи У. Гершеля были поддержаны также английским физиком Томасом
Юнгом (1773-1829), который уже в 1802 г. высказал предположение о том, что
световые лучи отличаются от тепловых лишь частотой колебаний. К 1830 г. опыты
У. Гершеля были повторены в достаточном количестве для того, чтобы считать
окончательно установленным факт существования невидимых лучей, расположенных за
красной частью видимого солнечного спектра и вызывающих нагревание ртутного
шарика термометра. Эти лучи позже были названы французским физиком Антуаном
Анри Беккерелем (1852-1908) инфракрасными.
Дальнейшее исследование свойств инфракрасных
лучей связано с именем итальянского физика Маседонио Меллони (1798-1854),
посвятившим всю свою научную деятельность вопросам теплового излучения. В 1833
г. М. Меллони показал, что различные вещества в неодинаковой степени пропускают
инфракрасные лучи, и это свойство он обозначил словом «диатерман», т. е.
теплопрозрачный. Кроме того, исследователь убедился, что одно и то же тело
неодинаково пропускает инфракрасные лучи от различных источников.
Французский физик и математик Андре-Мари Ампер
(1775-1836), руководствовавшийся плодотворной философской идеей о единстве сил
природы, пришел к выводу об общей природе тепловых и световых лучей на основе
волновой теории света. Различия в их прохождении сквозь тела А.-М. Ампер
объяснял неодинаковыми длинами волн.
Последующее внимание ученых
сосредоточилось на определении длины волны инфракрасных лучей. Арман Физо
(1819-1896) и Жан Фуко (1819-1868), изучая в 1847 г. явление интерференции
инфракрасных лучей, эталонируют спектр до 
. Американский астрофизик Самюэль
Ланглей (1834-1906) в 1881 г. с помощью болометра определяет с поразительной
для того времени точностью дисперсии флинта до 
и каменной соли до 
. Фридрих Пашен (1865-1947) с
помощью флюорита продвигает исследования инфракрасных лучей до 
, а Генрих Рубенс (1865-1922) - до 
. В 1897 г. Г. Рубенс и Эрнест
Никольс (1869-1924) открывают метод остаточных лучей и проходят по спектру до 
. В 1910 г. Г. Рубенс и Роберт Вуд
(1868-1955), оперируя кварцевыми линзами, выделяют излучения с длиной волны 
. Несколько позже Г. Рубенс и Адольф
фон Байер (1835-1917), оперируя той же техникой, в 1914 г. измеряют излучение
газосветной кварцевой лампы с парами ртути до 
. В 1922 г. Герда Ласки (1893-1928)
выделяет излучение с длиной волны 
, а Э. Никольс в 1923 г. повторяет
опыты Г. Рубенса и А. фон Байера и обнаруживают инфракрасные лучи длиной волны 
в излучении маленького
электрического осциллятора. Окончательный мост между электромагнитными
колебаниями, генерируемыми приборами и излучениями, испускаемыми молекулами и
атомами, удалось перекинуть в 1923 г. профессору Московского университета
Александре Андреевне Глаголевой-Аркадьевой (1884-1945) с помощью массового
излучателя. Этот источник, в котором электрические искры пропускались через
смесь металлических опилок с вязким маслом (вибрационная масса), позволил
получить волны длиной от 
до нескольких сантиметров, т. е.
волны, с избытком перекрывшие существовавший тогда пробел в шкале
электромагнитных колебаний. Исследованиями А.А. Глаголевой-Аркадьевой были
устранены все следы гипотетичности в общности спектра электромагнитных
колебаний и подтверждено единство электромагнитной природы света и радиоволн.
Одновременно с исследованиями по
определению длин волн инфракрасных лучей разрабатывалась теория теплового
излучения. Фундаментом этой теории явился закон, установленный выдающимся
немецким физиком Густавом Кирхгофом (1824-1887). Исходя из термодинамического
принципа, согласно которому в системе тел, имеющих одну и ту же температуру,
взаимные излучения не нарушают равновесия, Г. Кирхгоф обнаружил, что отношение
излучательной способности тела к поглощательной способности одинаково для всех
тел, не зависит от их природы и является универсальной функцией длины волны излучения
и температуры. Немецкий ученый допустил возможность существования тела,
полностью поглощающего весь падающий на него поток независимо от его
температуры, которое он назвал абсолютно черным.
В 1879 г. австрийский физик Йозеф
Стефан (1835-1893) сформулировал закон интегрального излучения, согласно
которому суммарная энергия излучения любого тела пропорциональна разности
четвертых степеней абсолютных температур тела и окружающей среды. В 1884 г.
знаменитый австрийский ученый Людвиг Больцман (1844-1906) дал строгое
теоретическое доказательство закона Й. Стефана и показал, что он справедлив
лишь для абсолютно черного тела. В дальнейшем этот закон получил название
закона Стефана-Больцмана.
Так как плотность излучения
абсолютно черного тела и распределение по частотам однозначно определяются
температурой тела, то ее условно можно назвать температурой излучения. Понятие
«температура излучения» было введено в 1893 г. русским физиком Борисом
Борисовичем Голицыным (1862-1916) в магистерской диссертации «Исследование по
математической физике».
Выдающийся немецкий физик-теоретик
Макс Планк (1858-1947), который после смерти Г. Кирхгофа, стал его преемником в
Берлинском университете, определил универсальную зависимость излучательной
способности абсолютно черного тела от длины волны и температуры. При
теоретическом обосновании найденного закона М. Планк имел смелость порвать с
классической физикой и ввести по необходимости идею о прерывном, квантовом
обмене энергией между излучающими системами. Теория М. Планка основана на
предположении, что в каждом весомом теле содержится громадное число
электромагнитных вибраторов - «резонаторов», каждый из которых обладает
собственным периодом. М. Планк допустил, что поглощение и отдача энергии
резонаторами происходит не непрерывно, сколь угодно малыми количествами, а
порциями определенной конечной величины. Рассматривая условия распределения
энергии между резонаторами и их излучением, М. Планк приходит к своей формуле
для определения энергии излучения абсолютно черного тела. Впоследствии
голландский физик Петер Дебай (1884-1966) показал, что для вывода формулы М.
Планка не было необходимости вводить понятие о резонаторах.
В 1893 г. появилось замечательное
исследование немецкого физика Вильгельма Вина (1864-1928) в работе «Некоторая
новая связь излучения черных тел со вторым принципом термодинамики», в котором
он установил, что длина волны, соответствующая максимальному значению энергии
излучения абсолютно черного тела, обратно пропорциональна его абсолютной
температуре. В речи, произнесенной им 11 декабря 1911 г. в связи с присуждением
Нобелевской премии за открытия, относящиеся к теории теплового излучения, В.
Вин сказал: «Я имел счастье найти на поле общей термодинамической теории
лучеиспускания не всю еще жатву собранной. Пользуясь известными физическими
законами, я мог вывести общий закон теории лучеиспускания, который под
названием закона смещения встретил признание у всех физиков». Необходимо
сказать, что при проведении теоретических исследований в области инфракрасного
излучения русский физик Владимир Александрович Михельсон (1860-1927) настолько
близко подошел к открытому В. Вином закону смещения, что только случайность и
неточность в анализе экспериментальных данных привели его к ошибочной
формулировке закона.
Научными работами М. Планка и В.
Вина был подведен определенный итог исследованиям в области теплового
излучения, проведенным за 100 лет со времени открытия инфракрасных лучей.
С начала XX в. усиливается интерес к
применению инфракрасной техники для решения все более возрастающего числа
практических проблем. Развивается инфракрасная спектроскопия - мощный
инструмент исследования взаимодействия излучения с веществом и идентификации
различных химических соединений, создаются приборы для радиометрического
измерения температур звезд и планет. В 1941 году англичане начинают применять
на средиземноморском театре военных действий приборы ночного видения на основе
электронно-оптических преобразователей изображения. Немецкая армия использует
инфракрасную аппаратуру для вождения танков в ночных условиях, в системах
опознавания самолетов. В мирных целях инфракрасные установки стали широко
использоваться в системах отопления, сушки и приготовления пищи. Применение
инфракрасной техники в медицине и биологии позволило разработать приборы для
изучения адаптации глаза к темноте и аппаратуру для ранней диагностики раковых
заболеваний. В дерматологии благодаря хорошему проникновению инфракрасных лучей
через кожу появилась возможность исследовать поражения тканей и воздействовать
на подкожные системы кровообращения. Инфракрасные приборы применяются в
живописи для раскрытия оригиналов, скрытых более поздними записями, в
криминалистике для отличий от подделок подлинных документов и драгоценных
камней, а также для прочтения стертых мест в тексте. Инфракрасное
фотографирование с воздуха дает возможность оценивать состояние лесных массивов
и обнаруживать очаги пожаров. Следует также упомянуть об использовании
инфракрасной аппаратуры для предупреждения столкновений самолетов в воздухе и
кораблей в море при их движении ночью. Инфракрасные волны получили широкое
практическое применение в тепловизионной диагностике зданий, систем теплового
обеспечения, электрических схем, производственных процессов и т. п.
1.2 Краткие
сведения по теории инфракрасного излучения
Все поверхности помещения являются
источниками теплового излучения. Тепловые лучи, идущие от нагретых
поверхностей, представляют собой, как уже было отмечено ранее, электромагнитные
волны, тождественные по своей природе видимому свету, радиоволнам и др.
Электромагнитные колебания различаются по длине волны
. Ее
измеряют в метрах (
),
микрометрах (
) или
ангстремах (
), причем
известно, что 


. На рисунке 1.1 по данным [4]
приведена классификация электромагнитных колебаний в зависимости от длины
волны. Как видно из рисунка 1.1, тепловое излучение в основном приходится на
инфракрасный участок спектра.
Рисунок 1.1 - Шкала электромагнитных
излучений (температура излучения соответствует максимальной интенсивности
излучения при данной длине волны)
Спектральная интенсивность излучения
поверхности абсолютно черного тела
,
, или,
, в
зависимости от длины волны и обычного для помещений диапазона температур
приведена на рисунке 1.2. Значения величины
, приведенные на этом графике,
соответствуют закону Планка. Тепловое излучение при достаточно низких
температурах, характерных для поверхностей в помещении, захватывает
сравнительно узкий участок длин волн и может рассматриваться как
монохроматическое, т. е. состоящее из волн одинаковой длины. Учитывая близкую к
параболической форму кривых, изображенных на рисунке 1.2, можно в качестве
осредненной принимать длину волны
,
, соответствующую максимальной
интенсивности излучения. Величина последней определяется по закону смещения
Вина:
,
, (1.1)
где
-
абсолютная температура поверхности тела,
.
Рисунок 1.2 - Спектральная
интенсивность излучения поверхности абсолютно черного тела, как функция длины
волны при различных температурах
Например, при средней температуре
поверхности тела 
или 
длина волны максимальной
интенсивности теплового излучения, согласно формуле (1.1), составит:

.
Полученное значение подтверждает
график на рисунке 1.2.
Замена полихроматического излучения
монохроматическим есть первое возможное упрощение в расчете теплового излучения
поверхностей ограждений зданий и сооружений. По графику на рисунке 1.2 для
абсолютно черного тела с произвольной температурой можно определить
интенсивность теплового излучения
, соответствующую определенному
участку длин волн, который лежит в интервале от
до
.
Интенсивность теплового излучения
нагретой поверхности для всего спектра длин волн может быть определена
интегрированием зависимости, графики которых приведены на рисунке 1.2. Величина
интегральной интенсивности излучения определяется законом Стефана-Больцмана:
,
,(1.2)
где
-
коэффициент излучения абсолютно черного тела, 
.
Зависимость
,
, или,
, от
температуры поверхности тела в соответствии с формулой (1.2) показана на
рисунке 1.3.
Поверхности в помещении являются
серыми телами. В отличие от абсолютно черных серые тела при тех же температурах
излучают меньше тепловой энергии и падающий на них лучистый поток полностью ими
не поглощается, а частично отражается (закон Кирхгофа). Между строительными
материалами - проводниками и диэлектриками имеется существенное различие в радиационных
свойствах по отношению к инфракрасному излучению. Проводники отражают, а
диэлектрики поглощают большую часть падающего на них инфракрасного излучения. В
то же время в соответствии с законом Кирхгофа, согласно которому коэффициенты
излучения и поглощения монохроматического излучения поверхностью материалов
равны, первые излучают меньше тепловой энергии, чем вторые. Коэффициент
излучения поверхности серого тела
всегда меньше
из формулы
(1.2). Между ними существует зависимость:
,
(1.3)
где
- степень
черноты, или относительный коэффициент излучения поверхности. Для серой
поверхности
всегда
меньше единицы.
Рисунок 1.3 - Интенсивность интегрального
излучения абсолютно черного тела в зависимости от температуры поверхности
В приложении 1 приведены значения
степени черноты
поверхности
различных материалов по справочным данным [4].
Интенсивность интегрального
излучения серой поверхности равна:
,
. (1.4)
Свойства поглощения и отражения
зависят не только от вида материала, но и от состояния поверхности, ее
температуры, длин волн излучения и угла направления излучения к поверхности. На
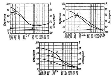
рисунке 1.4 приведен график зависимости относительных коэффициентов поглощения
и отражения некоторых материалов от температуры источника падающего излучения.
Рисунок 1.4 - Отражательная и поглощательная
способности материалов в зависимости от температуры источника (абсолютно
черного тела) падающего излучения:
- бумага; 2 - дерево; 3 - материал одежды; 4 -
линолеум (красно-коричневый); 5 - штукатурка; 6 - красный кирпич; 7 - шиферные
плиты; 8 - кафель белый; 9 - керамическая плитка; 10 - бетон
Из геометрических соображений непосредственно
вытекает положение, что плотность излучения, исходящего из точечного источника
света, убывает пропорционально квадрату расстояния от источника (так как,
распространяясь, оно [излучение] распределяется по концентрическим сферическим
поверхностям). Этот закон был установлен И. Ламбертом в 1760 г., после того как
он был высказан Иоганном Кеплером (1571-1630) еще в 1604 г.
Под законом Ламберта чаще всего
понимают следующее положение [5]: количество энергии, испускаемое диффузно
излучающей поверхностью в каком-нибудь направлении, пропорционально косинусу
угла
между
направлением луча и нормалью к поверхности. Для поверхностей строительных
материалов эти отклонения невелики. Излучение металлов (проводников) сильнее
под большим углом к поверхности (исключая углы, близкие к
); для
диэлектриков имеет место обратное явление.
Воздух помещения при расчете
лучистого теплообмена между поверхностями можно считать диатермичной средой
[4]. Он состоит в основном из двухатомных газов (азот, кислород), которые
совершенно прозрачны для тепловых лучей и сами не излучают тепловой энергии.
Незначительное содержание многоатомных газов (водяной пар и углекислота) при
малых толщинах слоя воздуха в помещении практически не изменяет этого свойства.
1.3
Теплообмен излучением между двумя телами
Каждая поверхность отдает теплоту
излучением и поглощает поток лучистой энергии, приходящей от окружающих
поверхностей. Нагретые поверхности теряют больше теплоты, чем поглощают. Более
холодные, наоборот, получают больше тепловой энергии, чем отдают. Между
различно нагретыми поверхностями в результате происходит теплообмен излучением
[4, 6].
Рассмотрим теплообмен излучением
между двумя абсолютно черными поверхностями 1 и 2 (рисунок 1.5). В соответствии
с законом Стефана-Больцмана, элементарная площадка
на
поверхности 1 излучает во все направления в пределах полусферы количество
теплоты, равное:
(1.5)
Рисунок 1.5 - Теплообмен излучением между двумя
поверхностями
Интенсивность излучения в
направлении, нормальном к поверхности
, по закону Ламберта в
раз меньше
, т. е.:
(1.6)
Интенсивность излучения под углом
к нормали
(в направлении к элементарной площадке
) по закону Ламберта равна:
(1.7)
В пределах телесного угла
излучение
теплоты равно:
тепловизор жилой
диагностика
(1.8)
Телесный угол
,
определяемый
, равен:
(1.9)
где
- проекция
площадки
на сферу
радиусом
с центром в
площадке
, когда угол
между направлением излучения и нормалью к поверхности
равен
;
- расстояние между элементарными площадками
и
.
Тогда уравнение (1.8) можно записать
в виде:
(1.10)
Уравнение, аналогичное (1.10), может
быть написано для потока теплоты
, передаваемого площадкой
в сторону
.
Предполагается, что поверхности абсолютно черные, поэтому вся теплота излучения
ими поглощается. В результате лучистого теплообмена от площадки
передается
площадке
количество
теплоты, равное:
(1.11)
Удобно воспользоваться понятием
коэффициента облученности, который является геометрической характеристикой.
Коэффициент облученности с площадки
на площадку
обозначим
.
Он равен отношению лучистого потока
, падающего
с
на
, ко всему
тепловому потоку
,
излучаемому
по
уравнению (1.5), т. е.:
(1.12)
Подставим значение из выражения
(1.12) в формулу (1.11) и получим:
(1.13)
Теплообмен излучением между двумя
поверхностями 1 и 2, полные площади которых равны
и
, можно
получить двойным интегрированием уравнения (1.13) по площадям
и
.
Первое интегрирование дает значение
количества теплоты, теряемого с элементарной площадки
в сторону
всей площади
:
(1.14)
где
-
коэффициент облученности с элементарной площадки
на всю поверхность 2, равный:
(1.15)
Второе интегрирование определит
общее количество тепловой энергии, передаваемое излучением с поверхности 1 на
поверхность 2:
,
,(1.16)
где
-
коэффициент облученности с поверхности 1 на поверхность 2:
(1.17)
который показывает долю лучистого
потока, попадающего на поверхность 2, от всего потока, излучаемого поверхностью
1.
Для определения коэффициента
облученности
при двух
наиболее характерных случаях расположения поверхностей в помещении пользуются
графиками, которые представлены на рисунках 1.6 и 1.7.
Рисунок 1.6 - Коэффициент
облученности с поверхности на поверхность, расположенной в параллельной
плоскости
Рисунок 1.7 - Коэффициент
облученности с поверхности на поверхность, расположенной в перпендикулярной
плоскости
На практике поверхности отличаются
от абсолютно черных, что осложняет задачу, так как падающая на серую
поверхность лучистая энергия частично отражается. Некоторая ее часть может
многократно отражаться от взаимно облучаемых серых поверхностей, пока полностью
ими не поглотится. Из теории лучистого теплообмена известно, что при
теплообмене монохроматическим излучением двух серых поверхностей, для которых
справедливы законы Ламберта и Кирхгофа, тепловой поток излучением определяется
по формуле:
,
.(1.18)
В этой формуле в отличие от (1.16)
величина
есть
приведенный относительный коэффициент излучения при теплообмене между двумя
серыми поверхностями. Для определения коэффициента
в формуле
(1.18) можно рассмотреть три простейших случая.
Первый случай. Для двух параллельных
поверхностей, расстояние между которыми мало по сравнению с их размерами
(коэффициент облученности
, так как
практически все излучение одной поверхности попадает на другую поверхность).
Отраженные лучи полностью возвращаются на излучающую поверхность и так до
полного поглощения. Приведенный относительный коэффициент излучения тогда будет
равен:
(1.19)
где
и
-
относительные коэффициенты излучения поверхностей. Для строительных материалов
значения приведены в приложении 1.
Второй случай. Поверхность
,
, со всех
сторон окружена другой поверхностью
. Это сфера в сфере, цилиндр в
цилиндре или просто невогнутая поверхность, окруженная большей поверхностью
такой же геометрии:
(1.20)
Третий случай. Если поверхности малы
или велико расстояние между ними, то часть отраженного излучения,
возвращающаяся на излучающую поверхность, становится ничтожно малой. При таких
условиях:
.
2. ТЕПЛОВИЗОРЫ. ОСНОВНЫЕ ПРАВИЛА ПРОВЕДЕНИЯ
ТЕПЛОВИЗИОННОГО ОБСЛЕДОВАНИЯ СТРОИТЕЛЬНОГО ОБЪЕКТА
2.1 Тепловизоры.
Классификация тепловизоров
Тепловизоры - это устройства, предназначенные
для наблюдения нагретых объектов по их собственному тепловому излучению. Они
преобразуют невидимое глазом человека инфракрасное излучение в электрические
сигналы, которые после усиления и автоматической обработки вновь преобразуются
в видимое изображение объектов [2].
В отличие от изображений в видимой и ближней
инфракрасной областях спектра, полученных за счет отраженного излучения объекта
и различий в отражательной способности его элементов и отражающего фона,
тепловые (инфракрасные) изображения создаются за счет собственного теплового
излучения объекта и определяются различиями в температуре и излучательной
способности его элементов и окружающего фона. Изменения температуры поверхности
излучения объекта в определенной мере соответствуют деталям визуально
наблюдаемой картины. Поэтому создаваемые тепловизором изображения в основном
отвечают представлениям о форме и размерах рассматриваемых объектов и его
отдельных участков.
Все приборы тепловизионного наблюдения по
способу получения теплового изображения можно разделить на несканирующие и
сканирующие.
К несканирующим тепловизорам относится
эвапорограф, в котором разность температур рассматриваемого объекта и
окружающего его фона преобразовывается в разность толщин масляной пленки,
неравномерно испаряющейся в процессе нагрева (эвапорография - регистрация
испарением).
В основу устройства эвапорографа были положены
опыты Джона Гершеля (1792-1871), который использовал в 1840 г. для
эвапорографии тонкую фильтровальную бумагу, смоченную спиртом и закопченную со
стороны, обращенной к наблюдаемому объекту.
В эвапорографе Черни использовалось
не испарение спирта, а возгонка нафталина и камфары. Во время второй мировой
войны в Германии был создан усовершенствованный вариант эвапорографа Черни - EVA.
Аналогичный прибор был построен в Кембридже (США) в 1950 г. В Советском Союзе
сотрудниками ГОИ им. С.И. Вавилова был разработан эвапорограф ЭВ-84. Все эти
конструкции эвапорографов принадлежали к классу несканирующих тепловизоров и не
получили широкого применения из-за присущих им недостатков. Время, требуемое
для получения изображения в эвапорографах, достигало десятков секунд;
разрешающая способность по температуре составляла около 
.
Другим прибором, относящимся к
классу несканирующих тепловизоров, является эджеограф. Принцип его действия
основан на температурной зависимости длинноволновой границы полосы собственного
поглощения некоторых материалов (например, селена): край полосы поглощения
смещается при изменении температуры. Если через пленку селена пропускать
монохроматическое излучение от вспомогательного источника с длиной волны,
близкой к длинноволновой границе полосы поглощения, интенсивность прошедшего
через пленку излучения будет зависеть от ее температуры. Это явление положено в
основу устройства прибора, с помощью которого можно было наблюдать и
фотографировать теплоизлучающие объекты. Эджеограф позволял фиксировать
перепады температур порядка 
при разрешающей способности 
и постоянной времени 
[7].
В 40-е годы наметились две тенденции
в развитии тепловизионных приборов. К первой группе приборов относятся
тепловизоры, в которых для преобразования оптического сигнала инфракрасного
диапазона в электрический сигнал используется принцип оптико-механического
сканирования, а ко второй группе приборов - тепловизоры с электронным
сканированием. В тепловизорах первого типа используются одноэлементные или
многоэлементные инфракрасные приемники излучения мгновенного действия, а в
тепловизорах второго типа в качестве приемников излучения используются
инфракрасные видиконы, пириконы, а в настоящее время еще и матричные приемники
излучения, так называемые фокальные матрицы, работающие в режиме накопления
зарядов и основанные на различных физических принципах [8].
Идея создания сканирующих
оптико-механических тепловизоров, в которых используются метод развертывающего
преобразования, предложена советским ученым Федором Евгеньевичем Темниковым
(1906-1993). В начале этого периода еще не были доведены до необходимой
кондиции телевизионные передающие трубки, чувствительные в инфракрасной области
спектра. Поэтому главное внимание было сосредоточено на разработке тепловизоров
с оптико-механической системой сканирования. Одной из главных характеристик
таких систем сканирования являлось время, необходимое для анализа теплового
поля. С этой точки зрения оптико-механические системы сканирования условно
классифицируют на три вида: низкоскоростные (время анализа поля более 
), среднескоростные (от 
до 
) и высокоскоростные (менее 
).
Вначале разрабатывались тепловизоры
с низкоскоростной и среднескоростной системами сканирования. Так, в Потсдамской
астрофизической обсерватории был создан сканирующий тепловизор с болометром, во
Франции - тепловизор с фоторезистором, в США - авиационный тепловизор для
получения тепловых карт местности. Первый отечественный тепловизор среднего
быстродействия был создан в ВЭИ имени В.И. Ленина. С 1960 г. начали
разрабатываться тепловизоры с быстрой кадровой разверткой для самолетных систем
переднего обзора и различных наземных применений. В зарубежной литературе такие
приборы получили название FLIR (от первых букв английских слов Forward
Looking Infra-Red - «инфракрасный прибор переднего обзора»).
Иначе выполнены тепловизоры с
фотоэлектронной системой сканирования. Здесь изображение исследуемого теплового
поля проецируется на фотокатод телевизионной передающей трубки, а затем
«просматривается» электронным лучом, управляемым электрическим или магнитным
полем. Несмотря на преимущества фотоэлектронной системы сканирования по
сравнению с оптико-механической (в частности, возможность наблюдения быстро
перемещающихся объектов), разработка тепловизоров с фотоэлектронной системой
сканирования шла медленно. Причиной тому было отсутствие малогабаритных и высокочувствительных
передающих телевизионных трубок, способных регистрировать собственное излучение
низкотемпературных объектов.
Техника создания оптико-механических
тепловизоров достигла высокой степени развития с разработкой одноэлементных и
многоэлементных приемников излучения, имеющих чувствительность, близкую к
теоретическому пределу, и малую инерционность. Малогабаритные криогенные
устройства охлаждения приемников и постоянный прогресс в миниатюризации
электроники обеспечили создание тепловизоров с небольшими габаритными размерами
и малым потреблением мощности. В современных тепловизорах зарубежного
производства применяют приемники излучения на основе теллурида кадмия и ртути,
имеющие рабочий диапазон длин волн от
до 
. Каждый приемник содержит несколько
сотен чувствительных элементов и охлаждается до температуры 
адиабатическим микрохолодильником
Джоуля-Томсона, работающим в замкнутом цикле рекуперации [1].
На рисунке 2.1 представлена одна из
возможных схем классификации тепловизоров по конструкции и принципу работы.
Рисунок 2.1 - Классификация тепловизионных
устройств
Очень часто тепловизоры разделяют на
стационарные и портативные.
Стационарные тепловизионные
устройства применяют на промышленных предприятиях для контроля за
технологическими процессами в температурном диапазоне от
до 
. Такие тепловизоры зачастую имеют
азотное охлаждение, для того чтобы обеспечить нормальное функционирование
приемной аппаратуры. Основу таких систем составляют, как правило, тепловизоры
третьего поколения, собранные на матрицах полупроводниковых фотоприемников.
Новейшие разработки в области применения тепловизоров на базе неохлаждаемых
микроболометров из кремния, позволили отказаться от использования дорогостоящей
и громоздкой охлаждающей аппаратуры. Эти приборы обладают всеми достоинствами
своих предшественников, таких как малый шаг измеряемой температуры - 
, при этом позволяют применять
тепловизоры в сложных оценочных работах, когда простота использования и
портативность играют очень большую роль. Большинство портативных тепловизоров
имеют возможность подключения к стационарным компьютерам или ноутбукам для
оперативной обработки поступающих данных [9].
2.2 Технические
характеристики современных тепловизоров
Современные тепловизоры (рисунок 2.2),
необходимые для проведения бесконтактной термометрии строительных объектов,
относятся к портативным оптико-механическим устройствам. Они не только
воспроизводят тепловое изображение нагретых объектов, но и измеряют
температурное поле исследуемого тела. Термограмма, полученная по результатам
тепловизионной съемки, может быть в дальнейшем проанализирована и обработана в
оперативной памяти самого прибора или в прикладном программном обеспечении [2].
Рассмотрим основные технические характеристики
приборов тепловизионного наблюдения на примере тепловизоров фирмы Testo AG
(Германия) [10], которые в первую очередь влияют на уровень сложности
проведения тепловизионной съемки и качество полученных термограмм.
Размер детектора,
, является
основным техническим параметром тепловизора. Размер детектора указывает на
количество тепловых точек, которые способен зарегистрировать тепловизор
(рисунок 2.3). Чем больше количество пикселей, тем более детально и четко
представлены объекты измерения на снимках. Инновационные технологии (например, SuperResolution)
позволяют увеличивать текущее разрешение изображения в несколько раз (например,

на 
или 
на 
). Высокое качество изображения
играет особенно важную роль, когда объект тепловизионного мониторинга находится
в труднодоступном месте и съемка возможна только на большом расстоянии или при
рассмотрении теплового состояния мельчайших деталей конструкций (при низком
разрешении детектора они могут просто не попасть в поле зрение тепловизора).
Рисунок 2.2 - Современное тепловизионное
оборудование (NEC H2640)
Запатентованное решение SuperResolution
(рисунок 2.4) фирмы Testo AG основано на использовании эффекта
естественного движения руки в качестве средства для быстрого создания серии
последовательных снимков. С помощью технологии SR-алгоритма созданные
четыре мгновенных тепловых изображения интегрируются в одну термограмму
высочайшего качества.
Температурная чувствительность NETD,
,
характеризует измерительный прибор по регистрации самых незначительных
перепадов температур, отображает малейшую разницу температур между двумя
соседними точками, которую может распознать тепловизор. Чем меньше это
значение, тем выше разрешающая способность тепловизора и тем лучше качество
снимка. Тепловизоры, имеющие высокую температурную чувствительность и
разрешающую способностью детектора, позволяют визуализировать малейшие перепады
температур независимо от размеров объекта тепловизионного обследования.
Рисунок 2.3 - Вариации теплового изображения с
различными расширениями
Диапазон измерения температур,
, информирует
о пределах температур, измеряемых и записываемых тепловизором.
Частота обновления кадров,
, показывает
сколько раз в секунду происходит обновление теплового изображения на дисплее
прибора.
Размер объектива тепловизора
(рисунок 2.5) играет роль в определении масштабов проводимых измерений.
Широкоугольные (стандартные) объективы (например, размером
) позволяют
сделать снимок большого участка и получить быстрый обзор распределения
температур измеряемого объекта. Для обследования мелких деталей и предметов,
находящихся на огромных расстояниях, служит сменный телеобъектив (например,
размером
).
Рисунок 2.4 - Схема работы технологии SuperResolution
Фокусировка экрана является обязательным
условием получения качественных результатов тепловизионной съемки. При
измерениях с помощью тепловизоров Testo фокусировка на объекте может
осуществляться тремя способами: вручную, посредством моторизированного фокуса
или автофокуса.
Рисунок 2.5 - Объектив и его установка в
тепловизор
К опциям-возможностям тепловизоров фирмы Testo
можно отнести:
- технология SuperResolution (рассмотрена
выше при описании детектора тепловизионного устройства);
- встроенная цифровая камера в
тепловизоре выполняет автоматическое сохранение инфракрасного и реального
изображений одновременно. Таким образом, пользователь прибора получает
сведения, как по инфракрасному, так и по реальному снимку. Это очень удобная и
эффективная опция, которая существенно сокращает время проведения
тепловизионной съемки (особенно актуально в зимний период года) и позволяет
составить отчет-протокол с согласованными реальными и тепловыми изображениями.
При отсутствии этой опции, помимо прибора тепловизионного наблюдения,
приходится использовать, как правило, фотоаппарат. Здесь же следует сказать
пару слов о системе TwinPix (рисунок 2.6). Данная функция позволяет
накладывать друг на друга реальное и тепловое изображения объекта путем
установления характерных отметок на соответствующих реальных и инфракрасных
снимках. Таким образом, в процессе проведения анализа результатов тепловизионного
обследования наложение снимков позволяет с легкостью ориентироваться на
элементах объекта и максимально точно установить и локализовать поврежденные
участки. Установка уровней прозрачности регулирует интенсивность реального и
инфракрасного снимков на совмещенном изображении. Критические диапазоны
температур могут быть отмечены путем выбора предельных значений температуры и
допустимого инфракрасного диапазона. Даже на реальном изображении проблемные
области могут быть с точностью выделены, а температурный статус объекта
измерения пластически отображен. Совмещенное путем наложения изображение может
быть включено в отчет в целях документирования;
- технология измерения влажности
расширяет технические возможности существующих тепловизоров, так как кроме
обычных термограмм пользователь прибора может получить сведения об уровне
влажности исследуемых поверхностей объекта, что крайне важно при обнаружении
зон возможного образования конденсата и плесневых отложений. Для этого
предварительно производятся замеры температуры и относительной влажности
окружающего воздуха. Далее программная система устройства по заданным
параметрам воздуха автоматически определяет температуру точки росы и проецирует
полученное значение на температурное поле поверхности исследуемой области
объекта. Участки изображения, в которых фактическая температура поверхности
ниже точки росы, тепловизор выделяет красным цветом («зона повышенного риска»),
а неповрежденные влагой - оттенками зеленого цвета;
Рисунок 2.6 - Применение системы TwinPix
- беспараллаксный лазерный целеуказатель является
еще одной инновационной разработкой, который позволяет ориентироваться на
объекте обследования. Проблема, которую позволяет избежать данная технология,
связана с небольшим размером объектива и однородностью температурного поля
поверхности объекта. Последнее приводит к тому, что пользователь тепловизора
может «затеряться» при проведении тепловизионной съемки. Точка-ориентир
зеркально отображает область замера, на которую наведен лазерный целеуказатель.
Помимо этого на дисплее отображается точная температура точки, находящейся «под
прицелом» лазерного целеуказателя;
- режим измерения «Солнечная энергия»
используется при проведении диагностики фотоэлектрических систем. При недостаточно
интенсивном солнечном свете получение качественной термограммы невозможно. При
выполнении измерений в рассматриваемом режиме пользователь тепловизора
предварительно выполняет измерения интенсивности солнечного излучения и заносит
измеренную величину, как параметр тепловизионной съемки, непосредственно в
тепловизор. Введенное значение сохраняется в памяти прибора.
Также к важным критериям выбора тепловизоров
можно отнести: эргономичность устройства; интуитивное управление прибором;
наличие защитных средств для уязвимых и дорогостоящих элементов тепловизора
(например, защитный фильтр для объектива); качество исполнения и спектр
функциональных возможностей прикладного программного обеспечения.
2.3 Основные правила
проведения тепловизионного обследования строительного объекта
Одним из основных путей экономии
топливно-энергетических ресурсов является уменьшение тепловых потерь через
ограждающие конструкции строительных объектов, достигающих по некоторым данным 
от общих энергетических затрат.
Поэтому крайне важно установить участки здания, через которые проходит
максимальное количество теплоты в единицу времени с целью их последующей
ликвидации. Это позволяет сделать тепловизионный контроль, основанный на
применении приборов тепловизионного наблюдения.
Тепловизионный контроль качества
строительных сооружений, благодаря своему неразрушающему воздействию,
оперативности, наглядности и достоверности получаемых результатов, успел
зарекомендовать себя как один из основных способов диагностики ограждающих
конструкций по окончании строительства и в период эксплуатации строительного
объекта. Согласно [11], теплотехническая диагностика, куда также может входить
тепловизионный контроль элементов зданий и сооружений на различных этапах их
строительства и эксплуатации, может включать в себя (рисунок 2.7):
- обнаружение скрытых дефектов строительства;
- определение частичных и общих
тепловых потерь;
- определение (оценку) сопротивления
теплопередаче ограждающих строительных конструкций.
Рисунок 2.7 - Возможности тепловизионного
обследования
К основным задачам тепловизионной съемки можно
отнести:
- обнаружение в ограждающих конструкциях здания
мест с возможным нарушением тепловой изоляции и присутствием необоснованных
(случайных) теплопроводных включений;
- нахождение мест, где возможна
конденсация влаги и, как следствие, образование плесени (биокоррозия);
- обнаружение мест с интенсивной
инфильтрацией наружного воздуха внутри отдельных помещений здания в связи с
неплотностями наружных ограждающих конструкций и наличием микротрещин;
- выявление дефектов отопительных
приборов, проложенных открыто (например, чугунно-секционные радиаторы) или под
слоем строительного материала (например, змеевики в системе «теплый пол»);
- контроль качества установки оконных
блоков и входных дверей;
- определение зон повышенной влажности
строительных материалов;
- проведение теплотехнических расчетов
(по результатам тепловизионного мониторинга объекта обследования).
Одним из ключевых факторов получения достоверных
сведений о теплотехническом состоянии объекта контроля является соблюдение
правил выполнения тепловизионной съемки строительного объекта. Тепловизирование
здания с исполнением существующих предписаний позволит сократить трудовые и
временные затраты и при этом получить качественные тепловые изображения,
характеризующие тепловое состояние всей строительной системы. Рассмотрим
некоторые нюансы организации и проведения тепловизирования объектов.
При обследованиях гражданских и
производственных зданий в зависимости от рассматриваемых задач производятся
измерения температуры газовых и жидкостных сред, сыпучих и твердых тел.
Диапазон измерения температур варьируется от 
до 
. Для измерений температур
используются контактные и бесконтактные термометры. К контактным относятся
жидкостные и биметаллические термометры, электрические и полупроводниковые
термометры сопротивления, термопары. К бесконтактным термометрам относятся
инфракрасные термометры (пирометры), пиранометры, а также тепловизоры.
Измерение температурного поля ограждающих конструкций производится
тепловизорами различных модификаций [12].
При подготовке к тепловизионной
диагностике должна быть изучена информация по объекту контроля
(объемно-планировочные и конструктивные особенности здания, длительность и
условия эксплуатации объекта, объем и характер проведенных ремонтных работ и т.
п.). По итогам анализа технической документации должен быть составлен план
тепловизионного обследования строительного объекта. Кроме того, важно
предварительно получить сведения о погодных условиях (температуре и относительной
влажности наружного воздуха, скорости и направлении ветра, интенсивности
солнечной радиации) на момент проведения тепловизионной съемки здания.
Тепловизионные измерения производят
при перепаде температур между наружным и внутренним воздухом (температурном
напоре), превосходящим минимально допустимый перепад, определяемый по формуле
[13]:
,
,(2.1)
где
- предел
температурной чувствительности тепловизора,
;
- проектное сопротивление
теплопередаче,
;
- коэффициент теплоотдачи,
принимаемый равным: для внутренней поверхности стен по нормативно-технической
документации, например [14]; для наружной поверхности стен при скоростях ветра
,
и 
соответственно
,
и 
;
- относительное сопротивление
теплопередаче подлежащего выявлению дефектного участка ограждающей конструкции,
не более
.
Сильный ветер способен существенно
увеличивать теплоотдачу с поверхностей и снижать температуру. Поэтому
рекомендуется проводить тепловизионную съемку при скорости ветра не более 
. Методика определения
относительного сопротивления теплопередаче
изложена в документе [15].
Удаленность тепловизионной камеры от
объекта при наружной тепловизионной съемке нужно выбирать в следующем
диапазоне:
,
,(2.2)
где
- угол
обзора объектива;
- расстояние, на котором тепловизор
теряет требуемую точность в соответствии с техническими характеристиками и
поглощением инфракрасного излучения атмосферным воздухом,
.
Приближение к объекту на расстояние
неоправданно
увеличит время съемки. При термографии внутренней поверхности объекта следует
исходить из размеров участка с повышенными тепловыми потерями. Рекомендуется
использовать объективы с углом обзора не менее
.
С увеличением расстояния до объекта
контроля возрастает поле обзора, ухудшается детальность осмотра, и искажаются
значения истинной температуры за счет поглощения инфракрасных лучей в
атмосфере. Последний эффект несущественен при расстояниях менее 
, на которых обычно проводят
тепловизионную съемку. При значительных расстояниях следует применять
соответствующие поправочные формулы, учитывающие поглощение излучения в
атмосфере. В методических указаниях [13] удаленность мест установки тепловизора
от поверхности объекта следует определять по формуле:
,
,(2.3)
где
- линейный
размер подлежащего выявлению участка ограждающей конструкции с нарушенными
теплозащитными свойствами,
, принимаемый при контроле
внутренней поверхности от
до 
, а при контроле наружной
поверхности - от
до 
;
- число строк развертки в кадре
тепловизора;
- угловой вертикальный размер поля
обзора тепловизора,
.
Таким образом, уравнения (2.2) и
(2.3) взаимно дополняют друг друга, обозначая в первом случае минимальное, а во
втором - максимальное расстояние проведения тепловизионной съемки объекта контроля.
В любом случае температурный напор
контролируемого
объекта должен быть не менее 
в течение последних 
(требования международного
стандарта ISO 6781-83). Во время съемки изменение температурного напора
не должно превышать 
действительного начального
значения.
Температура воздуха внутри помещения
должна колебаться в пределах 
, а измеряемые объекты не должны
подвергаться воздействию солнечной радиации в течение предшествующих 
. Минимальное допустимое приближение
пользователя тепловизора к обследуемой поверхности составляет 
, а к электрическим лампам
накаливания - 
. Идентификацию объектов на
термограмме рекомендуется производить путем сравнения термограмм с видимым
изображением той же зоны осмотра, которое получают с помощью цифрового
фотоаппарата или встроенной цифровой камеры.
3. ТЕПЛОВИЗИОННОЕ ОБСЛЕДОВАНИЕ КВАРТИРЫ В ЖИЛОМ
ДОМЕ СРЕДНЕЙ ЭТАЖНОСТИ (Г. ВОЛОГДА)
Обработка результатов тепловизионного
обследования при проведении качественного анализа теплового состояния объекта
заключается в обработке и расшифровке термограмм. Записанные на носитель
цифровой информации, которым обычно выступает карта памяти формата SD,
термограммы впоследствии анализируют, на них идентифицируют зоны температурных
аномалий, в итоге чего принимают решение о соответствии аномалии скрытому
дефекту или конструктивным особенностям контролируемого объекта. Для
наглядности представления результатов термографирования рекомендуется
компьютерное совмещение видимого и теплового изображений одного и того же
участка конструкции или оконтуривание дефектных зон на видимом изображении
после их обнаружения на термограммах. Современные тепловизоры позволяют
выполнять эти операции (например, тепловизор модели Testo 875-2 имеет
встроенную цифровую камеру для одновременного получения с тепловым изображением
фотокадра, а также возможности программной среды позволяют накладывать видимое
изображение на термограмму при помощи технологии TwinPix).
Оценку тепловых дефектов следует проводить как
по величине температурного перепада в зоне тепловой аномалии, так и методом
сравнения с реперным (базовым) участком. Тепловые аномалии (рисунок 3.1)
отображаются на термограммах в виде областей повышенной или пониженной
температуры, которые могут соответствовать следующим факторам [16]:
) конструктивным особенностям объекта контроля;
) неоднородностям коэффициента излучения
поверхности;
) неоднородностям теплообмена с окружающей
средой (например, в связи с неоднородностью или неравномерной толщиной тепловой
изоляции);
) строительным дефектам конструкции.
Обработку тепловых изображений производят с
помощью специального программного обеспечения, разрабатываемого в составе
методических документов и технологических инструкций по тепловому контролю и
учитывающего особенности процесса теплопередачи в контролируемых объектах.
Рисунок 3.1 - Тепловое изображение (на рисунке
отчетливо просматриваются избыточные тепловые потери под плитой перекрытия)
По результатам тепловизионного обследования
составляют протокол (технический отчет) с заключением о состоянии строительного
объекта. Методическими документами по техническому диагностированию
(освидетельствованию) технических устройств и сооружений может быть
предусмотрена необходимость оформления других документов по результатам теплового
контроля, которые, как правило, оформляют в виде приложений к протоколу.
3.1 Обработка
термограмм в прикладной программной среде IRSoft
Основную часть технического отчета
составляют термограммы с изображением элементов объекта теплового контроля. В
настоящее время к тепловизору, как правило, поставляется прикладное программное
обеспечение. Тепловые изображения, полученные в ходе проведения тепловизионной
съемки, сохраняются на карте памяти устройства формата SD. Современные
тепловизоры способны сохранять на карте памяти
и более термограмм [2].
Изображения, сохраненные на карте
памяти, могут быть скопированы в память компьютера для дальнейшей их обработки.
Для этого карта памяти может быть извлечена из тепловизора и вставлена в
компьютер. Другим способом передачи информации на компьютер служит
соединительный кабель, который подключается к измерительному устройству через
порт mini-USB, а к компьютеру - через порт USB. После включения
тепловизора и подключения соединительного кабеля к компьютеру в операционной
системе последнего появляется папка с файлами (например, формата .bmt),
которые соответствуют полученным в ходе тепловизионной съемки термограммам.
После копирования или перемещения файлов с карты памяти прибора на физическую
память компьютера они могут быть обработаны в программной среде тепловизора.
Рассмотрим некоторые возможности и
особенности обработки термограмм в программной среде на примере программного
обеспечения IRSoft ver. 2.7, поставляемого к тепловизорам марки Testo
[17].
Программный продукт IRSoft -
это профессиональный инфракрасный анализ изображения. Программа IRSoft
позволяет создавать профессиональные термографические отчеты для инженеров,
занимающихся оценкой температурного состояния любых теплоэнергетических
объектов.
Для того чтобы провести анализ
термограммы необходимо загрузить соответствующий файл через меню: {Анализ(1) →
Открыть(2)}. В диалоговом окне {Открыть(3)} (с логотипом компании Testo)
в заданной директории выбирают требуемый для анализа файл термограммы, например
IV_00998.BMT(4), и нажимают клавишу {Открыть(5)} в соответствии с рисунком 3.2.
Для быстрого доступа файла к интерфейсу программы имеется возможность открыть
требуемый файл непосредственно двойным нажатием на него левой кнопкой мыши.
Большую роль в отображении и
обработке термограммы играет функциональная панель, состоящая из трех элементов
(рисунок 3.3): Панель инструментов(1), Рабочая область(2) и Строка
состояния(3).
Панель инструментов(1) служит для
внесения изменений, выполнения настроек, а также для быстрого нахождения нужных
функций и команд. Функции панели инструментов разделены на четыре группы
(рисунок 3.3): {Анализ}, {Отчет}, {Камера} и {Настройки}. Характер функций /
команд обусловлен выбранной пользователем вкладкой.
Рисунок 3.2 - Выбор файла теплового изображения
через меню «Открыть»
Под вкладкой {Анализ} имеются функции / команды,
предназначенные для следующих операций обработки данных:
- меню {Файл}: открытие и сохранения инфракрасных
изображений. При этом имеется возможность сохранить как текущий файл, так и
группу открытых файлов тепловых изображений;
- меню {Цвета}: изменение палитры
термограммы («Сталь», «Радуга», «Сепия» и т. п.). Здесь можно изменить цвет
точек измерения температур, поменять цвет текущих горячих или холодных точек на
тепловом изображении. Программа содержит огромное количество цветов и оттенков,
которые позволяют корректировать цветовое изображение точки, прямоугольника,
круга, определяющих область исследований на термограмме;
Рисунок 3.3 - Структура функциональной панели
программы IRSoft 2.7
- меню {Параметр}: настройка параметров
тепловизионной съемки. Данное меню предназначено для корректировки параметров
окружающей среды: коэффициента излучения
, температуры
,
,
относительной влажности воздуха
,
, и отраженной температуры
,
. Во многих
областях применения тепловизионной техники отраженная температура
соответствует
температуре окружающей среды
. Значение температуры
можно найти
с помощью воздушного термометра (например, двухканальным прибором Testo 810).
На основе введенных значений
и
программа автоматически вычисляет
температуру точки росы
. Например,
при условии 
и 
(установлены по умолчанию)
температура точки росы составит 
;
- меню {Аудио}: прослушивание / сохранение
аудиокомментариев. Данная функция доступна лишь в том случае, когда выбранная
термограмма снабжена аудиокомментарием. Во время проведения тепловизионной
съемки на некоторых моделях тепловизоров (например, Testo 882, рисунок
3.4) можно проводить записи голосовых сообщений, т. е. создавать комментарии к
тепловым изображениям в случае выявления проблемных участков. Аудиокомментарии
не подлежат повторной записи, изменению или удалению;
Рисунок 3.4 - Тепловизор Testo 882 с
функцией аудиокомментариев
- меню {Наложение снимков}: так называемая
технология TwinPix. Наложенное изображение может быть выполнено из
термограммы и прикрепленного реального изображения (сделанного при помощи
тепловизора) либо импортированного реального изображения (сделанного
фотоаппаратом). Оба изображения могут быть показаны вместе в одном диалоговом
окне. Изображения выравниваются установкой точек маркировки. Для того чтобы
произвести наложения теплового и видимого изображений необходимо нажать на
панель с надписью TwinPix. При первом использовании данной функции
появится диалоговое окно {Ассистент для TwinPix}. Вкладка {Первые шаги}
включает в себя объяснение функции наложения изображений. Данную вкладку
впоследствии можно скрыть, убрав отметку напротив надписи {Не показывать эту
страницу снова}. После нажатия клавиши {Дальше} во вкладке {Маркировка снимка}
расставляют точки маркировки на термограмме и реальном изображении (рисунок
3.5), соблюдая следующие правила:
1) количество точек маркировки должно быть не
меньше четырех;
) точки маркировки должны быть расположены на
одних и тех же позициях, как на термограмме, так и на реальном снимке;
) устанавливать точки маркировки следует по
всему изображению, уделяя внимание тем участкам, которые имеют особое значение;
) точки маркировки должны быть установлены в
одном и том же порядке на обоих изображениях.
Рисунок 3.5 - Процесс маркировки теплового и
видимого изображений
В случае правильного исполнения всех указаний
наложение видимого объекта на термограмму будет качественным, не смещенным.
Результат позволит находить в требуемых точках видимого изображения значения
температуры;
- меню {Настройки}: использование текущих настроек
изображения при анализе других термограмм. К таким настройкам относятся:
Палитра; Температурная шкала; Температурные границы; Изотерма; Коэффициент
излучения; Отраженная температура; Окружающие условия (температура,
относительная влажность, точка росы); Цвета выделений на тепловом изображении.
Настройки могут быть скопированы только на изображения, сделанные при помощи
тепловизора, имеющего тот же размер детектора (матрицы).
Вкладка {Отчет} предназначена для создания
отчетов с приложением одной или более термограмм. Для выполнения данного
процесса имеется {Ассистент по составлению отчета}.
Функция настройки во вкладке {Камера} позволяет
выполнять настройки тепловизора при помощи программного обеспечения IRSoft.
Данная панель становится активной только после подключения и распознания
тепловизора компьютером. Далее нажимают во вкладке {Тепловизионная камера}
панель {Конфигурация}, после чего будет открыто диалоговое окно, в котором
можно выполнить следующие основные функции:
- выбор температурной шкалы;
- настройка палитры, единиц измерения
температуры, яркости жидкокристаллического индикатора, диапазонов измерений;
- передача материалов;
- изменение коэффициента излучения.
Все возможные настройки прибора, как правило,
приводятся в руководстве по эксплуатации. В данном случае таким документом
является [18].
Настройка программы может быть произведена во
вкладке {Настройки}:
- меню {Макет}: определение способа размещения
диалогового окна {Тепловое изображение}, служащее местом обработки термограмм в
Рабочей области(2) программы (рисунок 3.3). По умолчанию в программе
установлена схема расположения элементов {Регистровые закладки}. С целью
сравнения нескольких инфракрасных изображений рекомендовано использование
варианта {Окна каскадом}. Тогда диалоговые окна {Тепловое изображение}
разместятся параллельно друг над другом с небольшим отклонением в правую
сторону. В любом случае всегда можно вернуть исходное положение диалоговых окон
путем повторного нажатия панели {Регистровые закладки};
- меню {Воспроизведение изображения}:
оптимизация теплового изображения. Во вкладке {Сглаживание изображения}
оптимизация представления изображения выполняется с использованием алгоритма.
Желательно, чтобы данная функция находилась в активном состоянии, так как она
придает четкость термограмме. В ином случае инфракрасное изображение выглядит
расплывчатым, особенно в местах относительно высоких температур. Вкладка
{Коррекция радиального искажения} предназначена для компенсации оптического
искажения теплового изображения, полученного с использованием в ходе
термографирования объектов контроля широкоугольного объектива;
- меню {Единица измерения температуры}:
представление значений температуры в различных физических единицах измерения. В
данном случае такими единицами измерения температуры могут стать градус
Цельсия,
, и градус
Фаренгейта,
. Изменение
единицы измерения температуры вступает в силу только со следующим запуском
программы;
- меню {Схема цветов}: изменение цветового фона
рабочего окна программы. Такими цветовыми схемами программного интерфейса
являются следующие: Синий, Серебро и Черный;
- меню {Краткая справка}: использование краткой
подсказки при анализе тепловых изображений. Все функции и команды данного
программного обеспечения могут быть кратко описаны в подсказках. Данная опция
полезна для новых пользователей программного обеспечения. В случае получения
достаточного опыта работы с программным продуктом IRSoft функцию
{Краткая справка} можно отключить путем установки функции Скрыть;
- меню {Актуализация программы}: система
обновления программного обеспечения. Программа обновляется автоматически. Для
этого необходим доступ в Интернет. В случае появления нового обновления
программная среда доводит информацию до сведения пользователя;
- меню {Настройки}: применение видимого
изображения для предпросмотра в Web-браузере. Вместо термограммы
прикрепленный реальный снимок (при его наличии) можно просматривать через Web-обозреватель;
- меню {Шаблоны}: создание пользовательских
шаблонов для составления технических отчетов о результатах проведения
тепловизионной съемки.
Рабочая область(2) предназначена для
представления сведений и внесения правок. Вид представления рабочей области
зависит от выбранного формата страницы. Функции рабочей области разделены на
семь групп (рисунок 3.3): {Тепловое изображение(2.1)}, {Температурная
шкала(2.2)}, {Гистограмма(2.3)}, {Выделения теплового изображения(2.4)},
{Действительное изображение(2.5)}, {Профиль(2.6)} и {Примечание(2.7)}.
В окне документа {Тепловое изображение(2.1)}
имеются функции:
- сохранение / экспортирование термограммы;
- копирование термограммы в буфер
обмена;
- вращение изображения против / по часовой стрелке
на
;
- показание температуры в положении курсора мыши;
- создание гистограммы. Для заданной инфракрасной
области изображения программа строит температурный рельеф {Гистограмма(2.3)} с
указанием минимального, максимального и среднего значений температуры;
- создание температурного профиля. Для заданной
инфракрасной области изображения программа строит термопрофилограмму
{Профиль(2.6)} с указанием минимального, максимального и среднего значений
температуры также как и для температурного рельефа и др.
Вкладка {Температурная шкала(2.2)} включает в
себя следующие функциональные возможности:
- установка шкалы. Можно выбрать как
автоматическое масштабирование шкалы (настройка по минимальным / максимальным
значениям видимого диапазона), так и вручную. Пределы масштабирования могут
устанавливаться в диапазоне измерений, применимом к текущему инфракрасному
снимку. Все температуры заданного диапазона температурных значений будут
показаны в соответствующих цветах в зависимости от выбранной цветовой палитры.
Таким образом, неактуальные температурные диапазоны будут скрыты;
- установка граничных (предельных)
значений. Имеется возможность установить нижнее и верхнее предельные значения.
Температурные значения ниже или выше предельных значений выделяются одним
цветом. Также можно установить прозрачность цвета предельного значения;
- установка изотермической области
(изотермы). Данная опция позволяет определить нижнее и верхнее предельные
значения области. Температурные значения между нижним и верхним предельными
значениями области выделяются одним цветом.
В таблице {Выделения теплового изображения(2.4)}
после установки маркера или выделенной области термограммы приводится
информация:
- наименование и номер маркера или выделенной
области термограммы (например, соответственно
,
и
);
- значение температуры в точке измерения или
максимальная / минимальная температура в выделенной области термограммы;
- величина коэффициента излучения
;
- значение отраженной температуры
,
;
- примечание (оставление записей при
необходимости).
В окне документа {Действительное
изображение(2.5)} имеются следующие функциональные возможности:
- импортирование / экспортирование реального
изображения;
- копирование / вставка реального
изображения в буфер обмена;
- удаление реального изображения и др.
В строке {Примечание(2.7)} с помощью клавиатуры
вводятся комментарии к текущей выбранной термограмме.
В Строке состояния(3) (рисунок 3.3) выводятся
сведения о текущем тепловом изображении. Здесь приводится следующая информация:
дата и время записи термограммы; минимальное, среднее и максимальное значения
температур на текущем инфракрасном снимке. В данной части функциональной панели
программы можно изменить вид рабочей области: {Регистровые закладки} или {Окна
каскадом}, о которых подробно рассказано выше.
3.2 Результаты
тепловизионного обследования жилой квартиры
Тепловизионное обследование состояния наружных
ограждающих конструкций строительного объекта, расположенного на территории
Вологды, выполнено в натурных условиях 09 «ноября» 2015 г. тепловизором Testo
875-2, технические характеристики которого приведены в приложении 3.
Время проведения наружной тепловизионной съемки:
09.50-10.20.
Объектом испытаний стали участки наружных
ограждений здания: наружная стена, балкон, оконный блок, а также элементы
системы отопления.
Натурные обследования проводились при
отрицательной температуре наружного воздуха и положительной температуре
внутреннего воздуха, при отсутствии атмосферных осадков, тумана, солнечных
бликов и других подобных природных явлений. Погодные условия удовлетворяли
требованиям проведения тепловизионного обследования.
Параметры наружной тепловизионной
съемки: 
, 
, ветер юго-западный, средняя
скорость ветра 
, 
,
(силикатный кирпич по преимуществу,
приложение 1).
Параметры внутренней тепловизионной
съемки: 
, 
,
(бумага),
(стекло) по
приложению 1.
Термографирование наружных
ограждений проводилось в перпендикулярном направлении к поверхности объекта
испытаний либо при отклонении от этого направления, не превышающем
угла
наклона к горизонтальной плоскости. Оно осуществлялось последовательно по
намеченным участкам с покадровой записью термограмм в энергонезависимую память.
Тепловизионная съемка жилого здания выполнялась общим панорамным снимком,
охватывающим все ограждение с вертикальными и горизонтальными стыками.
Основная часть выпускной
квалификационной работы содержит ключевые результаты тепловизионной диагностики
строительного объекта. Ниже приведена следующая информация: коллекция
термограмм и соответствующих им видимых изображений (фотографий); краткое
описание реперных точек и тепловых аномалий на тепловых изображениях с
указанием значений температур и рекомендаций по устранению тепловых дефектов.
На термограммах более холодные
участки отображаются более темным цветом по отношению к более теплым участкам.
Таким образом определить, например, подсос воздуха внутрь здания или утечку
теплоты из него несложно.
Тепловизионное обследование
ограждающих конструкций жилого здания (таблица 3.1) выполнено с целью выявления
неплотностей и мест с пониженным термическим сопротивлением. На основании
данных съемки можно будет реализовать комплекс мероприятий или отдельные
узконаправленные проекты, позволяющие повысить тепловую защиту здания. При
выполнении тепловизионной съемки учтены основные требования ее проведения,
представленные во втором разделе выпускной квалификационной работы.
Таблица 3.1 - Некоторые результаты
тепловизионного обследования жилой квартиры
|
№
п/п
|
Видимое
изображение
|
Тепловое
изображение (термограмма)
|
|
1
|
2
|
3
|
|
Наружная тепловизионная съемка
|
|
1.
|
|
|
|
Примечание: Элемент - «Приставной
балкон» (2 этаж) Реперные точки - М1: -6,1 oC; М2: -5,6 oC; М3:
-4,6 oC Заключение - тепловая картина балкона (коробка и остекление)
практически однородна Рекомендации - наружная обшивка балкона виниловым
сайдингом
|
|
2.
|
|
|
|
Примечание: Элемент - «Оконный блок» (2
этаж) Реперные точки - М1: -6,5 oC; М2: -0,9 oC; М3:
-3,1 oC; М4: -2,7 oC Заключение - тепловые потери через оконный блок и
нишу отопительного прибора в пределах нормы. Наблюдаются незначительные
избыточные тепловые потери через вертикальный стык здания, образованный
торцевым выступом стены и фасадом Рекомендации - тепловая изоляция
вертикального стыка (в случае необходимости)
|
|
Внутренняя тепловизионная съемка
|
|
3.
|

|
|
|
Элемент
- «Оконный блок» Реперные точки - М1: 15,9 oC; М2: 12,0 oC; М3:
11,1 oC; М4: 7,6 oC; М5: 25,4 oC; М6: 46,9 oC; М7:
50,8 oC Заключение - избыточные тепловые потери через неплотные стыки окна
Рекомендации - стыки между рамой окна и створками, а также по внешнему
периметру рамы забить ватой, поролоном или паклей и заклеить малярным скотчем
(первый вариант). Замена установленного окна в деревянном переплете на
энергосберегающий стеклопакет с качественным профилем (например, KBE
88 мм) (второй вариант)
|
|
4.
|
|
|
|
Примечание: Элемент - «Стояк системы
отопления» Реперные точки - М1: 27,3 oC; М2: 21,1 oC; М3:
9,6 oC; М4: 56,1 oC; М5: 51,2 oC Заключение - тепловая картина
внутренней поверхности стены в целом однородна. Засор стояков водяного
отопления не обнаружен Рекомендации - нет
|
|
5.
|
|
|
|
Примечание: Элемент - «Подводка к
отопительному прибору» Реперные точки - М1: 23,3 oC; М2: 15,3
oC; М3: 51,7 oC; М4: 51,3 oC; М5: 51,5 oC; М6:
50,4 oC; М7: 57,1 oC Заключение - засор трубопроводов не обнаружен
Рекомендации - нет
|
|
6.
|

|
|
|
Примечание: Элемент - «Отопительный
прибор» Реперные точки - М1: 21,0 oC; М2: 14,6 oC; М3:
51,7 oC; М4: 51,9 oC; М5: 49,3 oC; М6: 45,0 oC
Заключение - засор секций отопительного прибора не обнаружен Рекомендации - нет
|
|
7.
|
|
|
|
Примечание: Элемент - «Балконная дверь»
Реперные точки - М1: 20,5 oC; М2: 14,9 oC; М3: 11,2 oC; М4:
16,7 oC; М5: 18,4 oC; М6: 22,5 oC Заключение - избыточные
тепловые потери через неплотные стыки балконной двери Рекомендации - проверка
качества и замена резинового уплотнителя, регулировка или перепакечивание
балконной двери
|
|
Влажностное поле
|
|
|
|
Примечание: Элемент - «Оконный блок»
Реперные точки - белый / зеленый: φ = 0-64 %, не
критично; желтый / оранжевый: φ = 65-80 %, потенциально
критично; красный: φ
> 80 %, критично
|
|
|
|
|
|
4. ОЦЕНКА СТОИМОСТИ ПРОВЕДЕНИЯ ТЕПЛОВИЗИОННОГО
ОБСЛЕДОВАНИЯ ОБЪЕКТА КОНТРОЛЯ
Проблема формирования цен на оказание услуг по
проведению тепловизионного обследования зданий и сооружений до сих пор остается
нерешенной. К сожалению, не существует государственной нормативной методики, по
которой можно осуществить расчет стоимости тепловизионной съемки. Как правило,
цена является результатом обоюдной договоренности между Исполнителем и
Заказчиком. Организация, выполняющая данный тип работ, предлагает Заказчику заполнить
заявку, куда обычно входят следующие пункты [2]:
- контактная информация Заказчика
(фамилия, имя, отчество, адрес, контактный телефон, электронная почта и т. п.);
- адрес
местоположения объекта тепловизионного обследования;
- тип объекта (квартира,
индивидуальный или многоквартирный жилой дом, общественное или производственное
здание, склад и т. д.);
- количество этажей и
общая площадь здания;
- способ обогрева
здания (постоянное или прерывистое отопление);
- дополнительные
сведения (при их наличии).
Стоимость выполнения тепловизионного
обследования здания является многофакторным показателем, так как он должен
включать в себя не только характеристики объекта обследования, но и учитывать
стоимость оборудования (иначе коммерческое предложение не сможет быть
рентабельным), качество и количество термограмм, уровень квалификации
персонала, транспортные расходы, составление и печать итогового отчета и т. д.
Критерии ценообразования на услуги
тепловизионного обследования:
) вид услуги по тепловизионной съемке. Работа по
тепловизионному обследованию может включать в себя как изучение теплового
состояния отдельного элемента здания (фрагмента стены, светопрозрачной
конструкции), так и здания в целом. Кроме того, важно, от кого идет заявка и с
кем будет заключен договор на оказание данных услуг: с физическим (жильцом
индивидуального дома или отдельной квартиры) или юридическим (предприятием)
лицом;
2) тип и геометрические параметры
объекта обследования (этажность, площадь этажа, строительный объем здания)
являются первостепенными показателями стоимости услуг. Чем крупнее по габаритам
здание, тем больше требуется времени на выполнение тепловизионного мониторинга
его отдельных элементов. Время работы аккумулятора тепловизора составляет в
среднем 
, куда следует включить не только
сам процесс тепловизионной съемки, но и время, затрачиваемое на смену или
перемещение объектива с одного элемента тепловизионного контроля на другой
(например, с оконного ограждения на межпанельный стык, с фасада на торцевую
часть здания). Это может вызвать потребность в дополнительных выездах на
объект, а, значит, и затратах на транспортные услуги. Обычно Исполнитель
формирует базовую стоимость тепловизионного обследования в зависимости от
этажности и отапливаемой площади каждого этажа строительного объекта. Итоговая
цена является произведением базовой цены на корректирующий многофакторный
коэффициент.
Результаты тепловизионного
обследования могут быть переданы Заказчику на электронном и (или) бумажном
носителях. В первом случае это могут быть термограммы, конвертированные в
формат изображения: .jpg, .gif, .tif, .bmp и т. п.
Второй вариант предусматривает составление и печать отчета о проведении
тепловизионной съемки объекта контроля. В среднем размер отчета составляет
15-25 страниц, а печать - цветная (в ином случае термограммы, приведенные в
отчете, не смогут охарактеризовать объект). Стоимость отчета может широко
варьироваться в зависимости от технической сложности его составления
(количество термограмм, их анализ, заключение, рекомендации по устранению
выявленных тепловых дефектов и т. д.) и может составлять 
от базовой стоимости тепловизионной
съемки. К дополнительным денежным затратам, которые также должны быть включены
в итоговую стоимость тепловизионного обследования, следует отнести транспортные
расходы, растущие с увеличением дистанции между Исполнителем и объектом
обследования (кроме того, возможны многократные поездки). Например, прейскурант
цен может выглядеть следующим образом: дистанция до объекта обследования 
- 
; 
- 
; 
- 
Рассмотрим некоторые методические рекомендации,
а также конкретные примеры оценки стоимости проведения тепловизионной съемки.
В прейскуранте ОРГРЭС [19] в разделе
«Инфракрасный контроль состояния энергетического оборудования и технологических
сооружений» приводится следующая информация: «Проверка теплоизоляции
технологических, административных, жилых зданий и сооружений». Работа
предусматривает проверку теплоизоляции одного технологического,
административного здания или сооружения объемом 
. В объем работы входят следующие
пункты:
) ознакомление Исполнителя с
запросом Заказчика, составление сметно-договорной документации;
) подбор и ознакомление с
нормативно-технической, строительной и справочной документацией;
) подготовка тепловизора и
вспомогательных устройств к работе;
) снятие тепловых полей
контролируемого здания, регистрация в инфракрасном и видимом спектрах;
) анализ полученных результатов.
Составление протокола обследования.
В таблице 4.1 по данным видам услуг
приведены расценки.
Таблица 4.1 - Стоимость работы на
одно здание или сооружение
|
№
п/п
|
Краткое
содержание работы
|
Стоимость,
руб.
|
|
1
|
2
|
3
|
|
1.
|
Ознакомление
Исполнителя с запросом Заказчика, составление сметно-договорной документации
|
10
260,00
|
|
2.
|
Ознакомление
с нормативно-технической, строительной и справочной документацией
|
40
565,00
|
|
3.
|
Подготовка
тепловизора и вспомогательных устройств к тепловизионной съемке
|
39
140,00
|
|
4.
|
Тепловизионное
обследование
|
73
340,00
|
|
5.
|
Анализ
результатов. Составление отчета-протокола
|
249
470,00
|
|
Итого:
|
412
775,00
|
При изменении технических условий или объема
работы стоимость определяется со следующими коэффициентами:
- при определении тепловых потерь
строительных конструкций;
- при обработке результатов
измерений на компьютере;
- при выдаче заказчику фототермограмм;
- на каждое последующее здание при
одновременном обследовании на одном объекте нескольких зданий;
- на каждые 
увеличения или уменьшения объема
здания (сооружения) против предусмотренных 
.
Существенный недостаток данного
варианта оценки стоимости выполнения тепловизионного обследования заключается в
том, что прейскурант содержит отпускные стоимости работ, рассчитанные исходя из
условия минимального уровня заработной платы, установленного законодательством
РФ по состоянию на 01.04.1993 г. На момент выполнения тепловизирования объекта
(четвертый квартал 2015 г.) пересчет выполнить крайне проблематично.
Теперь рассмотрим пример
коммерческого предложения типовой компании (таблица 4.2), занимающейся услугами
в области термографирования строительных объектов. В стоимость тепловизионного
обследования входит:
) выезд квалифицированного
специалиста;
) полное или частичное
(фрагментарное) обследование объекта в зависимости от пожеланий Заказчика;
) составления отчета-протокола;
) комментарии и рекомендации
специалистов;
) отправка отчета в электронном виде
Заказчику.
Дополнительные денежные затраты
(например, за выезд на объект) на проведение тепловизионной съемки не
предусмотрены. Исключение составляет выезд за пределы города по тарифу 
за 
.
После получения отчета Заказчик
наглядно будет видеть все дефекты (при их наличии) объекта теплового контроля.
Стоимость тепловизионного
обследования окупается, как правило, менее чем за год, в зависимости от
состояния объекта, обычно в 
случаев устранение дефектов
практически не затратное. Компания предоставляет возможность взять тепловизор в
аренду, что существенно сэкономит бюджет Заказчика, особенно при проверке
нескольких объектов контроля.
Таблица 4.2 - Коммерческое
предложение типовой компании
|
№
п/п
|
Наименование
объекта
|
Прочее
|
Цена,
руб.
|
|
1
|
2
|
|
3
|
|
1.
|
Квартира
|
однокомнатная
|
3
000,00
|
|
|
двухкомнатная
|
3
500,00
|
|
|
трехкомнатная
|
4
000,00
|
|
2.
|
Коттедж,
дачный дом
|
до
99 м2
|
6
000,00
|
|
|
от
100 м2 до 199 м2
|
6
500,00
|
|
|
от
200 м2 до 299 м2
|
8
000,00
|
|
|
более
300 м2
|
договорная
|
|
3.
|
Гараж
|
-
|
от
2 500,00
|
|
4.
|
Здание
|
-
|
от
10 000,00
|
|
5.
|
Поиск
замыканий, скрытой проводки и обрывов
|
-
|
от
2 500,00
|
|
6.
|
Определение
места течи труб
|
-
|
от
2 500,00
|
|
7.
|
Составление
отчета
|
-
|
бесплатно
|
Уменьшить стоимость тепловизионного обследования
компания предлагает с помощью системы скидок:
1) при обследовании нескольких
объектов, расположенных не далеко друг от друга, скидка составляет от 
до 
;
) при повторном заказе (к примеру,
после устранения недочетов, для объективного определения качества выполненных
работ) - скидка до 
.
Таким образом, первичное
тепловизионное обследование трехкомнатной жилой квартиры, расположенной на
территории города, с предоставлением отчета в электронном виде составит,
согласно таблице 4.2, 
5. АВТОМАТИЗАЦИЯ ТЕПЛОВИЗИОННОГО ОБСЛЕДОВАНИЯ
Тепловизионное обследование зданий и сооружений
проводится с целью обнаружения тепловых потерь в энергопотребляющем объекте.
Картина тепловых потоков наглядно демонстрирует уровень тепловых потерь,
мотивирует человека провести работы по тепловой изоляции стен, цоколя, чердака,
установке стеклопакетов и т. п. Тепловизионное обследование зданий выполняется
тепловизором. Полученная картинка (термограмма) тепловизионного обследования
демонстрирует место и величину тепловых потерь.
Тепловизор для обследования зданий включает в
себя экран, объектив, матрицу, фотоприемник, чип памяти (рисунок 5.1).
Отражение исследуемого предмета проходит через систему линз объектива и ложится
на фотоприемник, где вызывают изменение электрических свойств. Это изменение
фиксируется электронной схемой, и она дает сигнал, сигнал перерабатывается в
цифровой и передается на блок изображения. В блоке каждому цифровому сигналу
соответствует определенный цвет, появляющийся на экране.
Рисунок 5.1 - Общая конструкция тепловизора на
примере Fluke Ti25
Диагностика тепловизором
производится в любых отапливаемых зданиях: жилых (дома и дачи, квартиры
многоэтажных зданий), общественных (концертные залы, развлекательные центры,
кафе) и производственных (цеха, мастерские). В целом, тепловизионное
обследование светопрозрачных конструкций показывает, что максимальные утечки
теплоты (до 
от общего количества тепловых
потерь) происходят через неутепленные окна. Замена старых окон стеклопакетами значительно
сокращает размер тепловых потерь.
Тепловизионное обследование зданий и
сооружений является неразрушающим высокоточным методом контроля тепловых
потерь.
Для повышения точности проводимых
измерений и получения дополнительной информации о тепловом состоянии объекта
контроля, как правило, одного прибора тепловизионного наблюдения недостаточно.
В таблице 5.1 представлена метрологическая карта средств измерения, которые
необходимы для автоматизации тепловизионного обследования.
Таблица 5.1 - Метрологическая карта средств
измерения
|
№
п/п
|
Наименование
оборудования
|
Пределы
измерений
|
Диапазон
показания шкалы прибора
|
Длина
шкалы
|
Цена
деления прибора
|
Чувствительность
прибора
|
Класс
точности
|
Погрешность
измерения
|
|
1
|
2
|
3
|
4
|
5
|
6
|
7
|
8
|
9
|
|
1.
|
Тепловизор
Testo 875-2
|
от
-20 ºC
до
100
ºС
/ от 0 ºС до 280 ºC (переключаемый)
|
-
|
-
|
-
|
<
0,05 оС при 30 ºC
|
-
|
±2
ºC или
±2 % от измер. знач.
|
|
2.
|
Инфракрасный
термометр (пирометр) Testo 830-T1
|
от
-30 оС до 400 оС
|
-
|
-
|
-
|
0,1
оС
|
-
|
±1,5
оC / ±1,5 % (от 0,1 оС до 400 оС), ±2,0 оС / ±2 % (от -30 оС до 0 оС)
|
|
3.
|
Поверхностный
стик температуры Testo 905-T2
|
от
-50 оС до 350 оС / до 500 оС при краткосрочных измерениях (1-2 минуты)
|
-
|
-
|
-
|
0,1
оС
|
-
|
±1
оC / ±1 % от изм. знач.
|
|
4.
|
Термогигрометр
Testo 610
|
от
-10 оС до 50 оС / от 0 % до 100 %
|
-
|
-
|
-
|
0,1
оС / 0,1 %
|
-
|
±0,5
оC / ±2,5 % (от 5 % до 95 %)
|
|
5.
|
Лазерный
дальномер Bosch GLM 40 Professional
|
от
0,15 м до 40 м
|
-
|
-
|
-
|
0,001
м
|
-
|
±1,5
мм
|
. ЭКОЛОГИЧНОСТЬ ИНФРАКРАСНОГО ИЗЛУЧЕНИЯ
6.1 Особенности
инфракрасного излучения
Инфракрасный нагрев - это нагрев
материалов электромагнитным излучением с длиной волны 
(инфракрасное излучение
<#"902475.files/image221.gif">
; среднетемпературные - от
до 
; высокотемпературные - выше 
. В качестве источников теплового
излучения применяют: трубчатые электрические нагреватели; зеркальные сушильные
лампы; электрические нагреватели, состоящие из вольфрамовой спирали, которая
помещена в герметическую кварцевую трубку, наполненную инертным газом и парами
йода и др. Установки инфракрасного нагрева представляют собой камеры, туннели
или колпаки, размеры и формы которых соответствуют размерам и форме
обрабатываемых изделий. Излучатели укрепляют на внутренней стороне установки;
расстояние между ними и поверхностью нагреваемых предметов обычно составляет 
. В промышленности инфракрасный
нагрев широко применяют для нагрева до сравнительно небольших температур
низкими тепловыми потоками (сушка лакокрасочных материалов, овощей, фруктов;
нагрев термопластических материалов перед формованием; вулканизация каучука и
др.).
Инфракрасное излучение генерируется
любым нагретым телом. Тела, имеющие температуру выше 
, являются источником
коротковолнового инфракрасного излучения.
Одной из количественных
характеристик излучения является интенсивность теплового облучения
,
или
, которую
можно определить как энергию, излучаемую с единицы площади в единицу времени.
В зависимости от длины волны
изменяется проникающая способность инфракрасного излучения. Наибольшую
проникающую способность имеет коротковолновое инфракрасное излучение (
), которое проникает в ткани
человека на глубину в несколько сантиметров. Инфракрасные лучи длинноволнового
диапазона (
) задерживаются в поверхностных
слоях кожи.
6.2
Воздействие инфракрасного излучения на человека
Воздействие инфракрасного излучения
может быть общим и локальным. При длинноволновом излучении повышается
температура поверхности тела, а при коротковолновом - изменяется температура
легких, головного мозга, почек и некоторых других органов человека.
Значительное изменение общей температуры тела (на 
) происходит при облучении
инфракрасными лучами большой интенсивности. Воздействуя на мозговую ткань,
коротковолновое излучение вызывает «солнечный удар». Человек при этом ощущает
головную боль, головокружение, учащение пульса и дыхания, нарушение координации
движений, возможна потеря сознания [20].
6.3
Воздействие инфракрасного излучения на окружающую среду
Тепловая радиация повышает
температуру окружающей среды, ухудшает ее микроклимат, что может привести к
перегреву организма.
В производственных условиях тепловая
энергия выделяется [20]:
- от плавильных, нагревательных
печей и других термических устройств;
- от остывания
нагретых или расплавленных металлов и др.
Около 
тепловой энергии распространяется в
окружающей среде путем инфракрасного излучения. Лучистая энергия, проходя почти
без потерь энергии пространство, снова превращается в тепловую энергию.
Тепловое излучение не оказывает
непосредственного воздействия на окружающий воздух, свободно пронизывая его.
Производственные источники лучистой
теплоты по характеру излучения можно разделить на четыре группы:
) с температурой излучающей
поверхности до 
(наружная поверхность термических
печей и др.). Их спектр содержит инфракрасные лучи с длиной волны 
;
) с температурой поверхности от 
до 
(открытое пламя, расплавленный
чугун и др.). Их спектр содержит преимущественно инфракрасные лучи с длиной волны

;
) с температурой от
до 
(расплавленная сталь и др.). Их
спектр содержит как инфракрасные лучи вплоть до коротких с длиной волны 
, так и видимые большой яркости;
) с температурой выше 
(пламя электродуговых печей,
сварочных аппаратов и др.). Их спектр излучения содержит, наряду с
инфракрасными и видимыми лучами, ультрафиолетовые лучи.
ЗАКЛЮЧЕНИЕ
В выпускной квалификационной работе
решены следующие задачи:
) рассмотрена история открытия
инфракрасного излучения, представлены основы теории радиационно-лучистого
теплообмена, куда входят законы Планка, Вина, Кирхгофа, Стефана-Больцмана и
Ламберта. Кроме того, изучен закон излучения между двумя телами на расстоянии;
) раскрыты особенности и область
применения тепловизоров в строительстве и энергетике, приведена их
классификация, дано описание принципа работы, изучены технические
характеристики современных устройств;
) перечислены основные требования и
правила по организации и проведению инфракрасной диагностики теплопотребляющих
объектов;
) проиллюстрированы возможности
обработки тепловых изображений на примере работы программы IRSoft
компании Testo AG (Германия);
) представлены в виде отчета
результаты термографирования квартиры в жилом доме, куда вошли видимые
изображения, термограммы и их анализ, реперные точки, заключения. По
результатам тепловизирования строительного объекта сделаны соответствующие
выводы и рекомендации;
) проанализированы прейскуранты
различных компаний, работающих в сфере услуг по термографированию строительных
объектов;
) рассмотрены вопросы автоматизации
тепловизионного обследования;
) раскрыты экологические аспекты
инфракрасного излучения.
Практическая ценность результатов
работы заключается в том, что применение современной тепловизионной техники
позволило быстро и точно выявить дефектные участки. На базе результатов
термографирования объекта контроля разработаны рекомендации по устранению
тепловых дефектов. Повышение тепловой защиты жилого здания позволит сократить
до минимума расходы тепловой энергии на создание в нем требуемого теплового
режима.
СПИСОК ИСПОЛЬЗОВАННЫХ ИСТОЧНИКОВ
1. Криксунов, Л.З.
Справочник по основам инфракрасной техники: справочник / Л.З. Криксунов. - М.:
Советское радио, 1978. - 400 с.
2. Основы тепловизионной
диагностики теплопотребляющих объектов строительства: учебное пособие / А.А.
Синицын, Д.Ф. Карпов, М.В. Павлов. - Вологда: ВоГТУ, 2013. - 156 с.
. Исследование теплопроводности
и температуропроводности твердого тела при стационарном и нестационарном
тепловых режимах: учебное пособие / А.А. Синицын, Д.Ф. Карпов, М.В. Павлов,
Ю.А. Калягин, Н.В. Мнушкин. - Вологда: ВоГУ, 2014. - 176 с.
. Богословский, В.Н.
Строительная теплофизика: учебник для вузов / В.Н. Богословский. - СПб.: АВОК
Северо-Запад, 2006. - 400 с.
. Гребер, Г. Основы учения о
теплообмене: перевод с нем. / Г. Гребер,
С. Эрк, У. Григулль; под ред. А.А. Гухмана. - М.: Изд-во иностранной
литературы, 1958. - 567 с.
. Михеев, М.А. Основы
теплопередачи: учебное пособие / М.А. Михеев, И.М. Михеева. - М.: Энергия,
1977. - 344 с.
. Криксунов, Л.З.
Тепловизоры: справочник / Л.З. Криксунов, Г.А. Падалко. - К.: Технiка, 1987. -
166 с.
8. Классификация
тепловизоров и получение ими изображения [Электронный ресурс]: статья. - Режим
доступа: <http://www.teplovizor.ru>.
. Тепловизор
[Электронный ресурс]: статья. - Режим доступа: <http://ru.wikipedia.org>.
. Строительная
термография с тепловизорами Testo [Электронный ресурс]: каталог
измерительных приборов фирмы Testo AG. - М.: ООО «Тэсто Рус», 2011. - 36
с.
. Вавилов,
В.П. Инфракрасная термографическая диагностика в строительстве и энергетике:
брошюра / В.П. Вавилов, А.Н. Александров. - М.: НТФ «Энергопрогресс», 2003. -
76 с.
. МДС
13-20.2004. Пособие по проектированию. Комплексная методика по обследованию и
энергоаудиту реконструируемых зданий / Центральный научно-исследовательский и
проектно-экспериментальный институт промышленных зданий и сооружений ОАО
«ЦНИИПромзданий». - М., 2004. - 178 с.
. Методические
указания по проведению инфракрасной диагностики тепловых энергоустановок /
сост.: ООО «Энергосервисная компания 3Э-С». - Смоленск, 2006. - 18 с.
. Строительные
нормы и правила. Тепловая защита зданий: СНиП 23-02-2003 / Госстрой России. -
Введ. 01.10.2003. - М., 2003. - 29 с.
. ГОСТ
26629-85. Метод тепловизионного контроля качества теплоизоляции ограждающей
конструкции. - Утв. и введ. в действие 05.10.1985. - М.:
Научно-исследовательский институт строительной физики (HИИСФ) [Госстрой СССР],
1986. - 9 с.
. Методические
рекомендации о порядке проведения теплового контроля технических устройств и
сооружений, применяемых и эксплуатируемых на опасных производственных объектах:
РД 13-04-2006 / под общ. ред. К.Б. Пуликовского. - М.: Открытое акционерное
общество «Научно-технический центр по безопасности в промышленности», 2007. -
32 с.
. Программное
обеспечение IRSoft. Руководство пользователя. - М.: ООО «Тэсто Рус»,
2011. - 46 с.
. Тепловизор
Testo 875. Руководство по эксплуатации. - М.: ООО «Тэсто Рус», 2011. -
38 с.
. Прейскурант
на экспериментально-наладочные работы и работы по совершенствованию технологии
и эксплуатации электростанций и сетей: утв. Минэнерго СССР 11.09.1991. - Введ.
08.12.1992. - М.: СПО ОРГРЭС, 1992. - 106 с.
. Зеркалов,
Д.В. Экологическая безопасность: учебное пособие / Д.В. Зеркалов. - К.: Основа,
2009. - 513 с.
ПРИЛОЖЕНИЕ 1
(справочное)
Коэффициенты теплового излучения и поглощения
различных строительных материалов (проводников и диэлектриков)
Таблица П2.1 - Значения относительного
коэффициента теплового излучения ε
(при температурах 0-150 оC) и относительного коэффициента поглощения солнечной
радиации p (при температуре около 6000 оС) поверхностями различных
строительных материалов
|
№
п/п
|
Наименование
материала и состояние поверхности
|
ε
|
p
|
|
1
|
2
|
3
|
4
|
|
1.
|
Мрамор
шлифованный:
|
|
|
|
серый
|
0,93
|
0,30
|
|
темный
|
0,93
|
0,65
|
|
2.
|
Гранит
серый светлый полированный
|
0,42
|
0,80
|
|
3.
|
Известняк
шлифованный:
|
|
|
|
светлый
|
0,40
|
0,35
|
|
темный
|
0,40
|
0,50
|
|
4.
|
Песчаник
шлифованный:
|
|
|
|
желто-коричневый
|
-
|
0,54
|
|
светлый
|
-
|
0,62
|
|
красный
|
0,57
|
0,73
|
|
5.
|
Кирпич
обыкновенный:
|
|
|
|
красный
/ силикатный
|
0,93
|
0,70/0,60
|
|
светло-коричневый
|
-
|
0,55
|
|
глазурованный
белый
|
-
|
0,26
|
|
6.
|
Бетон,
гладкая поверхность
|
0,62
|
0,54-0,65
|
|
7.
|
Штукатурка:
|
|
|
|
светлая
|
0,91
|
0,42
|
|
темная
|
0,94
|
0,73
|
|
8.
|
Дерево:
|
|
|
|
неокрашенное
|
0,7-0,9
|
0,59
|
|
окрашенное
светло-желтое
|
-
|
0,60
|
|
9.
|
Асбест
белый
|
0,96
|
0,42
|
|
10.
|
Рубероид
|
0,93
|
0,76-0,94
|
|
11.
|
Толь
черный
|
0,91
|
0,86-0,88
|
|
12.
|
Железо:
|
|
|
|
полированное
|
0,128
|
0,45
|
|
оцинкованное
|
0,28
|
0,64
|
|
13.
|
Асбоцемент
белый
|
0,96
|
0,61
|
|
14.
|
Алюминий:
|
|
|
|
матовый
|
0,055
|
0,52
|
|
полированный
|
0,039-0,057
|
0,26
|
|
15.
|
Краски
масляные:
|
|
|
|
кармин
светлый, красный
|
0,81
|
0,52
|
|
ультрамарин
(светлый)
|
|
кобальт
зеленый светлый
|
|
0,58
|
|
марс
коричневый
|
|
0,65
|
|
кобальт
фиолетовый
|
|
0,83
|
|
зелень
изумрудная
|
|
0,61
|
|
охра
золотистая
|
|
0,44
|
|
охра
красная
|
|
0,63
|
|
16.
|
Стекло
оконное, δ
= 4,5 мм
|
0,94
|
0,04
|
|
17.
|
То
же, δ
= 7,0 мм
|
0,94
|
0,076
|
|
18.
|
Бумага
|
0,97
|
-
|