Государственное стимулирование инвестиционной деятельности в регионах России
ВВЕДЕНИЕ
Эффективность функционирование механизма регулирования и государственного
стимулирования инвестиционной деятельности во многом определяется общими
макроэкономическими условиями, целевыми установками органов законодательной и
исполнительной власти той или иной страны, концепцией экономического и
социального развития государства, принятой моделью рыночной экономики. В
современных экономических условиях хозяйствования существует необходимость в
эффективном государственном регулировании, однако эффективность
функционирования государства в настоящее время остается достаточно низкой, что
препятствует устойчивому развитию экономки.
Одним из условий устойчивого развития регионов России, увеличения темпов
экономического роста является повышение обоснованности
экономико-организационных, нормативно-правовых и финансово-кредитных решений,
принимаемых па региональном уровне и направленных на регулирование и
государственное стимулирование инвестиционной деятельности в регионах России,
рационализацию взаимодействия отдельных участников инвестиционного процесса.
Существующий механизм принятия долгосрочных инвестиционных решений,
регулирования и государственного стимулирования инвестиционной деятельности в
регионах России в настоящее время характеризуется отсутствием системности и
учета причинно-следственных связей и взаимодействий между различными субъектами
инвестиционного процесса. Это обстоятельство не позволяет местным, региональным
и федеральным органам управления экономикой эффективно использовать имеющиеся инвестиционные
ресурсы, обеспечить повышение инвестиционной привлекательности отдельных
регионов и всего народного хозяйства в целом, что негативно сказывается на
темпах экономического развития национальной хозяйственной системы.
Важнейшим условием решения методологических проблем эффективного
социально-экономического развития России в настоящее время выступают как
поэтапная реализация процесса регулирования и государственного стимулирования
инвестиционной деятельности в регионах России, так и создание адекватно
отвечающей требованиям рыночной экономики структуры институтов, которая бы
соответствовала потребностям всех субъектов хозяйствования.
Актуальность исследования, таким образом, вытекает из необходимости
решения таких важных народнохозяйственных задач, как научное обоснование и
создание эффективно функционирующего механизма регулирования и государственного
стимулирования инвестиционной деятельности в регионах России, установление
направлений оптимального взаимодействия всех субъектов инвестиционной деятельности,
разработка методических решений и современных принципов рационализации
инвестиционного процесса на региональном уровне.
Основная цель настоящей работы состоит в разработке и обосновании
теоретических и методических положений организационно-экономического характера
эффективного регулирования и государственного стимулирования инвестиционной
деятельности в регионах России
В соответствии с данной сформулированы и обоснованы следующие задачи:
• раскрыть и научно обосновать основные теоретические положения
регулирования и государственного стимулирования инвестиционной деятельности в
регионах России в условиях развивающихся рыночных отношений;
• определить принципы и особенности регулирования и
государственного стимулирования инвестиционной деятельности в регионах России,
установить целевую стратегическую ориентацию участников инвестиционного
процесса, специфику нормативно-правового обеспечения инвестиционной
деятельности хозяйствующих субъектов Российской Федерации; расширить системные
представления о формах и элементных взаимодействиях действующих механизмов
регулирования и государственного стимулирования инвестиционной деятельности в
регионах России на основе критического анализа отечественного и зарубежного
опыта, форм, методов и средств государственного регулирования инвестиционной
деятельности;
• выявить и научно обосновать государственные и корпоративные меры
регулирующего и стимулирующего воздействия, способствующие эффективному
развитию инвестиционной деятельности в регионах Российской Федерации
• определить современные направления и условия взаимодействия
участников инвестиционного процесса с учетом интересов развития предприятий,
организаций, учреждений, экономики страны в целом;
• предложить современные принципы формирования механизма
регулирования и государственного стимулирования инвестиционной деятельности;
• сформировать и обосновать методические положения, направленные
на рационализацию процесса регулирования и государственного стимулирования
инвестиционной деятельности в регионах России.
Предметом исследования являются методологические и методические проблемы
регулирования и государственного стимулирования инвестиционной деятельности в
регионах России.
Объектом исследования выступают система регулирования и государственного
стимулирования инвестиционной деятельности в регионах России, а также
хозяйствующие субъекты - участники инвестиционного процесса.
Выбор данных объектов исследования продиктован необходимостью
социально-экономического, системного, сравнительного и финансового анализа,
рационализации взаимодействия основных элементов процесса регулирования и
государственного стимулирования инвестиционной деятельности в регионах России,
научного обоснования возможности достижения роста результативности
регулирования и государственного стимулирования инвестиционной деятельности в
регионах России, применения в процессе регулирования и государственного
стимулирования инвестиционной деятельности методов, процедур и способов
управления экономической, социальной, структурно-организационной, нормативно-правовой
направленности.
1. ТЕОРЕТИЧЕСКИЕ ОСНОВЫ ГОСУДАРСТВЕННОГО РЕГУЛИРОВАНИЯ ИНВЕСТИЦИОННОЙ
ДЕЯТЕЛЬНОСТИ
.1 Понятие государственного регулирования инвестиционных процессов
Государственное регулирование инвестиционного процесса - это система мер
законодательного, исполнительного и контролирующего характера, осуществляемых
правомочными государственными учреждениями для стимулирования инвестиционной
активности и на этой основе экономического роста. Рыночный механизм
предполагает свободу хозяйственного выбора и свободу хозяйственного действия в
соответствии с целями и задачами хозяйствующего субъекта. Законодательное
регулирование инвестиционного процесса призвано не отменять принципы и
механизмы рыночного хозяйствования и не заменять их директивным управлением, а,
напротив, способствовать созданию благоприятных условий для активизации
инвестиционной деятельности хозяйствующих субъектов на основе рыночного
механизма. Принципами инвестиционной деятельности являются также
невмешательство государственных органов Республики Казахстан, субъектов и
органов муниципальных образований в законно осуществляемую инвестиционную
деятельность; соблюдение прав и интересов граждан, юридических лиц, а также
общества, государства и муниципальных образований при осуществлении инвестиционной
деятельности.
На деятельность государства по регулированию инвестиционного процесса
оказывают влияние состояние и уровень развития рыночного хозяйства, степень его
ориентированности на решение социальных целей и задач. Но во всех случаях это регулирование
представляет собой сложный процесс, включающий цели, субъекты, объекты и
средства этого регулирования.
Исходя из мировой практики организации привлечения инвестиций в
национальную экономику, государство помимо создания четкой и стабильной законодательной
базы формирует и соответствующую систему государственного регулирования
инвестиционной деятельности в лице специально уполномоченных органов, прежде
всего в структуре исполнительной власти.
инвестиционная информация
инвестиционная активность
источники
инвестиций
инвесторы
Инвестиционный проект
объекты
инвестиций
инвестиционная территория
инвестиционная культура
инвестиционные ресурсы
Так, функции государственной легализации и регистрации инвестиций и
субъектов инвестиционной деятельности возложены одновременно на Министерство
финансов, Центральный банк, Комиссию по рынку ценных бумаг, Государственную
регистрационную палату при Министерстве юстиции, Государственный таможенный
комитет и ряд других государственных и региональных органов.
Функции общеэкономического и внешнеторгового государственного
регулирования в инвестиционной сфере осуществляют реорганизованное Министерство
экономического развития и торговли (ранее эти функции выполнялись
министерствами экономики и внешнеэкономических связей) и Государственный
таможенный комитет.
Функции финансово-кредитного и валютного регулирования и контроля в
рассматриваемой сфере выполняют Министерство финансов, Центральный банк,
Министерство экономического развития и торговли и органы валютного контроля.
Функции фискально-налогового государственного регулирования и контроля в
отношении субъектов инвестиционной деятельности отнесены к ведению Министерства
по налогам и сборам, Государственной службы, налоговой полиции и
Государственного таможенного комитета и органов валютного контроля.
Функции государственного регулирования инвестиционной деятельности на
фондовом рынке и в сфере приватизации осуществляет также целая группа ведомств,
среди которых Министерство по антимонопольной политике и поддержке предпринимательства,
Министерство имущественных отношений, Государственная служба по финансовому
оздоровлению и банкротству, а также Комиссия по рынку ценных бумаг.
.2 Необходимость государственного управления инвестициями
Как показывает практика развития рыночных отношений, инновации служат
главной движущей силой развития общественного производства и тесно
взаимодействуют с инвестиционной деятельностью. Функционирование хозяйственного
комплекса страны немыслимо без инвестиций, обеспечивающих непрерывность
воспроизводства, разработку и реализацию производственных, инновационных и
социальных программ и проектов, позволяющих увеличить объемы производства,
повысить эффективность функционирования общественного производства.
Государственное управление инвестиционной сферой предполагает форму
некоего «принуждения», без которого оно лишено смысла, поскольку, если бы рынок
сам регулировал перелив капитала исходя из государственных интересов, то любое
вмешательство государства в инвестиционный процесс было бы излишним.
Поэтому государство должно соединить интересы общества, понимаемые,
прежде всего как сохранение его благополучия, с интересами предпринимательской
деятельности, в том числе путем регулирования инвестиционных потоков.
Например, в ситуации кризиса, дестабилизации экономики, воздействие
государства на инвестиционный процесс приобретает особое значение, т.к.
оживление инвестиционной деятельности - одно из условий выхода из
экономического кризиса и создания предпосылок для устойчивого развития.
Вмешательство государства должно отвечать интересам всех слоев общества,
для того чтобы достичь наиболее эффективного общественного производства.
Общественное производство может считаться эффективным только тогда, когда
происходит гармоничное развитие всех структур общества, т.е. когда наряду с
производственным сектором, инвестиции обеспечивают необходимое развитие
социальной, экономической и культурной сферы.
Государство определяет инвестиционную политику потому, что только оно
наделено политической властью и обладает способностью реализовать свою волю в
правовых актах, регулирующих инвестиционные потоки, приоритетном финансировании
и т.д.
Реализация инвестиционной политики через соответствующие законодательные
акты по сути своей направлена на улучшение социально-экономического положения в
обществе в целом. Решение экономических проблем тесно связано с социальными
проблемами, поэтому инвестиционную политику, как считают некоторые специалисты,
можно считать важнейшим направлением социально-экономической политики
государства, позволяющим добиться поставленных целей посредством
государственного управления финансовыми средствами независимо от источников их
образования. Государство играет ведущую роль в базовых отраслях промышленности,
производстве военной и космической техники и других отраслях, обеспечивающих
государственные нужды и национальную безопасность. Как собственник, оно создает
условия для стабильной хозяйственной деятельности государственных предприятий
через систему госзаказов, кредитование оборотных средств для предприятий, продукция
которых имеет гарантированный сбыт, путем содействия продвижению товаров
государственных предприятий на мировой и казахстанский рынок.
Если проанализировать этапы экономического подъема таких промышленно
развитых стран, как США, ФРГ, Япония, Франция, Великобритания и другие,
нетрудно заметить, что в последние десятилетия практически во всех случаях
периодам наибольшей инвестиционной активности в этих странах соответствовали
(естественно, с определенным лагом) периоды самых высоких темпов подъема экономики.
Это ярко проявилось, в частности, в 60-е годы, когда высокая
инвестиционная активность в этих странах сопровождалась особенно значительными
темпами роста такого интегрального показателя экономического развития, как
валовый национальный продукт. К примеру, в Японии при удвоении объема
капитальных вложений. 3а 1966-1970 гг. валовый национальный продукт возрос по
сравнению с предыдущим пятилетием вырос более чем на 70 %.).
В эти же годы в США, ФРГ, Франции достигались приросты валового
национального продукта на 25 - 30%.
При таких высоких темпах экономического роста многие развитые страны
получили возможность создать уже в 60-е годы производственный потенциал,
обеспечивающий материально-техническую основу для устойчивого экономического и
социального развития в последующий период, для формирования экономики
постиндустриального общества и нового качества экономического роста.
С повышенной инвестиционной активностью связан и известный экономический
феномен последнего периода - появление «новых индустриальных стран» Азии: Южной
Кореи, Тайваня, Сингапура, Гонконга. В том же контексте сейчас можно говорить
уже и о Таиланде. В этих странах в относительно короткий срок созданы
стабильные экономические структуры с достаточно крупным и динамичным экспортным
потенциалом, способным быстро адаптироваться к изменяющейся конъюнктуре
мирового рынка.
государственный стимулирование инвестиционный правовой
2. МЕТОДИЧЕСКИЕ АСПЕКТЫ ГОСУДАРСТВЕННОГО РЕГУЛИРОВАНИЯ ИНВЕСТИЦИОННЫХ
ПРОЦЕССОВ
.1 Формы и методы государственного регулирования инвестиционной
деятельности
Государственное регулирование инвестиционной деятельности представляет
собой совокупность государственных подходов и решений, закрепленных
законодательством, организационно-правовых форм, в рамках которых инвестор
осуществляет свою деятельность.
Регулирование выражается в прямом управлении государственными
инвестициями: системе налогов с дифференцированием налоговых ставок и налоговых
льгот, финансовой помощи в виде дотаций, субсидий, бюджетных ссуд, льготных
кредитов, в финансовой и кредитной политике, ценообразовании, выпуске в
обращение ценных бумаг, амортизационной политике.
Государство для выполнения своих функций регулирования экономики
использует как экономические (косвенные), так и административные (прямые)
методы воздействия на инвестиционную деятельность и экономику страны путем
издания и корректировки соответствующих законодательных актов и постановлений,
а также путем проведения инвестиционной, политики.
Сущность форм и методов государственного регулирования инвестиционной
деятельности, заключается в следующем.
.Государственное регулирование инвестиционной деятельности,
осуществляемой в форме капитальных вложений, ведется органами государственной
власти и органами государственной власти субъектов РФ.
. Государственное регулирование инвестиционной деятельности может
осуществляться с использованием форм и методов в соответствии с
законодательством РФ.
Для регулирования деятельности инвесторов на территории РК государство
использует следующие методы:
контроль за соблюдением государственных норм и стандартов, а также за
соблюдением правил обязательной сертификации; Т.е. согласно закона «Об
инвестиционной деятельности в РФ» субъекты инвестиционной деятельности обязаны
соблюдать нормы и стандарты, установленные законодательством РК и
законодательствами субъектов РФ.
экспертиза инвестиционных проектов. Т.е. оценка экономической и иной
целесообразности инвестиций в данный проект, отрасль или инвестиционную
программу.
установления субъектам инвестиционной деятельности льгот по уплате
местных налогов;
защиты интересов инвесторов;
предоставления субъектам инвестиционной деятельности не противоречащих
законодательству Республики Казахстан льготных условий пользования землей и
другими природными ресурсами, находящимися в муниципальной собственности;
расширения использования средств населения и иных внебюджетных источников
финансирования жилищного строительства и строительства объектов
социально-культурного назначения;
прямое участие органов местного самоуправления в инвестиционной
деятельности, осуществляемой в форме капитальных вложений, путем разработки,
утверждения и финансирования инвестиционных проектов, осуществляемых
муниципальными образованиями;
размещения на конкурсной основе средств местных бюджетов для финансирования
инвестиционных проектов.
выпуска муниципальных займов в соответствии с законодательством Рф. -
вовлечения в инвестиционный процесс временно приостановленных и
законсервированных строек и объектов, находящихся в муниципальной
собственности;
предоставлением финансовой помощи в виде дотаций, субсидий, субвенций,
бюджетных ссуд на развитие отдельных территорий, отраслей, производств.
проведением финансовой и кредитной политики, политики ценообразования (в
том числе выпуском в обращение ценных бумаг), амортизационной политики;
Механизм государственного регулирования инвестиционных процессами
представляет собой совокупность инструментов и методов воздействия государства
на инвестиционную политику субъектов хозяйствования.
.2 Функции государственного регулирования инвестиционных процессов
Осуществляя регулирование инвестиционной деятельности, государство
выполняет ряд следующих функций:
) установочную (целеполагающую);
) мобилизующую;
) стимулирующую;
) контролирующую.
Установочная функция государства заключается в определении стратегических
целей и приоритетов, в постановке задач инвестиционной политики на предстоящий
период. Формирование структуры целей и приоритетов предполагает анализ
результатов, выявление наиболее острых социально-экономических и политических
проблем, определение наиболее активных мероприятий государства по их решению.
Мобилизующая функция государства заключается в поисках источников
инвестиционных ресурсов, в определении путей их привлечения для решения
поставленных задач. Осуществление этой функции связано с регулированием
движения инвестиционных ресурсов, их распределением и перераспределением между
структурными подразделениями национального хозяйства. Основными инструментами
осуществления этой функции является монетарная политика, налоговое обложение,
политика в области амортизационных отчислений, бюджетная политика,
регулирование внебюджетных фондов.
Стимулирующая функция государства нацелена на безусловное и ускоренное
решение ключевых приоритетных задач инвестиционной политики. Эта функция
реализуется через посредство налоговых и финансовых льгот (субсидий, субвенций,
дотаций), создание оффшорных зон, кредитную и дисконтную (процентную) политику,
иные инструменты.
Контрольная функция предполагает контроль со стороны государства за соблюдением
хозяйствующими субъектами установленных государством экономических и правовых
норм в процессе их хозяйственной деятельности. Государственный контроль
осуществляется через соответствующие контрольные органы и органы управления
различного уровня.
В содержании современной инвестиционной политики следует выделить два
вида мероприятий и соответственно две формы деятельности: стратегию и тактику.
Стратегия - долговременный курс государства, направленный на комплексное
решение крупномасштабных народнохозяйственных (макроэкономических) задач. К
элементам стратегии относят:
) постановку долговременных целей и задач, обоснование принципов и
приоритетов государственного регулирования инвестиций;
) определение основных источников и резервов долговременных вложений; 3)
обоснование направлений и способов использования инвестиций (направлений
достижения целей).
Понятие «тактика» выражает совокупность приемов (методов), инструментов,
форм управленческой деятельности, с помощью которых субъекты управления решают
стратегические задачи. Тактика отличается от стратегии тремя признаками:
) она предусматривает решение оперативных целей и задач в краткосрочном
периоде;
) ориентируется на поиск специфических, наиболее эффективных решений
каждой отдельно взятой стратегической задачи;
) использует оперативные средства (инструменты) и формы воздействия на
поведение инвесторов.
В общем итоге экономическая тактика государства в области регулирования
инвестиций является продолжением и дополнением стратегии, ее логическим
завершением.
.3 Регулирование инвестиционной деятельности в зарубежных странах
Инвестиционная деятельность в США регулируется также с помощью механизма
инвестиционного кредита -- скидки с прибыли, направленной на капиталовложения.
В середине 1980-х годов налоговая система США, механизмы стимулирования
инноваций и инвестиций подверглись очередному реформированию. Целью реформы
(Налоговый закон 1987 г.) были активизация рыночного механизма и создание
условий для формирования рациональной структуры потоков капитала. Концепция
этого закона, действующего и поныне, направлена на создание одинаковых условий
для всех видов предпринимательства, а также на снижение налогового пресса без
существенных потерь для бюджета.
Налоговый закон 1987 г. в США затронул также правила амортизационной
политики. Ускоренная амортизация как источник финансирования инвестиций в
обновление основных фондов сохранена, однако несколько замедлились сроки
амортизационных списаний для части высокотехнологичного оборудования. Политика
ускоренной амортизации достаточно широко проводилась в последние годы и в
странах Западной Европы (Франция, Австрия и др.), способствуя активизации
инновационно-инвестиционной деятельности. В целом государственное регулирование
инвестиционной деятельности в развитых странах в течение последних 20 лет
направлено на структурную перестройку экономики , включающих повышение роли и
ответственности региональных властей. Местным властям отводится важная роль в
региональном планировании и зонировании территорий, управлении инвестиционными
программами. Именно они занимаются вопросами привлечения инвесторов и деловых
партнеров.
Испанское законодательство предусматривает различные формы коммерческих
предприятий, все из которых могут использоваться иностранными инвесторами.
Следует отметить, что, во многих случаях, Закон обеспечивает только минимальные
стандарты или общие правила.
Договором о присоединении Испании к ЕС был предусмотрен переходный
период, в течение которого испанское законодательство об иностранных
инвестициях и валютном контроле должно было быть приведено в соответствие с
действующими в ЕС актами, регулирующими движение капиталов. В связи с принятым
ЕС решением от 24 июня 1988 г. о либерализации движения капиталов, Испания в
1988-1990 гг. приняла ряд законодательных документов по либерализации притока
иностранных ресурсов из стран ЕС . В этом декрете указывается, что поступления
и платежи с заграницей осуществляются свободно, не затрагивая при этом акты об
иностранных инвестициях, подлежащих предварительному административному
контролю.
В дальнейшем была предусмотрена специальная процедура регулирования
иностранных инвестиций в области национальной обороны, радио и телевидения,
воздушного транспорта и игр. Законодательством предусматривается осуществление
административными органами контроля за прямыми иностранными инвестициями, когда
иностранное участие превышает 50% капитала испанской фирмы, при условии, что
объём инвестиций, превышает 500 млн. песет. Иностранные инвестиции и их
ликвидация подлежат регистрации в Инвестиционном регистре Министерства
экономики и финансов Испании.
Правительство Индии, поставив себе в начале 90-х годов прошлого века
задачу ускоренного развития экономики страны и интеграции в мировую систему
экономических отношений на основе проводимой политики экономических реформ и
либерализации экономики, добилось главного успеха - создало благоприятные
инвестиционные условия. В результате проведенных рыночных реформ были
значительно сокращены требования по лицензированию производственной
деятельности, устранены ограничения на создание совместных предприятий и на
расширение масштабов производства, созданы четкие законодательные, налоговые,
финансовые и таможенные правила. Таким образом, был открыт доступ иностранному
капиталу к огромным материальным и людским ресурсам Индии, банковскому сектору,
рынку ценных бумаг и технологиям промышленного и сельскохозяйственного
производства.
Из основных мероприятий правительства Индии по привлечению иностранных
инвестиций особо положительную роль сыграло принятие в 1999г. Закона о валютном
регулировании, что способствовало привлечению иностранных инвестиций в страну,
поскольку одной из основных статей Закона является разрешение репатриации
инвестированного капитала и перевода за границу любого количества иностранной
валюты. Правительство Индии приветствует инвестиции в такие отрасли индийской
экономики, как энергетика, инфраструктурные проекты, машиностроение,
информационные технологии, фармацевтика, нефтегазовый и нефтехимический
комплексы страны, а также другие отрасли, продукция которых востребована на
местном рынке. Французское правительство с 1985 г. проводит политику
последовательной либерализации притока иностранных инвестиций. Эта политика
носит целенаправленный характер по привлечению в страну капиталовложений,
стимулирующих развитие передовых, наукоемких отраслей, расширению экспорта,
созданию новых рабочих мест. Общий контроль за иностранными инвестициями во
Франции возложен на министерство экономики, финансов и бюджета. Но
непосредственным и основным органом, занимающимся координацией финансовых
отношений страны с иностранными государствами и регулированием притока прямых
иностранных инвестиций во Францию, является Директорат казначейства этого
министерства.
В действующем французском законодательстве существует четкое разграничение
между прямыми и прочими иностранными капиталовложениями. В соответствии с
действующим законодательством особое положение среди инвесторов занимают страны
ЕС, на которые распространяется наиболее льготный режим. По декрету от 21 мая
1987 г., под прямыми инвестициями стран Сообщества во Франции понимаются
инвестиции, осуществляемые физическими лицами, постоянно проживающими в этих
странах, или, юридическими лицами, находящимися в этих государствах
контролируемыми прямо или косвенно резидентами из стран ЕС (кроме Франции).
В случае получения от Директората казначейства разрешения на
капиталовложения иностранный инвестор производит необходимые валютные операции
только через банк-посредник, наделенный соответствующими полномочиями и
контролируемый Банком Франции. В дальнейшем созданная и действующая на
французской территории иностранная компания пользуется теми же правами, что и
национальная компания, то есть на нее распространяется национальный режим в
вопросе уплаты налогов, получения кредитов и разного рода льгот.
3. ПРОБЛЕМЫ И ПУТИ ПОВЫШЕНИЯ ЭФФЕКТИВНОСТИ ЗАКОНОДАТЕЛЬНОГО РЕГУЛИРОВАНИЯ
ИНВЕСТИЦИОННОЙ ДЕЯТЕЛЬНОСТИ
.1 Проблемы регулирования инвестиционной деятельности
Рассматривая проблемы государственного регулирования инвестиционной
деятельности, важно учитывать тот факт, что речь идет об экономике, находящейся
в переходном состоянии, оказавшейся в затяжном кризисе, во многом носящем
неклассический, нетрадиционный характер. Он связан с разрывом глубинных
воспроизводственных связей в экономике, с перерастанием спада производства в
разрушение экономических структур, с утратой рынков сбыта, что препятствует
возобновлению роста производства.
В результате кризисная фаза перехода у нас сильно растянулась. Хотя
некоторые зарубежные экономисты, в частности, Дж. Сакс утверждал, что фаза
становления или кризисная фаза перехода от социалистической экономики к
рыночной "может длиться от одного года до трех лет, в зависимости от
глубины кризиса и эффективности действий правительства"
Однако в целом сегодняшнюю экономическую ситуацию можно характеризовать
как стагнацию на основе нехватки инвестиционных средств для использования в
реальном секторе экономики. Инвестиционный кризис, охвативший многие сферы
экономики и особенно сильно ударивший по производству, является одним из
наиболее значимых факторов, тормозящих процесс рыночных преобразований. Сегодня
большинство экономистов убеждены, что в переходный период надо стремиться не к
дерегулированию экономики, а к усилению государственного регулирования по
сравнению с его нынешним уровнем. Именно государство с помощью различных
инструментов регулирования способно обеспечить перелив инвестиций и
коммерческого капитала в основное производство. Чтобы быть объективным, следует
признать значительные усилия государства по созданию законодательной базы и
формированию благоприятного инвестиционного климата с целью привлечения
иностранных инвестиций. И это вполне понятно, так как в условиях острого
бюджетного дефицита и ограниченности внутренних источников инвестиций иностранные
инвестиции, в сущности, были единственным реальным источником инвестиций.
Однако реализуемая ныне модель иностранного инвестирования не дала ощутимых
результатов: экономический и инвестиционный кризис по-прежнему продолжают
сливаться в темпах ухудшения показателей. Такова реальная действительность,
хотя заявлений о начале стабилизации и признаках экономического роста сделано
немало.
Проведенный нами анализ результатов привлечения и использования
иностранных инвестиций показал, что основными причинами низкой эффективности
внешнего инвестирования за истекший период являются:
• незначительные объемы привлеченных иностранных инвестиций в реальный
сектор экономики;
• несовершенная структура инвестиционных ресурсов;
• чрезмерное использование внешних заимствований главным образом на
финансирование бюджетного дефицита и нужд потребительской сферы, т.е. на
непроизводственные цели;
• преимущественное использование прямых иностранных инвестиций в
торгово-коммерческой сфере и сфере услуг, а не в реальном секторе экономики;
• тенденция преобладающего привлечения иностранных инвестиций в
добывающие отрасли, что создает деформированную структуру экономики;
• преобладающая репатриация капитала и перевод прибыли за рубеж.
4. ОЦЕНКА ЭФФЕКТИВНОСТИ ИНВЕСТИЦИОННОГО ПРОЕКТА
.1 Исходные данные для оценки эффективности инвестиционного
проекта
В целях диверсификации фирмы и увеличения объема продаж на предприятии,
выпускающем машиностроительную продукцию для химической промышленности,
разработан проект «Создание нового оборудования для переработки пластмасс -
усовершенствованной модели термопластоавтомата и организация нового
производства - цеха по выпуску изделий из пластмасс методом литья под давлением
на базе новых термопластоавтоматов».
Учитывая потребности регионального рынка изделий из пластмасс (на
основании маркетинговых исследований), необходимо создание соответствующих
мощностей. Для этого требуется оснащение создаваемого производства изделий из
пластмассы 55 (2017г - 10, 2018г - 22 , 2019г - 23) термопластоавтоматов, срок
службы которых составляет 5 лет. Производительность термопластоавтомата
(литьевой машины) зависит от устанавливаемой на нем прессформы - литьевой формы
и составляет 120 тыс. шт. изделий в год.
Учитывая имеющиеся на предприятии заделы по конструированию усовершенствованной
модели термопластоавтомата, для перехода к выпуску нового оборудования
необходимо проведение работ по созданию и эксплуатации опытного образца.
Единовременные затраты на эти цели составят 8 000 тыс. руб.
Предусматривается наладить производство усовершенствованных
термопластоавтоматов через год после начала работы над проектом. Создаваемое
производство изделий из пластмасс методом литья под давлением предполагается
оборудовать термопластоавтоматами в течение 3-х лет - с 2017г. по 2019г.
Для производства усовершенствованных термопластоавтоматов требуется
проведение частичной реконструкции существующего производства литьевых машин.
Капитальные вложения на эти цели составят 75 000 тыс. руб. При проведении
частичной реконструкции производства заменяются отдельные виды основных фондов.
Предполагается, что ликвидационная стоимость оборудования будет достаточна для
покрытия расходов, связанных с демонтажем старого оборудования и подготовке его
к продаже.
Предварительно проведенные расчеты издержек производства
термопластоавтоматов позволяют оценить стоимость единицы оборудования для
оснащения производства изделий из пластмасс, т.е. одного термопластоавтомата -
2000 тыс. руб. Для создания производства изделий из пластмасс методом литья под
давлением предполагается использовать имеющийся на предприятии старый
производственный корпус, произведя в нем соответствующую перепланировку и
ремонтно-строительные работы. Капитальные вложения на эти цели составят 20 000
тыс. руб. в целом на весь цех. Кроме того, монтажные работы и наладка
термопластоавтоматов требует единовременных затрат в размере 250 тыс. руб. на
единицу оборудования. Цена единицы изделия из пластмасс определяется на
основании проведенных маркетинговых исследований по ассортименту изделий, предлагаемых
к выпуску и реализации. Среднее значение цены продукции приведено по вариантам
и составляет 36 руб. Текущие затраты планируются следующим образом: в 2017г. и
2018г. - 0,62 руб. на 1 руб. реализуемой продукции, с последующим их снижением
в 2019г. - 2021г. до 0,52 руб. и увеличением их в 2022г. - 2023г. до 0,55 руб.
Амортизация оборудования определяется, исходя из нормы - 20% в год. Износ
приспособлений целевого назначения (прессформ, устанавливаемых на
термопластоавтоматах) оценивается ориентировочно в размере 20% от величины
амортизации производственного оборудования. Амортизация производственного
здания определяется, исходя из нормы - 4% в год.
Ставка налога на прибыль составляет 20%. Исходя из имеющейся
экономической ситуации и финансово-хозяйственного положения предприятия, ставку
дисконта следует принять равной 10%. Оценка эффективности каждого варианта
инновационного проекта выполняется по следующим этапам:
I.
Расчет исходных показателей проекта
II.
Расчет показателей экономической эффективности
III.
Анализ показателей экономической эффективности и оценка эффективности
инновационного проекта
.2 Расчет исходных показателей проекта
Таблица 1 Расчет
технико-экономических показателей проекта
|
№
|
Наименование показателей
|
ГОДЫ
|
|
|
2017
|
2018
|
2019
|
2020
|
2021
|
2022
|
2023
|
|
1.
|
Количество работающего
оборудования
|
|
10
|
10
|
10
|
10
|
|
|
|
|
10
|
22
|
22
|
22
|
22
|
22
|
|
|
|
|
|
23
|
23
|
23
|
23
|
23
|
|
Итого:
|
10
|
32
|
55
|
55
|
55
|
45
|
23
|
|
2.
|
Количество выпускаемых
изделий из пластмасс в год (годовая производительность единицы оборудования •
количество работающего оборудования)
|
|
|
|
|
|
|
|
|
|
|
|
|
|
|
|
|
|
|
120*10
|
120*32
|
120*55
|
120*55
|
120*55
|
120*45
|
120*23
|
|
|
|
|
|
|
|
|
|
|
|
|
|
|
|
|
|
|
|
- в тыс. шт.
|
1200
|
3840
|
6600
|
6600
|
6600
|
5400
|
2760
|
|
3.
|
Объем реализации продукции
(средняя цена единицы изделия из пластмасс • количество выпускаемых изделий
из пластмасс в год)
|
|
|
|
|
|
|
|
|
|
|
|
|
|
|
|
|
|
|
1200*36
|
3840* 36
|
6600* 36
|
6600 *36
|
6600*36
|
5400* 36
|
2760* 36
|
|
|
|
|
|
|
|
|
|
|
|
|
|
|
|
|
|
|
|
- в млн. руб.
|
43,2
|
138,24
|
237,6
|
237,6
|
237,6
|
194,4
|
99,36
|
|
4.
|
Текущие расходы (текущие
затраты на 1 руб. реализованной продукции • объем реализации продукции)
|
43,2
|
138,24
|
236,6
|
236,6
|
237,6
|
194,4
|
99,36
|
|
|
* 0,62
|
* 0,62
|
* 0,52
|
* 0,52
|
* 0,52
|
* 0,55
|
* 0,55
|
|
- в млн. руб.
|
26,78
|
85,7
|
123,55
|
123,55
|
123,55
|
106,92
|
54,65
|
|
5.
|
Амортизация
производственного оборудования (балансовая стоимость термопластоавтомата с
учетом монтажных работ количество термопластоавтоматов норма амортизации)
|
(2,00+0,25) 10 20%
|
(2,00+0,25) * 32 * 20%
|
(2,00+0,25) * 55 * 20%
|
(2,00+0,25) * 55 * 20%
|
(2,00+0,25) * 55 * 20%
|
(2,00+0,25) * 45 * 20%
|
(2,00+0,25) * 23 * 20%
|
|
|
|
|
|
24,75
|
24,75
|
20,25
|
10,35
|
|
|
|
|
|
|
|
|
|
|
- в млн. руб.
|
4,5
|
14,4
|
24,75
|
24,75
|
24,75
|
20,25
|
10,35
|
|
6.
|
Износ приспособлений
целевого назначения (20% от амортизации произв. оборудования)
|
|
|
|
*
|
*
|
*
|
*
|
|
|
4,5
|
14,4
|
24,75
|
20%
|
20%
|
20%
|
20%
|
|
|
*
|
*
|
*
|
4,95
|
4,95
|
4,05
|
2,07
|
|
|
20%
|
20%
|
20%
|
|
|
|
|
|
- в млн. руб.
|
0,9
|
2,88
|
4,95
|
20*4%
|
20*4%
|
20*4%
|
20*4%
|
|
7.
|
Амортизация
производственного здания (балансовая стоимость здания •норма амортизации)
|
|
|
|
|
|
|
|
|
|
20*4%
|
20*4%
|
20*4%
|
0,8
|
0,8
|
0,8
|
0,8
|
|
|
|
|
|
|
|
|
|
|
- в млн. руб.
|
0,8
|
0,8
|
0,8
|
237,6
|
237,6
|
194,4
|
99,36
|
|
8.
|
Налогооблагаемая прибыль
(объем реализации -текущие расходы - амортизация производственного
оборудования - износ приспособлений целевого назначения - амортизация
производственного здания)
|
|
|
|
-123,55
|
-123,55
|
-106,92
|
-54,65
|
|
|
|
43,2
|
138,24
|
237,6
|
-24,75
|
-24,75
|
-20,25
|
-10,35
|
|
|
|
-26,78
|
-85,7
|
-123,55
|
-4,95
|
-4,95
|
-4,05
|
-2,07
|
|
|
|
-4,5
|
-14,4
|
-24,75
|
-0,8
|
-0,8
|
-0,8
|
-0,8
|
|
|
|
-0,9
|
-2,88
|
-4,95
|
|
|
|
|
|
|
|
-0,8
|
-0,8
|
-0,8
|
83,55
|
83,55
|
62,38
|
31,49
|
|
|
|
|
|
|
83,55 *20%
|
83,55 *20%
|
62,38 *20%
|
31,49 *20%
|
|
|
- в млн. руб.
|
10,22
|
34,46
|
83,55
|
16,71
|
16,71
|
12,476
|
6,298
|
|
|
9.
|
Налог на прибыль
|
10,22*20%
|
34,46 *20%
|
83,55 *20%
|
83,55-16,71
|
83,55-16,71
|
62,38-12,476
|
31,49-6,298
|
|
|
- в млн. руб.
|
2,044
|
6,892
|
66,84
|
66,84
|
49,904
|
25,192
|
|
|
10
|
Чистая прибыль (налогооблагаемая
прибыль - налог на прибыль)
|
10,22 2,044
|
34,46-6,892
|
83,55-16,71
|
|
|
|
|
|
|
- в млн. руб.
|
8,176
|
27,568
|
66,84
|
|
|
|
|
|
|
|
|
|
|
|
|
|
|
|
|
|
|
|
Таблица 2 Расчет инвестиционных вложений
|
№
|
Наименование показателей
|
ГОДЫ
|
|
|
2016
|
2017
|
2018
|
2019
|
|
1.
|
Расходы по созданию и
эксплуатации опытного образца усовершенствованной модели термопластоавтомата
|
8,00
|
|
|
|
|
- в млн. руб
|
|
|
|
|
|
2.
|
Затраты на частичную
реконструкцию производства термопластоавтоматов
|
|
|
|
|
|
|
75,00
|
|
|
|
|
- в млн. руб.
|
|
|
|
|
|
3.
|
Расходы по перепланировке
старого корпуса и проведению ремонтно-строительных работ в производстве
изделий из пластмасс
|
|
|
|
|
|
|
20,00
|
|
|
|
|
- в млн.руб.
|
|
|
|
|
|
4.
|
Затраты на оборудование
производства изделий из пластмасс (балансовая стоимость 1 -го
термопластоавтомата с учетом монтажа • количество устанавливаемого
оборудования)
|
|
|
|
|
|
|
|
2,25*10
|
2,25*22
|
2,25*23
|
|
|
|
|
|
|
|
- в млн. руб.
|
|
|
|
|
|
ИТОГО:
|
103,00
|
22,5
|
49,5
|
51,75
|
.3 Расчет показателей экономической эффективности проекта
Таблица 3 Денежные потоки от операционной деятельности
|
№
|
Наименование показателей
|
Значение показателя по
годам, млн. руб.
|
|
|
2016
|
2017
|
2018
|
2019
|
2020
|
2021
|
2022
|
2023
|
|
1
|
Выручка
|
0
|
43,2
|
138,24
|
237,6
|
237,6
|
237,6
|
194,4
|
99,36
|
|
2
|
Текущие затраты
|
0
|
26,78
|
85,7
|
123,55
|
123,55
|
123,55
|
106,92
|
54,65
|
|
3
|
Амортизационные отчисления,
в том числе:
|
0
|
6,2
|
18,08
|
30,5
|
30,5
|
30,5
|
25,1
|
13,22
|
|
- амортизация оборудования
|
0
|
4,5
|
14,4
|
24,75
|
24,75
|
24,75
|
20,25
|
10,35
|
|
- износ приспособлений
целевого назначения
|
0
|
0,9
|
2,88
|
4,95
|
4,95
|
4,95
|
4,05
|
2,07
|
|
- амортизация здания
|
0
|
0,8
|
0,8
|
0,8
|
0,8
|
0,8
|
0,8
|
0,8
|
|
4
|
Налогооблагаемая прибыль
|
0
|
10,22
|
34,46
|
83,55
|
83,55
|
83,55
|
62,38
|
31,49
|
|
5
|
Налог на прибыль
|
0
|
2,044
|
6,892
|
16,71
|
16,71
|
16,71
|
12,476
|
6,298
|
|
6
|
Чистая прибыль
|
0
|
8,176
|
27,568
|
66,84
|
66,84
|
66,84
|
49,904
|
25,192
|
|
7
|
Сальдо ДП от ОД (стр.
3+стр. 6)
|
0
|
14,376
|
45,648
|
97,34
|
97,34
|
97,34
|
75,004
|
38,412
|
Таблица 4 Денежные потоки от инвестиционной деятельности
|
№
|
Наименование показателей
|
Значение показателя по
годам, млн. руб.
|
|
|
2016
|
2017
|
2018
|
2019
|
2020
|
2021
|
2022
|
2023
|
|
1
|
Притоки
|
0
|
0
|
0
|
0
|
0
|
0
|
0
|
0
|
|
2
|
Оттоки инвестиций
|
-103,00
|
-22,5
|
-49,5
|
-51,75
|
0,00
|
0,00
|
0,00
|
0,00
|
|
10
|
Сальдо потока от ИД
(стр.1+стр.2)
|
-103,00
|
-22,5
|
-49,5
|
-51,75
|
0,00
|
0,00
|
0,00
|
0,00
|
Таблица 5 Суммарные денежные потоки
|
Наименование показателей
|
Значение показателя по
годам, млн. руб.
|
|
2016
|
2017
|
2018
|
2019
|
2020
|
2021
|
2022
|
2023
|
|
Сальдо потока от ОД
|
0
|
14,376
|
45,648
|
97,34
|
97,34
|
97,34
|
75,004
|
38,412
|
|
Сальдо потока от ИД
|
-103,00
|
-22,5
|
-49,5
|
-51,75
|
0,00
|
0,00
|
0,00
|
0,00
|
|
Сальдо суммарного потока
|
-103,000
|
-8,124
|
-3,852
|
45,59
|
97,34
|
97,34
|
75,004
|
38,412
|
|
Накопленное сальдо
суммарного потока
|
-103,000
|
-111,124
|
-114,976
|
-69,386
|
27,954
|
125,294
|
200,298
|
238,71
|
|
Коэффициент дисконтир.
|
1,0000
|
0,909
|
0,826
|
0,751
|
0,683
|
0,621
|
0,564
|
0,513
|
|
Дисконтир. сальдо
суммарного потока (стр.3·стр.5)
|
-103,0000
|
-7,3847
|
-3,1818
|
34,2381
|
66,4832
|
60,4481
|
42,3023
|
19,7054
|
|
Накопленное дисконтир.
сальдо суммарного потока
|
-103,0000
|
-110,3847
|
-113,5665
|
-79,3284
|
-12,8452
|
47,6029
|
89,9052
|
109,6106
|
Чистый доход (накопленное сальдо суммарного денежного потока):
1. Чистый дисконтированный доход (накопленное дисконтированное
сальдо суммарного потока):
2. Дисконт проекта (ДП):
ДП=ЧД-ЧДД
ДП=
- 
=
129,0994
3. Срок окупаемости:
Дисконтируемый срок окупаемости:
Расчет ЧДД при Е = 27 %
Таблица 6 Расчет показателя «внутренняя норма доходности»
|
Годы
|
Сальдо сумм.потока, млн.
руб.
|
α
|
Диск.сальдо, млн. руб.
|
Накопл. дисконт.сальдо,
млн. руб.
|
|
2016
|
-103
|
1,0000
|
-103
|
-103
|
|
2017
|
-8,124
|
0,7874
|
-6,3969
|
-109,3969
|
|
2018
|
-3,852
|
0,6200
|
-2,3882
|
-111,7851
|
|
2019
|
45,59
|
0,4882
|
22,2566
|
-89,5285
|
|
2020
|
97,34
|
0,3844
|
37,4176
|
-52,1109
|
|
2021
|
97,34
|
0,3027
|
29,4627
|
-22,6482
|
|
2022
|
75,004
|
0,2383
|
17,8757
|
-4,7725
|
|
2023
|
38,412
|
0,1877
|
7,2084
|
2,4359
|
ЧДД = 2,4359
Таблица 7 Расчет ЧДД при Е = 28 %
|
Годы
|
Сальдо сумм.потока, млн.
руб.
|
α
|
Диск.сальдо, млн. руб.
|
Накопл. дисконт.сальдо,
млн. руб.
|
|
2016
|
-103
|
1
|
-103
|
-103
|
|
2017
|
-8,124
|
0,7813
|
-6,3469
|
-109,3469
|
|
2018
|
-3,852
|
0,6104
|
-2,3511
|
-111,6979
|
|
2019
|
0,4768
|
21,7390
|
-89,9589
|
|
2020
|
97,34
|
0,3725
|
36,2620
|
-53,6970
|
|
2021
|
97,34
|
0,2910
|
28,3297
|
-25,3673
|
|
2022
|
75,004
|
0,2274
|
17,0539
|
-8,3134
|
|
2023
|
38,412
|
0,1776
|
6,8233
|
-1,4900
|
. Внутренняя норма доходности (ВНД):
ВНД
= 
ВНД
= 0,27+(0,28-0,27)
= 0,6204
= 62,04%
3. Уровень устойчивости проекта (УУП):
УУП = ВНД - Е
УУП = 62,04 % - 10 % = 52,04%
Таблица 8 Дисконтированные притоки и оттоки
|
Наименование показателей
|
Значение показателя по
годам, млн. руб.
|
|
2016
|
2017
|
2018
|
2019
|
2020
|
2021
|
2022
|
2023
|
|
Притоки
|
|
Выручка
|
0
|
43,2
|
138,24
|
237,6
|
237,6
|
237,6
|
194,4
|
99,36
|
|
Итого притоков
|
0
|
43,2
|
138,24
|
237,6
|
237,6
|
237,6
|
194,4
|
99,36
|
|
Сумма притоков
|
1 188
|
|
Коэффициент дисконтирования
|
1,0000
|
0,909
|
0,826
|
0,751
|
0,683
|
0,621
|
0,564
|
0,513
|
|
Дисконтированные притоки
(стр.1.2*стр1.4)
|
0
|
39,2688
|
114,1862
|
178,4376
|
162,2808
|
147,5496
|
109,6416
|
50,9716
|
|
Сумма дисконтированных
притоков
|
802,3362
|
|
Оттоки
|
|
Текущие затраты
|
0
|
26,78
|
85,7
|
123,55
|
123,55
|
123,55
|
106,92
|
54,65
|
|
Налог на прибыль
|
0
|
2,044
|
6,892
|
16,71
|
16,71
|
16,71
|
12,476
|
6,298
|
|
Инвестиции
|
103,00
|
22,5
|
49,5
|
51,75
|
0,00
|
0,00
|
0,00
|
0,00
|
|
Итого оттоки
|
103,000
|
51,324
|
142,092
|
192,01
|
140,26
|
140,26
|
119,396
|
60,948
|
|
Сумма оттоков
|
949,29
|
|
Коэффициент дисконтирования
|
1,0000
|
0,909
|
0,826
|
0,751
|
0,683
|
0,621
|
0,564
|
0,513
|
|
Дисконтированные оттоки
(стр.2.4*стр2.6)
|
103,000
|
46,6535
|
117,3679
|
144,1995
|
95,7975
|
87,1014
|
67,3393
|
31,2663
|
|
Сумма дисконтированных
оттоков
|
692,7254
|
|
Дисконтированные инвестиции
(стр.2.3*2.6)
|
103,000
|
20,4525
|
40,887
|
38,8642
|
0
|
0
|
0
|
0
|
|
Сумма дисконтированных
инвестиций
|
203,2037
|
. Индекс доходности затрат
(ИДЗ)
= 
ИДЗ
= 
5. Индекс доходности инвестиций
(ИДИ)
= 1 + 
ИДИ
= 1 + 
ЗАКЛЮЧЕНИЕ
Анализ
показателей экономической эффективности и оценка эффективности проекта
1. Чистый доход
ЧД
характеризует превышение суммарных денежных поступлений над суммарными
затратами для соответствующего проекта. Так как ЧД данного проекта величина
положительная (ЧД = 
> 0),
то имеет место превышение денежного притока над денежным оттоком,
следовательно, проект к рассмотрению принимается.
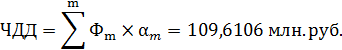
2. Чистый дисконтированный доход
ЧДД
характеризует превышение суммарных денежных поступлений над суммарными
затратами с учетом фактора времени (К. дисконтирования) для соответствующего
проекта. Так как ЧДД данного проекта величина положительная (ЧДД = 
>0),
то имеет место превышение денежного притока над денежным оттоком с учетом
фактора времени (Коэффицентом дисконтирования), следовательно, проект к
рассмотрению принимается.
3. Дисконт проекта
ДП - это разница между ЧД и ЧДД. Он показывает, какую часть денежных
средств проект теряет с учетом фактора времени. В данном случае мы видим, что
проект потеряет 129,0994 млн. руб. с учетом фактора времени.
. Срок окупаемости
Срок
окупаемости данного инновационного проекта 
года, а
дисконтированный срок окупаемости инновационного проекта, то есть с учетом
фактора времени (К. дисконтирования) 
года.
Проект рассчитан на 8 лет. Производство налаживается со 2-го года. Срок службы
оборудования рассчитан на 5 лет, это больше полученного дисконтированного срока
окупаемости и практически равно сроку окупаемости инновационного проекта.
Следовательно, для этих условий полученный дисконтируемый срок окупаемости
оптимален, а срок окупаемости практически совпадает со сроком службы
оборудования.
5. Внутренняя норма доходности
Для оценки эффективности проекта сравним значение ВНД
с нормой дисконта. В нашем случае ВНД = 62,04%, что больше ставки дисконта,
которая равна 12% и ЧДД при ставки 62,04% будет равен 0, следовательно проект
считается эффективным.
6. Уровень устойчивости проекта
УУП = 52,04%, это обозначает, что данный инвестиционный проект устойчив к
рыночным изменениям, следовательно, мы можем считать его эффективным.
7. Индексы доходности
При
расчете ИД сравниваются две части потока платежей: доходная и затратная. ИД
показывает, сколько дохода получает инвестор в результате осуществления этого
проекта на каждый вложенный рубль. В рассматриваемом проекте ИДЗ = 
1, а ИДИ
=
1,
следовательно, проект можно считать экономически эффективным.
Проанализировав
показатели эффективности исходный инновационный проект можно считать
эффективным. По полученным данным видим, что ЧДД = 
млн. руб.
является высоким, и ИДИ = 
, что
означает, что на каждый вложенный рубль доход составляет примерно 1 рубль 53
коп., и ИДЗ = 
, что
означает, что с каждого рубля вложенных затрат доход составляет 1 рубль, 15
коп., так же срок окупаемости соответствует норме пяти лет, а дисконтируемый
срок окупаемости не превышает норму. Такие результаты являются очень
привлекательными для инвестора.