Моделирование и расчет системы массового обслуживания
Содержание
Введение
Техническое задание
Расчетная часть
Часть 1 - Определение нагрузки, поступающей на станцию (СМО)
Часть 2 - Определение характеристик поступающего потока
вызовов
Часть 3 - Определение необходимого числа каналов (V) для
полнодоступной системы при требуемом уровне потерь
Часть 4 - Расчет вероятности состояний СМО с ожиданием при
числе
каналовV=11
Часть 5 - Расчет вероятности состояний СМО с ожиданием при
числе
каналов 0,75V=16 и 0,85V=18
Часть 6 - Расчет вероятности состояний СМО с ограниченной
длиной
очереди при числе каналов 0,7V=15
Часть 7 - Моделирование в среде GPSS World СМО с потерями
от требуемого числа каналов
Часть 8 - Моделирование в среде GPSS World СМО с ограниченной
длиной очереди для 70% от требуемого числа каналов
Выводы
Список литературы
Введение
массовый обслуживание
канал
Во многих областях практической деятельности человека мы сталкиваемся с
необходимостью пребывания в состоянии ожидания. Подобные ситуации возникают в
очередях в билетных кассах, в крупных аэропортах, при ожидании обслуживающим
персоналом самолетов разрешения на взлет или посадку, на телефонных станциях в
ожидании освобождения линии абонента, в ремонтных цехах в ожидании ремонта
станков и оборудования, на складах снабженческо-сбытовых организаций в ожидании
разгрузки или погрузки транспортных средств. Во всех перечисленных случаях
имеем дело с массовостью и обслуживанием. Изучением таких ситуаций занимается
теория массового обслуживания.
В теории систем массового обслуживания обслуживаемый объект называют требованием.
В общем случае под требованием обычно понимают запрос на удовлетворение
некоторой потребности, например, разговор с абонентом, посадка самолета,
покупка билета, получение материалов на складе.
Средства, обслуживающие требования, называются обслуживающими
устройствами или каналами обслуживания. Например, к ним относятся каналы
телефонной связи, посадочные полосы, мастера-ремонтники, билетные кассиры,
погрузочно-разгрузочные точки на базах и складах.
Совокупность однотипных обслуживающих устройств называется обслуживающими
устройствами. Такими системами могут быть телефонные станции, аэродромы,
билетные кассы, ремонтные мастерские, склады и базы снабженческо-сбытовых
организаций и т.д.
В теории СМО рассматриваются такие случаи, когда поступление требований
происходит через случайные промежутки времени, а продолжительность обслуживания
требований не является постоянной, т.е. носит случайный характер. В силу этих
причин одним из основных методов математического описания СМО является аппарат
теории случайных процессов.
Основной задачей теории СМО является изучение режима функционирования
обслуживающей системы и исследование явлений, возникающих в процессе
обслуживания. Так, одной из характеристик обслуживающей системы является время
пребывания требования в очереди. Очевидно, что это время можно сократить за
счет увеличения количества обслуживающих устройств. Однако каждое
дополнительное устройство требует определенных материальных затрат, при этом
увеличивается время бездействия обслуживающего устройства из-за отсутствия
требований на обслуживание, что также является негативным явлением.
Следовательно, в теории СМО возникают задачи оптимизации: каким образом достичь
определенного уровня обслуживания (максимального сокращения очереди или потерь
требований) при минимальных затратах, связанных с простоем обслуживающих
устройств.
Под системой массового обслуживания (СМО) понимают динамическую систему,
предназначенную для эффективного обслуживания потока заявок (требований на
обслуживание) при ограничениях на ресурсы системы.
Модели СМО удобны для описания отдельных подсистем современных
вычислительных систем, таких как подсистема процессор - основная память, канал
ввода-вывода и т. д. Вычислительная система в целом представляет собой
совокупность взаимосвязанных подсистем, взаимодействие которых носит
вероятностный характер. Заявка на решение некоторой задачи, поступающая в
вычислительную систему, проходит последовательность этапов счета, обращения к
внешним запоминающим устройствам и устройствам ввода-вывода. После выполнения
некоторой последовательности таких этапов, число и продолжительность которых
зависит от трудоемкости программы, заявка считается обслуженной и покидает
вычислительную систему. Таким образом, вычислительную систему в целом можно
представлять совокупностью СМО, каждая из которых отображает процесс
функционирования отдельного устройства или группы однотипных устройств,
входящих в состав системы.
Совокупность взаимосвязанных СМО называется сетью массового обслуживания
(стохастической сетью).
Техническое задание
Рассчитать и смоделировать систему массового обслуживания со следующими
параметрами:
1. Количество
абонентов УПАТС - 
. Количество
квартирных абонентов - 
. Количество
сотовых абонентов - 
. Количество
абонентов СЛ - 
. Число
вызовов от абонентов УПАТС - 
. Число
вызовов от квартирных абонентов - 
. Число
вызовов от квартирных абонентов - 
. Число
вызовов от абонентов СЛ - 
. Число
цифр в нумерации - 
. Потери
вызовов - 2,5%
. Вероятность
того, что вызовы завершились разговором - 
. Вероятность
ошибочного набора номера - 
. Вероятность
того, что нет ответа на вызов - 
. Вероятность
того, что номер занят - 
. Средняя
длительность разговора - 
. Среднее
время ответа от станции - 
. Среднее
время установления соединения - 
. Среднее
время посылки вызова абонента - 
. Среднее
время слушания сигнала занятости - 
. Среднее
время слушания сигнала контроля посылки вызова при не ответе абонента - 
. Средняя
длительность соединений при ошибочном наборе - 
Рисунок 1 - Система массового обслуживания
Процесс функционирования СМО включает в общем случае следующие этапы:
1) приход (поступление) требования;
2) ожидание (при необходимости) в
очереди;
3) обслуживание в приборе;
4) уход требования из системы.
Расчетная часть
Часть 1 - Определение нагрузки, поступающего на станцию (СМО)
) Определяем среднее число вызовов, поступающих от одного источника
ЧНН (частная наибольшая нагрузка) по формуле (1.1):
(1.1)
Рассчитываем:
) Определим нагрузки на АТС по отдельным видам соединений
.1) Нагрузку от разговоров абонентов определим по формуле:
(1.2)
Рассчитываем:
.2) Нагрузку от сигналов «Занято» определим по формуле:
(1.3)
где

время
установления и разъединения соединений
Рассчитываем:
.3)
Нагрузку от сигналов «Нет ответа» определим по формуле:
(1.4)
где

время
установления и разъединения соединений
Рассчитываем:
.4)
Нагрузку от сигналов «Ошибочного набора номера» определим по формуле:
(1.5)
Рассчитываем:
2.5)
Определим общую нагрузку на АТС по формуле:
(1.6)
Рассчитываем:
3) Определим коэффициент не производительности разговоров по формуле:
(1.7)
Рассчитываем:
) Определим среднюю длительность занятия по формуле:
(1.8)
Рассчитываем:
Часть 2 - Определение характеристик поступающего потока вызовов
) Определим интенсивность поступления вызовов по формуле:
(2.1)
Рассчитаем:
2)
Определим зависимости вероятности поступления k вызовов за 0.5, 1 и 2 периода средней длительности занятия в
виде огибающей по формуле:
(2.2)
Строим зависимости:
Рисунок 2 - Зависимости вероятности поступления k вызовов за 1/2, 1 и 2 периода средней длительности занятия
(значения приведены в Таблице 1)
)
Определим дисперсию, математическое ожидание и СКО за 1 период средней
длительности занятия (Т) по формулам:
(2.3)
(2.4)
Рассчитаем:
Видим
по рисунку 2 что пиковое значение вероятности поступления k
вызовов 
,
обеспечивается как раз при 
Таблица
1 - Значения вероятностей поступления k вызовов за 1/2, 1 и 2 периода
средней длительности занятия.
|
k
|
Pk(T)
|
Pk(T/2)
|
Pk(2T)
|
|
0
|
0,00000043
|
0,00065744
|
0,00000000
|
|
1
|
0,00000633
|
0,00481719
|
0,00000000
|
|
2
|
0,00004641
|
0,01764813
|
0,00000000
|
|
3
|
0,00022670
|
0,04310350
|
0,00000000
|
|
4
|
0,00083055
|
0,07895648
|
0,00000001
|
|
5
|
0,00243423
|
0,11570524
|
0,00000003
|
|
6
|
0,00594532
|
0,14129832
|
0,00000016
|
|
7
|
0,01244636
|
0,14790205
|
0,00000069
|
|
8
|
0,02279909
|
0,13546260
|
0,00000252
|
|
9
|
0,03712276
|
0,11028390
|
0,00000822
|
|
10
|
0,05440082
|
0,08080670
|
0,00002408
|
|
11
|
0,07247329
|
0,05382573
|
0,00006415
|
|
12
|
0,08850381
|
0,03286577
|
0,00015669
|
|
13
|
0,09976629
|
0,01852404
|
0,00035326
|
|
14
|
0,10442898
|
0,00969489
|
0,00073953
|
|
15
|
0,10202227
|
0,00473573
|
0,00144498
|
|
16
|
0,09344159
|
0,00216871
|
0,00264689
|
|
17
|
0,08054833
|
0,00093473
|
0,00456334
|
|
18
|
0,06557665
|
0,00038050
|
0,00743028
|
|
19
|
0,05057791
|
0,00014673
|
0,01146165
|
|
20
|
0,03705920
|
0,00005376
|
0,01679625
|
|
21
|
0,02586080
|
0,00001876
|
0,02344165
|
|
22
|
0,01722600
|
0,00000625
|
0,03122919
|
|
23
|
0,01097544
|
0,00000199
|
0,03979496
|
|
24
|
0,00670156
|
0,00000061
|
0,04859729
|
|
25
|
0,00392827
|
0,00000018
|
0,05697277
|
|
26
|
0,00221408
|
0,00000005
|
0,06422279
|
|
27
|
0,00120170
|
0,00000001
|
0,06971410
|
|
28
|
0,00062893
|
0,00000000
|
0,07297226
|
|
29
|
0,00031781
|
0,00000000
|
0,07374881
|
|
30
|
0,00015524
|
0,00000000
|
0,07204917
|
|
31
|
0,00007339
|
0,00000000
|
0,06811810
|
|
32
|
0,00003361
|
0,00000000
|
0,06238896
|
|
33
|
0,00001492
|
0,00000000
|
0,05541011
|
|
34
|
0,00000643
|
0,00000000
|
0,04776451
|
|
35
|
0,00000269
|
0,00000000
|
0,03999747
|
|
36
|
0,00000110
|
0,00000000
|
0,03256306
|
|
37
|
0,00000043
|
0,00000000
|
0,02579400
|
|
38
|
0,00000017
|
0,00000000
|
0,01989438
|
|
39
|
0,00000006
|
0,00000000
|
0,01495068
|
|
40
|
0,00000002
|
0,00000000
|
0,01095459
|
|
41
|
0,00000001
|
0,00000000
|
0,00783082
|
|
42
|
0,00000000
|
0,00000000
|
0,00546454
|
|
43
|
0,00000000
|
0,00000000
|
0,00372460
|
|
44
|
0,00000000
|
0,00000000
|
0,00248098
|
|
45
|
0,00000000
|
0,00000000
|
0,00161587
|
|
46
|
0,00000000
|
0,00000000
|
0,00102954
|
|
47
|
0,00000000
|
0,00000000
|
0,00064201
|
|
48
|
0,00000000
|
0,00000000
|
0,00039201
|
|
49
|
0,00000000
|
0,00000000
|
0,00023447
|
|
50
|
0,00000000
|
0,00000000
|
0,00013744
|
|
51
|
0,00000000
|
0,00000000
|
0,00007898
|
|
52
|
0,00000000
|
0,00000000
|
0,00004452
|
|
53
|
0,00000000
|
0,00000000
|
0,00002462
|
|
54
|
0,00000000
|
0,00000000
|
0,00001336
|
0,00000000
|
0,00000000
|
0,00000712
|
|
56
|
0,00000000
|
0,00000000
|
0,00000373
|
|
57
|
0,00000000
|
0,00000000
|
0,00000192
|
|
58
|
0,00000000
|
0,00000000
|
0,00000097
|
|
59
|
0,00000000
|
0,00000000
|
0,00000048
|
|
60
|
0,00000000
|
0,00000000
|
0,00000023
|
|
61
|
0,00000000
|
0,00000000
|
0,00000011
|
|
62
|
0,00000000
|
0,00000000
|
0,00000005
|
|
63
|
0,00000000
|
0,00000000
|
0,00000002
|
|
64
|
0,00000000
|
0,00000000
|
0,00000001
|
|
65
|
0,00000000
|
0,00000000
|
0,00000001
|
Часть 3 - Определение необходимого числа каналов (V) для полнодоступной системы при
требуемом уровне потерь
1) Для
полнодоступной системы при суммарной поступающей нагрузке на АТС 
допустимое
значение потерь 2,5% обеспечивается при числе каналов V=21 (это мы
определили по специальной таблице)
) Определим
вероятность того, что все каналы свободны по формуле:
(3.1)
Рассчитаем:
3) Определим вероятность потерь по времени по формуле:
(3.2)
Рассчитаем:
4) Определим
математическое ожидание числа занятых каналов по формуле:

(3.3)
Рассчитаем:
5) Определим зависимость плотности распределения вероятности для СМО с
потерями по формуле:
(3.4)
Строим зависимость:

Таблица 2 - Значения плотности распределения вероятности для СМО с
потерями при необходимом числе каналов i
|
Число линий i
|
Pi
|
Число линий i
|
Pi
|
|
0
|
0,000000447
|
33
|
0,0000156
|
|
1
|
0,00000655
|
34
|
0,00000674
|
|
2
|
0,00004803
|
35
|
0,00000282
|
|
3
|
0,000234724
|
36
|
0,00000114
|
|
4
|
0,000860265
|
37
|
0,00000045
|
|
5
|
0,002522296
|
38
|
0,00000017
|
|
6
|
0,006162811
|
39
|
0,00000006
|
|
7
|
0,012906687
|
40
|
0,00000002
|
|
8
|
0,023651504
|
41
|
0,00000000
|
|
9
|
0,038525672
|
42
|
0,00000000
|
|
10
|
0,056478635
|
43
|
0,00000000
|
|
11
|
0,075270617
|
44
|
0,00000000
|
|
12
|
0,091955604
|
45
|
0,00000000
|
|
13
|
0,103697628
|
46
|
0,00000000
|
|
14
|
0,10858623
|
47
|
0,00000000
|
|
15
|
0,106124942
|
48
|
0,00000000
|
|
16
|
0,097236978
|
49
|
0,00000000
|
|
17
|
0,083852594
|
50
|
0,00000000
|
|
18
|
0,068293279
|
51
|
0,00000000
|
|
19
|
0,052693657
|
52
|
0,00000000
|
|
20
|
0,03862445
|
53
|
0,00000000
|
|
21
|
0,026963545
|
54
|
0,00000000
|
|
22
|
0,017967526
|
55
|
0,00000000
|
|
23
|
0,011452345
|
56
|
0,00000000
|
|
24
|
0,006995474
|
57
|
0,00000000
|
|
25
|
0,004102146
|
58
|
0,00000000
|
|
26
|
0,002312979
|
59
|
0,00000000
|
|
27
|
0,001255862
|
60
|
0,00000000
|
|
28
|
0,000657533
|
61
|
0,00000000
|
|
29
|
0,000332395
|
62
|
0,00000000
|
|
30
|
0,00016243
|
63
|
0,00000000
|
|
31
|
0,0000768
|
64
|
0,00000000
|
|
32
|
0,0000351
|
65
|
0,00000000
|
Рисунок 3 -
Зависимость плотности распределения вероятности Pi(i) для СМО с
потерями
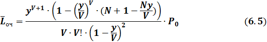
Часть 4 - Расчет вероятности состояний СМО с ожиданием при числе каналов V=21
1) Определим вероятность состояний системы по формулам:
(4.1)
(4.2)
где

Рассчитываем:
Таблица
3 - Значения плотности распределения вероятности для СМО с ожиданием для 
числа
каналов
|
Число линий i
|
Pi
|
Число линий i
|
Pi
|
|
0
|
0,000000433
|
33
|
0,000349892
|
|
1
|
6,34778E-06
|
34
|
0,000244258
|
|
2
|
4,65292E-05
|
35
|
0,000170515
|
|
3
|
0,000227373
|
36
|
0,000119036
|
|
4
|
0,000833321
|
37
|
0,000830983
|
|
5
|
0,002443298
|
38
|
0,00005801
|
|
6
|
0,005969792
|
39
|
0,00004049
|
|
7
|
0,012502451
|
40
|
0,00002820
|
|
8
|
0,022910741
|
41
|
0,00001973
|
|
9
|
0,037319051
|
42
|
0,00001377
|
|
10
|
0,054709729
|
43
|
0,00000961
|
|
11
|
0,072913148
|
44
|
0,00000671
|
|
12
|
0,089075563
|
45
|
0,00000468
|
|
13
|
0,100449827
|
46
|
0,00000327
|
|
14
|
0,105185319
|
47
|
0,00000228
|
|
15
|
0,102801118
|
48
|
0,00000159
|
|
16
|
0,094191525
|
49
|
0,00000111
|
|
17
|
0,081226338
|
50
|
0,00000077
|
|
18
|
0,06615434
|
51
|
0,00000054
|
|
19
|
0,051043296
|
52
|
0,00000037
|
|
20
|
0,037414736
|
53
|
0,00000026
|
|
21
|
0,026119049
|
54
|
0,00000018
|
|
22
|
0,018233584
|
55
|
0,00000012
|
|
23
|
0,012728778
|
56
|
0,00000008
|
|
24
|
0,008885899
|
57
|
0,00000006
|
|
25
|
0,006203204
|
58
|
0,00000004
|
|
26
|
0,004330427
|
59
|
0,00000003
|
|
27
|
0,003023051
|
60
|
0,00000002
|
|
28
|
0,002110377
|
61
|
0,00000001
|
|
29
|
0,001473244
|
62
|
0,00000001
|
|
30
|
0,001028465
|
63
|
0,00000000
|
|
31
|
0,000717966
|
64
|
0,00000000
|
|
32
|
0,000501209
|
65
|
0,00000000
|
) Определим вероятность того, что все линии заняты по формуле:
(4.3)
Рассчитываем:
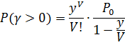
) Определим вероятность, того, что время ожидания начала обслуживания
превзойдет среднюю длительность одного занятия по формуле:
(4.4)
Рассчитываем:
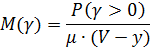
) Определим среднее время ожидания начала обслуживания по формуле:
(4.5)
Рассчитываем:
5) Определим среднюю длину очереди по формуле:
(4.6)
Рассчитываем:
Часть 5 - Расчет вероятности состояний СМО с ожиданием при числе каналов
0,75V=16 и 0,85V=18
) Определим вероятность состояний системы аналогично формулам (4.1) и
(4.2):
Таблица
4 - Значения плотности распределения вероятности для СМО с ожиданием 
числа
каналов
|
i число линий
|
 
|
|
|
0
|
0,000000249
|
0,000000380
|
|
1
|
0,000003664
|
0,000005571
|
|
2
|
0,000026863
|
0,000040839
|
|
3
|
0,000131272
|
0,000199567
|
|
4
|
0,000481113
|
0,000731412
|
|
5
|
0,001410624
|
0,002144499
|
|
6
|
0,003446624
|
0,005239727
|
|
7
|
0,007218216
|
0,010973485
|
|
8
|
0,013227381
|
0,020108911
|
|
9
|
0,021545935
|
0,032755181
|
|
10
|
0,03158634
|
0,048019096
|
|
11
|
0,042095977
|
0,063996359
|
|
12
|
0,051427252
|
0,078182218
|
|
13
|
0,057994116
|
0,088165486
|
|
14
|
0,060728124
|
0,092321859
|
|
15
|
0,05935162
|
0,09022923
|
|
16
|
0,054380922
|
0,082672532
|
|
17
|
0,04982652
|
0,071292901
|
|
18
|
0,045653549
|
0,058064107
|
|
19
|
0,041830064
|
0,04728999
|
|
20
|
0,038326796
|
0,038515069
|
|
21
|
0,035116927
|
0,031368384
|
|
22
|
0,032175884
|
0,025547806
|
|
23
|
0,029481154
|
0,020807269
|
|
24
|
0,027012107
|
0,016946365
|
|
25
|
0,024749843
|
0,013801872
|
|
26
|
0,022677044
|
0,011240858
|
|
27
|
0,020777842
|
0,009155055
|
|
28
|
0,019037697
|
0,007456283
|
|
29
|
0,01744329
|
0,006072729
|
|
30
|
0,015982415
|
0,0049459
|
|
31
|
0,014643887
|
0,004028161
|
|
32
|
0,013417462
|
0,003280713
|
|
33
|
0,012293749
|
0,002671959
|
|
34
|
0,011264148
|
0,002176162
|
|
35
|
0,010320776
|
0,001772363
|
|
36
|
0,009456411
|
0,001443491
|
|
37
|
0,008664436
|
0,001175643
|
|
38
|
0,00793879
|
0,000957496
|
|
39
|
0,007273916
|
0,000779827
|
|
40
|
0,006664726
|
0,000635126
|
|
41
|
0,006106555
|
0,000517275
|
|
42
|
0,005595131
|
0,000421292
|
|
43
|
0,005126539
|
0,000343119
|
|
44
|
0,004697191
|
0,000279451
|
|
45
|
0,004303801
|
0,000227597
|
|
46
|
0,003943358
|
0,000185365
|
|
47
|
0,003613102
|
0,00015097
|
|
48
|
0,003310504
|
0,000122957
|
|
49
|
0,00303325
|
0,000100141
|
|
50
|
0,002779215
|
0,00008155
|
|
51
|
0,002546456
|
0,000066425
|
|
52
|
0,00233319
|
0,0000541
|
|
53
|
0,002137785
|
0,00004406
|
|
54
|
0,001958746
|
0,000035885
|
|
55
|
0,001794701
|
0,0000292268
|
|
56
|
0,001644395
|
0,0000238036
|
|
57
|
0,001506677
|
0,0000193867
|
|
58
|
0,001380492
|
0,00001,57894
|
|
59
|
0,001264876
|
0,00001,28596
|
|
60
|
0,001158943
|
0,0000104734
|
|
61
|
0,001061881
|
0,00000853003
|
|
62
|
0,000972949
|
0,00000694724
|
|
63
|
0,000891464
|
0,00000565814
|
|
64
|
0,000816804
|
0,00000460824
|
|
65
|
0,000748397
|
0,00000375316
|
) Определим вероятность того, что все линии заняты аналогично формуле
(4.3):
) Определим вероятность, того, что время ожидания начала обслуживания
превзойдет среднюю длительность одного занятия аналогично формуле (4.4):
) Определим среднее время ожидания начала обслуживания аналогично
формуле (4.5):
5) Определим среднюю длину очереди аналогично формуле (4.6):
Рисунок 4 - Зависимость плотности распределения вероятности состоянии
системы для СМО с потерями и для СМО с ожиданием при числе каналов V, 0,75V и 0,85V
2 - СМО с ожиданием при числе каналов V
- СМО с ожиданием при числе канлов 0,85V
- СМО с ожиданием при числе каналов 0,75V
Рисунок 5 - Зависимость средней длины очереди для СМО с ожиданием
Часть 6 - Расчет вероятности состояний СМО с ограниченной длиной очереди
при числе каналов 0,7V=15
) Определение вероятности блокировки. Система переполнена, все 0,7V=15 каналов заняты по формуле:

(6.1)
Где
вероятность того, что система свободна рассчитывается по формуле:
(6.2)
Тогда:
Рассчитываем:
Таблица 5-Зависимость вероятности блокировки от длины очереди
|
N
|
Pбл
|
N
|
Pбл
|
|
0
|
0,1447508
|
16
|
0,0343902
|
|
1
|
0,12393674
|
17
|
0,03251776
|
|
2
|
0,10804097
|
18
|
0,0308018
|
|
3
|
0,09550737
|
19
|
0,0292239
|
|
4
|
0,08537366
|
20
|
0,02776839
|
|
5
|
0,07701278
|
21
|
0,02642192
|
|
6
|
0,06999864
|
22
|
0,02517299
|
|
7
|
0,06403154
|
23
|
0,02401167
|
|
8
|
0,05889458
|
24
|
0,02292932
|
|
9
|
0,05442689
|
25
|
0,02191841
|
|
10
|
0,05050664
|
26
|
0,02097234
|
|
11
|
0,04703989
|
27
|
0,02008529
|
|
12
|
0,043953
|
28
|
0,01925211
|
|
13
|
0,04118748
|
29
|
0,01846824
|
|
14
|
0,03869624
|
30
|
0,01772962
|
|
15
|
0,03644098
|
|
0,0343902
|
Рисунок 6 - Зависимость вероятности блокировки от длины очереди
По рисунку N=22 для вероятности блокировки Рбл=0,025 (по условию)
2) Определение длины очереди
Для расчета системы с ограниченной очередью с количеством каналов 15
длина очереди определяется по формуле:
(6.3)
) Определение того что система находится в i-ом состоянии аналогично по формуле (4.1):
Таблица 6 - Значение вероятности нахождения в i-ом состоянии для системы с ограниченной очередью
|
i число линий
|
|
i число линий
|
|
|
0
|
0,0000002549
|
14
|
0,061702243
|
|
1
|
0,0000037368
|
15
|
0,060303658
|
|
2
|
0,000027391
|
16
|
0,058936781
|
|
3
|
0,000133851
|
0,057600881
|
|
4
|
0,000490563
|
18
|
0,056295261
|
|
5
|
0,00143833
|
19
|
0,055019235
|
|
6
|
0,003514319
|
20
|
0,053772132
|
|
7
|
0,007359988
|
21
|
0,052553297
|
|
8
|
0,013487178
|
22
|
0,051362089
|
|
9
|
0,021969114
|
23
|
0,050197882
|
|
10
|
0,032206721
|
24
|
0,049060063
|
|
11
|
0,042922775
|
25
|
0,047948035
|
|
12
|
0,052437323
|
26
|
0,046861213
|
|
13
|
0,059133166
|
|
|
Рисунок 6 - График значений вероятности нахождения в i-ом состоянии для системы с
ограниченной очередью
) Определение того, что все каналы заняты по формуле (6.4):
Рассчитываем:
) Определение среднего числа требований по формуле :
Рассчитываем:
) Определение среднего времени нахождения заявок в системе по
формуле:
Рассчитываем:
) Определение среднего числа занятых каналов по формуле:
Рассчитываем:
) Определение среднего числа заявок в системе по формуле:
Рассчитываем:
) Определение среднего времени нахождения одной заявки в системе по
формуле:
Рассчитываем:
Часть 7 - Моделирование в среде GPSS World СМО с
потерями от требуемого числа каналов.
Для моделирования определим следующие необходимые параметры:
Текст программы:
GENERATE (exponential(1,0,7.4))GATE NU
KAN1,VK2KAN1(exponential (1,0,109.4))KAN11GATE NU KAN2,VK3KAN2(exponential
(1,0,109.4))KAN21GATE NU KAN3,VK4KAN3(exponential (1,0,109.4))KAN31GATE NU
KAN4,VK5KAN4(exponential (1,0,109.4))KAN41GATE NU KAN5,VK6KAN5(exponential
(1,0,109.4))KAN51GATE NU KAN6,VK7KAN6(exponential (1,0,109.4))KAN61GATE NU
KAN7,VK8KAN7(exponential (1,0,109.4))KAN71GATE NU KAN8,VK9KAN8(exponential
(1,0,109.4))KAN81GATE NU KAN9,VK10KAN9(exponential (1,0,109.4))KAN91GATE NU
KAN10,VK11KAN10(exponential (1,0,109.4))KAN101GATE NU
KAN11,VK12KAN11(exponential (1,0,109.4))KAN111GATE NU KAN12,VK13KAN12(exponential
(1,0,109.4))KAN121GATE NU KAN13,VK14KAN13(exponential (1,0,109.4))KAN131GATE NU
KAN14,VK15KAN14(exponential (1,0,109.4))KAN141GATE NU
KAN15,VK16KAN15(exponential (1,0,109.4))KAN151GATE NU
KAN16,VK17KAN16(exponential (1,0,109.4))KAN161GATE NU KAN17,VK18KAN17(exponential
(1,0,109.4))KAN171GATE NU KAN18,VK19KAN18(exponential (1,0,109.4))KAN181GATE NU
KAN19,VK20KAN19(exponential (1,0,109.4))KAN191GATE NU
KAN20,VK21KAN20(exponential (1,0,109.4))KAN201GATE NU KAN21
UDLKAN21(exponential (1,0,109.4))KAN211
UDL TERMINATE 1
Журнал моделирования:
/24/13 20:30:26 Model Translation Begun.
/24/13 20:30:26 Ready.
/24/13 20:30:33 START 10000
/24/13 20:30:33 Simulation in Progress.
/24/13 20:30:33 The Simulation has ended. Clock is
75542.251132.
/24/13 20:30:34 Reporting in Untitled Model 1.1.1 - REPORT
Window.
Отчет моделирования:World Simulation Report - Untitled
Model 1.1.1, April 24, 2013 20:30:34TIME END TIME BLOCKS FACILITIES STORAGES
.000 75542.251 107 21 0VALUE10000.00010009.00010010.00010011.00010012.00010013.00010014.00010015.00010016.00010017.00010018.00010001.00010019.00010020.00010002.00010003.00010004.00010005.00010006.00010007.00010008.000107.0002.00047.00052.00057.00062.00067.00072.00077.00082.00087.00092.0007.00097.000102.00012.00017.00022.00027.00032.00037.00042.000LOC
BLOCK TYPE ENTRY COUNT CURRENT COUNT RETRY
GENERATE 10009 0 02 GATE 10009 0 0
SEIZE 707 0 0
ADVANCE 707 1 0
RELEASE 706 0 0
TERMINATE 706 0 07 GATE 9302 0 0
SEIZE 632 0 0
ADVANCE 632 1 0
RELEASE 631 0 0
TERMINATE 631 0 012 GATE 8670 0 0
SEIZE 646 0 0
ADVANCE 646 1 0
RELEASE 645 0 0
TERMINATE 645 0 017 GATE 8024 0 0
SEIZE 597 0 0
ADVANCE 597 1 0
RELEASE 596 0 0
TERMINATE 596 0 022 GATE 7427 0 0
SEIZE 562 0 0
ADVANCE 562 0 0
RELEASE 562 0 0
TERMINATE 562 0 027 GATE 6865 0 0
SEIZE 608 0 0
ADVANCE 608 1 0
RELEASE 607 0 0
TERMINATE 607 0 032 GATE 6257 0 0
SEIZE 585 0 0
ADVANCE 585 1 0
RELEASE 584 0 0
TERMINATE 584 0 037 GATE 5672 0 0
SEIZE 621 0 0
ADVANCE 621 1 0
RELEASE 620 0 0
TERMINATE 620 0 042 GATE 5051 0 0
SEIZE 537 0 0
ADVANCE 537 1 0
RELEASE 536 0 0
TERMINATE 536 0 047 GATE 4514 0 0
SEIZE 558 0 0
ADVANCE 558 0 0
RELEASE 558 0 0
TERMINATE 558 0 052 GATE 3956 0 0
SEIZE 571 0 0
ADVANCE 571 0 0
RELEASE 571 0 0
TERMINATE 571 0 057 GATE 3385 0 0
SEIZE 528 0 0
ADVANCE 528 0 0
RELEASE 528 0 0
TERMINATE 528 0 062 GATE 2857 0 0
SEIZE 467 0 0
ADVANCE 467 0 0
RELEASE 467 0 0
TERMINATE 467 0 067 GATE 2390 0 0
SEIZE 435 0 0
ADVANCE 435 0 0
RELEASE 435 0 0
TERMINATE 435 0 072 GATE 1955 0 0
SEIZE 374 0 0
ADVANCE 374 1 0
RELEASE 373 0 0
TERMINATE 373 0 077 GATE 1581 0 0
SEIZE 350 0 0
ADVANCE 350 0 0
RELEASE 350 0 0
TERMINATE 350 0 082 GATE 1231 0 0
SEIZE 272 0 0
ADVANCE 272 0 0
RELEASE 272 0 0
TERMINATE 272 0 087 GATE 959 0 0
SEIZE 249 0 0
ADVANCE 249 0 0
RELEASE 249 0 0
TERMINATE 249 0 092 GATE 710 0 0
SEIZE 200 0 0
ADVANCE 200 0 0
RELEASE 200 0 0
TERMINATE 200 0 097 GATE 510 0 0
SEIZE 157 0 0
ADVANCE 157 0 0
RELEASE 157 0 0
TERMINATE 157 0 0102 GATE 353 0 0
SEIZE 117 0 0
ADVANCE 117 0 0
RELEASE 117 0 0
TERMINATE 117 0 0107 TERMINATE 236 0 0ENTRIES UTIL. AVE. TIME
AVAIL. OWNER PEND INTER RETRY DELAY707 0.933 99.692 1 9998 0 0 0 0632 0.933
111.560 1 10003 0 0 0 0646 0.920 107.572 1 10009 0 0 0 0597 0.911 115.217 1
10006 0 0 0 0562 0.905 121.674 1 0 0 0 0 0608 0.891 110.662 1 10008 0 0 0 0585
0.876 113.104 1 9999 0 0 0 0621 0.850 103.450 1 9981 0 0 0 0537 0.832 117.093 1
9966 0 0 0 0558 0.802 108.546 1 0 0 0 0 0571 0.754 99.808 1 0 0 0 0 0528 0.736
105.353 1 0 0 0 0 0467 0.684 110.579 1 0 0 0 0 0435 0.626 108.730 1 0 0 0 0 0374
0.578 116.760 1 9992 0 0 0 0350 0.486 104.940 1 0 0 0 0 0272 0.467 129.805 1 0
0 0 0 0249 0.337 102.308 1 0 0 0 0 0200 0.296 111.783 1 0 0 0 0 0157 0.244
117.403 1 0 0 0 0 0117 0.147 95.162 1 0 0 0 0 0XN PRI BDT ASSEM CURRENT NEXT
PARAMETER VALUE
9981 0 75547.131 9981 39 40
0 75548.244 10010 0 1
0 75550.485 9999 34 35
0 75605.165 9998 4 5
0 75638.828 10003 9 10
0 75664.952 9992 74 75
0 75669.533 10009 14 15
0 75700.497 10006 19 20
0 75702.272 10008 29 30
0 76040.361 9966 44 45
Таблица 7 - Сравнение вероятность блокировки
|
По условию
|
Моделирование
|
|
Вероятность блокировки
|
0,025
|
0,0236
|
Часть 8 - Моделирование в среде GPSS World СМО с
ограниченной длиной очереди для 70% от требуемого числа каналов.
Для моделирования определим следующие необходимые параметры:
Текст программы:
GENERATE (exponential(1,0,7.4))L
Q$BUF,11,UDBUFALL,CAN1,CAN15,5SEIZE KAN1BUF(exponential (1,0,109.4))KAN1,UDSEIZE
KAN2BUF(exponential (1,0,109.4))KAN2,UDSEIZE KAN14BUF(exponential
(1,0,109.4))KAN14,UDSEIZE KAN15BUF(exponential (1,0,109.4))KAN15,UDTERMINATE 1
Журнал моделирования:
/24/13 22:47:56 Model Translation Begun.
/24/13 22:47:56 Ready.
/24/13 22:48:01 START 10000
/24/13 22:48:01 Simulation in Progress.
/24/13 22:48:01 The Simulation has ended. Clock is
75193.393218.
/24/13 22:48:01 Reporting in Untitled Model 1.10.1 - REPORT
Window.
Отчет моделирования:World Simulation Report - Untitled Model
1.10.1, April 24, 2013 22:48:01TIME END TIME BLOCKS FACILITIES STORAGES
.000 75193.393 80 15
0VALUE10000.0005.00050.00055.00060.00065.00070.00075.00010.00015.00020.00025.00030.00035.00040.00045.00010001.00010010.00010011.00010012.00010013.00010014.00010015.00010002.00010003.00010004.00010005.00010006.00010007.00010008.00010009.00080.000LOC
BLOCK TYPE ENTRY COUNT CURRENT COUNT RETRY
GENERATE 10021 0 0
TEST 10021 0 0
QUEUE 9470 0 0
TRANSFER 9470 7 05 SEIZE 698 0 0
DEPART 698 0 0
ADVANCE 698 1 0
RELEASE 697 0 0
TRANSFER 697 0 010 SEIZE 692 0 0
DEPART 692 0 0
ADVANCE 692 1 0
RELEASE 691 0 0
TRANSFER 691 0 070 SEIZE 564 0 0
DEPART 564 0 0
ADVANCE 564 1 0
RELEASE 563 0 0
TRANSFER 563 0 075 SEIZE 595 0 0
DEPART 595 0 0
ADVANCE 595 1 0
RELEASE 594 0 0
TRANSFER 594 0 080 TERMINATE 10000 0 0ENTRIES UTIL. AVE. TIME
AVAIL. OWNER PEND INTER RETRY DELAY698 0.975 105.000 1 9995 0 0 7 0692 0.972
105.589 1 10012 0 0 7 0657 0.967 110.654 1 10009 0 0 7 0638 0.960 113.150 1
10013 0 0 7 0680 0.964 106.594 1 10003 0 0 7 0621 0.953 115.345 1 9992 0 0 7
0657 0.948 108.543 1 9996 0 0 7 0620 0.944 114.515 1 9987 0 0 7 0641 0.925
108.541 1 0 0 0 7 0581 0.914 118.341 1 10010 0 0 7 0649 0.898 104.008 1 10014 0
0 7 0603 0.909 113.342 1 9997 0 0 7 0567 0.878 116.422 1 10001 0 0 7 0564 0.856
114.103 1 10007 0 0 7 0595 0.827 104.553 1 10005 0 0 7 0MAX CONT. ENTRY
ENTRY(0) AVE.CONT. AVE.TIME AVE.(-0) RETRY11 7 9470 3178 3.638 28.886 43.476
0XN PRI M1 ASSEM CURRENT NEXT PARAMETER VALUE
0 75157.139 10015 4 4
0 75174.669 10016 4 4
0 75177.927 10017 4 4
0 75182.058 10018 4 4
0 75182.474 10019 4 4
0 75184.991 10020 4 4
0 75185.045 10021 4 4XN PRI BDT ASSEM CURRENT NEXT PARAMETER
VALUE
10013 0 75194.244 10013 22 23
0 75196.955 10022 0 1
0 75200.399 10001 67 68
0 75215.564 10014 57 58
0 75227.308 9987 42 43
0 75239.021 10009 17 18
0 75240.006 9992 32 33
0 75246.797 10012 12 13
0 75249.312 9996 37 38
0 75250.432 10005 77 78
0 75268.709 10003 27 28
0 75268.875 10010 52 53
0 75299.868 9997 62 63
0 75333.364 10007 72 73
0 75540.338 9995 7 8
Таблица 8 - Сравнение длины очереди и времени нахождения в очереди
|
По условию
|
Моделирование
|
|
Длина очереди
|
13,1505
|
3,638
|
|
Время нахождения в очереди
|
98,208
|
28,886
|
Выводы
1) Пиковое
значение вероятности поступления k вызовов 
,
обеспечивается при 
(Рисунок
2);
) С
увеличением значения средней длительности занятия T, пиковое
значение вероятности поступления k вызовов 
уменьшается.
(Рисунок 2);
) Для
полнодоступной системы при суммарной поступающей нагрузке на АТС 
допустимое
значение потерь в 2,5% обеспечивается при числе каналов V=21;
) Вероятность
потерь вызовов во времени в СМО с потерями при числе каналов V=21
;
) Наибольшая
средняя длина очереди в СМО с ожиданием при числе каналов 0,75V=16 
;
6) Графики плотности распределения вероятности состоянии системы для
СМО с ожиданием при числе каналов V, 0,75V и 0,85V имеют более пологую форму относительно плотности
распределения вероятности состоянии системы для СМО с потерями;
7) Значение вероятности блокировки по условию и при моделирование
отличаются незначительно;
8) Процесс моделирования с ограниченной очередью при 0,7V не показал ожидаемого результата.
Таблица 8 - Сравнение длины очереди и времени нахождения в очереди
|
По условиюМоделирование
|
|
|
|
Длина очереди
|
13,1505
|
3,638
|
|
Время нахождения в очереди
|
98,208
|
28,886
|
Список литературы
1. Лившиц
B.C., Пшеничников А.П., Харкевич А.Д. Теория телетрафика - М.: Связь, 2009. -
224 с.
2. Степанов,
С. Н. Основы телетрафика мультисервисных сетей / С. Н. Степанов. - М.:
Эко-Трендз, 2010. - 392 с.
. В.В.
Крылов, С.С. Самохвалова. Теория телетрафика и ее приложения: - СПб.:
БХВ-Петербург, 2012. - 288 с.
4. Кудрявцев
Е.М. GPSS World. Основы имитационного моделирования различных систем. - М.: ДМК
Пресс, 2014. - 320 с.