Мікропроцесорний пристрій теплового захисту екскаваторних двигунів

  • Вид работы:
    Курсовая работа (т)
  • Предмет:
    Информатика, ВТ, телекоммуникации
  • Язык:
    Украинский
    ,
    Формат файла:
    MS Word
    1,65 Мб
  • Опубликовано:
    2015-06-18
Вы можете узнать стоимость помощи в написании студенческой работы.
Помощь в написании работы, которую точно примут!

Мікропроцесорний пристрій теплового захисту екскаваторних двигунів

ЗМІСТ

ВСТУП

НЕОБХІДНІ ФУНКЦІЇ ТА ТЕХНІЧНІ ДАНІ

СТРУКТУРА І ПРІНЦИП РОБОТИ

МІКРОПРОЦЕСОРНИЙ ПРИСТРІЙ ТЕПЛОВОГО ЗАХИСТУ ЕКСКАВАТОРНИХ ДВИГУНІВ (УМТЗ

ВИСНОВКИ

ПЕРЕЛІК ПОСИЛАНЬ

ВСТУП

Екскаватори є основними машинами, застосовуваними на вугільних і рудних кар'єрах, як найбільш задовольняющие вимогам роботи в найважчих гірничо- геологічних і кліматичних умовах.

Визначальний вплив на продуктивність і надійність роботи екскаваторов надає тип застосовуваного силового електроприводу.

Електроприводи головних механізмів екскаваторів ЕКГ - 10 I побудована за системою Г -Д з тиристорним збудженням. Система Г -Д має високу керованість, хороші статичні і динамічні характеристики, більшу надійність і порівняно просте обслуговування.

Для управління магнітним полем генераторів і двигунів використовуються тиристорні збудники, складені з уніфікованих моноблоків типу ПТЕМ з мікропроцесорним управлінням і цифровий інформаційною мережею.

Нормальна експлуатація екскаваторів залежить від якісної наладки електроприводів, грамотного обслуговування і своєчасного виявлення, та усунення несправностей.

Екскаватор призначений для механізації земляних і навантажувальних робіт. Він оснащується одночасно екскаваторним і бульдозерним устаткуванням. Може працювати зі зворотною або прямою лопатою, бульдозером, грейфером, крановою підвіскою, зворотною лопатою зі зміщеною віссю копання, ковшем підвищеної місткості й вилами. При роботі з екскаваторним устаткуванням бульдозерний відвал не демонтується, тому що, він забезпечує стійкість екскаватора.

Маневреність екскаватора дає можливість використовувати його на розсереджених малооб’ємних об'єктах, а невеликі габаритні розміри - у стиснутих умовах.

Екскаватором можна виконувати такі роботи:

рити невеликі котловани, ями й траншеї (ковшем зворотної лопати);

розробляти дрібні вибої, зводити невеликі насипи, робити навантаження (ковшем прямої лопати);

виконувати вантажно-розвантажувальні й монтажні роботи (крановою підвіскою);

робити легкі зачисні роботи й навантаження матеріалів з малою об'ємною масою (ковшем підвищеної місткості);

засипати траншеї, згрібати будівельне сміття, очищати дороги від снігу.

Зворотною й прямою лопатами виконують грунтові роботи в ґрунтах I-III категорій. Бульдозерне устаткування використовують на зачищенні ґрунтів I-II категорій.

Робота екскаватора в мерзлих ґрунтах і ґрунтах вище III категорії можлива тільки після попереднього розпушування.

Перед пуском екскаватора необхідно зробити розконсервування й доукомплектування деталями, знятими з трактора.

При розконсервації з зовнішніх поверхонь екскаватора видаляють пил, бруд до змащування.

Розконсервування запасних частин відбувається безпосередньо перед встановленням їх на екскаватор. Після установки деталі повинні бути змащені.

Всі роботи з доукомплектування доцільно проводити у присутності машиніста, що буде працювати на екскаваторі.


НЕОБХІДНІ ФУНКЦІЇ ТА ТЕХНІЧНІ ДАНІ

Сформулюємо основні вимоги, що пред'являються до головних електроприводам екскаваторів. При цьому найважливішим є вимога забезпечення максимальної продуктивності машини при мінімальних навантаженнях її електричного та механічного обладнання. Для виконання цього загального вимоги необхідно, щоб система електроприводу володіла такими властивостями:

) електропривод повинен забезпечувати надійне обмеження моменту і струму допустимим стопорним значенням у всіх режимах роботи, тобто володіти механічною характеристикою екскаваторної форми, заповнення якої при проектуванні та налагодження можна було б змінювати в широких межах, відповідно до умов роботи кожного механізму екскаватора;

) електропривод повинен забезпечувати економічне регулювання швидкості в діапазоні 4 -6 і рекуперацію енергії, що звільняється при гальмуваннях механізму повороту або при опусканні ковша. Жорсткість робочої ділянки механічної характеристики, відповідної нульового положення командоконтроллера, повинна забезпечувати досить малу швидкість спуску ковша при утриманні його шляхом електричного гальмування;

) формування перехідних процесів, що мають мінімальну тривалість при обмеженнях, накладених на граничні значення моменту, темпу його зміни і прискорення, що забезпечують мінімальні динамічні навантаження механічного обладнання екскаватора, повинно здійснюватися досить простими і надійними засобами;

) схема з'єднання силових ланцюгів і динамічні властивості системи керування електроприводом повинні сприяти реалізації можливого демпфуючого дії, який чинить електропривод з лінійною механічною характеристикою на механічні коливання в електромеханічної системі;

) схема повинна бути простою і максимально надійною.

Задовольнити всім перерахованим вимогам може лише система електроприводу, що забезпечує безперервне управління швидкістю механізму у всіх режимах з високими показниками точності і якості регулювання основних координат. Тому для індивідуального електроприводу основних механізмів одноківшових екскаваторів в даний час застосовуються двигуни постійного струму з незалежним збудженням, керовані зміною напруги в ланцюзі якоря по системі керований перетворювач - двигун (УП-Д). Як керованого перетворювача використаний тиристорний перетворювач (ТП - Д).

СТРУКТУРА І ПРІНЦИП РОБОТИ

Існуючі пристрої захисту та системи регулювання, що працюють на принципах "жорсткої" логіки, не забезпечують визначення теплового навантаження двигуна. Ось чому і була поставлена задача розробки, виготовлення, випробувань і впровадження дослідно-промислового зразка пристрої захисту екскаваторних двигунів.

На сторінках журналу "ПіКАД" були описані мікропроцесорні засоби для захисту двигунів змінного струму від перевантажень. Однак через принципової різниці приводів і їх призначення з цих рішень можна використовувати хіба що тільки самий загальний підхід.

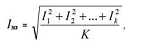
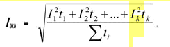
Принцип роботи створеного пристрою захисту заснований на вимірюванні струму навантаження двигунів, розрахунку еквівалентного значення струму і видачі сигналу на відключення двигуна, якщо величина еквівалентного струму перевищує номінальний струм двигуна. Кращим поясненням сказаного є графік струму при роботі двигуна підйому, де кидки струму обумовлені фактом втрати контакту зубів ковша з вантажем при його заборі.

Еквівалентний струм визначається як:


Для розглянутих умов взято рівним t, де t-період знімання та обробки сигналів датчиків. Тому еквівалентний струм можна визначати таким виразом:


де К - кількість циклів, тривалістю t, необхідних для прийняття рішення про завантаження приводу тобто по суті цей час в секундах.

Рисунок 1. Графік струму.

Рис.2. Структура управлiння.

До складу технічних засобів пристрої захисту включені:

Шунти в силових ланцюгах приводів; модулі гальванічної розв'язки і нормалізації сигналів; шунт плюс канал модуля гальваноразвязку можна умовно назвати датчиком струму;

Програмований контролер; пульт введення-виведення даних; блок живлення.

В якості контролера, модуля гальваноразвязку і операторського пульта в розробленому зразку пристрої захисту були використані моделі PSA_04, PSA_01 і HMI_245 вітчизняних виробників ("ПРОМСАТ", "ХОЛИТ Дейта Системс", Київ), а от в якості джерела живлення був застосований недорогий, але надійний , S25_24 від добре себе зарекомендувала фірми MeanWell (Тайвань).

У програмному забезпеченні контролера реалізований досить простий алгоритм роботи, на спрощеній блок-схемі якого прийняті наступні позначення:

Період знімання та обробки сигналів датчиків;

Z- ознака, що формується при видачі команди на відключення приводу;

Т- поточні показання лічильника часу;

То- показання лічильника часу в момент відключення двигуна при перевантаженні;

Тз- заданий час "охолодження" двигуна (для кожного двигуна цей час індивідуально, а, крім того, час "охолодження" залежить від пори року);

- Γ- ознака, що розділяє показники датчиків на моменти часу, що відповідають поточним і після дующим показаннями датчика щодо Δτ;

- Α- осередок для зберігання показань датчика, відповідних моменту часу Δτι;

- Β-осередок для зберігання показань датчика, відповідних моменту часу i + 1;

СЧ- осередок для зберігання кількості циклів роботи програми (кількість сигналів);

- Ν- адреси комірок для зберігання среднеквадратических значень струму Iν;

- Iν- осередки для зберігання среднеквадратических значень струму, обчислених як квадрат середньоарифметичного значення струму на двох сусідніх зверненнях контролера до датчика струму;

К константа, що визначає необхідний час вимірювання по час-струмового характеристиці;

- ΔI- допуск на прийняття рішення про відключення двигуна.

Обслуговування одного приводу можна представити чотирнадцятьма операторами алгоритму:

Оператор 1 забезпечує циклічність роботи алгоритму через 15 мсек .;

Оператор 2 перевіряє умову "Чи було відключення приводу?";

Оператор 3 виконує контроль часу, необхідного на охолодження двигуна;

Оператор 5 організовує розгалуження, при першому вході в програму забезпечує роботу оператора 6, а при наступних - роботу оператора 8;

Оператор 6 виконує прийом сигналу датчика струму в клітинку α, формує команду на включення приводу, заносить одиницю в клітинку для зберігання ознаки γ і обнуляє осередок лічильника кількості циклів;

Оператор 7 в кожному циклі виконує пересилку показання датчика струму з осередку β в клітинку α;

Оператор 8 виконує прийом сигналу датчика струму в клітинку β, заносить одиницю в лічильник і формує адресу комірки ν;

Оператор 9 розраховує значення середньоквадратичного значення струму на двох сусідніх зверненнях контролера до датчика струму;

Оператор 10 перевіряє умова виконання, необхідної кількості циклів контролю;

Оператор 11 обнуляє ознака при виконанні умови оператора 10,

Оператор 12 виконує розрахунок Iекв за наведеною вище формулою;

Оператор 13 перевіряє виконання умови відключення двигуна;

Оператор 14 відключає двигун при виконанні умови оператора 13, ознака Z в одиничний стан і запам'ятовує час відключення двигуна.

Рис.3. Алгоритм управлiння

Ну а що ж машиніст екскаватора спостерігає на екрані пульта? Залежно від режиму роботи приводу йому надається інформація в одному з чотирьох можливих форматів:

У вікно 1 інформація видається постійно, у вікно 2 - при відключенні двигуна, у вікно 3 - при закінченні часу остигання. У вікно 4 інформація видається за запитом. А розшифровується вона таким чином. У першому вікні перші три цифри - це величина еквівалентного значення струму в амперах за час відповідно рівне 5 сек, 50 сек і 8 хвилин, цифри в правому нижньому кутку - час включеного стану пристрої захисту у годинах і хвилинах. Інформація в другому вікні коментарів не потребує. У третьому вікні индицируется час відключення двигуна (9:00 15 хвилин від моменту включення пристрою захисту) та необхідний час на охолодження (30 хвилин). У четвертому вікні цифри до тире - кількість випадків виконання умов час-струмового характеристики за час роботи пристрою. З розглянутого прикладу випливає, що за час 11:00 38 хвилин один раз була виконана умова відключення двигуна через перевантаження на струмі упору.

Рис.4 Iнформацiя на контроллерi.

Створений зразок пристрою захисту екскаваторних двигунів характеризується непоганими технічними параметрами:

Кількість обслуговуваних приводів - до 5;

Похибка визначення фактичного струму навантаження - не більше 3%;

Максимальне вхідний напруга з шунта при знаходженні приводу в стані струму упору - 75 мВ;

Період знімання та обробки сигналів датчиків - 0,015 сек;

Час-струмовий характеристика пристрої захисту для двигуна підйому в табличній формі:

.1 Iн - 5 сек, 1.8 Iн - 15 сек,

.5 Iн - 30сек, 1.2 Iн - 120 cек;

Вихідні сигнали управління - вісім спорогенезів "сухих" контактів (напруга 220 В, струм до 5А);

Автоматичне визначення факту "закорочування" вихідних сигналів;

Напруга живлення - 220 В, 50 Гц; споживана потужність - не більше 7 Вт;

Габаритні розміри - 300х 250х150 мм;

Ступінь захисту - IP65;

Діапазон робочих температур становить -20 ° С .. + 50 ° С.

Рис.5. Загальний вигляд.

Рисунок 6. Структурна схема пристрою.

Струми контрольованих ліній I1, I2, I3, I4, I5, I6, I7 і I8 надходять на первинні обмотки вимірювальних трансформаторів забезпечують їх узгодження з вимірювальними входами модуля аналого-цифрового перетворення (МАЦП).

МАЦП виконує аналогову обробку вхідних сигналів в тому числі:

Попередню фільтрацію,

Захист входів від перевантаження,

Посилення,

Перетворення аналогових сигналів в код.

Цифрову обробку інформації і управління роботою інших вузлів виконує модуль мікроконтролера (ММК). Алгоритм роботи пристрою повністю визначається програмою, записаною в пам'яті мікроконтролера.

Модуль дисплея і клавіатури (МДК) включає в себе восьми-символьний цифровий дисплей і шести-кнопкову клавіатуру. МДК конструктивно об'єднаний з передньою панеллю пристрою і є основним засобом взаємодії пристрої з оператором.

Модуль сполучення (МС) є інтерфейсним вузлом, забезпечує формування вихідних сигналів «СИГНАЛІЗАЦІЯ СПРАЦЮВАННЯ» і «АВАРІЯ ПРИСТРОЇ» (СГ) + (АВ) Модуль джерел живлення забезпечує електроживлення вузлів пристрою.

МІКРОПРОЦЕСОРНИЙ ПРИСТРІЙ ТЕПЛОВОГО ЗАХИСТУ ЕКСКАВАТОРНИХ ДВИГУНІВ (УМТЗ)

Екскаватори типу ЕКГ-8 та ЕКГ-10, що використовуються в кар'єрах, забезпечені приводами постійного струму, які забезпечують пересування екскаватора, підйом і опускання ковша, паркан вантажу, його переміщення і вивантаження. Встановлено такі: Д828, Д816 та ін.

Системи регулювання дозволяють виконувати роботу приводам на так званих наполегливих характеристиках. Наприклад, при зупинці двигуна напору ха рахунок попадання ковша на скельний грунт струм двигуна досягає максимально допустимої величини, рівної 2,1 In (In - номінальний струм двигуна). Через час, обумовлений параметрами времятоковой характеристики, двигун відключається (у разі, якщо це передбачено існуючою схемою). Момент часу повторного включення двигуна нічим не лімітований. Тому машиніст після відключення двигуна виробляє ті ж самі дії, ток знову досягає струму упору і т.д. такий режим роботи призводить до перегріву двигуна, погіршення ізоляції і, в кінцевому рахунку, до виходу двигуна або генератора з ладу. Виходячи з вищесказаного, нашим підприємством було розроблено мікропроцесорний пристрій теплового захисту екскаваторних двигунів і генераторів (УМТЗ).

Призначення мікропроцесорний захист екскаваторний двигун

Автоматичне відключення двигуна в разі перевищення розрахункового значення температури заданої величини для екскаваторів ряду ЕКГ. Мається на увазі, що фактичне перевищення температури викликано тривалою роботою двигуна на токах упору.

Ефект від використання

Виключення втрат виробництва на демонтаж, транспортування, подальший монтаж вийшла з ладу машини і власне витрат на її ремонт.

Принцип роботи

Вимірювання температури виконується одночасно двома способами:

а) побічно, з урахуванням температури навколишнього повітря, шляхом вимірювання терміну навантаження, розрахунку середньоквадратичного значення струму, розрахунку теплового навантаження на двигун, порівнянням отриманого значення теплового навантаження з допустимою.

б) Шляхом установки датчиків температури в корпуси двигунів і генераторів, а також установки датчика температури машинного залу і датчика температури атмосфери.

Видача попереджувального звукового і світлового сигналу «про підхід» до перевищення допустимого значення параметрів п. А) і п.б).

Відключення двигуна, розбирання груповий схеми генератор - двигун (за бажанням замовника) при перевищенні струму двигуна величини, обумовленої времятоковой характеристикою (см.п.1.5.7.). При цьому відключення виконується тільки по завершенню конкретної технологічної операції. Наприклад, двигун підйому відключається тільки по завершенню операції вивантаження гірничої маси.

Склад технічних засобів УМТЗ

Датчики струму - 3 шт.,

Датчики температури - 11 шт.,

Модулі гальванічної розв'язки і нормалізації сигналів,

Мікропроцесорний контролер,

Інформаційний дисплей,

 блоки живлення.

Конструктивно УМТЗ представляє два вироби. Шафа з інформаційним дисплеєм, розміщених в кабінеті машиніста і шафа з рештою апаратурою по п.1.4, размещаемом в машинному залі.

Рисунок 7. Структурная схема УМТЗ.

Технічні дані УМТЗ

. Напруга живлення 220В, 50Гц.

. Сторожовий таймер (виняток «зависання» контролера).

. Годинник реального часу.

. Збереження інформації при зникненні напруги живлення 220В.

. Неможливість несанкціонованого доступу до коректування запротоколювати інформації.

. Параметри час -токовой характеристики: 2.1 Iн - 5 с, 1.8 Iн - 20 с, 1.4 Iн - 60 с, 1.2 Iн - 150 с.

. Максимальна вхідна напруга з шунта при знаходженні приводу в стані струму упору, мВ, 150.

. Похибка вимірювання каналів струму і температури, не більше 5% (мається на увазі тракт: «шунт- модуль гальванічної розв'язки - АЦП - методична похибка» для струму і аналогічно для вимірювача температури).

. УМТЗ також забезпечує:

автоматичне виявлення, сигналізацію і запам'ятовування з прив'язкою до реального часу факту обриву ліній зв'язку між первинними датчиками і контролером.

За бажанням замовника УМТЗ - може бути доукомплектовано елементами позиціонування (GPRS) у кар'єрі з прив'язкою до маркшейдерським картах і одночасною передачею місця розташування диспетчеру кар'єра.

. Двопозиційні вихідні сигнали - 4 реле з «сухими» контактами (в одному реле 1 замикає і 1 розмикаючими). Управління реле виробляється дискретними виходами контролера.

Параметри контактів: напруга 220В, струм до 5А (сигнали використовують для відключення групи при недотриманні параметрів времятоковой по п.1.5.7.).

. Двопозиційні вхідні сигнали типу «сухий» контакт (інформація про факт роботи конкретної групи, наприклад, включена група підйом генератор і 2 двигуна) - 6 шт.

. Інформація, яка видається на дисплей машиніста самодостатня для визначення конкретного перегрітого приводу.

. Забезпечено можливість вилучення з пам'яті УМТЗ-інформації про теплового перевантаження, кількості відключень за проміжок часу не менше 30 діб, за допомогою Notebook.

. Звуковий зумер: постійний звук - перевантаження, переривчастий звук з частотою близько 0,5 ГЦ - перегрів, з частотою близько 3 Гц - обрив лінії зв'язку або відключення вихідних сигналів. Тривалість сигналізації 15 сек.

. Габарити, мм: шафа контролера - 700х400х200, шафа пульта - 300х300х150.

. комплект поставки - виріб, комплект кабельних з'єднувачів, паспорт, і посібник з експлуатації.

ВИСНОВОК

1. Поставлено завдання і запропоновано вирішення захисту екскаваторни[ приводів і обліку часу роботи крана

.Предложена структура і представлені вимоги до технічних параметрів пристрою.

. Для вирішення завдання обрані стандартні технічні засоби-блок живлення, блоки нормалізації і гальванічної розв'язки сигналів фазних струмів і представлені вимоги на розробку одноплатного мікропроцесорного контролера

. Представлена блок-схема алгоритму вимірювання струмів


ПЕРЕЛІК ПОСИЛАНЬ

Ключев В.И. Теория электропривода. - М.: Энергоатомиздат, 1985. -560 с.

Справочник по электрическим машинам. -- М.: Энергоатомиздат, 1988, том 1. -455 с.  Под общей ред. Копылова И.П. и др.

Справочник по электрическим машинам. -- М.: Энергоатомиздат, 1988, том 2. -688 с.  Под общей ред. Копылова И.П. и др.

Вешеневский С.Н. Характеристики двигателей в электроприводе. -М.: Энергия, 1977. -431 с.

Электротехнический справочник. -М.:  Энергоатомиздат, 1988, том 3, кн.2. -615 с.

Сыромятников И.А.  Режимы работы асинхронных и синхронных двигателей. - М.: Энергоатомиздат, 1984. -240 с.

Справочник по автоматизированному электроприводу. - М.: Энергоатомиздат, 1983. -616 с.

Ильинский Н.Ф. и др. Энергосбережение в электроприводе. - М.: Высшая школа, 1989, -126 с.

Комплектные тиристорные электроприводы. Справочник. - М.: Энергоатомиздат, 1988. -318 с. Под ред. Перельмутера В.М.

Справочник по проектированию автоматизированного электропривода и систем управления технологическими процессами. - М.: Энергоатомиздат, 1982. -416 с. Под ред. Круповича В.И. и др.

Ключев В. И. Выбор электродвигателей для производственных механизмов. - М.: Энергия, 1974. -95 с.

Чиликин М.Г., Ключев В.И., Сандлер А.С. Теория автоматизированного электропривода. - М.: Энергия, 1979. -615 с.

Чиликин М.Г., Соколов М.М., Терехов В. М., Шимянский А.В. Основы автоматизированного электропривода. -М.: Энергия, 1974. -567 с.

Арменский Е.В. и др. Автоматизированный электропривод, 1987. -130 с.

Похожие работы на - Мікропроцесорний пристрій теплового захисту екскаваторних двигунів

 

Не нашли материал для своей работы?
Поможем написать уникальную работу
Без плагиата!
Без нейросетей!