Информационные характеристики дискретного канала
Оглавление
Часть 1. Теория информации
.1 Структура дискретного канала
.2 Функции дискретного канала
.3 Изменение форм информации на дискретном канале
.4 Мера количества информации и энтропия
.5 Методы задания дискретного канала
.6 Информационные характеристики дискретного канала
.6.1 Количество информации и энтропия источника
.6.2 Количество информации и энтропия приемника
.6.3 Информационные потери
.6.4 Скоростные характеристики дискретного канала
Часть 2. Теория кодирования
.1 Равномерный двоичный код (РДК)
.2 ОНК Шеннона-Фано, критерий Фано однозначного
декодирования, корневое дерево, информационные характеристики
.3 ОНК Хаффмена
Часть 3. Помехоустойчивое кодирование. Назначение
.1 Обнаруживающие коды: четности, удвоения, инверсии, СТК-3
.2 Корректирующий систематический код Хэмминга
.3 Корректирующий циклический код
Часть 4. Криптографическое кодирование. Назначение
.1 Симметричные криптосистемы
.2 Открытые криптосистемы
.3 Электронная цифровая подпись ЭЦП
Список использованной литературы
Введение
Теория информации изучает количество информации, символов, энтропию
сообщения, условную энтропию (потери количества информации), скоростные
характеристики дискретного канала, включая скорость модуляции,
производительность источника, скорость передачи данных, пропускную способность
канала, эффективность и надёжность дискретного канала.
Теория кодирования:
. Оптимальное кодирование - сжатие данных без потерь содержания
информации (компрессия данных)
. Помехоустойчивое кодирование - защита данных от действия помех
. Криптографическое кодирование - защита данных от несанкционированного
доступа, включая стеганографию.
Часть 1.
Теория информации
.1
Структура дискретного канала
Схема дискретного канала (крупноблочная)
Схема системы передачи дискретных сообщений (детальная)
.2 Функции
дискретного канала
Функции блоков источника:
- АЦП (Аналого-цифровой преобразователь) - преобразование аналогового
сигнала в дискретный.
- Шифратор - установление криптографической защиты.
- Кодер ОНК - компрессия данных с помощью оптимальных
неравномерных кодов.
- Кодер ПЗК - защита данных от действия помех (компрессия).
- Модулятор - преобразование цифровых данных в электрический
сигнал.
- ЛC - линии связи (телефонные, кабельные, радио, спутниковые).
Функции блоков приёмника:
¾ Демодулятор - преобразование электрического сигнала в
цифровые данные.
¾ Декодер ПЗК выполняет целый ряд важных функций:
o Проверяет наличие ошибок.
o Вычисляет их адрес.
o Декодирует.
¾ Декодер ОНК - преобразует неравномерные коды в равномерные.
¾ Дешифратор - снятие криптографической защиты.
¾ ЦПА (Цифро-аналоговый преобразователь) - преобразование
дискретного сигнала в аналоговый.
.3
Изменение форм информации на дискретном канале
. Непрерывная информация (аналоговая).
. Дискретная информация (цифровая).
. Криптографический код.
. Оптимальный код (сжатый).
. Помехоустойчивый код.
. Электромагнитные сигналы.
.4 Мера
количества информации и энтропия
Мерой количества информации символа сообщения является вероятность
появления символа в сообщении:
Свойства
количества информации, график:
Количество
информации всегда положительно I(ai)>0;
Чем
выше вероятность символа, тем меньшее количество информации содержит этот
символ, т.е. если Р(а 1)<P(a2), то I(а 1)>I(а
2);
Если
Р(аi)=1, то I(ai)=0
Энтропия
- среднее количество информации на символ сообщения:
Свойства
энтропии, график:
H(A)
≥ 0 не отрицательна;
Энтропия
ограничена Н(А) ≤ logN, где N - длина алфавита;
Нmax(A)=logN
Энтропия максимальна для равновероятных символов алфавита.
1.5 Методы
задания дискретного канала
Дискретный
канал полностью задан со стороны источника, если даны дискретный ансамбль
сообщения (ДАС{A,
}) передаваемого сообщения и канальная матрица
источника (КМИ =
):
КМИ
определяет действие помех на дискретном канале.
Канал
задан со стороны приёмника, если дан
и
:
Например:
задана канальная матрица приемника.
.
Время передачи одного символа t = 0,01 символ/сек., р(b1) = 0,1; р(b2)
= 0,2; р(b3) = 0,4; р(b4) = 0,3 .
Передано сообщение с 150 символов.
Вероятности входного сигнала находятся по формуле:
,
КМП отражает действие помех на канале передаваемого сообщения
относительно принятого сообщения.
Канал полностью задан канальной матрицей объединения:
.6
Информационные характеристики дискретного канала
.6.1
Количество информации и энтропия источника
Количество информации I(ai) каждого символа ai дискретного
сообщения A:
(i=1,2,3,4),
бит,
, бит,
, бит,
, бит.
, бит.
Среднее
кол-во информации, переданная одним символом определяет энтропия источника
Н(А):
Максимальная энтропия источника сообщений Hmax(A)
max(A) = log N = log 4 = 2 бит/символ,
где N - кол-во символов в алфавите сообщения
.6.2
Количество информации и энтропия приемника
Количество информации I(bj) каждого символа bj дискретного
сообщения B:
, бит,
, бит,
, бит.
, бит.
Среднее
кол-во информации, переданная одним символом определяет энтропия приемника
Н(B):
Максимальная
энтропия приемника сообщений Hmax(B)
max(B) = log N = log 4= 2 бит/символ,
где N - кол-во символов в алфавите сообщения
1.6.3
Информационные потери
Условная энтропия приемника вычисляется по формуле:
.6.4
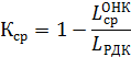
Скоростные характеристики дискретного канала
Скорость модуляции дискретного источника сообщений, n

,
символ/секунда.
Продуктивность
дискретного источника, H’(A)

Скорость передачи информации, R

Пропускная
способность С дискретного канала святи определяется максимальной
скоростью передачи C=max R

Теоремы Шеннона для канала с шумами связывают
пропускную способность канала передачи информации и существование кода, который
возможно использовать для передачи информации по каналу с ошибкой, стремящейся
к нулю (при увеличении длины блока).
Если скорость передачи сообщений меньше пропускной
способности канала связи (R<Rкр), то существуют коды и методы
декодирования такие, что средняя и максимальная вероятности ошибки
декодирования стремятся к нулю, когда длина блока стремится к бесконечности.
Иначе, кода, на основе которого можно добиться сколько
угодной малой вероятности возникновения ошибки, не существует.
Часть 2.
Теория кодирования
Основная идея оптимального кодирования лежит в том, что символам
сообщения, которые имеют большую вероятность, присваивают короткие бинарные
коды, то есть образуются бинарные кодовые слова разной длины - неравномерные
коды. Оптимальным неравномерным кодом (ОНК) называется такой код, для которого
средняя длина кода есть минимальной.
.1
Равномерный двоичный код (РДК)
- Составить сообщение, алфавит, вычислить вероятности и коды РДК;
S = съешь еще этих мягких французских булокs = 39 символов=
{с, ъ, е, ш, ь,, щ, э, т, и, х, м, я, г, к, ф, р, а, н, ц, у, з, б, л, о}A
= 25 символов
|
ai
|
p(ai)
|
РДК
|
|
0,13
|
0
|
0
|
0
|
0
|
0
|
|
е
|
0,08
|
0
|
0
|
0
|
0
|
1
|
|
и
|
0,08
|
0
|
0
|
0
|
1
|
0
|
|
х
|
0,08
|
0
|
0
|
0
|
1
|
1
|
|
к
|
0,08
|
0
|
0
|
1
|
0
|
0
|
|
с
|
0,05
|
0
|
0
|
1
|
0
|
1
|
|
у
|
0,05
|
0
|
0
|
1
|
1
|
0
|
|
ъ
|
0,03
|
0
|
0
|
1
|
1
|
1
|
|
ш
|
0,03
|
0
|
1
|
0
|
0
|
0
|
|
ь
|
0,03
|
0
|
1
|
0
|
0
|
1
|
|
щ
|
0,03
|
0
|
1
|
0
|
1
|
0
|
|
э
|
0,03
|
0
|
1
|
0
|
1
|
1
|
|
т
|
0,03
|
0
|
1
|
1
|
0
|
0
|
|
м
|
0,03
|
0
|
1
|
1
|
0
|
1
|
|
я
|
0,03
|
0
|
1
|
1
|
1
|
0
|
|
г
|
0,03
|
1
|
0
|
1
|
1
|
1
|
|
ф
|
0,03
|
1
|
0
|
0
|
0
|
0
|
|
р
|
0,03
|
1
|
0
|
0
|
0
|
1
|
|
а
|
0,03
|
1
|
0
|
0
|
1
|
0
|
|
н
|
0,03
|
1
|
0
|
0
|
1
|
1
|
|
ц
|
0,03
|
1
|
0
|
1
|
0
|
0
|
|
з
|
0,03
|
1
|
0
|
1
|
0
|
1
|
|
б
|
0,03
|
1
|
0
|
1
|
1
|
0
|
|
л
|
0,03
|
1
|
0
|
1
|
1
|
1
|
|
о
|
0,03
|
1
|
1
|
0
|
0
|
0
|
- Записать сообщение в коде РДК LРДК и определить длину РДК;
SРДК = 00101 00111 00001 01000 01001 00000 01010 01011 01100
00010 00011 01101 01110 10111 00100 10000 10001 10010 10011 10100 00110 10101
10110 10111 11000
- Записать корневое бинарное дерево РДК.
0↔1
Корневое бинарное дерево 5 порядка
.2 ОНК Шеннона-Фано, критерий Фано однозначного
декодирования, корневое дерево, информационные характеристики
- Алгоритм метода биссекции вычисления ОНК;
|
ai
|
p(ai)
|
1
|
2
|
3
|
4
|
5
|
6
|
ОНК
|
|
0,13
|
0
|
0
|
0
|
|
|
|
000
|
|
е
|
0,08
|
|
|
1
|
0
|
|
|
0010
|
|
и
|
0,08
|
|
|
|
1
|
|
|
0011
|
|
х
|
0,08
|
|
1
|
0
|
|
|
|
010
|
|
к
|
0,08
|
|
|
1
|
0
|
|
|
0110
|
|
с
|
0,05
|
|
|
|
1
|
|
у
|
0,05
|
1
|
0
|
0
|
0
|
0
|
|
10000
|
|
ъ
|
0,03
|
|
|
|
|
1
|
|
10001
|
|
ш
|
0,03
|
|
|
|
1
|
0
|
|
10010
|
|
ь
|
0,03
|
|
|
|
|
1
|
|
10011
|
|
щ
|
0,03
|
|
|
1
|
0
|
0
|
0
|
101000
|
|
э
|
0,03
|
|
|
|
|
|
1
|
101001
|
|
т
|
0,03
|
|
|
|
|
1
|
|
10101
|
|
м
|
0,03
|
|
|
|
1
|
0
|
|
10110
|
|
я
|
0,03
|
|
|
|
|
1
|
|
10111
|
|
г
|
0,03
|
|
1
|
0
|
0
|
0
|
0
|
110000
|
|
ф
|
0,03
|
|
|
|
|
|
1
|
110001
|
|
р
|
0,03
|
|
|
|
|
1
|
|
11001
|
|
а
|
0,03
|
|
|
|
1
|
0
|
|
11010
|
|
н
|
0,03
|
|
|
|
|
1
|
|
11011
|
|
ц
|
0,03
|
|
|
1
|
0
|
0
|
0
|
111000
|
|
з
|
0,03
|
|
|
|
|
|
1
|
111001
|
|
б
|
0,03
|
|
|
|
|
1
|
|
11101
|
|
л
|
0,03
|
|
|
|
1
|
0
|
|
11110
|
|
о
|
0,03
|
|
|
|
|
1
|
|
11111
|
ОНК = 000 0010 0011 010 0110 0111 10000 10001 10010 10011 101000 101001 10101
10111 110000 110001 11001 11010 11011 111000 111001 11101 11110 11111
- Критерий Фано декодирования сообщения в неравномерных кодах (префиксность
ОНК);
Критерий Фано однозначного декодирования ОНК: ни одно слово ОНК не
является началом другого слова ОНК. Это ещё называется свойством префиксности.
Критерий Фано позволяет однозначно декодировать сжатое сообщение SОНК.
- Построить КБД ОНК Шеннона-Фано;
0↔1
Корневое бинарное дерево 6 порядка
- Вычислить все
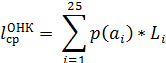
информационные характеристики ОНК Шеннона-Фано
;

[бит]

[бит/символ]
- Вывод об эффективности ОНК.
Метод Шеннона - Фано позволяет построить кодовые комбинации, в которых
знаки исходного ансамбля, имеющие наибольшую вероятность, кодируются наиболее
короткими кодовыми последовательностями. Таким образом, устраняется
избыточность обычного двоичного кодирования, информационные возможности
которого используются не полностью.
.3 ОНК
Хаффмена
- Вычисляем ОНК (дерево Хаффмана);
|
ai
|
p(ai)
|
1
|
2
|
3
|
4
|
5
|
ОНК
|
|
0,13
|
0,13
|
0,28
|
0,28
|
0,59
|
1,00
|
000
|
|
е
|
0,08
|
0,15
|
|
|
|
|
0010
|
|
и
|
0,08
|
|
|
|
|
|
0011
|
|
х
|
0,08
|
0,15
|
0,15
|
0,31
|
|
|
0100
|
|
к
|
0,08
|
|
|
|
|
|
0101
|
|
с
|
0,05
|
0,10
|
0,15
|
|
|
|
01100
|
|
у
|
0,05
|
|
|
|
|
|
01101
|
|
ъ
|
0,03
|
0,05
|
|
|
|
|
01110
|
|
ш
|
0,03
|
|
|
|
|
|
01111
|
|
ь
|
0,03
|
0,05
|
0,10
|
0,21
|
0,41
|
|
10000
|
|
щ
|
0,03
|
|
|
|
|
|
10001
|
|
э
|
0,03
|
0,05
|
|
|
|
|
10010
|
|
т
|
0,03
|
|
|
|
|
|
10011
|
|
м
|
0,03
|
0,05
|
0,10
|
|
|
|
10100
|
|
я
|
0,03
|
|
|
|
|
|
10101
|
|
г
|
0,03
|
0,05
|
|
|
|
|
10110
|
|
ф
|
0,03
|
|
|
|
|
|
10111
|
|
р
|
0,03
|
0,05
|
0,10
|
0,21
|
|
|
11000
|
|
а
|
0,03
|
|
|
|
|
|
11001
|
|
н
|
0,03
|
0,05
|
|
|
|
|
11010
|
|
ц
|
0,03
|
|
|
|
|
|
11011
|
|
з
|
0,03
|
0,05
|
0,10
|
|
|
|
11100
|
|
б
|
0,03
|
|
|
|
|
|
11101
|
|
л
|
0,03
|
0,05
|
|
|
|
|
11110
|
|
о
|
0,03
|
|
|
|
|
|
11111
|
↕
ОНК = 000 0010 0011 0100 0101 01100 01101 01110 01111 10000 10001 10010
10011 10100 10101 10110 10111 11000 11001 11010 11011 11100 11101 11110 11111ОНК
= 5 [бит]SОНК = 119 [бит]
Критерий Фано декодирование сообщения в неравномерных кодах;
Критерий Фано однозначного декодирования ОНК: ни одно слово ОНК не
является началом другого слова ОНК. Это ещё называется свойством префиксности.
Критерий Фано позволяет однозначно декодировать сжатое сообщение SОНК.
Построить КБД ОНК Хаффмана;
Корневое бинарное дерево 5 порядка
Вычислить все информационные характеристики ОНК;


[бит]

[бит/символ]
Вывод об эффективности ОНК.
Метод Хаффмана устраняет избыточность двоичного кодирования, кодируя
самый частые символы, самыми короткими кодами. В некоторых случаях коэфициент
сжатия превосходит показатели метода Шеннона-Фано.
Часть 3.
Помехоустойчивое кодирование. Назначение
Обнаруживающие коды позволяют обнаружить наличие ошибки в двоичном слове,
но исправить не могу. Двоичный код становится обнаруживающим за счет
контрольных бит.
.1
Обнаруживающие коды: четности, удвоения, инверсии, СТК-3
Обнаруживающий код четности (ОКЧ):
Генерация
Исходник: 1000111 - Ж
Макет: 1000111К
Вычислим значение контрольного бита
= nи + nк = 7 + 1 = 8
= 1+0+0+0+1+1+1 = 0Ч = (n;k) = (8;7) = 10001110
Диагностика
|
Принято
|
Диагностика
|
|
10001110
|
1+0+0+0+1+1+1+0 = 0 - нет
ошибки
|
|
10011110
|
1+0+0+1+1+1+1+0 = 1 - есть
ошибка
|
- Эффективность
o Простой, удобный алгоритм построения кода
o Минимальное количество контрольных бит
o Обнаруживает нечетное количество ошибок
Обнаруживающий код удвоения (ОКУ):
- Генерация
Исходник: 1000111
Макет: 1000111ККККККК
ОКУ=(14;7)=10001111000111
- Диагностика
|
Принято
|
Диагностика
|
|
10001111000111
|
1000111 + 1000111 = 0000000
- нет ошибок
|
|
11001111000111
|
1100111 + 100111 = 0100000
- есть ошибка в П 2 или П 9
|
Эффективность
o Простой алгоритм
o Количество контрольных бит = количество информационных бит
o Обнаруживается кратное число ошибок и частично указывается
адрес
Обнаруживающий код инверсии (ОКИ):
- Генерация
Исходник: 1000111
Макет: 1000111ККККККК
ОКУ=(14;7)=10001110111000
- Диагностика
|
Принят
|
Диагностика
|
|
10001110111000
|
1000111 + 0111000 = 1111111
- нет ошибок
|
|
11001100111000
|
1100110 + 0111000 = 1011110
- есть ошибка в П 2 или П 9 и в П 7 или П 14
|
- Эффективность
o Простой алгоритм
o Количество контрольных бит = количество информационных бит
o Обнаруживается кратное число ошибок и частично указывается
адрес
ОК - СТК №3: генерация, диагностика, эффективность. (СТК №3 - код постоянного
веса).
- Генерация
Количество единиц в двоичном коде называется весом кода.
Для всех символов, букв, цифр, спецзнаков разработаны двоичные коды
весом, равным 3 (т. е. содержат 3 единицы).
- Диагностика
Если в принятом двоичном слове количество единиц равно 3, то ошибки нет.
Во всех остальных случаях ошибка есть.
- Эффективность
Символ с ошибкой не корректируется, а удаляется.
.2
Корректирующий систематический код Хэмминга
Исходник: Первая буква имени и первая буква фамилии, итого - 14 бит;
- Генерация
Исходник: 10001111010000 - Ж П
=К1=П1
=К2=П2
=К3=П4
=К4=П8
= 5=П16
|
П1
|
П2
|
П3
|
П4
|
П5
|
П6
|
П7
|
П8
|
П9
|
П10
|
П11
|
П12
|
П13
|
П14
|
П15
|
П16
|
П17
|
П18
|
П19
|
|
К1
|
К2
|
1
|
К3
|
0
|
0
|
0
|
К4
|
1
|
1
|
1
|
1
|
0
|
1
|
0
|
К5
|
0
|
0
|
0
|
|
Пi
|
№5
|
№4
|
№3
|
№2
|
|
|
1
|
0
|
0
|
0
|
0
|
1
|
|
|
2
|
0
|
0
|
0
|
1
|
0
|
|
|
3
|
0
|
0
|
0
|
1
|
1
|
|
|
4
|
0
|
0
|
1
|
0
|
0
|
|
|
5
|
0
|
0
|
1
|
0
|
1
|
|
|
6
|
0
|
0
|
1
|
1
|
0
|
|
|
7
|
0
|
0
|
1
|
1
|
1
|
|
|
8
|
0
|
1
|
0
|
0
|
0
|
|
|
9
|
0
|
1
|
0
|
0
|
1
|
|
|
10
|
0
|
1
|
0
|
1
|
0
|
|
|
11
|
0
|
1
|
0
|
1
|
1
|
|
|
12
|
0
|
1
|
1
|
0
|
0
|
|
|
13
|
0
|
1
|
1
|
0
|
1
|
|
|
14
|
0
|
1
|
1
|
1
|
0
|
|
|
15
|
0
|
1
|
1
|
1
|
1
|
|
|
16
|
1
|
0
|
0
|
0
|
0
|
|
|
17
|
1
|
0
|
0
|
0
|
1
|
|
|
18
|
1
|
0
|
0
|
1
|
0
|
|
|
19
|
1
|
0
|
0
|
1
|
1
|
|
|
|
|
|
|
|
|
|
|
|
|
|
|
|
|
|
|
|
|
|
|
|
ПЧ1 = П1+П3+П5+П7+П9+П11+П13+П15+П17+П19
ПЧ2 = П2+П3+П6+П7+П10+П11+П14+П15+П18+П19
ПЧ3 = П4+П5+П6+П7+П12+П13+П14+П15
ПЧ4 = П8+П9+П10+П11+П12+П13+П14+П15
ПЧ5 = П16+П17+П18+П9
ПЧ1 => К1+1+0+0+1+1+0+0+0+0 = 0. К1+1
= 0 → К1 = 1
ПЧ2 => К2+1+0+0+1+1+0+0+0+0 = 0. К2+1
= 0 → К2 = 1
ПЧ3 => К3+0+0+0+1+0+1+0 = 0. К3+0
= 0 → К3 = 0
ПЧ4 => К4+1+1+1+1+0+1+0 = 0. К4+1
= 0 → К4 = 1
ПЧ5 => К5+0+0+0 = 0. К5+0
= 0 → К5 = 0
Макет: К1К21К3000К41111010К5000
КСКХ = (19;7) = 1110000111110100000
- Диагностика
Принят: 1110000011110100000
Обрабатываем КСКХ правилами четности:
ПЧ1 => 1+1+0+0+1+1+0+0+0 = 0 → АО = 0
ПЧ2 => 1+1+0+0+1+1+0+0+0+0 = 0 → АО = 0
ПЧ3 => 0+0+0+0+1+0+1+0 = 0 → АО = 0
ПЧ4 => 0+1+1+1+1+0+1+0 = 1 → АО = 1
ПЧ5 => 0+0+0+0+0 = 0 → АО = 0
АО=010002=810
АО =П8
- Коррекция
Заключается в инверсии ошибочной позиции П8: 0→1
- Декодирование
Заключается в удалении контрольных бит: 10001111010000
- Эффективность
o Контрольные биты размещаются между битами исходника.
o Код содержит минимальное количество контрольных бит и
является плотноупакованным.
.3
Корректирующий циклический код
Исходник: Первая буква имени, итого - 7 бит;
- Генерация
Исходник: 1000111, x6+x3+x2 = Q(x) i
= 7бит, nk= 9бит
Макет: Q(x)*x9=(x6+x3+x2)*x9
= 1000111000000000(x) = x9+x8+x1+1=1100000011
|
1
|
0
|
0
|
0
|
1
|
1
|
1
|
0
|
0
|
0
|
0
|
0
|
0
|
0
|
0
|
0
|
|
|
1
|
1
|
0
|
0
|
0
|
0
|
0
|
0
|
1
|
1
|
|
1
|
1
|
0
|
0
|
0
|
0
|
0
|
0
|
1
|
1
|
|
|
|
|
|
|
|
|
-
|
-
|
-
|
-
|
-
|
-
|
-
|
-
|
-
|
-
|
|
-
|
-
|
-
|
-
|
-
|
-
|
-
|
-
|
-
|
-
|
|
|
|
|
|
|
|
|
|
|
|
|
|
|
|
|
|
|
|
1
|
0
|
0
|
1
|
1
|
1
|
0
|
1
|
1
|
0
|
|
|
|
|
|
|
|
|
|
|
|
|
|
|
|
|
|
1
|
1
|
0
|
0
|
0
|
0
|
0
|
0
|
1
|
1
|
|
|
|
|
|
|
|
|
|
|
|
|
|
|
|
|
|
-
|
-
|
-
|
-
|
-
|
-
|
-
|
-
|
-
|
-
|
|
|
|
|
|
|
|
|
|
|
|
|
|
|
|
|
|
|
1
|
0
|
1
|
1
|
1
|
0
|
1
|
0
|
1
|
0
|
|
|
|
|
|
|
|
|
|
|
|
|
|
|
|
|
|
1
|
1
|
0
|
0
|
0
|
0
|
0
|
0
|
1
|
1
|
|
|
|
|
|
|
|
|
|
|
|
|
|
|
|
|
|
-
|
-
|
-
|
-
|
-
|
-
|
-
|
-
|
-
|
-
|
|
|
|
|
|
|
|
|
|
|
|
|
|
|
|
|
|
|
1
|
1
|
1
|
1
|
0
|
1
|
0
|
0
|
1
|
0
|
|
|
|
|
|
|
|
|
|
|
|
|
|
|
|
|
|
1
|
1
|
0
|
0
|
0
|
0
|
0
|
0
|
1
|
1
|
|
|
|
|
|
|
|
|
|
|
|
|
|
|
|
|
|
-
|
-
|
-
|
-
|
-
|
-
|
-
|
-
|
-
|
-
|
|
|
|
|
|
|
|
|
|
|
|
|
|
|
|
|
|
|
|
1
|
1
|
0
|
1
|
0
|
0
|
0
|
1
|
0
|
0
|
|
|
|
|
|
|
|
|
|
|
|
|
|
|
|
|
|
1
|
1
|
0
|
0
|
0
|
0
|
0
|
0
|
1
|
1
|
|
|
|
|
|
|
|
|
|
|
|
|
|
|
|
|
|
-
|
-
|
-
|
-
|
-
|
-
|
-
|
-
|
-
|
-
|
|
|
|
|
|
|
|
|
|
|
|
|
|
|
|
|
|
|
|
0
|
1
|
0
|
0
|
0
|
1
|
1
|
1
|
0
|
|
|
|
|
|
|
|
|
|
|
|
КЦК=(16;7)=1000111 010001110
- Диагностика
Наличие и адрес ошибки определяется по остатку:
если остаток = 0, то ошибки нет.
ошибка в информационной части, если остаток имеет "обрамление".
Адрес ошибки указывает единица внутри обрамления.
ошибка в контрольной части, если остаток содержит одну единицу, а
остальные биты равны нулю. Единица указывает адрес ошибки в контрольной части.
КЦК содержит более одной ошибки при другой форме остатка.
Получено: 1000111010001100
|
1
|
0
|
0
|
0
|
1
|
1
|
1
|
1
|
0
|
0
|
0
|
1
|
1
|
0
|
0
|
|
|
1
|
1
|
0
|
0
|
0
|
0
|
0
|
0
|
1
|
1
|
|
1
|
1
|
0
|
0
|
0
|
0
|
0
|
0
|
1
|
1
|
|
|
|
|
|
|
|
|
-
|
-
|
-
|
-
|
-
|
-
|
-
|
-
|
-
|
-
|
|
-
|
-
|
-
|
-
|
-
|
-
|
-
|
-
|
-
|
-
|
|
|
|
|
|
|
|
|
|
|
|
|
|
|
|
|
|
|
|
1
|
0
|
0
|
1
|
1
|
1
|
0
|
0
|
1
|
0
|
|
|
|
|
|
|
|
|
|
|
|
|
|
|
|
|
|
1
|
1
|
0
|
0
|
0
|
0
|
0
|
0
|
1
|
1
|
|
|
|
|
|
|
|
|
|
|
|
|
|
|
|
|
|
-
|
-
|
-
|
-
|
-
|
-
|
-
|
-
|
-
|
-
|
|
|
|
|
|
|
|
|
|
|
|
|
|
|
|
|
|
|
1
|
0
|
1
|
1
|
1
|
0
|
0
|
0
|
1
|
0
|
|
|
|
|
|
|
|
|
|
|
|
|
|
|
|
|
|
1
|
1
|
0
|
0
|
0
|
0
|
0
|
0
|
1
|
1
|
|
|
|
|
|
|
|
|
|
|
|
|
|
|
|
|
|
-
|
-
|
-
|
-
|
-
|
-
|
-
|
-
|
-
|
-
|
|
|
|
|
|
|
|
|
|
|
|
|
|
|
|
|
|
|
1
|
1
|
1
|
1
|
0
|
0
|
0
|
0
|
1
|
1
|
|
|
|
|
|
|
|
|
|
|
|
|
|
|
|
|
|
1
|
1
|
0
|
0
|
0
|
0
|
0
|
0
|
1
|
1
|
|
|
|
|
|
|
|
|
|
|
|
|
|
|
|
|
|
-
|
-
|
-
|
-
|
-
|
-
|
-
|
-
|
-
|
-
|
|
|
|
|
|
|
|
|
|
|
|
|
|
|
|
|
|
|
|
1
|
1
|
0
|
0
|
0
|
0
|
0
|
0
|
1
|
0
|
|
|
|
|
|
|
|
|
|
|
|
|
|
|
|
|
|
1
|
1
|
0
|
0
|
0
|
0
|
0
|
0
|
1
|
1
|
|
|
|
|
|
|
|
|
|
|
|
|
|
|
|
|
|
-
|
-
|
-
|
-
|
-
|
-
|
-
|
-
|
-
|
-
|
|
|
|
|
|
|
|
|
|
|
|
|
|
|
|
|
|
|
|
0
|
0
|
0
|
0
|
0
|
0
|
0
|
1
|
0
|
|
|
|
|
|
|
|
|
|
|
|
Ошибка в контрольной части - П15
|
1
|
0
|
1
|
0
|
1
|
1
|
1
|
0
|
1
|
0
|
0
|
0
|
1
|
1
|
1
|
0
|
|
|
1
|
1
|
0
|
0
|
0
|
0
|
0
|
0
|
1
|
1
|
|
1
|
1
|
0
|
0
|
0
|
0
|
0
|
0
|
1
|
1
|
|
|
|
|
|
|
|
|
-
|
-
|
-
|
-
|
-
|
-
|
-
|
-
|
-
|
-
|
|
-
|
-
|
-
|
-
|
-
|
-
|
-
|
-
|
-
|
-
|
|
|
|
|
|
|
|
|
|
|
|
|
|
|
|
|
|
|
|
1
|
1
|
0
|
1
|
1
|
1
|
0
|
0
|
1
|
0
|
|
|
|
|
|
|
|
|
|
|
|
|
|
|
|
|
|
1
|
1
|
0
|
0
|
0
|
0
|
0
|
0
|
1
|
1
|
|
|
|
|
|
|
|
|
|
|
|
|
|
|
|
|
|
-
|
-
|
-
|
-
|
-
|
-
|
-
|
-
|
-
|
-
|
|
|
|
|
|
|
|
|
|
|
|
|
|
|
|
|
|
|
|
|
1
|
1
|
1
|
0
|
0
|
0
|
1
|
0
|
1
|
1
|
|
|
|
|
|
|
|
|
|
|
|
|
|
|
|
|
|
1
|
1
|
0
|
0
|
0
|
0
|
0
|
0
|
1
|
1
|
|
|
|
|
|
|
|
|
|
|
|
|
|
|
|
|
|
-
|
-
|
-
|
-
|
-
|
-
|
-
|
-
|
-
|
-
|
|
|
|
|
|
|
|
|
|
|
|
|
|
|
|
|
|
|
|
1
|
0
|
0
|
0
|
1
|
0
|
0
|
0
|
1
|
0
|
|
|
|
|
|
|
|
|
|
|
|
|
|
|
|
|
|
1
|
1
|
0
|
0
|
0
|
0
|
0
|
0
|
1
|
1
|
|
|
|
|
|
|
|
|
|
|
|
|
|
|
|
|
|
-
|
-
|
-
|
-
|
-
|
-
|
-
|
-
|
-
|
-
|
|
|
|
|
|
|
|
|
|
|
|
|
|
|
|
|
|
|
1
|
0
|
0
|
1
|
0
|
0
|
0
|
0
|
1
|
|
|
|
|
|
|
|
|
|
|
|
Ошибка в информационной части - П 3
- Коррекция
1) Инвертируем ошибочную позицию П15:1→0. Получаем
1000111010001110.
) Инвертируем ошибочную позицию П3:1→0. Получаем
1000111010001110.
- Декодирование
Заключается в отбрасывании контрольных бит. Получаем 1000111.
- Эффективность
- Определяет и корректирует одну ошибку, широко применяется в станках
с ЧПУ.
- Контрольные биты размещаются в конце информационной части кода.
Значения контрольных бит вычисляются с помощью порождающего полинома.
Диагностика наличия ошибки и вычисление ее адреса также выполняется с
помощью порождающего полинома.
3.4 Корректирующий мажоритарный код
- Генерация
Исходник: 10001111010000
Макет кода 3 удвоения (К=3)
Макет:10001111010000К1К2К3К4К5К6К7К8К9К10К11К12К13К14К15К16К17К18
К19К20К21К22К23К24К25К26К27К28
КМК=(42;14) = 10001111010000 10001111010000 10001111010000
- Диагностика
Для каждого инф. бита строится свой синдром. Если в синдроме биты
одинаковые, то ошибки нет. Если разные, то ошибка в позиции с "наименьшим
числом голосов".
Принято: 10000111010000 11001111010000 10101111010000
П1 = S1 = {П1,П15,П29}
={1,1,1} - нет ошибки
П2 = S2 = {П2,П16,П30}
={0,1,0} - ошибка в П16
П3 = S3 = {П3,П17,П31}
={0,0,1} - ошибка в П31
П4 = S4 = {П4,П18,П32}
={0,0,0} - нет ошибок
П5 = S5 = {П5,П19,П33}
={0,1,1} - ошибка в П5
П6 = S6 = {П6,П20,П34}
={1,1,1} - нет ошибки
П7 = S7 = {П7,П21,П35}
={1,1,1} - нет ошибки
П8 = S8 = {П8,П22,П36}
={1,1,1} - нет ошибки
П9 = S9 = {П9,П23,П37}
={0,0,0} - нет ошибки
П10 = S10 = {П10,П24,П38}
={1,1,1} - нет ошибки
П11 = S11 = {П11,П25,П39}
={0,0,0} - нет ошибки
П12 = S12 = {П12,П26,П40}
={0,0,0} - нет ошибки
П13 = S13 = {П13,П27,П41}
={0,0,0} - нет ошибки
П14 = S14 = {П14,П28,П42}
={0,0,0} - нет ошибки
- - Коррекция
Инвертируем ошибочные позиции
П5 0→1,
П16 1→0,
П31 1→0;
Получаем: 10001111010000 10001111010000 10001111010000.
- Декодирование
Отбрасываем контрольные биты: 10001111010000
- Эффективность
o Обнаружение и коррекция кратных ошибок;
o Удобный, простой алгоритм генерации и диагностики;
o Большая избыточность: 200% и более.
Часть 4.
Криптографическое кодирование. Назначение
Назначение: защита данных от несанкционированного доступа.
Криптографическое кодирование обеспечивает безопасность данных в
информационных системах.
Криптология - наука о тайнах:
1. Криптография - разработка методов защиты данных от
несанкционированного доступа;
2. Криптоанализ - разработка методов "взломов" систем
защиты данных.
.1
Симметричные криптосистемы
дискретный приемник криптосистема шифрование
В симметрических криптосистемах применяется единый ключ при шифровании и
дешифровании:
. Поточные методы;
. Блочные методы;
. Методы перестановок;
. Многоалфавитные системы;
. Стандарт шифрования DES.
.2
Открытые криптосистемы
В этих системах создаётся 2 ключа - ключ открытый (общедоступный),
которым любой абонент сети может зашифровать своё сообщение и передать его
владельцу секретного ключа; ключ секретный находится только у владельца ключа,
никому не передаётся, и зашифрованное сообщение можно расшифровать только
секретным ключом.
4.3
Электронная цифровая подпись ЭЦП
ЭЦП - последовательность символов, являющаяся реквизитом электронного
документа и предназначенная для подтверждения целостности и подлинности
электронного документа. Средство электронной цифровой подписи - программное,
программно-аппаратное или техническое средство, реализующее одну или несколько
следующих функций: выработку электронной цифровой подписи, проверку электронной
цифровой подписи, создание личного ключа подписи или открытого ключа.
ЭЦП получается в результате криптографического преобразования электронных
данных документа с использованием личного ключа ЭЦП.
ЭЦП используется физическими и юридическими лицами в качестве аналога
собственноручной подписи для придания электронному документу юридической силы,
равной юридической силе документа на бумажном носителе, подписанного
собственноручной подписью правомочного лица и скрепленного печатью.
Использование цифровой подписи позволяет:
осуществить контроль целостности передаваемого документа;
ЭЦП вычислена на основании исходного состояния документа и соответствует
лишь ему, поэтому при любом случайном или преднамеренном изменении документа
подпись станет недействительной;
доказательно подтвердить авторство документа;
Создать корректную подпись можно, лишь зная закрытый ключ, известный
только владельцу
защитить документ от изменений (подделки).
Список
использованной литературы
1. Цимбал В.М. "Теория информации и кодирования",
Киев, 1992г., Вища школа
2. Жураковский В.П., Полторак В.П., "Теорiя
iнформацii та кодування", Киев, Вища школа
. Ширшков А.К., "Теория информации и кодирования.
Методические указания", ОНМУ, 2005 г.